| Скачать .docx |
Курсовая работа: Фантазии глубокого проникновения
Владимир Смирнов
1998
Мы уже привыкли к тому, что основная задача прикладного психоанализа - разбор содержания различных произведений искусства, анализ их смыслов, как формальных, так и скрытых, анагогических. В большинстве случаев предметом исследования становится содержание литературных текстов. Мне кажется, настало время обсудить и такой способ авторского выражения, как форма текста, которая до сих пор незаслуженно оставалась в стороне. Давайте рассмотрим метрическую поэзию, как способ ритмического моделирования. Но начнем мы с совсем иной модели - с магических ритмов железных дорог.
Наши знания не настолько изощрены, чтобы пытаться искать психологическую подоплеку известных нам физических законов. Поэтому давайте рассматривать их как данность. Мы довольно безразлично принимаем тот факт, что твердые тела при нагревании расширяются, а при охлаждении - сжимаются. Но мы не можем не считаться со следствиями этого закона. Одним из них является, например, правило, что нельзя делать рельсы монолитными - зимой их просто разорвет на куски. Железная дорога имеет целый ряд физических параметров - длину рельсов, структуру их стыков, длину вагона, расположение колес, скорость поезда, и т.д. - и все они обусловлены исключительно физическими или экономическими факторами. Но в результате взаимного наложения этих факторов, при попадании колес на стыки рельсов пассажир ощущает монотонную серию толчков и покачиваний, ритм которых так сладостен и до боли знаком. Этот ритм периодических возвратно-поступательных движений есть классический фрикционный ритм. Первым это заметил Фрейд. Его отношение к поездам достойно отдельной монографии. Фрейд писал о поездах (которыми путешествовал от силы раз в год) гораздо чаще, чем обо всех остальных видах транспорта вместе взятых, включая и конный экипаж, которым он пользовался по несколько раз в день. «Тому, что происходит на железной дороге, они (дети) обыкновенно уделяют большой и загадочный интерес, и все происходящее становится у них... ядром чистой сексуальной символики»[1] - писал он. Известно, что два из трех мастурбационных периодов[2] приходится на раннее детство (до четырех лет) и впоследствии забываются. Возможно, попадание железнодорожного путешествия на период инфантильной мастурбации делает человека еще более чувствительным к волшебным ритмам поездов. Собственно, известно всего два фрикционных ритма. Грубо говоря, первый ритм это:

т.е. ритм простого коитуса, и второй:![]()
![]()
![]()
![]()

![]()
![]()
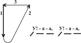
т.е. ритм манерного коитуса, с раскачиванием. А выражаясь языком возвышенным, это, соответственно, двухсложная и трехсложная стопа - два основных ритма метрической поэзии. Я не хочу ни здесь, ни далее ссылаться на какую-то конкретную технику, на какой-то рисунок из «Кама Сутры» или что-то подобное. Все эти рассуждения постижимы чисто эмпирически; поэтому удобнее рассматривать их с позиций личного опыта, а не теоретических знаний. Вернемся к ритмам железных дорог. То, что толчок (и сопровождающий его звук) на самом деле двойной, нисколько не противоречит данной схеме. Они так близки по времени, что этот «перестук» колес действительно воспринимается как один слог. Рассмотрим ощущения пассажира, сидящего в купе, т.е. в точке А (ближе к колесу 1). При попадании колеса 1 на стык рельсов S, он почувствует сильный (акцентированный, ударный) толчок и услышит громкий стук, а затем, при попадании на стык S колеса 2 - слабый (неакцентированный, безударный) толчок и тихий стук:

В результате мы получаем ритм
- самый простой фрикционный ритм, известный нам как хорей, где ударному слогу соответствует проникающее, поступательное движение, а безударному - возвратное. Для получения другого двухсложного фрикционного ритма - ямба - даже не нужно пересаживать пассажира ближе к колесу 2 - поскольку строка не имеет длины, не имеет ни начала, ни конца - из этой монотонной последовательности ударного и безударного слогов, в зависимости от настроения, можно легко выделить как хорей
, так и ямб
.
Теперь, допустим, пассажир переместился в туалет, т.е. в точку В:

Там, не отвлекаясь от своего основного занятия, он, тем не менее, почувствует: безударный толчок от колеса 3, ударный от колеса 1 и вновь безударный от колеса 2. Этот более сложный фрикционный ритм называется амфибрахием:
.
