| Скачать .docx |
Реферат: Реакции сердца у студентов разного пола и типа полушарного доминирования во время экзаменационного стресса
Реакции сердца у студентов разного пола и типа полушарного доминирования во время экзаменационного стресса
О.А. Ведясова, А.И. Лукина, Н.А. Овчаренко, В.Н. Голушков
В работе установлено, что ситуация экзамена вызывает у студентов увеличение частоты сердечных сокращений и индекса Баевского, прирост доли симпатических и ослабление парасимпатических влияний на сердце. Изменения кардиоритма и напряжение его регуляторных механизмов имеют большую выраженность у девушек и независимо от половой принадлежности доминируют в выборке правополушарных лиц (левшей). В статье обсуждается зависимость физиологической цены адаптации организма в условиях психоэмоционального напряжения во время экзаменационного стресса от гендерных различий и специфики межполушарных взаимоотношений.
Введение
На всех этапах становления современного образования всегда существовал приоритетный интерес к вопросам сохранения здоровья студенческой молодежи, поскольку обучение в вузе сопряжено со значительными умственными и эмоциональными нагрузками, которые еще более возрастают в период экзаменационной сессии. Экзаменационный стресс оказывает негативное влияние на нервную, иммунную и сердечно-сосудистую системы студентов [2; 6], причем особенно выраженные нарушения проявляются в вегетативной регуляции кровообращения. Ситуация экзамена сопряжена с повышением частоты сердечных сокращений, увеличением артериального давления в сопровождении с ростом уровня мышечного и психоэмоционального напряжения [4]. Характер этих реакций зависит от многих факторов, в частности, от индивидуальных особенностей человека, в число которых, по мнению ряда авторов [9; 11; 14], обязательно следует включать тип функциональной межполушарной асимметрии (ФМА). Данный аспект физиологии кровообращения является весьма актуальным и поэтому требует всестороннего изучения.
С учетом сказанного была определена цель нашей работы, которая заключалась в анализе влияния экзаменационного стресса на параметры кардиоритма и выявлении специфики его регуляции у студентов различного пола и типа ФМА.
Методика исследования
В экспериментальную группу вошли 40 студентов 2 курса биологического факультета Самарского государственного университета, среди которых 30 девушек и 10 юношей, в том числе 27 правшей и 13 левшей. Индивидуальный профиль ФМА испытуемых устанавливали безаппаратным способом с помощью общепринятых тестов [8].
Функциональное состояние сердца изучали методами электрокардиографии и пульсоинтервалографии. Сначала регистрировали электрокардиограмму в положении сидя на электрокардиографе ЭК12Т ”Альтон-03” во втором стандартном отведении с последующим определением частоты сердечных сокращений (ЧСС) и длительности интервалов R-R. Затем проводилась процедура пульсоинтервалографии также в позе сидя с использованием пульсоксиметра ”ЭЛ0КС-01”. Датчик-прищепка, которым оборудован прибор, надевался испытуемым на указательный палец левой руки, положение которой фиксировалось на столе четко на уровне сердца. Данным методом оценивали динамику индекса напряжения Баевского (ИБ), коэффициентов активности симпатического (СИМ) и парасимпатического (ПАР) отделов вегетативной нервной системы. Величины этих показателей определяли с помощью компьютерной программы в автоматическом режиме.
Все аппаратурные обследования каждого испытуемого проводили дважды — в ходе учебных занятий в межсессионный период и непосредственно во время экзамена. Результаты исследования обрабатывали статистически с использованием программных пакетов Microsoft Excel (7.0) и SigmaStat (3.5).
