| Похожие рефераты | Скачать .zip |
Реферат: Взаимосвязь самооценки и статусного положения в системе межличностных отношений в группе учащихся младшего подросткового возраста
Министерство общего и специального образования
Российской Федерации
Правительство Ленинградской области
Ленинградский областной государственный университет
имени А.С. Пушкина
Кафедра практической психологии
На правах рукописи
Бекленищева Татьяна Николаевна
Взаимосвязь самооценки и статусного положения в системе межличностных отношений в группе учащихся младшего подросткового возраста
Специальность: 0204400 - Психология
Выпускная квалификационная работа (диплом)
Научный руководитель: Шабанов З.Н.
Рецензент:
Екатеринбург
2000
Министерство общего и специального образования
Российской Федерации
Правительство Ленинградской области
Ленинградский областной государственный университет
имени А.С. Пушкина
Кафедра практической психологии
На правах рукописи
Бекленищева Татьяна Николаевна
Взаимосвязь самооценки и статусного положения в системе
межличностных отношений в группе учащихся младшего
подросткового возраста
Специальность: 0204400 - Психология
Выпускная квалификационная работа (диплом)
Научный руководитель: Шабанов З.Н.
Рецензент:
Оглавление
Стр.
Введение 3
Глава 1. Особенности развития межличностных взаимоотношений
и самооценки детей младшего подросткового возраста 7
Глава 2. Экспериментальное изучение межличностных
взаимоотношений и самооценки детей младшего
подросткового возраста 33
Глава 3. Практическая часть 41
Выводы и рекомендации 57
Заключение 59
Список использованной литературы 60
Приложения 62
Екатеринбург 2000
ОТЗЫВ
На дипломную работу Бекленищевой Татьяны Николаевны «Взаимосвязь самооценки и статусного положения в системе межличностных отношений в группе учащихся младшего подросткового возраста».
Дипломная работа содержит большой теоретический и практический материал по проблеме общения в подростковом возрасте. Особое внимание уделяется в работе на изучение межличностных взаимоотношений детей младшего подросткового возраста, на изучение самооценки детей данного возраста.
Делается заключение, что причины трудностей общения в подростковом возрасте часто становятся очень актуальными в школе. Часто такого рода трудности возникают из-за личностных особенностей подростков.
Работа состоит из трех глав. В первой главе подробно освещаются теоретические вопросы по проблеме межличностных взаимоотношений в младшем подростковом возрасте, даётся общая характеристика подросткового возраста, показана специфика общения, его особенностей, названы основные причины трудностей, возникающих в процессе общения. Во второй главе даётся описание методик, которые способствуют выявлению статусного положения подростка в системе межличностных взаимоотношений, определению уровня самооценки. В третьей главе описывается исследование проведенное на базе средней школы № 96 г. Екатеринбурга. В работе делается заключение, что самооценка зависит от статусного положения подростка в группе.
Дипломная работа имеет практическое значение для работы школьного психолога, классных руководителей. Проблемы общения, которые затрагивает автор дипломной работы, являются актуальными, особенно в условиях современной школы.
Данная дипломная работа заслуживает положительной оценки.
З.Н. Шабанов
Реферат
Тема данной выпускной квалификационной работы – «Взаимосвязь самооценки и статусного положения в системе межличностных отношений в группе учащихся младшего подросткового возраста». Цель работы: изучить влияние статусного положения ребенка в группе на формирование его самооценки.
Объектом исследования являются дети младшего подросткового возраста в возрасте 10 – 11 лет, в количестве пятидесяти человек.
В процессе работы были изучены основные аспекты межличностных отношений в группе детей младшего подросткового возраста, даны представления о самооценке детей данного возраста.
В исследовательской части на основе изучения межличностных отношений в группе детей младшего подросткового возраста был определен социальный статус каждого ребенка в группе, определен уровень самооценки у каждого ребенка в группе, выявлена взаимосвязь между статусным положением ребенка в группе и уровнем его самооценки.
Дипломная работа состоит из трех частей:
в первой части представлен анализ литературных источников, изложены основные теории по данной теме;
вторая часть экспериментальная, в ней дается описание применяемых методик, описание выборки испытуемых, процедуры исследования;
третья часть является практической, в которой дана обработка данных по применяемым методикам, математическое подтверждение гипотезы.
Далее следуют выводы, рекомендации, заключение, приложения.
Все полученные данные отражены в графиках, таблицах, в приложении.
Введение
Становление личности индивида не может рассматриваться в отрыве от общества, в котором он живет, от системы отношений, в которые он включается. По словам К. Маркса, общество "не состоит из индивидов, а выражает сумму тех связей и отношений, в которых эти индивиды находятся друг к другу".
Природа межличностных отношений в любых общностях достаточно сложна. В них проявляются как сугубо индивидуальные качества личности – её эмоциональные и волевые свойства, интеллектуальные возможности, так и усвоенные личностью нормы и ценности общества. В системе межличностных отношений человек реализует себя, отдавая обществу воспринятое в нем. Именно активность личности, её деяния являются важнейшим звеном в системе межличностных отношений. Вступая в межличностные отношения самых разнообразных по форме, содержанию, ценностям, структуре человеческих общностях – в детском саду, в классе, в дружеском кругу, в различного рода формальных и неформальных объединениях, - индивид проявляет себя как личность и представляет возможность оценить себя в системе отношений с другими.
Ребенок живет, растет и развивается в переплетении различного рода связей и отношений. В детских и подростковых группах складываются межличностные отношения, отражающие взаимосвязи участников этих групп в конкретно-исторической ситуации развития общества. Несмотря на то, что проявления межличностных отношений в каждой конкретной группе имеют свою неповторимую историю, на разных возрастных этапах действуют общие закономерности их становления и развития.
Первая из них отражает обусловленность природы межличностных отношений тем местом, которая возрастная социальная группа занимает в обществе. Вторая характеристика межличностных отношений – это их зависимость от совместной деятельности, которая в любую историческую эпоху опосредствует развитие межличностных отношений в группе, определяет их строение. Третья особенность межличностных отношений заключается в их уровневой природе – сколько-нибудь сложившаяся группа имеет определенный уровень развития, от которого зависит наличие или отсутствие тех или иных её социально-психологических особенностей и характер её влияния на индивидов.
Любая группа на любой возрастной ступени характеризуется своей особой социальной ситуацией развития. Понятие социальной ситуации развития было введено Л.С. Выготским для характеристики развития личности ребенка внутри определенного возрастного этапа на основе конкретно – исторической системы его отношений с социальной действительностью. Понятие социальной ситуации развития может быть применено и к характеристике детской группы.
Это прежде всего объективные условия существования данной группы, определяемые исторической эпохой, культурой и пр.
Другим компонентом социальной ситуации развития детской группы является её объективный социальный статус, определяемый прежде всего положением детства как социально – возрастной группы в структуре общества.
Помимо объективных условий социальной ситуации развития детской группы существует субъективный аспект социальной ситуации развития. Он представлен социальной позицией, т.е. отношение членов детской группы к этим объективным условиям , статусу, и их готовностью к принятию этой позиции и действиям в соответствии с ней.
Анализ социальной ситуации развития позволяет раскрыть содержание межличностных отношений в детских группах. В детских и подростковых группах могут быть выделены функционально – ролевые, эмоционально – оценочные и личностно – смысловые отношения между сверстниками.
Эмоционально – оценочные отношения выявляются в непосредственном взаимодействии детей, отражая систему их предпочтений. Знание этих отношений позволяет ответить на многие вопросы связанные с поведением ребенка. На первый план здесь выступают эмоциональные предпочтения – симпатии, антипатии, дружеские предпочтения и т.д.
В последнее время, с притоком новых социальных взглядов, когда многое меняется и нажитое за последние десятилетия переходит в небытие необходимо находить новые цели, новые способы деятельности, которые бы давали нам больше, позволяли бы более продуктивно работать в новой сложившейся ситуации. Отход от тоталитарного общества и попытки прийти к более демократичному укладу жизни требует от нас пересмотра многих аспектов окружающей нас действительности.
Исходя из этого актуальность данной темы определяется следующими аспектами: наше внимание должно затрагивать особую ситуацию развития детей данного возраста, в данном случае 10-11 лет; необходимо найти точки соприкосновения изменяющегося мира и процесса становления такого вида деятельности ребенка в этом возрасте, как эмоционально – личностное общение, а также уточнить влияние сложившейся социальной ситуации на него; следующим аспектом можно назвать необходимость изучения мотивов эмоционального выбора в межличностных отношениях подростков что в свою очередь выражается необходимостью изменений в воспитательной работе школы, в связи с появлением новых воспитательных технологий. Большинство этих технологий находится только в стадии теоретической разработки и требуют скорейшей практической апробации, в то время как различные технологии обучения довольно успешно практикуются многими школами на всей территории Российской Федерации.
В данной работе планируется подойти к решению некоторых из обозначенных проблем и оказать реальную помощь в которой нуждается практика современной общеобразовательной школы.
Цель работы: изучить влияние статусного положения ребенка в группе на формирование уровня его самооценки.
В данной работе нами решались следующие задачи:
Проанализировать литературные источники по данной проблеме.
На основе анализа источников построить схему исследования межличностных отношений и самооценки детей младшего подросткового возраста.
Подготовить и провести необходимые исследования, позволяющие подтвердить или опровергнуть гипотезу.
Обработать результаты и сделать соответствующие выводы.
Ознакомить работников школьного учреждения с полученными результатами, а также дать необходимые рекомендации.
Гипотеза: дети с низким статусным положением в группе будут иметь более низкую самооценку, чем дети имеющие более высокий статус.
Предмет исследования: зависимость уровня самооценки ребенка младшего подросткового возраста от его статуса в данной группе.
Объект исследования:
экспериментальная группа «А» в количестве 25 человек, из них 13 мальчиков и 12 девочек в возрасте 10-11 лет;
экспериментальная группа «Б» в количестве 25 человек, из них 12 мальчиков и 13 девочек также в возрасте 10-11 лет.
Для изучения уровня самооценки каждого ребенка группы была использована методика самооценки качеств личности (Т. Дембо – С. Рубинштейна).
Для проведения диагностики межличностных отношений в группе подростков была использована методика выявления социометрического статуса личности и структуры межличностных связей в группе (социометрия).
Особенности развития межличностных взаимоотношений и самооценки детей младшего подросткового возраста
Психологическая характеристика группы и коллектива.
1.1.1. Социально-психологическая характеристика групп.
Проблема групп, в которые объединены люди в процессе своей жизнедеятельности, - важнейший вопрос социальной психологии.
Реальность общественных отношений всегда дана как реальность отношений между социальными группами, поэтому для социологического анализа крайне важным и принципиальным вопросом является вопрос о том, по какому критерию следует вычленять группы из того многообразия различного рода объединений, которые возникают в человеческом обществе.
«Группа - это некоторая совокупность людей, рассматриваемых их с точки зрения социальной, производственной, экономической, бытовой, профессиональной, возрастной и т.п. общности» [13]. Сразу же следует оговориться, что в общественных науках в принципе может иметь место двоякое употребление понятия “группа”. С одной стороны, в практике, например, демографического анализа, в различных ветвях статистики имеются ввиду условные группы: произвольные объединения (группировки) людей по какому либо общему признаку необходимому в данной системе анализа.
С другой стороны, в целом цикле общественных наук под группой понимается реально существующее образование, в котором люди собраны вместе, объединены одним общим признаком, разновидностью совместной деятельности или помещены в какие-то идентичные условия, обстоятельства, определенным образом осознают свою принадлежность к этому образованию.
Группы бывают: большими и малыми, от двух человек и более, условными и реальными. Реальные группы делят на малые и большие, официальные и не официальные, устойчивые и ситуативные, организованные и стихийные, контактные и неконтактные. Стихийные - К.К.Платонов назвал «неорганизованными группами».
Группы состоят из людей, общества - из групп. Индивиды, группы и общества - это три современные реальности, они взаимосвязаны. Все группы более или менее специализированы. Их специализация зависит от потребности людей. Так, семья в промышленном городе имеет одновременно генетическую и воспитательную функции. Другие группы выполняют другие функции. Индивиды участвуют в во многих группах. Некоторые группы предполагают физическое присутствие ее членов. Одновременно можно участвовать в нескольких группах: члены команды по футболу, учебные заведения. Существуют постоянные, временные, случайные или спорадические группы. Некоторые группы созданы для длительного существования и стремятся к этому: школы, деревня, предприятия, заинтересованные в продолжении своего дела. Это группы, которые не хотят исчезнуть. Другие группы обречены на недлительное существование (туристы). Некоторые группы являются свободными, другие имеют обязательный характер. Так, появившись на свет, мы не выбирали семью, этническую группу или нацию, другие группы, куда вступают по желанию: спортивный клуб, культурные общества или социальное объединение. Формальные группы характеризуются организованной структурой. Социальные отношения здесь носят безличный характер (различные партии). В неформальной группе существуют личные, социальные отношения, которые осуществляются в ролях, определяемых внутренней средой, симпатиями (это друзья, приятели, “клуб по интересам”). Первичная или ограниченная группа является основой для человека это - семья. В ней происходит процесс культуризации. Вторичные группы - большие по размеру и отношения в них формализованы. Пример: баскетбольный клуб в который входят несколько команд, - это вторичная группа. А одна команда - первичная группа.
Социальная психология предпринимала многократные попытки построить классификацию групп. Американский исследователь Ювенк вычленил семь различных принципов, на основании которых строились такие классификации. Эти принципы были самыми разнообразными: уровень культурного развития, тип структуры, задачи и функции, преобладающий тип контактов в группе. Однако общая черта всех предложенных классификаций - формы жизнедеятельности группы.
Для социальной психологии значимо разделение групп на условные и реальные. Она сосредоточивает свое исследование на реальных группах. Но среди этих реальных существуют и такие, которые преимущественно фигурируют в общепсихологических исследованиях - реальные лабораторные группы. В отличие от них существуют реальные естественные группы. Социально-психологический анализ возможен относительно и той, и другой разновидности реальных групп. Однако наибольшее значение имеют реальные естественные группы. В свою очередь эти естественные группы подразделяются на так называемые “большие” и “малые” группы. Малые группы - обжитое поле социальной психологии. И все же остановимся на ней.
Под малой группой понимается немногочисленная по составу группа, члены которой объединены общей социальной деятельностью и находятся в непосредственном личном общении, что является основой для возникновения эмоциональных отношений, групповых норм и групповых процессов.
Целесообразность исследования групп очевидна, т.к. они являются удобной моделью изучения процессов внушаемости, конформности, срабатываемости, общения и т.д. за определенный промежуток времени.
