| Похожие рефераты | Скачать .zip |
Реферат: Расчет тонкопленочного конденсатора
ПРОЕКТИРОВАНИЕ ПЛЕНОЧНЫХ КОНДЕНСАТОРОВ
В некоторых типах гибридных ИМС наряду с резисторами наиболее распространенными пассивными элементами являются пленочные конденсаторы, которые во многом определяют схемотехнические и эксплуатационные характеристики ИМС. Так, качество и надежность большинства линейных гибридных ИМС в значительной мере зависят от качества и надежности тонкопленочных конденсаторов, что определяется их конструкцией и технологией изготовления.
Конструктивно-технологические особенности и основные параметры. В гибридных ИМС применяют тонкопленочные и толстопленочные конденсаторы с простой прямоугольной (квадратной) и сложной формами (рис. 1). Пленочный конденсатор представляет собой многослойную структуру, нанесенную на диэлектрическую подложку (рис. 1, а). Для ее получения на подложку 1 последовательно наносят три слоя: проводящий 2, выполняющий роль нижней обкладки, слой диэлектрика 3 и проводящий слой 4, выполняющий роль верхней обкладки конденсатора.

в)
Рис. 1. Конструкции пленочных конденсаторов с обкладками прямоугольной формы (а) в виде пересекающихся проводников (б) и «гребенки» (в)
Пленочные конденсаторы характеризуются совокупностью следующих параметров: номинальным значением емкости С; допуском на емкость ±6С; рабочим напряжением Up; добротностью Q или тангенсом угла потерь ; сопротивлением утечки , коэффициентом остаточной поляризации , температурным коэффициентом емкости ТКС; коэффициентом старения ; диапазоном рабочих частот ; интервалом рабочих температур ; надежностью и др.
Конкретные значения этих параметров зависят от выбора используемых материалов для диэлектрика и обкладок, технологического способа формирования самой структуры и конструкции. Конструкция конденсатора должна обеспечивать воспроизводимость параметров при минимальных габаритах в процессе изготовления и совместимость изготовления с другими элементами.
Конструкция (рис. 1, а), в которой контур верхней обкладки вписывается в контур нижней обкладки, предназначена для реализации конденсаторов повышенной емкости (сотни - тысячи пикофарад). Ее особенностью является то, что несовмещение контуров обкладок не сказывается на воспроизведении емкости (для устранения погрешности из-за площади вывода верхней обкладки предусмотрены компенсаторы 5), а распространение диэлектрика за контуры обеих обкладок гарантирует надежную изоляцию обкладок при их предельном несовмещении.
Для конденсаторов небольшой емкости (десятки пикофарад) целесообразна конструкция (рис. 1, б) в виде пересекающихся проводников одинаковой ширины, разделенных слоем диэлектрика. Емкость конденсатора данной конструкции нечувствительна к смещению обкладок из-за неточности их совмещения.
Для реализации высокочастотных конденсаторов применяют гребенчатую конструкцию (рис. 1, в), в которой обкладки имеют форму гребенчатых проводников, а диэлектрик является составным типа «подложка — воздух» или «подложка — диэлектрическое покрытие».
Значение емкости пленочного конденсатора определяют по известной формуле
где — относительная диэлектрическая проницаемость диэлектрика; S—площадь перекрытия диэлектрика обкладками; d— толщина диэлектрика.
Для конденсаторов многослойной структуры, состоящей из последовательно нанесенных диэлектрических и проводящих слоев, емкость
где п — количество диэлектрических слоев.
Подобно материалу резистивной пленки слой диэлектрика, параметры и d которого определяют емкость конденсатора, с точки зрения технологичности, воспроизводимости и стабильности свойств характеризуется оптимальным отношением для каждого материала и способа его нанесения. Поэтому емкость С конденсатора удобно выражать через удельную емкость
где Co=0,0885 /d—постоянная величина для каждого материала.
Как следует из ( ), для изготовления конденсаторов с малой занимаемой площадью необходимо применять материалы, характеризующиеся максимальным значением Со, т. е. материалы с максимальной диэлектрической проницаемостью и минимальной толщиной d. Однако минимальная толщина d диэлектрического слоя даже в случае выполнения требований по технологичности и воспроизводимости ограничена значением рабочего напряжения на конденсаторе.
Известно, что электрическая прочность конденсатора определяется выражением
где — напряженность электрического пробоя диэлектрика (постоянная величина для каждого материала).
