| Скачать .docx |
Реферат: Что такое психология том 2 Годфруа Ж
Les chemins
de la psychologie
Jo Godefroid
Preface de Marc Richelle
Ж. Годфруа
Что такое психология
В 2-х томах
Том 2
Перевод с французского
канд. мед. наук Н. Н. А лилова и
В. В. Свечникова
-
под редакцией
д-ра психол. наук Г. Г. Аракелова
Москва «Мир» 1992
ББК
УДК
28.9 Г59 159.9
Г59
Годфруа Ж,
Что такое психология: В 2-х Мир, 1992.-376 с ил,
ISBN 5-03-001902-2
т. Т. 2: Пер. с франц.- М
Книга канадского автора - учебник общей психологин с основами физиологии высшей нервной деятельности. Том 2 посвящен проблемам социальной психологии (становление личности, социальное поведение, столкновение социального и биологического в человеке, нарушения психики), а также биологическим основам поведения. Для специалистов н студентов - психологов, биологов, медиков, педагогов - и всех читателей, интересующихся вопросами психологии.
1910000000-293
Г ———-------078-92
041 (01)-92
ББК 28.9
Редакция литературы по биологии
ISBN 5-03*001902-2 (русск.) ISBN £-03-001900-6 ISBN 2-87009-357-8 (фр.)
1988 Pierre Mardaga,
editeur
перевод на русский язык,
Алипов Н. Н.? Свечников В. В., 1992
4.
Я, другие и «иные»
Введение
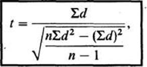
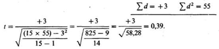
В шести предыдущих главах мы рассмотрели различные процессы, позволяющие человеку приспосабливаться к реальной действительности или видоизменять ее сообразно с его потребностями.
Люди реагируют на внешние обстоятельства по-разному в зависимости от возраста, пола, физической конституции, умственных способностей и, наконец, всего прошлого опыта* Личность и особенности поведения человека, отличающие его от других людей, формируются на разных фазах его развития и жизненного опыта.
Индивидуальные различия людей, однако, не бесконечны. Человек живет в какой-то социальной группе с определенной культурой. Постоянное взаимодействие людей накладывает глубокий отпечаток на их восприятие мира, общение и поведение, на их отношение друг к другу и к представителям иных социальных групп.
Таким образом, человек всю жизнь бывает ограничен в своем. стремлении к самовыражению в результате того давления, которое он с самых первых дней испытывает со стороны общества и которое требует от него «нормального» поведения в установленных этим обществом рамках. Большинство людей сравнительно легко приспосабливается к этим требованиям и живет без серьезных кризисов, прибегая в напряженные моменты к различным социально санкционированным «предохранительным клапанам». Кое-кто, однако, оказывается неспособным противостоять стрессовым ситуациям жизни либо из-за особой чувствитель-
6 . Вне&етн*
ности своей натуры, либо потому, что в детстве у него не выработалось надлежащей стойкости. Такие люди обречены стать среди других «иными».
В этой последней части книги мы поочередно рассмотрим три аспекта человеческой жизни: эволюцию личности от рождения до смерти, его социальную активность и влияние группы на его поведение и, наконец, трудные проблемы бытця, которые встают перед каждым человеком, а в некоторых случаях приводят и к распаду личности.
Глава 10
Развитие «Я»
Введение
Каждый человек неповторим. Уже в клетке, образовавшейся при слиянии яйца и сперматозоида, намечается траектория жизни человека» состоящая из множества форм поведения-результатов непрерывного взаимодействия трех факторов: генетического наследства, культурной среды и в особенности обстоятельств жизни, определяющих уникальность человека еще в большей степени, чем два первых фактора.
Каждому возрасту присущи свои особенности. Рассматривая развитие человека, можно подробно останавливаться на состоянии различных функций в тот или иной период жизни. Именно таким образом построено большинство руководств по генетической психологии. В этих руководствах делается попытка дать возможно более точное представление о каждом периоде жизни человека путем описания его физических, умственных, аффективных и социальных аспектов; после рассмотрения одного жизненного периода по такой же схеме описывается следующий. Хотя такой подход к описанию истории личности и позволяет получить целостное представление о ее развитии в данном возрасте, он не дает непрерывной картины эволюции каждой из сторон личности на протяжении жизни.
Вот почему в этой главе мы решили рассмотреть, как эволюционируют от рождения до смерти различные особенности индивидуума, акцентируя внимание на критических периодах этой эволюции. В первую очередь мы проследим ход физического и полового развития человека с момента рождения до смерти, затем точно так же рассмотрим его умственное и нравственное развитие, а потом остановимся на различных подходах к изучению развития личности и, наконец, на социальном развитии человека. Глава завершается анализом последнего этапа жизни, предшествующего смерти.
Но как бы мы ни описывали развитие человека, важно никогда не упускать из виду, что индивидуум непрерывно эволюционирует как единое целое, так что ни одну сторону его жизни нельзя понять в отрыве от других сторон, с которыми она тесно связана в процессе своей эволюции. Гармонично развивающийся ребенок будет влиять на свое окружение иначе, чем другой ребенок, медленно растущий из-за плохого здоровья или обладающий менее привлекательной внешностью. Послед-
К Г.шна И*
ствия таких взаимодействий в свою очередь будут отражаться на аффективном развитии подрастающего ребенка, на его представлениях о.самом себе и его вере в собственные способности, и поэтому они будут задавать определенное направление умственного и социального развития ребенка. В этом-то «горниле», где наследственность сталкивается с разнообразными влияниями внешней среды, в тесной взаимозависимости самых разных аспектов развития и происходит с момента рождения эволюция личности, *
Различные аспекты развития
Этапы жизни
Традиционно принято разделять жизненный цикл на четыре больших периода: пренатальный (внутриутробный) период, детство, отрочество и зрелость (взрослое состояние). В свою очередь каждый из этих этапов состоит из нескольких стадий, имеющих ряд характерных особенностей.
1, Пренатальный период
Этот лериод длится в среднем 266 дней и состоит из трех стадий, соответствующих разным фазам развития от оплодотворения яйцеклетки до рождения ребенка,
Предзародышеван стадия длится две неделя. Она соответствует развитию оплодотворенного яйца (зиготы) во время его перемещения в матку и внедрения в ее стенку вплоть до образования пупочного канатика.
Зародышевая (эмбриональная) стадия охватывает период с начала 3-й недели после оплодотворения до конца 2-го месяца развития. На этой стадии происходит анатомическая и физиологическая дифференцировка различных органов.
. Стадия плода начинается с 3-го месяца развития и завершается к моменту родов. В это время происходит развитие функций и систем, которые позволяют организму выжить после рождения. Однако способность к выживанию в воздушной среде плод приобретает только в начале 7-го месяца развития. Вот почему начиная с этого времени плод нередко называют уже ребенком.
Пока еще не понятно, какие механизмы «запускают» процесс родов. Предполагается, что в основе этого процесса лежат гормональные сдвиги, происходящие как в организме матери, так и у плода, достигшего «оптимальной зрелости».
2. Детство
Детство включает три стадии.
Первое детство начинается с появления ребенка на свет и продолжается 3 года; это период развития функциональной независимости и речи.
Ptt'itUinttit' «Я»
Второе детство охватывает период с 3 до 6 лет и характеризуется развитием личности ребенка и когнитивных процессов*
Третье детство продолжается с 6 до 12 лет, т.е. соответствует школьному возрасту и включению ребенка в социальную группу.
Начало полового созревания знаменует собой окончание детства и вступление ребенка в отрочество.
3. Отрочество
Отрочество подразделяется на два периода.
Пубертатный период соответствует половому созреванию и продолжается до 15 или 16 лет, В это время под влиянием конституциональных сдвигов у подростка формируется новое представление о самом себе.
Ювенилъный период\ продолжающийся с 16 до IS — 20 лет, соответствует приспособлению подростков обоего пола к семье, школе и среде своих сверстников.
Юность представляет собой переходный период от отрочества к зрелости; юности свойственно чувство психологической независимости, хотя человек еще не успел взять на себя никаких социальных обязательств.
4, Зрелость
Зрелость несколько произвольно разделяют на три стадии.
Стадия ранней зрелости охватывает период с 20 до 40 лет. Она соответствует вступлению человека в интенсивную личную жизнь и профессиональную деятельность.
Зрелый возраст продолжающийся с 40 до 60 лет, характеризуется стабильностью и продуктивностью, особенно в профессиональном и социальном отношении.
Завершающий период зрелости начинается с 60-65 лет и чаще всего сопровождается отходом человека от активной жизни. О возрасте до 75 лет говорят как о первой старости после 75 возраст считается преклонным*
Если психической развитие человека в детстве и отрочестве сравйи-тельно хорошо исследовано* то изучение в этом плане других периодов жизни еще только началось. Вероятно, в ближайшем будущем мы узнаем много нового о пренатальной жизни и зрелости, которые до сих пор исследовались весьма поверхностно..
Пределы жизни
Развитие организма начинается с первого деления оплодотворенного яйца. За этим делением следуют другие, так что на 5-й день, к моменту имплантации яйца в стенку матки, маленький организм состоит уже из 128 клеток, к моменту рождения их будет 800 миллиардов, а в расцвете
зрелости, между 20-м и 30-м годом жизни,-около 50 000 миллиардов. По мнению Хейфлика (Hayflick, 1973)* число последовательных делений в потомстве одной клетки у человека на протяжении жизни ограничено полусотней. Учитывая ритм процессов деления, нужно полагать, что продолжительность человеческой жизни (за редкими исключениями) не может превышать 110 лет. В конце 20-го века средняя продолжительность жизни населения западных стран составляет 80 лет у женщин и 72 года у мужчин. По-видимому, если не будет сделано каких-либо сенсационных открытий, этот потолок вряд ли удастся превзойти 1,
Неравномерность роста
На протяжении всей внутриутробной жизни, а также детства развитие организма идет в цефалокаудальном и проксимодистальном направлениях. Иными словами, верхняя часть тела (голова с прилегающими участками) опережает в своем росте нижнюю, а центральная
область развивается быстрее периферических отделов, т, е, конечностей. В период полового созревания, однако, соотношение меняется на обратное, т.е. конечности начинают расти быстрее головы и туловища (рис. ЮЛ). . ,
Развитие нервной системы
Среди 200 типов клеток, дифференцирующихся и развивающихся во время пренатальной жизни организма, имеются такие, популяция которых полностью или почти полностью «укомплектована» к моменту рождения и больше уже не обновляется. Речь идет о нервных клетках, или нейронах. Их дифференцировка происходит на эмбриональной стадии и начиная с 3-й недели развития сопровождается формированием спинного мозга, головного мозга и сети сенсорных и двигательных нервов.
Первые реакции эмбрионА на 8-й неделе жизни свидетельствуют о начале функционирования нервной системы, В дальнейшем движения плода будут усиливаться, так что в середине 4-го месяца беременности их начнет чувствовать и будущая мать.
1 За последние полвека средняя продолжительность жизни увеличилась на 1520 лет. Но вопреки тому, что может показаться на первый взгляд, сказанное отнюдь не означает, что жизнь взрослого человека стала на 15-20 лет длиннее (на Западе человек, достигший сегодня 60-летнего возраста, может надеяться прожить еще 17 лет, т,е, только на год больше, чем это было бы 50 лет назад.) Среднее продление жизни следует скорее отнести на счет значительного падения детской смертности, обусловленного кампаниями вакцинации, которые способствовали выживанию большего числа детей и таким образом привели к упомянутому увеличению средней продолжительности жизни во всей популяции.
Заметим, что средний срок жизни наших предков, обитавших в «естественном состоянии» в саванне, составлял около 20 лет.
Развитие
;f

Ряс. 10.L Физическое развитие ребенка идет в двух направлениях: нсфалокаудальном (верхние части тела развиваются раньше нижних) и проксимодис-тальном (участки тела, расположенные ближе к его центру» развиваются раньше периферических участков),
Мозг новорожденного ребенка весит в 5 раз меньше, чем мозг взрослого человека. Его развитие завершается к 6-летнему возрасту, однако функциональной зрелости ом достигает лишь к концу отрочества 1.
Начиная с 25-летнего возраста и особенно после 45 лет ежедневно отмирают десятки тысяч нервных клеток; этот процесс, однако, не влечет сколько-нибудь серьезных последствий для нормально стареющего мозга, в котором еще сохраняются десятки миллиардов функционирующих нейронов2.
Физическое развитие
Физическое развитие затрагивает самые разные аспекты физиологических, сенсорных и двигательных функций организма. Оно начинается с самых первых мгновений жизни человека и достигает расцвета в возрасте от 20 до 30 лет.
Неонатальный период
Уже с 3-го месяца внутриутробной жизни у плода начинаются движения тела и глаз. На 7-м месяце появляются многочисленные
рефлексы (сосание, реакции на громкие звуки и т.п.), достигающие полного развития после ровдения и способствующие выживанию новорожденного (рис. Т0.2),
Сенсорный «багаж» новорожденного был описан в документе 5,5.
-------------------------------------- /
1 Так как популяция нейронов уже полностью сформирована, дальнейшее созревание нервной системы связано только с ветвлением отростков у каждого нейрона, миелшизацией, нервных волокон и развитием глиальных клеток, ответственных главным образом за питание нейронов.
2 Согласно новейшим оценкам, в коре головного мозга насчитывается около 40 миллиардов клеток (см, приложение Л).
12
Г.шни

Рис. 10.2. На седьмом месяце пренаталъной жизни у плода уже функционирует большинство рефлексов и органов чувств. Он сосет свой большой палец, реагирует на громкие звуки и даже может слышать голос своей матери и разговаривающих с ней людей. .
Здесь достаточно будет напомнить, что большинство органов чувств функционирует уже у 7-месячного плода, который способен воспринимать свет и звуки.
Детство
В ранний период жизни моторное развитие тоже происходит вдоль цефалокаудальной оси, т. е. в первую очередь устанавливается контроль над движениями головы, за которым следует распрямление туловища (4-й месяц жизни), поддержание сидячей позы (7-й месяц), передвижение ползком (9-й или 10-й месяц), вставание на ноги (13-й или 14-й месяц) и, наконец, ходьба (14-й или 15-й месяц жизни) (рис. 10,3).
Развитие тонкой моторики происходит в проксимодистальном направлений-способность к произвольным хватательным движениям кисти развивается после общих движений руки. Хватательные движения возникают к 5-му месяцу жизни и в дальнейшем совершенствуются
Рис. 10.3. Изменение некоторых показателей физического развития человека с рождения до зрелого возраста. До начала седьмого десятка лет снижение сенсорных и психомоторных способностей в среднем не превышает

Рис. 10.4. Моторное развитие ребенка начиная с позы плода и до ходьбы.
Рис. 10.5. В детстве физическая активность мальчиков и девочек почти одинакова. Многие девочки-подростки перестают заниматься спортом лишь после полового созревания, что связано скорее с причинами культурного, нежели физиологического порядка.
| До рождений |
Поза плода |
|
| 1 месяц |
Поднимает подбородок |
j |
| 2 месяца |
Падки мзет ГРУАЬ |
|
| 3 месяца |
Пытается достать, но промахивается |
|
| 4 месяца |
Садится с посторонней помощью |
|
| 5 месяцев |
Сидит V кого-нибудь на коленях, хватает предметы |
|
| 6 месяцев |
Сидит на высоком стуле, хватает движущий сн предмет |
- |
| 7 месяцев |
Садится самостоятельно |
|
| в месяце» |
Стоит С посторонней помощью |
|
Pa'tttwmw "Я» 13
| 9 месяцев |
Стоит, держась эа мебель |
|
| 10 месяцев |
Ползает |
|
| 11 месяцев |
Ходит с посторонней помощью |
|
| 12 месяцев |
Поднимается и встает, держась за опору 1 |
|
| г 3 месяцев |
Взбирается по ступенькам лесткщды |
|
| 14 месяцев |
Стоит 6es посторонней помощи |
|
| 15 месяцев |
Ходит Без посторонней помощи |
|
U
благодаря использованию большого пальца, противопоставляемого другим пальцам руки (9-й месяц), и координации работы пальцев в соответствии с целью движения. Заметное улучшение этой тонкой моторики,, однако, происходит лишь между 3-м и 5-м годами жизни (рис. 10.4).
Сила ребенка удваивается за период с 3 до И лет. Спортивные достижения мальчиков растут с 5-го по 17-й год. Сказанное относится и к девочкам, у которых» однако, мышечная сила стабилизируется к 13-летнему возрасту; можно думать, что это в большей степени связано с представлениями западных девочек-подростков об идеале женственности, нежели с физиологическими различиями между полами (рис. 10.5),
Говоря о сенсорных функциях, следует отметить, что острота зрительного восприятия и бинокулярное зрение достигают полного развития к 6-му или 7-му году жизни.
1 _
1
Отрочество
Физическое развитие в период отрочества отмечено двумя важными сдвигами: общими анатомическими изменениями, с одной стороны, и развитием первичных и вторичных половых признаков-с другой.
Общее анатомическое развитие проявляется главным образом в ускоренном росте и заметном увеличении веса. Разные части тела, однако, развиваются не одновременно и не гармонично; это иногда порождает у подростка более или менее выраженные психические проблемы, связанные с принятием нового физического облика. Коль скоро какая-нибудь часть тела начала расти, свой «взрослый» вид она принимает обычно через три года. Максимального роста девушки достигают в 17 лет, а юяоши-к 21 году.
Первичные половые признаки, т,е, особенности внутренних и наружных половых органов (например, семенные пузырьки и предстательная железа у мужчин или бартолиниевы железы у женщин), развиваются во время полового созревания, матка увеличивается в размерах, начинают функционировать яичники или семенники. Вторичные половые признаки также появляются в пубертатный период. Развитие грудных желез у девочек совпадает по времени с первыми менструациями, т. е, происходит в возрасте около 13 лет. Первые эякуляции у мальчиков отмечаются, как правило» между 13-м и 14-м годами жизни1, голос ломается в 14-15 лет, а рост бороды начинается в 17-18 лет, т.е. через 2-3 года после появления волос в подмышечных впадинах и на лобке.
Зрелый возраст
Начало зрелости, приходящееся на промежуток между 20-м и 30-м годами жизни, характеризуется наивысшим уровнем таких показателей,
1 Чаще всего в первых эякулятах сперматозоиды отсутствуют.
как мышечная сила, быстрота реакции, ловкость и выносливость. Все эти показатели будут слегка понижаться вплоть до 60-летнего возраста, после которого это снижение станет более заметным.
Большинство сенсорных функций достигает своего полного развития к 20-летнему возрасту и вплоть до 40 лет ослабевает очень медленно. Например, острота слуха в промежутке между 20-м и 40-м годами уменьшается только на 10%, а зрение, вкус, обоняние и осязание до 40-летнего возраста вообще не обнаруживают заметного ухудшения. Среди людей в возрасте 65-74 лет у 13% отмечаются те или иные нарушения слуха, после 75 лет этот процент удваивается. Между тем вопреки" распространенному мнению значительное ослабление слуха отмечается лишь у 10% пожилых людей, а серьезные нарушения зрения-только у 2%,
Половое развитие
Секс проявляется у человека на протяжении всей жизни. Половое поведение возникает намного раньше, чем способность к размножению, а у женщин оно долго сохраняется и после исчезновения этой способности. .:"..
г
________ ,
Половая функция и размножение
Как мы увидим, такие реакции, как эрекция пениса и увлажнение влагалища,-признаки полового возбуждения-могут наблюдаться уже в пренатальном периоде и сохраняться до конца жизни. Эти реакции характерны для половой активности в самых разных ее проявлениях, идет ли речь о мастурбации, эротических сновидениях, ласках или половом акте. В этом смысле они выходят за пределы собственно репродуктивной функции, которая становится возможной лишь с отрочества,
У женщин репродуктивный период завершается менопаузой, т.е. прекращением менструального цикла, в среднем в возрасте 49 лет. Менопауза означает потерю способности к деторождению, но не сопровождается прекращением половой активности, У мужчин репродуктивная способность сохраняется вплоть до преклонного возраста> но уровень половой активности после 40 лет снижается, а в старости падает особенно ощутимо.
Половое поведение н развитие
Пренатальный период
Способность к эрекции появляется у мальчиков задолго до рождения, и хотя с помощью эхографии не удается выявить влагалищную смазку у внутриутробно развивающихся девочек, известно, что сМазка эта нередко вырабатывается уже в первые дни постнаталъной жизни
Г.шиа И)
(Martinson, 1976), Понятно, что речь в этом случае идет всего лишь о рефлекторной активности» которая тем не менее сопровождается у ребенка улыбками и «воркованием», явно свидетельствующими об удовольствии.
Детство
На протяжении первого детства как у мальчиков, так и у девочек сравнительно часто отмечается мастурбация. Случаи оргазма наблюдались у младенцев 5-7-месячного возраста и еще чаще у трехлетних детей 1 (рис. 10,6).
На протяжении второго детства сексуальные интересы у детей растут. По мнению ряда исследователей, около трети всех детей в возрасте от 3 до 8 лет занимаются мастурбацией. С двухлетнего возраста начинаются гетеросексуальные игры, которые в последующие годы происходят все чаще.
На протяжении третьего детства мастурбацией, по-видимому, занимается большинство мальчиков и около трети девочек. Если гетеросексуальные игры в этот период сравнительно редки (это связано с общим дефицитом взаимодействий между разными полами), то гомосексуальные взаимодействия, напротив, обычны. В них участвуют 2/3 всех мальчиков и 1/3 девочек (рис, 10.7). Гомосексуальные игры, однако,

Рис, 10,6. Практика мастурбации у людей разного пола и возраста (в процентах от общего числа опрошенных).
1 Понятно, что оргазм в этом возрасте не сопровождается эякуляцией, так как предстательная железа, ответственная за выработку семенной жидкости, развивается лишь во время полового созревания. Оргазм у детей проявляется скорее в виде резких движений конечностей, а также признаков, указывающих на изменение сознания.
I*if Hittniш*
17

Рис. 10.7. Сексуальные игры в детстве и половые отношения после полового созревания (в процентах от общего числа опрошенных).
чаще всего прекращаются во время полового созревания. В зрелости к ним продолжают прибегать только лица, гомосексуальная ориентация которых в скрытом виде существовала еще до того; как произошли первые сексуальные контакты (см, гл. 6).
Отрочество
В пубертатном и особенно в ювенильном периоде половая активность подростка принимает разнообразные формы и начинает занимать в его жизни довольно важное место.
Мастурбация, приводящая в этом возрасте к эякуляции, очень заметно возрастает среди мальчиков 11-14 лет. Девочки получают первый такой опыт несколько позже-в 12-20 лет. Мастурбацией регулярно занимается более 90% выпускников средней школы, в то время как среди студентов эта доля составляет 60-75% l (Cotton, 1975; Miller, Lief, 1976).
Опыт эротических ласк, проявляющихся главным образом в массировании грудей партнерши и прикосновениях к половым органам, имеют каждые два подростка из трех, В одной трети случаев подобные ласки сопровождаются оргазмом. По-видимому, такой опыт важен как для подростков мужского пола, которые получают при этом возмож-
1 Чаще всего мастурбация - как у подростков, так и у взрослых, состоящих или не состоящих в браке,-сопровождается сексуальными фантазиями, подогреваемыми созерцанием эротических сцен или фотографий. Согласно данным опроса Ханта (Hunt, 1974), лишь 11% мужчин заявили, что не прибегают во время маетурбацни к фантазиям, в то время как число взрослых женщин, заявивших, что легко можно обойтись и без них, составило 36%.
2 443
ность познакомиться с женским телом, так и для нормального полового развития женщин.
В добрачные половые связи к моменту завершения среднего образования, видимо, вступают 2/3 юношей и 1/3 девушек. В возрасте от 18 до 24 лет девушки вступают в добрачные половые связи в 80% случаев, а мужчины той же возрастной группы-в 95% случаев. Согласно данным, недавно полученным американскими исследователями, средний возраст девушек к моменту первого полового акта составляет 17 лет (Weis, 1983). В половине случаев при этом не используется никаких противозачаточных средств. Именно поэтому в США, например, ежегодно беременеют около миллиона девушек-подростков и каждая десятая женщина становится матерью в возрасте моложе 18 лет (Nye, 1976).
Зрелый возраст
•
По-видимому, в наши дни брачные половые отношения доставляют, в особенности женщинам, больше возбуждения и удовлетворения, чем прежде. Опрос, проведенный в 1948 году Кинси (Kinsey), показал, что предшествующие половому акту эротические игры длились в то время в среднем не дольше 12 минут, а сам половой акт-в среднем не больше 2 минут. Более поздние опросы (Hunt, 1974) указывают на то, что предварительные игры занимают 15 минут, а собственно половой акт может растягиваться на 10 минут, что позволяет женщине легче достигнуть оргазма1 (см. документ 6.5). ч
В наше время половые отношения обогатились большим разнообразием форм сексуального поведения и поз. Практика орально-генитальной стимуляции среди брачных пар моложе 25 лет увеличилась с 45% в выборке опрошенных Кинси до 90% в выборке Хаита (1974). Отмечается также, что традиционное положение во время полового акта, когда мужчина лежит на партнерше, все чаще сменяется положением, при котором место мужчины занимает женщина2.
Половое возбуждение усиливается эротическими фантазиями, которые в наше время все реже воспринимаются как «изменажпартнеру (см. документ ЮЛ), так как позволяют переживать максимально возможное удовольствие во время полового акта.
За последние 40 лет значительного возросла практика мастурбации, осуществляемой тем или другим партнером. В настоящее время 70% как мужчин, так и женщин прибегают к мастурбации, которая обеспечивает им дополнительную сексуальную активность, когда рядом нет партнера или когда он не расположен к половому акту. Кроме того, как пока-
1 Полагают, что в наше время половина женщин, имеющих стабильные половые отношения с одним мужчиной, испытывает оргазм во время каждого
полового акта.
_
2 Фактически в наше время сказанное относится к трем женщинам из каждых четырех, тогда как в 40-х годах так поступали лишь три женщины из десяти.
19
зывают опросы, женщины обычно испытывают более интенсивный оргазм в результате мастурбации, нежели при нормальном половом акте.
Как молодые люди, так и многие старики убеждены, что половая функция в пожилом возрасте угасает. Опросы показали, что прекращение половой активности наступает у мужчин к 68, а у женщин к 60 годам; многие женщины, однако, признают, что они вынуждены были прекратить половую жизнь за неимением партнера.
Физиологических причин, которое могли бы объяснить такое положение вещей, нет. Эрекция и эякуляция отмечаются у мужчин и в преклонном возрасте, хотя происходят они медленнее. У женщин с возрастом уменьшается выделение влагалищной смазки, однако чувствительность клитора сохраняется. Таким образом, из-за ослабления физиологических реакций половой акт растягивается, но уменьшение половой потенции, может в значительной мере компенсироваться ласками.
Как бы то ни было, можно сказать, что уровень половой активности у пожилого человека, как и в другие периоды зрелости, зависит от того, каким этот уровень был в предшествовавшие годы.
Когнитивное развитие
В большинстве теории развития человека на первое место выдвигается положение о стадиях, которые должен пройти ребенок, а потом и подросток, прежде чем достичь зрелости.
Для описания умственного развития предложено много схем. Некоторые авторы рассматривают это развитие как непрерывную и неизменную последовательность стадий, каждая из которых подготовлена предшествующей и в свою очередь подготавливает последующую. Такова, в частности, теория Пиаже. Другие авторы, например Валлон, рассматривают этапы психической эволюции ребенка скорее как прерывистую последовательность реорганизаций, включающих подавление или добавление каких-то функций в определенные моменты. Ниже мы остановимся на описании каждой из этих теорий когнитивного развития человека и попытаемся выяснить, в чем они различаются и в чем сходны.
.
Этапы умственного развития ребенка н подростка
j.
Периоды интеллектуального развития
(по Пиаже) , " "
Напомним, что Пиаже выделяет три главные стадии интеллектуального развития ребенка: стадию сенсомоторного развития (с момента
рождения до 2 лет), стадию конкретных операций (с 2 до 11 или 12 лет) и стадию формальных операций (с 12 или 13 лет).
Сенсомоторная стадия. Это стадия, на которой ребенок овладевает своими сенсорными и моторными способностями. Он слушает, разглядывает, кричит, ударяет, мнет, сгибает, бросает, толкает, тянет, сыплет... Так на основе наследственных механизмов (рефлексов и сенсорных процессов) и первых двигательных навыков мало-помалу происходит связывание друг с другом различных действий, что порождает новые средства для достижения определенных целей.
Сенсомоторная стадия включает шесть подстадий, каждая из которых соответствует организации сложных движений («схем»> см, гл. 8).
1. Врожденные рефлексы (1-й месяц жизни)-сосание, хватание и т.п. Они вызываются внешними стимулами и в результате повторения становятся все более эффективными,
2. Моторные навыки (с 1 до 4 месяцев) формируются как условные рефлексы в результате взаимодействия ребенка с окружающей средой (сосательные движения при виде бутылочки с соской, схватывание этой бутылочки и т. п.).
3. Циркулярные реакции (с 4 до 8 месяцев) формируются благодаря развитию координации между перцептивными системами и моторными
Рис. 10.8, На восьмом месяце у ребенка формируется представление о перманентности (постоянстве) объекта, и он огибает препятствие, чтобы достать спрятанный от его взора предмет-

Развитие «Я» 21
схемами (хватание веревки, вызывающее сотрясение погремушки, с целью заставить ее греметь и т.п.).
4, Координация средств и целей (с 8 до 12 месяцев) придает действиям ребенка все большую преднамеренность в расчете на достижение цели (отодвигание руки экспериментатора с целью достать спрятанную за ней куклу и т.п.).
5, Открытые новых средств (с 12 до 18 месяцев) происходит случайно, но вызывает у ребенка формирование связи между его действиями и их результатом (подтянув к себе ковер, можно достать лежащую на нем куклу и т, п.),
6, Изобретение новых средств (с 18 до 24 месяцев) - первое проявление интериоризованной мысли (типа инсайта) в результате сочетания уже имеющихся схем для отыскания оригинального решения проблемы (поиски средства, чтобы открыть спичечный коробок с целью вытащить спрятанную в нем конфету или засунуть в него длинную металлическую цепочку, и т.п.).
Стадия конкретных опершим. На этой стадии происходит постепенная интериоризация действий и их превращение в операции, позволяющие ребенку сравнивать, оценивать* классифицировать, располагать в ряд, считать, измерять и т.д. Так, имея дело с конкретными вещами, ребенок обнаруживает, что то, что он только что соорудил, можно разрушить, а затем воссоздать заново в прежнем юга в каком-нибудь ином виде. Другими словами, ребенок узнает, что существует определенный тип действий, которые обратимы и могут интегрироваться в общие структуры, и это позволяет ему оперировать такими категориями, как количество, величина, число, вместимость, вес, объем и т.д. Ребенок, однако, овладевает этими структурами лишь в результате долгого продвижения с предоперационального уровня развития на второй уровень конкретных операций.
L Предолерациональный уровень (с 2 до 5 лет) представляет собой первый этап интериоризадии действий. Для него характерно развитие символического мышления, позволяющего ребенку представлять себе объекты или стимулы с помощью мысленных образов и обозначать их названиями или символами, а не прямыми действиями 1 (см. документ 10.2)..
1 Мирсй Матье (Malhieu, 1986) из Монреальского университета подвергала молодых шимпанзе испытаниям, позволившим описать их «когнитивное развитие» в терминах концепции Пиаже, В результате многолетних наблюдений исследовательница показала, что детеныши «двоюродных братьев человека» в плане се нсо моторного развития примерно на 6 месяцев обгоняют человеческих младенцев \ 8-24-месячного возраста, Но если для последних преодоление этой стадии означает лишь своего рода трамплин к стадии конкретных операций, то молодые шимпанзе навсегда «застревают» на предоперациональном уровне. Самое большее, на что способен шимпанзенок,- это подражать действиям, не имея о них никакого представления, но он никогда не сможет «притвориться», тогда как ребенок, достигший уровня символического мышления, в состоянии сделать тго уже на третьем году жизни.