Лабораторные исследования малых групп могут быть приближены к реальным жизненным условиям двумя разными способами. Первый способ идет по пути создания экспериментов, изолирующих все важнейшие и второстепенные атрибуты этих ситуаций. Второй способ сближения идет по пути не только организаций условий эксперимента, но и включает исследования реальных контактных групп в “жизненных” (моделируемых) условиях взаимодействия.
И что ценно, в лабораторных исследованиях малых групп соблюдается обще - психологический принцип подбора испытуемых: они должны быть одного возраста, пола, близкого уровня образования.
Что же касается больших групп, то вопрос об их исследовании значительно сложнее и требует особого рассмотрения. Важно подчеркнуть, что эти “большие” группы также представлены в социальной психологии неравноценно: одни из них имеют солидную традицию исследования на Западе (это по преимуществу большие, не организованные, стихийно возникшие “группы”, сам термин “группа” по отношению к которым весьма условен), другие же, подобно классам, нациям значительно слабее представлены в социальной психологии в качестве объекта исследования. В группах первого вида, процессы протекающие в них, хорошо описаны в некоторых разделах социальной психологии, в частности при исследовании способов воздействия в ситуациях вне коллективного поведения.
Точно также малые группы могут быть подразделены на две разновидности: формирующиеся группы, уже заданные внешними социальными требованиями, но еще не сплоченные совместной деятельностью в полном смысле этого слова, и коллективы, т.е. группы более высокого уровня развития, связанные со специфическими видами социальной деятельности. Группы первой разновидности можно обозначить как “становящиеся”.
Эта классификация может быть наглядно представлена в виде схемы представленной в учебнике Г.М. Андреевой « Социальная психология» [1]:
| Группа | |||||
|
Условные |
Реальные |
||||
Лабораторные |
Естественные |
||||
Большие |
Малые |
||||
|
Организованные |
|||||
|
Не организованные |
Становящиеся |
Коллективы |
Все, начиная с рубрики “реальные естественные группы”, представляют объект исследования в социальной психологии.
Традиционно в социальной психологии изучаются некоторые параметры группы: композиции группы (или ее состав), структура группы, групповые процессы, групповые ценности, нормы, система санкций. Каждый из этих параметров может приобретать совершенно различное значение в зависимости от того общего подхода к группе, которые реализуется в исследовании. Так, например, состав группы может быть, в свою очередь, описан по совершенно различным показателям, в зависимости от того, значит ли в каждом конкретном случае, например, возрастные профессиональные или социальные характеристики членов группы. Очевидно, не может быть дан единый рецепт описания состава группы, особенно в связи с многообразием реальных групп. в каждом конкретном случае начинать надо с того, какая реальная группа выбирается в качестве объекта исследования.
Иногда состав микрогруппы и соответственно структура отношений в ней носят более сложный характер. Например, в старших классах школы нередко можно встретить объединения детей, включающие по 4-5 человек, объединенных близкими дружескими связями. Однако в большинстве реальных групп на практике такие объединения школьников встречаются крайне редко. Поэтому можно считать, что группы - диады и группы - триады представляют собой наиболее типичные микрогруппы, из которых состоит любая малая группа. Их внимательное изучение может дать очень много полезной информации для понимания более сложной системы взаимоотношений, имеющихся в малой группе или коллективе.
Разнообразна структура больших групп, в которые входят малые:
социальные классы;
различные этнические группы;
профессиональные группы;
возрастные группы (в качестве группы могут быть рассмотрены, например, молодежь, женщины, пожилые люди и др.).
Реальная группа выбирается в качестве объекта исследования: школьный ли это класс, спортивная команда или производственная бригада. Иными словами, мы сразу “задаем” некоторый набор параметров для характеристики состава группы, в зависимости от типа деятельности, с которыми данная группа связана. Тоже можно сказать и относительно структуры группы. Существует несколько достаточно формальных признаков структуры группы: структура предпочтений, структура коммуникаций, структура власти.
“Соединение” процессов, протекающих в группе и других характеристик группы - до сих пор не вполне решенная для социальной психологии проблема. Если последовательно идти по пути, заложенным исходным методическим принципом, то к групповым процессам прежде всего следует отнести такие процессы, которые организуют деятельность группы.
Следует также подробно остановиться на вопросах общих качеств группы и проблеме развития групп.
Непосредственно общие качества группы:
Интегративность - мера единства, слитности, общности членов группы друг с другом, (отсутствие интегративности - разобщенность, дезинтеграция).
Микроклимат определяет самочувствие каждой личности в группе, ее удовлетворенность группой, комфортность нахождения в ней.
Референтность - степень принятия членами группы групповых эталонов.
Лидерство - степень ведущего влияния тех или иных членов группы на группу в целом в направлении осуществления групповых задач.
Интрагрупповая активность - мера активизации групповой составлящих ее личностей.
Интергрупповая активность - степень влияния данной группы на другие группы.
Кроме этих качеств рассматриваются еще и такие:
направленность группы - социальная ценность принятых ею целей, мотивов деятельности, ценностных ориентаций и групповых норм;
организованность - реальная способность группы к самоуправлению;
эмоциональность - межличностные связи эмоционального характера, преобладающей эмоциональный настрой группы;
интеллектуальная коммуникативность - характер межличностного восприятия и установления взаимопонимания, нахождения общего языка;
волевая коммуникативность - способность группы противостоять трудностям и препятствиям, ее надежность в экстремальных ситуациях.
Проблема развития группы никогда не ставилась с целью выяснить разные уровни этого развития, и, далее, вскрыть специфику различных параметров групповой деятельности на каждом из этих уровней. Вместе с тем без такого подхода картина развития группы не может быть полной. Целостное представление о развитии группы по характеристике групповых процессов допускает и более дробный анализ, когда отдельно исследуется развитие групповых норм, ценностей система межличностных отношений и т.д. С точки зрения социальной психологии исследование характеристик больших социальных групп наталкивается на целый ряд трудностей. Богатство методик изучения различных процессов в малых группах часто контрастирует с отсутствием подобных методик для исследования, например, психологического облика классов, наций и других групп такого рода. Отсюда иногда рождается убеждение, что общность психологии больших групп не поддается научному анализу. Отсутствие традиции в таком исследовании еще более укрепляет такие взгляды. Вместе с тем, социальная психология в точном значении этого слова, без раздела о психологии больших социальных групп, вообще не может претендовать на успех [8]. По утверждению Дилигенского Г.Г., рассмотрение психологии больших групп не может считаться правомерным, ибо это не одна из проблем данной дисциплины, а важнейшая ее проблема. «Как бы ни была велика роль малых групп и непосредственно межличностного общения в процессах формирования личности сами по себе эти группы не создают исторически конкретных социальных норм, ценностей, установок». Все эти и другие содержательные элементы общественной психологии возникают на основе исторического опыта. Ссылаясь на Дилигенского Г.Г. «этот опыт лишь «доведет» до индивида через посредство малой группы и межличностного общения». Поэтому социально - психологический анализ больших групп можно рассматривать как “ключ” к познанию содержания психики индивида.
Социальная коллективность. Отношения между индивидом
и группой.
Как уже было сказано ранее, коллектив – высшая форма развития малой группы. Но сам коллектив не возникает внезапно. Существуют различные формы коллективных отношений, которые проходят определенные этапы своего развития. Развитие коллектива проходит через следующий ряд этапов: номинальная группа, группа-ассоциация, группа-кооперация.
От кооперации до коллектива группа проходит уровень автономизации, для которого характерно довольно высокое внутреннее единство по всем общим качествам, кроме интергрупповой активности. Именно на этом уровне члены группы идентифицируют себя с ней(моя группа). Однако группа-автономия может уйти в сторону от коллектива. Возможно развитие группы в отрицательном направлении, когда развитие группы приводит ее к положению замкнутой из вне группы, но отличающейся внутригрупповой антипатией, межличностным эгоцентризмом и эгоизмом, агрессивностью.
Социальная коллективность заключается в том, что, объединяя людей общими социальными и производственными интересами, она ставит высшей своей целью создание условий для раскрытия индивидуальности каждого члена общества и отвечает за реализацию полноценного развития личности. Термин « Социальная психология» так обозначен Выготским Л.С.: Психология, исследующая социальную обусловленность психики отдельного человека», «Коллективная» психология в его понятии, совпадает с традиционным «Все в нас социально, но это не означает, что все свойства психики отдельного человека присуще всем другим членам данной группы» [6]. Только некоторая часть личной психологии может считаться принадлежностью данного человека, и вот эту часть личной психологии в условиях ее коллективного проявления и изучает коллективная психология (психология войны и т. п.). В результате развития своих членов развивается и сам коллектив: чем ярче и богаче индивидуальность, выше уровень развития каждого члена коллектива, тем более дееспособным, человечным в общественном своем качестве является и коллектив в целом. Суть социального коллективизма не сводится к совместной деятельности для достижения общей цели. И даже не сводится к умению жить сообща, вместе решая все вопросы. Состояние и зрелость социальной коллективности определяется тем, насколько социальное, общественное прониклось личным, индивидуальным интересом.
Любое взаимодействие людей, даже при минимальном их количестве, начинается с распределения функций. Без этого не возможно существование группы как единого целого. Группа может быть понята через личность, так как человеческая личность является главным материалом для ее создания. А.В. Петровский [20]считает при классификации групп определять степень их развития, учитывая характер межличностных отношений, формирующихся в зависимости от ценностно-ориентационного единства группы (оптимальное совпадение целей, связывающих личность, группу, общество).
Иерархия реальных контактных групп может быть представлена следующим образом:
Диффузная группа - в ней взаимоотношения опосредуются не содержанием групповой деятельности, а только симпатиями и антипатиями.
Ассоциация - группа, в которой взаимоотношения опосредуются только личностно значимыми целями.
Корпорация - взаимоотношения опосредуются личностно значимыми, но ассоциальным по своим установкам содержанием групповой деятельности.
Коллектив - взаимодействия опосредуются личностнозначимым и общественно ценным содержанием групповой деятельности (бригада, экипаж, расчет).
В них оптимально могут сочетаться личные, коллективные и общественные цели и ценности.
До сих пор мы исходили из того, что группа в целом ставит своей задачей достижение максимального сближения во взглядах и выборах, стремясь выработать общую позицию. Однако нам известно, что это предположение верно лишь от части. В действительности при множестве разных обстоятельств и особенно, если требуется изменение, происходит обратное: преобладает напряжение и расхождение во мнениях. Значительное число социальных установок человека имеет отношение к одной или нескольким социальным группам или связаны с ними. Характер этой связи не является простым, ясным. С одной стороны - установки человека связаны с социальными установками, обычно проявляющимися в группах, к которым он принадлежит. С другой стороны - изменение влияния престижа, лидерства мнений, отвержение членских групп теми кто занимает в них низкий статус, а также влияние внешних групп на уровень притязаний показывает, что социальные установки часто бывают связаны с нечленскими группами.
Как признание этого факта - термин “референтная группа”, впервые употребленный Хаймоном, стал использоваться для обозначения любой группы, с которой индивид соотносит установки. Одновременно стала развиваться общая теория референтных групп. Это понятие используется для обозначения двух видов отношений между индивидом и группой [14].
Замечена закономерность: чем ближе по уровню своего развития группа находится к коллективу, тем более благоприятные условия она создает для проявления лучших сторон личности и торможения того, что в ней есть худшего. И напротив, чем дальше группа по уровню своего развития отстоит от коллектива, (а ближе к корпорации), тем больше возможности она представляет для проявления в системе взаимоотношений худших сторон личности с одновременным торможением лучших устремлений.
Это достаточно подробно показывает схема:
| | | | | | | ||
|
|
| | |||||
| | | ||||||
| | | | | ||||
| | | | | ||||
| Несовместимые | Согласованные | ||||||
| + | |||||
| + | |||||
| + | + | ||||
| - | - | ||||
| Идеальные | |||||
Влияние группы разного уровня на развитие, поведение личности в группах.
+ - положительное в личности и межличностных отношениях
- - отрицательное в личности и межличностных отношениях
- поворот отношений в любую сторону
- отношения.
Это пример взаимоотношений в микрогруппе - триаде. Они представлены близкими друзьями, молодыми семьями. Они наиболее часто встречаются в любой малой группе. Взаимоотношения парные всегда строятся с учетом отношений с другими, окружающими их людьми.
Исследователи, разрабатывающие критерии отбора и комплектования малых групп, считают, что нельзя на основании только индивидуальных характеристик участников совместной деятельности прогнозировать успешность их групповой работы. «Общество не состоит из индивидов а выражает сумму тех связей и отклонений в которых эти индивиды находятся друг к другу»[18]. Различие между индивидами является основным двигателем развития их взаимодействий и их самих как личностей. Противоположности (но не крайности) порождают развитие системы, в данном случае - коллектива. Даже молчаливое присутствие группы людей изменяет психическую деятельность человека, заставляя вести себя иначе.
Таким образом, в регуляции эффективности коллективистской деятельности участвуют самые разные системы факторов:
внегрупповые (физические и социальные)
внутригрупповые (нормы, межличностные отношения)
внеличностные (однородность - разнородность по индивидуально-психологическим параметрам)
внутриличностные (индивидуально-психологические особенности членов группы, их состояние, исходные мнения, оценки)
Фактором, связывающим все перечисленные системы, пронизывающим их, является фактор общественной значимости, совместной деятельности группы людей. Он является стержневым, оптимально сочетающим личностно значимые и общественно ценные ориентации коллектива.
Структура межличностных отношений в группах детей и
подростков.
Важным вопросом при изучении характеристики внутригрупповых взаимоотношений как детей подросткового возраста, так и не только их является выявление непосредственно самой структуры таких отношений, их содержания. Это можно осуществить исходя из анализа социальной ситуации развития группы.
В детских и подростковых группах могут быть выделены функционально – ролевые, эмоционально – оценочные и личностно – смысловые отношения между сверстниками.
Функционально – ролевые отношения выступают при изучении "делового" общения и совместной деятельности, что позволяет ответить на вопросы: "в какой конкретной деятельности разворачиваются эти отношения?" и "что они отражают?". Эти отношения зафиксированы в специфичных для данной общности сферах жизнедеятельности детей (трудовой, учебной, продуктивной, игровой) и разворачиваются в ходе усвоения ребенком норм и способов действия в группе под непосредственным руководством и контролем со стороны взрослого. Взрослый санкционирует те или иные образцы поведения: дежурный должен быть аккуратным и исполнительным; во время самостоятельной работы на уроке нельзя смотреть в тетрадь соседа и т.д. Функционально – ролевые отношения, проявляющиеся в игровой деятельности, в значительной степени самостоятельны и свободны от непосредственного контроля со стороны взрослого.