Следовательно, для обеспечения нормальной работы конденсатора необходимо, чтобы
, что возможно при соответствующем выборе толщины диэлектрика. Минимальную толщину диэлектрика определяют из выражения ( ), если :
где —коэффициент запаса, принимаемый равным 2—3 для большинства структур пленочных конденсаторов.
Поэтому рабочее напряжение конденсатора обеспечивается выбором соответствующего материала диэлектрика с определенным значением и необходимой толщиной диэлектрического слоя d.
Допуск, на номинальную емкость С определяется относительным изменением емкости С конденсатора, обусловленным производственными погрешностями и дестабилизирующими факторами из-за изменения температуры и старения материалов. В процессе изготовления пленочного конденсатора возможен разброс его удельной емкости Со и геометрических размеров обкладок. Из выражений ( ) и ( ) следует, что максимальное значение технологической погрешности емкости
где — абсолютные погрешности воспроизведения диэлектрической проницаемости, толщины диэлектрика и площади конденсатора соответственно.
Поскольку воспроизведение удельной емкости Со и площади S конденсатора достигается взаимно независимыми технологическими операциями, математическое ожидание относительного отклонения емкости и относительное среднеквадратическое отклонение емкости определяются выражениями
где — относительные и абсолютные среднеквадратические отклонения удельной емкости и площади.
Погрешность воспроизведения удельной емкости Со зависит от технологических факторов нанесения слоя диэлектрика, а погрешность воспроизведения площади S кроме технологических факторов зависит от конструкции конденсатора и формы обкладок. В общем случае
где — относительные среднеквадратические отклонения линейных размеров А и В, определяющих площадь S=AB; — коэффициент корреляционной связи между отклонениями размеров А и В.
Когда размеры А и В верхней обкладки конденсатора, площадь которой определяет его емкость, формируются в процессе одной технологической операции (рис. 1 а),
Для конструкции рис. 1 б емкость конденсатора определяется площадью перекрытия диэлектрика обеими обкладками, линейные размеры которых формируются независимо,
Следует отметить, что существенно зависит также от формы верхней обкладки конденсатора (рис. 1 , а). При
где —коэффициент формы обкладок (при квадратной форме обкладок, когда А =В и
, значение минимально).
При этом значение , вычисляемое по ( ), не должно превышать максимально допустимого, т.е.
Отсюда следует, что при выбранном из топологических соображений значении
площадь верхней обкладки
Выражение ( ) может быть использовано для определения максимального значения
исходя из обеспечения требуемой точности конденсатора:
В данном случае при заданной технологии значение определяется из формулы для полной относительной погрешности емкости ус конденсатора:
Здесь —относительная погрешность удельной емкости в условиях конкретного производства (зависит от материала и погрешности воспроизведения толщины диэлектрика);
— относительная погрешность площади (зависит от формы, площади и погрешности линейных размеров обкладок);
—относительная температурная погрешность (зависит в основном от ТКС материала диэлектрика); —относительная погрешность, обусловленная старением пленок конденсатора (зависит от материала и метода защиты).
Добротность Q пленочного конденсатора обусловлена потерями энергии в конденсаторе:
где — тангенс угла диэлектрических потерь в конденсаторе, диэлектрике, обкладках и выводах соответственно. Потери в диэлектрике обусловлены свойствами материала диэлектрика на определенной частоте f и определяются суммой миграционных и дипольно-релаксационных потерь:
где — удельное сопротивление пленки диэлектрика; — время релаксации; — значения относительной диэлектрической постоянной на высоких и низких частотах.
Тангенс угла в обкладках и выводах конденсатора
где — последовательное сопротивление обкладок; — сопротивление выводов.
В практических расчетах — справочная величина, а определяется в зависимости от конфигурации конденсатора, материала и формы обкладок.
Сопротивление утечки конденсатора обусловлено наличием тока утечки , до которого уменьшается ток в цепи при зарядке конденсатора, и определяется отношением напряжения U, приложенного к конденсатору, к значению этого тока:
где — начальный ток в зарядной цепи; — активное сопротивление зарядной цепи.
Наличие в диэлектрике конденсатора различных дефектов и неоднородность его структуры (слоистость, пористость, присутствие примесей, влаги и т. д.) обусловливает в нем определенное количество свободных зарядов, способных перемещаться под действием поля. Часть из них вызывает поляризацию диэлектрика, которая выражается коэффициентом остаточной поляризации:
где — остаточная разность потенциалов, возникающая на обкладках конденсатора после его разрядки.