Рис. 10.9. На стадии конкретных операций ребенок приобретает способность классифицировать и упорядочен но располагать предметы и изображения. Это время «коллекционирования».
Однако операции, которые в это время пытается совершить ребенок, ограничены слишком еще узким диапазоном мышления и его эгоцентрическим характером. В этом возрасте ребенок, похоже, не способен одновременно учитывать различные аспекты данной ситуации. Например, в опыте с колбаской из пластилина, описанном в документе 2Л1, ребенок сосредоточен на ее длине, и подобная центрация мешает ему осуществить необходимую компенсацию («Колбаска длиннее, но она тоньше»), что позволило бы ему говорить об одинаковом объеме колбаски и шарика. Эгоцентризм ребенка, мешающий ему взглянуть на мир с точки зрения, отличной от его собственной, приводит его, например, к такому ходу мысли: «Обыкновенно, если что-нибудь длиннее, то оно и больше».
2, Первый уровень конкретных операций {с 5 - 6 до 7 - 8 лет) достигается, когда ребенок становится способен понять, что два признака объекта, .например форма и количество вещества, не зависят друг от друга (тот факт, что колбаска длинная и тонкая, не влияет на количество пластилина» из которого она сделана). Это представление о сохранении некоторых признаков объекта распространяется уже на материал, из которого тот сделан, на его длину, а затем, на следующем уровне развития - также на его массу н объем. В этом промежутке времени ребенок приобретает способность н к расположению объектов в ряд (например, в порядке уменьшения размеров) и их классификации (научается голубые предметы относить к голубым, птиц-к птицам и т.п.).
3, На втором уровне конкретных операций (с 8 до И лет) ребенок помимо представления о сохранении массы и объема * получает еще и представление о времени и скорости, а также об измерениях с помощью эталона. В конце этого периода ребенок, кроме того, вое глубже понимает и взаимосвязи между признаками объектов; это позволяет ему упорядочивать предметы в пространстве, решать
1 Даже многие подростки и взрослые люди попадаются в следующую ловушку: «Что легче пронести 10 километров-J0 кг перьев или 10 кг свинца?»; точно так же колеблются они и при ответе на вопрос: что будет с уровнем кофе в чашке после того, как туда положат кусок сахара, и после того, как он растворится?
проблемы перспективы или простые физические задачи и указывает ему путь к логическому мышлению, свойственному подросткам и взрослым людям.
Стадия формальных операций (с 11 -12 до 14-13 лет). На этой стадии мыслительные операции могут совершаться без дакой-либо конкретной опоры. Как было показано в главе 8 и документе 8.6, речь в этом случае фактически идет об абстрактном мышлении, функционирующем с помощью гипотез и дедукций.
Как подчеркивают Дроз и Рами (Droz, Rahmy, 1972), работы Пиаже посвящены почти исключительно изучению развития когнитивных структур и оставляют в тени вопрос о связи между познанием и аффективной сферой. В концепции Пиаже ребенок выступает как обособленное существо, социализирующееся после длительного периода эгоцентризма лишь в силу возникающей перед ним необходимости разделить с другими людьми «объективные средства для измерения вещей и описания отношений между ними» (Wallon, 1959). По мнению Валлона, напротив, ребенок представляет собой существо, с самого рождения обреченное на социализацию из-за своей неспособности делать что-либо самостоятельно. Как заключает один из последователей Валлона (Zazzo, 1973)* с самых первых месяцев жизни ребенок находится в «тесной связи, в симбиозе со своей матерью». Дальнейшие этапы развития в результате взаимодействия ребенка с другими людьми составляют серию перестроек, надстроек и усовершенствований, в которых главную роль играют моторные акты, аффективные реакции и речь1.
Последовательные стадии детства (по Валлону)
Хотя Валлон и не признает существования единого ритма развития всех детей, по его мнению, однако, существуют периоды, каждый из которых характеризуется «своими признаками, своей специфической
Рис, 10.10. Французский врач и психолог Анри Валлон (1879-1962). Он провел важные исследования в области детского развития, результаты которых представлены в двух его главных книгах: «Происхождение характера» (1934) и «Происхождение мысли» (1945).
1 Советский психолог Выготский (1978) тоже отмечает важную роль других людей в когнитивном развитии ребенка.
ориентацией и представляет собой своеобразный этап в развитии ребенка»*
1. Импульсивная стадия (до 6 месяцев) - стадия рефлексов» автоматически развивающихся в ответ на раздражение. Со временем эти рефлексы все больше уступают место контролируемым движениям и новым формам поведения, по большей части связанным с питанием.
2. Эмоциональная стадия (с 6 до 10 месяцев) характеризуется накоплением репертуара эмоций (страх, гнев, радость, отвращение и т.д.), позволяющих ребенку устанавливать тесные контакты с окружающей социальной средой. Эмоции, выражающиеся, например, в форме улыбки или рыданий, представляют собой настоящий «предъязык», с помощью которого ребенок может повысить эффективность своих жестов, а также предвидеть реакции других людей.
3. Сенсомоториая стадия (с 10 до 14 месяцев) знаменует собой начало практического Мышления, Благодаря закреплению связи между движениями и возникающими в результате перцептивными эффектами ребенок начинает все чаще реагировать на вещи направленными на них жестами. Циркулярные формы активности (когда, например, «голос оттачивает слух, а слух придает гибкость голосу») способствуют прогрессу в узнавании звуков, а затем и слов.
4. Проективная стадия (с 14 месяцев до 3 лет) связана с развитием ходьбы, а затем и речи; ребенок приобретает способность исследовать окружающий мир и воздействовать на объекты, названия которых он узнает одновременно с их свойствами. Таким образом ребенок приобретает все большую независимость по отношению к предметам, которые отныне он может толкать, таскать за собой, сваливать в кучу и классифицировать, относя к различным категориям. Такая независимость позволяет ребенку разнообразить свои взаимоотношения с окружающим и способствует самоутверждению индивидуума.
5. Переоналистскан стадия (с 3 до 6 лет) включает три периода, характеризующихся развитием независимости ребенка и обогащением его собственного «Я».
В трехлетнем возрасте начинается период противопоставления. Это время развития «Я». Ребенок учится отличать себя от других и одновременно приобретает все большую способность различать предметы по форме, цвету или размерам.
В четыре года ребенок знает свое имя, фамилию, возраст и жилище. Это период нарциссизма, когда он стремится выставить себя в рыгодном свете. Ребенок наблюдает за собой и следит за своими действиями, упорствуя в выполнении поставленной перед собой задачи. В то же время восприятие им предметов становится все более абстрактным, что позволяет ему различать линии, направления, положения, графические обозначения.
В пять лет внимание, которое ребенок проявляет к себе самому и к окружающему миру, подводит его к периоду подражания- во время которого ребенок учится играть роль и придумывает себе героя. Однако на всем протяжении этой стадии мышление ребенка отмечено синкре-
«
Я» 25
тизмом, он расшифровывает ту или иную ситуацию по какой-нибудь одной детали или по набору деталей, между которыми он не способен устанавливать причинно-следственные связи (см, документ 10.2).
6, Учебная стадия (с 6 до 12-14 лет)-стадия, когда ребенок поворачивается лицом к внешнему миру. Мышление ребенка становится более объективным, что способствует углублению его знаний о вещах, их свойствах и применении. Он знакомится с сочетаниями и категориями не только предметов, но и различных форм активности (в школе, дома, во время игр и т.д,), в которых он мало-помалу начинает участвовать. Развитие ребенка, таким образом, сопровождается ростом его независимости.
7. На стадии полового созревания внимание подростка вновь сосредоточивается на своей собственной особе и потребностях собственного «Я». Этот перелом толкает ребенка на поиск еще большей независимости и оригинальности, и он же открывает ему глаза на смысл вещей и законов, которые ими управляют. Так у подростка развивается способность к рассуждению и к связыванию абстрактных понятий.
Итак, мы видим, что различия между концепциями Пиаже и Валлона в основном касаются подхода к когнитивному"развитию ребенка. Если Пиаже пытается понять* какими путями ребенок достигает мышления взрослого человека, то Валлон концентрирует внимание на формировании поведения и личности, рассматривая когнитивные способности лишь как один из компонентов этого процесса. Кроме того, Пиаже со столь свойственным ему биологизмом пытается пролить свет на1 общие законы, управляющие развитием организма в его непрерывном стремлении к равновесию, Заллон же настаивает на сложности хода развития, обусловленной постоянным взаимодействием между индивидуумом и окружающей его социальной средой.
Умственные способности взрослого человека
_
Вопросу о развитии интеллекта в зрелом возрасте посвящено очень мало исследований. Похоже, однако, что до 60-летнего возраста умственные способности у человека не снижаются, а у многих людей они даже увеличиваются вплоть до преклонного возраста (это в особенности касается словарного запаса и владения абстрактными понятиями).
Как было показано в главе 8, развитие формального мышления у любого человека отчасти определяется спецификой его образа жизни и профессиональной деятельности. Нет, однако, таких тестов, которые позволили бы оценивать уровень интеллекта у людей того или иного возраста с учетом этих особенностей.
Сколько-нибудь заметные различия между умственным потенциалом в старости и в более молодом возрасте выявляются только в том случае, если в качестве главного критерия при оценке используется скорость реакции. Установлено также, что если у пожилых людей и отмечается ухудшение кратковременной памяти, то долговременная память остается интактной. Кроме того, как отмечалось в главе 8Ф ослабление
кратковременной памяти, видимо, связано скорее с трудностями организации материала во время его запоминания, нежели с изменением структур, ответственных за сам процесс запоминания.
В ряде работ было показано, что резкое ослабление умственной деятельности может наблюдаться у людей незадолго перед смертью (Riegel, Riegel, 1972). Такой финальный упадок умственных сил, однако, свойствен не только преклонному возрасту - он отмечается и у молодых взрослых людей, обреченных на близкую смерть. Феномен этот, как мы увидим в конце главы, можно объяснить психологическим переломом отношения умирающего к внешнему миру.
Нравственное развитие
Развитие нравственности тесно связано с когнитивным развитием. В самом деле, для того чтобы ребенок мог выносить какие-либо моральные суждения, он должен достичь определенного уровня в когнитивном плане. Одним из первых начал изучать нравственное развитие Пиаже (Piaget, 1932). Позднее его работу продолжил и углубил Кольберг (Kohlberg, 1963). Выводы последнего, однако, оспорила Кэрол Гиллиган (GilHgan, 1977), отстаивающая феминистскую точку зрения, согласно которой концепция нравственности у женщин и мужчин различна.
Моральное суждение в детском возрасте
В процессе нравственного развития ребенок проходит эволюцию от эгоцентрического отношения к окружающему, при котором любой поступок он оценивает как хороший или плохой в соответствии с правилами, усвоенными им от взрослых» до более гибкой позиции, когда в своих суждениях о других людях он начинает придавать все большее значение своим личным критериям. Именно таким характером нравственной эволюции объясняется тот факт, что если до 7 лет ребенок склонен судить о поступках по важности их последствий, то в более позднем возрасте он судит о них скорее по обусловившим их намерениям.
Так, по мнению маленького ребенка, Пьер, который разбил 10 тарелок, помогая матери накрывать на стол, заслуживает большего наказания, чем Жак, без спросу взявший из шкафа конфету и разбивший при этом всего одну тарелку.
В связи с этим Пиаже говорит о гетерономной морали, постепенно заменяющейся автономной моралью в более позднем возрасте, когда ребенок начинает понимать, что намерение важнее результатов совершенного поступка.
Развитие нравственного сознания
Уровни нравственности (по Кольбергу)
Кольберг изучал скорее то, каким образом люди оправдывают свои нравственные позиции, нежели сами эти позиции. Он выделяет три уровня нравственного развития: преднравственный, конвенциональный и постконвенциональный. Каждый из них включает по две стадии (см. документ 10J),
1. Преднравственный уровень (с 4 до 10 лет). На этом уровне поступки определяются внешними обстоятельствами и точка зрения других людей в расчет не принимается.
На первой стадии суждение выносится в зависимости от того вознаграждения или наказания, которое может повлечь за собой данный поступок*
На второй стадии суждение о поступке выносится в соответствии с той пользой, которую из него можно извлечь.
2. Конвенциональный уровень (с 10 до 13 лет). Человек, находящийся на этом уровне нравственного развития* придерживается условной роли, ориентируясь при этом на принципы других людей.
На третьей стадии суждение основывается на том, получит ли поступок одобрение других людей или нет.
На четвертой стадии суждение выносится в соответствии с установленным порядком, уважением к власти и предписанными ею законами.
3. Постконвенциональный уровень (с 13 лет): Истинная нравственность, по Кольбергу, достигается только на этом уровне развития. Именно на этом уровне человек судит о поведении, исходя из своих

7 10 13 16
Возраст, годы
Рис, 10.1L Соотношение уровней нравственности у американских детей в разном возрасте (по Kohlberg, 1963).
Г.шна Ю
собственных критериев, что предполагает и высокий уровень рассудочной деятельности.
На пятой стадии оправдание поступка основывается на уважении демократически принятого решения или вообще на уважении прав человека.
На шестой стадии поступок квалифицируется как правильный, если он продиктован совестью-независимо от его законности или мнения других людей.
Как видно из рис. ЮЛ 1, начиная с 13-летнего возраста преднравст-венный уровень замещается у детей конвенциональным и в меньшей степени-постконвенциональным уровнем. Кольберг, однако, отмечает, что многие людя так никогда и не переходят четвертую стадию нравственного развития, а шестой стадии достигает меньше 10% людей в возрасте 16 лет и старше1*
Гиллиган, одна из сотрудниц Кольберга, упрекала его в том, что, разработав систему «мужских» нравственных ценностей, основанных на самоутверждении и справедливости, он оставляет без внимания нравственность «женскую», ориентированную больше на заботу о другом человеке и самоотречение, и низводит таким образом большинство женщин до третьей стадии нравственного развития,
-
Женская концепция нравственности (по Гнллиган)
Вынося суждение о поступке, женщина скорее будет руководствоваться не принципами, а представлением о личности того, кто конкретно совершил данный поступок. Поэтому она более склонна считать человека, заботящегося о других, «добрым», а того, кто своим поведением наносит им вред,- «эгоистом» 2. Согласно Гиллиган, развитие нравственности у женщин проходит три уровня, между которыми имеются переходные стадии.
Уровень I: самоозабоченность. На этом уровне женщину занимают только те, кто в состоянии удовлетворить ее собственные потребности и обеспечить ее существование.
На первой переходной стадии эгоизм начинает сменяться тенденцией к самоотречению. Женщина все еще сосредоточена на собственном благополучии, но в случае принятия решений все больше учитывает также интересы других людей и объединяющие ее с ними связи.
1 Впоследствии Колъберг исключил эту последнюю стадию, так как критики сочли ее чрезмерно «элитаристской» и носящей на себе слишком явную печать ценностей западной культуры.
2 Гиллиган в качестве примеров, иллюстрирующих различие в моральных принципах мужчин и женщин, приводит два эпизода из Библии, Так, чтобы доказать Богу свою преданность, Авраам готов принести ему в жертву собственного сына> В другом эпизоде, напротив, мать предпочитает уступить своего ребенка сопернице, когда царь Соломон, решив урегулировать спор между ними из-за ребенка, предлагает разрезать его пополам.
PttwitHtne «Я» 29
Уровень 2: самопожертвование* Социальные нормы, которым большей частью приходится следовать женщине, заставляют ее переходить к удовлетворению собственных желаний лишь после удовлетворения потребности других. Эта роль «хорошей матери», когда женщина вынуждена вести себя сообразно ожиданиям других людей и чувствовать ответственность за их поступки, постоянно ставит ее перед необходимостью выбора.
На второй переходной стадии женщина поднимается с уровня самопожертвования на уровень самоуважения, начиная все больше принимать в расчет собственные потребности. Она пытается совместить удовлетворение своих личных нужд с потребностями других людей, ответственность за которых она продолжает испытывать.
Уровень 3: самоуважение. На этом уровне женщина понимает, что только она сама способна сделать выбор касающийся ее собственной жизни, если он не причинит вреда людям, связанным с нею семейными или социальными узами и вообще принадлежностью к роду человеческому. В этом смысле третий уровень нравственного сознания перерастает уже в мораль непротивления.
Развитие личности
Личность человека состоит из комплекса устойчивых признаков, таких как темперамент, чувствительность, мотивации, способности, установки, нравственность, определяющих свойственный этому человеку ход мыслей и поведения, когда он приспосабливается к разнообразным жизненным ситуациям. Таким образом, личность в целом определяется как генетическими, так и социально-культурными влияниями. Описать личность или объяснить ее происхождение пытались многие теории, из которых одни делали главный упор на тот или иной ее компонент, а другие стремились изучить ее сразу во всех аспектах.
Описательные подходы
Речь идет о теориях, пытающихся выявить профили личности, основанные на совокупности черт, детерминируемых биологически (это предмет разного рода типологий) или обусловленных нервно-психической активностью человека (теории личностных черт).
Типологии
С античных времен авторы пытались связать отдельные аспекты личности с физическими особенностями человека, выделяя, таким образом, различные типы личности и совокупности личностных черт, которые должны быть присущи этим типам.
Среди типологических классификаций, разработанных в XX веке, следует отметить типологии Кречмера (Kretschmer, 1925) и Шелдона (Sheldon, 1954); в них сделана попытка связать характер реакций чело-

Рис. 10.12а. Можно ли сказать что-нибудь о личности этих трех человек только по их физической конституции?
века с его физической конституцией (рис. ЮЛ 2а). Согласно представлениям этих авторов, высокие и худые люди эктоморфного типа чаще всего будут робкими, заторможенными, склонными к одиночеству и умственной деятельности. Сильные, мускулистые люди мезоморфного типа должны, как правило, отличаться динамичностью и стремлением к доминированию. Невысокие же люди с признаками тучности, относящиеся к эндоморфному типу* скорее всего будут общительными, веселыми и спокойными.
Юнг (Jung, 1923) выявил два главных типа личности, Первый из шх-экаправертиртанная личность, склонная к авантюрам, открытая для окружающих и общительная, а второй -интровертироеанная личность, которой свойственны застенчивость, замкнутость, стремление избегать риска и социальных взаимодействий.
На первый взгляд подобные типологические схемы кажутся заманчивыми. Они, однако, не способны охватить все многообразие и сложность человеческого поведения. В случае же типологии Шелдона естественно возникает вопрос: может быть, реакции человека обусловлены не столько биологическими факторами, сколько тем, как он воспринимает сам себя или воспринимается другими людьми? Например, разве не вправе мы ожидать, что индивидуум атлетического сложения будет проявлять большую склонность к доминированию и большую подвижность, чем невысокий упитанный человек?
Теории личностных черт
j
Авторы типологических классификаций рассматривали личность как комплекс особенностей, свойственных определенным категориям людей. Другие исследователи пытались скорее выявить те черты личности, которые заставляют одних людей вести себя более или менее сходным образом в различных ситуациях и таким образом отличают их от других людей.
Согласно Олпорту (Allport, 1956), человек может иметь от двух до десяти главных черт (трудолюбие или склонность к праздности, чест-
Пилоты реактивных самолетов
Артисты, художники
Писатели
Рис. 10.126. Профили личности, определенные в группах людей разных профессий (по результатам теста 16PF Кэттелла), Можно видеть, насколько сильно отличается профиль летчиков от профилей представителей двух других профессий, имеющих между собой много общего.
ность, деловые качества, любовь к музыке и т. п.), которые характеризуют его образ жизни; у него могут быть и многочисленные второстепенные черты, которые скорее соответствуют его установкам в различных конкретных ситуациях.
Кэттелл (Cattell, 1956) определил 16 измерений, по которым можно оценивать личность (замкнутость-открытость, серьезность-легкомысленность, застенчивость - дерзость* сообразительность - бестолковость и т.д.). По Кэттеллу, ответы человека на вопросы анкеты позволяют построить профиль его личности в соответствии со свойствами, которое он проявил по каждому из измерений (рис. ЮЛ26).
Эйзенк (Eysenck, 1963) пытался определить личностные черты человека по двум основным осям: интроверсия - экстраверсия (замкнутость или открытость) и стабильность - нестабильность (уровень тревожности) (рис. 10.13),
Ясно, однако, что выявленные таким образом у человека черты


Рис. 10.13. Распределение черт личности в координатах осей «интроверсия экстраверсия» и «стабильность нестабильность» (по Eysenck).
представляют собой всего-навсего результаты отдельных наблюдений за его поведением, поэтому предсказывать по ним дальнейшее поведение трудно, так как в реальной жизни реакции людей далеко не постоянны, чаще всего они зависят от тех обстоятельств, с которыми столкнулся человек в данный момент времени (см, документ 10,4).
Бихевиористский подход
Теории личностных черт позволяют получить информацию о типичном поведении данного человека. Они, однако, ничего не говорят о том, как формируются эти черты. Отчасти ответ на этот вопрос дают бихевиористы, отстаивающие мысль о непрерывном влиянии на человека его социального окружения.
По мнению теоретиков социального научения, социальные, и в особенности сексуальные, роли людей, а также большинство форм социального поведения, составляющих основу адаптации к окружению, складываются в результате наблюдений над такими социальными моделями как родители учителя, товарищи по играм или герои романов и телевизионных фильмов.
Таким образом, личность-это результат взаимодействия между индивидуумом с его способностями, прошлым опытом, ожиданиями и т. д. и окружающей средой, которую он стремится узнать, чтобы разобраться, в каких ситуациях его поведение окажется адекватным,
Развитие «Я» 33
а в каких неприемлемым - в зависимости от связанных с нам поощрений или наказаний.
Таким образом, эта теория объясняет, как может модифицироваться поведение человека в зависимости от тех последствий, которые оно вызывает в определенных ситуациях. Она, однако, не позволяет понять личность в целом и те константы, которые характеризуют личность данного индивидуума. Особенно мало она пригодна для того, чтобы объяснить тот контроль, которому столь многие люди пытаются подвергнуть свое существование с целью придать ему какой-то смысл; такую попытку делает когнитивный подход.
Когнитивный подход
Человек-не пассивное создание, находящееся исключительно под контролем внешней среды. Характер его реакций на возникающие ситуации и события чаще всего определяется той когнитивной интерпретацией, которую им дает он сам. В главе 12 будет показано, что если эта когнитивная интерпретация базируется на верованиях или иррациональных идеях, то она очень часто приводит к эмоциональным нарушениям и неадаптивным формам поведения (Ellis, 1977).
По мнению Роттера (Rotter, 1966), то, как человек воспринимает собственное поведение и его последствия, в большей степени зависит от особенностей его личности. Например, одни скорее всего будут приписывать свой образ действий внутренним причинам, а другие будут систематически объяснять его внешними обстоятельствами. Эти две категории людей различаются, таким образом, своими представлениями о том, откуда исходит контроль за их поступками. Роттер различает людей, «ориентируемых изнутри», и людей, «ориентируемых извне».
Первые убеждены, что в любой момент они способны повлиять на свое окружение, и в конечном итоге они всегда сами берут на себя ответственность за то, что с ними случается. В данном случае речь идет обычно об активных и динамических людях, склонных анализировать, стоящие перед ними задачи и следить за своими действиями, чтобы выявить слабые и сильные стороны сложившейся ситуации и своих поступков. В случае неудачи они, не колеблясь, упрекают себя в том, что приложили недостаточно усилий или были недостаточно настойчивы.
Напротив, люди, верящие в существование внешнего контроля, убеждены, что в различных обстоятельствах их жизни и в том, как они на них реагировали всецело повинны другие люди, везенье или случай. Речь, таким образом, идет о более пассивных и менее дееспособных личностях, с легкостью объясняющих свои неудачи недостатком у себя способностей (см, документ Ь2 и гл. 11).
Описанный подход позволяет учесть всю сложность взаимодействий между человеком и возникающими ситуациями. Он, однако, ничего не говорит о том, почему один человек склонен видеть причины своего поведения в себе самом, а другой-в других. Именно на этот вопрос обращают главное внимание псйходинамические, гуманистические и психосоциальные теории.
3-443
34 Глава 10
Психодинамические подходы
Согласно этим подходам* воздействие человека на окружающую среду в том или ином направлении определяется конфликтом между силами его подсознания и внешней реальностью. Среди различных теорий, основанных на таком подходе, прежде всего следует отметить психоаналитическую теорию Фрейда, индивидуальную психологию Адлера и аналитическую психологию Юнга.
Психоаналитическая теория (по Фрейду)
Мы уже не раз пользовались различными фрейдовскими понятиями, такими как бессознательное или половая энергия (либидо)1. Составляющая основу инстинкта жизни, эта энергия стремится прорваться наружу через различные участки тела, называемые эрогенными зонами.
Согласно Фрейду, развитие личности соответствует психосексуальному развитию человека, причем каждый из этапов этого развития характеризуется определенным способом проявления (или непроявлением) либидо через эрогенные зоны, присущие данному возрасту.
В детстве удовлетворение либидо связано (в хронологическом порядке) с оральной зоной, анальной зоной и областью половых органов. После некоторого латентного периода, продолжающегося с 5 или 6 лет до полового созревания, половое «пробуждение» заставляет подростка искать удовлетворения либидо с партнером, Если либидо не получает удовлетворения или удовлетворяется неадекватным образом> человек рискует остановиться на данной стадии и у него фиксируются определенные черты личности.
На оральной стадии (от 0 до 1 года) удовлетворение либидо достигается за счет ротового контакта во время сосания, покусывания или жевания. Остановка на этой стадии впоследствии приводит к возникновению таких «невинных пороков», как курение, гурманство, словесная агрессивность и т.п., а иногда и к развитию личности с чертами пассивности и зависимости от окружения.
На анальной стадии (от 1 года до 2 лет) приучение ребенка к чистоплотности ведет к перемещению источника удовлетворения либидо в анальную область тела. Нарушения развития на этой стадии могут быть обусловлены страхом ребенка потерять контроль над сфинктерами, непоследовательным поведением родителей, радующихся успехам ребенка и в то же самое время выражающих свое отвращение к его экскрементам, или слишком суровым воспитанием. Фиксация ребенка на этой стадии приводит к развитию таких черт личности, как пунктуальность (точная своевременность действий), скупость (стремление «все»
1 В главе 12 мы рассмотрим еще один аспект фрейдовской теории, касающийся динамики личности и тех способов, которыми индивидуум пытается разрешать конфликты между разными психическими структурами («Она», «Я1» и «Сверх~Яъ)ч
Развитие «Я»
35