В самой игре, как, впрочем, и во всех других формах совместной деятельности детей в группе, проявляются два вида отношений: собственно игровые отношения и отношения по поводу совместной деятельности в игре. Например собственно – игровые отношения воспроизводят социально – типические образцы поведения: доктор к больному – добр; учитель с учеником строг. Это отношения "вообще", они "бессубъектны" и заданы ребенку в общении со сверстниками. Другой тип игровых отношений возникает "вокруг" игры, при обсуждении её замысла, построении "сценария", распределении ролей. Психологический смысл общения ребенка заключается здесь в том, что именно в контексте этих отношений ребенок сам осуществляет личностный выбор той или иной роли. Так возникают и разрешаются существенно важные конфликты детской жизни: "во что играть?"; "кого принимать в игру?"; "кто будет главным?". Функционально – ролевое поведение в группе проявляется и в действиях, соответствующих статусу ребенка или его конкретным обязанностям: дежурного, командира бригады, старосты класса и т.д. Такое поведение обнаруживается и в неформальных группах детей и подростков.
Рассмотрение эмоционально – оценочных отношений позволяет ответить на вопросы: соответствует ли поведение детей в группе социальным нормам? какие эмоции оно вызывает? что нравится или не нравится им в сверстниках? Основная функция эмоционально – оценочных отношений в детской и подростковой группе – осуществление коррекции поведения сверстника в соответствии с принятыми нормами совместной деятельности. На первый план здесь выступают эмоциональные предпочтения – симпатии, антипатии, дружеские привязанности и т.д. Они возникают в онтогенезе довольно рано, и формирование этого типа отношений либо обусловлено чисто внешними моментами восприятия (например ребенку нравятся кудрявые девочки), либо опосредствовано оценкой взрослого, либо прошлым опытом общения с этим ребенком – негативным или позитивным.
Эмоционально – оценочные отношения являются регуляторами в ситуациях возможных конфликтов при распределении ролей в игре. Каждый ребенок, претендуя на значимую роль в игре, сталкивается с подобными стремлениями других детей. В этой ситуации могут стихийно возникнуть первые проявления требования справедливости во взаимоотношениях – ориентация на норму очередности при распределении престижных ролей, наград и отличий, которая, как предполагают дети, должна строго соблюдаться. Однако иногда притязания ребенка так и остаются нереализованными и ему приходиться довольствоваться незначимой ролью, не получать ожидаемое.
В детской группе осуществляется взаимная коррекция поведения в соответствии с усвоенными социальными нормами. Если ребенок следует этим нормам, то он оценивается другими детьми позитивно, если отходит от этих норм, то возникают "жалобы" взрослому, продиктованные желанием подтвердить норму.
Анализ мотивационного плана совместной деятельности в детской и подростковой группе открывает путь к изучению личностно – смысловых отношений, которые выделяются при ответе на вопрос: ради чего, во имя кого осуществляется совместная деятельность? Личностно – смысловые отношения - это взаимосвязи в группе, при которых мотив одного ребенка приобретает для других сверстников личностный смысл. При этом участники совместной деятельности начинают переживать интересы и ценности этого ребенка, как свои собственные мотивы, ради которых они, принимая различные социальные роли, действуют. Личностно – смысловые отношения особенно ярко проявляются в тех случаях, когда ребенок во взаимоотношениях с окружающими берет на себя реально роль взрослого и действует согласно ей. Это может обнаружиться в критических ситуациях, когда, к примеру, ребенок заботиться о младшем братишке во время тяжелой болезни матери. Особенно отчетливо эти отношения проявлялись в годы Великой Отечественной войны, когда на территории, захваченной фашистскими оккупантами, такие извечные забавы, как сбор ягод и ловля рыбы становились для ребенка подлинной продуктивной деятельностью и едва ли не единственным источником пропитания для всей семьи. Таким образом, когда в силу изменения социальной позиции ребенок принимает на себя ответственность за благополучие других людей, тогда четко проступают его личностно – смысловые отношения с ними.
Экспериментальное исследование функционально – ролевых отношений представлено многими традиционными приемами: опросниками, беседой, наблюдением, интервью и др. Эмоционально – оценочные отношения выявляются в непосредственном взаимодействии детей, отражая систему их предпочтений. Относительно полную картину этих отношений дает социометрический опрос в различных его модификациях. Личностно – смысловые отношения представляют собой складывающиеся в совместной деятельности необходимые связи, которые в ней реализуются. При этом мотивом действия каждого участника таких отношений становится другой человек, тот, ради которого в конечном счете осуществляется совместная деятельность. Возникая в реальном взаимодействии детей, эти связи обладают определенной независимостью от непосредственных предпочтений ребенка. Более того, они оказывают существенное влияние на эмоционально – оценочные отношения, порой меняя их знак на противоположный.
На наш взгляд важно также понять каким образом решается вопрос положения ученика в системе межличностных отношений. Дифференциация в группах детей и подростков подвержена определенным закономерностям. Одной из них можно назвать связь статуса ученика в группе с его успеваемостью. В то же время не столько сама по себе успеваемость определяет статус ученика в классе, сколько те личностные качества, которые характеризуют его отношение к учебе: трудолюбие, добросовестность и т.д. Популярными в учебном коллективе, как правило, являются ученики с широким кругом интересов и серьезными духовными запросами. Эту группу школьников отличает серьезное отношение к учебной деятельности. Учащиеся, занимающие неблагоприятное положение в структуре межличностных отношений, относятся либо к слабо успевающим, либо к неуспевающим и имеют низкий статус.
Взаимосвязь статуса и успеваемости учащихся имеет свое психологическое основание. Успеваемость для школьников выступает показателем уровня интеллектуальных и волевых свойств личности. Хорошие отметки выступают как социальная оценка компетентности учеников в различных областях знаний, их ответственности, целеустремленности, общительности, а именно это высоко ценится в группах школьников.
Также, экспериментально выявлено, что чем ниже успеваемость того, кто оценивает отличников, тем эти оценки выше, а отношение – доброжелательнее. Соответственно, чем значительнее собственные достижения в учебной деятельности, тем ниже оценка, которую эта группа учащихся дает отличникам. У учащихся средних и старших классов школы выявлена тенденция расхождения статусов в различных сферах взаимодействия. Чем выше у подростка положение в системе межличностных отношений в неформальной компании, тем оно ниже в коллективе класса, разумеется, при условии различного уровня развития этих групп. Подростки, стремясь повысить в школе свой статус, но не обладая для этого достаточными социально приемлемыми средствами, сплошь и рядом реализует свои цели неадекватными способами, привнося в общение с одноклассниками нормы и "ценности" компании – зачастую имеющей характер асоциальной ассоциации, - которые, как они надеются, обеспечат им признание среди соучеников.
Потребность в приобретении и поддержке статуса – одна из важных социальных потребностей. Невозможность занять определенное положение в структуре групповых отношений или угроза утраты имеющегося статуса может вызывать состояние "аффекта неадекватности". Это явление возникает у подростков в том случае, когда высокие притязания в какой – то сфере деятельности не могут быть подкреплены реальными достижениями. При этом негативные эмоциональные реакции зачастую обращены на тех, кто указывает ученику на его промахи, - "виноватыми" оказываются все, но не он сам. Аффект неадекватности в подобных ситуациях наблюдается у школьников всех возрастных групп, как у успевающих, так и у слабых учеников. Переживаемое ими чувство неудовлетворенности проявляется в агрессии, в отказе выполнять требования учителя, в демонстративном нарушении дисциплины.
На протяжении всей жизни индивид оказывается включенным в различные социальные группы, в которых происходит его половая социализация. Важным инструментом половой социализации является группа сверстников, которая позже всех "подключается" к этому процессу, но значение которой трудно переоценить. В этих группах совместная деятельность и общение "на равных" способствуют объединению детей. Одновременно происходит противопоставление своей половой принадлежности противоположному полу. Эта оппозиция возникает, утверждается и отстаивается в совместной деятельности, структура которой изменяется с возрастом. Такое резкое разделение детей в процессе совместной деятельности и общения на однополые объединения получило названия "половой сегрегации". Сообщества детей и подростков, основанные на "половой сегрегации", возникают на определенном этапе развития общества, являясь реальными половозрастными объединениями, регламентированными социальной структурой общества. Стихийная "сегрегация" затрагивает преимущественно неофициальную структуру детской группы, отражая избирательный характер детских симпатий и антипатий, дружбы и привязанностей. Своеобразным пиком половой сегрегации является средний школьный возраст, когда подросток заново осмысливает и оценивает собственную половую идентичность в группе сверстников своего пола. Значимость такой группы для подростка постепенно снижается к юношескому возрасту, уступая место разнополой компании.
1.3. Психологическая характеристика и особенности межличностных взаимоотношений детей подросткового возраста.
Переход от младшего школьного возраста к подростковому характеризуется рядом важнейших изменений происходящих в физическом, умственном и эмоциональном развитии школьника. Все более начинает проявлять себя мотивационно – потребностная сфера – сфера общения, эмоциональных контактов. Общаться его заставляет все более усложняющаяся учебная деятельность.
В период 10 – 11 лет у учащихся начинает происходить бурный физический рост и значительные изменения в строении организма. Физическое развитие определяет не только внешние и внутренние изменения в организме подростков, но и потенциальные способности их к интеллектуальной, умственной деятельности. Вместе с тем в период раннего подросткового возраста определяющим фактором поведения ребенка и отношения к поведению и отношению к нему других являются внешние данные, характер сопоставления себя со взрослыми. Отличие "паспортного" возраста и физического способствует тому, что у детей возникает неадекватная оценка самих себя, своих возможностей.
Для подростков стремление быть как взрослый переходит в потребность быть взрослым, быть самостоятельным. Появляется стремление осознавать себя как личность, иметь собственную оценку, отличную от мнения взрослых. Подросток стремиться быть в обществе, в среде сверстников и иметь там определенный авторитет, занимать определенное положение. В этом возрасте становиться наиболее выраженным конфликт между предметной и мотивационно - потребностной сферой деятельности ребенка. Это противоречие возникает на основе "надвигающейся тесноты" учебной деятельности. Ребенок по некоторым причинам переходит к тем видам деятельности, которые требуют меньшей дисциплины и где мнение сверстников является определяющим.
Уже сформировавшаяся способность детей к обобщению дает возможность подростку делать обобщения в достаточно сложной области – деятельности по усвоению норм человеческих взаимоотношений. Поэтому ведущей деятельностью подростка является интимно – личностное общение в различных сферах деятельности. Это дает ему возможность проявить себя и самоутвердиться. Именно поэтому подростки активизируют интимно – личностное и стихийно – групповое общение как в школе, так и вне её.
Ведущим центральным психическим новообразованием подростка становится чувство взрослости и становящееся самосознание. Это приводит к тому, что начинает меняться личность подростка, сфера его интересов и потребностей. Формирование мотивационно – потребностной сферы требует от подростка расширения всех форм общения. Такое общение уже не может проходить только в рамках учебной деятельности, т. к. особенности и характер развития детей в этом возрасте определяется сознанием того, что его собственные возможности значительно возросли.
В подростковом возрасте дети большей частью замкнуты на себя, на сверстников, поэтому все превносимые в их среду нормы не носят устойчивого характера и часто отторгаются подростками.
Д.И. Фельдштейн рассматривая генезис развития подростка отмечал, что в этом возрасте значительное внимание следует уделять эмоциональной сфере, так как именно она определяет многие моменты поведения и общения подростков. Хотя большинство организуемых подростками групп носит моногамный характер, вместе с тем в среде сверстников возникают такие качества и формы общения, которые начинают определять первые попытки юношеской дружбы и любви.
Межличностные отношения ребенка со сверстниками, возникающие стихийно или организуемые взрослыми, имеют отчетливо выраженные возрастные социально – психологические характеристики.
Фаза индивидуализации, относительно преобладающая в подростковом возрасте над собственно адаптационными процессами, характеризуется уточнением и развитием представлений о самом себе – активным формированием образа "Я". По сравнению с начальной школой у детей интенсивно развивается самосознание, расширяются контакты со сверстниками. Участие в работе различных общественных организаций, кружков по интересам, спортивных секций выводит подростка на орбиту широких социальных связей. Развитие ролевых отношений сочетается с интенсивным формированием личностных взаимоотношений, которые с этого времени приобретают особо важное значение.
Взаимоотношения со сверстниками становятся более избирательными и стабильными. При сохранении высоко ценимых свойств "хорошего товарища" повышается роль нравственного компонента во взаимооценках. Морально – волевые характеристики партнера становятся важнейшим основанием предпочтений. Статус личности более всего связан с волевыми и интеллектуальными свойствами ученика. Высоко оцениваются сверстники, которых отличают готовность и умение быть хорошим товарищем. Доброта, как и в начальной школе, остается одним из ведущих оснований межличностного выбора.
Выявлено, что "предпочитаемые" и "отверженные" подростки в классе отличаются разными системами ориентаций. "Предпочитаемые" в большей степени ориентированы на совместную деятельность. Когда они осознают угрозу утраты статуса, их стратегия поведения становиться активной и деятельность приобретает более интенсивный, целенаправленный, организованный характер. Ученики с неблагоприятным положением в классе фиксированы главным образом на взаимоотношениях со сверстниками. В случае угрозы их и без того неблагополучному положению в группе они аффективно реагируют на ситуацию и даже готовы вовсе разорвать отношения со сверстниками [9]. Значимость эмоциональных связей в группах сверстников столь велика, что их нарушения, сопровождающиеся стойкими состояниями тревоги и психологического дискомфорта, могут оказаться причиной неврозов.
Как популярные, так и непопулярные школьники отличаются по уровню социального развития личности. Первые демонстрируют более зрелые подходы к анализу конфликтов. Они анализируют ситуации достаточно объективно и рассматривают их даже несколько отстраненно. Восприятие событий у непопулярных ограничено рамками конкретной конфликтной ситуации. Они либо уходят от решения, либо, ориентируясь на сиюминутный результат, не задумываются о последствиях предпринятых ими действий.
Обостренная потребность в индивидуализации личности в сочетании с максимализмом в оценках окружающих, которые тоже стремятся обрести и продемонстрировать свою индивидуальность, может осложнять процессы группового развития. "Индивидуализация рождает напряженную потребность, которая была бы одновременно самораскрытием и проникновением во внутренний мир другого"[19].