Температурный коэффициент емкости ТКС характеризует отклонение емкости, обусловленное изменением температуры на величину . Его среднее значение в интервале температур аналитически определяют путем разделения левой и правой частей выражения ( ) на :
где — температурные коэффициенты обкладок конденсатора, диэлектрической проницаемости и толщины диэлектрика соответственно.
Поскольку все слои конденсатора жестко сцеплены между собой, а нижняя обкладка—с подложкой, . Так как значение ТКЛР подложек мало и ему соответствует то ТКС определяется , т. е.
Коэффициент старения определяет изменение емкости конденсатора, которое происходит вследствие деградационных явлений в пленке диэлектрика за время :
где — коэффициент старения диэлектрической проницаемости.
Современная технология позволяет получать тонкопленочные конденсаторы любой конструкции (см. рис. 1) с емкостью 100.103 пФ, допуском ±(5—20)%, , ТКС=
, добротностью Q=10—100 и . При этом форма конденсатора может быть не только прямоугольной, но и фигурной для наилучшего использования площади подложки.
РАСЧЕТ ТОНКОПЛЕНОЧНЫХ КОНДЕНСАТОРОВ.
Исходными данными для расчета тонкопленочных конденсаторов являются: номинальная емкость С,[пФ]; допуск на номинал ± С[%]; максимальное рабочее напряжение [В]; рабочая частота [Гц]; тангенс угла потерь ; диапазон рабочих температур [°С]; технологические данные и ограничения, в том числе погрешность воспроизведения удельной емкости и линейных размеров обкладок или их относительные cреднеквадратические отклонения коэффициент старения ; продолжительность работы или хранения и др.
Методика расчета
1. По заданной технологии и данным таблицы выбирают материал диэлектрика. Критериями выбора материала являются максимальные значения и минимальные значения ТКС, . Отметим, что на выбор материала диэлектрика существенно влияет область применения ИМС. Так, конденсаторы на основе ИБС и АСС, которые обладают наибольшей диэлектрической постоянной , применяют в линейных ИМС на частотах до 10 МГц, когда требуется высокая степень интеграции, повышенная стабильность параметров и надежность в эксплуатации. В ИМС частотной селекции и БИС, работающих при высоких температурах, целесообразно использование конденсаторов на основе БСС, которые обладают наименьшим ТКС и наибольшими значениями Q, в широком диапазоне частот и температур.
Конденсаторы на основе SiO и GeO, имевшие ранее широкое распространение ввиду простоты технологии, в настоящее время находят ограниченное применение из-за недостаточно высокой стабильности и надежности.
2. Из условия обеспечения электрической прочности с помощью ( ) определяют минимальную толщину диэлектрика. Значение d должно находиться в пределах 0,2—0,8 мкм.
Определяют удельную емкость конденсатора исходя из условий электрической прочности:
4. В зависимости от требуемых значений С, и С и руководствуясь рекомендациями ( ) выбирают конструкцию и форму конденсатора.
5. Определяют относительную температурную погрешность
а по ( ) — относительную погрешность обусловленную старением.
6. Используя ( ), определяют допустимую погрешность площади конденсатора при условиях
При этом
7. По конструктивно-технологическим данным на ограничение линейных размеров ( ) и выбранному значению с помощью ( ) определяют максимальное значение удельной емкости .
8. Выбирают минимальную удельную емкость из условия
которое обеспечивает заданное значение Up и требуемое значение 6С.
9. По заданному значению С; и полученному по ( ) значению Со определяют коэффициент, учитывающий краевой эффект:
10. Определяют площадь перекрытия диэлектрика обкладками конденсатора с учетом коэффициента К:
При этом, если в результате расчетов по ( ), ( ) S<0,01 см2, то необходимо выбрать другой материал диэлектрика с меньшим значением или увеличить его толщину d в возможных пределах. Если окажется, что S>2см2, то требуется выбрать другой диэлектрик с большим значением либо использовать дискретный конденсатор.
11. С учетом коэффициента определяют размеры верхней обкладки. Для обкладок квадратной формы . Полученные и округляют до значений, кратных шагу координатной сетки с учетом масштаба топологического чертежа.
12. С учетом допусков на перекрытие определяют размеры нижней обкладки
и диэлектрика
где q — размер перекрытия нижней и верхней обкладок; f — размер перекрытия нижней обкладки и диэлектрика. Для конструкции рис. 1, б .
13. Определяют занимаемую конденсатором площадь
14. По выражениям ( ), ( ), ( ) и данным табл. определяют диэлектрические потери (полученное значение не должно превышать заданного), а с помощью ( ), ( ) оценивают обеспечение электрического режима и точности конденсатора в заданных условиях эксплуатации.