Результаты исследования и их обсуждение
В ходе исследования были установлены различия между девушками и юношами в исходных параметрах деятельности сердца, а также его реакциях и механизмах регуляции на фоне экзаменационного стресса. Например, следует указать, что в межсессионный период наибольшая ЧСС отмечалась у девушек (77 ± 1,87 уд/мин), тогда как у юношей она была в среднем на 10 уд/мин меньше. Под влиянием экзаменационного стресса у студентов обоего пола развивалась тенденция увеличения ЧСС за счет укорочения длительности кардиоинтервалов R-R. Характерно, что наблюдаемый эффект, свидетельствующий об активации адренергических влияний на сердце, у девушек оказался на 12,0 % сильнее, чем у юношей (рис. 1). Выявленные различия согласуются с представлениями о том, что механизмы симпатического контроля кровообращения в женском организме достигают дефинитивных значений на более ранних этапах развития, чем в мужском [10], что может быть одной из причин более эффективной мобилизации системы адренергической регуляции у девушек на фоне стресс-реакции.

Рис. 1. Изменение частоты сердечных сокращений и длительности интервалов R-R у студентов разного пола во время экзамена (*** — р< 0,001; парный t-тест)
Любая интенсивная нагрузка и, тем более, умственное напряжение в период экзаменационной сессии являются факторами, активизирующими неспецифический компонент стрессорной реакции [5; 9], причем форма проявления последней в значительной степени зависит от состояния механизмов регуляции [4]. В частности, поддержание констант гомеостаза на стабильном уровне обеспечивается балансом активности симпатического и парасимпатического отделов вегетативной нервной системы. Развертывание адаптационного процесса сопровождается закономерными изменениями функционирования как стволовых вегетативных механизмов, так и центральных структур более высокого ранга, включая подкорковые и корковые мотивационные и эмоциогенные области. Степень эмоциональной активности, как известно, преобладает у лиц женского пола, что также является одним из объяснений наиболее выраженного изменения кардиоритма во время экзамена именно у девушек.
Отражением гендерных особенностей функционирования этих механизмов служат существенные различия в величинах ИБ, которые проявлялись между девушками и юношами даже в исходном состоянии. Так, на фоне психического покоя наименьшие значения ИБ отмечались у девушек и составляли в среднем 76 ± 8,27 усл. ед. У юношей ИБ был на 13,1 % достоверно выше, чем у девушек. Во время экзамена у представителей обеих гендерных групп ИБ резко увеличивался, хотя у девушек это увеличение оказалось на 25,3 % больше, чем у юношей (рис. 2, а).
Приведенные выше зависимости нашли свое подтверждение при анализе изменений коэффициентов активности симпатического и парасимпатического отделов вегетативной нервной системы у юношей и девушек во время экзаменационного стресса. Как видно из рис. 2 б, у студентов обоего пола наблюдалась общая тенденция усиления симпатических и ослабления парасимпатических влияний на сердце, однако у девушек индекс СИМ менялся в большей степени, чем у юношей. Величины ПАР у тех и других уменьшались, причем практически в одинаковой степени. Биологический смысл наблюдаемых эффектов, вероятно, связан с тем, что симпатическая активность в момент экстренной мобилизации обеспечивает организму наиболее эффективный ответ как по гемодинамическим параметрам, так и по показателям умственной работы. В свою очередь, тормозящее влияние парасимпатической системы в сочетании с ее анаболизирующим действием позволяет организму более интенсивно отвечать на эмоциональный раздражитель, координируя деятельность органов и систем в соответствии с потребностями, возникающими в ситуации стресса [7; 15].

Рис. 2. Изменение уровня активности регуляторных механизмов у студентов разного пола во время экзамена:
ИБ — индекс Баевского; СИМ и ПАР — соответственно коэффициенты активации симпатического и парасимпатического отделов вегетативной нервной системы; * — p < 0,05; *** — р < 0,001 (достоверные различия внутри группы); ## — р<0,01 (достоверные различия между группами)
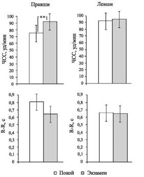
Анализ зависимости кардиотропного влияния экзаменационного стресса от типа ФМА проводился на той же выборке студентов, которые по результатам тестирования были разделены на праворуких и леворуких, причем последнюю группу составили как истинные, так и скрытые левши. Исследования показали, что ЧСС у правшей в состоянии покоя в среднем составляла 75 ± 1,78 уд/мин, тогда как у левшей она была на 17 уд/мин больше (93 ± 3,98 уд/мин). Во время экзамена в обеих группах отмечался положительный хронотропный эффект (рис. 3). Его выраженность составила у правшей 24,5 %, в результате чего ЧСС возрастала у них до 93 ± 2,99 уд/мин. У левшей же в силу изначальной тахикардии ЧСС увеличивалась только на 5,0 %, тем не менее в среднем ее уровень оказался выше чем, у правшей, и достигал 97 ± 4,66 уд/мин.