Рис. ЮЛ4. В детстве человек накапливает опыт и учится; то, что он при этом испытывает, имеет, согласно Фрейду, большое значение для формирования личности.
сберечь для себя), чрезмерная чистоплотность (стремление убирать все грязное) или упрямство (систематическое сопротивление или отказ делать то, чего ожидают другие) (рис. ЮЛ4).
На фаллической стадии (с 2 до 5 лет) ребенок интересуется и манипулирует своими половыми органами и половыми органами других детей, В результате он обнаруживает различия между девочками и мальчиками.
На фаллической стадии развивается также эдипов комплекс (у мальчиков) и комплекс Электры (у девочек) (см. документ 10.5)/Эти комплексы характеризуются нежной привязанностью ребенка к родителю противоположного пола и агрессивностью по отношению к родителю того же пола, которого ребенок рассматривает как соперника и подсознательно хочет «устранить». Конфликт, связанный с эдиповым комплексом, разрешается отказом ребенка от своих нежных чувств к родителю другого пола и отождествлением себя с родителем одного с ним пола (что представляет для ребенка меньшую опасность, чем агрессивное отношение). В результате ребенок приобщается к ценностям, ролям и установкам, свойственным его полу. Фиксация на этой стадии может
Г шва 10
лежать в основе некоторых гомосексуальных ориентации (иногда ребенок отождествляет себя с родителем противоположного пола), а также может толкнуть на поиск партнера, который был бы «заменой» родителя, и т. п.
Латентный период (от 5 до 11 лет) характеризуется заметным снижением активности и интересов, связанных с сексом,- на первый план выдвигаются школьное обучение, социализация и освоение различных форм поведения (ролей), свойственных данному полу.
На гениталъноп стадии (которая начинается вместе с половым созреванием) подростки обоего пола все больше ориентируют свой поиск полового удовлетворения на других людей-как правило, противоположного пола. .
Так человек приближается к зрелости, главными критериями которой, по Фрейду, являются стремление работать, создавая нечто полезное и ценное, и способность любить 1 другого человека ради него самого, а не из-за того, что этот человек соответствует подсознательным установкам, сформировавшимся в результате случайных фиксаций в период эдипова комплекса или комплекса Электры.
Одно из главных возражений против теории Фрейда касается той значительной роли, которую она отводит полу в развитии личности. Особенно энергичную критику вызвало представление Фрейда о более совершенном психосексуальном развитии мальчиков по сравнению с девочками, «неполноценность» которых, по мнению Фрейда, происходит от подсознательного переживания ими своей «обделенности» мужскими половыми органами. Это представление отражало и оправдывало буржуазные предрассудки о различиях между полами в ту эпоху, когда превосходство мужчин рассматривалось как нечто само собой разумеющееся. Оно, однако, не находит научного подтверждения и поэтому сегодня пользуется все меньшей и меньшей популярностью.
Индивидуальная психология (по Адлеру)
Сначала Адлер был учеником Фрейда, но потом, разработав собственную теорию, отошел от него, Адлер не отводил либидо столь важной роли в развитии личности, придавая основное значение «воле к власти», которая, по его мнению, в качестве главного импульса с самого рождения присутствует в каждом человеке. С первых лет жизни этот импульс вступает в конфликт с требованиями мира взрослых людей, заставляя ребенка чувствовать бремя собственной неполноценности* Именно из этого чувства неполноценности впоследствии развивается специфический для каждого человека стиль жизни, с помощью которого человек пытается приобрести способности, необходимые для решения социальных профессиональных и любовных проблем-важнейших, по Адлеру, проблем существования,
1 Эти два критерия зрелости Фрейд резюмировал на немецком языке
словами arbeiten und lieben" («работать и любить»).
Рис. 10.15, Австрийский врач и психолог Альфред Адлер (1870-1937). Отойдя от психоаналитического движения, к которому он принадлежал, Адлер разработал представления о важной роли переживаемого чувства неполноценности в развитии личности. Аалер был основателем школы индивидуальной психологии.
У ребенка, страдающего от своей физической неполноценности (маленький рост, физическая слабость иди неполнота физического развития, недостаточное умственное развитие и т. п.), чересчур опекаемого семьей или, наоборот, не получающего достаточно внимания, легко может развиться комплекс неполноиенностщ делающий человека неспособным бороться с трудностями жизни. У других людей такой комплекс в результате сверхкомпенсации может перерасти в комплекс превосходства заставляющий в любых обстоятельствах стремиться к доминированию. Потребность любо ценой вызывать восхищение, систематические опоздания на встречи или бесконечные жалобы на здоровье, по мнению Адлера, тоже служат примерами индивидуальных стратегий человека, позволятощих ему самоутверждаться, привлекая внимание других людей к важности собственной персоны.
Аналитическая психология (по Юнгу)
Юнг-еще один сотрудник Фрейда, отошедший от психоанализа и разработавший собственную теорию личности.
Согласно Юнгу, энергия либидо связана не только с сексуальными импульсами. Скорее либидо представляет собой единственную в своем роде энергию, лежащую в основе всех жизненных процессов и позволяющую человеку совершать действия, необходимые для его выживания.
Юнг сводит до минимума и роль индивидуального бессознательного, заменяя его коллективным бессознательным, имеющим врожденный характер и миллионы лет передающимся из поколения в поколение. Содержание коллективного бессознательного составляют, в частности, архетипы-первичные образы, проявляющиеся в основном в сновидениях (см. досье 4ч 1) и заставляющие человека вести себя в определенных ситуациях так, как это свойственно представителям всех культур.
Один из таких архетипов, тень (которая в сновидениях может принимать вызывающий беспокойство вид темнокожего существа с походкой дикаря) олицетворяет собой все то, что отвергала наша лич-
Глава 10
Рис. 10.16. Швейцарский -медик и психолог Карл Густав Юнг (1875-1961}* Примкнув к психоаналитическому движению одним из первых, он впоследствии порывает с ним и разрабатывает собственную гипотезу о существовании коллективного бессознательного и архетипов, являющихся результатом опыта, накопленного человечеством за долгие тысячелетия. Юнг был основателем школы аналитической психологии.
ность, или же то, что не смогло в нас развиться. Сказанное относится как к женским образам (архетип душиХ скрытым в каждом мужчине, так и к мужским (архетип духа), присутствующим во всех женщинах.
На уровне сознания существуют четыре типа умственных операций, представленных в каждом человеке в разной степени. Из них два типа имеют рациональный характер: мышление я чувство; два других иррациональны - это ощущение и интуиция, К сожалению, наша культура способствует только развитию ощущений и опирающемуся на них восприятию, а также развитию мышления на основе рассуждений. Пренебрегая развитием интуиции и чувств, она лишает нас существенных возможностей адаптации к окружающему миру*.
По мнению Юнга, личность может достичь равновесия лишь в результате длительного процесса психологического созревания, названного им индивидуацией, который позволяет человеку признать и интегрировать все скрытые или игнорируемые им стороны собственной личности как на бессознательном уровне, так и на уровне сознания.
Гуманистический подход
Как помнит читатель, этот подход основан на гуманистической философии, главное положение которой заключается в том, что всякое знание неотделимо от природы человека и его основных потребностей; иными словами, знание не может существовать вне человеческой природы. Человеческую же природу нельзя объяснять рациональными терминами, а можно постичь только благодаря аффективному опыту, через который она и реализуется «в данном месте и в данное время».
Гуманистический подход постулирует также, что в каждом человеке существует ориентация, толкающая его на реализацию своих возможностей.
1 Транс личностная психология зародившееся на западном побережье США направление-занимается главным образом позитивной переоценкой роли этих двух «бедных родственников» интеллекта в нашей повседневной жизни.
Развитие «Я» 39
Теории само актуализации (по Роджерсу и Маслоу)
Согласно Роджерсу, всякий живой организм наделен стремлением заботиться о своей жизни с целью сохранять ее и улучшать. Он обладает всей необходимой компетенцией, чтобы решать возникающие перед ним проблемы и направлять должным образом свое поведение. Эта способность, однако, может развиться только в контексте социальных ценностей, в котором индивидуум получает возможность устанавливать положительные связи.
Представление ребенка о самом себе, т, е. концепция собственного «Я», будет эволюционировать в соответствии с возникающими перед ним ситуациями и его собственными действиями; оно. фактически формируется на основе того разнообразного опыта, который ему придется переживать в общении с другими людьми, и их поведения по отношению к нему, Роджерс называет эту систему представлений «реальным Яу>.
Человек, кроме того, склонен представлять себя и в идеальном образе-видеть, себя тем, чем ему хотелось бы стать в результате реализации своих возможностей («идеальное Я»)- К этому идеальному «Я» и стремится приблизиться «Я» реальное (рис. 10.17),
В каждом из нас существует, кроме того, и сильная потребность в самоуважении, заставляющая нас домогаться положительного отношения к самим себе или к тому, что мы делаем. При этом, если другие, как часто бывает, одобряют наши эмоции, чувства, мысли и поведение лишь при том условии, что они соответствуют их собственным, то очень вероятно, что мы будем скрывать свои истинные мысли и чувства, демонстрируя вместо этого те, которые получат одобрение окружающих, В результате мы будем все меньше оставаться самими собою, это приведет к разладу между реальным «Я», формируемым средой, и той частью психики, от которой мы вынуждены отказаться, что станет для нас источником тревоги. Напротив, если мы, почувствуем, что нас принимают такими, каковы мы есть, то мы будем склонны раскрывать свои подлинные эмоции, чувства и мысли. Таким образом, личность уравновешена тем лучше, чем больше согласия, или конгруэнтности между реальным «Я» человека и его чувствами, мыслями и поведением,
Рис. ЮЛ7, Согласно концепции Роджерса, реальное «Я» человека чаще всего сталкивается с противоречием между «идеальным Я», отражающим то, чем человек хотел бы стать, и требованиями общества, проявляющимися, как правило, в виде условного отношения к его поступкам.

40 Г. шва 10
что позволяет ему приблизиться к своему идеальному «Я», а именно в этом суть актуализации.
Что касается иерархической теории потребностей, предложенной Маслоу, то мы уже не раз говорили о ней в предыдущих главах. Достаточно напомнить, что, согласно этой теории, человек способен прийти к самоуважению и таким образом достичь самоактуализации только после того, как в значительной мере удовлетворены его более элементарные нужды (физиологические потребности, потребность в безопасности и в любви).
Теория ннтенцноналыюсти (по Бюлер)
Шарлотта Бюлер разработала теорию развития человека, акцентировав тот факт, что в основе человеческой природы лежит «намерение» (интенция). Эта иптепциопалъпостъ проявляется в совершаемых на протяжении жизни выборах для достижения целей, которые сам человек может и не осознавать. По мнению Бюлер, зачастую лишь один раз в жизни, в самом ее конце, человек способен осознать глубинную суть своих прежних ожиданий и оценить, насколько они исполнились.
Бюлер (Buhler, 1968) рассматривает в связи с формированием и достижением целей пять главных фаз жизненного цикла.
Фаза I продолжается до 15-летнего возраста. Для нее характерно отсутствие у человека каких-либо точных целей. Ребенок живет настоящим и имеет о будущем весьма смутное представление. В этот период происходит в основном развитие физических и умственных способностей.
Фаза II, длящаяся с 15 до 20 лет, Соответствует отрочеству и юности. В этот период человек осознает свои потребности, способности и интересы. Он вынашивает великие планы, связанные с выбором профессии, партнера и вообще смысла собственной жизни. Этот период первых дерзаний позволяет ему оценить, в какой степени способен он овладеть определенными навыками и быстро достичь поставленных целей.
Фаза III длится с 25 до 40-45 лет и соответствует зрелости вплоть до ее расцвета. Это самый богатый период жизни. Для него характерна постановка четких и точных целей, позволяющая добиться стабильности на профессиональном поприще и в личной жизни, принимаются решения, связанные с созданием и укреплением собственной семьи и рождением детей.
Фаза IV продолжается с 45 до 65 лет. Это солидный возраст, когда человек подводит итоги своей прошлой деятельности и своим свершениям. Отныне, заглядывая в будущее, человек вынужден пересматривать свои цели с учетом своего профессионального статуса, физического состояния и положения дел в семье.
Фаза Кначинается в преклонном возрасте, в 65-70 лет. В этот период многие люди перестают преследовать цели, которые они поставили перед собой в юности. Оставшиеся силы они тратят на различные формы досуга, путешествуя или просто приятно проводя время, спо-
Ihnmmmv «Я* 41

Рис. 10,18, Возраст ухода на покой-это тот возраст, когда человек пытается осмыслить всю свою прошлую жизнь в целом.
койно проживая последние годы жизни. Это период, когда человек пытается придать смысл своему существованию, обозревая его как нечто целое. Одни, проанализировав многочисленные события собственной жизни, чувствуют, что поставленные перед собой задачи они выполнили. Другим, наоборот, подобный экзамен может принести разочарование, так как поставленные цели достигнуты не были.
Социальное развитие
Развитие человека нельзя понять в отрыве от семьи, социальной группы и культуры, к которым он принадлежит. Как мы увидим в главе 11, немного найдется таких форм поведения, которые не зависели бы прямо или косвенно от поведения других людей.
С первых же часов жизни человека начинается процесс его социализации, в основе которого лежат связи между индивидуумами и освоение социальных навыков. Отчасти этот процесс зависит от врожденных механизмов и созревания нервной системы, однако прежде всего он определяется тем опытом, который человек получает на протяжении жизни.
Этапы социализации
Первое детство
Как отмечалось в главе 6, наибольшее значение для образования связи между ребенком и каждым из его родителей имеют первые мгновения его жизни. В основе формирования этой связи лежат взгляды, движения и особенно улыбки ребенка (Lebovici, 1983), Известно также (см. документ 5.5), что со второй недели жизни новорожденный не только начинает обнаруживать большой интерес к человеческому лицу, но и способен отличить лицо своей матери от лица чужого (Carpenter,
1975).
Между 8-м и 12-м месяцем жизни начинают четко проявляться привязанности ребенка. Он разражается криком и плачем, когда его забирают от матери (или человека, обычно ухаживающего за ним),
42 I\ww Ю
чтобы передать в чужие руки. Такая реакция ребенка отражает не столько страх перед незнакомым человеком, сколько неузнавание в нем знакомых черт материнского лица (Spitz, 1957). Этот этап тесно связан с развитием представления о постоянстве (перманентности) предметов-когнитивного процесса, который был изучен Пиаже и состоит в том, что с 8-го месяца жизни ребенок начинает активно искать исчезнувший внезапно предмет1. Представление о постоянстве, вначале связанное у ребенку с матерью, распространяется затем и на другие объекты, в особенности на другие «социальные объекты». Кроме того, постоянное присутствие социального партнера приводит к формированию у ребенка на 8-м или 9-м месяце жизни представления о собственной перманентности.
Было показано также большое значение надежной социальной привязанности как для освоения ребенком незнакомых мест, которое значительно облегчается в присутствии матери (Lieberman, 1977), так и для налаживания ранних социальных контактов с другими детьми.
-
Детство и отрочество
Группы сверстников играют в детстве и отрочестве очень важную роль, особенно для развития идентификаций и формирования установок. Согласно Соренсену (Sorensen, I973), подростки гораздо легче идентифицируют себя с другими подростками, чем со старшими, даже если последние относятся к тому же полу> расе, религии и общине, что и они сами. Дружба и сексуальность в отрочестве тесно связаны. Даже если «хороших друзей» у подростка меньше, чем в каком-либо ином возрасте (обычно не больше пяти, по данным Weiss, Lowenthal, 1975), среди них в это время больше доля представителей другого пола (рис. ЮЛ9).
Зрелость
Обычно больше всего друзей у молодых взрослых людей, состоящих в браке. В среднем их число составляет 7 человек; они подбираются по

Рис. 10.19. С раннего детства до глубокой старости дружба играет важную роль в придании человеку устойчивости.
1 В возрасте до 7 месяцев ребенок не принимается искать предмет, С которым он только что играл, если его внезапно скрыть от его взора, например бумажным экраном. В этом возрасте, как отмечает Пиаже, «с глаз долой-из сердца вон».
Paimioute «Я»
43
сходству вкусов, интересов и склада личности, по взаимности в помощи и обмене откровенностями, по совместимости на основе того удовольствия, которое они находят в обществе друг друга, по удобству общения в географическом отношении и по взаимному уважению.
В расцвете зрелости деятельность, направленная на достижение поставленных жизненных целей, не позволяет уделять слишком много времени дружбе. Поддерживаются лишь самые прочные связи. Число друзей снижается до 5 и меньше.
С приходом старости и в связи с драматическими событиями, которые в это время переворачивают жизнь человека, многие теряют своих спутников жизни и рискуют остаться в стороне от круга друзей. Дружеские связи, однако, укрепляются, когда друзья в свою очередь тоже оказываются в сходной ситуации (среднее число друзей у человека, вышедшего на покой, составляет приблизительно 6 человек).
Жизненные кризисы
Опираясь на представления Фрейда о психосексуальном развитии человека, Эриксон (Erikson, 1950) разработал теорию, в которой акцентируются социальные аспекты этого развития, Оно рассматривается как процесс интеграции индивидуальных биологических факторов с факторами воспитания и социо-культурного окружения.
Теория психосоциального развития (по Эриксону)
По мнению Эриксона, человек на протяжении жизни переживает восемь психосоциальных кризисов* специфических для каждого возраста, благоприятный или неблагоприятный исход которых определяет возможность последующего расцвета личности. В свою очередь Пекк (Peck, 1968) настаивает на особой важности двух последних кризисов в жизни человека, переживаемых им соответственно в зрелом возрасте и в старости, и описывает проблемы, присущие этим кризисам {рис, 10.21).
Первый кризис человек переживает на первом году жизни. Он связан с тем, удовлетворяются или нет основные физиологические потребности ребенка ухаживающим за ним человеком. В первом случае у ребенка
Рис. 10.20. Американский психолог немецкого происхождения Эрик Эриксон (р. 1902). В 1933 году, получив по окончании школы Венского психоаналитического общества диплом психоаналитика, он эмигрирует в США. Эриксон, продолжая развивать теорию Фрейда, акцентирует внимание главным образом на проблемах адаптации человека к социальному окружению на протяжении восьми главных жизненных кризисов.
44
Гмта it)
Рис, 10.21 + Восемь психосоциальных кризисов, которые должен преодолеть ловск в течение жизни (по Эриксону).
развивается чувство глубокого доверия к окружающему его миру, а во втором, наоборот,- недоверие к нему. .
Второй кризис связан с первым опытом обучения, особенно с приучением ребенка к чистоплотности. Если родители понимают ребенка и помогают ему контролировать естественные отправления> ребенок получает опыт автономии. Напротив, слишком строгий или слишком непоследовательный внешний контроль приводит к развитию у ребенка стыда или сомнеиийу связанных главным образом со страхом потерять контроль над собственным организмом.
Третий кризис соответствует второму детству, В этом возрасте происходит самоутверждение ребенка. Планы, которые он постоянно строит и которые ему позволяют осуществить, способствуют развитию у него чувства инициативы. Наоборот, переживанце повторных неудач и безответственности могут привести его к покорности и чувству вины.
Четвертый кризис происходит в школьном возрасте. В школе ребенок учится работать готовясь к выполнению будущих задач. В зависимости от царящей в школе атмосферы и принятых методов воспитания у ребенка развивается вкус к работе или же, напротив, чувство неполноценности как в плане использования средств и возможностей, так и в плане собственного статуса среди товарищей.
Пятый кризис переживают подростки обоего пола в поисках идентификаций (усвоения образцов поведения значимых для подростка других людей). Этот процесс предполагает объединение прошлого опыта подростка, его потенциальных возможностей и выборов, которые он должен сделать. Неспособность подростка к идентификации или. свя-

Рияштис «Я» 45
занные с ней трудности могут привести к ее «распылению» или же к путанице ролей, которые подросток играет или будет играть в аффективной, социальной и профессиональной сферах.
Шестой кризис свойствен молодым взрослым людям. Он связан с поиском близости с любимым человеком, вместе с которым ему предстоит совершать цикл «работа-рождение детей-отдых», чтобы обеспечить своим детям надлежащее развитие. Отсутствие подобного опыта приводит к изоляции человека и его замыканию на самом себе.
Седьмой кризис переживается человеком в сорокалетнем возрасте. Он характеризуется развитием чувства сохранения рода {генеративности)* выражающегося главным образом в «интересе к следующему поколению и его воспитанию». Этот период жизни отличается высокой продуктивностью и созидательностью в самых разных областях. Если, напротив, эволюция супружеской жизни идет иным путем, она может застыть в состоянии псевдоблизости (стагнация), что обрекает супругов на существование лишь для самих себя с риском оскудения межличностных отношений,
Пекк выделяет четыре подкризиса, разрешение которых служит необходимым условием для развития аутентичной генеративности. Во-первых, речь .идет о развитии у человека уважения к мудрости, сменяющее примат физической храбрости. Во-вторых, важно, чтобы сексуализация социальных отношений уступила место их социализации (что соответственно приводит к ослаблению сексуальных ролей); В-третьих, необходимо противиться аффективному обеднению, связанному со смертью близких людей или с обособлением детей, и сохранять эмоциональную гибкость, способствующую аффективному обогащению в иных формах. Наконец, очень важно, чтобы человек старался сохранить как можно большую душевную гибкость и продолжать поиск новых форм поведения, вместо того чтобы придерживаться старых привычек и пребывать в некоей психической ригидности.
Восьмой кризис переживается во время старения. Он знаменует собой завершение предшествующего жизненного пути, а разрешение зависит от того, как этот путь был пройден. Достижение человеком цельности основывается на подведении им итогов своей прошлой жизни и осознании ее как единого целого, в котором уже ничего нельзя изменить. Если человек не может свести свои прошлые поступки в единое целое, он завершает свою жизнь в страхе перед смертью и в отчаянии от невозможности начать жизнь заново.
Как указывает Пекк чтобы чувство полноценности могло развиться в полной мере, человеку необходимо преодолеть три подкризиса. Первый из них заключается в переоценке собственного «Я» помимо его профессиональной роли, которая у многих людей вплоть до их ухода на покой остается главной. Второй подкризйс связан с осознанием факта ухудшения здоровья и старения тела, что дает возможность человеку выработать у себя в этом плане необходимое равнодушие. Наконец, в результате третьего подкризиса у человека исчезает самоозабоченность, и теперь он без ужаса может принять мысль о смерти.
46 Глава 10
Смерть
Оказавшись перед лицом смерти, человек переживает ряд этапов, описанных разными авторами. Элизабет Кюблер-Росс (Kiibbler-Ross, 1969) была одной из первых, кто проследил путь умирающих с того момента, когда они узнали о своем близком конце, до того, как они испустили последний вздох.
Приближение к смерти
Согласно Кюблер-Росс, умирающие обычно проходят через пять стадий.
Первая из них - отрицание. Слова: «Нет, не я!»-самая обычная и нормальная реакция человека на объявление ему смертельного диагноза, В зависимости от того, насколько человек способен взять события под свой контроль и насколько сильную поддержку ему оказывают окружающие, он преодолевает эту стадию легче или тяжелее.
Гнев, охватывающий больного при вопросе: «Почему именно я?», характеризует вторую стадию. Умирающий изливает этот гнев на заботящихся о нем людей и вообще на всякого здорового человека. Для завершения этой стадии важно, чтобы умирающий получил возможность излить свои чувства вовн$.
Затем начинается стадия «торга>у. больной вступает в переговоры за продление своей жизни, обещая, например, быть послушным пациентом или примерным верующим.
.- Перечисленные три фазы составляют период кризиса и развиваются в описанном порядке или с частыми возвращениями назад.
После разрешения этого кризиса умирающий вступает в фазу депрессии. Вопросов он больше не задает. Он просто говорит себе: «Да, на этот раз умереть предстоит именно мне». Он замыкается в себе и часто испытывает потребность плакать при мысли о тех, кого он вынужден оставить* Это стадия подготовительной печали, на которой умирающий отрекается от жизни и готовится встретить смерть, принимая ее как свой последний жизненный этап.
Это принятие смерти составляет финальный этап жизни умирающего, когда он, как правило, смиренно ждет своего конца.
Ступени смерти
i
Жизнь уходит поэтапно-в обратном порядке по сравнению с тем, как она развивается. Пэттисон (Patlison, 1977) выделяет четыре стадии этого процесса (рис. 10,22),
Социальная смерть характеризуется потребностью умирающего изолироваться от общества, замкнуться в самом себе и все дальше и дальше отдаляться от живых людей.
Психическая смерть соответствует осознанию человеком очевидного
Развитие «Я»
47
Рис. 10.22. Жизнь покидает земную оболочку, в которой она долгие годы пребывала, постепенно, в несколько этапов.
конца, В это время экстравертированное сознание угасает, уступая место состоянию* характерному для последнего периода жизни (см. документ 4.7).
Мозговая смерть означает полное прекращение деятельности головного мозга и его контроля нал различными функциями организма.
Наконец, физиологическая смерть соответствует угасанию последних функций организма, обеспечивавших деятельность его жизненно важных органовг.
Документ ЮЛ. Сексуальные фантазии: извращение
или психологическое «афродизирующее средство»?
Среди мечтаний, которым не противится большинство людей, сравнительно большое место занимают мысли, вызывающие половое возбуждение. Время, которое человек посвящает таким сексуальным фантазиям, с возрастом вначале увеличивается/ У подростков оно в среднем составляет 17% всего времени, в возрасте от 18 до 20 лет эта доля достигает 20%, а затем снижается до 8% между 28 и 35 годами и менее чем до 1% после 65 лет (Cameron, 1967).
Чаще всего сексуальные фантазии сопровождают мастурбацию, не возникают они при мастурбации лишь у 20% подростков мужского пола и 10% женского (Sorensen, 1973), Для более чем половины всех мужчин и трети женщин просмотр эротических фотографий или фильмов служит
1 Смерть и наступающая затем гибель клеток не означают, однако* что все процессы в организме прекращаются. На атомном уровне продолжают свой бесконечный головокружительный бег элементарные частицы, движимые энер-гией» которая существует с начала всех времен. Как говорил Лавуазье, «ничто не создается заново и ничто не исчезает навсегда, все только трансформируется».
I .юна И)

