| Скачать .docx |
Реферат: Теория электросвязи
п. 1. Структурная схема системы электросвязи
Структурная схема системы электросвязи представлена на рис. 1.
Источник сообщения ИС – это некоторый объект или система, от которого передается информация в виде ее физического представления, например в виде изменяющегося во времени тока или напряжения
.
ФНЧ предназначен для фильтрации сигнала с целью ограничения спектра сигнала сообщения
верхней частотой
.
Дискретизатор позволяет представить отклик ФНЧ
в виде последовательности отсчетов
.
Квантователь осуществляет нелинейное преобразование отсчетов
в квантованные уровни
,
.
Кодер осуществляет кодирование квантованных уровней
двоичным безизбыточным кодом, т.е. образует последовательность кодовых комбинаций
, т.е. сигнал ИКМ.
Модулятор формирует канальный сигнал
, электрическое колебание, параметр которого (амплитуда, частота или фаза) изменяется по закону модулирующего сигнала ИКМ.
Выходное устройство ПДУ осуществляет фильтрацию и усиление модулированного колебания
для предотвращения внеполосных излучений и для установления требуемого отношения сигнал/шум на входе приемника. Усиленный сигнал
передается в линию связи.
Линия связи – среда, по которой распространяется сигнал
с выхода ПДУ до входа ПРУ. В линии связи на сигнал
накладывается помеха
.
Входное устройство ПРУ осуществляет фильтрацию принятого сигнала, смеси переданного сигнала и помехи
.
Детектор позволяет выделить из принятого сигнала
закон изменения информационного параметра, пропорционального сигналу ИКМ.
Для опознания переданных двоичных символов
на выход детектора подключается решающее устройство РУ, на выходе которого присутствует принятая кодовая комбинация
.
Декодер служит для восстановления
-ичных уровней
из двоичных кодовых комбинаций
.
Интерполятор производит восстановление непрерывного сигнала
из последовательности
-ичных уровней
.
Получатель сообщения – это некоторый объект или система, которому передается информация в виде ее физического представления, т.е. в виде изменяющегося во времени сигнала
.
п.2. Расчет функции корреляции и спектра плотности мощности.
Расчет АКФ: 
Результаты вычислений АКФ приведены в таблице 1.
По результатам расчета построен график, представленный на рис. 2.
![]() |
Таблица 1.
Расчет спектра плотности мощности сообщения:

Вычисление интеграла по таблице из книги Е. С. Вентцеля, Л. А. Овчарова «Теория случайных процессов и ее инженерные приложения» стр. 376:

Результаты вычислений энергетического спектра приведены в таблице 2.
По результатам расчета построен график, представленный на рис. 3.
Таблица 2.
Рассчитаем начальную энергетическую ширину спектра
:
![]()


1)
;
2) 

Гц.
Интервал корреляции сообщения
:

п.3. Расчет СКП фильтрации сообщения.
Исходное сообщение воздействует на идеальный ФНЧ с единичным коэффициентом передачи и полосой пропускания, равной начальной энергетической ширине спектра сообщения.
Для расчета СКП фильтрации используем формулу:
,
где
, средняя мощность отклика ИФНЧ, вычисляется следующим образом:

Далее вычисляем СКП фильтрации сообщения:
В2
Определим интервал временной дискретизации, исходя из теоремы Котельникова.
сек.
Тогда частота дискретизации:
Гц.
Сигналы и спектры сигналов на входе и выходе дискретизатора АЦП приведены на рис. 7.
п.4. Расчет характеристики квантования.
Для расчета шага квантования используем формулу:
В.
Определим пороги квантования
по формуле:
![]()

Результаты расчета остальных значений сведены в таблицу 3.
Определим уровни квантования по формуле:
где
, ![]()
В.
Результаты расчета остальных значений сведены в таблицу 3.
По результатам расчета порогов и уровней квантования построим характеристику квантования, приведенную на рис. 4.
Для расчета СКП квантования используем формулу:
, где
- постоянная, которая находиться следующим образом:

Для нахождения
необходимо вычислить ФПВ гауссовской величины
в точках
с учетом того, что
и
.
Результаты расчетов приведены в таблице 4.
В результате для
имеем: 
п.5. Расчет параметров квантования.
Отклик квантователя – дискретный случайный сигнал с независимым значением на входе L-ичного дискретного канала связи ДКС.
Определим закон распределения вероятностей дискретной случайной величины
по формуле:
![]()
Результаты расчетов приведены в таблице 3. По результатам расчета построим график закона распределения вероятностей, приведенный на рис. 5.
Теперь определим мощность
квантованного процесса:
В2
.
По ранее приведенной формуле определяем СКП квантования:
В2
.
Рассчитаем интегральную функцию распределения вероятностей:
, ![]()
Результаты расчетов приведены в таблице 3. По результатам расчетов построим график функции распределения вероятностей, приведенный на рис. 6.
Расчет энтропии L-ичного источника производим по формуле:
дв.ед./отсчет
Расчет производительности
осуществляется по формуле:
бит/сек.
Расчет максимальной энтропии
осуществляется по формуле:
дв.ед./отсчет
Расчет избыточности
производим по формуле:

![]() |
Таблица 3.
Таблица 4.
п.6. Расчет характеристик кодера.
Закодируем значения L-ичного дискретного сигнала ![]()
Двоичным безизбыточным примитивным кодом
.
Выпишем все кодовые комбинации (таблица 5.):
| 0 |
0 |
0 |
| 0 |
0 |
1 |
| 0 |
1 |
0 |
| 0 |
1 |
1 |
| 1 |
0 |
0 |
| 1 |
0 |
1 |
| 1 |
1 |
0 |
| 1 |
1 |
1 |
Таблица 5.
Пользуясь формулой
, где ![]()
Рассчитаем кодовые расстояния и сведем их в таблицу 6, где n-номер строки, а m-номер столбца.
| 0 |
1 |
1 |
2 |
1 |
2 |
2 |
3 |
| 1 |
0 |
2 |
1 |
2 |
1 |
3 |
2 |
| 1 |
2 |
0 |
1 |
2 |
3 |
1 |
2 |
| 2 |
1 |
1 |
0 |
3 |
2 |
2 |
1 |
| 1 |
2 |
2 |
3 |
0 |
1 |
1 |
2 |
| 2 |
1 |
3 |
2 |
1 |
0 |
2 |
1 |
| 2 |
3 |
1 |
2 |
1 |
2 |
0 |
1 |
| 3 |
2 |
2 |
1 |
2 |
1 |
1 |
0 |
Таблица 6.
Априорные вероятности передачи 0 и 1: ![]()
Рассчитаем начальную ширину спектра сигнала ИКМ по формуле:
, где ![]()
![]()
На рис. 7. Изображены сигналы АЦП в точках: вход АЦП, выход дискретизатора, выход квантователя, выход АЦП.
п.7. Расчет спектра сигнала дискретной модуляции.
Для передачи ИКМ сигнала по непрерывному каналу связи НКС используется гармонический переносчик.
Для ДАМ спектр рассчитывается по следующей формуле:
где
Гц.
Результаты расчетов нормированной амплитуды
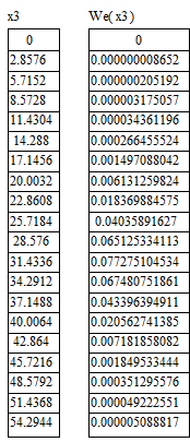
приведены в таблице 7., рис. 8.
Таблица 7.
Ширина спектра ДАМ
вычисляется следующим образом:
Гц.
п.8. Расчет параметров модулированного сигнала, передаваемого по НКС.
НКС-аддитивный гауссовский канал с ограниченной полосой частот, равной ширине спектра сигнала дискретной модуляции, и заданными спектральной плотностью мощности помехи и отношением сигнал/шум.
Определим мощность аддитивной помехи
в полосе частот сигнала по формуле:
В2
.
Рассчитаем подходящую в среднем на один двоичный символ мощность модулированного сигнала
, необходимую для обеспечения требуемого отношения сигнал/шум (
):
В2
/бит.
![]() |
Амплитуда сигнала дискретной модуляции
Определим пропускную способность с НКС:
бит/с.
Расчет характеристик непрерывного канала связи:
Рассчитаем ФПВ огибающей гауссовской помехи [ГП] по формуле:

Результаты расчета ФПВ огибающей ГП сведены в таблицу 8., по результатам расчета построен график, рис. 9.
Вычислим ФПВ мгновенных значений ГП:
![]()
Результаты расчета ФПВ мгновенных значений ГП сведены в таблицу 9., по результатам расчета построен график, рис. 10.
Вычислим ФПВ огибающей суммы ГП и сигнала по формуле:
![]()
Результаты расчета ФПВ огибающей суммы сведены в таблицу 10., по результатам расчета построен график, рис. 11.
ФПВ мгновенных значений суммы сигнала и ГП определяется формулой:

График ФПВ мгновенных значений суммы сигнала и ГП построен для ОСШ
на рис. 12.
![]() |
![]() |
![]() |
Таблица 8. Таблица 10.
Таблица 9.
Структурная схема приемника сигналов ДАМ.
Структурная схема приемника ДАМ – НП приведена на рис. 13.
Принятый сигнал поступает на ПФ, где производиться начальная селекция. При некогерентном приеме в ПРУ используется некогерентный детектор, представляющий собой нелинейный преобразователь и ФНЧ. Отклик некогерентного детектора не зависит от фазы входного сигнала. В результате перемножения на выходе некогерентного детектора присутствует модулирующий сигнал.
Далее НЧ-сигнал поступает на дискретизатор, к которому подводятся стробирующие импульсы, что позволяет выделить дискретные отсчеты в определенные моменты времени. Для опознавания переданных двоичных символов на выход дискретизатора подключается решающее устройство, на выходе которого присутствует принятая кодовая комбинация.
Под действием помех в канале связи РУ может принимать ошибочные решения.
п.9. Расчет характеристик ДКС.
Определим вероятность ошибки
в двоичном симметричном ДКС при данном способе приема:

![]() |
Скорость передачи информации
Вычислим показатель эффективности Э передачи сигнала дискретной модуляции по НКС:

п.10. Расчет распределения вероятностей на выходе декодера L-ичного ДКС.
Для расчета необходимо вычислить условное распределение вероятностей в L-ичном ДКС
. Пользуясь данными из таблицы 3 и таблицы 5, вычислим
по формуле:
![]()
Результаты расчета
сведены в таблице 11, где n-номер строки, а m-номер столбца.
| 0.985075 |
0.004901 |
0.004901 |
0.000024 |
0.004901 |
0.000024 |
0.000024 |
0.000000 |
| 0.004901 |
0.985075 |
0.000024 |
0.004901 |
0.000024 |
0.004901 |
0.000000 |
0.000024 |
| 0.004901 |
0.000024 |
0.985075 |
0.004901 |
0.000024 |
0.000000 |
0.004901 |
0.000024 |
| 0.000024 |
0.004901 |
0.004901 |
0.985075 |
0.000000 |
0.000024 |
0.000024 |
0.004901 |
| 0.004901 |
0.000024 |
0.000024 |
0.000000 |
0.985075 |
0.004901 |
0.004901 |
0.000024 |
| 0.000024 |
0.004901 |
0.000000 |
0.000024 |
0.004901 |
0.985075 |
0.000024 |
0.004901 |
| 0.000024 |
0.000000 |
0.004901 |
0.000024 |
0.004901 |
0.000024 |
0.985075 |
0.004901 |
| 0.000000 |
0.000024 |
0.000024 |
0.004901 |
0.000024 |
0.004901 |
0.004901 |
0.985075 |
Таблица 11.
Вычислим распределение вероятностей
на выходе декодера, пользуясь данными из таблицы 3 и таблицы 11, по формуле:
, где ![]()
Результаты расчета
приведены в таблице 12.

Таблица 12.
По данным таблицы 12 построим график закона распределения вероятностей на выходе декодера, рис. 14.
Сравнивая графики законов распределения вероятностей отклика декодера и отклика квантователя, рис. 14 и рис. 5, соответственно, можно заметить, что закон распределения вероятностей на выходе декодера более размазан, т.к. в канале связи присутствуют помехи, влияющие на переданный сигнал. Если бы в канале помех не было, то и оба закона распределения вероятностей были бы одинаковыми.
п.11. Расчет скорости передачи информации
по L-ичному ДКС.
Расчет скорости передачи информации
по L-ичному ДКС производим по следующей формуле:
,
где
.
Подставляя вычисленное значение
из табл. 12 в формулу для
окончательно получим:
=6810.8378 бит/с
Величина относительных потерь в скорости передачи информации по L-ичному ДКС:
![]()
Расчет характеристик ЦАП.
Дисперсия случайных амплитуд импульсов шума передачи вычисляется:
![]()
Подставляя данные из таблицы 3 и таблицы 12, получаем:
В2
.
Вычислим постоянную
:

где
=1.85
Найдем СКП шума передачи:
![]()
Суммарная начальная СКП восстановления непрерывного сообщения a[t] определяется следующим образом:
В2
.
Относительная суммарная СКП восстановления сообщения равна:

На рис. 7 изображены сигналы на выходе декодера и интерполятора ЦАП, восстановленное сообщение на выходе системы связи.
![]() |
Рис. 1. Структурная схема системы связи.
![]() |
Рис. 2. АКФ.
![]() |
Рис. 3.
![]() |
Рис. 4. Характеристика квантования.
![]() |
Рис. 5. Закон распределения вероятности на выходе квантователя.
![]() |
Рис. 6. Интегральная функция распределения вероятностей на выходе квантователя.
Рис. 7. Сигналы в системе связи.
![]() |
Рис. 8. Спектр сигнала ДАМ.
![]() |
Рис. 9.
![]() |
Рис. 10.
![]() |
Рис. 11. ФПВ огибающей суммы ГП и сигнала.
![]() |
Рис. 12. ФПВ мгновенных значений суммы сигнала и ГП.
![]() |
Рис. 13. Приемник сигналов ДАМ.
![]() |
Рис. 14. Закон распределения вероятностей на выходе декодера.



