Так как железнодорожная строка не имеет длины, из бесконечной монотонной последовательности трехсложных стоп легко могут быть выделены:

Таким образом, мы получили все пять основных ритмов силлабо-тонической системы стихосложения, теоретически обоснованной Тредиаковским[3] и Ломоносовым[4] в начале восемнадцатого века. То, что все пять являются демонстративно фрикционными - это абсолютная истина. Или абсолютная чушь - в зависимости от мировоззренческой установки; во всяком случае, доказывать что-либо здесь бессмысленно. Если все сказанное выше верно, то тема поезда в его железнодорожных ритмах должна быть чрезвычайно привлекательна для поэтов. И это действительно так. Я хочу привести только один пример. У Юнны Мориц есть замечательный стих «Дайте мне вашу скуку!»[5] - ее лучшая, с моей точки зрения, вещь. Вслушайтесь в этот волшебный, возвратно-поступательный фрикционный ритм с проникновением на ударном слоге:
Поезд летит во мраке,
в Крыма полночной басме,
в звездах, в железных искрах -
в красных слезах колес.
Цепь тарахтит на баке.
Вспыхивает и гаснет
фонарь - как в кино артистка.
Ветер. Дым папирос.
Дайте мне вашу скуку,
я расскажу вам что-то
простое, как ваше детство,
таинственное, как путь.
Я вам сочиню разлуку,
тревогу, любовь и муку,
цель сочиню и средства,
а если как след копнуть,-
Я вам сочиню столетья
вашей чудесной жизни,
я вам сочиню размахи
таких небывалых сил,
что вырастут ваши дети,
и вы победите страхи,
и козни, и все болезни,
и вспомните - колесил
какой-то вагон по Крыму
(«Дайте мне вашу скуку!
я расскажу вам что-то,
таинственное - как путь...»)... и т.д.
Здесь мы видим также и рефрен, свидетельствующий о новом, более глобальном фрикционном цикле. Известно, что наука для описания реальности пользуется несколькими моделями, причем законы взаимодействий в них могут быть принципиально несовместимыми. Кроме описания обычного мира существуют также модели микромира элементарных частиц и макромира астрофизики. И в стихотворении Мориц рефрен, как показатель фрикционности цикличного осознания (т.е. вторичного психического процесса), присутствует на фоне силлабо-тонического микроритма колес, по частоте более соответствующего первичным процессам. Макроритма более высокого уровня здесь нет; для его выявления необходимо и произведение соизмеримого масштаба. В железнодорожной поэме Венедикта Ерофеева «Москва-Петушки» поверх фрикционного микроритма колес, поверх всей канвы осознанно воспринимаемого чередования станций и перегонов, мы можем видеть этот глобальный ритм макрофрикции, судорожный поступательно-возвратный рывок из Москвы в Петушки и обратно. Но вернемся к стихотворению Мориц. В этой великолепной вещи есть действительно гениальная строка, в истинно аналитическом смысле доводящая до осознания навязчивый ритм движения поезда, как ритм стихотворных размеров:
...Колеса перебегали
с дактиля на хорей.
И это не поэтическая метафора; они действительно перебегают

Поймите меня правильно. «Дайте мне вашу скуку!» - действительно мой любимый стих у Мориц. Но аналитическое исследование по форме почти неотличимо от издевательства. Из рассмотренных выше схем видно, что «с дактиля на хорей» ритм переходит при возвращении в купе из туалета. Вот как это звучит в полном контексте:

И то, что казалось пусто-
словием, звонством, бредом,
уже расцветало густо
и требовало скорей
жизнь удлинить - до хруста!
смириться с ее расцветом.
...Колеса перебегали
с дактиля на хорей.