Уровень развития коллективных отношений определяет специфику процессов индивидуализации. В классах, где взаимоотношения основаны на доверии, взаимопомощи, ответственности, проявления самобытности, независимо от статуса членов группы, встречают поддержку и способствуют интеграции личности в группе. Обогащенной оказывается не только личность, проявляющая творческую инициативу, смелость в отказе от отрицательных традиций, но и коллектив. В группах с низким уровнем коллективных отношений проявления индивидуальности пресекаются без учета их нравственного содержания. Необычность одноклассника воспринимается как нежелательный фактор и несет в себе угрозу для персонализации остальных. В классах с подобным типом межличностных отношений индивидуализация одного происходит за счет деиндивидуализации других.
Каждый подросток психологически принадлежит к нескольким группам: семье, школьному классу, дружеским компаниям и т. п. Если цели и ценности групп не противоречат друг другу, формирование личности подростка проходит в однотипных социальных условиях. Противоречивость норм и ценностей различных групп ставит подростка в позицию выбора. Нравственный выбор может сопровождаться межличностными и внутриличностными конфликтами.
Из множества сфер общения подростком выделяется референтная группа сверстников, с требованиями которой он считается и на мнение которой ориентируется в значимых для себя ситуациях.
1.4. Понятие «самооценка».
Самооценка – это оценка личностью самой себя, своих возможностей, способностей, качеств и места среди других людей. Самооценка относится к фундаментальным образованиям личности. Она в значительной степени определяет ее активность, отношение к себе и другим людям [12].
Различают общую и частную самооценку. Частной самооценкой будет, например, оценка каких-то деталей своей внешности, отдельных черт характера. В общей, или глобальной самооценке отражается одобрение или неодобрение, которое переживает человек по отношению к самому себе.
Человек может оценивать себя адекватно и неадекватно (завышать либо занижать свои успехи, достижения). Самооценка может быть высокой и низкой, различаться по степени устойчивости, самостоятельности, критичности.
Процесс формирования глобальной самооценки противоречив и неравномерен. Это обусловлено тем, что частные оценки, на основе которых формируется глобальная самооценка, могут находится на разных уровнях устойчивости и адекватности. Кроме того, они могут по-разному взаимодействовать между собой: быть согласованными, взаимно дополнять друг друга или противоречивыми, конфликтными. В глобальной самооценке отражается сущность личности.
Итоговым измерением Я, формой существования глобальной самооценки является самоуважение личности. Самоуважение — устойчивая личностная черта, и поддержание его на определенном уровне составляет важную заботу личности. Самоуважение личности определяется отношением ее действительных достижений к тому, на что человек претендует какие цели перед собой ставит.
Совокупность таких целей образует уровень притязаний личности. В его основе лежит такая самооценка, сохранение которой стало для личности потребностью [16]. Уровень притязаний – это тот практический результат, которого субъект рассчитывает достичь в работе. В своей практической деятельности человек обычно стремится к достижению таких результатов, которые согласуются с его самооценкой, способствуют ее укреплению, нормализации. Как фактор, определяющий удовлетворенность или неудовлетворенность деятельностью, уровень притязаний имеет большое значение для лиц, ориентированных на избежание неудач, а не на достижение успехов. Существенные изменения в самооценке появляются в том случае, когда сами успехи или неудачи связываются субъектом деятельности с наличием или отсутствием у него необходимых способностей.
Следовательно, функции самооценки и самоуважения психической жизни личности состоят в том, что они выступаю внутренними условиями регуляции поведения и деятельности человека. Благодаря включению самооценки в структуру мотивации деятельности личность постоянно соотносит свои возможности, психические ресурсы с целями и средствами деятельности.
Знания, накопленные человеком о самом себе, а также глобальная самооценка, формирующаяся на основе таких знаний, позволяют сформировать многомерное образование, которое называется Я - концепцией и составляет ядро личности. Я - концепция — это более или менее осознанная, переживаемая как неповторимая система представлений человека о себе, на основе которой он строит взаимодействие с другими людьми, осуществляет регуляцию своего поведения и деятельности.
Таким образом, важнейший компонент целостного самосознания личности, каким является самооценка, выступает необходимым условием гармонических отношении человека как с самим собой, так и с другими людьми, с которыми он вступает в общение и взаимодействие.
Самооценка-отношение человека к своим способностям, возможностям, личностным качествам, а также к внешнему облику. Она может быть правильной (адекватной), когда мнение человека о себе совпадает с тем, что он в действительности собой представляет. В тех же случаях, когда человек оценивает себя не объективно, когда его мнение о себе резко расходится с тем, каким его считают другие, самооценка чаще всего бывает неправильной, то есть неадекватной.
Если человек недооценивает себя по сравнению с тем, что он в действительности есть, то у него самооценка заниженная. В тех же случаях, когда он переоценивает свои возможности, результаты деятельности, личностные качества, наружность, характерной для него является завышенная самооценка.
Неадекватная самооценка осложняет жизнь не только тех, кому она свойственна, но и окружающих, тех людей, которые, в разных ситуациях – производственных, бытовых и других - общаются с ними. Конфликтные ситуации, в которых оказывается человек, очень часто являются следствием его неправильной самооценки.
Знать самооценку человека очень важно для установления отношений с ним, для нормального общения, в которое люди, как социальные существа, неизбежно включаются.
Самооценка является сложным личностным образованием. В ней отражается то, что человек узнает о себе от других, и его собственная активность, направленная на осознание своих действий и личностных качеств.
1.5. Особенности развития самооценки детей младшего подросткового возраста.
Один из самых важных моментов в развитии личности подростка – формирование у него самосознания, потребности осознать себя как личность. У подростка возникает интерес к себе, своей внутренней жизни, качествам собственной личности, потребность в самооценке, сопоставлении себя с другими людьми. Он начинает всматриваться в самого себя, стремится познать сильные и слабые стороны своей личности. Потребность самосознания возникает из жизни, практической деятельности, определяется растущими требованиями взрослых коллектива. У подростка возникает потребность оценить свои возможности, для того чтобы найти свое место в коллективе.
На первых порах в основе самосознания подростка лежат суждения о нем других- взрослых (учителей и родителе), коллектива, товарищей. Младший подросток словно смотрит на себя глазами окружающих. С возрастом, помимо этого, начинает сказываться тенденция самостоятельно анализировать и оценивать собственную личность. Но поскольку подросток еще не обладает достаточным умением правильно анализировать собственные личностные проявления, то на этой основе возможны конфликты, порождаемые противоречием между уровнем притязаний подростка, его мнением о себе и его реальным положением в коллективе, отношением к нему со стороны взрослых и товарищей.
Экспериментальное изучение межличностных
взаимоотношений и самооценки детей младшего
подросткового возраста
Данное исследование проводилось параллельно в экспериментальной группе А и в экспериментальной группе Б. Исследование проводилось в групповом и индивидуальном режиме, в равных условиях, в привычной обстановке.
В ходе исследования были использованы методы наблюдения, тестирования.
Исходя из гипотезы, исследование было спланировано следующим образом
1 этап- исследование межличностных взаимоотношений и установление социального статуса каждого ребенка в группе.
2 этап- изучение самооценки.
3 этап- анализ, обработка, интерпретация итогов исследования.
2.1. Описание методик.
2.1.1. Социометрический эксперимент. Метод социометрии.
Для того чтобы использовать количественные характеристики при изучении социальных взаимодействий в группе применяется так называемая социометрическая процедура, или социометрия (впервые предложенная в 30-х годах Д. Морено) [3].
Социометрия – это система некоторых приёмов, дающих возможность выяснить количественное определение предпочтений, безразличий или неприятий, которые получают индивиды в процессе межличностного общения и взаимодействия. Данные социометрического анализа широко используют при исследовании самочувствия личности в группе, при определении структуры первичных групп, при исследовании способов и форм распределения авторитета и власти в малых группах, при диагностики уровня деловой активности и т.д. Социометрический метод, как замечает К. К. Платонов, предполагает анализ осмысленных ответов членов группы на ряд поставленных вопросов различного типа и характера, например: "С кем бы ты хотел сидеть за одной партой?"; "…готовиться вместе к контрольной работе?" и т.д.
Подобные вопросы называются социометрическими критериями, они охватывают различные стороны деятельности и общения личностей внутри групп. Такие критерии могут быть связаны с выполнением какой-либо задачи, с учебой, общественными нагрузками, отдыхом, совместным времяпрепровождением и т.д. Различают сильные и слабые критерии выбора. Сильные критерии касаются наиболее важных и значимых для испытуемого сторон его жизни. Слабые критерии – это круг вопросов, связанных с сиюминутными, ситуативными факторами.
В работах современных психологов названы следующие сильные критерии: 1) ролевой ("Представь себе, что ты капитан команды КВН и с позиции данной роли оцени или выбери себе партнеров"); 2) перцептивный ("если группе будет предложено выбрать капитана КВН, как ты думаешь, кто назовет твое имя?"); 3) функциональный ("Ваш класс будет участвовать в соревновании клуба веселых и находчивых. Кто из одноклассников, по твоему мнению, может быть капитаном команды КВН?"); 4) выбор "действием" ("Положи эти открытки тем ребятам из своего класса, которых ты бы хотел обязательно поздравить с Новым годом"). В практике социометрического эксперимента используется, как правило, 5-7 критериев (Н.Г. Валентинова, И.П. Волков, Е.С. Кузьмин), реже 2-3 (Е. Дженнингс, Д. Морено, Л. Фестингер).
Существенное значение для точности эксперимента имеет число выборов, которыми располагают испытуемые. Выборы могут быть свободными ("Назови тех одноклассников, которых ты пригласил бы к себе на день рождения") и фиксированными ("Назови тех пять одноклассников, которых ты бы пригласил к себе на день рождения").
В обоих случаях опрашиваемого обычно просят установить последовательность своего выбора, следуя порядку предпочтения. Порядок выборов имеет при анализе характера и закономерностей межличностного общения. В группах до 10-15 человек более целесообразно количество выборов не ограничивать, в группах же до 30-40 человек лучше позволить делать 3-5 выборов.
Социометрическая процедура требует от экспериментатора четкого определения критериев выборов и их количества, исходя из целей и задач исследования. Результатом этого является карточка опроса. Её содержание составляет обращение к испытуемому, объяснение смысла опроса, инструкцию по заполнению, перечень вопросов, гарантию сохранения тайны ответов, благодарность, шифр.
Ход социометрических исследований зависит также в значительной мере от личности экспериментатора, от его умения войти в контакт с членами группы, объяснить им смысл и важность предстоящих измерений. Вначале необходимо потратить определенное время на знакомство с группой. Этот период называется социометрической разминкой.
Результаты ответов переносят на так называемые матрицы выбора. Их число соответствует числу критериев. Матрица выбора является основой для социометрического анализа. Для удобства обработки данных каждый член группы получает свой номер и далее на протяжении всех этапов эксперимента фигурирует под ним. При исследовании школьного класса номера учащимся присваиваются согласно алфавитного списка.
Исходя из данных матрицы, можно определить величину социометрического статуса любого члена группы. Она равна сумме полученных данным членом группы выборов, деленной на число членов без одного:

Ri+ - положительные выборы, полученные i-членом,
Ri- - отрицательные.
Индекс групповой "сплоченности", согласно социометрическим данным, определяется как отношение числа взаимных выборов к теоретически возможному для данной группы их количеству.
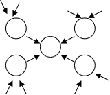
Результаты отношений испытуемых друг к другу при ответе по данному критерию могут быть изображены на социограмме, т.е. в виде схемы, которая более наглядно чем матрица выбора показывает суть структуры общения данной группы. Для передачи содержания взаимодействий выбирающих друг друга членов принята следующая символика:
![]()
А В (А выбирает В)
![]()
А В (А отвергает В)
А В (А
выбирает В в
первую очередь
и С - во вторую)
С
А В (взаимный выбор)
А
(изолированный
член)
![]()
А В (А выбирает В, но В не выбирает А)
А В (триада,
"ядро")
С
(
Цепь
при сотрудничестве
и при определенных
А В С D Е формах передачи информации; при изоляции
или
выпадении С
цепь прерывается)
С
А В Е (расщепленная цепь)
D

В С (структура типа "звезда": при изоляции А
А группа перестает функционировать,
D Е распадается)
![]()
![]()
А -мальчик, А -девочка.
Социограмма наглядно показывает картину эмоциональных тяготений внутри группы, для обнаружения которой путем наблюдений потребовалось бы длительное время.
Имеется около 30 индексов, которые, как следует из социометрической литературы, могут характеризовать уровень межличностного общения в группе и некоторые групповые характеристики (сплоченность, интегративность, конфликтность и т.д.).
Упомянутые индексы выводятся исключительно на основе анализа коммуникативных связей в группе, и это не может не вызвать к ним настороженного отношения, так как количество выборов, полученное тем или иным индивидом, еще ничего не говорит о природе этих выборов – в стороне остается мотивационная сторона выбора. Конечно, каждую группу и как коммуникативную сеть, возникающую в процессе взаимодействия и общения её членов.
Однако социометрический анализ может дать лишь самое общее описание этой коммуникативной сети. И его нельзя использовать для определения мотивов тех или иных выборов одних членов группы другими. Лежащая в основе социометрических исследований модель группы как эмоционально-психологического феномена не дает возможности осуществлять анализ межличностных отношений людей на основе определенных общественно определенных норм, ценностных ориентаций и оценок, сводя все к регистрации взаимодействий и взаимных эмоциональных оценок и влечений. При таком сугубо специфическом подходе целенаправленная деятельность группы и её членов просто не принимается во внимание, не являясь объектом исследования и изучения.
Внешняя картина внутригруппового взаимодействия может рассматриваться как следствие невидимых глубинных отношений между членами группы, но социометрия не приближает нас к выяснению причин предпочтения и изоляции.
В связи с этим возникает важная социально – психологическая задача, которая должна быть включена в социометрическое изучение - выявление мотивационного ядра выбора в межличностных отношениях, т. е. выявление мотивов, по которым личность готова осуществлять эмоциональный (а также и любой другой) контакт с одними членами группы и отвергать других.
Благодаря введению методической процедуры выделения мотивационного ядра возникает возможность перейти от исследования поверхностного слоя общения к исследованию более глубинных его пластов. Под мотивационным ядром здесь понимается система мотивов, образующая психологическую основу индивидуальной предпочитаемости, проявляемой индивидами в социометрическом исследовании. Выявление мотивационного ядра предпочтительности оказывается полезным всякий раз, когда возникает вопрос, почему социометрическая картина в данной группе именно такова; почему такой –то член группы предпочитает такого – то; почему некоторая часть группы числится в категории "лидеров", а другая – в категории "отверженных". Содержание мотивационного ядра выбора партнера в структуре межличностных отношений может служить показателем того уровня, которого достигла данная группа как коллектив. На первых, начальных этапах развития вновь созданных групп при выборе партнера члены группы исходят из эмоционально – личностных симпатий, но затем по мере становления коллектива содержание мотивационного ядра изменяется – выборы обусловлены ориентацией не на внешние достоинства личности, а на её моральные и деловые качества.