Рис. 10.23. Эротические фантазии свойственны каждому человеку на протяжении всей жизни; они присутствуют во всех проявлениях его половой активности.
стимулом к мастурбации или дополнительным источником мастурба-ционных фантазий.
У многих мужчин и около 30% женщин эротические фантазии возникают и во время полового акта (Wolfe, 1981), Работы Крепо (Crepault) по изучению «эротического воображения» жителей Квебека выявили заметные различия между формами сексуальных фантазий у мужчин и женщин. Так, у женщин эти фантазии чаще, чем у мужчин, принимают сентиментальную окраску. Если у женщин они в первую очередь имеют эксгибиционистский1 характер (медленное раздевание), то у мужчин чаще отмечаются фантазии вуайеристского 2 типа (пассивное присутствие при эротических сценах, например при сценах женских гомосексуальных отношений, или созерцание раздевающейся или мастурбирующей женщины). Главным образом женщине свойственны фантазии нарциссического типа (когда она воображает, что обладает огромной сексуальной привлекательностью) или мазохистские фантазии (под-вергается агрессии со стороны одного или нескольких половых партнеров); у мужчин чаще встречаются фантазии фетишистского типа (когда мужчина представляет себе женщину в одежде и с другими принадлежностями туалета, возбуждающими его воображение) или типа активного принуждения (связывание партнерши и принуждение ее к сексуальной активности). Мужчинам также свойственны и фантазии полигамного типа (сексуальная активность сразу с несколькими женщинами), оргиастические фантазии (участие в групповой сексуальной активности), фантазии орогенитального типа (фелляция, куннилингус или оральная эякуляция) или инициативистские фантазии (совращение девочки).
Гомосексуальные фантазии отмечаются у лиц обоего пола-по дан-ным Крепо (Crepault, 1977)t у 7% мужчин и 11% женщин. То же самое
1 Объяснение этих терминов см. в главе 12. См. раздел главы 12, посвященный психосексуальным расстройствам.
«Я» 49
можно сказать и о фантазиях, когда субъект воображает, что подвергся сексуальному принуждению (будучи связанным или не связанным), или о фантазиях, попирающих нормы христианской добродетели, когда женщина отождествляет себя с проституткой или с развратницей, а мужчина превращает ее в «объект сексуальной эксплуатации».
Религия, а затем и психоанализ по разным причинам пожелали увидеть в сексуальных фантазиях извращение. По мнению Фрейда, такие фантазии отражают наличие конфликта между подавленными сексуальными импульсами к семейными или социальными запретами и, таким образом, вместе с другими сексуальными извращениями (см. гл. 12) искажают «нормальные сексуальные цели». Американский психиатр и психоаналитик Столлер полагает, что «дневные мечтания в сжатом виде отражают первичные отношения всего детства и пытаются освободить человека от имевших место в детстве фрустраций, травм и конфликтов», давая ему возможность хотя бы в своем воображении причинить зло объекту эротических фантазий. Подобная агрессивность, особенно отчетливо проявляющаяся в садо-мазохистских фантазиях, принимает в эксгибиционистских, вуайеристских фантазиях и фантазиях, попирающих нормы христианской добродетели, форму «унижения» другого человека.
Напротив, по мнению других психотерапевтов, в сексуальных фантазиях нет ничего постыдного-они лишь помогают многим людям примириться со своей половой жизнью, культивируя про себя свои тайные помыслы. В этом они видят, в частности, способ легкого достижения удовольствия, и, кроме того, «мысленная подмена» позволяет человеку подготовиться к соответствующим действиям в будущем или же заменить действия, осуществить которые у него мало шансов. Таким образом, фантазии позволяют ослабить сексуальную фрустрацию, так как благодаря им можно отчасти удовлетворить желания, реализация которых находится под запретом.
Мастере и Джонсон (Masters* Johnson), изучив небольшую выборку гетеросексуальных, гомосексуальных и бисексуальных женщин и мужчин, обнаружили, что уровень сексуальных фантазий был самым низким у бисексуальных мужчин, а самым высоким у лесбиянок. Другие исследования показали также, что если у лесбиянок главным предметом сексуальных фантазий бывает привычная партнерша, помещаемая в непривычную ситуацию, то у гетеросексуальных женщин в фантазиях присутствует чаще всего малознакомый мужчина. Гетеросексуальные мужчины обычно строят свои фантазии вокруг конкретной женщины, но не своей привычной партнерши. Самой обычной темой фантазий у гомосексуальных женщин и мужчин является активное принуждение, но если у мужчин оно связано преимущественно с применением физической силы, то у лесбиянок это чаще психологическое давление.
Быть может, после всего сказанного о сексуальных фантазиях уместно будет вспомнить слова Столлера, что «человек не очень склонен любить, особенно в то время, когда он занимается любовью».
4-443
50 Гимн 10
Источники: Katchadourian H.A La sexualiie humaine, Montreal, Les Editions HRW, 19S2.
Stoller R.J., 1979, LJexcitation scxuclle, Paris, Payot, 1984. Goieman D» Bush S,, „Les fantasmes sexuels", Psychologic, n° 98, mars 1978, p. 33-3&
i
Документ 10*2. Детское мышление
Представление о мышлении ребенка как о «примитивном» или «сумасшедшем» мышлении, существенно отличном от мышления взрослого человека по своим формам и содержанию, возникло в результате работ таких психологов, как Клапаред (Claparede, 1873-1940), Пиаже, Валлон и многие другие.
Для структуры мышления ребенка от 3 до 7-8 лет характерны два главных признака -эгоцентризм и синкретизм которые накладывают отпечаток на все его видение мира и расшифровку воспринимаемого.
Эгоцентризм
Зачастую эгоцентризм ошибочно определяют как представление ребенка, что все вокруг имеет к нему отношение. Во многом такое определение неточно, так как для ребенка это «все» не существует само по себе. С самого рождения он воспринимает мир лишь как свое продолжение, имеющее смысл только в плане удовлетворения его потребностей. Таким образом, речь идет о субъективном восприятии, препятствующем какому бы то ни было различению связей между самим ребенком и внешними объектами и тем более не позволяющем устанавливать связи или отношения этих объектов между собой. Для ребенка мир таков, каким он воспринимает его собственными глазами и ощущает через извлекаемые из него удовольствия; восприятие ре-, бенком реальности не может быть объективным.
И ребенок, который звонит по телефону своей бабушке и говорит: «Бабушка, посмотри, какая у меня красивая кукла!», и ребенок, убежденный, что бакалейщик продает конфеты, чтобы сделать приятное детям, обнаруживают свое насквозь эгоцентрическое видение мира.
Хотя эгоцентризм мало-помалу смягчается на стадии конкретных операций, нередко можно встретить и взрослого человека, который, входя в комнату, восклицает: «Бррр... Закройте окно, тут так холодно!». Вместо того чтобы сначала убедиться в обратном, он выносит собственное суждение об окружающем от имени всех присутствующих.
Синкретизм
Ребенок, которому эгоцентризм мешает уловить связь между предметами, имеет тем не менее «смутное и неверное» представление о некоем целом, в котором все перепутано без разбору и отдельные детали которого выступают для ребенка в зависимости от представляемого ими интереса. Клапаред назвал такое восприятие мира детским синкретизмом* три грани которого характеризуют мышление ребенка.
Развитие «Яъ 51
Речь идет об интуитивном и глобальном мышлении с рядоположным рассмотрением деталей.
Интуитивный характер синкретизма проявляется в том, что ребенок, будучи неспособным устанавливать связи между разными элементами ситуации не имеет возможности оправдывать свои действия и еще меньше в состоянии приводить доводы в пользу того, что он утверждает.
Так, если ему нужно поделить между собою и своим маленьким приятелем 6 конфет, он отдаст 3 конфеты другу и 3 оставит себе, но обоснует свой дележ не словами «если от 6 отнять 3, будет 3», а скорее следующим рассуждением: «Ну, ладно, если 3 разделить на 2, будет 6!», Точно так же нередко можно услышать и диалог вроде того, что приводится ниже, где путаница в терминах вызывает общую неразбериху:
- Они двигают лодки?
- Кто приводит в движение лодки?
- Вода.
- А кто приводит в движение воду?
- Лодки.
Глобальность синкретизма заключается в том, что ребенок не способен воспринять существующую организацию элементов. Поэтому он видит лишь иерасчлененное целое. Например, ребенок трех или четырех лет легка может узнать страницу книги, которую он любит слушать, даже если он не умеет читать и не имеет никакого представления о значении букв и слов.
В качестве примера смешения понятий, типичного для глобализма шестилетнего ребенка, Валлон приводит следующий диалог:
Валлон. Как бывает, когда человек умрет?
Ребенок. Умирают. Закрывают глаза, а потом их везут закапывать и потом кладут венки и начинают поливать цветы. Иногда их просто кладут, иногда на кладбище ходят гулять, Иногда рабочие копают могилы, а потом посыпают песком-
- Зачем они копают могилы? Чтобы класть мертвых.
- Откуда видно, что человек умер?
- Потому что он лежит на смертном одре.
- Откуда люди знают, кого класть на смертный одр?
- Потому что он умер,
- Из чего видно> что он умер?
- Потому что его закапывают.
- А как узнать - умер он или нет?
- Это видно в могиле.
Детали воспринимаются как рядоположные ребенок наобум вычленяет из целого отдельные элементы, не будучи в состоянии связать их ни между собой, ни с целым. Если у ребенка спрашивают, как работает велосипед, он скорее всего ответит так: «Ну, видишь, вот колеса,,, потом
4*
52
Г. шва


Рис. 10.24+ Детские рисунки с признаками синкретизма.
вот педали и вот цепь.„ а потом колеса, крутятся, и цепь тоже». Такой подход порождает много путаницы в причинах и следствиях. Вот пример такой путаницы в диалоге между взрослым и отвечающим на его вопросы шестилетним ребенком. "
- Ты знаешь, что такое ночь?
- Это когда заходит солнце.
- Почему, когда заходит солнце, наступает ночь?
- Потому что так нужно, потому что все кончили работать. Все устали,
- Почему наступает ночь?
- Чтобы спать.
Ум ребенка
То, как ребенок объясняет мир, его убеждения и предрассудки прямо определяются структурой его мышления, насквозь проникнутого эгоцентризмом и синкретизмом. Согласно Пиаже, склад ума ребенка характеризуется реализмом, анимизмом и артифициализмом.
Детский реализм выражается в неспособности ребенка видеть вещи объективно, самими собою, как это свойственно реализму взрослых. То, что собственное «Я» ребенка систематически вторгается во внешнюю реальность, приводит к систематической путанице между его «Я» и внешними предметами. Поэтому, изображая мир, ребенок рисует не то, что видит* а то, что знает. Именно этим можно объяснить прозрачность изображаемых вещей (рис. 10.24). Этим же объясняется и убежденность пяти-шестилетних детей, что действие их сновидений развертывается
Ражттие «Я» 53
непосредственно в их комнате или что название предмета так же реально, как и сам предмет, и способно наделять этот предмет незыблемыми признаками, (Для ребенка кошка, не умеющая мурлыкать или не позволяющая себя гладить, не может быть настоящей!)
Анимизм есть результат проецирования ребенком собственного «Я» да вещи, при котором он наделяет сознанием и жизнью прежде всего «одушевленные» предметы (автомобили, суда и т, п,), способные двигаться самостоятельно (облака, солнце, река и т.д.). Это свойство ума сохраняется у ребенка до И или 12 лет. Лишь в этом возрасте ребенок начинает признавать живыми только биологические организмы.
Арщифщиализм обусловлен тем обстоятельством, что ребенок, считающий себя центром Мироздания, убежден, что все сущее-горы, деревья, звезды...-могло быть создано лишь по воле человека, Подобное «артифициалистское» мышление особенно проявляется в «определениях по предназначению», которые ребенок дает разным объектам в возрасте 5-6 лет:
- Что такое стул?
- Это на чем сидят,
- Что такое солнце?
- Это чтобы нам светить.
- Что такое мама?
- Это кто готовит еду.
Источник: Hotyat F.w Course <k psychologic dc FenfatU, a Tusage des ecolcs normales, Paris, Nathan, 1972,
Документ 103. Перед лицом нравственной дилеммы
Чтобы изучить, каким образом происходит нравственное развитие детей и подростков, Кольберг в 1958 году решил выдумать несколько историй, в каждой из которых содержалась какая-нибудь нравственная дилемма, а затем ознакомить с ними 75 мальчиков и девочек и наблюдать их реакции.
Так, в одном из рассказов речь шла о девочке, поставленной перед выбором, выдавать или не выдавать подругу, совершившую кражу в магазине; в другой истории нужно было решить что лучше-спасти жизнь одного выдающегося человека или многих, менее примечательных людей; в третьей нужно было решить, может ли врач позволить умереть больной, которая умоляет его об этом, переживая тяжкие страдания.
Однако, вне всяких сомнений, лучше всего разные уровни нравственного развития детей позволяет продемонстрировать ставшая уже классической история о Хайнце.
История. В одной европейской стране умирает от особой формы рака некая женщина. Между тем есть лекарство, которое, по мнению врачей, могло бы ее спасти, Это лекарство, в состав которого входит радий, только что открыл живущий в том же городе фармацевт. На его изготовление фармацевт затратил 200 долларов, однако только за одну дозу этого лекарства он требует в 10 раз больше денег, чем он
54 Г.шва 10
израсходовал, т.е. 2000 долларов. Муж больной женщины, Хайнц, сделал все возможное, чтобы собрать эту сумму, одалживая деньги у знакомых, но получить ему удалось только половину. Тогда он возвращается к фармацевту и просит его понизить цену на лекарство или позволить ему отдать недостающие деньги позднее. Фармацевт отказывает; «Я открыл это лекарство и хочу извлечь из своего открытия много денег». Той же ночью отчаявшийся Хайнц задумывает проникнуть в аптеку, взломав дверь, и похитить лекарство. Прав он или неправ? Почему?
К изложенному рассказу можно отнестись по-разному t в зависимости от того, оценивать ли его с точки зрения мужа, установок фармацевта или ценности человеческой жизни. Важнее, однако, не столько ответить на общий вопрос, можно ,или нельзя воровать, сколько оправдать выбор, сделанный в данном случае героем рассказа.
Ниже резюмированы ответы, полученные от детей разного возраста, т. е. находящихся на разных уровнях нравственного развития, и сгруппированные в соответствии с тем, как они расценивают жизнь человека в сопоставлении с общественными нормами.
Стадия 1, Покорность и наказание, «Хайнц должен был купить лекарство. Если он его украл, его должны посадить в тюрьму и так или иначе ему придется выплачивать его полную стоимость».
Или; «Нет ничего серьезного в том, что Хайнц решил украсть лекарство, так как на самом деле оно стоит не 2000, а всего 200 долларов. Он не рискует подвергнуться слишком строгому наказанию».
Ценность людей в этих рассуждениях не учитывается. Речь идет лишь о связанных с поступком выгодах или наказании: чем серьезнее материальные последствия поступки, тем предосудительнее он считается.
Стадия 2, Личный интерес, «Если Хайнц не хочет потерять супругу, он должен украсть лекарство. Возможно, его посадят в тюрьму, но он сохранит жену+ Когда умирает ваша собака-это другое дело, потому что в собаке ведь нет особой нужды. Не знаю, должен ли он был сделать то же самое ради друга, так как я не уверен, что друг пошел бы на такое дело ради него».
В этих рассуждениях люди имеют какую-либо ценность только в том случае, если они могут представлять интерес для совершающего поступок, и в той мере, в какой они способны отплатить ему за совершение этого поступка.
Стадия 3. Одобрение другими людьми. «Ничего плохого в том, что Хайнц хотел спасти свою жену, нет. Тем самым он показал себя хорошим мужем. Любовь бесценна. Ее ничем не заменишь. Если бы он не любил свою жену настолько, чтобы решиться на все ради ее спасения, его, безусловно, следовало бы осудить»,
В этих рассуждениях ценность человека определяется теми чувствами, которые он к себе вызывает. Эти чувства приводят к поступкам, показывающим этому человеку и другим людям, что лицо, их совершающее,- «хорошая мать»п «хороший муж» и вообще «положительная личность».
Развитие «Я» 55
Стадия 4- Авторитет, закон и порядок. «Супружество-это обязательство. Как контракт. Когда женятся, жену обещают любить и лелеять. Таким образом, долгом Хайица было спасти ее, С другой стороны, у него не было никакого права идти против закона. Ему нужно будет вернуть фармацевту недостающие деньги и, возможно, искупить свою вину тюремным заключением».
Человек оценивается здесь по условиям контракта или обязательства, которые связывают его с нами и возлагают на нас ответственность перед высшим авторитетом-законом, Библией, Богом и t+il
Стадия 5* Общественный договор и демократия, «Если Хайнц не сделает все возможное, чтобы спасти жизнь жены, он рискует потерять уважение других. Он совершает свой поступок во имя благополучия другого человека. Хотя для всех лучше, чтобы законы всегда соблюдались, бывают случаи, когда их нужно нарушить. Каждый сам должен оценивать конечные результаты своих поступков».
Ценность личности определяется правами человека, предполагающими равенство всех людей независимо от того, в каких личных или деловых отношениях они находятся друг с другом. В определенных обстоятельствах человек может принять решение преступить закон, чтобы спасти другого.
Стадия 6* Универсальные принципы, «Жизнь каждого человека имеет самостоятельную ценность, ставящую ее выше каких бы то ни было моральных или юридических принципов. Если человеческая жизнь в опасности, каков бы ни был закон и последствия, к которым может привести неповиновение ему, кража нравственно оправдана»,
Жизнь человека имеет ценность во имя самой жизни. Нет такого закона, решения - пусть даже принятого демократическим путем, авторитета - человеческого или божественного, которые могли бы воспрепятствовать соблюдению этого универсального принципа.
Документ 10.4. Можно ли оценить личность?
С давних пор психологи пытались отыскать способы выявления различных особенностей человеческой личности. Так были разработаны многочисленные методы* каждый из которых отвечает конкретным задачам исследования и> кроме того, определяется тем подходом * изучению личности, который избирает данный исследователь. Среди наиболее популярных в настоящее время методов следует отметить метод самооценки, поведенческие наблюдения, опросники и проективные тесты.
Метод самооценки :
г
Речь идет об опросниках вроде тех, которые для развлечения иногда помещают в некоторых журналах. В них человеку предлагается указать, как он сам воспринимает тот или иной аспект своей личности. Понятно, что это весьма субъективный метод исследования личности, с помощью
56 Г шва 10
которого достаточно эффективно можно установить лишь, насколько хорошо знает себя человек и в особенности насколько искренне он отвечает на предлагаемые вопросы. Иногда для проверки двух последних пунктов создают группу наблюдателей и предлагают им оценить человека с помощью того же опросника, а затем сравнивают полученные результаты и определяют степень соответствия между двумя оценками.
.
Поведенческие наблюдения
Более объективный метод изучения личности заключается в систематическом наблюдении реакций человека в различных социальных ситуациях. С помощью опросника или подробной решетки наблюдатель всякий раз отмечает различные поведенческие реакции человека, а затем определяет их частоту.
Например, агрессивность ребенка можно оценить в результате систематической регистрации его взаимодействий с окружением и последующей оценки частоты и длительности таких его действий, как крик, толкание, нанесение ударов, дерганье за волосы, угрозы, уединение, попрошайничество и т. д. Такое наблюдение позволяет не только составить баланс всего поведения человека, но и выявить его возможные изменения после какого-либо психологического воздействия.
Описанный метод, однако, позволяет провести лишь поверхностную оценку личности и не в состоянии выявить ни ее глубинные побудительные силы, ни психическую динамику в зависимости от различных внешних ситуаций,
Личностные опросники
Их насчитывается более 300. Это тесты, выполняемые с помощью бумаги и карандаша* они предназначаются для выявления различных сторон личности данного человека с помощью набора утверждений* с которыми можно «соглашаться» или «не соглашаться».* Анализ ответов позволяет получить профиль личности испытуемого и сравнить полученные данные с результатами для контрольной группы - так же как и при оценках IQ (см. документ 9J), Из таких опросников наиболее известен опросник MMPI, разработанный в Университете шт. Миннесота. .
MM PL Этот опросник содержит 550 пунктов, охватывающих различные сферы проявления личности, начиная с семейной жизни, профессиональной активности и сексуальных привычек и кончая социальной и религиозной деятельностью. Тест предусматривает оценку человека по 10 определенным измерениям личности в соответствии с патологическими категориями, описанными в психиатрии (см. гл. 12). Для каждого из этих измерений подбиралась контрольная группа из лиц с явными психическими сдвигами в соответствующем направлении. Таким образом, склонность человека, например, к депрессии или паранойе оценивали путем сопоставления его реакций с реакциями лиц, которым
Paieumiw «Я»
? л ф к |Ип д Ис ппмжпалсш Маиэ искренность и обоснованность ответов
испытуемого (?-вопросы, оставшиеся без ответа; Л-склонность ко лжи; Ф маловразумительные ответы; К-уклончивые ответы). Клинические шкалы соответствуют различным категориям психических нарушений (Ип ипохондрия; Д-депрессия; Ис- истерия; ПП-склонность к психопатии; МЖ - коэффициент «мужественность -же нет венность»; Па- паранойя; П с -психастения (тревожность); Ш шизофрения; Ma-мания» ИЭ-«интровер-сия экстраверсия». Нормальным считается профиль, показатели которого
Рис. 10.25, Профиль личности, определенный с помощью ММРК Первые четыре шкалы позволяют проверить не вышеи не ниже 30.
в психиатрической клинике был поставлен уверенный диагноз депрессии или паранойи. В результате у каждого человека, проходящего тест, после подсчета числа пунктов, по которым его ответы совпадают с ответами контрольных испытуемых, можно выявить особенности, отличающиеся от нормы.
Хотя первоначально MMPI был задуман для оценки уровня адаптации тестируемых, в настоящее время он широко используется для оценки личности людей в самых разных сферах деятельности: в системе образования, при найме на работу, в армии и т. п. В связи с этим, как и в случае тестов для оценки умственных способностей, возникает вопрос; какова надежность теста, стандартизированного в од ном-единственном городе США в результате обследования представителей белой расы с явными отклонениями по критериям «официальной» психиатрии, при оценке личности тех, кто относится к другим этническим группам и социальным классам? Правомерно ли, скажем, утверждать, что оценка людей с помощью этого теста при найме на работу дает равные шансы всем независимо от принадлежности человека к той или иной культуре?
Другие опросники* В кратком обзоре невозможно рассмотреть все существующие в настоящее время опросники или шкалы для оценки личности. Поэтому мы ограничимся здесь лишь перечислением некоторых из них в связи с лежащими в их основе теориями личности, речь о которых шла в этой книге.
Опросник 16PF предназначен для выявления 16 факторов, идентифицированных Кэттеллом для определения психического профиля человека по поверхностным личностным свойствам. Так, свойство «открытость/замкнутость» (А) можно оценить с помощью; например, такого пункта опросника: «Я хотел бы быть а) инженером, б) профессором социологии, в) ни тем ни другим.
Точно так же свойство «доверчивость/подозрительность» можно оценить по согласию или несогласию с такими словами: «Если я вполне уверен, что кто-то несправедлив и ведет себя эгоистически я обязательно

5Й Глава Ш
выскажу ему свое мнение, как бы это ни было мне неприятно», и т. п.
Опросник МР1 {Mandsley Personality Inventory) предусматривает оценку измерений, выделенных Эйзенком и позволяющих определять положение человека на осях «интроверсия/экстраверсия» и «стабильность/нестабильность».
Шкала LOC (Locus of-Personal Control Scale), разработанная Рот-тером, предназначена для оценки контроля человеком собственных поступков. Тестируемому предлагают вопрос типа: «Как вы думаете, может ли человек достичь поставленной цели, проявляя упорство, или же это чаще всего зависит от случая?» Или: «Как вы думаете, обусловлены ли несчастья людей по большей части злым роком, или же это следствие совершаемых ими ошибок?»
Критике подвергался не только опросник MMPI, много возражений было выдвинуто и против личностных опросников вообще. Так, подчеркивалось, что нет еще доказательств ни надежности, ни точности какого-либо из этих тестов. Учитывая то, что многие их пункты имеют очень общий характер, можно даже спросить, не влияет ли на эти тесты эффект Барнума (см, документ 3.6). Кроме того, такие преходящие факторы, как усталость иЛи беспокойство, могут влиять на них в еще большей степени-, чем на тесты для оценки умственных способностей, так как последние являются составной частью первых.
Хуже всего, однако, то, что сведения, которые человек сообщает в ответ на предлагаемые вопросы, зачастую носят очень личный характер, так как касаются его политических или религиозных взглядов и интимной (семейной и половой) жизни. Из этого очевидно, что как широкое применение этих опросников, так и возможное использование получаемых данных в целях, подчас далеких от истинной помощи субъекту, сопряжено с определенными этическими проблемами.
Проективные методы
Когда нам предъявляют неоднозначный стимул, мы склонны интерпретировать его в соответствии с собственными чувствами, потребностями или интересами (см, гл. 5), которые, таким образом, проецируем на этот стимул. На этом принципе и основаны так называемые проективные тесты. Они предъявляются в виде серии изображенных на листках бумаги фигур или рисунков с неясными очертаниями, которые должен описать испытуемый. Задача психолога состоит в интерпретации ответов испытуемого с целью выяснения динамики его личности, которая, таким образом, проявляется без ведома самого испытуемого. Из всех подобных методов оценки личности наиболее известны и чаще всего используются тест чернильных пятен Роршаха и гест тематической апперцепции (ТТА).
Тест Роршаха. Этот тест был разработан в 1911 году швейцарским психиатром Германом Роршахом (1884-1922). Он состоит из 10 листков бумаги с чернильными пятнами, симметричность которых достигается в результате сгибания листа. Половина из них выдержана в черных,
«Я» 59

Рис, 10.26. Подобного рола пятна используются в тесте Роршаха. Испытуемый волен сообщать все, что он видит в этой фигуре.
белых и серых тонах, к пятнам на двух других листках добавляется красный цвет, а пятна на трех остальных помимо черного, белого и серого окрашены еще и в пастельные тона. Как полагал Роршах, «шок» при виде цветного пятна отражает эмоциональную жизнь испытуемого, а также даст представление о степени его самоконтроля. Что касается формы пятен и их образного описания испытуемым, то их интерпретация и оценка зависят от их расположения на листе бумаги, специфических особенностей и «оригинальности». Учитывают и то обстоятельство, описывает ли испытуемый все пятно или лишь отдельные его детали, что позволяет говорить о его способности или неспособности к синтезу и к абстрактному и теоретическому восприятию действительности,
Хотя Роршах и разработал систему оценок, позволяющую систематизировать интерпретации психологов, сами эти интерпретации основываются главным образом на совокупности получаемых сведений и их взаимной организации. Поэтому они в значительной мере зависят от интуиции и клинического опыта исследователя.
ТТА, Этот тест разработал в конце 30-х годов Маррей (Murray). Он состоит из 30 рисунков, каждый из которых изображает неоднозначную сценку с людьми. Испытуемому предлагают рассказать, основываясь на этой сценке, первую пришедшую ему в голову историю.
Таким образом, и здесь в последующей интерпретации рассказа предполагается, что испытуемый проецирует на одного или нескольких персонажей свои собственные потребности, тревоги или ожидания, доставляя тем самым информацию об окружающем его мире и конфликтах, которые он в нем переживает.
Выявив темы, которые чаще всего встречаются в описаниях испытуемым разных картинок» исследователь должен суметь уловить глубинные аспекты личности данного человека, касающиеся, в частности, его озабоченности, идентификаций, сознательных и подсознательных
Глава 10
т
i