Таким образом, железнодорожное путешествие кроме канвы видимых событий имеет также неосознаваемую, но чрезвычайно действенную сексуальную подоснову. Но железная дорога здесь - лишь ритмическая иллюстрация поэзии. Это наша метрическая поэзия имеет фрикционный силлабо-тонический ритм, ритм внедрения, удара, причем удара с размаха, с разбега. Безударные слоги в этом ритме соответствуют размаху, а ударные - внедрению. Это очень понятно и узнаваемо. Но существует и другой ритм коитуса - оргазмический, в котором остаются лишь толчки внедрения, а на размах, разбег, уже не хватает ни времени, ни желания. Если фрикционную фазу коитуса можно уподобить ритмическим ударам в стену, то оргазмическая будет выглядеть как толчки в стену, т.е. ритмичность пространственных перемещений в ней отсутствует. Можно сказать, что толчок - вырожденная форма удара, в котором пространственное перемещение сведено к нулю. Тогда оргазм есть ритмически вырожденная форма фрикционного коитуса. Таким образом, я рассматриваю здесь мужское восприятие коитуса как разделенное на две фазы - фрикционную и оргазмическую (фазу глубокого проникновения), различаемые по ритмичности пространственных перемещений. Более привычна известная схема Льва Щеглова. Это график зависимости изменения величины возбуждения при коитусе от времени:

Фаза возбуждения (I), фаза предоргазма (II), оргазм (III), и фаза разрешения или фаза обратных реакций (IV). Я разделяю коитус на фазы совсем по иному принципу. Меня интересует здесь не изменения величины возбуждения, а изменения в ритмичности процесса. Хотя, естественно, ритмичность проявляется не только пространственно, но и энергетически. Это можно видеть при более детальном рассмотрении схемы Щеглова:

Поступательному движению здесь соответствует нарастание возбуждения, а возвратному - частичный спад. В фазе глубокого проникновения идет общий спад возбуждения с естественными просадками при каждой эякуляции:

Мы видим, что оргазм (как и толчки в стену), при отсутствии ритма пространственных перемещений, все же обладает скрытым внутренним ритмом. Но вернемся к поэзии, как ритмической модели коитуса. Оргазму, как ритмически вырожденной форме коитуса, должна соответствовать ритмически вырожденная форма поэзии - поэзия без ритма. Но это абсурд, ведь поэзия по определению есть ритмическая речь. Мы имеем здесь парадокс, который разрешается довольно неожиданным образом. Действительно, метрическая поэзия может ритмически моделировать лишь фрикционную фазу коитуса. Ритмической модели оргазма в поэзии должен соответствовать совершенно иной, не метрический ритм, в котором все слоги - ударные. Это кажется невозможным; но, тем не менее, существуют по крайней мере три способа технически осуществить этот ритм.
Первый способ наиболее очевиден: если после каждого слога поставить восклицательный знак, то каждый слог неминуемо станет ударным.
Сгинь -
стар.
В пух,
в прах.
Бей -
бар!
Трах!
Тах!
…
Жир
ёжь
Страх
плах!
Трах!
Тах!
Трах!
Тах![6]
Важно подчеркнуть, что и здесь, и в других способах, новый ритм глубокого проникновения как бы накладывается на обычный фрикционный ритм, в данном случае - на хорей. Все три способа в итоге сводятся к разрыву двухсложной или трехсложной стопы обычного метрического ритма на отдельные слоги, в обособлении каждого слога с помощью цезуры, паузы. Эта пауза может отображаться различными знаками препинания, переходом на новую строку, а также задаваться связью созвучий. Но ритм глубокого проникновения всегда наложен на фрикционный ритм; и поэтому разрушение старого ритма не всегда самоочевидно. Использование же восклицательных знаков делает все слоги неопровержимо ударными.
Второй способ заключается в разделении слогов другими знаками препинания. Чаще всего для этого используются тире или дефис. Вспомните знаменитую «Пыль» Киплинга:
Брось-брось-брось-брось - видеть то, что впереди.
(Пыль-пыль-пыль-пыль - от шагающих сапог!)
Все-все-все-все - от нее сойдут с ума,
И отпуска нет на войне![7]
И здесь пыль-пыль-пыль-пыль накладывается на обычный фрикционный ритм, но заметьте - она одинаково легко накладывается и на ямб, и на хорей. Строгая метрическая решетка стиха уже разрушена. Выбирайте сами - когда вам приятней делать поступательный рывок, а когда - возвратный:
День-ночь-день-ночь - мы идем по Африке.
День-ночь-день-ночь - все по той же Африке...[8]
Технически восклицательный знак, тире, дефис, многоточие могут использоваться как для звукового ритмического разделения односложных слов в строке, так и для разделения слогов в многосложных словах. Прочие же знаки препинания обычно используются только для разделения односложных слов.