2.1.2. Методика изучения самооценки (Т. Дембо-С. Рубинштейн)
Для исследования была применена методика изучения самооценки качеств личности Т. Дембо - С. Рубинштейна.
Целью данной методики является выявление уровня самооценки школьника по заранее заданным качествам личности; выбор тех или иных качеств личности обусловлен целями исследования (например, установленных с помощью других методов трудностей в общении, для получения дополнительной информации можно предложить для оценки такое качество как общительность).
Материалом для исследования послужили ряд шкал (100 мм.), условно обозначающих проявление различных качеств личности (доброта, честность, сообразительность и др.)
Методика предполагает следующую процедуру проведения: Ребенку предлагается ряд шкал, условно обозначающих проявление различных черт личности, и следующая инструкция: "Допустим, что на этой линии расположились все люди мира в порядке повышения их состояния здоровья (пример со шкалой здоровья): внизу – самые больные люди, вверху – самые здоровые (те, которые никогда не болеют). Как ты думаешь, где твое место среди всех людей мира по состоянию здоровья?".
На примере оценки качества "здоровье" ребенок с помощью экспериментатора усваивает выполнение инструкции. Работу с остальными шкалами он осуществляет самостоятельно.
Пример
шкалы: высокое
низкое
Высота самооценки определяется с помощью условного разбиения шкал на отрезки в соответствии с пятибальной системой. При этом одно деление на шкале является равным 0,5 балла. Исходя из этого подсчитывается средний балл самооценки. "Нормальной", "Средней" самооценкой принято считать самооценку со средним баллом 2.5 и немного выше; "Высокой" – со средним баллом 4–5; "Низкой" – со средним баллом 0-2.5.
2.2. Описание выборки испытуемых.
В качестве экспериментальной группы «А» были выбраны учащиеся 5–го «а» класса школы 96, обучающиеся по традиционной программе. Всего в количестве 25 человек, 12 девочек и 13 мальчиков. Возраст детей 10-11 лет. Особенность этого класса в том, что данный коллектив учащихся является «сборным», то есть дети стали учиться вместе только с пятого класса.
В качестве экспериментальной группы «Б» были выбраны учащиеся 5 «б» класса школы 96, обучающиеся по традиционной программе, в количестве 25 человек, 13 девочек и 12 мальчиков. Возраст детей 10-11 лет. Дети данного коллектива обучаются вместе с первого класса.
2.3. Описание условий и процедуры исследования.
Социометрический эксперимент проводился в групповой форме. Учащимся была изложена тема и цель исследования, дано описание и устная инструкция. Все участники эксперимента были открыты и проявили желание участвовать в эксперименте. В инструкции были подчеркнуты следующие моменты каждый заполняет свой лист самостоятельно, не советуясь с соседом и не размышляя вслух.
Участники эксперимента имели достаточно времени для обдумывания ответов. В комнате во время эксперимента не присутствовали посторонние. Ребятам была дана гарантия неразглашения (приложение 4).
Исследование самооценки качеств личности проводилось в индивидуальной форме. Каждому была изложена тема и цель исследования, дано описание и инструкция, предоставлено достаточно времени для обдумывания.
Учащиеся обеих экспериментальных групп проявили интерес к данной теме, задумались над вопросом «Почему я ставлю именно это качество на первое место?» (приложение 4).
3. Практическая часть
3.1. Обработка данных социометрического эксперимента.
Обработка результатов социометрического изучения детской группы осуществляем следующим образом: в заготовленных социометрических таблицах (см. приложение 1), мы фиксируем выборы детей. Потом осуществляем подсчет выборов, полученных каждым ребенком и находим взаимные выборы, которые подсчитываем и записываем.
Далее результаты экспериментов оформляем графически в виде карт групповой дифференциации (см. приложение 2). Вначале чертим четыре концентрические окружности, делим их диаметром пополам. Справа располагаем мальчиков, слева – девочек. Мальчиков изобразим в виде треугольников, девочек в виде кружков. Размещение детей на социограмме будет соответствовать числу полученных ими выборов. Так, в центральной окружности будут находиться дети, получившие 5 и больше выборов – 1 группа, второй круг – 2 группа – 3-4 выборов; третий круг – 1-2 выбора; четвертый круг – ни одного выбора.
Потом, соединив линиями выбора детей, мы увидим характер связей, особенности половых дифференцировок, взаимных симпатий, явления «неразделенной любви».
Следующий этап работы – определение диагностических показателей социометрического исследования и их интерпретация. В качестве таковых выступают:
а) социометрический статус ребенка в системе межличностных отношений.
Статус ребенка определяется числом полученных им выборов. Дети могут быть отнесены в зависимости от этого к одной из 4-х статусных категорий:
1 – «лидеры» : 5 и более выборов,
2 – «предпочитаемые» - 3-4 выбора,
3 – «принебрегаемые» - 1-2 выбора,
4 – «отверженные» - 0 выборов.
1 и 2 статусная группы являются благоприятными. Исходя из этого, мы можем знать насколько благоприятен статус каждого ребенка в группе. Иными словами, насколько ребенок желанен в системе межличностных отношений, испытывают ли к нему дети симпатию или нет. В зависимости от этого можно говорить об эмоциональном климате группы для каждого воспитанника: теплый, благоприятный, холодный, отчужденный.
б) уровень благополучия взаимоотношений (УБВ). Если большинство детей группы оказывается в благоприятных (1 и 2) статусных категориях, УБВ определяется как высокий, при одинаковом соотношении - как средний, при преобладании в группе детей с неблагоприятным статусом - как низкий, означающий неблагополучие большинства детей в системе межличностных отношений, их неудовлетворенность в общении, признании сверстниками;
в) индекс изолированности (ИИ). Группу можно считать благополучной, если в ней нет изолированных, или их число достигает 5-6%, менее благополучной, если ИИ = 15-25%;
г) мотивация социометрических выборов: выясняется, какие мотивы лежат в основе предложений каждого ребенка, в какой степени дети разного пола, возраста осознают мотив своего избирательного отношения к сверстникам;
д) половая дифференциация взаимоотношений.
В результате проведенного социометрического исследования в группе детей младшего подросткового возраста с целью изучения характеристики межличностных отношений мы определили следующие диагностические показатели:
а). В результате статусные категории каждого ребенка:
в экспериментальной группе «А»:
лидеры – 9 человек.
предпочитаемые – 3 человека.
принебрегаемые – 8 человек.
отверженные – 5 человек.
в экспериментальной группе «В»:
лидеры – 7 человек.
предпочитаемые – 7 человека.
принебрегаемые – 7 человек.
отверженные – 4 человек.
Исходя из полученных данных можно сделать вывод (смотри график 3.1.):
в экспериментальной группе «А» более 50% детей имеют неблагоприятный статус, а 48% относятся к первой и второй статусным группам;
в экспериментальной группе «В» более 50% детей имеют благоприятный статус, т.е относятся к первой и второй статусным группам, а 44% имеют третий и четвертый статус.

Рассмотрев отдельно мальчиков и девочек по определению социометрического статуса (см. график 3.2.) очевидно, что:
в экспериментальной группе «А» 38 % мальчиков имеют первую статусную категорию (лидеры), что на 13 % больше, чем в экспериментальной группе «В» (25 %);
из графика также видно, что: 8 % мальчиков экспериментальной группы «А» относятся к предпочитаемым, а в экспериментальной группе «Б» их –25 %;
к третьей статусной категории относятся 23 % в экспериментальной группа «А» и 33 % в экспериментальной группе «Б»;
к четвертой статусной категории относятся 31 % мальчиков экспериментальной группы «А», что на 4 % меньше, чем в экспериментальной группе «Б» (17 %).
Сравнив данные графика также можно видеть, что:
в экспериментальной группе «А» 34 % девочек имеют первую статусную категорию, а в экспериментальной группе «Б» - 31 %.
к предпочитаемым относятся 8% девочек в экспериментальной группе «А» и 31 % в экспериментальной группе «Б»;
третью статусную категорию (принебрегаемые) имеют 50 % девочек в экспериментальной группе «А» и 23 % в экспериментальной группе «Б»;
к категории отверженные относятся в экспериментальной группе «А» 8% и в экспериментальной группе «Б» 15 %.

Изучив полученные результаты по определению социологического статуса каждого члена группы можно сделать вывод, что в экспериментальной группе «Б» эмоциональный климат группы для каждого воспитанника более благоприятный, теплый, чем в экспериментальной группе «А».
б.) В экспериментальной группе «А» уровень благополучия взаимоотношений (УБВ) можно определить как низкий, т.к. в группе преобладают дети с неблагоприятным статусом – 52 %.
В экспериментальной группе «Б» УБВ – высокий, т.к. большинство детей находятся в благоприятных (1 и 2) статусных категориях – 56%.
Вывод: низкий УБВ в экспериментальной группе «А» означает неблагополучие большинства детей в системе межличностных отношений, их неудовлетворенность в общении, признании сверстниками.
в). данные экспериментальные группы можно считать менее благополучными, так как индекс изолированности в группе А- 20%, в группе Б- 16%, то есть статусную категорию «отверженные» в группе А имеют 5 человек, в группе Б 4 человека.
г). Мотивация социометрических выборов: Выяснили, каким образом дети мотивировали свои выборы. При проведении социометрического исследования ребятам было предложено обозначить свои выборы одним, или несколькими из предложенных мотивов (приложение 4). Общая таблица, которая отражает мотивирование своих выборов участниками социометрического исследования представлена в приложении 5. Из просмотра этой таблицы становится видно, что преобладающими мотивами являются 1 ("Потому, что он веселый и с ним можно общаться") и 14 ("Потому, что мне нужен такой друг /подруга/"). Такая мотивация очень характерна для подросткового возраста – межличностные отношения постепенно выходят на первый план. Ни разу не были названы мотивы 4 ("Потому, что мы вместе ходим на одну секцию") и 6 ("Потому, что мы вместе отдыхали летом"), хотя это просто могло не иметь места. Большой процент имеет мотив "на наличие определенных высоко ценимых качеств у ребенка", к примеру мотив ("Потому, что он не жадный") был назван в экспериментальной группе «А» - 22 раза, экспериментальной группе «Б» - 21 раз и находится на третьем месте "по популярности". Причем определение мотивов выборов практически не зависит от статуса ребенка (конечно, ребенок не знает своего статуса). Всеми участниками опроса, и теми, которые не получили выборов, и теми, которые получили большее количество выборов предпочтение было отдано 1,2 и 14 мотивам. Знания все еще "имеют цену" у этих ребят – мотив "потому, что он много знает" был назван как представителем "лидеров", так и представителем "отверженных". Практически не была замечена какая - либо дифференциация выбора мотивов в зависимости от половой принадлежности опрошенных, т.е. мотивы мальчиков и девочек практически ничем не отличаются. В результате можно сделать следующие выводы - в основе мотива выбора в основном находятся дружеские отношения, а также проявляется интерес к совместной деятельности с этим ребенком.
д). При исследовании половой дифференциации межличностных отношений школьников данных экспериментальных групп заметили, что:
в экспериментальной группе «А» были выявлены взаимосвязи между мальчиками и девочками, которые можно назвать взаимной симпатией, также в данной группе наблюдаются явления «неразделенной любви»: в большинстве случаев мальчики выбирают девочек; замечено также, что в группе девочек существует один «отверженный»- это член группы номер восемь, а в группе мальчиков их несколько больше- это члены группы под номерами 3,17,10,23;
в экспериментальной группе «Б» отношения завязаны на первой и второй статусных категориях; выявлены взаимосвязи в группах мальчиков и девочек, одна из них определяется как взаимная симпатия (причем мальчик и девочка относятся к разным статусным категориям), также в группе наблюдаются явления «неразделенной любви»; как в группе девочек, так и в группе мальчиков существуют свои «отверженные»- это члены группы под номерами 2,3,9,10.
3.2. Обработка данных по методике Т. Дембо - С. Рубинштейн
(определение самооценки качеств личности).
После обработки методики нам необходимо сделать сводную таблицу сырых данных (приложение 6).
Результаты проведения представленной методики в группах детей младшего подросткового возраста выглядят следующим образом:
в экспериментальной группе «А» (график 3.3.) из общего количества детей:
28% имеют высокий уровень самооценки;
56% имеют средний уровень самооценки;
16% имеют низкий уровень самооценки;
в экспериментальной группе «Б» (график 3.3.) из общего количества детей:
36% имеют высокий уровень самооценки;
52% имеют средний уровень самооценки;
12% имеют низкий уровень самооценки.

Рассмотрев отдельно мальчиков и девочек видим (график 3.4.), что:
у мальчиков экспериментальной группы «А» уровень высокой самооценки составляет 38,5%, а у мальчиков экспериментальной группы Б-33,3%;
- из графика 3.4. видно, что уровень средней самооценки у мальчиков
экспериментальной группы «Б» выше (58,3%), чем у мальчиков экспериментальной группы «А» (38,5%);
- из того же графика видно, что уровень низкой самооценки у мальчиков экспериментальной группы А составляет 23%, а у мальчиков экспериментальной группы «Б»- 9%.
Рассматривая девочек по определению уровня самооценки мы наблюдаем следующее (график 3.4.):
у девочек экспериментальной группы «А» уровень высокой самооценки составляет 16,6%, а у девочек экспериментальной группы Б-38,5%;
уровень средней самооценки у девочек экспериментальной группы «А» равно 74,4%, у девочек экспериментальной группы «Б» - 46,2%;
у девочек экспериментальной группы «А» уровень низкой самооценки составляет 9%, а у девочек экспериментальной группы Б- 15,3%

3.3. Статусное положение детей с различным уровнем самооценки.
Сопоставляя статусное положение каждого ребенка группы с присущим ему уровнем самооценки, мы получили следующие результаты (график 3.5.):
А). В экспериментальной группе «А»:
из общего количества детей первого статуса (лидеры) 78% детей имеют высокий уровень самооценки и 22% имеют средний уровень самооценки;
из всех детей находящихся во втором статусе (предпочитаемые) 100% детей имеют средний уровень самооценки;
100% детей, относящихся к третей статусной категории (принебрегаемые) имеют средний уровень самооценки;
из всех детей, находящихся в четвертой статусной категории (отверженные)- 80% имеют низкий уровень самооценки и 20% детей имеют средний уровень самооценки.