Рис. 10,27. Одна из картинок, истюльауе-мых в ТТА, Испытуемого просят рассказать какую-нибудь историю на основании тех впечатлений, которые вызывает у него рисунок.
желаний, а также ориентации, которые он хотел бы придать своей жизни.
Оценка проективных тестов. Говорить о надежности и точности проективных методов приходится еще меньше, чем о надежности и точности личностных опросников. Интерпретация материала, сообщаемого испытуемым, столь же сильно зависит от культуры исследователя и его социокультурной среды, как и от его личности и опыта. Вероятно, интерпретаций одного и того же рассказа испытуемого может быть столько же, сколько исследователей его будет истолковывать; иногда, впрочем, появляется возможность сравнить интерпретации разных психологов.
Цель этих иследований, однако, состоит не столько в получении точного и надежного портрета личности испытуемого, сколько в оценке динамики, лежащей в основе его поведения. Проективные тесты, таким образом, служат инструментом, позволяющим получить полезную информацию о тех движущих силах поступков, о существовании которых человек сам не подозревает.
Документ 10.5. Кто такие были Эдип и Электра?
Эдип
Эдип-персонаж греческой мифологии. Он был сыном Лая, царя города Фивы, и его супруги Иокаеты* Когда Эдип появился на свет, оракул потребовал от царя уничтожить ребенка, ибо судьбой ему было предначертано убить Лая и взять в супруги собственную мать.
Тогда новорожденного со связанными ногами оставили на горе на растерзание диким зверям. Ребенка, однако, подобрали пастухи, назвавшие его Эдипом (это и значит «тот, у кого связаны ноги»),
1
Разнит in1 *<Я*> 61
и передали царю города Коринфа, у которого он и рос, не подозревая о своем происхождении. Но вот Эдип узнает о висящем над ним ужасном пророчестве, и, думая, что царь Коринфа и есть его настоящий отец, он убегает, пытаясь спастись от судьбы.
По дороге он ссорится с одним стариком и убивает его: он не знает, что старик этот и есть его родной отец, Лай. Подходя к Фивам, он сталкивается со Сфинксом, который терроризирует всю страну тем, что загадывает загадки и под угрозой смерти требует их разгадать. Эдип должен разгадать такую загадку: «Какое животное утром передвигается на четырех ногах, днем-на двух, а вечером-на трех?» Ответив, что речь идет о человеке и трех главных этапах его жизни, Эдип освобождает город от напасти. Жители Фив с триумфом вносят его на руках в город> избирают своим царем, и он женится на царице Иокасте. У них родятся два сына и две дочери, и они совершенно счастливы, пока оракул как-то не открывает Эдипу совершенный им двойной грех - отцеубийство и кровосмешение. Обезумевшая от горя Иокаста вешается, а Эдип выкалывает себе глаза. Его изгоняют из Фив, и он со своей дочерью Антигоной скитается по стране, пока не умирает недалеко от Афин.
Согласно Фрейду, эта трагедия должна иллюстрировать то, что в психологическом плане движет развитием мальчика во второй период его детства.
Электра
Отцом Электры был Агамемнон-легендарный царь Микен и Аргоса, в Троянской войне вставший во главе греков. Клитемнестра, его супруга, за время долгого отсутствия мужа завела себе любовника Эгиста, с которым сговорилась погубить Агамемнона по его возвращении из похода и занять трон,
У Агамемнона и Клитемнестры был сын Орест и две дочери, Ифигения (которую Агамемнон принес в жертву богине Артемиде) и Электра. Узнав о преступных замыслах своей матери, Электра ничего не смогла сделать чтобы воспрепятствовать драме. Тогда она решила отомстить за смерть отца, убедив брата убить свою мать Клитемнестру и ее сообщника Эгиста.
Подобная склонность к образу отца> доходящая до символического уничтожения матери, по мнению психоаналитиков, должна драматически переживаться большинством маленьких девочек.
Резюме
1. Жизненный цикл человека можно произвольным образом разделить на четыре больших периода: пренатальный период, детство, отрочество и зрелость; каждый из этих периодов состоит из нескольких стадий.
2. Жизнь человека ограничена понижающейся способностью клеток размножаться путем деления. В западных странах средняя продолжи-
CO_________________________________Гмт* 10________ г________
тельность жизни женщин в настоящее время составляет 80 лет, мужчин-72 года.
3. В детстве развитие организма происходит в направлении двух осей: цефалокаудальной (от головы к ногам) и проксимодистальной (от центра к периферии). В период полового созревания направление этих осей изменяется на противоположное.
4: Развитие нервной системы начинается на 4-й неделе внутриутробной жизни. К моменту рождения мозг ребенка весит в 5 раз меньше мозга взрослого человека, а полной функциональной зрелости он достигает к концу отрочества.
5. Физическое развитие человека начинается с первых мгновений жизни и достигает расцвета между 20 и 30 годами. Половые признаки формируются в период полового созревания, тдк же как и репродуктивная функция. Сенсорные функции достигают максимального развития к 20 годам, а моторные-к 25-30 годам. Их заметное ослабление отмечается лишь после 60 лет.
6. Первые признаки половой активности отмечаются уже у плода и сохраняются до конца жизни. Сексуальные интересы нарастают на протяжении детства и в отрочестве проявляются в виде резко усиливающихся мастурбации, эротических ласк и половых связей в которые очень многие девушки и юноши вступают в возрасте между 18 и 24 годами. Похоже, что взрослым людям супружеские половые отношения стали приносить в настоящее время больше удовлетворения, чем прежде, что можно объяснить усилением заинтересованности в них партнеров, разнообразием поз во время полового акта и возросшей практикой мастурбации, обеспечивающей тому или иному партнеру дополнительную сексуальную активность. Хотя половые способности сохраняются вплоть до преклонного возраста, после 70 лет сексуально активными остаются лишь немногие.
7. Согласно Пиаже, когнитивное развитие ребенка и подростка проходит три нерезко разграниченные стадии, следующие друг за другом в неизменном порядке. Речь идет о сенсомоторной стадии, включающей шесть подстадий* стадии конкретных операций с тремя уровнями и стадии формальных операций. Валлон говорит о существовании семи стадий, представляющих собой прерывистую последовательность реорганизаций и прогрессивных сдвигов. О том, как изменяется мышление в зрелом возрасте, известно очень немногое. Похоже, однако, что интеллектуальная продуктивность остается стабильной вплоть до преклонного возраста.
8. В процессе нравственного развития человек проходит несколько стадий. По мнению Пиаже, в детстве совершается переход от гетерономной нравственности к автономной. Работы Кольберга, однако, указывают на то, что нравственные суждения изменяются в зависимости от возраста и внешних обстоятельств. В свою очередь Гиллиган делает попытку выявить различия в нравственном развитии мужчин и женщин.
9. Развитие личности пытались объяснить с помощью многочисленных теорий. Среди описательных подходов выделяются типологии,
Развитие #Яъ 63
объясняющие свойства личности биологическими особенностями, и теории личностных черт, связывающие их главным образом с функциональными свойствами нервной системы. По мнению бихевиористов, личность скорее является результатом взаимодействий человека с окружением, приводящих к вознаграждению или наказанию. Когнитивный подход стремится показать, что формирование личности определяется тем, какую роль при восприятии внешних событий человек отводит своему контролю над ними. Лсиходинамический подход акцентирует роль бессознательных сил, находящихся в постоянном конфликте с внешней реальностью. Гуманистические теории подчеркивают то, что в основе человеческой природы лежит склонность к самореализации или стремление к самовыражению на протяжении всей жизни через совершаемые человеком выборы.
10. Связи человека с окружением, обусловливающие его социальное развитие, устанавливаются с первых мгновений жизни. С развитием ребенка они непрерывно усиливаются и начинают играть особенно важную роль при освоении им незнакомых мест и образовании новых социальных связей. Социальные связи в детстве и отрочестве имеют важное значение для развития идентификаций и установок. Место, которое занимает в жизни человека дружба, зависит от возраста,
11. Теория психосоциального развития рассматривает это развитие как последовательность восьми кризисов, которые должен преодолеть человек, чтобы к концу жизни достичь цельности своей личности и спокойно встретить смерть.
12. Приближаясь к смерти, умирающий проходит ряд стадий и постепенно приходит к принятию мысли о смерти. Смерть представляет собой поэтапный процесс, в котором выделяют четыре ступени-от социальной смерти до физиологической.
Материал для самопроверки
Заполнить пробелы
-
L В пренатальном периоде развития выделяют три стадии:.....стадию,.....
стадию и стадию......
2. Юности свойственно чувство психологической....., хотя никаких.....
обязательств человек еще не взял на себя. 3+ В настоящее время средняя продолжительность жизни женщин составляет
.....лет, а мужчин .....года.
4. В ранние периоды развития ..... части тела развиваются быстрее......
5. Развитие мозга, который у новорожденного весит в.....раз меньше, чем
у взрослого человека, заканчивается к . . , , , голам.
6. Физическое развитие человека достигает вершины в возрасте между.....
и.....годами; вплоть до.....лет физические способности снижаются
лишь незначительно, а их заметное ослабление начинается в.....лет.
7. Менопауза у женщин приводит к прекращению.....функции, но не.....
активности.
64 Глава 10
8. На протяжении третьего летствя гетеросексуальные игры отмечаются сравнительно ....., а мастурбация и гомосексуальные игры-довольно......
9. По-видимому, брачные половые отношения э настоящее время доставляют
больше ......чем прежде, что связано в особенности с увеличением
продолжительности..........и самого..........к с большим
разнообразием.....и......
. На стадии конкретных операций у ребенка прежде всего происходит развитие
.....мышления, позволяющего ему представлять объекты с помощью
мысленных образов; затем, с формированием представления о.....вещества, .....,.....и объема, а также представлений об измерении
с помощью.....развиваются и способности.....предметы и.....их
в порядке.
11. Формальное мышление есть.....мышление, использующее . .... и дедукции и позволяющее совершать операции без опоры на конкретные......
12. По Валлону, стадия жизни ребенка между 3 и 6 годами характеризуется развитием.....и.....«Я».
13. Похоже, что умственные способности человека не обнаруживают сколько-нибудь значительного снижения до.....лет; после этого возраста они могут
14. Кольберг называет.....уровнем такой уровень нравственного развития, на
котором люди приспосабливаются к правилам и принципам, выработанным другими.
15. По Гиллнган, на третьем уровне нравственного развития женщина достигает ....., которое открывает путь к ,.....
16. Среди попыток описать личность выделяются......связывающие поведение человека с его физическими....., и теории.........., связывающие эти особенности с типом.....деятельности.
17. По мнению бихевиористов, личность представляет собой результат.....
между.....,..........и.....индивидуума, с одной стороны, и окружающей средой с другой.
18. По мнению....., личность человека в значительной мере определяет его
.....той или иной ситуации, л также то* откуда исходит.....за его
поступками.
19. Как утверждает теория Фрейда,.....развитие происходит в соответствии со
способом удовлетворения.....через.....зоны, специфические для каждого возраста.
20+ Если либидо на данной стадии не удовлетворяется или удовлетворяется
,.-..., не исключено, что у человека произойдет.....на этой стадии,
приводящая к развитию определенных...........
21. По Алл еру, чувство....., развивающееся у ребенка в результате осознания
собственных недостатков* может привести к выработке.........., позволяющего успешно противостоять жизненным невзгодам.
22. Согласно гуманистическим теориям, природу человека можно постичь только
благодаря.....опыту, через который она выражается «в данном.....
и в данное.....».
23. По Роджерсу, расцвет личности человека будет тем полнее, чем больше будет
соответствие между его.....«Я» н его чувствами, мыслями и поведением,
а это даст человеку возможность приблизиться к.....«Я», что составляет
суть......
24. Согласно Бюлер и теории . . . . у зачастую лишь один раз в жизни, в самом се.
конце, человек способен осознать глубинную.....своих.....и оценить,
насколько они......
Ptntttmmc «Я» 65
25. Процесс социализации, лежащий в основе.....между индивидуумами
и приобретения социальных......начинается в первые же мгновения жизни
со........... и в особенности.....ребенка.
26. По Эриксону, в своем развитии человек проходит через..........
кризисов, . . 1 . . или....., разрешение которых определяет возможность
последующего ..... личности,
27. Приближение к смерти приводит умирающего, миновавшего период кризиса,
к фазе.....и подготовительной......позволяющей ему подготовиться
и встретить смерть как последний этап своей жизни.
Верно или неверно?
1. Вполне вероятно* что благодаря прогрессу науки человек сможет жить дольше 120 лет.
2. Развитие человека в детстве идет в цефалокаудальном и прокси мод иста льном направлениях,
3. В период полового созревания развитие чаще всего происходит гармонично и каждая часть тела за несколько месяцев приобретает вид, характерный для взрослого человека.
4. В старости у очень многих людей нарушаются слух и зрение.
5. У детей до 1 года наблюдали оргазм, наступающий в результате мастурбации.
6. Большинство юношей и девушек вступают в добрачные половые отношения в возрасте от 18 до 24 лет.
7. У большинства людей половая активность прекращается раньше 70 лет, хотя никаких физиологических причин тому нет.
8. Уровню конкретных операций свойственна ограниченность мышления и его эгоцентрический характер.
9. Ребенок получает представление о сохранении вещества, когда он начинает понимать, что все признаки предмета взаимосвязаны.
10. Разница между концепциями Пиаже и Валлона заключается главным образом в том, что если первая акцентирует внимание преимущественно на развитии поведения, составной частью которого является познание, то вторая пытается выяснить, каким образом у ребенка совершается переход к мышлению взрослого человека.
11. Большинство взрослых людей достигает постконвенционального уровня нравственного развития.
12. Мораль непротивления является нормальным завершением нравственного развития как мужчин, так и женщин*
13. Типологические классификации пытаются описать личность, связывая физические особенности человека с присущими ему личностными чертами*
14. Общее между когнитивным и бихевиористским подходами состоит в том, что они больше акцентируют внимание на когнитивной интерпретации ситуации или события, чем на последствиях поведения.
15. Некоторые черты личности-результат фиксации человека на стадии либидо, не получившей полного развития.
16. Чувство неполноценности чаще всего делает человека неспособным преодолевать жизненные трудности.
17. Процесс индивидуации предполагает признание и интеграцию человеком различных аспектов своей психики, особенно таких, которые отвергались или игнорировались им на предшествующих стадиях развития.
18. Тот факт, что другие люди относятся к нашим поступкам условно поло-
5 443
жительно, позволяет нам в полной мерс проявлять свои настоящие чувства и мысли.
19. Согласно Бюлер, в основе человеческой природы лежит намерение, которое и определяет цели н ожидания каждого человека.
20. «Расцвет» личности, согласно Эриксону, зависит от того, как человек справляется с каждым из восьми психосоциальных кризисов, через которые он проходит в своей жизни.
Выбрать правильный ответ
1. О каком из перечисленных ниже периодов жизни известно в плане психического развития меньше всего?
а) Пренатальный период;
б) детство;
в) отрочество.
г) Ни один из ответов не верен.
2. По причинам чисто биологического характера продолжительность чело* веческ ой жизни не может превышать
а) 90 лет;
б) 100 лет; .
в) ПО лет;
г) 120 лет,
3. Направление развития человека в детстве, когда центральные части тела растут раньше конечностей, называется
а) цефалокаудальным;
б) днетопрокснмальным;
в) каудоцефалическим;
г) прокси мод нетал ьыым.
4. Формирование популяции нейронов, образующей нервную систему, завершается
а) к 8-й неделе внутриутробной жизни;
б) к моменту.рождения;
в) к 6-летнему возрасту;
г) к концу отрочества.
5. Функциональные показатели развития человека максимальны в возрасте
а) от 15 до 25 лет;
б) от 20 до 30 лет;
в) от 25 до 35 лег;
г) от 30 до 40 лет.
6. Более 80% девушек и юношей вступают в добрачные половые отношения в возрасте:
а) 15-18 лет;
б) 18-24 лет;
в) 21-25 лет;
г) 22-27 лет,
7. В физиологическом плане сексуальные способности у мужчин и женщин угасают
а) к 50 годам;
б) к 60 годам;
в) к 70 годам.
г) Ни один из ответов не верен.
8. Какая из перечисленных ниже характеристик действия не приложима к понятию «операция» в том смысле, какой вкладывает в него Пиаже?
Pamwuu* «.Я* 07
а) Интериоризация;
б) обратимость;
в) координация в структуру ансамбля.
г) Ни один из ответов не верен.
9. Согласно Валлону, этапы психической эволюции ребенка представляют собой
а) серию реорганизаций, наложений и прогрессов;
б) непрерывную последовательность стадий;
в) периоды жизни, относительно независимые от аффективной сферы и речи.
г) Все ответы верны,
10- Согласно Колъбергу, личность, сообразующая свои поступки с одобрением ' другими людьми, находится на
а) преднравственном уровне развития;
б) конвенциональном уровне развития;
в) постконвенциональном уровне развития;
г) уровне самоуважения.
11. По Гиллиган, роль «хорошей матери», которую традиционно выбирают женщины, соответствует
а) уровню самопожертвования;
б) более высокому уровню нравственного развития;
в) переходу к морали непротивления.
г) Все ответы верны.
12. По типологии Шелдона, человек эктоморфного типа бывает
а) крупным, застенчивым, предпочитает умственную работу;
б) сильным, мускулистым, динамичным и склонным к доминированию;
в) толстым, круглым, веселым и общительным;
г) маленьким, хрупким и чаще всего экстравертированным.
13. Теории личностных черт пытаются описывать личность человека на основании
а) его физической конституции;
б) тех моделей, которым он подражает;
в) факторов, контролирующих его поступки.
г) Ни один из ответов не верен.
14. Бихевиористский подход рассматривает личность человека как результат
а) постижения им последствий своего поведения;
б) когнитивной интерпретации различных ситуаций;
в) конфликтов между подсознательными силами и реальностью;
г) взаимодействий между людьми,
, По Роттеру, люди, объясняющие свои действия внутренними причинами, склонны:
а) иметь преувеличенное мнение о собственных способностях;
б) анализировать стоящие перед ними задачи;
в) признавать себя малокомпетентными;
г) объяснять свои неудачи недостатком способностей.
Т Эдипов комплекс, который имел в виду Фрейд, развивается
а) на оральной стадии;
б) на анальной стадии;
в) на фаллической стадии;
г) на генитальной стадии.
17. Согласно теории Фрейда, такие черты личности* как чрезмерная чистоплотность, скупость или упрямство, формируются в результате фиксации человека
а) на оральной стадии;
б) на анальной стадии;
в) на фаллической стадии;
6S _____________________________Глтч Ш____________________________
г) на генитальной стадии.
IS. По Адлеру, большинство таких особенностей, как склонность опаздывать на свидания или потребность любой ценой вызвать восхищение, бывают следствием
а) чувства неполноценности;
б) комплекса неполноценности;
в) комплекса превосходства;
г) неадекватно разрешившегося эдипова комплекса.
19. Архетипы, по Юнгу, представляют собой первообразы, присутствующие в каждом человеке и принадлежащие
а) к индивидуальному бессознательному;
б) к коллективному бессознательному;
в) к идеальному «Я».
г) Ни один из ответов не верен.
20. Согласно Роджерсу, при безусловно положительном отношении других людей к человеку конгруэнтность между его реальным «Я» и его истинными чувствами и мыслями
а) уменьшается;
б) увеличивается;
в) уравновешивается;
г) моделируется.
2L Согласно гуманистическим теориям, самореализация тесно связана
а) с самоуважением;
б) с переоценкой собственного «Я»;
в) с комплексом превосходства;
г) со способностью любить.
22. Согласно Бюлер, интенция, лежащая в основе человеческой природы и направляющая выбор целей, чаще всего воспринимается субъектом как таковая в конце
а) отрочества;
6} третьего десятилетия;
в) жизни.
г) Ни один из ответов не верен.
23. Восприятие других людей как «социальных объектов» возможно лишь после того+ как у ребенка сформируется
а) представление о своей собственной перманентности;
б) о перманентности объекта;
в) о перманентности матери или человека, выполняющего ее функции;
г) страх перед незнакомыми людьми.
24. По Эриксону, второй психосоциальный кризис, соответствующий первым процессам научения у ребенка, может разрешиться развитием независимости или, напротив, развитием
а) недоверчивости; 6} чувства вины;
в) чувства неполноценности.
г) Ни один из ответов не верен.
25. Периоду депрессии из-за предстоящей смерти предшествует период кризиса, включающий стадию
а) отрицания; 6} гнева;
в) «торга».
г) Все ответы верны.
Разлитие «Я» 69
Ответы
Зполнкть пробелы
I - предзародышевую, зародышевую, плода; 2-независимости, социальных; 3-80t 72; 4-верхние, нижних; 5- пять, шести; 6-10, 30, 40, 60; 7 репродуктивной, половой; 8-редко, обычны; 9-удовлетворения, предварительных игр, полового акта, способов, поз; 10-символического, сохранении, размеров, массы, эталона, сравнивать, располагать; 11-абстрактное, гипотезы, объекты; 12-независимости, обогащением; 13-60, увеличиваться; 14-конвенциональным; 15-самоуважения, самостоятельности; 16-типологии, личностных черт, нервной; 17-взаимодействия, способностями, прошлым опытом, ожиданиями; 13-когннтивисгов, оценку, контроль; 19-психосексуальное, либидо, эрогенные; 20-неполностью, фиксация, черт личности; 21-неполноценности, комплекса превосходства; 22-аффективному, месте, время; 23-реальным, идеальному, конгруэнтности; 24 ннтенцио-нальности, суть, ожиданий, осуществились; 25-привязанности, связей, взглядов, движений, улыбок; 26-восемь психосоциальных кризисов, благоприятное, неблагоприятных, расцвета; 27-депрессии, печали.
-
Верно или неверно?
1-Н; 2-В; 3-Н; 4-Н; 5-В; б В; 7-В; 8-В; 9-Н; 10-Н; 11-Н; 12-Н; 13-В; 14-Н; 15-В; 16-Н; 17-В; 18-Н; 19-В; 20-В.
_
Выбрать правильный ответ
1-а; 2-в; 3-г; 4-6; 5-6; 6-6; 7-г; 8-г; 9-г; 10-6; 11-а; 12-а; 13-г; 14-а; 15-6; 16-в; 17-6; 18-в; 19-6; 20-6; 21-а; 22-в; 2Э-г; 24-г; 25-г,
Литература
Allport G,Wi, 1937* Personality: A psychological interpretation, New York,
Adler A. (1968). "The course of human life as a psychological problem", Human
Development, n* 11, p. 184-200. Biihier C, Massarik F. (Ed.), 1968. The Course of Human Life: a Study of Goals in the
Humanistic Perspective, New York, Springer, Carpenter G.t 1975- "Mother's face and the newborn", in: R. Lewin (Ed-X Child alive,
London, Temple Smith.
Catiell R.B., 1956. La personnalite, Paris, P. U.F. Claparede E.f 1946. Psychologie de Tenfant et pedagogic experimentale, Neuchatel,
Dekchaux et Niestle. Cotton W.L, (1975). "Masturbation frequencies of men and women", Medical Aspects of
Human Sexuality, n° 9, p. 31.
Droz R,r Rahmy N., 1972. Lire Ptaget, Bruxelles, Des&art
Duyckaerts F.t 1977. La formation du lien sexuel (9* ed,), Bruxelles, P. Mardaga ё<1. Ellis A., 197Z "The basic clinical theory of rational-emotive therapy", in: A. Ellis et R.
Griager (Eds,), Handbook of rational-emotive therapy, New York, Springer Erikson E, #., 1959. Enfanoe et soci6te> Neufchatel, Delachaux et Niestle* Eysenck H,J. (1947). Les dimensions de la personnalite Paris P+LLR, 1956. Giiligan C. (1977). uIn a different voice: Women's conceptions of self and morality",
Harvard Educational Review, n° 47(4), p. 481-517. Hayflick JL (1973). **Le vieillissement des cellules humaines", Triangle, n* 12, p. 141-147.
Г/ста Ш
Hunt M, Sexual behavior in the 19704 Chicago, Playboy Press, 1974t 1943.
Jung C, 1969* Lhomme a la decouverte de son ame, Paris, PayoL
Jung C.t 1931, Essai de psychologie anaiytique, Paris,
Kohlherg L.y 1963. "Moral development and identification", Child psychology, University of Chicago Press, p. 277 -332.
Kretschmer £LT 1925. Physique and character, London, Keyan Paul
КйЫег+Ross E. (1969). Les derniers instants de la vie, Geneve, Labor-Fides, 1975.
Lebovici 5./1983. Le nourrisson, la mere et le psychanalyste-Les interactions precooes, Paris* Le Centurion.
Mathieu M. Intelligence sans Ian gage: development cognitif chez le chimpanze (a parattre).
Miller W,&. LiefH.Lt 1976. "Masturbatory attitudes knowledge and experience: Data from the sex knowledge and attitude test (SKAT)", Archives of Sexual Behavior, n* 5, p. 447-467, ш
NyeF.I* 1876. ltSchool-age parenthood. Consequences for babies, mothers, fathers, grandparents and others", Extension Bulletin 667, Washington State University.
Pattison E,M., 1977, The experience of dying, Englewood Cliffs (NJ), Prentice Hall/Spectrum.
Peck A, 1968. "Psychological development in the second half oflife*, in: B. L, Neugarten (Ed.), Middk age and aging, Chicago, University of Chicago Press,
Piaget J. (1932), Le jugement moral chez Penfant, Paris, P,U,R, 1957.
Piaget J., 1970, L'eptstemologie genetique, Paris, P. U. F.
RiegetK.F., Riegei R.M.r 1972, "Developmental Psychology", n* 6(2), p, 306-319.
Rogers C,t Kingtl M.f 1962. Psychotherapie et relations humaines, Louvain, Publications universitaires, , ;
Rotter J.B. (1966). "Generalized expectancies for internal versus external control of reinforcement11. Psychologic Monographs, n° 80l
Sheldon W. T, 1954. Alias of men: A guide for somatotyping the adult man of all ages, New York, Harper and Row*
Sorensen R.C., 1973. Adolescent sexuality in contemporary America, New York, World,
Spitz R. (1957). De ta naissanoe a la parole, Paris, PUF, 1968,
Vygotsky L.S+, 1978. Mind in Society, Cambridge (Mass.), Harvard University Press,
Walton H 1968* L'evolution psycbologique de Tenfant, Paris, Armand Colin*
Weis D.i 1983* Reactions of college women to their first coitus", Medical Aspects of Human Sexuality, n° 17 (2).
Zaszo R. Conduites et conscience (2 vol,)> Neuchatel Delachaux et Niestle, 1962, 1968.
Глава 11
Человек и другие люди
Введение
С самых первых строк этой книги, в каждой ее главе звучит следующая, мысль: поведение человека не может или почти не может развиваться, проявляться и быть понятым в отрыве от других членов группы* к которой он принадлежит, от всего общества или даже вида в целом. " • * ."'*..
По всей видимости, ничто во Вселенной he может существовать, так или иначе не принадлежа к какой-нибудь организованной системе. Атом> образуемый* связанными между собой частицами,-это всего лишь один из элементов, из которых построена молекула, а молекула в свою очередь, взаимодействуя с другими молекулами, участвует в органи* зации клетки. Специфические клетки образуют ткани и органы, которые, координируя свою деятельность* позволяют живому организму занять свое место в растительной или животной системе, все время стремящейся достичь равновесий. Сосуществование этих систем в свою очередь обеспечивает равновесие планеты в Солнечной системе, движущейся наряду с сотнями миллиардов других звезд в нашей Галактике, а сама эта Галактика - всего лишь один из элементов, из которых оршнизована Вселенная (см. документ 11,1),
Рис. ILL Согласно общей теории систем, жизнь организована в системы, состоящие из взаимосвязанных элементов. Любая система-от атома до общества -всегда представляет собой нечто большее, немое л и простая сумма составляющих ее подсистем. т

12 Г.икщ П
Человек представляет собой звено этого континуума, и выживание его возможно только в группе, принадлежащей к человеческому об-ществу, которое в свою очередь существует в системе сообществ других животных. Безусловно, человек отличается от животных более высоким уровнем сознания, позволяющим ему воспринимать себя во времени и пространстве; вместе с тем эта способность человека-хочет он того или нет-налагает на него ответственность за свое собственное будущее и за будущее вида, к которому он принадлежит и в рамках которого он эволюционировал, непрерывно взаимодействуя с другими видами.
Задача социальной психологии состоит в том, чтобы исследовать и объяснять, как устанавливаются и функционируют связи между индивидуумами в группе и между группами в обществе.
Жизнь в обществе
У большинства животных существуют «жизненные правила» и сиг-нальные системы, которые зволяют им создавать оптимальные условия для размножения и для воспитания потомства* сохраняя за собой индивидуальный участок территории.
Территория и индивидуальный участок
Внутри того жизненного пространства, которое особь разделяет с другими представителями вида и которое обеспечивает ей безопасность и пропитание, она, как правило, выделяет себе территорию с четко очерченными границами. Находящиеся в глубине этой территории укрытие, нора, гнездо или логово составляют индивидуальный участок ожесточенно защищаемый животным от всякого вторжения (не исключая порой . и вторжения самца, если спаривание уже произошло) (рис. 1L2).
О том, какие территории или индивидуальные участки необходимы отдельным людям, известно немного. Размеры территории и степень ее защиты у разных людей неодинаковы и зависят от возраста, социального положения и т.д. Индивидуальный же участок представляет собой невидимое пространство, в котором нуждается каждый человек и внутри которого он с трудом" переносит присутствие других людей1. Меж-
1 В комнату ребенка входят иначе, нежели в комнату подростка или в комнату родителей. В некоторых случаях границы территории обозначены очень четко (обнесенные оградой «частные владения», территории охотничьих и рыболовных клубов и т. п.). В других случаях границы более размыты; таковы, например, границы территорий городских «шаек» или участков в кафетерии, в котором группы студентов, как правило, занимают одни столики, а преподаватели, обслуживающий персонал и представители администрации-другие* Величина занимаемого человеком пространства зависит от его социального положения; обычно кабинет генерального директора будет гораздо более внушительным, чем кабинеты преподавателей, не говоря уже о комнатушках, выделенных для личных вещей студентов.
lX U <t}>Yt'tttJ
73
Рис. 11.2. Жизненное пространство представляет собой нейтральную зону, которую в отличие от расположенной в ее пределах «территории» животные не защищают активно. Территория в отличие от жизненного пространства имеет четкие границы, которые маркируются животным с помощью пахучих веществ (секреты желез, моча, фекалии) или зрительных и слуховых сигналов. Помимо расположенного в центре главного убежища на территории имеются дополнительные убежища, а также места для кормежки, дефекации и т.п.
личностная дистанция устанавливается неписаными правилами и различна в разных культурах. Например, жители Северной Европы нуждаются в большем обособлений, чем представители африканских, арабских или южноамериканских сообществ.
Для западных сообществ Холл (Hall, 1966) идентифицировал четыре основные зоны, размеры которых зависят от степени близости отношений между людьми. Они соответствовали:
1) интимной дистанции, варьирующей от прямого физического кон-такта до 20 см от тела партнера;
2) личной дистанции в пределах от 45 см до 1,2 м, позволяющей людям находиться друг от друга на расстоянии вытянутой руки;
3) социальной дистанции, варьирующей от 1,2 до 3,5 м, при которой возможность физического соприкосновения заменяется голосовым контактом;
4) «публичной» дистанции более 3,5 м, которая устанавливается на публичных собраниях, в суде, аудиториях и т.п.