При проектировании группы конденсаторов расчет начинают, как правило, с конденсатора, имеющего наименьшее значение емкости. В этом случае целесообразно пользоваться программой расчета на ЭВМ.
ЛИТЕРАТУРА:
- « Детали и узлы радиоэлектронной аппаратуры », Волгов В. А., Москва, 1977 г.
- « Микроэлектроника» , Ефимов И. Е., Козырь И. Я., Москва, 1987 г.
- « Материалы электронной техники», Пасынков В. В., Сорокин В. С., Москва, 1986 г.
- « Расчет электрорадиоэлементов» , Печерская Р. М., г. Пенза, 1994 г.
- « Технология и конструирование интегральных микросхем», Березин А. С., 1983 г.
4. МАТЕРИАЛЫ ПЛЕНОЧНЫХ КОНДЕНСАТОРОВ
ПОЛИСТИРОЛ получают из мономера стирола который представляет собой легкую бесцветную синтетическую жидкость с характерным запахом. Стирол легко полимеризуется даже при хранении на холоде. В темноте и при отсутствии катализаторов он постепенно превращается в твердую, прозрачную и бесцветную, как стекло, массу. Полистирол имеет строение

Для полистирола среднее значение п может доходить до 6000. С целью предотвращения нежелательной самопроизвольной полимеризации стирола во время хранения к нему добавляют специальные вещества, замедляющие реакцию полимеризации. Такие вещества получили название ингибиторов. Неравномерная полимеризация вызывает появление внутренних механических напряжений в материале. Поэтому в ряде случаев у изделий из полистирола намечается тенденция к постепенному образованию тончайших трещин. Чтобы предотвратить это явление и уменьшить хрупкость полистирола, к нему иногда добавляют некоторые виды синтетических каучуков.
ПОЛИТЕТРАФТОРЭТИЛЕН (ПТФЭ), выпускаемый в СССР, называют фторопластом-4 (фторлоном-4). Его получают путем полимеризации тетрафторэтилена F2C =CF2 (этилен, в молекуле которого все четыре атома водорода замещены атомами фтора). Макромолекула ПТФЭ имеет регулярное симметричное строение

Среди всех органических полимеров ПТФЭ выделяется высокой нагревостойкостью (около 300°С) и очень высокой стойкостью к действию химических реагентов. Так, на него совершенно не действуют серная, соляная, азотная и плавиковая кислоты, щелочи и т. п. Некоторое действие на него оказывают лишь расплавленные щелочные металлы и атомарный фтор при повышенных температурах. По стойкости к химически активным веществам ПТФЭ превосходит золото и платину. не горюч, не растворяется ни в одном из известных растворителей, Практически негигроскопичен и не смачивается водой и другими жидкостями.
Высокие нагревостойкость и химическую стойкость политетрафторэтилена по сравнению с углеводородами можно объяснить тем, |то атомы фтора более крупные, чем атомы водорода. Поэтому они создают сильное поле, экранирующее углеродный скелет молекулы от внешнего воздействия (рис. 7.4). Сама оболочка из атомов фтора такие проявляет инертность по отношению к внешним воздействиям из-за большой энергии связи С—F.
ПОЛИЭТИЛЕНТЕРЕФТАЛАТ (лавсан) — это термопластичный полимер, полученный из этиленгликоля и терефталевой кислоты С6Н4(СООН)2, имеющей строение
![]()
при молекулярной массе порядка 30000. Он обладает значительной механической прочностью и достаточно высокой температурой размягчения. Это — дипольный диэлектрик.
Лавсан применяют для изготовления волокон, пленок и для других целей. При повышенных температурах он быстро окисляется на воздухе, так что обработку размягченного нагревом материала производят в атмосфере нейтрального газа (азота).
ВВЕДЕНИЕ
В пленочных интегральных микросхемах элементы создаются осаждением пленок на специальные платы из диэлектрических материалов—подложки . Подложка служит механическим основанием, и, будучи диэлектриком, изолирует её элементы. На основе напыленных пленок в настоящее время изготавливаются только пассивные элементы ( резисторы и конденсаторы). Пленочные схемы, дополненные активными элементами (диодами, транзисторами, полупроводниковыми ИС) принято называть гибридными ИС (ГИС). Активные элементы в этих схемах крепятся на подложке методом навесного монтажа.