В). В экспериментальной группе Б:
из общего количества детей первого статуса (лидеры) 71% имеют высокий уровень самооценки и 29% имеют средний уровень самооценки;
из всех детей находящихся во втором статусе (предпочитаемые) 57% имеют высокий уровень самооценки и 43% имеют средний уровень самооценки;
из всех детей третей статусной категории (принебрегаемые) 100 % имеют средний уровень самооценки;
из всех детей находящихся в четвертой статусной категории (отверженные) 25% имеют средний уровень самооценки и 75% имеют низкий уровень самооценки.

В результате исследования связи самооценки школьника с его статусным положением в системе межличностных отношений мы пришли к следующим выводам: самооценка подростка в целом тем ниже, чем ниже его статусное положение в группе, однако изменения самооценки при переходе из одной статусной группы в другую незначительны.
3.4. Математическая обработка результатов исследования.

Для
подтверждения
гипотезы нами
был использован
метод расчета
коэффициента
корреляции
вычисляемый
по формуле
Пирсона:
Где: n – объем группы;
Х – первичные результаты показателя социометрического статуса;
У – первичные результаты уровня самооценки;
ХУ – алгебраическая сумма первичных результатов.
Расчеты коэффициента корреляции были произведены с применением ЭВМ, полученные данные занесены в таблицы 3.1. и 3.2. приложения 7.
На основе данных вычисления можно сделать вывод: полученный коэффициент корреляции в экспериментальной группе «А»
rху= 0,92, а в экспериментальной группе «Б» - rху= 0,90 свидетельствуют о том, что обе величины взаимосвязаны.
Сравнив статусное положение с уровнем самооценки (приложение 7 таблицы 7.3., 7.4.) мы пришли к следующим выводам:
в экспериментальной группе «А» у детей имеющих 1 и 2 статусную категорию - rху= 0,54, а у детей имеющих 3 и 4 статусную категорию rху= 0,92;
в экспериментальной группе «А» у детей имеющих 1 и 2 статусную категорию - rху= 0,45, а у детей имеющих 3 и 4 статусную категорию rху= 0,91;
Следовательно, наша гипотеза подтверждается: дети с низким статусным положением имеют более низкую самооценку, чем дети имеющие высокий статус.
Выводы и рекомендации
В нашем психодиагностическом исследовании были достигнуты следующие результаты:
На основании анализа литературных источников описаны основные аспекты межличностных отношений в группе детей младшего подросткового возраста, даны представления о самооценке детей данного возраста.
После проведенной исследовательской работы можно сделать следующие выводы:
в экспериментальной группе «А» большинство детей имеют
неблагоприятный статус (52%), то есть относятся к категориям «отверженные» и «принебрегаемые», а в экспериментальной группе «Б» большинство детей имеют первый и второй статус (56%), то есть относятся к категориям «лидеры» и «предпочитаемые». Следовательно в экспериментальной группе «Б» большинство детей благополучны в системе межличностных взаимоотношений, удовлетворены в общении, признании сверстниками;
в данных экспериментальных группах существует несколько
взаимосвязей, которые можно определить как «взаимная симпатия» между мальчиками и девочками, а также в группах наблюдаются явления «неразделенной любви»;
- мотивация выборов в большинстве случаев определяется желанием
общаться, иметь общее дело;
самооценка детей данных экспериментальных групп находится в
пределах нормы (средний уровень), но также есть дети, которые имеют высокий и низкий уровень самооценки;
математическая обработка данных показала, что дети с низким
статусным положением имеют более низкую самооценку, чем дети,
имеющие высокий статус.
После выводов, сделанных на основе результатов исследования можно дать следующие рекомендации:
Необходимо изучить систему личных отношений детей в группе, для того чтобы целенаправленно формировать эти отношения, чтобы создать для каждого ребенка в группе благоприятный эмоциональный климат, а также для большей продуктивности целенаправленной воспитательной деятельности учителя.
Нельзя оставлять без внимания непопулярных детей. Следует выявить и развить у них положительные качества, поднять заниженную самооценку, уровень притязаний, чтобы улучшить их положение в системе межличностных отношений. Также необходимо учителю пересмотреть свое личное отношение к этим детям.
Заключение
В процессе проведенного исследования влияния статусного положения ребенка в группе на формирование уровня его самооценки можно сказать, что моя гипотеза подтвердилась, так как по полученным результатам мы видим, что чем выше статус ребенка в группе, тем более высокий уровень самооценки выявляется в процессе экспериментов.
Изучение природы межличностных отношений непростая задача. Особенно сложно она решаема в детских коллективах. В своей работе мы попытались решить одну достаточно важную задачу – процесс влияния взаимоотношений между детьми, в его повседневной, обыденной форме, а именно, те его аспекты, которые раскрываются в непосредственном общении между подростками, в совместной деятельности разнопланового характера, на формирование уровня самооценки школьника, а соответственно и на формирования уровня его притязаний.
Проведенные исследования также дают материал для дальнейшего, более глубокого изучения межличностных отношений как в данном возрасте – младшего подростничества, так и в других возрастах, при условии дополнительного изучения особенностей соответствующего возраста предполагаемых испытуемых. Они так – же дают материал для работы как непосредственно в исследованной группе, так и в других, подобных группах школьников младшего подросткового возраста.
Андреева Г.М. Социальная психология. - М.: Издательство Московского Университета, 1980. - 195с.
Байярд Р.Т. Ваш беспокойный подросток. – М.: Просвещение, 1991. – 63с.
Битянова М.Р. Социальная психология. – М.: Просвещение, 1994. – 83с.
Божович Л.И. Проблемы формирования личности. – М.: Просвещение, 1995. – 352с.
Бодалев А.А. Личность и общение: избранные труды. - М.: Просвещение, 1983. – 274с.
Бурлачук Л.Ф., Морозов С.М. Словарь – справочник по психодиагностике. – СПб.: Питер Ком, 1999г. – 528с.
Выготский Л.С. Собрание сочинений: в 6 т. – М.: Просвещение, 1984. – 374с.
Драгунова Т.В., Эльконин Д.Б. Возрастные и индивидуальные особенности младших подростков. – М.: Просвещение, 1967. – 156с.
Давыдов В. В., Драгунова Т. В., Ительсон Л. Б., Петровский А. В. Возрастная и педагогическая психология: учебник для студентов пед. институтов. - М.: Просвещение, 1979. - 288с.
Донцов А.И. Психология коллектива. - М.: Издательство Московского Университета, 1984. - 174с.
Дубровина И.В., Лисина М.И. Возрастные особенности психического развития детей. – М.: АПН СССР, 1982. – 164с.
Карпенко Л.А., Петровский А. В. Краткий психологический словарь. - М.: Просвещение, 1981. – 195с.
Крылов А.А. Практикум по общей и экспериментальной психологии. – Л.: Издательство Ленинградского Университета, 1987. – 256с.
Кондратьева С.В. Практическая психология: учебно-методическое пособие. – Минск: Университетское, 1997. – 212с.
Крутецкий В.А. Психология. Учебник для учащихся пед. училищ. 2-е изд. - М.: Просвещение, 1986г. 147с.
Кузьмин Е.С. Методы социальной психологии. - Л.: ЛГУ, 1977. – 168с.
Липкина А.И. Самооценка школьника. – М.: Знание, 1976. – 64с.
Мадорский Л.Р. Глазами подростков. Книга для учителя. – М.: Просвещение, 1991. – 176с.
Немов Р. С. Психология. Учебник для студентов высш. пед. учеб. заведений. В 3-х кн-х. Кн. 1 Общие основы психологии- 2-е изд. - М.: Просвещение, ВЛАДОС, 1994. -573с.
Овчарова Р.В. Справочная книга школьного психолога. – М.: Просвещение, 1993. – 256с.
Петровский В.В., Шпалинский В.В. Социальная психология коллектива. Учебное пособие для студентов пед. институтов. - М.: Просвещение, 1978.- 117с.
Петровский А.В., Абраменкова В.В. Социальная психология: учебное пособие для студентов пед. Институтов. - М.: Просвещение, 1987. – 147с.
Петровский А.В. Личность. Деятельность. Коллектив. – М.: Знание, 1982. – 179с.
Рогов Е. И. Настольная книга практического психолога в образовании: учебное пособие. - М.: ВЛАДОС, 1996. -529с.
Столяренко Л.Д. Основы психологии. – Ростов на Дону: Феникс, 1997. – 214с.
Шевандрин Н.И. Психодиагностика, коррекция и развитие личности. - М.: ВЛАДОС, 1998. -508с.
Фельдштейн Д.И. Психология современного подростка М.: Педагогика, 1988. – 114с.
Фельдштейн Д.И. Психологические аспекты изучения современного подростка. М.: «Вопросы психологии», 1985. – 32с.
Фридман Л.И., Кулагина И.Ю. Психологический справочник учителя. - М.: Просвещение, 1991.- 161с.
Список используемой литературы
Оглавление
Стр.
Введение. 3
Глава 1. Особенности развития межличностных взаимоотношений
и самооценки детей младшего подросткового возраста 7
1.1. Психологическая характеристика группы и коллектива 7
1.1.1. Социально-психологическая характеристика групп 7
1.1.2. Социальная коллективность. Отношепние между
индивидом и группой 15
1.2. Структура межличностных отношений в группах детей и подростков 19
Психологическая характеристика и особенности межличностных взаимоотношений детей младшего подросткового возраста 25
Понятие “самооценка” 29
Особенности развития самооценки детей младшего
подросткового возраста 32
Глава 2. Экспериментальное изучение межличностных взаимоотношений и самооценки детей младшего подросткового возраста 33
2.1. Описание методик 33
2.1.1. Социометрический эксперимент 33
2.1.2. Методика изучения самооценки качеств личности 39
2.2. Описание выборки испытуемых 40
2.3. Описание условий и процедуры эксперимента 40
Глава 3. Практическая часть 41
3.1. Обработка данных социометрического эксперимента 41
3.2. Обработка данных методики Дембо – Рубинштейна 49
3.3. Статусное положение детей с различным уровнем самооценки 53
3.4. Математическая обработка результатов исследования 55
Выводы и рекомендации 57
Заключение 59
Список использованной литературы 60
Приложения 62
Приложение 1.
Список детей экспериментальной группы А.
-
№ п/п
ИМЯ
Мальчик / девочка
Оксана А. Д
Алеша Б. М Егор Б. М Катя Б. Д Андрей В. М Костя Е. М Дима З. М Юля И. Д Оксана И. Д Игорь К. М Лиза К. Д Валя М. Д Саша М. М Коля Н. М Саша П. М Оля П. Д Андрей Р. М Света Р. Д Юля С. Д Вова С. М Андрей Т. М Таня Т. Д Костя У. М Маша Ф. Д Зина Я. Д
Список детей экспериментальной группы Б.
-
№ п/п
ИМЯ
Мальчик / девочка
Артем Б. М
Гриша Б. М Света В. Д Егор Г. М Лена Д. Д Оля Е. Д Юля Ж. Д Таня З. Д Игорь И. М Люба К. Д Дима К. М Жанна Л. Д Денис Л. М Марина М. Д Саша М. М Вова Н. М Маша П. Д Андрей П. М Саша Р. М Юра С. М Юля С. Д Света Т. Д Катя Т. Д Андрей Ч. М Оля Ч. Д
Экспериментальная группа «А».
|
№п/п |
Учащиеся с первой и второй статусной категорией |
||||
|
X |
Y |
XY |
XX |
YY |
|
| 1 | 3,6 | 2,5 | 9,0 | 13,0 | 6,3 |
| 2 | 4,5 | 5,5 | 24,8 | 20,3 | 30,3 |
| 4 | 4,2 | 5,5 | 23,1 | 17,6 | 30,3 |
| 5 | 3,7 | -0,5 | -1,9 | 13,7 | 0,3 |
| 7 | 4,1 | 5,5 | 22,6 | 16,8 | 30,3 |
| 11 | 4,1 | 5,0 | 20,5 | 16,8 | 25,0 |
|
12 |
3,9 | 5,5 | 21,5 | 15,2 | 30,3 |
| 15 | 4,1 | 5,0 | 20,5 | 16,8 | 25,0 |
| 20 | 4,2 | 4,5 | 18,9 | 17,6 | 20,3 |
| 21 | 4,6 | 3,5 | 16,1 | 21,2 | 12,3 |
| 25 | 3,7 | 3,0 | 11,1 | 13,7 | 9,0 |
Сумма |
44,7 |
45 |
186,1 |
182,7 |
219 |
|
Ср. арифм. |
4,1 |
4,1 |
|||
|
rху = 0,54 |
|||||
|
№п/п |
Учащиеся с третьей и четвертой статусной категорией |
||||
|
X |
Y |
XY |
XX |
YY |
|
| 3 | 3,3 | -3,0 | -9,9 | 10,9 | 9,0 |
| 6 | 3,6 | 2,0 | 7,2 | 13,0 | 4,0 |
| 7 | 4,1 | 5,5 | 22,6 | 16,8 | 30,3 |
| 8 | 2,5 | -10,0 | -25,0 | 6,3 | 100,0 |
| 9 | 3,1 | -5,5 | -17,1 | 9,6 | 30,3 |
| 10 | 2,9 | -7,0 | -20,3 | 8,4 | 49,0 |
| 13 | 3,2 | -7,5 | -24,0 | 10,2 | 56,3 |
| 14 | 3,5 | -1,5 | -5,3 | 12,3 | 2,3 |
| 16 | 3,6 | 1,0 | 3,6 | 13,0 | 1,0 |
| 17 | 2,5 | -8,5 | -21,3 | 6,3 | 72,3 |
| 18 | 3,6 | 4,5 | 16,2 | 13,0 | 20,3 |
| 19 | 3,6 | 1,5 | 5,4 | 13,0 | 2,3 |
| 22 | 3,3 | -3,5 | -11,6 | 10,9 | 12,3 |
| 23 | 2,3 | -10,5 | -24,2 | 5,3 | 110,3 |
| 24 | 3,5 | -0,5 | -1,8 | 12,3 | 0,3 |
Сумма |
44,5 |
-48,5 |
-127,8 |
144,2 |
469,3 |
|
Ср. арифм. |
3,2 |
-3,5 |
|||
|
rху = 0,92 |
|||||
Таблица 7.3. Расчет коэффициента корреляции по Пирсону, для сравнения статусного положения детей с различным уровнем самооценки.