Рис. 11.3. Урбанизация и перенаселенность могут иногда приводить к серьезным психическим последствиям.
Факторы окружающей среды
В многочисленных исследованиях делались попытки выяснить эффекты перенаселенности в крупных городах (рис. 113). В большинстве случаев было показано, что очень высокая плотность населения порождает у людей чувство одиночества и собственной безликости, вызывает уход в себя, апатию и очень часто склонность к враждебным действиям (см* документ 11.2), Похоже однако, что в таких странах, как Япония, Китай или Индия, где существуют культурные традиции, регулирующие социальное поведение, подобные проблемы переживаются людьми реже.
Значительные нарушения психического равновесия у людей может вызвать и шум. Дети, у которых дома было шумно, обнаруживали в школе более низкую успеваемость (см, документ 11.3). Кроме того> отмечается, что люди, подвергающиеся воздействию значительного шума, менее склонны оказывать помощь другим и быстрее приходят в ярость (Page, 1977; Donnerstein, Wilson, 1976).
Загрязнение среды, вызываемое автомобилями, промышленностью или курением, тоже сильно сказывается на восприятии и способности человека к обучению, усиливая его психическое напряжение и раздражительность (Zi)man et aL, 1981).
Социальное положение и роль в группе
В сообществах большинства животных существует иерархия, позволяющая каждому члену группы знать свой социальный ранг,
У кур ранг особи определяется числом сородичей, которых она может клевать. Если доминантная курица может клевать всех остальных кур, то особь, находящаяся в самом низу этого иерархического ряда!, которой клевать некого, напротив, получает клевки от всех остальных птиц, имеет право есть лишь в самую последнюю очередь и испытывает
1 Англоязычные авторы назвали эту социальную организацию «порядком клевания» (pecking order).
Рис. НА Сексуальные роли слишком рано начинают внушаться мальчикам и девочкам лишь на основании тех физических признаков, которые родители обнаруживают у них при рождении. Идентификация ребенка с родителем одного с ним пола еще больше усиливает эту тенденцию.
значительные трудности в спаривании (Schjelderup-Ebbe, 1913),
Представители низших млекопитающих узнают социальный рант благодаря зрительным сигналам. Например, корова, сменившая стадо, похоже, сразу же определяет, выше или ниже ока рангом, чем ее соседка (Beilharz, Mylzea, 1963). У большинства млекопитающих доминирует самое старое или самое сильное животное или же особь, имеющая наиболее многочисленное потомство. Так обстоит дело, например, в сообществах многих обезьян. Похоже, однако, что у горилл и шимпанзе такой тип социальных отношений далеко не является общим правилом. Как показала Джейн Гудолл, у шимпанзе борьба за доминирование ведется больше между группами* чем между отдельными особями.
Люди, как правило, входят в состав разных социальных групп. Человек, скажем, одновременно может заниматься определенной работой, состоять членом спортивного клуба, выполнять общественные функции, участвовать в политической жизни и еще выполнять при этом обязанности матери или отца семейства, В каждой из групп, куда входит человек, он занимает определенное социальное положение соответствующее той роли, которой, по расчетам других членов группы, он будет придерживаться и которая позволяет им ожидать от него определенного поведения. Такие ожидания будут различными в зависимости от того, идет ли речь о враче* студентке, футболисте, руководительнице предприятия или правительственном чиновнике.
Человек редко берет на себя ту или иную роль добровольно. Обычно она возлагается на него в результате стечения обстоятельств, в связи с социальными потребностями или характером образования. В тонком процессе социализации ребенок приобретает качества, нужные для ролей, предполагающих власть или, наоборот, требующих подчинения. Сказанное в равной, а может быть, и в еще большей степени относится к половым ролям, которые девочкам и мальчикам лишь на основании их физических различий приписываются при рождении. По сути дела,
76 Г.шаа II
только на эти различия и опирается впоследствии выбор интересов, личных и профессиональных целей и социальных ролей для каждого ребенка (рис. 1L4).
Власть и подчинение
Френч и Рейвен (French, Raven, 1959) выделили пять типов социальной власти, которые с самого раннего возраста испытывает на себе каждый ребенок. Власть вознаграждения заключается в возможности вознаграждать за всякое поведение, соответствующее ожидаемому; этой властью пользуются родители и преподаватели, а позднее и начальство там, где человек работает. Власть принуждения основывается на практике угроз и телесных наказаний-от порки до тюрьмы и пыток; однако, чтобы удержать человека в подчинении этой форме власти, необходим постоянный контроль даже за самыми незначительными его действиями. Власть эксперта основывается на знаниях в какой-либо области или на обладании информацией, необходимой для успешного ведения какого-либо дела; такой властью располагают ученые, профессионалы, а также политики. Власть авторитета покоится на уважении или преклонении перед человеком, знаменитостью или важным общественным деятелем, поступки которого служат образцом для других людей (рис, 1,1.5). Что касается власти закона, то она имеется в распоряжении каждого человека, представляющего установленный социальный порядок, и ее чаще всего поддерживают, используя другие формы власти (см. документ
11.4).
Во многих исследованиях делались безуспешные попытки выявить

Рис. 11.5. Во многих странах требования меньшинств часто жестоко подавляются во имя «поддержания порядка».
качества личности, свойственные лидеру. По-видимому, установление между человеком и группой людей тех или иных отношений власти зависит от внешних обстоятельств, а иногда и просто от случая. Очень часто такие отношения связаны со способностью человека, имеющего
ч
доступ к определенным ресурсам или обладающего определенными качествами, обратить на себя внимание в тот момент, когда группе
потребуется руководство ее деятельностью (см. документ 11,5).
Конформизм '
Власть удерживать легче, если сама группа оказывает на своих членов постоянное давление, направленное на то, чтобы их действия мысли и ценности совпадали с поступками, мыслями и ценностями других (см. документ П.6), В условиях изменчивой и неоднозначной социальной действительности самое простое решение этой проблемы состоит для человека в том, чтобы придерживаться коллективных истин, позволяющих всякому понять тот мир, в котором он живет. В том, кто отклоняется от нормы, начинают видеть источник социальной угрозы, и поэтому большинство будет оказывать на него давление, чтобы он

Рис, 11,6, Когда давление группы сказывается на всем народе в целом, конформизм достигает столь высокой степени, что люди начинают терять собственное лицо tf придерживаться поведения «толпы», соответственно меняя свой образ мыслей и действий. Именно это происходило с немецким народом при нацистском режиме.
вернулся на путь истинный и вновь стал «как все». Это давление конформности может проявляться в виде насмешек, социального осуждения или даже прямого отторжения «отклоняющегося» лица. Давление это сказывается на человеке особенно сильно если тот нуждается в одобрении и поддержке или испытывает тревогу и недостаточно верит в себя (рис. 11.6). С другой стороны, как показал Кратчфилд (Cmtchfield, 1955), нонконформист способен успешнее сопротивляться давлению группы, если обладает достаточным умом и творческими способностями, проявляет терпимость и чувство долга и, кроме того, верит в себя и устойчив к стрессу. Чаще всего именно благодаря таким людям осуществляются нововведения и действуют силы общественного преобразования.
Влияние меньшинства
Мбсковичи (Moscovici, 1979) решил выяснить, как на самом деле происходят социальные перемены в группе или обществе, в которых конформизм является «насущной потребностью социальной системы». В исследованиях Московичи и работах его сотрудников было показано, что активное меньшинство может влиять на большинство даже без ведома этого последнего с того самого момента, как только меньшинство приходит к согласию о необходимости перемен. Однако, чтобы оказать такое влияние, меньшинство должно категорично заявить о принятом решении, продемонстрировать отказ изменить свою точку зрения и проявить волю к действию, но так, чтобы его поведение не могло быть истолковано как проявление упрямства или негибкости.
Таким образом, можно думать, что в еще большей степени, нежели компетенция меньшинства, точку зрения большинства способен изменить стиль поведения меньшинства. И его влияние будет тем значительнее, нем больше предлагаемые им идеи будут соответствовать «духу времени», чем самобытнее они будут, и в особенности-чем активнее меньшинство будет стараться любой ценой избежать раскола своего единства (см* документ 11,7).
Альтруизм и апатия
В последние годы много исследований было посвящено выяснению роли альтруистического поведения в современном обществе; такое поведение выражается в добровольной помощи другому человеку, н&-смотря на риск или жертвы» с которыми зга помощь сопряжена. Альтруистическое поведение обнаруживают и многие животные. Этологи наблюдали его у воронов, однако сильнее всего оно выражено у дельфинов и обезьян (рис. 11.7).
История человечества изобилует примерами альтруизма, когда люди рисковали собственной жизнью во имя спасения других. В недавних исследованиях, однако» описаны многочисленные критические ситуации,

Рис. 11.7. Альтруистическое поведение наблюдалось у многих животных. В качестве примера можно привести дельфинов,, которые приходят на помощь члену группы, оказавшемуся в трудном положении.
в которые отказывались вмешаться десятки наблюдавших их свидетелей. Мы говорили уже о тех неблагоприятных эффектах, которые может оказывать современный образ жизни на жителей шумных и перенаселенных городов. Многих ученых беспокоит тот факт, что такой образ жизни может привести к превращению социального конформизма в простую пассивность и что апатия у многих людей в скором времени низведет их до роли недееспособных наблюдателей драматических ситуаций (см, документ 11.8).
Латанэ и Дарли (Latane, Darley, 1970) предложили рад объяснений этой «апатии свидетеля», которую социальные психологи называют эффектом зрителя. Одно из объяснений основывается на «рассеянии» ответственности, когда присутствие достаточно большого числа свидетелей ослабляет личную инициативу каждого. Согласно другому объяснению, присутствие большого числа невмешивающихся людей уменьшает остроту ситуации. Третье объяснение предполагает, что люди в присутствии посторонних просто боятся принимать решение.
Большинство исследователей, однако, сходятся на том, что апатию свидетелей нельзя смешивать с безразличием. Нерешительность, которую проявляют эти люди, чаще всего обусловлена встающей перед ними дилеммой: следует ли оставить жертву на произвол судьбы или же прийти ей на помощь, не зная, как это сделать?
Взаимодействие и коммуникация
Социальная психология задается еще одним важным вопросом: каким образом люди вступают между собой во взаимодействие?
Межличностное влечение
Влечение, которое один человек испытывает к другому, зависит от многих факторов. Однако, как полагает Аронсон (Aronson, 1969), взаимное влечение двух людей больше определяется внешними признаками
человека, нежели его внутренними качествами (см. документ 11.9).
Физическая близость
Чем чаще происходят социальные контакты между двумя людьми, тем больше вероятность, что между ними установятся дружеские или любовные отношения. Таким образом, вопреки обычному мнению
[\uttitf II
романтичной молодежи, девушка или юноша скорее создаст семью с кем-то из своего ближайшего окружения, нежели с каким-нибудь идеализируемым человеком, живущим в другой стране.
Физическая привлекательность
Коль скоро знакомство состоялось, физически привлекательный человек чате всего начинает восприниматься как личность, превосходящая других по честности, уму и одухотворенности х. Такая тенденция приписывать завидные личностные качества «красивому» человеку присуща даже детям дошкольного возраста; они, например, обнаруживают склонность считать маленьких мальчиков с непривлекательной внешностью агрессивными и недружелюбными.
Было, однако, замечено, что люди, чьи успехи в отрочестве объяснялись их внешностью, в зрелом возрасте испытывали больше трудностей в социальной адаптации, чем люди, которые были вынуждены больше полагаться на свои внутренние качества,


Рис. 11.8. Очень часто единственным критерием, на. основании которого мы делаем свой выбор, бывает физический облик человека или сходство его привычек с нашими собственными.
1 Хесс (Hess, 1965) установил, что одним из факторов привлекательности служит такая деталь, как величина зрачка. Мужчины находили изображенную на фотографии женщину более привлекательной и нежной, если ее глаза были подретушированы так. чтобы зрачки казались.больше.
Человек и другие ttoOu 81
Сходство н комплементарность
_
Как правило, человек испытывает большее влечение к тем людям, которые сходны с ним самим по физическим особенностям, социальному происхождению, интересам и взглядам. Люди* взаимное влечение которых основано на противоположных свойствах> встречаются реже. Тем не менее комплементарностъ потребностей оказывается важным фактором стабильности связей между людьми, которые первоначально выбрали друг друга по взаимному сходству. Таким образом, если сходство имеет важное значение для установления отношений, то для их продолжения, похоже, необходима комплементарность,
-.
Компетеятность
Люди, талантливые или компетентные в какой-либо области, близкой к нашим потребностям или интересам, в наших глазах всегда привлекательнее людей со средними способностями или лиц, компетенция которых далека от наших интересов.
-
Взаимное вознаграждение '
, Связь между людьми редко бывает бескорыстной. Необходимо, чтобы она на протяжении более или менее длительного времени приносила пользу обеим сторонам (см. документ 11.10).
i
Коммуникация
Как уже говорилось в главе 8, одна из главных особенностей человека-это наша способность передавать друг другу посредством речи информацию о событиях, подчас очень далеких во времени и пространстве. Кроме того, с помощью речи мы можем сообщать окружающим нас людям о своих душевных состояниях или чувствах.
Коммуникация, однако, может происходить и без участия нашего сознания-посредством всего нашего невербального поведения, включающего взгляды, выражение лица, позы, межличностную дистанцию, интонацию голоса, Как отмечалось (Watzlawick et aL, 1977), «исключить коммуникацию невозможно», ибо «всякое поведение в присутствии другого человека уже есть коммуникация».
Невербальный язык
Выражение лица сильнее всего подчеркивают уголки губ, нахму-ривание или поднимание бровей и сморщивание лба. Эти элементы мимики позволяют выразить всю гамму эмоций и чувств-от приятного удивления до разочарования (рис, 1L9).
Взгляд - ключевой элемент невербальной коммуникации. Как правило, именно взглядом собеседник выражает интерес к разговору,
6 443
s: глтй п

Рис. 11.9. Зрительный контакт и поза часто играют в коммуникации более важную роль, чем слово.
-
Бегающий взгляд чаще всего говорит о скуке или о желании в свою очередь взять слово (если только он не выражает страх или чувство вины). Пристальный взгляд, устремленный прямо в глаза собеседника, часто воспринимается как признак агрессивности.
Функции взгляда, однако, зависят от типа культуры. Так, в африканских странах и на Востоке опускание глаз слушателем перед говорящим служит знаком уважения к последнему.
Большое значение придается и жестам. Так* например, палец, указывающий на другого человека, воспринимается как более агрессивный жест, чем раскрытые и обращенные к нему ладони. Покачивание головой, наклон ее к плечу или в сторону собеседника всегда считаются явными признаками интереса. Помещенные же на бедра руки чаще всего выражают чувство власти или доминирования.
Свои чувства мы выражаем и телодвижениями. Например, человек проявляет по отношению к другому большую открытость, если стоит к нему лицом, а не боком. Неприязнь у сидящего человека проявляется в напряжении тела; наоборот, расслабление тела и наклон вперед выражают симпатию.
Прикосновение у представителей разных культур имеет разное значение. Оно является неотъемлемым элементом коммуникации в Африке, на Среднем Востоке и в большинстве стран с латинской культурой. Один наблюдатель подсчитал, что пара, сидящая за столиком ресторана в Париже, за один час совершает в среднем ПО взаимных прикосновений, в Лондоне-ни одного, а в Джексонвилле (США)-около восьми. Похоже, что в США прикосновение имеет особое значение: одна женщина, выпрашивавшая у прохожих монетки в 25 центов, набрала их гораздо больше, когда дотрагивалась при этом до их руки, нежели в том случае, когда выражала свою просьбу только словами (Kleinke, 1977),
Голос_ тоже выражает чувства. Так, спокойный и солидный голос снимает напряжение и пробуждает интерес, а «взвинченный»-воспринимается как признак агрессивности.
Метакоммуннкация
«Коммуникация*-это единое целое». Как отмечает Бердуистелл (Birdwhistell), «люди, по сути дела, между собой не общаются. Они лишь

\
Рис. 11Л0+ С самого раннего возраста ребенок учится расшифровывать двоякий смысл того, что ему говорят, заключенный, с одной стороны, в самих словах, а с другой в том, как эти слова будут сказаны. Как полагает Бейтсок, ребенок-шизофреник этого делать не может,
участвуют в коммуникации», в которой язык вербальный неотделим от языка невербального. Последний служит дополнением к первому и усиливает его. По оценке Мерабяна (Mehrabian 1972), только 7% содержания сообщений передается смыслом слов, в то время как 38% информации определяется тем, как эти слова произносятся, и 55%-выражением лица, В любой момент времени стиль коммуникации уже сам по себе составляет сообщение, указывая на то, как следует понимать сообщаемое. Речь в этом случае идет о метакаммуникации т. е. о «коммуникации над коммуникацией».
Нередко бывает так, что разные аспекты сообщения противоречат друг другу. Дети, однако, очень быстро постигают «правила, позволяющие изменять правила», Так, ребенок будет смеяться, выслушивая ласковые слова, произносимые грубым голосом. Точно так же он глубже почувствует сделанное ему порицание, если оно будет сопровождаться широкой улыбкой, а не нахмуриванием бровей.
6*
84 Г.юва И_______
Бейтсон1 (Bateson, 1972) показал, что мы можем оказаться в ситуации «двойного принуждения», когда у нас нет никакого приемлемого выбора (см, документ 11.11). Так обстоит дело с ребенком, к которому на людях мать выказывает пылкую любовь, а на самом деле испытывает к нему враждебность. Таким образом, мать ставит ребенка в ситуацию двойного принуждения, когда он должен выбирать, вести ли себя с ней как с любящей матерью, зная, что всякий знак нежности с его. стороны встретит лишь безразличие, или же вообще не реагировать на любвеобильное поведение матери на людях, рискуя тем самым прослыть бесчувственным (рис, 1Ы0)+ «Таким образом, ребенок несет наказание и за то, что он истолковывает поведение своей матери правильно, и за то, что он истолковывает его неверно»2. По мнению Бейтсона, поведение шизофреника, по-видимому, обусловлено его неспособностью различать при коммуникации два аспекта сообщения, что исключает для него общение на метакоммуникационном уровне. Мы вернемся к этому вопросу в следующей главе*
Социальное восприятие
Взаимодействие и коммуникация с другими людьми затруднены еще и потому, что мы редко воспринимаем людей объективно. Чаще всего наше восприятие других людей основывается лишь на впечатлениях, а также на истолковании и оценке мотивов их поведения в зависимости от того, какие качества мы в них предполагаем и в какой ситуации они
находятся.
Впечатления
Обычно наше восприятие другого человека базируется на поиске впечатлений, отражающих основные характеристики его личности. Раз проявившись, эти характеристики позволяют нам объяснять разные поступки человека и приводить их в соответствие с впечатлением о нем. В эксперименте, проведенном Эшем (Asch, 1946), человек, объективно охарактеризованный как «толковый, умелый, трудолюбивый, решительный, практичный и благоразумный», был представлен одним испытуемым как слишком холодный, а другим-как слишком пылкий. Испытуем мым предлагалось изложить свои впечатления об этом человеке, и они рисовали два совершенно разных портрета, один из которых включал
1 Бёрдуистелл, Бейтсон и Уоцлэвик принадлежат к направлению так называемой «новой коммуникации», рассматривающему коммуникацию скорее как оркестр, в котором каждый человек: «играет всем своим телом», нежели как телеграф, служащий для простой передачи вербального сообщения одним человеком другому. (См. La nouvelle communication, Paris, Ed. du Seuil, 198L)
3 Этот пример, однако, не следует путать с ситуацией «матери-палача» и «ребенка-ясертны». Поведение матери можно понять лишь в том случае, если учесть, что она сама оказывается в ситуации «двойного принуждения»»
Человек и другие люди S5
все особенности холодного человека, а второй, наоборот,-человека пылкого. Здесь мы имеем дело с так называемым эффектом ореола.
Очень часто наше первое впечатление оказывается и самым прочным. В этом случае речь идет об эффекте первичности. У школьников, получавших з начале года отличные отметки, а затем переставших работать, больше шансов оставить у преподавателя благоприятное впечатление, чем у учеников, посредственные результаты которых в начале года сменились неуклонным прогрессом, продолжавшимся до его конца.
Каузальная атрибуция
Пытаясь определить черты личности другого человека на основании своих первых впечатлений, мы часто ищем причину его поведения либо во внутренних склонностях этого человека, либо, наоборот, в элементах той ситуации, в которой он оказался.
Например, успех студентки на экзамене мы можем приписать либо ее умственным способностям и упорной работе, либо тому факту, что экзамен был легким или что во время экзамена она сидела рядом с сердобольной подругой. Супружескую ссору можно объяснить либо дурным характером одного или обоих супругов, либо денежными затруднениями, которые они испытывают. Совершенное преступление можно приписать либо «злобной» или «агрессивной» личности преступ-ника, либо той ситуации, что вынудила его нажать на курок пистолета. Как отмечалось в главе 9, сторонники генетической теории склонны объяснять условия жизни обездоленных классов скорее нехваткой у их представителей «таланта» или духа предпринимательства, чем социальной средой и неравными шансами на успех. Точно так же более высокую школьную успеваемость белых детей они приписали бы скорее их интеллекту* нежели особенностям экзаменов и системы школьного обучения.
Таким образом, поведение человека всегда можно объяснить либо внутренними, либо внешними причинами, В связи с этим Джонс и его сотрудники (Jones et al, 1971) говорят о «ситуационной» атрибуции,
Е
Критерии атрибуции
Если нет доводов, позволяющих говорить о внутренних причинах, поведение обычно связывают с ситуацией. В других случаях, согласно Келли (Kelly, 1967), при попытках понять причину поведения другого человека мы пользуемся тремя критериями: мы стараемся определить, является ли данное поведение постоянным, отличающимся и обычным или нет1. Поведение называют постоянным, если в сходных условиях
1 Келли употребляет английские термины consistency* distinct] veness и
йпСис
consensus.
Глава И
Если в сходных ситуациям чепоеек редко обчвруживвет данный образ дебетами, его поведение можно объяснить
снень специфической внешней причиной
Схема 1Ы, Критерии внутренней и внешней атрибуции поведения (по Kelly, 1967).
оно всегда однотипно; оно будет отличающимся,, если в других случаях проявляется иначе; и, наконец, поведение считается обычным, если в сходных обстоятельствах оно свойственно большинству людей.
Как видно из схемы ИЛ, если в похожих обстоятельствах человек ведет себя всегда одинаково (постоянное поведение), если он ведет себя так же и в других ситуациях (мало отличающееся поведение) и если в сходных ситуациях так же ведут себя лишь немногие люди (необычное поведение), то мы склонны приписывать поведение внутренним причинам. Напротив, если в похожих ситуациях человек ведет себя одинаково (постоянное поведение), если в других случаях он ведет себя иначе (отличающееся поведение) и если в сходных ситуациях такое же поведение свойственно большинству людей (обычное поведение), мы объясняем его действия внешними причинами.
По мнению Келли, именно так мы поступаем при расшифровке агрессивного, дружеского, любовного и других типов поведения всех тех людей, кого изо-дня в день видим рядом (см. документ 11.12).
Стереотипы .
Наше восприятие других людей зависит, и от того, как мы их «классифицируем»,-подростки, женщины, преподаватели, негры, гомосексуалисты, безработные, политические деятели и т, д- Подобно тому как восприятие отдельных предметов или событий со сходными особенностями позволяет нам образовывать понятия (см. гл. 8), так и люди

и
87
обычно классифицируются нами по их принадлежности к той или иной группе, социально-экономическому классу или по их физическим характеристикам (пол, возраст, цвет кожи и т. п.)* Эти два типа категоризации, однако, существенно различаются, поскольку в последнем случае речь идет о социальной реальности и о бесконечном разнообразии типов людей, составляющих общество.
. Создающиеся таким образом стереотипы часто порождают у нас слишком условное и упрощенное представление о других людях; если мы затем устанавливаем с этими людьми контакт, заранее зная, чего от них можно ожидать, такое представление нередко лишает нас выгод, связанных с познанием отдельной личности.
Образование стереотипов
Стереотипы редко бывают плодом нашего личного опыта. Чаще всего мы приобретаем их от той группы, к которой принадлежим* особенно от людей с уже сложившимися стереотипами (родителей, учителей, приятелей), а также от средств массовой информации, обычно дающих нам упрощенное представление о тех группах людей, о которых мы не располагаем больше никакими сведениями.
Понятно, что сегрегация между группами может только способствовать закреплению стереотипов» в то время как просвещение, взаимные контакты и особенно сближение групп часто ведут к изменению стереотипов, а иногда й к их полному исчезновению. Удалось* например, показать, что если две группы представителей разных рас живут в одном здании на разных этажах, то их стереотипы сохраняются и даже укрепляются, И наоборот, стереотипы быстро стираются, когда представители разных групп занимают один и тот же этаж, сталкиваются

Рис, 11,11, Взаимоотношения между группами людей часто ухудшаются из-за стереотипов, усиливающих неблагоприятное представление этих групп друг о друге и потому ускоряющих развитие конфликтов,
88______________________________Гита I!________________________________
с одними и теми же бытовыми трудностями и, добиваясь удовлетворения общих требований, вынуждены действовать сообща (рис. 11.11).
Однако главную проблему здесь составляет не столько сам стереотип, сколько связанная с ним установка, заставляющая нас придерживаться того или иного поведения. Как мы увидим, в этом случае стереотип превращается в предубеждение.
Установки
Наши истолкования и оценки внешнего мира основываются на установках, создающихся у нас на протяжении всей жизни. Установки -
это те ориентиры, которые позволяют нам в любой момент предстать перед тем или иным человеком, событием или сообщением в «полной готовности».
Составляющие установок
Установки имеют три измерения: когнитивное, аффективное и поведенческое. Когнитивное измерение включает мнения и убеждения, которых мы придерживаемся относительно тех илн иных предметов и людей и которые позволяют нам судить, что, на наш взгляд, является истинным, правдоподобным или возможным. Аффективное измерение составляют положительные или отрицательные эмоции, связанные с этими убеждениями, они придают установке эмоциональную окраску и ориентируют действие, которое мы собираемся совершить. Это действие и есть поведенческое измерение установки, которое предполагает реакцию человека, соответствующую его убеждениям и переживаниям.
Так, например, если преподаватель кажется мне слишком строгим (когнитивная составляющая установки), а я не люблю, когда меня заставляют что-либо делать (аффективная составляющая), то очень вероятно, что я редко буду посещать его занятия, где меня может ждать принуждение (поведенческая составляющая).
Точно так же, если девушка кажется мне образованной (когнитивная составляющая)» а мне нравится обсуждать те темы, в которых она, похоже, разбирается (аффективная составляющая), я, наверное, буду искать ее общества (поведенческая составляющая). Моя установка,
/

Рис. 11.12. Можно держать пари, что жизненные установки этих двух людей во многом противоположны, А каково было бы ваше мнение, если бы вы встретились с этими людьми, ничего о них не зная?
к if dpysitc люди
очевидно, была бы совсем иной, если бы я принадлежал к числу тех, кого слово «образованность» обращает в бегство.
Можно было бы бесконечно долго иллюстрировать различия мнений и убеждений людей относительно, например, нужды в атомных станциях, генетических манипуляций, веры в астрологию и т. п.
Выработка установок
Все свои мнения, оценки и убеждения мы приобретаем через кон* такты в семье, социальной группе, школе, со знакомыми супружескими парами и т.д. Таким образом, формирующиеся в результате этих контактов установки - это тоже в основном продукт влияний, которым мы подвергаемся с самого раннего детства, нашего личного опыта и взаимодействий с другими людьми,
В детстве очень многие установки развиваются в соответствии с родительской моделью. Свою окончательную форму они* однако, приобретают между 12 и 30 годами жизни. Структурировавшие в отрочестве, установки между 20 и 30 годами «кристаллизуются». После этого установки меняются с большим трудом.
Следует, однако, различать центральные установки, которые образуют ядро системы убеждений, используемой нами при «расшифровке» общества, и установки периферические, основанные на мнениях и убеждениях, играющих меньшую роль в нашей социальной адаптации. Поскольку периферические установки значат для нас меньше, они меняются легче, чем центральные. Например, легче сменить марку зубной пасты, чем свои политические убеждения или установки, заложенные воспитанием.
Изменение установок
Мы постоянно подвергаемся влиянию телевидения радио, газет, семьи, преподавателей, друзей и подруг, сознательно или бессознательно пытающихся изменить наши установки. Речь здесь идет об убеждающей коммуникации, связанной с действием целого рада факторов. Но, осознавая свои собственные установки, мы точно так же пытаемся повлиять на других или изменить свое собственное восприятие фактов, с тем чтобы сохранить соответствие между ними и нашим поведением.
Убеждающая коммуникация '
Удастся ли путем убеждения изменить наши установки, зависит от
многих факторов, связанных с качествами человека, передающего нам информацию (коммуникатора), с особенностями этой информации и, наконец, с типом реципиента (т.е. с нашей собственной личностью).
Коммуникатор. Чем больше доверия внушает коммуникатор, тем легче ему убедить другого человека и вызвать изменение его' установок.
fiti П
Рис, 11.13. «Пьяный за рулем-преступник- Помните об этом!» Некоторые рекламные кампании имеют своей целью изменить поведение людей с помощью простых и логичных призывов. Но достаточно ли этого?
Именно так обстоит дело в случае признанных экспертов или людей, пользующихся определенным авторитетом. Врач может скорее убедить человека курить меньше, чем школьный приятель. По этой же причине реклама, стремящаяся увеличить спрос на кукурузные хлопья или моющие средства, часто прибегает к услугам знаменитых спортсменов
или кинозвезд1.
При этом, по-видимому, важно, чтобы коммуникатор не говорил слишком быстро, а его словарь (если коммуникатор-эксперт) был доступным для собеседника (Miller et аЦ 1976; Carbone, 1973). Известно также, что чем привлекательнее и дружелюбнее человек, передающий информацию, и чем больше он похож на нас* тем большее влияние он может оказать на наши установки.
Радио- и телесообщения, Чем убедительнее сообщение, тем быстрее может измениться установка. Сообщение, однако, не должно слишком сильно отличаться по своему содержанию от мнения реципиента. С дру-1 гой стороны, сообщение окажет более сильное воздействие, если удастся показать реципиенту, какие драматические события могут произойти, если он не изменит своей установки. Очень действенным в этом плане часто оказывается страх, к которому иногда прибегает реклама,-при условии, однако, что предрекаемые последствия носят правдоподобный характер и что одновременно предлагаются новые реалистичные решения проблемы. Недостаточностью первого или второго из этих двух элементов можно объяснить, например, сравнительно низкую эффек-
1 Следует тем не менее отметить, что эксперт (ученый или профессионал) всегда оказывает на людей более сильное и длительное влияние, чем образ «звезды», доверие к которой целиком зависит от ее популярности среди публики.