Такая технология изготовления ИС, при которой пассивные и активные элементы создаются по двум не зависимым друг от друга циклам, приводит к ряду преимуществ, которые обусловили широкое производство и использование ГИС. Гибридные ИС характеризуются простотой изготовления, малой трудоемкостью, непродолжительностью производственного цикла и в силу этого низкой стоимостью.
Многоуровневое расположение пассивных элементов и использование в качестве активных элементов полупроводниковых ИС расширяют возможности схемотехнической разработки при создании БИС.
Технология изготовления тонких и толстых пленок позволяет создавать прецизионные резисторы и конденсаторы, в силу чего гибридная технология предпочтительнее в схемах с повышенной точностью пассивных элементов.
Интегральные микросхемы, работающие в СВЧ диапазоне, также создаются по гибридной технологии. При этом исключаются трудности, связанные с изоляцией элементов толстыми диэлектрическими слоями, неизбежной, если СВЧ ИС выполняется как полупроводниковая.
МАТЕРИАЛЫ ПОДЛОЖЕК
Размеры подложек выбираются в соответствии со степенью интеграции ИС, их материалы — в соответствии с требованиями, предъявляемыми к электрическим, механическим и термическим свойствам подложек. В свою очередь эти требования обусловлены заданными параметрами пленочных элементов и выбором технологических методов нанесения пленок.
Рассмотрим требования к подложкам. Материал подложек должен иметь высокие объемное и поверхностное удельные сопротивления. Это требование вытекает из необходимости обеспечения электрической развязки между элементами. Кроме того, для большинства материалов с высоким удельным сопротивлением существует определенная взаимосвязь между сопротивлением и их стойкостью к влиянию различных веществ, в том числе из окружающей среды. Низкие диэлектрические потери снижают потери энергии вследствие поглощения в диэлектрике. Высокая теплопроводность обеспечивает отвод тепла от микросхемы и выравнивание температурного градиента по ее поверхности. Согласование коэффициентов линейного расширения подложки и осаждаемых пленок уменьшает механические напряжения в пленках и тем самым снижает вероятность появления в них микротрещин, разрывов и т.п. Высокая механическая прочность облегчает механическую обработку подложек (для получения требуемой формы и размеров и создания в них отверстий), а также предупреждает поломку подложек при сборке микросхем. Подложки должны быть достаточно термостойкими при пайке и сварке; материал подложки и структура поверхности должны обеспечивать хорошую адгезию осаждаемых пленок к подложке.
Перечисленные требования к подложкам являются общими для тонкопленочных и толстопленочных микросхем. Однако в силу значительного различия в свойствах толстых и тонких пленок и методов их нанесения параметры подложек для толсто- и тонкопленочных ИС не совпадают. Это в наибольшей степени относится к адгезии: для тонких и толстых пленок необходимая шероховатость поверхности существенно различается.
В табл. 1.1 приведены характеристики диэлектрических материалов, которые в большей или меньшей степени удовлетворяют требованиям, предъявляемым к подложкам для тонко- и толстопленочных ИС. Ниже приводится состав рассмотренных материалов.
Таблица 1.1. Характеристики подложек
| Материал диэлектрика | Удельное сопротивление, Ом *см |
Диэл. Пост. |
Диэлектрические потери на частоте 106 Гц |
Теплопроводность, кал/см*с oС |
Коэф линей. расш. 10-6 / oC |
|
Бороcиликатное стекло |
107 |
4,6 |
6,2*10-3 |
0,0027 | 3,25 |
|
Алюмоокcидная керамика типа «Поликор» |
1014 |
10,8 |
2*10-4 |
0,075—0,08 |
7,5—7,8 |
|
Кварцевое стекло |
1016 |
4 |
3,8*10-4 |
0,0036 | 0,56—0,6 |
|
Ситаллы |
1013—1014 |
6,5 |
6*10-3 |
0,005—0,009 |
. 5 |
|
Лейкосапфир |
1011 |
8,6 |
2*10-4 |
0,0055 | 5 |
Стекла представляют собой различные системы окислов. Боросиликатное стекло состоит из SiO2 (80%), В2О3 (12%) и других окислов (Na2O, K2O, Al2O3), алюмосиликатное — из SiO2 (60%), Al2O3 (20%) и других окислов (Na2O, CaO, MgO, B2O3). Стекла типов С-48-3 и С-41-1 являются бесщелочными.
Керамика — поликристаллическое вещество с зернами сложной структуры, получаемое в результате высокотемпературного отжига (спекания) порошков различных окислов. Алюмооксидная керамика типа «Поликор» состоит из Al2O3 (99,8%), B2O3 (0,1%), MgO (0,1°/о). Размер зерен — менее 40 мкм. Бериллиевая керамика содержит от 98 до 99,5% окиси бериллия ВеО.