Третий, наиболее изощренный способ состоит в сведении стихотворной строки к одному слогу, который, естественно, становится ударным. Иными словами, здесь все слоги рифмуются между собой (что не отменяет фрикционного ритма, на который они наложены). В качестве примера можно привести «Северное сияние» Николая Асеева:
Бег
тех,
чей
смех,
вей,
рей,
сей
снег!
Тронь струн
винтики,
в ночь лун,
синь, теки,
в день дунь,
даль, дым,
по льду
скальды![9]
Или его «Черный принц»:
Слишком угрюмо
выл
вал...
Буйный у трюма
был
бал...
Море на части
рвал
шквал...
Как удержать
фал?[10]
Он звучит менее убедительно, но зато последний (и, конечно, ударный!) слог этой строфы - фал - для нашего фаллоориентированного мышления просто подарок. Не как доказательство, но как превосходная иллюстрация всего изложенного. У меня есть и более убедительные примеры, но я счел правильным привести здесь именно Асеева - как пионера этого ритма. Мне кажется, что именно его «Звенчаль» в 1914 году внесла в русскую поэзию ритм фантазий глубокого проникновения:
Тулумбасы, бей, бей!
Запороги, гей, гей!
Запороги-вороги -
Головы не дороги.[11]
Полностью состоит из односложных рифмованных слов «Сонет» Сельвинского. Фрагментами односложное рифмование встречается в таких известных вещах, как «Кем быть?» Владимира Маяковского, «Поэма о роботе» Семена Кирсанова, «Лед-69» Андрея Вознесенского и многих других. Причем часто разбиение строки на слоги подчеркивается комбинированным использованием сразу нескольких из перечисленных приемов. Например, в хрестоматийном «Кем быть?» Маяковского для этого используется и посложное рифмование, и дефис, и перенос на следующую строку:
Там -
дым,
Здесь -
гром.
Гро-
мим
весь
дом.
…
Е-
дем,
ду-
дим:
«С пу-
ти
уй-
ди!»[12]
В поэме «Лёд-69» Вознесенский в трех строчках применил для разделения односложных рифмованных слов пять различных знаков препинания:
Класс!
В глаз. В рот. Пас. Бьёт! Гол!! Спас!!! Ас. Ась?
Финт. Счёт? Вбит. В лёд.[13]
Но особенно любопытно, что тот же способ встречается и в «женской» поэзии, в частности в «Крысолове» Марины Цветаевой:
Смол
Гул.
Вол.
Мул.
...
Де-вы
Ган-га!
Древо
Манго! [14]
Поскольку мы говорили исключительно о мужском восприятии коитуса, стоит, наверно, просто воздержаться от каких-либо комментариев. Но в любом случае, для нас чрезвычайно значимо, что вне зависимости от обуславливающей причины, аналогичный (по частоте) ритм обеспечивается аналогичным техническим приемом.
Все приведенные отрывки - примеры чрезвычайно изощренного, элитарного жанра. Но у общечеловеческого оргазмического ритма есть, разумеется, и истинно народный поэтический аналог. Известно, что дети (за редким исключением) стихов не пишут и не читают. Они их слушают или декламируют - с разной степенью насилия над собой. Но есть жанр поэзии, который дети проговаривают чаще всего, совершенно спонтанно и без всякого принуждения. Это известные всем детские считалки. Их радостно декламируют даже те дети, которые никогда не сталкивались с другими формами поэзии. Но считалки - классический пример ритма глубокого проникновения, где ударность каждого слога подчеркивается символически-ударным движением руки в сторону считаемого. Поскольку это устный жанр, то все, что я писал выше о знаках препинания в авторской поэзии - здесь только вопрос формы записи. Считалку можно записать с восклицательными знаками после каждого слога, можно разделить слоги дефисом или тире, а можно записывать по одному слогу в каждой строке. Но куда эффектнее толкать руку в такт ударному ритму глубокого проникновения:
А - ты, ба - ты, шли сол - да - ты ...
Действительно, ритмы особо изощренных, эксклюзивных форм элитарной поэзии, по сути, повторяют ритмы самого распространенного детского фольклора. И в этом нет ничего удивительного. Фрейд как-то писал, что длительный голод делает очень похожими совершенно разных людей. Мне кажется, людей уравнивает любое непосредственное переживание проявлений инстинктов, таких как страх, боль или тот же оргазм.