тивность кампаний против курения или за пользование ремнями безопасности в автомобиле.
Как бы то ни было, эффективнее всего, по-видимому, сообщение действует в том случае, если (помимо прочего) оно часто повторяется по радио или телевидению.
Реципиент. Мы более восприимчивы к тому сообщению, которое близко нас касается -с учетом сложившейся ситуации, насущных потребностей и преследуемых нами целей. Например, кампания против загрязнения среды легче вызовет изменение установок у тех людей, плантации которых страдают от кислотных дождей, или у тех, кто вынужден пить воду, ставшую мало пригодной для питья, а также у представителей экологических движений.
Специальные исследования, однако, показали, что реципиент всегда охотнее укрепляет собственные установки, нежели меняет их. По-видимому, мы склонны учитывать только ту информацию, которая согласуется с нашими установками, и игнорировать то, что им не соответствует. Таким образом, этот механизм избирательного восприятия позволяет человеку сохранять стабильность и непротиворечивость своих установок, но в то же время редко делает его объективным,
•
Поддержание внутренней согласованности
Иногда, столкнувшись с определенными обстоятельствами, мы вынуждены, несмотря ни на что, изменить свое поведение. Что происходит с человеком, желающим бросить курить? Каковы будут реакции молодого человека, чьи нравственные устои пошатнулись при сообщении о гомосексуальных склонностях его младшего брата? Что будет пере-жйвать молодая женщина, борющаяся за свободу абортов, если она полюбит мужчину, религиозные убеждения которого идут вразрез с этим правом? =
Когда мы испытываем затруднение в связи с необходимостью радикально изменить свои установки из-за какой-то новой информации или новых обстоятельств, это чаще всего заставляет нас искать разные
Рис, 1L14. Согласно Фестингеру, человек, бросающий курить, сделает все возможное* чтобы ослабить когнитивный диссонанс, созданный таким решением.
способы освободиться от беспокойства и несоответствия между нашими установками и требующимся поведением- Чтобы показать, как в таком случае люди будут стараться сохранить определенную гармонию в системе своих убеждений, были предложены различные теории. Мы остановимся на двух из них-на теории когнитивного диссонанса и теории когнитивного равновесия.
Когнитивный диссонанс. Речь идет о теории, предложенной Фестин-гером (Festinger, 1957). Согласно этой теории, когда нам нужно сделать выбор между двумя вещами, которые для нас одинаково привлекательны (продолжать курить или бросить) или находятся в противоречии (любить кого-либо, чьи убеждения или поведение отличаются от наших собственных), мы сделаем все возможное, чтобы ослабить возникающий диссонанс, и отыщем тысячу доводов, чтобы убедить себя в том, что выбор, который мы собираемся сделать,-наилучший.
Если человек решает продолжать курить, он выдвинет, например, такие аргументы: «Бросить курить - значит растолстеть»; или «Когда я не курю, я становлюсь таким раздражительным, что для других будет лучше, если я курить не брошу»; или «Стоит ли ради каких-нибудь двух или трех липших лет жизни все остальные годы лишать себя этого удовольствия?». Наоборот, если человек решил бросить курить, он все больше будет интересоваться статистикой рака легких, участвовать в кампаниях против курения, гордиться своей «непрокуреаностью» и т.д. ' -
Точно так же молодой человек убедит себя в том, что он принимает «порок» своего брата, потому что по-настоящему его любит, а молодая женщина-в том, что мужчина, которого любит она, обладает столь многими другими достоинствами, что она может и не обращать внимания на такое «пустячное» разногласие* В противоположном случае молодой человек может найти, что у его брата нет силы воли, и он сам, похоже, не хочет, чтобы ему помогли, а потому лучше держаться от него подальше; а молодая женщина, выступающая за свободу абортов, решит, что дело, за которое она борется, имеет слишком большое значение, чтобы она могла оставить его ради сомнительной любовной связи.
Во всех случаях диссонанс между установками человека и его поведением ослабевает, что позволяет ему снова чувствовать себя в «полной гармонии».
Когнитивное равновесие. Хайдер (Heider, 1958) предложил теорию, основанную на склонности человека отыскивать такие установки, которые могли бы поддержать на высоком уровне гармоничные отношения и «равновесие» между ним'и другими людьми, и, наоборот, избегать таких установок, которые могли бы привести к нарушению этой гармониц. Таким образом, гармоничность в системе убеждений человека будет тем выше чем больше общих взглядов он разделяет с другим человеком, к которому он испытывает привязанность.
В тех случаях, когда аффективная связь 'нарушается из-за расхождений во взглядах, мы стараемся преуменьшать или даже вообще отрицать
Человек и другие люди 93
это расхождение, а иногда и убедить себя, что вопреки очевидным фактам установки другого человека в основе своей согласуются с нашими собственными.
Молодой человек, имеющий брата-гомосексуалиста, будет поддерживать с ним такие же взаимоотношения, какие сложились прежде, систематически избегая, например, обсуждения с ним больного вопроса или же говоря себе, что его брат, должно быть, ужасно страдает от того, что с ним приключилось, и что он> безусловно, сделает все возможное, чтобы изменить свою ориентацию. А молодая женщина, возможно, сочтет, что дело, за которое она борется, для нее не столь важно, как любовь к партнеру, и скажет себе, что последний, безусловно, относился бы к ее борьбе благосклоннее, если бы не его религиозные убеждения.
Предубеждения
Одна из серьезных трудностей, возникающих при необходимости изменить свою установку, связана с темт что многие из наших установок обусловлены нашими предубеждениями относительно тех или иных явлений или людей, рационально обсуждать которые нам слишком трудно.
Как уже отмечалось, предубеждение отличается от стереотипа. Если стереотип представляет собой обобщение, которого придерживаются члены одной группы относительно другой, то предубеждение предполагает еще и суждение в терминах «хороший» или «плохой», которое мы выносим о других людях, даже не зная ни их самих, ни мотивов их поступков.
Формирование предубеждений чаше всего бывает связано с нашей потребностью определить свое положение по отношению к другим людям (особенно в плане превосходства) и в результате успокоиться насчет ценности собственной персоны. Именно предубеждениями объясняется отношение некоторых белых к неграм, жителей крупных городов-к провинциалам, представителей доминирующей культуры-к представителям культуры меньшинства, молодых-к старикам, мужчин-к женщинам и наоборот1. Следует заметить, что из всей информации об интересующей нас группе людей мы склонны принимать к сведению лишь ту> которая согласуется с нашими ожиданиями. Благодаря этому мы можем укрепляться в своих заблуждениях на основании лишь отдельных эпизодов, что так способствует формированию предубеждения. Например, если на 10 водителей, допускающих небрежное управление автомобилем, приходится хотя бы одна женщина» то это автоматически «подтверждает» предубеждение, что женщины не
г
1 Иногда предубеждения распространяются столь широко и укореняются столь прочно, что их жертвы часто сами начинают разделять и поддерживать их до тдкой степени, что порой теряют реальное представление о своей собственной личности; поэтому очень трудно изменить установки как у носителей предубеждений, так и у их жертв.
if

Рис; \\Л5, Бытующие р повседневной жизни стереотипы включают негативные компоненты* составляющие основу многих предубеждений.
умеют водить. Точно так же достаточно лишь одному безработному однажды отказаться от предложенной работы, как сразу же усиливается распространенное мнение, что все безработные лентяи. Сказанное относится и к «неграм» в США или «арабам» во Франции, всякое правонарушение со стороны которых сразу же приписывается их расовой принадлежности, даже если относительное число преступлений в этих группах такое же, что и в группах национального большинства, живущих в сходных условиях.
Предубеждение позволяет людям направлять свою агрессивность на «группу-мишень». Например, во время кризисов ксенофобия и расизм позволяют усмотреть причину экономических трудностей в национальных меньшинствах, которые, таким образом, оказываются «козлами отпущения». Самый известный и наиболее драматичный из подобных случаев-судьба евреев; их преследование в нацистской Германии в ЗО-е годы, жертвами которого стали миллионы людей и которое доходило до настоящего .массового истребления, велось с молчаливого одобрения фанатизированного немецкого большинства, В других случаях геноцид чаще всего «оправдывали» торможением прогресса из-гэа присутствия в стране строптивых «дикарей». Благодаря подобным предубеждениям были разорены или просто уничтожены все аборигенные культуры обеих Америк.
Как было показано, наиболее подвержены предубеждениям люди с авторитарным типом личности, сформированным средой и воспитанием. Такая личность характеризуется известной склонностью к жестокости, с трудом налаживает контакты с другими людьми, склонна до крайности упрощать ситуации и обычно нерушимо верит в превосходство своей социальной группы и своей культуры. Подобные люди обнаруживают сильное стремление каталогизировать всех, кто отличается от них самих и не разделяет их образа мыслей.
Так создается понятие нормы* которое даже в науке очень часто определяют исходя из субъективных критериев. Практика «приклеивания ярлыков», характерная, например, для традиционной психиатрии,
Чел-wi'K и ttyJiviiv tfo.iu 05
тоже нередко основывается на предубеждениях; предубеждения мешают разглядеть за одинаковым ярлыком, приклеенным разным людям, всю сложность внутренней динамики индивидуума и те пути, которыми он пытается включиться в окружающий мир. Это! вопрос будет рассмотрен в последней главе книги.
ч
Документ 11 Л. «Внутренняя галактика» .
-
Лорен Эйэли- антрополог и писатель; он возглавляет отделение антропологии Пенсильванского университета. Приведем фрагмент одного из его рассказов, объединенных под общим заглавием «Неожиданная Вселенная» в книгу, в которой автор пытается отыскать «лик безгра-ничной'любви в планетарном масштабе» (Eiseley L,, L'univers inattendu, Paris, Editions EP/Denoel, p. 163-164).
г
«Много лет назад в одном небольшом городке в Калифорнии произошел любопытный случай. Сам по себе этот случай не представлял ничего особенного. Но сопровождавший его психологический эпизод был настолько необычным, что я решил о нем рассказать,
Я долгое время работал над книгой, которую мне не терпелось закончить. Дело было днем, я шел один, погруженный в свои мысли, и случайно лопал ногой в маленькую подвернувшуюся по пути канавку. Я грохнулся с необычайной силой, и в моих ушах раздался при этом страшный треск. Открыв глаза, я обнаружил, что растянулся на дороге, уткнувшись лицом в землю и разбив свернувшийся набок нос. По лицу из раны на лбу текла кровь.
Усилием воли я заставил себя продолжать самообследован иё, осторожно проведя языком по внутренней поверхности рта и зубам. Тоненький ручеек крови* под головой все расширялся. Вот так, среди бела дня, все это и случилось. Смущенный, мучимый болью; равнодушный к двигавшимся вокруг меня ногам и к тревожным возгласам, поднял я мокрую от крови руку и жалобно пробормотал: «Нет, не покидайте меня. Я так сожалею о том, что всем вам причинил)».
Слова эти относились не к окружавшей меня толпе. Они были адресованы внутрь, к тому, из чего я был сделай. Я находился в здравом уме, в ясном и трезвом рассудке, и обращался я к своим клеткам, крови, фагоцитам- ко всему тому, что жило во мне своей собственной жизнью и что теперь, по моей небрежности, умирало подобно выброшенной на камни рыбе. Сознание мое охватила волна раскаяния и даже какого-то обожания, что-то вроде любви в космическом масштабе, ибо случившаяся катастрофа по-своему была столь же огромна, как и катастрофа, жертвой которой становится галактика, теряющая часть своих солнечных систем.
Ведь я был сделан из многих миллионов этих крошечных существ. Своим трудом и самопожертвованием исправляли они повреждение огромного существа, над созданием которого бессознательно, но с любовью трудились долгие годы, А я за всю свою грешную жизнь впервые поглядел на них не через микроскоп, как на какие-то чужеродные образования. Отзвук той силы, что приводила их в движение, дошел до моего сознания из самых глубин моего существа и охватил мой потрясенныр мозг. Я и был ими-их галактикой, их творением. Впервые в жизни я полюбил их сознательно-в то время, когда меня
Глава П
.. .-..

Рис. 1L16. Лишь благодаря активности миллиардов живых организмов - наших клеток, неутомимо выполняющих свои функции, удается всей «машине» нашего тела сохранять равновесие, позволяющее ей работать на уровне ее собственной целостной организации.
пытались поднять протянутые руки помощи. Тогда мне казалось (и с тех пор я не могу освободиться от этого чувства), что в своей Вселенной я вызвал столько же смертей, сколько может повлечь за собой взрыв туманности в космосе.
Спустя несколько недель я снова пришел на место происшествия. То место, где я лежал, все еще слегка отличалось по цвету от остального тротуара. Я наклонился'к пятку, испытывая смутное беспокойство. Они исчезли, полностью разрушились-все эти крошечные создания, но то целое, частью которого они были, продолжало существовать. Я покачал головой, осознав смысл тайны, заключавшейся в словах Данте о «любви, что движет солнцем и звездами».
Подобно Лорену Эйзли, мы можем лишь изумляться тому спектаклю, который предстает перед нами при замедленном просмотре фильма, запечатлевшего деятельность белых кровяных телец, неутомимо поглощающих бактерий в крови, работу клеточных колоний в желудке или фантастическое путешествие сперматозоидов, стремящихся отыскать яйцеклетку... Слишком часто мы забываем, что без организованной жизнедеятельности подобных систем, действующих автономно без нашего ведома, не было бы тех созданий, которыми мы так гордимся,-нас самих; или, во всяком случае, эти создания мало на что годились бы.
и другие люди
97

Рис. 11.17. Степень солидарности между людьми, по-видимому, находится в обратном отношении с числом людей в данном месте.
Документ 11*2. Чем многолюднее, тем безответственнее
По-видимому, чем больше людей сосредоточено в данном месте, тем слабее у них развиты чувства ответственности и сотрудничества.
Бикмэн и его сотрудники (Bickman et aL, 1973) изучили этот вопрос в студенческмх городках двух американских колледжей. В одном городке здания были двух типов: 22-этажные башни, вмешавшие по 500 человек, и небольшие 4-5-этажные строения на 165 студентов. Студенческий городок второго колледжа состоял из 2-4-этажных общежитий, вмещавших в среднем по 58 студентов.
Исследователи хотели определить уровень взаимопомощи в жилищах разного типа. Они воспользовались для этого остроумной методикой, разбросав по людным местам общежитий запечатанные конверты с обычным благодарственным письмом, на которых была марка и адрес получателя, но не было имени отправителя. Нужно было определить, какая доля «утерянных» конвертов будет отправлена по почте нашедшими их студентами разных общежитий.
Можно было бы ожидать, что чем больше людей будет проходить мимо письма, тем выше вероятность, что его заметят и опустят в почтовый ящик. На самом деле все оказалось наоборот. Ученые обнаружили, что только 63% писем, оставленных в общежитиях с высокой плотностью проживания, было отправлено по почте; в общежитиях со средней плотностью доля таких писем составляла 87%, а в общежитиях с низкой плотностью-100%. Такой же опыт, проведенный в другом университете, дал очень сходные результаты.
Для того чтобы выяснить, чем обусловлено такое положение дел, студентам, проживавшим в общежитиях разного типа, рассылались опросники. Полученные ответы подтвердили, что у тех, кто жил в условиях «высокой плотности населения», чувство ответственности в кол-
7 443
лективе гораздо слабее. Это, в частности, могло объясняться более
сильным чувством одиночества и «анонимности», которое испытывало большинство из них, Что же говорить тогда о самих учебных заведениях, где иногда между двумя дворами циркулируют тысячи учащихся, переходя из одного переполненного класса в другой? Быть может, наблюдаемые сдвиги в поведении молодежи отчасти связаны именно с такими условиями существования.»
Документ 11.3. Шум и успеваемость в школе
Как уже говорилось (см. гл. 5; а также приложение А), ретикулярная формация выполняет функцию непрерывного блокирования входных сигналов, не требующих активации головного мозга. Речь идет о механизме привыкания (габитуации), кратковременные эффекты которого позволяют избежать информационной перегрузки мозговой коры. Между тем было показано, что длительное воздействие некоторых стимулов (например, шума) оказывает долговременное отрицательное влияние на успеваемость подвергающихся им детей в школе.
В связи с этим Коэн, Гласе и Сингер (Cohen, Glass, Singer, 1973)

Рис. WAZ. В одном из этих зданий э центре Нью-Йорка Коэн, Гласе и Сингер изучали зависимость между уровнем шума и школьной успеваемостью детей, живущих на разных этажах.
Чемшк и другие лнн)и 99
провели исследование в своего рода естественной лаборатории, представлявшей собой 32-этажное здание, расположенное у самого начала скоростной автомагистрали в центре Нью-Йорка. Ученые тщательно измерили уровень шума на разных этажах здания, обнаружив, что на 8-м этаже он был в 10 раз больше, чем на 32-м: Затем дети, жившие в этом доме не менее 4 лет, подвергались тесту на слуховую дискриминацию, в котором требовалось различать сходные по звучанию слова (напри-мер, пар/бар, кол/гол, ложка/лодка и т.п.). Оказалось, что чем ниже жили дети, тем хуже были их результаты в тесте, А ведь известно, насколько тесно слуховая дискриминация связана с умением читать. Результаты теста на чтение убедительно показали, что чем выше был уровень шума, которому подвергались дети, тем ниже были их показатели.
Документ 11.4. Доминирование, власть и лидерство
В сообществах большинства животных устанавливается иерархия, вершину которой занимают одна или несколько особей. У приматов, однако, социальная структура зависит от того, ведут ли обезьяны древесный или наземный образ жизни.
У древесных обезьян (например, у наших «двоюродных братьев»-шимпанзе и горилл) социальная структура носит поразительно эгалитарный характер, а наземным видам (например, африканским павианам и азиатским макакам), постоянно сталкивающимся на открытой местности с опасностями, свойственна социальная организация, во главе которой стоит один в высшей степени доминантный самец вместе с несколькими взрослыми самцами, чей социальный ранг чуть ниже1.
Что в связи с этим можно сказать о человеке, который генетически так близок к крупным высшим обезьянам, но предки которого вели в саваннах жизнь, весьма напоминающую жизнь наземных обезьян? Сохранились ли еще следы того далекого прошлого в его образе жизни в обществе? Одержала ли верх его культура над его животной природой?. "
Чтобы яснее представить себе картину, вначале нужно определить характеристики доминантной личности тех людей, которые пользуются реальной властью.
1 У павианов доминирующий самец устанавливает монополию на нескольких самок, в то время как прочие взрослые самиы имеют лишь по одной самке. Во время перемещения стада в поисках пищи впереди идут молодые взрослые самцы* а более сильные самцы находятся » середине, обеспечивая помощь матерям и детенышам и защищая их. Внешней угрозе противостоят только взрослые самцы, располагаясь полукругом, а более молодые самцы и самки-матери убегают.
шо
Доминантное поведение
Глава П
У приматов с иерархической организацией сообщества доминирование тесно связано с размерами тела и превосходством в силе над другими членами группы. Коль скоро животное добилось доминирования, оно будет стремиться сохранить его, демонстрируя свое превосходство заносчивым и самоуверенным видом и важной походкой. Такое поведение появляется всякий раз, как только подчиненные животные начинают нервничать и волноваться. Только доминирующая особь может целиком посвятить себя своим занятиям; остальные животные значительную часть времени проводят, наблюдая за вожаком, а когда тот перемещается, они спешат изменить и свое местоположение.
Такой портрет вожака не так уж сильно отличается от того, как люди обычно представляют себе сильную личность, будь то мужчина или женщина V У людей, однако, высокий рост и физическая сила далеко не всегда обеспечивают путь наверх в социальной иерархии, хотя иногда и помогают навязать свою волю другим. У людей бесспорное значение имеет взгляд: спокойный взгляд говорит о самообладании; упорный взгляд означает решительность; взгляд пронизывающий и остановившийся на человеке, пытающемся выделиться, может означать оценку или предупреждение, что лучше оставаться на своем месте.
Прямая посадка слегка откинутой назад головы, поднятый подбородок и опущенные уголки губ, выражающие презрение или погруженность в свои мысли, обыкновенно воспринимаются как притязание на доминирование;
Жесты и телодвижения свидетельствуют о степени внутренней напряженности. Несколько скованная' или негнущаяся походка и поры-