Экспериментальная группа «Б».
|
№п/п |
Учащиеся с первой и второй статусной категорией |
||||
|
X |
Y |
XY |
XX |
YY |
|
| 1 | 4,6 | 5,5 | 25,3 | 21,2 | 30,3 |
| 5 | 4,1 | 0,0 | 0,0 | 16,8 | 0,0 |
| 6 | 4,3 | 3,0 | 12,9 | 18,5 | 9,0 |
| 7 | 3,6 | 3,0 | 10,8 | 13,0 | 9,0 |
| 8 | 3,8 | 2,0 | 7,6 | 14,4 | 4,0 |
| 12 | 4,1 | 5,5 | 22,6 | 16,8 | 30,3 |
| 13 | 4,5 | 5,5 | 24,8 | 20,3 | 30,3 |
| 14 | 4 | 5,5 | 22,0 | 16,0 | 30,3 |
| 15 | 3,7 |
3,0 |
11,1 | 13,7 | 9,0 |
| 16 | 4,1 | 4,0 | 16,4 | 16,8 | 16,0 |
| 17 | 3,7 | 3,5 | 13,0 | 13,7 | 12,3 |
| 18 | 4,1 | 3,5 | 14,4 | 16,8 | 12,3 |
| 19 | 3,9 | 1,5 | 5,9 | 15,2 | 2,3 |
| 21 | 4 | 3,5 | 14,0 | 16,0 | 12,3 |
Сумма |
56,5 |
49,0 |
200,6 |
229,1 |
207,0 |
|
Ср. арифм. |
4,0 |
3,5 |
|||
|
rху = 0,45 |
|||||
|
№п/п |
Учащиеся с третьей и четвертой статусной категорией |
||||
|
X |
Y |
XY |
XX |
YY |
|
| 2 | 3,3 | -3,0 | -9,9 | 10,9 | 9,0 |
| 3 | 2,8 | -12,5 | -35,0 | 7,8 | 156,3 |
| 4 | 3,5 | 0,5 | 1,8 | 12,3 | 0,3 |
| 9 | 2,8 | -7,5 | -21,0 | 7,8 | 56,3 |
| 10 | 2,9 | -9,5 | -27,6 | 8,4 | 90,3 |
| 11 | 3,2 | -5,5 | -17,6 | 10,2 | 30,3 |
| 20 | 3,1 | -6,5 | -20,2 | 9,6 | 42,3 |
| 22 | 3,4 | -3,5 | -11,9 | 11,6 | 12,3 |
| 23 | 3,7 | -2,5 | -9,3 | 13,7 | 6,3 |
| 24 | 3,5 | -3,0 | -10,5 | 12,3 | 9,0 |
| 25 | 3,8 | 1,5 | 5,7 | 14,4 | 2,3 |
Сумма |
36,0 |
-51,5 |
-155,4 |
119,0 |
414,3 |
|
Ср. арифм. |
3,3 |
-4,7 |
|||
|
rху = 0,91 |
|||||
Таблица 7.4. Расчет коэффициента корреляции по Пирсону, для сравнения статусного положения детей с различным уровнем самооценки.
Приложение 7.
Экспериментальная группа «А».
|
№п/п |
X |
Y |
XY |
XX |
YY |
| 1 | 3,6 | 2,5 | 9,0 | 13,0 | 6,3 |
| 2 | 4,5 | 5,5 | 24,8 | 20,3 | 30,3 |
| 3 | 3,3 | -3,0 | -9,9 | 10,9 | 9,0 |
| 4 | 4,2 | 5,5 | 23,1 | 17,6 | 30,3 |
| 5 | 3,7 | -0,5 | -1,9 | 13,7 | 0,3 |
| 6 | 3,6 | 2,0 | 7,2 | 13,0 | 4,0 |
| 7 | 4,1 | 5,5 | 22,6 | 16,8 | 30,3 |
| 8 | 2,5 | -10,0 |
-25,0 |
6,3 | 100,0 |
| 9 | 3,1 | -5,5 | -17,1 | 9,6 | 30,3 |
| 10 | 2,9 | -7,0 | -20,3 | 8,4 | 49,0 |
| 11 | 4,1 | 5,0 | 20,5 | 16,8 | 25,0 |
| 12 | 3,9 | 5,5 | 21,5 | 15,2 | 30,3 |
| 13 | 3,2 | -7,5 | -24,0 | 10,2 | 56,3 |
| 14 | 3,5 | -1,5 | -5,3 | 12,3 | 2,3 |
| 15 | 4,1 | 5,0 | 20,5 | 16,8 | 25,0 |
| 16 | 3,6 | 1,0 | 3,6 | 13,0 | 1,0 |
| 17 | 2,5 | -8,5 | -21,3 | 6,3 | 72,3 |
| 18 | 3,6 | 4,5 | 16,2 | 13,0 | 20,3 |
| 19 | 3,6 | 1,5 | 5,4 | 13,0 | 2,3 |
| 20 | 4,2 | 4,5 | 18,9 | 17,6 | 20,3 |
| 21 | 4,6 | 3,5 | 16,1 | 21,2 | 12,3 |
| 22 | 3,3 | -3,5 | -11,6 | 10,9 | 12,3 |
| 23 | 2,3 | -10,5 | -24,2 | 5,3 | 110,3 |
| 24 | 3,5 | -0,5 | -1,8 | 12,3 | 0,3 |
| 25 | 3,7 | 3,0 | 11,1 | 13,7 | 9,0 |
Сумма |
89,2 |
-3,5 |
58,3 |
326,8 |
688,3 |
|
Ср. арифм. |
3,568 |
-0,14 |
rху = 0,92
Таблица 7.1. Расчет коэффициента корреляции по Пирсону.
Экспериментальная группа «Б».
|
№п/п |
X |
Y |
XY |
XX |
YY |
| 1 | 4,6 | 5,5 | 25,3 | 21,2 | 30,3 |
| 2 | 3,3 | -3,0 | -9,9 | 10,9 | 9,0 |
| 3 | 2,8 | -12,5 | -35,0 | 7,8 | 156,3 |
| 4 | 3,5 | 0,5 | 1,8 | 12,3 | 0,3 |
| 5 | 4,1 | 0,0 | 0,0 | 16,8 | 0,0 |
| 6 | 4,3 | 3,0 | 12,9 | 18,5 | 9,0 |
| 7 | 3,6 | 3,0 | 10,8 | 13,0 | 9,0 |
| 8 | 3,8 | 2,0 | 7,6 | 14,4 | 4,0 |
| 9 | 2,8 | -7,5 | -21,0 | 7,8 | 56,3 |
| 10 | 2,9 | -9,5 | -27,6 | 8,4 | 90,3 |
| 11 | 3,2 | -5,5 | -17,6 | 10,2 | 30,3 |
| 12 | 4,1 | 5,5 | 22,6 | 16,8 | 30,3 |
| 13 | 4,5 | 5,5 | 24,8 | 20,3 | 30,3 |
| 14 | 4 | 5,5 | 22,0 | 16,0 | 30,3 |
| 15 | 3,7 | 3,0 | 11,1 | 13,7 | 9,0 |
| 16 | 4,1 | 4,0 | 16,4 | 16,8 | 16,0 |
| 17 | 3,7 | 3,5 | 13,0 | 13,7 | 12,3 |
| 18 | 4,1 | 3,5 | 14,4 | 16,8 | 12,3 |
| 19 | 3,9 | 1,5 | 5,9 | 15,2 | 2,3 |
| 20 | 3,1 | -6,5 | -20,2 | 9,6 | 42,3 |
| 21 | 4 | 3,5 | 14,0 | 16,0 | 12,3 |
| 22 | 3,4 | -3,5 | -11,9 | 11,6 | 12,3 |
|
23 |
3,7 | -2,5 | -9,3 | 13,7 | 6,3 |
| 24 | 3,5 | -3,0 | -10,5 | 12,3 | 9,0 |
| 25 | 3,8 | 1,5 | 5,7 | 14,4 | 2,3 |
Сумма |
92,5 |
-2,5 |
45,2 |
348,2 |
621,3 |
|
Ср. арифм. |
3,7 |
-0,1 |
rху = 0,90
Таблица 7.2. Расчет коэффициента корреляции по Пирсону.
Приложение 2.
Экспериментальная группа «А».
|
№ в списке |
1 |
2 |
3 |
4 |
5 |
6 |
7 |
8 |
9 |
10 |
11 |
12 |
13 |
14 |
15 |
16 |
17 |
18 |
19 |
20 |
21 |
22 |
23 |
24 |
25 |
|
1 |
1 |
0,5 |
2 |
-0,5 |
-1 |
-2 |
|||||||||||||||||||
|
2 |
-2 |
0,5 |
-1 |
1 |
-0,5 |
2 |
|||||||||||||||||||
|
3 |
2 |
1 |
-0,5 |
0,5 |
-1 |
-2 |
|||||||||||||||||||
|
4 |
2 |
1 |
-2 |
0,5 |
-1 |
-0,5 |
|||||||||||||||||||
|
5 |
1 |
-1 |
-2 |
2 |
-0,5 |
0,5 |
|||||||||||||||||||
|
6 |
0,5 |
1 |
-1 |
-0,5 |
2 |
-2 |
|||||||||||||||||||
|
7 |
-0,5 |
0,5 |
-2 |
2 |
1 |
-1 |
|||||||||||||||||||
|
8 |
0,5 |
1 |
2 |
-1 |
-0,5 |
-2 |
|||||||||||||||||||
|
9 |
-2 |
-1 |
1 |
2 |
0,5 |
||||||||||||||||||||
|
10 |
-2 |
0,5 |
2 |
1 |
-0,5 |
-1 |
|||||||||||||||||||
|
11 |
1 |
-2 |
-0,5 |
-1 |
0,5 |
2 |
|||||||||||||||||||
|
12 |
1 |
-2 |
2 |
-0,5 |
0,5 |
-1 |
|||||||||||||||||||
|
13 |
1 |
-1 |
0,5 |
2 |
-2 |
-0,5 |
|||||||||||||||||||
|
14 |
0,5 |
2 |
-1 |
-2 |
-0,5 |
1 |
|||||||||||||||||||
|
15 |
2 |
0,5 |
-1 |
1 |
-2 |
-0,5 |
|||||||||||||||||||
|
16 |
-1 |
-2 |
2 |
0,5 |
-0,5 |
1 |
|||||||||||||||||||
|
17 |
2 |
-2 |
-1 |
1 |
0,5 |
-0,5 |
|||||||||||||||||||
|
18 |
0,5 |
-1 |
-2 |
1 |
-0,5 |
2 |
|||||||||||||||||||
|
19 |
1 |
-1 |
-2 |
0,5 |
-0,5 |
2 |
|||||||||||||||||||
|
20 |
0,5 |
-0,5 |
2 |
-1 |
1 |
-2 |
|||||||||||||||||||
|
21 |
-0,5 |
-2 |
1 |
2 |
0,5 |
-1 |
|||||||||||||||||||
|
22 |
-2 |
1 |
-0,5 |
-1 |
0,5 |
2 |
|||||||||||||||||||
|
23 |
0,5 |
1 |
-0,5 |
-1 |
-2 |
2 |
|||||||||||||||||||
|
24 |
-2 |
2 |
0,5 |
1 |
-1 |
-0,5 |
|||||||||||||||||||
|
25 |
0,5 |
2 |
-0,5 |
-1 |
-2 |
1 |
|||||||||||||||||||
|
сумма б. |
2,5 |
5,5 |
-3,0 |
5,5 |
3,5 |
2,0 |
5,5 |
-10,0 |
-5,5 |
-7,0 |
5,0 |
5,5 |
-7,5 |
-1,5 |
5,0 |
1,0 |
-8,5 |
4,5 |
1,5 |
4,5 |
3,5 |
-3,5 |
-10,5 |
-0,5 |
3,0 |
|
колич. + |
3 |
8 |
0 |
7 |
4 |
2 |
5 |
0 |
1 |
0 |
5 |
6 |
2 |
1 |
5 |
2 |
0 |
3 |
2 |
6 |
7 |
1 |
0 |
1 |
5 |
|
колич. - |
1 |
1 |
2 |
2 |
2 |
1 |
2 |
7 |
3 |
6 |
1 |
2 |
6 |
2 |
3 |
3 |
6 |
0 |
0 |
3 |
3 |
1 |
7 |
2 |
5 |
Таблица 2.1. Таблица социометрических выборов.
Экспериментальная группа «Б».
-
№ в списке
1
2
3 4
5
6
7
8
9
10
11
12
13
14
15
16
17
18
19
20
21
22
23
24
25
1
-0,5
-1
-2
2
0,5
1
2
1
-2
0,5
-1
2
-0,5
3
-1
-2
-0,5
2
1
0,5
4
-1
1
2
-2
0,5
-0,5
5
0,5
-0,5
-2
2
-1
1
6
-0,5
1
2
-1
0,5
-2
7
1
-1
2
-2
0,5
-0,5
8
-0,5
0,5
2
-1
1
-2
9
0,5
-1
2
-2
1
10
-1
-0,5
1
2
-2
0,5
11
-0,5
-1
2
1
-2
0,5
12
0,5
2
-2
-1
-0,5
1
13
-2
-0,5
2
0,5
-1
1
14
1
-1
2
-2
0,5
-0,5
15
-2
0,5
-1
2
-0,5
1
16
-0,5
-1
1
0,5
2
-2
17
2
-2
1
-0,5
-1
0,5
18
2
-1
1
0,5
-0,5
-2
19
1
0,5
-2
2
-1
-0,5
20
1
-1
-0,5
2
0,5
-2
21
-1
1
-2
2
-0,5
0,5
22
-1
2
0,5
-0,5
1
-2
23
-2
-1
1
-0,5
0,5
2
24
2
-0,5
-2
0,5
1
-1
25
-2
-1
-0,5
2
1
0,5
сумма б.
5,5
-3,0
-12,5
0,5
3,0
3,0
3,0
2,0
-7,5
-9,5
-5,5
5,5
5,5
5,5
3,0
4,0
3,5
3,5
1,5
-6,5
3,5
-3,5
-2,5
-3,0
1,5
колич. +
7
0
0
2
3
4
5
3
0
0
2
4
5
5
4
3
5
6
4
2
7
1
1
1
2
колич. -
3
4
8
1
3
2
4
2
5
6
4
0
2
3
2
2
3
2
1
4
1
3
2
4
0
Таблица 2.2. Таблица социометрических выборов.
Приложение 3.
Экспериментальная группа «А».


График 3.1. Карта групповой дифференциции.