Искусство, как известно, прекрасно совмещается с психоанализом - но только не в одном человеке. За последние шесть лет я написал всего три небольших стиха, объединенных общим заглавием «Коллекция фаллических символов». Один из них называется «Меч». Названия уже говорят сами за себя. Фаллическая символика своего Меча и чужих перочинных ножичков совершенно открыта, т.е. или была ясна изначально, или осознавалась сразу же в момент написания. Соответствующий мечу набор понятий - борьба, раскрытие, проникновение, победа, триумф - тоже совершенно банальный и не заслуживает особого внимания. Но! где-то через два года после написания этой вещи я стал читать словарь Райкрофта и неожиданно открыл для себя, что «вагина» дословно переводится как «ножны». Я в ужасе перечитал «Меч». Слово «ножны» встречается там до неприличия часто, но его абсолютно очевидный вагинальный символизм был прежде совершенно скрыт от меня. Ножнам в стихотворении тоже соответствует определенный набор понятий. Попробуйте сейчас сосредоточиться именно на них:
День уходит, и трубы трубят отбой,
но иная песнь встаёт из глубин бездонных.
Я - стальной клинок, выкованный судьбой,
на меня упала тень от её ладони.
Я вершу свой путь, и воля моя крепка,
разрезаю ветер, и песня моя легка мне,
я свободен пока
не ляжет её рука
на резной эфес, украшенный чёрным камнем.
Вспыхнет солнце и выбелит сталь клинка,
я несу в себе отраженья земли и моря,
моя жизнь - как лезвие, цель моя - рассекать,
и раскрывать, и выпускать радость и горе.
Ведь глагол - лишь слово, а меч - не меньше чем меч,
отворяет меч, а глагол смиряет с потерей
той субстанции, что должна воспарять и течь
в небо из рассечённых вен и артерий.
Жизнь, как ветер, можно грудью встречать,
но безопасней за ней наблюдать из окон,
в ножнах хоронят ножи, но это не для меча -
я их сбросил, как бабочка мёртвый кокон!
Ножны ржавеют, но меч горит на ветру,
на зеркальном лезвии нет коричневых пятен,
тайна жизни моей - узор светящихся рун
на клинке, но мне их смысл непонятен.
Жизнь звенит и сверкает в шальном полёте меча,
манит сладкая смерть в ножен тихую пристань,
- как упоителен этот удар с плеча,
воздух и липкий сон рассёкший со свистом!
Я очерчу магический круг взмахом клинка
и четыре луча впишу вязью стальною,
и запылают руны, и ляжет судьбы рука
на эфес, и легенда придёт за мною.
Вот такой характерный набор: хоронят, мертвый, ржавеют, коричневые пятна, смерть. Я к тому времени уже прекрасно знал эти классические признаки вагинальной тревожности, боязни вагины; только мне и в голову не приходило соотнести их с собой. Это милое открытие было для меня, как удар мордой о стол. Я всегда считал инсайт чем-то более возвышенным и приятным. Но это все-таки был инсайт; я вспомнил много забытых вещей, не самых приятных для меня. С тех пор я стал очень серьезно относиться к своим ранним стихам. И обдумывая ритмы фантазий глубокого проникновения, я вспомнил, что у меня тоже есть бредовая поэмка с весьма интересным названием - «Считалочка».
Это был примерно 1979-1980-й год - звездный час «Сайгона». Богемная общность уже давно сформировалась, имела свою историю, свои обычаи, своих героев и свой кодекс чести. Но еще не было ни «Клуба-81», ни «Товарищества экспериментального изобразительного искусства». В то славное время у меня был друг, поэт Сергей Гоголь. Однажды он сказал мне, что хочет иметь реальное подтверждение своего поэтического мастерства и будет писать венок сонетов. Я стал спорить с ним (мы тогда постоянно спорили), утверждая, что степень мастерства обратно пропорциональна длине строки, и если он хочет создать нечто манерное, он должен срифмовать каждое слово, а лучше - каждый слог. Как обычно, в нашем споре каждый остался при своем - Сергей пошел писать венок сонетов, а я - «Считалочку».