Ситаллы — стеклокерамические материалы, получаемые в результате термообработки (кристаллизации) стекла. Большинство ситаллов характеризуется следующим составом окислов:
1) Li2O—Al2O3 —Si02 —Ti02 ; 2) RО—А12O3 — SiO2— TiO2 (RO — один из окислов СаО, MgO или ВаО).
Лейкосапфир — чистый монокристаллический окисел алюминия а-модификации.
Сравнительный анализ этих материалов позволяет сделать следующие выводы.
Стекла имеют недостаточную прочность, низкую теплопроводность, недостаточную химическую стойкость, для них характерно сильное газовыделение при нагреве. Благодаря содержанию окислов щелочных металлов возможно образование ионов этих металлов, обладающих повышенной миграцией при приложении электрического поля и обусловливающих нестабильность свойств стеклянных подложек и элементов микросхем. Повышение химической стойкости и стабильности тонкопленочных ИС обеспечивается подложками из бесщелочных стекол С-41-1 и С-48-3.
Керамика, особенно бериллиевая, имеет значительно большую теплопроводность по сравнению со стеклами. Кроме того, она обладает большей механической прочностью и лучшей химической стойкостью. Однако большие размеры зерен керамических материалов не позволяют получить удовлетворительный микрорельеф поверхности для тонкопленочных ИС. Мелкозернистая керамика с размером зерен в десятые доли микрона широко используется для подложек толстопленочных ИС. При этом наиболее удовлетворительным микрорельефом обладает керамика с 96%-ным содержанием Al2O3. Керамика с более высоким содержанием А120з, например типа «Поликор», имеет слишком гладкие поверхности, не обеспечивающие хорошей адгезии к ним толстых пленок. Полировка мелкозернистой керамики снижает микронеровности, однако вызывает существенные и трудно устранимые загрязнения ее поверхности. Поэтому такая операция не позволяет получить подложки, пригодные для тонкопленочных ИС.
Ситаллы в 2—3 раза превосходят стекла по механической прочности. Они хорошо прессуются, вытягиваются, прокатываются. Диэлектрические свойства ситаллов лучше, чем стекол, и они практически не уступают керамике.
Лейкосапфир характеризуется хорошими диэлектрическими свойствами. Однако технология его получения (обычно вытягивание монокристаллов по методу Чохральского) не позволяет получить пластины больших размеров низкой стоимости.
По совокупности диэлектрических и механических свойств, микрорельефу поверхности, стойкости к химическому воздействию наиболее приемлемыми материалами подложек для тонкопленочных микросхем 'являются ситаллы, для толстопленочных — 96%-ная алюмооксидная керамика.
МАТЕРИАЛЫ ПЛЕНОК
Тонкопленочный конденсатор имеет трехслойную структуру металл — диэлектрик — металл, расположенную на изолирующей подложке. Основными параметрами диэлектрических материалов для конденсаторов являются удельная емкость Суд =e0*e/d, определяемая диэлектрической постоянной вое и толщиной слоя диэлектрика d, и электрическая прочность Ед.
Из-за сложности создания бездефектных пленок на большей площади максимальная площадь конденсатора ограничивается. Минимальная площадь ограничивается заданной точностью. Отсюда для обеспечения широкого диапазона емкостей возникают определенные требования к удельным емкостям. Поскольку существует предел и для минимальной толщины пленок (из-за влияния пор и дефектов в пленке диэлектрика на ее электрическую прочность), то при изготовлении тонкопленочных конденсаторов к диэлектрической постоянной материала предъявляются определенные требования. Если ограничить толщину пленки величиной 0,1 мкм, а максимальную и минимальную площади соответственно 2-Ю2 и 0,2 мм2, то для обеспечения диапазона емкостей 10—106 Ф требуются диэлектрические постоянные, примерно равные 0,5—50.
Электрическая прочность диэлектрического материала определяет напряжение пробоя Uд=Едd, а следовательно, и диапазон рабочих напряжений конденсатора. Кроме требований к удельной емкости и электрической прочности диэлектрические материалы должны обладать минимальной гигроскопичностью, высокой механической прочностью при циклических изменениях температуры, хорошей адгезией к подложкам.