На электрокардиограммах этому эффекту соответствовало уменьшение длительности интервалов R-R. Причем, если у левшей кардиоинтервалы изменялись незначительно с 0,66 ± 0,02 с до 0,64 ± 0,04 с, то у правшей наблюдалось весьма существенное укорочение R-R интервалов в диапазоне от 0,81 ±0,01 с до 0,64 ±0,03 с, то есть на 20,4 % (рис. 3).

Рис. 3. Изменение частоты сердечных сокращений и длительности интервалов R-R у студентов с разными типами функциональной межполушарной асимметрии во время экзамена (** — р < 0,01)
Колебания кардиоритма соотносились с уровнем общего напряжения регуляторных механизмов. На это указывали изменения индекса Баевского в ходе экзамена внутри каждой группы (рис. 4, а). У правшей ИБ, составлявший в межсессионный период 72 ±8, 80 усл. ед., в процессе экзамена существенно возрастал (на 65,7 %; р <0,001), достигая 118 ± 19,24 усл. ед. Представителям группы левшей был присущ более высокий уровень напряжения регуляторных систем организма, на что указывало значение ИБ, равное 131 ± 17,94 усл. ед. даже в условиях относительного психического покоя в межсессионный период. Во время экзамена данный показатель в группе левшей увеличивался до 150 ± 30,82 усл. ед., то есть на 32 усл. ед. превышал таковой правшей.
На основании проведенных наблюдений можно утверждать, что характер вегетативной регуляции кардиоритма у студентов как в покое, так и во время эмоционального стресса в определенной мере детерминируется типом ФМА. В пользу такого заключения свидетельствуют также результаты анализа показателей активности симпатической и парасимпатической систем (рис. 4, б). В частности, для правополушарных испытуемых (левшей) во время экзамена было отмечено повышение индекса СИМ на 75,0 % (р < 0,05) с одновременным снижением показателя ПАР на 7,1 %. Что касается левополушарных студентов (правшей), то у них умственное напряжение на фоне экзаменационного стресса вызывало активацию обоих отделов вегетативной нервной системы. При этом индекс СИМ достоверно увеличивался на 37,5 %, тогда как прирост ПАР составил 15,4 %.

Рис. 4. Изменение уровня активности регуляторных механизмов сердца у студентов с разными типами функциональной межполушарной асимметрии во время экзамена (все обозначения соответствуют рис. 2)
Более выраженное напряжение регуляторных механизмов у левшей, по сравнению с праворукими сверстниками, может быть связано с дисбалансом активности и чрезмерным возбуждением гомеостазрегулирующих систем в условиях нервноэмоциональной активации [1; 12]. Возможно, к нарушению гармоничности механизмов вегетативной регуляции приводит свойственная правополушарным (леворуким) людям эмоциональная лабильность. Сложная умственная деятельность во время экзамена и высокая социальная значимость экзаменационной ситуации для большинства студентов требуют от них значительного интеллектуального и эмоционального напряжения, что сопряжено с перевозбуждением, а иногда дисфункциями систем вегетативного обеспечения. В связи с тем, что для леворуких учащихся характерна недостаточность регуляторных механизмов центральной нервной системы, вероятность возникновения сбоев вегетативного контроля у них в условиях интенсивной когнитивной деятельности может быть выше, чем у праворуких сверстников [3; 13].