Как это ни грустно, но нагнетание изощренности мастерства всегда понижает степень осмысленности текста. Я выбрал самый простой выход из этой ситуации - перенес действие в психиатрическую больницу и вложил тексты в уста пациентов. Сюжет поэмы крайне прост. Пятеро пациентов играют в детскую игру. Они считаются, «гонят по кругу» считалку. Вылетевший прыгает с балкона и разбивается вдребезги, т.е. «вылетает» в самом буквальном смысле. Оставшиеся снова считаются, и так далее - до последнего. В то время я, естественно, и думать не мог о каких-то там бессознательных сексуальных фантазиях. Односложные рифмы привлекали меня тем, что размещая их в разных местах на листе, можно было получать зрительные формы изопоэзии. Но то, что я тогда ничего не осознавал, и делает этот материал таким ценным для меня. Итак, вначале пациентов пятеро, и считалка, соответственно, имеет форму пентагона:

Пе- рей- ди мне путь!
впе- ре- ди нет пут,
по- за- ди псих сел -
под за- ды их всех!
пе- рей- ди мне жизнь,
впе- ре- ди нет лжи,
толь- ко смерть, да в снах
столь- ко мест для нас.
Ра- зор- ви мой рот!
ра- зум вынь, мозг - в кровь!
сор- ван- но хра- пя -
всё рав- но рас- пят.
Трав- лен- ный зверь мой!
Прав ли? - Мы - дерь- мо.
Постепенно игроков становится все меньше, и появляется другая фигура - треугольник:

Па- даль, сник?
Дом вы- сок,
- Па- дай вниз -
льдом в ви- сок!
Снег бел; сам
вый- дешь ты
в не- бе- са
с вы- со- ты,
сквозь стек- ло,
за кар- низ,
скос стен в лоб,
кос- тей лом,
в за- кат, вниз!!!
Вот так методично, друг за другом, они сыплются из окна. Это расходится с нормальной целью считалки. Обычно ее используют для выделения из группы детей одного (неудачника), который затем будет «водить». Здесь же принцип игры напоминает не менее распространенный алгоритм, который называется «игра на вылет». Каждая итерация игры на вылет отделяет от группы очередного неудачника, пока не останется один игрок - самый крутой. Он и будет победителем. Но в данной игре победителя нет. Оперативно, друг за другом, умирают все. Круг замыкается. Змея пожирает самоё себя. Нет в жизни счастья. Или еще точнее - нет в сексе счастья, даже при самой радикальной смене фрикционного ритма. Потому что наше сексуальное желание порой бывает так огромно, что не может существовать в мире блаженства, достойного его.
Вернемся к метрической поэзии, ритмически моделирующей фрикционную фазу коитуса. Мы знаем, что представляет собой эта фаза в смысле либидной энергетики. Это VORLUST, предварительное наслаждение, ведущее в итоге к оргазму, конечному наслаждению (ENDLUST). Фрикционная фаза здесь характеризуется постоянным увеличением возбуждения, т.е. увеличением количества раздражения, увеличением неудовлетворенности. Поэзия и была метрической именно потому, что ее интересовала фрикционная фаза коитуса, а не оргазм. Ведь творчество - это форма сублимации, т.е. попытка удовлетворения неудовлетворенного, а оргазм удовлетворял полностью, до эйфории, и потому не нуждался ни в какой сублимации. Но мир испортился. Вы знаете - мир раскололся, и трещина прошла по гениталиям поэта. Оргазм перестал приносить полное удовлетворение - адекватное желанию - и попал в сферу действия поэзии. Сублимацией его неудовлетворенных остатков и стала вырожденная форма поэзии - ритмы фантазий глубокого проникновения.