Диэлектрические материалы, используемые для тонкопленочных конденсаторов, представляют собой окислы полупроводников и металлов. Из окислов полупроводников наибольшее распространение в технологии тонкопленочных ИС получили моноокись кремния SiO и моноокись германия GeO, имеющие высокие диэлектрические постоянные. Пленки двуокиси кремния SiO2 значительно реже используются в тонкопленочяой технологии, что частично связано с более низкими значениями диэлектрической постоянной, а также с невозможностью использовать для их осаждения метод вакуумного термического испарения.
Среди окислов металлов наибольший интерес представляют окислы тугоплавких металлов, такие как Ta2O5, TiO2, HfO2 , Nb2O5. Эти материалы по сравнению с другими окислами обладают наиболее высокими значениями диэлектрической постоянной. Наиболее отработана технология изготовления пленок пятиокиси тантала. Интерес к пленкам тантала и его окисла объясняется возможностью изготовления резисторов и конденсаторов с использованием только этого материала и одних и тех же технологических методов создания, а именно ионно-плазменного распыления и электролитического анодированпя.
Свойства материалов, наиболее широко используемых для создания тонкопленочных конденсаторов, представлены в табл.1.2
Таблица 1.2. Параметры материалов, применяемых для изготовления тонкопленочных конденсаторов
|
Материал диэлектрической пленки |
Диэлект. Постоян. |
Тангенс угла диэл. потерь на частоте 103 Гц |
Удельная емкость, пФ/см2 |
Диэл. прочн. Е*10-6 В/см |
ТКЕ*104 1/0С |
Материал обкладок; удельное сопро. слоя, ом/а |
|
Моноокись кремния |
5—6 |
0.01-0.02 |
0.5*104 |
2—3 |
2 |
Алюмин. 0.2 |
|
Моноокись германия |
11—12 |
0,005 |
104 |
1 |
3 |
|
| Пятиокисьтантала | 23 |
0,02 |
0,6* 105 |
2 |
4 |
Тантал 1-10 |
Тонкопленочные проводники в микросхемах служат для соединения пассивных тонкопленочных элементов и создания контактных площадок для присоединения активных навесных элементов и внешних .выводов. Тонкопленочные проводящие материалы должны обладать высокой электропроводностью, хорошей адгезией к 'подложке, способностью к сварке или пайке, химической инертностью.
Материалами с высокой электропроводностью являются золото, серебро, алюминий, медь. Однако пленки этих металлов не удовлетворяют всей перечисленной совокупности свойств. Так, эти металлы, особенно благородные, имеют плохую адгезию к подложке, алюминиевые пленки плохо поддаются пайке и сварке (для присоединения навесных элементов и внешних выводов), медь легко окисляется. Поэтому для получения тонкопленочных проводников используются многослойные композиции. Эти композиции включают подслой из материала, обеспечивающего хорошую адгезию, слой из материала с высокой электропроводностью и покрытие из химически инертного материала с хорошей способностью к сварке или пайке.
5. ПРИМЕР РАСЧЕТА ТОНКОПЛЕНОЧНОГО КОНДЕНСАТОРА
Задание:
Определить геометрические размеры и минимальную площадь конденсатора на подложке, при следующих исходных данных : С1=100 пФ, допустимое отклонение γс=15%, Uраб=15 В,
Диапазон темпер. = -60 до 125 0С, tgδ=0,03; fмax=400 кГц; погр.восп.удел.емк. γСо=5%,
погр.стар. γСст=1%
Расчет:
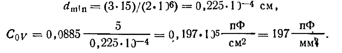
По табл. выбираем материал диэлектрика для конденсатора — моноокись кремния. Его параметры: ε=5; tgδ=0,01; Enp=2-106 В/см; ТКС=2-10-4 1/°С. Минимальную толщину диэлектрика dmin и удельную емкость Cov для обеспечения необходимой электрической прочности находим :

Температурная погрешность емкости γct==2•IO-4 x (125—20) •100=2,1%, а допустимая погрешность активной площади конденсатора γSдоп=15—5—1—2,1=6,9%.
Минимальную удельную емкость для обеспечения точности изготовления наименьшего по номиналу конденсатора:
![]()
a ΔL=0,01 мм (см. табл)
Определяем, какова должна быть удельная емкость наименьшего по номиналу конденсатора с учетом технологических возможностей изготовления по площади перекрытия обкладок и толщине диэлектрика. Задаемся Smin==l мм2. Тогда :
![]()
Таким образом, получены три значения удельной емкости:
![]()
Окончательно выбираем Со==100 пФ/мм2.
Определяем, какая толщина диэлектрика соответствует выбранной удельной емкости Со
d= 0,0885-5/ (100-102) =0,44 *10-4 см, что вполне приемлемо для тонкопленочной технологии.