Экспериментальная группа «Б».

График 3.1. Карта групповой дифференцаци.
График 3.2. Карта групповой дифференциции.

Приложение 4.
Опросный лист №1.
Социометрический эксперимент.
Инструкция: Выбери из вашего класса трёх учеников в порядке твоего предпочтения и укажи их фамилии в прямоугольниках, расположенных после задания. Через тире укажи номер причины, по которой ты делаешь свой выбор (на другой стороне опросного листа написаны 14 причин). Напиши внизу листа свою фамилию и имя.
Отвечать нужно искренне и точно. Гарантируем неразглашение ваших ответов.
![]()
Напиши 3 фамилии учеников из Вашего класса (мальчика или девочку) с кем бы Ты больше всего хотел дружить и заниматься интересным делом.

Напиши через запятую фамилии тех, кто Тебе больше всего не нравится в твоем классе.
Дата заполнения ________________
Класс__________
Имя ___________________________
Причины твоего выбора:
Потому что он веселый и с ним можно общаться.
Потому что он не жадный.
Потому что мы живем рядом.
Потому что мы вместе ходим на одну секцию.
Потому что мы давно учимся в одной школе.
Потому что мы вместе отдыхали летом.
Потому что с ним интересно.
Потому что много знает.
Потому что подсказывает и мы вместе делаем домашнее задание.
Потому что мы обмениваемся книгами.
Потому что мы вместе играем на компьютере.
Потому что он очень сильный и защищает меня.
Потому что он (она) мне нравиться.
Потому что мне нужен такой друг (подруга).
Опросный лист №2.
Методика самооценки качеств личности
(м. Т. Дембо – С. Рубинштейн)
|
Честность | Сообразительность | Трудолюбие | Щедрость | Любознательность | Общительность |
Дата заполнения ________________
Класс__________________________
Имя ______________________________________
Приложение 5.
Экспериментальная группа «А».
|
Порядковый номер |
Всего положительных выборов |
Количество выборов по мотивам |
|||||||||||||
|
1 |
2 |
3 |
4 |
5 |
6 |
7 |
8 |
9 |
10 |
11 |
12 |
13 |
14 |
||
|
|
3 | 2 | 1 | ||||||||||||
|
|
9 | 3 | 3 | 2 | 1 | ||||||||||
|
|
6 | 1 | 1 | 2 | 2 | ||||||||||
|
|
3 | 1 | 1 | 1 | |||||||||||
|
|
3 | 1 | 1 | 1 | |||||||||||
|
|
15 | 3 | 3 | 2 | 3 | 2 | 2 | ||||||||
|
|
3 | 1 | 2 | ||||||||||||
|
|
6 | 2 | 1 | 1 | 2 | ||||||||||
|
|
8 | 3 | 1 | 1 | 1 | 1 | 1 | ||||||||
|
|
3 | 1 | 1 | 1 | |||||||||||
|
|
3 | 1 | 1 | 1 | |||||||||||
|
|
5 | 1 | 1 | 1 | 1 | 1 | |||||||||
|
|
3 | 1 | 2 | ||||||||||||
|
|
9 | 2 | 2 | 1 | 1 | 1 | 1 | 1 | |||||||
|
|
10 | 2 | 3 | 3 | 2 | ||||||||||
|
|
3 | 1 | 1 | 1 | |||||||||||
|
|
3 | 1 | 1 | 1 | |||||||||||
|
|
3 | 1 | 1 | 1 | |||||||||||
|
|
3 | 1 | 1 | 1 | |||||||||||
|
|
4 | 2 | 1 | 1 | |||||||||||
|
|
4 | 1 | 1 | 2 | |||||||||||
|
|
5 | 2 | 1 | 1 | 1 | ||||||||||
|
|
3 | 1 | 1 | 1 | |||||||||||
|
|
3 | 1 | 1 | 1 | |||||||||||
|
|
4 | 1 | 1 | 2 | |||||||||||
| Всего по мотивам |
30 |
22 |
6 |
0 |
11 |
0 |
14 |
6 |
2 |
1 |
1 |
1 |
3 |
28 |
|
Таблица 5.1. Результаты изучения мотивации выборов в социометрической методике.
Экспериментальная группа «Б».
|
Порядковый номер |
Всего положительных выборов |
Количество выборов по мотивам |
|||||||||||||
|
1 |
2 |
3 |
4 |
5 |
6 |
7 |
8 |
9 |
10 |
11 |
12 |
13 |
14 |
||
|
|
3 | 1 | 1 | 1 | |||||||||||
|
|
3 | 1 | 1 | 1 | |||||||||||
|
|
15 | 3 | 3 | 2 | 3 | 2 | 2 | ||||||||
|
|
3 | 1 | 2 | ||||||||||||
|
|
6 | 2 | 1 | 1 | 2 | ||||||||||
|
|
10 | 2 | 3 | 3 | 2 | ||||||||||
|
|
3 | 1 | 1 | 1 | |||||||||||
|
|
3 | 1 | 1 | 1 | |||||||||||
|
|
3 | 1 | 1 | 1 | |||||||||||
|
|
3 | 1 | 1 | 1 | |||||||||||
|
|
4 | 2 | 1 | 1 | |||||||||||
|
|
4 | 1 | 1 | 2 | |||||||||||
|
|
5 | 2 | 1 | 1 | 1 | ||||||||||
|
|
3 | 1 | 1 | 1 | |||||||||||
|
|
3 | 1 | 1 | 1 | |||||||||||
|
|
4 | 1 | 1 | 2 | |||||||||||
|
|
15 | 3 | 3 | 2 | 3 | 2 | 2 | ||||||||
|
|
3 | 1 | 2 | ||||||||||||
|
|
6 | 2 | 1 | 1 | 2 | ||||||||||
|
|
8 | 3 | 1 | 1 | 1 | 1 | 1 | ||||||||
|
|
3 | 1 | 1 | 1 | |||||||||||
|
|
3 | 1 | 1 | 1 | |||||||||||
|
|
5 | 1 | 1 | 1 | 1 | 1 | |||||||||
|
|
3 | 1 | 2 | ||||||||||||
|
|
9 | 2 | 2 | 1 | 1 | 1 | 1 | 1 | |||||||
| Всего по мотивам |
29 |
21 |
7 |
0 |
15 |
0 |
13 |
6 |
2 |
1 |
1 |
1 |
3 |
31 |
|
Таблица 5.2. Результаты изучения мотивации выборов в социометрической методике.
Приложение 6.
Экспериментальная группа «А».
Порядковый № |
Качества личности |
Средний балл |
Уровень |
||||||
|
Доброта |
Честность |
Сообразительность |
Трудолюбие |
Щедрость |
Любознательность |
Общительность |
|||
|
|
4,2 | 3,5 | 2,7 | 3,5 | 4,3 | 5 | 2 |
3,6 |
Средний |
|
|
4,0 | 4,7 | 4,2 | 4,5 | 5,0 | 4,3 | 4,8 |
4,5 |
Высокий |
|
|
3,2 | 2,8 | 3,4 | 2,6 | 3,3 | 3,1 | 4,7 |
3,3 |
Средний |
|
|
4 | 4,2 | 4 | 5 | 3,5 | 4 | 4,7 |
4,2 |
Высокий |
|
|
4,1 | 3,6 | 2,9 | 3,7 | 4,4 | 4,8 | 2,4 |
3,7 |
Средний |
|
|
2 | 4,2 | 3,5 | 5 | 3,5 | 4,3 | 2,7 |
3,6 |
Средний |
|
|
3,9 | 4,2 | 4,9 | 4,7 | 3,2 | 3,1 | 4,6 |
4,1 |
Высокий |
|
|
2,1 | 2,9 | 2,5 | 3,1 | 3,3 | 0,5 | 3,1 |
2,9 |
Низкий |
|
|
4,2 | 3,3 | 4,9 | 4,2 | 3,9 | 4,6 | 3,1 |
3,1 |
Средний |
|
|
3,3 | 3,5 | 3,6 | 2,6 | 3,5 | 2,2 | 1,6 |
2,9 |
Низкий |
|
|
4,2 | 4,9 | 3,1 | 3,9 | 4,6 | 4,2 | 3,3 |
4,1 |
Высокий |
|
|
4 | 4,7 | 3 | 3,7 | 4,4 | 4 | 3,5 |
3,9 |
Средний |
|
|
4 | 3,7 | 2,6 | 3,2 | 3,3 | 2,4 | 3,2 |
3,2 |
Средний |
|
|
3,8 | 4 | 3,5 | 3,5 | 3,6 | 4 | 2,1 |
3,5 |
Средний |
|
|
4 | 3,6 | 4,2 | 4,9 | 3,9 | 4,1 | 4 |
4,1 |
Высокий |
|
|
3,2 | 3,8 | 3,4 | 4,8 | 3,6 | 3,4 | 3 |
3,6 |
Средний |
|
|
1,5 | 2 | 2,7 | 2,8 | 3 | 3,5 | 2 |
2,9 |
Низкий |
|
|
3,8 | 3,9 | 4,2 | 3,9 | 3,6 | 3,7 | 2,1 |
3,6 |
Средний |
|
|
4 | 3,7 | 3,8 | 4 | 3,5 | 3,2 | 3 |
3,6 |
Средний |
|
|
4,5 | 4 | 2,5 | 4,5 | 4,5 | 5 | 4,5 |
4,2 |
Высокий |
|
|
4,8 | 5 | 3,5 | 4,8 | 5 | 5 | 4,1 |
4,6 |
Высокий |
|
|
4 | 3,5 | 3,6 | 4 | 3,5 | 1,3 | 3,2 |
3,3 |
Средний |
|
|
2 | 2,2 | 3 | 2,5 | 2,6 | 2 | 2,2 |
2,9 |
Низкий |
|
|
3,5 | 3 | 5 | 4,5 | 3 | 1 | 4,5 |
3,5 |
Средний |
|
|
4 | 3,5 | 4,8 | 1,4 | 3,6 | 3,7 | 4,9 |
3,7 |
Средний |
|
В целом по классу |
3,61 |
3,69 |
3,58 |
3,81 |
3,74 |
3,45 |
3,33 |
||
Таблица 6.1. Результаты исследования самооценки качеств личности.
Экспериментальная группа «Б».
Порядковый № |
Качества личности |
Средний балл |
Уровень |
||||||
|
Доброта |
Честность |
Сообразительность |
Трудолюбие |
Щедрость |
Любознательность |
Общительность |
|||
|
|
4,5 | 4,5 | 5 | 5 | 4,5 | 3,7 | 5 |
4,6 |
Высокий |
|
|
4 | 3,5 | 2,3 | 5 | 3,5 | 0,5 | 4,3 |
3,3 |
Средний |
|
|
2,5 | 2 | 2 | 2,3 | 1,3 | 5 | 4,5 |
2,8 |
Низкий |
|
|
3,5 | 3 | 3 | 5 | 2,5 | 3 | 4,5 |
3,5 |
Средний |
|
|
3,5 | 4,2 | 2,5 | 4,5 | 4,3 | 5 | 4,7 |
4,1 |
Высокий |
|
|
4,5 | 4 | 2,6 | 4,5 | 4,5 | 5 | 5 |
4,3 |
Высокий |
|
|
3,5 | 3 | 3 | 5 | 2,5 | 3,2 | 5 |
3,6 |
Средний |
|
|
3 | 2 | 3 | 5 | 4 | 5 | 5 |
3,8 |
Средний |
|
|
3,5 | 3 | 2,5 | 2,6 | 3,5 | 1,5 | 3 |
2,8 |
Низкий |
|
|
2,5 | 2 | 2 | 4 | 3,5 | 2 | 4,5 |
2,9 |
Низкий |
|
|
2 | 2,5 | 2,5 | 5 | 2,5 | 3 | 5 |
3,2 |
Средний |
|
|
4,5 | 4 | 2,5 | 4 | 4,5 | 4,5 | 5 |
4,1 |
Высокий |
|
|
3,5 | 4,5 | 5 | 5 | 4 | 4,5 | 5 |
4,5 |
Высокий |
|
|
4 | 3,5 | 2,5 | 4,5 | 4,5 | 3,5 | 4,5 |
4 |
Высокий |
|
|
3,5 | 3 | 3 | 4,5 | 4 | 3,5 | 4,5 |
3,7 |
Средний |
|
|
3,5 | 4,6 | 5 | 4,5 | 2,6 | 3,5 | 5 |
4,1 |
Высокий |
|
|
3,5 | 2,5 | 2,5 | 4,5 | 4,5 | 4 | 3,5 |
3,7 |
Средний |
|
|
3,5 | 4 | 2,7 | 4,5 | 5 | 4 | 5 |
4,1 |
Высокий |
|
|
4,5 | 2,3 | 3 | 5 | 4,5 | 3 | 5 |
3,9 |
Средний |
|
|
4 | 2,5 | 1 | 2 | 4,5 | 3 | 5 |
3,1 |
Средний |
|
|
3,5 | 2 | 3,5 | 4,5 | 4,5 | 5 | 5 |
4 |
Высокий |
|
|
3,5 | 2,5 | 2 | 5 | 2,5 | 3 | 5 |
3,4 |
Средний |
|
|
5 | 3 | 2,5 | 3,5 | 2,5 | 4,5 | 5 |
3,7 |
Средний |
|
|
3,5 | 2,5 | 3 | 4 | 4,5 | 4,5 | 2,5 |
3,5 |
Средний |
|
|
4 | 2,5 | 3 | 4,5 | 4 | 3,5 | 5 |
3,8 |
Средний |
|
В целом по классу |
3,64 |
3,08 |
2,94 |
4,32 |
3,71 |
3,64 |
4,62 |
||
Таблица 6.2. Результаты исследования самооценки качеств личности.
Похожие рефераты:
Особенности социализации подростков в различных типах семей
Изучение агрессивности младших подростков
Влияние социально–психологических факторов на формирование коллектива класса начальной школы
Изучение отношений и предпочтений в классном коллективе
Влияние детско-родительских отношений в семье на межличностные отношения старших дошкольников
Межличностные отношения детей с задержкой психического развития
Влияние эмоциональной тревожности pебенка на его статусное положение в группе
Влияние оценки группы на самооценку подростков
Проблемы социально-психологического статуса и агрессивного поведения школьников в коллективе
Совместная деятельность семьи и школы как условие преодоления школьных неврозов
Детский праздник как ресурс адаптации ребенка в школе
Психологические особенности подростковой агрессивности
Некоторые трудности общения в подростковом возрасте
Игровые методы развития коммуникативных навыков детей дошкольного возраста