Еще Фрейд заметил, насколько убога наша способность получать сексуальное наслаждение, и связал это с искусственными задержками сексуальной жизни. Он считал, что эти задержки обусловлены культурными запретами, и он, как всегда, был прав. Но существует еще один, не менее важный фактор. Это естественный запрет латентного периода - незрелость генитального аппарата, его неспособность заниматься сексом при наличии активного, требующего удовлетворения желания. Собственно раскол между силой желания и слабостью наслаждения от его удовлетворения произошел гораздо раньше, в доэдипальный период, но в латенте эта трещина превращается в пропасть, которую человек обречен нести в себе всю жизнь. Анна Фрейд была уверена, что стоит ребенку испытать полное инфантильно-перверсное удовлетворение - и он уже не в силах будет от него отказаться. Сформируется точка фиксации со всеми вытекающими отсюда последствиями. Поэтому надо мучить маленького человечка, формировать у него стыд, чувство вины и прочие реактивные образования, мешающие ему получать полноценное удовольствие от исполнения своих желаний. Необходимо расколоть его желания и наслаждения, и получить из прекрасного маленького нарцисса замороченного несчастного человека, такого же, как мы с вами. Такова цена цивилизации - пропасть между желанием и наслаждением. В тщетной надежде свести края пропасти мы форсируем фрикционный ритм, сводя его к оргазмическому ритму глубокого проникновения.
Дети легко сочиняют[15] считалки. Взрослый поэт может придти к этому только вдоволь наигравшись фрикционными ритмами. Но в любом случае - эта попытка заранее обречена. В «Понедельнике» Стругацких описан «кадавр, неудовлетворенный желудочно». Он все время испытывает голод, и вынужден постоянно жрать - пока не лопнет. Мы - кадавры, неудовлетворенные генитально, с той лишь разницей, что в нас встроен определенный природный ограничитель. Но он ограничивает только сексуальную деятельность - не ограничивая при этом сексуальные желания! Именно в этом наша трагедия.
О том, что ритмическая поэзия символически отображает коитус, человечество знало практически изначально; может быть, и сама поэзия появилась как средство озвучивания сексуального ритуала. Стоит вспомнить работу Юнга «Перемещение либидо как источник творчества», которая посвящена сексуальной символике добывания огня трением. В индийском варианте этого ритуала трут мужским деревом, олицетворяющим фаллос, о женское, олицетворяющее вульву, со словами: «Я тру тебя в ритме гаятри», «Я тру тебя в ритме триштубх», «Я тру тебя в ритме джагати».[16] Гаятри, триштубх и джагати - ведийские стихотворные размеры. По-русски это звучало бы примерно так: совокуплюсь с тобой ямбом, совокуплюсь хореем, совокуплюсь дактилем и амфибрахием. Для народа с такой культурной традицией источник происхождения метрических стихотворных ритмов очевиден. Но вырожденного односложного размера не знала ни одна древняя литература.
Может возникнуть вопрос, почему я свел всё к фрикционным ритмам коитуса - ведь существует множество иных ритмов, созвучных поэзии. Вознесенский, например, утверждал: «я пишу стихи ногами»,[17] выводя ритмику стиха из ритмичности шагов. Но это лишь образное выражение; в ногах нет души - по той же самой причине она не может уйти в пятки. Я не столь категоричен, и не хочу никого убедить, что поэты пишут именно той частью тела, символом которой является как раз нога. Но для меня очевидно, что шаги по лестнице отнюдь не первоисточник поэтического ритма - в сновиденьях они сами есть символ ритмических фрикций. При желании любой ритм можно свести к созвучному, природа очень гармонична. И на первый взгляд все ритмы равноценны; а социальные табу склоняют поэта к поиску источников поэзии в несексуальных ритмах. Но вопрос здесь вовсе не в том, какой из ритмов «ритмичнее». Суть в том, что именно в коитусе человек так безмерно жаждет получить полное, соответствующее силе желания наслаждение, и именно в коитусе он его не получает. Все виды сублимационной деятельности призваны снимать напряжение именно сексуального недонаслаждения, сексуальной неудовлетворенности, ибо никакое другое желание не оставляет столь жгучего, невыносимого недонаслаждения.
Среди ритмов, претендующих на поэтическое первородство, особо выделяются ранние ритмы сосания. Тем более, что и сам Фрейд писал: «Необходимость связывать поездку по железной дороге с сексуальностью исходит, очевидно, из сосательного характера двигательных ощущений».[18] Такой подход также правомерен, но, рассмотрев его, мы придем к аналогичному (в ритмическом смысле) результату. Любая прегенитальная эрогенная зона не может дать простого удовлетворения типа «почеши - пройдет». Отделение сексуальной деятельности сосания от функции питания и породило первый глобальный раскол между желанием и наслаждением. С точки зрения либидной энергетики сосание - пример принципиально неудовлетворяемой сексуальной деятельности, некоей «дурной бесконечности». Оно как соленая вода - «чем больше пьешь, тем больше хочется»; и прекращается оно не от удовлетворения, а от усталости. Я могу проиллюстрировать это следующей притчей.