Заключение
Таким образом, параметры функционирования сердца в обычных условиях и характер кардиотропных реакций у студентов во время экзаменационного стресса непосредственно зависят от гендерной принадлежности и типа ФМА. Основное гендерное различие заключается в преобладании уровня симпатических влияний на сердце у девушек как в состоянии покоя, так и особенно во время экзамена. Что касается типа ФМА, то он является наиболее значимым, чем пол, фактором, определяющим выраженность изменений работы сердца и механизмов его регулирования. С учетом результатов, полученных в настоящей работе, можно считать, что сердечно-сосудистая система у студентов с правополушарным доминированием как в условиях регламентированной нагрузки, так и в ходе экзамена характеризуется более существенным напряжением регуляторных механизмов и большей физиологической ценой адаптации к умственной деятельности, чем у лиц с доминированием левого полушария.
Список литературы
Адрианов О.С. О принципах структурно-функциональной организации мозга // Избранные научные труды. М.: ОАО ’’Стоматология”, 1999. С. 88-96.
Агличева И.В., Малыгин В.Л. Распространенность и динамика психопатологических нарушений у студентов медицинского факультета // Вестник новых медицинских технологий. 2005. Т. XII. № 3-4. С. 159-160.
Айрапетьянц В А. Нейрофизиологические и вегетативные проявления психоэмоционального напряжения у взрослых и детей // Журн. высш. нерв. деят. им. И.П. Павлова. 1977. Вып. 2. С. 414-416.
Баевский Р.М. Ритм сердца у спортсменов. М.: Физкультура и спорт, 1980. 144 с.
Баевский Р.М. Проблема оценки и прогнозирования функционального состояния организма и ее развитие в космической медицине // Усп. физиол. наук. Т. 37. № 3. C. 42-57.
Белова Е.В., Голованова Г.Б. Связь изменений вегетативных реакций с эффективностью умственной деятельности в условиях эмоционального напряжения // Физиология человека. 1982. Т. 8. № 2. С. 247-252.
Бояринцев В.П. Компенсаторные отношения между монотонией и утомлением при однообразной умственной деятельности в зависимости от свойств нервной системы и темперамента // Проблемы интегрального исследования индивидуальности: сборник статей. Пермь, 1977. С. 23-36.
Брагина Н.Н., Доброхотова Т.А. Функциональные асимметрии человека М.: Медицина, 1988. 240 с.
Ведясова О.А., Моклецова Т.В. Реакции сердечно-сосудистой системы на умственную нагрузку у людей с различной выраженностью функциональной межполушарной асимметрии // Регуляция автономных функций: сборник статей. Самара: Изд-во ’’Самарский университет”, 1998. С. 166-175.
Гаврилова И.Н. Морфофункциональные показатели студенток и их связь с функциональной межполушарной асимметрией // Адаптация биологических систем к естественным и экстремальным факторам среды: сборник тезисов. Челябинск: Челябинский гос. пед. ун-т, 2006. С. 272-274.
Ефимова В.М., Бабкина Е.В. О применении здоровьесберегающих технологий в обучении и воспитании леворуких студентов // Проблеми ф1зичного вихования i спорту. 2010. № 2. С. 49-52.
Жаворонкова Л.А. Особенности межполушарной асимметрии ЭЭГ правшей и левшей как отражение взаимодействия коры и регуляторных систем мозга // Функциональная межполушарная асимметрия: сборник статей. М.: Научный мир, 2004. С. 257-293.
Кураев Г.А., Соболева И.В. Функциональная межполушарная асимметрия мозга и проблемы валеологии // Валеология. 1996. № 2. С. 29-34.
Михайлова Н.Л., Арсланова Д.Р., Митченко И.В. Функциональная асимметрия структур мозга как принцип организации механизмов функционирования систем кровообращения и дыхания // Механизмы функционирования висцеральных систем: тезисы докладов. СПб.: Институт физиологии им. И.П. Павлова РАН, 2008. С. 142-143.
Русанов В.Б., Суворов В.В. Возрастные особенности церебральной гемодинамики школьников в условиях естественной деятельности // Новые исследования. 2002. № 2. С. 112-116.