Далее проводим расчет геометрических размеров конденсаторов
Отношение C1/Co ==100/100=1 мм2. Коэффициент, учитывающий краевой эффект, К= 1,3-0,06*1 =
=1,24. Площадь перекрытия обкладок S1 = 1 • 1,24=1,24 мм2; форма обкладок перекрещивающиеся полоски квадратной формы (Кф= 1),' размеры обкладок L1=B1=√1,24=1,11 мм; LН1=ВН1=1,11 мм, LД1=BД1i== 1,11+2*0,1 ==1,31 мм; площадь конденсатора по диэлектрику SД1=1,72 мм2.
Проверка расчета:

СОДЕРЖАНИЕ:
ВВЕДЕНИЕ стр.
2. ПРОЕКТИРОВАНИЕ ПЛЕНОЧНЫХ КОНДЕНСАТОРОВ стр.
3. РАСЧЕТ ТОНКОПЛЕНОЧНЫХ КОНДЕНСАТОРОВ. стр.
4. МАТЕРИАЛЫ ПОДЛОЖЕК стр.
5. МАТЕРИАЛЫ ПЛЕНОК стр.
6. ПРИМЕР РАСЧЕТА ТОНКОПЛЕНОЧНОГО КОНДЕНСАТОРА стр.
7. ПРИЛОЖЕНИЕ (Характеристики материалов пленочных конденсаторов) стр.
8. ЭСКИЗ ТОНОКОПЛЕНОЧНОГО КОНДЕНСАТОРА
Характеристики материалов пленочных конденсаторов
|
Материал диэлектрика |
Материал обкладок |
Диэлектрическая прониц. На частоте 1 кГц |
Удельная емкость |
Тангенс угла д.потерь на частоте 1 кГц | Температурный коэф. ёмкости |
Электрическая прочность Епр х 10-6 |
Стабильность В нормальных условиях Uраб, 1000 час. |
Способ нанесения пленок |
| Моноокись кремния | Алюминий | 5—6 | 5000—10000 | 0,01—0,02 | 2—3,5 | 2—3 | ± (1,5-6) |
Термическое напыление |
|
Моноокись германия |
» | 10—12 | 5000, 10000 | 0,001—0,005 | 3—5 | 1 | — 1 | То же |
| Двуокись кремния | » |
4 | 20000 |
0.5 |
2 |
5 – 10 |
Реактивное распыление |
|
| Окись алюминия |
алюминий + никель |
8 | 30000, 40000 | 0,3—1 | 3—4 | 5 |
- |
Реактивное распыление |
| Окись тантала | Тантал + ванадий | 20—23 | 50000, 10000 | 0,02 | 4 | 2 | ± 1 | То же |
|
Боросиликатн. стекло |
алюминий+ ванадий |
3,9—4,2 |
15000 | 0,001 | 0,2 | 3—5 |
Термическое напыление |
|
|
Алюмосиликат. стекло |
То же | 5,2—5,5 | 30000 | 0,003 | 1,5 | 3—5 | То же | |
| Иттрий-боритное стек. | --- | 10—12 | 60000 | 0,007 | 5 | 2—3 | » | |
| Паста ПК-12 | Паста ПП-1, ПП-2 | — | 10 000 | 0,03—0,04 |
± 10 |
Uпр > 150 В |
±5 | Сектография |
|
Паста ПК 1000-30 |
То же | — | 3700 | 0,036 | + 10 |
Uпр > 150 В |
±5 |
» |
ПЕНЗЕНСКИЙ ГОСУДАРСТВЕННЫЙ УНИВЕРСИТЕТ
Кафедра «Микроэлектроника»
КУРСОВАЯ РАБОТА
РАСЧЕТ ТОНКОПЛЕНОЧНЫХ КОНДЕНСАТОРОВ
Подготовили ст.гр.97РЮ-2:
Липелис Э.А
Принял:
Юдина Н. И.
Пенза, 1999г.
Похожие рефераты:
Производство пленок и полиэтилена низкой плотности
Безкорпусная герметизация полупроводниковых приборов
Выращивание плёнки GeSi и CaF2 на кремниевых подложках
Защитные диэлектрические пленки в планарной технологии
Конструирование конденсаторов переменной ёмкости с механическим управлением
Лекции по твердотельной электронике
Получение тонкопленочных электретов на основе фторопласта - 4 и изготовление приборов на их основе
Усилители: конструкция и эксплуатация