Один психоаналитически ориентированный муравей, адепт инстинкт-теории, решил как-то просветить своего друга - слона.
- Ты знаешь, что такое кайф? Кайф - это особое раздражение орально-анальной зоны.
- Как это? - не понял слон.
- Давай я залезу тебе в хобот, а вылезу через анус - вот это и будет кайф.
- Давай, - согласился слон.
Муравей пролез сквозь слона и спрашивает:
- Ну как?
- О-о-о... кайф... А еще раз можешь?
- Могу, - сказал муравей и опять залез в хобот. А слон тут же засунул хобот себе в анус:
- О-о-о... вечный кайф...
Наша сексуальная организация сложилась так, что мы все прегенитальные удовольствия свели к vorlust, к предварительному наслаждению. А его, в отличие от конечного наслаждения, можно удовлетворить разве что в бесконечности. Но рассмотрим все же типичного орала, каковым является алкоголик. Трудно представить его, сосущего бутылку водки и причмокивающего, как младенец. Это мы пьем, ритмически сглатывая. А он вливает в себя водку винтом - т.е. одним глотком, залпом. Таков его ритм глубокого проникновения. Эта попытка менее достойна - но так же нерезультативна, как и наша. Мы объединили инфантильные влечения под приматом генитальности; мы прорвались к оргазму - высшему наслаждению в жизни. Но как-то язык не поворачивается назвать это наслаждение «конечным». Потому что мы безнадежно расщеплены - нас раскололи еще до того, как мы стали осознавать себя. И наша регрессирующая способность наслаждаться совершенно неадекватна нашей здоровой способности желать.
[1] З. Фрейд «Очерки по психологии сексуальности», Минск, «Попурри», 1997, стр.74, 75.
[2] Там же, стр.62.
[3] В.Тредиаковский «Новый и краткий способ к сложению российских стихов», 1735 г.
[4] М.Ломоносов «Письмо о правилах российского стихотворчества», 1739 г.
[5] Ю.Мориц «Дайте мне вашу скуку!» в кн. Ю.Мориц «Синий огонь», Москва, «Советский писатель», 1985, стр.37-39.
[6] В.Маяковский «Хорошо», с./с. в 2 т., т.2, Москва, «Правда», 1988, стр.375, 376.
[7] Р.Киплинг «Пыль (Пехотные колонны)», в кн. Р.Киплинг «Рассказы. Стихотворения», Л., «Художественная литература», 1989, стр.322.
[8] Там же.
[9] Н.Асеев, «Северное сияние», в кн. Н.Асеев, «Библиотека поэта», Ленинград, «Советский писатель», 1967, стр.123.
[10] Н.Асеев «Черный принц», там же, стр.414.
[11] Н.Асеев «Звенчаль», там же, стр.79.
[12] В.Маяковский «Кем быть?», с./с. в 2 т., т.1, Москва, «Правда», 1988, стр.646-648.
[13] А.Вознесенский «Лёд-69», в кн. А.Вознесенский «Иверский свет», Тбилиси, «Мерани», 1984, стр.531.
[14] М.Цветаева «Крысолов», в кн. М.Цветаева «Стихи и поэмы», Вильнюс, 1988, стр.431.
[15] Может быть «сочиняют» - слишком сильно сказано. Но если ребенок забывает считалку, он легко, на ходу заменяет забытый фрагмент своими словами.
[16] См. К.Г.Юнг «Перемещение либидо как источник творчества», стр.253, в кн. «Между Эдипом и Осирисом», Львов, 1998. И далее Юнг пишет: «В этом описании сексуальная символика добывания огня не вызывает сомнений. Отмеченная здесь ритмика напоминает сексуальный ритм, сравнимый со звуковым ритмом кликов в период течки у животных» .
[17] А.Вознесенский «Путеводитель к сборнику «Дубовый лист виолончельный» в кн. «Ров», М., 1987, стр.605.
[18] З.Фрейд «Очерки по психологии сексуальности», Минск, «Попурри», 1997, стр.75.