Рис. И,19. Социальная организация некоторых приматов (например, павианов) может дать человеку полезную информацию о механизмах социального поведения его собственного вида.
1 Достаточно восстановить в памяти образ и установки таких людей; как дс Голль, Индира Ганди, Муссолини, Маргарет Тэтчер, Сталин или Пиночет.
Человек it другие люди 101
вистые или излишние жесты чаще всего связываются с подчиненностью,, тогда как расслабленность тела со свободно висящими руками -и свободные движения бедер, придающие походке упругость, расцениваются как признаки доминирования ].
Как правило, именно доминирующая личность берет в свои* руки инициативу в ситуациях, в которых участвуют и другие люди. Часто она чувствует, что вынуждена взять на себя ответственность в полной уверенности, что если не вмешаться, то ничего не получится. Сильная личность задает тон и в собраниях, приспосабливаясь к общему сиюминутному настроению, что позволяет ей играть ту роль, которая ей подобает. Такая личность редко руководствуется заранее спланированным сценарием: она любит импровизировать. Она может позволить себе поздравлять других, ободрять их или хвалить в полной уверенности, что ее комплименты будут оценены, Наконец, она умеет проявлять внимание к слабым.
Хотя, бесспорно, подобные качества (если они не наиграны) действительно присущи многим людям, пользующимся властью, само по себе их наличия еще не достаточно для того, чтобы их обладатель мог автоматически получить власть. Необходимо также, чтобы у него был вкус и склонность к власти, и особенно чтобы достижению власти помогали обстоятельства. Можно даже предполагать, что в человеческом обществе приход человека к власти в большей степени зависит от внешних факторов, чем от качеств личности. В самом деле, можно привести немало примеров вожаков разных групп, которым ни отрывистая жестикуляция, ни низкий рост, ни даже ничем не примечательное поведение не мешали возноситься и удерживаться на вершине иерархии. Многие исследователи пытались выяснить, какие качества свойственны людям, обладающим одновременно и властолюбием, и способностью управлять другими людьми (Christie* 1970;8изсШ1, 1974; Kaplowitz, 1976).
Власть и законность
всего жажда власти сопровождается сильным желанием брать на себя ответственность и выполнять какие-либо задачи. Человеку, стремящемуся к власти, в значительной мере присуши такие качества, как равнодушие в межличностных отношениях, вкус к торгу и большое удовлетворение от возможности манипулировать другими людьми (Christie, Gies, 1970). Претендующий на командование другими людьми умеет сопротивляться социальному давлению; кроме того, он проявляет известную смелость и оригинальность в решении проблем, а также рвение и настойчивость в преследовании целей (Stagdill, 1974),
1 Эта манера особенно подчеркивалась в «вестернах», в которых полная самоуверенности походка вразвалку у «положительных» или «резко отршьа-тельных». героев (даже идущих на верную смерть) неизменно поражает воображение толпы.
102 _________ ___________Гита П ___________________________
_
Эта способность влиять на других людей проявляется однако, лишь в том случае, если члены группы или общества готовы допустить, что кто-то из них получит власть и будет удерживать ее в своих руках. Такая способность вырабатывается в результате длительного процесса социализации, который, подвергая ребенка, подростка, а затем и молодого взрослого человека влиянию семьи, школы, религии и трудового коллектива, узаконивает право некоторых людей управлять другими во имя общего блага.
Однако в масштабе общества и нации власть, основана ли она на законе или на силе, будет оправдана лишь с точки зрения сохранения системы, защищающей интересы определенной части населения, которая считает себя элитой, призванной стоять на страже всеобщего благосостояния. Поэтому маловероятно, чтобы в таких условиях коридоры власти легко смогли занять представители других слоев населения1. Чаще всего их занимает политический класс, сформированный данной системой и более или менее сознательно стремящийся удержаться у власти как можно дольше.
Чтобы понять, на чем основано лидерство, полезно рассмотреть, каким образом оно устанавливается и функционирует в ограниченных группах, все члены которых преследуют общие цели, но одни оказывают влияние на других, а другие готовы находиться под этим влиянием.
Социопсихологи выделили ряд факторов, от которых зависит то* что у одного человека больше шансов быть выбранным в лидеры группы и оказаться при этом эффективным лидером, чем у другого. Группа вдет от своего вожака, что он сумеет скоординировать ее активность, обеспечит безопасность ее членов и даст им веру в будущее. Поэтому можно думать, что лидером группы в большинстве случаев окажется человек, обладающий качествами, нужными для данной должности, умеющий управлять другими и прежде всего способный удовлетворять потребности группы. Отметим также, чтй всегда, по-видимому, легче направлять группу в русло четко определенной активности, когда лидерство покоится на законной основе, а цел*? ясно обозначены.
Различают два типа лидеров. Первый-это тип функционального, компетентного лидера, сосредоточенного на поставленной задаче; именно такой лидер неустанно борется за достижение группой поставленных целей. Второй-тип аффективного, всеми любимого лидера, сконцентрированного на взаимоотношениях между членами группы. Как показали исследования, «функциональный» лидер всегда легче добивается лидирующего положения в очень благоприятных или очень неблагоприятных ситуациях, в то время как «аффективный» лидер легче достигает этого в промежуточных случаях. Кроме того, было установлено,
1 Достаточно вспомнить, какое незначительное место занимают в политическом руководстве демократических государств женщины, рабочие, негры (в США), иммигранты и т,д.
,notht !03
что, если в группе примерно равное соотношение полов, функциональным лидером чаще всего становится мужчина, а аффективным-женщина1.
Документ 11.5. Приказы и жизнь других людей
В экспериментах Милгрэма, изучавшего повиновение авторитету (см. документ 2Л4), более 65% «порядочных граждан», служивших испытуемыми, оказались способными наносить мнимые электрические удары такой силы, что, будь Ьни подлинными, они могли бы привести к смерти тех людей, которых эти испытуемые должны были «воспитывать».
В адрес Милгрэма был высказан рад критических замечаний. Прежде всего ему возражали, что обыватель, привыкший подчиняться власти авторитета, естественно, будет также легко повиноваться и приказам ученого, который должен знать, что делает. Однако, когда затем в опыте в качестве испытуемых были использованы студенты Йельского университета, предположительно настроенные более критично и потому менее склонные поддаваться «манипуляциям», процент «покорных» испытуемых оказался тем же самым. Такую же степень покорности обнаружили и женщины от которых можно было ожидать меньшей агрессивности.
Чтобы выяснить, в какой степени испытуемые принимали во внимание и другие-помимо престижа экспериментатора-факторы, опыт повторили в деловом учреждении одного из городов штата Коннектикут. На этот раз исследование проводил экспериментатор, который ничем не мог бы внушить к себе особого уважения. Было выявлено 48% «покорных» испытуемых, что хотя и меньше цифры, полученной ранее, но очень близко к ней.
Опыт был повторен на Среднем Востоке учеными из Форданского университета изучавшими испытуемых-детей от 6 до 16 лет и студентов, Оказалось, что независимо от культурных особенностей испытуемых доля «покорных» людей составляет здесь, как и в Йеле, 65%, Таким образом, следует признать: видимо, из каждых троих почти двое, непосредственно столкнувшись с авторитетом, готовы слепо ему повиноваться.
Что, однако, происходит в том случае, если приказ передается испытуемому не прямо, а с помощью, например, переговорного устройства или же опыт происходит в отсутствие экспериментатора? Оказывается, в таких условиях доля «покорных» испытуемых падает и составляет чуть больше 20%. Таким образом, можно думать, что условия
1
1 Это, по-видимому, подтверждают и наблюдения над террористическими группами в западных странах. Идеологическую и объединяющую функцию лидера в них обычно выполняют женщины, в то время как задача организации действий чаще всего лежит на мужчинах, которые благодаря этому получают и возможность реализовать свою склонность к насилию.
104
Рис* 1L20* В учреждениях с жесткими принципами управления подчинение авторитету сильно подавляет свободу воли в ситуациях, когда речь идет о жизни и смерти других людей.
подчинения изменяются, когда человек получает возможность проявить собственную волю.
Как в этом плане обстоит дело с людьми, работающими в учреждениях с жесткими принципами управления и вынужденными подчиняться почти абсолютной власти меньшинства «экспертов»? Исследователи (Hoffing et. al., 1966)1 попытались ответить на этот вопрос, изучив поведение медицинских сестер, каждая из которых работала в одном из 22 отделений двух больниц-одной частной и одной государственной. Дежурной сестре звонил по телефону врач, имя которого она знала, но с которым никогда прежде не имела личного контакта. Врач говорил сестре: «Звонит доктор Дюбуа из психиатрического отделения. Сегодня утром я должен обследовать одного из ваших пациентов, господина Дюфура. Мне бы хотелось, чтобы он принял лекарства, которые к моему приходу должны начать действовать. Не могли бы вы проверить, есть ли в шкафу «Астротен»? (Врач произносит по буквам (а, эс, тэ, эр...). Сестра направлялась к шкафу и действительно находила там коробку, на которой было написано:
Астротен Капсулы по 5 мг Обычная доза: 5 мг Максимальная суточная доза: 10 мг
После того как сестра подтверждала наличие лекарства, врач продолжал: «Хорошо, мне бы хотелось, чтобы вы дали господину Дюфуру 20 мг «Астротена», Я приду минут через 10 и тогда письменно оформлю распоряжение.»
Распоряжение доктора Дюбуа нарушало многие служебные правила,
1 Цт\ по Hilgard ER,, Atkinson R.L., Atkinson R.C, Introduction to Psychology {7th ed.), New York, Harcourt - Brace Jovanovitch, 1979.
и другие поди 105
некоторые из них-грубо* Прежде всего оно исходило от лица, с которым медицинская сестра лично не была знакома. Кроме того, лекарство не входило в список разрешенных препаратов, а главное-назначенная врачом доза значительно превосходила допустимую. Между тем из 22 медицинских сестер, которым по телефону было передано такое распоряжение, 21 подчинилась ему, даже не выказав какого-либо сомнения (большинство из них, однако, были уверены, что врач придет вовремя). Опыт прекращался в тот момент, когда сестра доставала из коробки четыре капсулы препарата, а штатный психиатр сообщал ей о сути эксперимента, в котором она, сама о том.не ведая, только что участвовала. Во время последующего разговора многие из сестер признавались, что выполняли подобные распоряжения и в прошлом, боясь своим отказом рассердить врача.
Милгрэм показал, что если испытуемые знают, что они исполняют всего лишь роль посредников и, следовательно, никакой прямой ответственности за свои действия не несут, то доля «покорных» возрастает до 90%. Какой из этого можно сделать вывод? Следует ли отчаиваться перед лицом фактов, говорящих о том, что подчинение авторитету прямо коренится в природе человека? Безусловно, нет. Как показали недавние исследования, если испытуемые находятся в присутствии других людей, отказывающихся повиноваться, то 90% из них в свою очередь тоже не выполняют распоряжений.
Таким образом, обнадеживают и будут обнадеживать люди и группы людей, неустанная деятельность которых по разоблачению правонарушений и несправедливости служит своего рода противовесом апатии и покорности, свойственной большинству. Сказанное относится и к различным движениям солидарности в мире и таким организациям, как, например, «Международная амнистия», которые олицетворяют собой совесть современного общества, напоминая всем и каждому, что своим молчанием они причастны к страданиям и гибели тысяч своих собратьев.
Документ 11.6* Конформизм и
преобразование действительности
Эш (Asch, 1951) в своем классическом исследовании впервые показал, каким образом социальное давление порождает конформизм. Он поместил в одну комнату восемь испытуемых, которым предлагалось участвовать в опыуе по зрительному восприятию. Испытуемые должны были сравнить отрезок, изображенный на одном куске картона, с тремя отрезками, изображенными на другом листе, и определить, какой из них равен первому по длине (рис. 1L21). Испытуемые по очереди сообщали номер отрезка, который, по их мнению, имеет ту же длину, что и одиночный отрезок.
«Неосведомленным» был лишь один, седьмой по очереди, испытуемый; семь остальных членов группы находились в сговоре с экспериментатором и давали то правильные, то неправильные ответы. Ко-
Гимн II

Рис. 11.21* А. В опыте Эша испытуемым предлагалось сравнить длину одиночного отрезка с длиной трех других отрезков. Е. «Неосведомленный» испытуемый № 7 переживал настоящий внутренний конфликт, так как его восприятие не соответствовало единодушному суждению остальных участников опыта, которые находились в сговоре с экспериментатором. В такой ситуации каждый третий испытуемый предпочитал присоединяться к мнению других.
нечной целью эксперимента, таким образом, было выяснить, как будет вести себя испытуемый, не осведомленный о сути эксперимента, когда шесть человек до него и один после него единодушно удостоверят факт, противоречащий его собственному восприятию действительности.
Эш установил, что в описанных условиях 77% испытуемых по меньшей мере однажды соглашались с утверждениями других и что из каждых трех испытуемых один систематически давал ответ, совпадающий с ответами остальных членов группы, даже если ответ этот шел вразрез с его собственным восприятием,
Более поздние исследования (Wilder, 1977) показали, что давление конформности увеличивается с численностью группы. Если в опыте помимо «неосведомленного» испытуемого участвует только один человек, ответы первого не будут «конформными», но с увеличением численности группы вероятность конформности возрастает, достигая максимума в присутствии 5-8 человек.
Оказалось, однако, что столь выраженное давление конформности проявляется главным образом в тех случаях, когда у испытуемого нет никакой социальной поддержки. Достаточно ввести в группу одного-
Че.ювек и другие jwdu 107
единственного человека, ознакомленного с сутью опыта и систематически разделяющего мнение испытуемого, как тот сразу же приобретает уверенность и начинает высказывать собственную точку зрения.
Согласно данным Костанцо {Costanzo, 1970), сильнее всего давление конформности сказывается, видимо, в небольших группах подростков. В возрасте 12-13 лет этому давлению подвержен каждый второй человек, а затем его влияние медленно ослабевает, распространяясь в возрасте 19-20 лет только на каждого третьего, и остается на этом уровне у взрослых людей.
Учитывая эти данные, полученные в «безобидных» лабораторных условиях, уместно обеспокоиться и задуматься над тем, как ведут себя люди в масштабах целой страны.
Документ 11.7. Влияние меньшинств к
социальные сдвиги
Давление конформности поддерживает равновесие социальной системы и сплоченность группы путем «нормализации» установок ее отдельных членов. Как замечает Пешеле (Paicheler, 1979), речь идет о фундаменте демократического идеала, соответствующего социальному порядку, основанному на единообразии. Понятно, что власть постоянно стремится сохранить существующее равновесие и упрочить его основы: она видоизменяет или реформирует систему до известных пределов, но никогда не преобразует ее радикально. Социальные сдвиги, сопровождающиеся иногда глубокой трансформацией умонастроений и установок, может обеспечить только оппозиция к существующей власти.
70-е годы были ознаменованы появлением многочисленных групп меньшинств - пацифистов, гомосексуалистов, фрнимисток и т. д., признававших свои отличия, но протестовавших против того, чтоб их считали «девиантными».
Влияние активных меньшинств и факторы, способствующие его проявлению, впервые были тщательно изучены в эксперименте по восприятию цветов, получившем название «сине-зеленого» эксперимента (Moscovici, Lage, Naffrechoux, 1969). Испытуемому в присутствии еще пяти человек предлагали вслух определять цвет и интенсивность окраски проецируемых на экран диапозитивов. Во время предварительного теста, проводившегося коллективно, испытуемый убеждался, что все члены группы воспринимают цвета нормально, как и он сам. Испытуемый, однако, не знал, что все 36 диапозитивов, которые должны проецироваться на экран, окрашены в синий цвет и что двое из членов группы — «подставные лица», которые в течение всего опыта должны называть этот цвет зеленым.
Ничто не заставляло каждого из четырех «неосведомленных» испытуемых давать ответ, противоречивший его собственному восприятию, поскольку так или иначе большинство группы чаще всего реагировало на цвет так же, как и он сам; кроме того, он знал, что речь не шла о достижении в группе консенсуса. Тем не менее, как подсчитали
108____________________ Г.шка l\________. _______________
исследователи* 8,42% всех ответов «зеленый» были даны «неосведомленными» испытуемыми (32% таких испытуемых называли диапозитивы зелеными по меньшей мерс четыре раза).
Более того, во время теста, проведенного после опыта, в котором оценивался порог различеЕшя зеленого цвета в непрерывном спектре, исследовали установили, что испытуемые воспринимали предъявлявшийся им цвет как зеленый чаще, чем люди, не контактировавшие с «подставными лицами»; и, главное, они идентифицировали зеленый цвет тем чаще, чем сильнее сопротивлялись влиянию меньшинства во время самого эксперимента.
Таким образом, нет сомнений в том, что меньшинство, состоявшее во всех экспериментальных группах из двух «подставных лиц», оказывало влияние на представителей большинства не только в плане их внешнего поведения, но я на уровне внутренних убеждений, которые, как считалось прежде, поддаются лишь влиянию большинства.
А это» по мнению Московичи (Moscovici, 1984), указывает на то, что меньшинство способно изменять восприятие и суждения людей, причем изменение это может в группе не проявляться, а сами люди могут его не осознавать.
Таким образом, если в общественном плане более эффективным оказывается давление большинства* то, по-видимому, дело обстоит иначе в плане личном, где сплоченное и открыто демонстрирующее свою независимость от авторитета меньшинство способно подчинить своему влиянию большинство.
Источники; Moscovici S., Influence ct changemenl d'attitudes, dans S. Moscovici, Psychoiogie sotiale, Paris, PUF, 1984; Paicheler G.> Psychologic des influences sociales, Paris; Delacheux et Niestle, 1979.
Документ 11.8. Безмолвные свидетели
и снисходительные жертвы
Похоже, что все больше и больше людей предпочитают держаться в стороне от тех инцидентов, свидетелями которых они оказались, из-за боязни быть втянутыми в историю,
1964 год. 3 часа утра. Китти Дженовезс, молодая жительница Нью-Йорка, возвращается с ночной работы домой, когда у самого дома ее жестоко атакует мужчина, вооруженный ножом. Будучи ранена, она с криком отбивается, пытается убежать, но ее снова ловят. Она кричит, зовет на помощь и в течение почти получаса продолжает борьбу, прежде чем уступить натиску агрессора. Десятки свидетелей (38 человек) в это время стояли у своих окон, но ни один из "них не пришел девушке на помощь и даже не подумал позвонить в полицию.
В 1985 году в маленьком тупике, расположенном совсем близко от большого парижского бульвара, среди бела дня трое мужчин напали на молодую женщину и изнасиловали ее на виду у десятков прохожих, молча продолжавших идти своей дорогой...
Подобные случаи то и дело происходят на улицах или в метро
Человек и другие люди 109
крупных городов, а свидетели никогда или почти никогда даже не пытаются вмешаться. Уместно спросить, не превращаются ли наши современные города в укрепленные лагеря, где каждый живет только .для самого себя и никто не встает на защиту своего ближнего?
Но если уж мы столь мало склонны защищать права других» то быть может больше уважения мы проявляем к собственным правам? Ежедневно мы подвергаемся мелким обидам, ущемлению нашего человеческого достоинства и, как правило, не реагируем на это. Даже если наша безопасность не подвергается угрозе, мы часто предпочитаем пассивную позицию, говоря себе, что в конце концов вес это пустяки.
Мориарти решил узнать, насколько распространена среди людей подобная снисходительность к нарушению основных прав личности- Для этого он провел ряд экспериментов в своей лаборатории в Нью-Йоркском университете, а также в некоторых общественных местах.
Первый опыт состоял в том, что двум испытуемым, находившимся в одной комнате, предлагалось выполнить тест, чего за отведенные им 20 минут сделать было невозможно. Олин из студентов был «подставным лицом» и получал инструкцию с максимальной громкостью проигрывать на своем портативном магнитофоне рок-музыку и уменьшать громкость только после третьей просьбы «неосведомленного» испытуемого. Из 20 испытуемых только один сразу же потребовал от другого выключить музыку в столь категоричной форме, что тот немедленно повиновался. Трое других, потребовавших тишины один раз, не возобновляли свою просьбу после того, как «поклонник рока» отвечал им, что выключит музыку, как только кончится песня (это обещание он не выполнял). Ни один из остальных 80% испытуемых не произносил ни слова; хотя некоторые из них выказывали определенные признаки недовольства, они продолжали терпеть беспокойство, не будучи в состоянии сосредоточиться ни задании.
Когда испытуемых спрашивали, почему, по их мнению, они так плохо выполнили тест, лишь немногие из них ссылались на музыку, а если и делали это, то оговаривались, что совсем не уверены, что именно онан была помехой. Лишь после настоятельных просьб исследователя рассказать об истинных переживаниях студенты признавались в том, что не могли сосредоточиться из-за музыки и даже злились на любителя рока; им хотелось вмешаться, но они так и не решились на это, успокаивая себя, что тест не настолько важен, чтобы предпринимать такой демарш. Однако, как показали дальнейшие исследования, при выполнении более «важных» тестов число терпеливых жертв не уменьшалось.
Мориарти и его сотрудники провели другой эксперимент, в котором подставные участники громко разговаривали в библиотеке колледжа или в кинозале, тем самым явно мешая сбоим ближайшим соседям. Лишь немногим более четверти последних реагировало на это, пересаживаясь на другое место. Остальные терпели...
В другом исследовании экспериментаторы создавали прямое столкновение жертвы со «злоумышленником». Последний выжидал момент.
МО ___________ Глава II_______________________________
когда какой-то челоЬек собирался выходить из .телефонной будки, и спрашивал его, не видел ли тот кольцо* которое он, кажется, забыл на коробке автомата. Получив, понятно, отрицательный ответ, «агрессор» продолжал настаивать: «А вы уверены? Некоторые берут чужие веши, сами того не замечая. Если вам не трудно, не могли бы вы вытряхнуть свои карманы?» В ответ на такую агрессию разозлился только один человек, трое других вежливо отказались, а остальные 80% вывернули карманы...
По мнению Мориарти, подобная пассивность - признак серьезной социальной проблемы. Она показывает, что из-за стрессов современной жизни и порождаемого ими чувства одиночества и,безликости люди, похоже, пришли к мысли, что немногое в этой жизни заслуживает защиты, в особенности от незнакомых людей. И Мориарти заключает: «Законы, которые не выполняются, перестают быть законами, а права, которые никто не защищает, очень быстро могут отмереть».
Источник: Moriarty T> A nation of willing victims, Psychology today* avrii 1975, p. 43-50.
Документ 11.9* Межличностное влечение зависит
и от обоняния
Устанавливая контакт с другими людьми, мы пользуемся не только зрением или слухом; по-видимому, определенную роль в том влечении или отвращении, которое мы испытываем к другим,людям, играет и обоняние.
Этологи уже показали, что многие животные используют для коммуникации с представителями своего вида секреты некоторых желез, маркируя ими границы своей территории или привлекая партнера для спаривания. Эти секреты получили поэтому название «социальных гормонов» или феромонов.
О роли обоняния в жизни человека известно пока очень немногое; однако такие выражения, как, например, «нос забит» (парадоксальным образом означающее, что человек ничего носом не чувствует), наводят на мысль, что этот орган чувств, безусловно, имеет более важное значение, чем мы обычно думаем.
Известно, что у женщин обоняние бывает особенно острым в период между наступлением половой зрелости и менопаузой, а до и после этого периода оно такое же, как у мужчин. По-видимому, острота обоняния у женщин колеблется и на протяжении менструального цикла, достигая максимума в момент овуляции. Чувствительность к запахам изменяется у них даже в течение суток; утром она выше, чем вечером.
Какую роль может играть обоняние в жизни человека?
Прежде всего каждый из нас, видимо, обладает своим индивидуальным запахом, который позволяет другим людям более или менее бессознательно идентифицировать нас «носом». Этот запах может быть
и другие .ttoOit I 11
различным б зависимости от цвета кожиг или цвета волос, а также от пола: мужчины и женщины издают разный запах вследствие того, что вырабатывают разные секреты, Особенно важную роль в возникновении между людьми влечения играют три группы веществ: секреты, вырабатываемые женскими половыми органами вещества, содержащиеся в моче мужчин, и компоненты пота*
Английские ученые обнаружили у самок макака-резуса после введения им эстрогенов пахучие секреты влагалища, вызывающие сильное половое возбуждение самцов. Оказалось, что эти вещества, которые авторы назвали «копулинами», представляют собой жирные кислоты и присутствуют также во влагалищных секретах женщин.
Моча взрослых мужчин содержит высокую концентрацию мускусного вещества, называемого экзальтолидом, чувствительность к которому у женщин намного выше, чем у мужчин или детей (Le Magnen, 1957),
Пот секретируется главным образом в подмышечных впадинах, где удерживается подмышечными волосами. Свежий пот имеет легкий запах, который, к сожалению, довольно быстро портится в результате ферментации, которой способствует ношение одежды.
Как сообщает этнолог Эйбл-Эйбесфельдт, представители некоторых племен Новой Гвинеи выражают свое дружеское расположение к уходящему, проводя у него рукой под мышкой, нюхая руку и затем втирая его запах в свою кожу, На Филиппинах любовники, которым предстоит долгая разлука, традиционно обмениваются ношенной одеждой, чтобы как можно дольше чувствовать запах любимого человека.
Крафф-Эбинг (Kraff-Ebing, 1840-1906), немецкий психиатр, прославившийся своей знаменитой книгой "Psychopathia sexualis", сообщает о признании одного молодого крестьянина, который приписывал свои многочисленные победы над женщинами тому, что во время танца он сначала «проводил носовым платком у себя под мышками, а потом вытирал им лицо партнерши».
Был проведен ряд экспериментов с альфа-андростенолом - феромоном, выделенным из мужского пота* Как показал Дёрден-Смит (Dur-den-Smith, 1980), присутствие этого вещества в воздухе приводило к тому, что испытуемые начинали находить изображенных на фотографиях мужчин и женщин более привлекательными и дольше, чем обычно, задерживались в телефонных будках с таким воздухом. Кроме того, женщины в зале ожидания или в театре чаще садились на те места, которые были пропитаны этим запахом2.
Принятые в нашем обществе представления о гигиене породили целый ряд обычаев-от регулярного приема ванны или душа до употребления всевозможных дезодорантов,-которые снизили до минимума
1 В романе А. Хейли «Корни» африканский вождь учит своего сына издалека узнавать белых по издаваемому ими запаху «мокрой курицы».
2 Цит. по Ratfms, „Psychologic generate", Montreal, Ed. HRW, 1985, p. 124.
м:
роль естественных запахов в нашей жизни. Переоценка сексуальных ценностей, быть может, вернет этим «телесным флюидам» утраченные ими права.
Источник: EHiot Af,-F,T Lcs odeurs de Гатоиг, Psychologie, Mars 1977, nc 86, p> 31 34.
Документ НЛО. Похвала и критика
Все мы-и мужчины и женщины - нуждаемся в похвалах тому, что мы сделали и что, на наш взгляд, стоило нам труда. А вот как мы принимаем критику? Как мы ведем себя по отношению к тем, кто «ради нашего же блага» обращает больше внимания на наши промахи? Предпочитаем ли мы таких людей тем, кто льстит нашему «Я»?
Аронсон и Линдер (Aronson* binder* 1965) попытались ответить на этот вопрос, поставив следующий опыт. На' протяжении семи экспериментальных сеансов «подставные» участники опыта высказывали похвальные или, наоборот, критические замечания по поводу выполнения заданий испытуемыми. В зависимости от инструкций, полученных «подставными лицами», создавались ситуации четырех типов. От одних людей испытуемые получали на протяжении всех семи сеансов только похвалу; от других-только критику; от третьих-на протяжении первых трех с половиной сеансов только критику, а в течение остального времени только одобрение; от четвертых-наоборот, одобрение в первых трех с половиной сеансах и систематическую критику в трех с половиной последующих.
Затем испытуемых попросили, не упоминая о сделанных в их адрес замечаниях, выразить свое отношение к различным участникам экспе римента, оценивавшим их деятельность.
Результаты изумили экспериментаторов. Прежде всего оказалось, что те «подставные лица», которые высказывали только критику, «нравились» испытуемым очень мало, но те, кто после одних только похвал принимался их критиковать, нравились еще меньше. Люди, все время выражавшие только одобрение, очень нравились испытуемым, но самого большого уважения удостоились те, кто сначала критиковал испытуемых, а потом стал хвалить их (рис. 1L22).
Как объяснить эти результаты? Возможно, что отрицательные отзывы вызывают у человека напряжение, а следующие за ними похвалы доставляют облегчение и потому особенно высоко оцениваются. А может быть, мы просто склонны придавать большее значение суждениям человека, умеющего критиковать, но, Главное, способного также оценить по достоинству наши качества.
Таким образом, можно, по-видимому, прослыть умным и проницательным человеком, если «сначала швырнуть в другого горшок, а уж потом бросить ему цветок». Поступая наоборот, можно прослыть человеком, который не знает, чего он хочет и что говорит. Чтобы завоевать расположение других, нужно так мало...
Че.ювок и другие моди
113
Рис. 11,22. Как показали Аронсон и Линдер» мы склонны особенно уважать тех людей» которые* покритиковав нас, способны затем оценить наши достоинства. Мы мало уважаем тех, с чьей стороны в наш адрес разлается только критика, но еще меньше тех, кто, похвалив нас, переходит вдруг на систематическую критику.
Документ 11.11. Парадоксальная коммуникация,
двойное принуждение и шизофрения
Парадоксальная коммуникация, лежащая в основе двойного принуждения, чаще всего принимает форму приказа, который «нужно выполнить, но выполнение которого состоит в том, чтобы проявить неповиновение»- Таким образом, парадоксальная коммуникация ставит участвующего в ней человека в «невыносимое положение».
По мнению Уотслэвика, парадоксальные приказания встречаются в повседневной жизни чаще, чем обычно думают; поэтому их осознание весьма важно для «психического здоровья партнеров, идет ли речь об отдельных людях, семьях, обществах или нациях». Вот несколько примеров, взятых из разных работ этого автора.
Первый пример - рецепт парадоксальной материнской коммуникации, который предлагает Гринсберг. Подарите своему сыну две спортивные рубашки. Как только он в первый раз наденет одну из них, печально на- него посмотрите и произнесите проникновенным голосом: «А другая,-она тебе не нравится?»
Другой пример показывает, что двойное принуждение можно понять в рамках системы, в которой не только «любая модель вызывает реакцию», но где «сама эта реакция упрочивает общую схему».
«Представим себе, что отец-алкоголик начинает вдруг запутывать своих детей, требуя от них, чтобы они относились к нему как к любя-
В 443

114_________._____________________t:iamt II______________________________
щему и нежному отцу, а не как к злому и жестокому пьянице, каковым он на самом деле и является. Теперь дети не должны обнаруживать страх, когда отец возвращается домой пьяным и угрожает им, так что им ничего не остается делать, как скрывать свое истинное отношение к нему и соглашаться на притворство. Но предположим, что после того, как они в этом преуспели, отец вдруг обвиняет их в том, что они* скрывая свой страх, обманывают его, т.е. обвиняет именно в том поведении, которое сам навязал им своим террором. Если дети теперь обнаружат страх, они будут наказаны, так как своим поведением напомнят отцу, что он опасный алкоголик; если же они скроют страх, их накажут за «неискренность»; а если они попытаются протестовать и установить метакоммуникацию (например, говоря отцу: «Посмотри, что ты с нами делаешь!.,»), они рискуют подвергнуться наказанию за «дерзость». Положение действительно невыносимое. Если вдруг кто-нибудь из детей решит выйти из него, притворившись, что видел дома «громадную черную гориллу, извергающую огонь», отец вполне может заподозрить ребенка в галлюцинациях. Любопытно, однако, что в данном контексте такое поведение, пожалуй, единственно возможное. В сообщении ребенка не содержится ни прямого указания на отца, ни отрицания причастности отца к ситуации; другими словами, ребенок указывает теперь причину своего страха, но делает это, как бы подразумевая, что причина страха совсем иная. Поскольку никаких черных горилл поблизости нет, ребенок по сути дела говорит: «Ты кажешься мне опасным зверем, от которого пахнет алкоголем»; но в то же самое время он отрицает это утверждение, прибегая к невинной метафоре, Один парадокс противоречит другому, и отец оказывается загнанным в угол. Он не может больше принуждать ребенка скрывать страх, поскольку тот боится не его> а какого-то воображаемого существа. Ht может он и изобличить ребенка в фантазировании, ибо тогда он должен будет признать, что он похож на опасного зверя, а вернее, что он сам и есть этот зверь».
Приведем, наконец, последний пример, показывающий, как попадают в ловушку после расшифровки сообщений, сделанных партнерами, что «уменьшает число возможных последующих ударов».
«Мать звонит психиатру по поводу своей дочери, страдающей шизофренией; она жалуется* что у девушки начался рецидив заболевания. Девять шансов из десяти за то, что эти слова матери просто означают: дочь выказала матери свою независимость м кое-что ей «ответила»- Например, дочь недавно переехала на новую квартиру, чтобы жить отдельно, что не совсем согласовывалось с планами матери. Врач попросил мать привести пример «аномального» поведения дочери. Мать ответила: «Ну вот, сегодня я хотела, чтобы она пришла ко мне обедать, и у нас было крупное объяснение, так как она сказала, что не хочет». Когда врач спросил, чем кончилось это объяснение, мать с некоторым раздражением ответила: «Ну, конечно же, я убедила ее прийти, потому что знаю> что на самом деле она хотела прийти, и у нее никогда не хватает духу отказать мне». Отказ дочери означает для
it tipyvitc .uoOit 115
матери, что на самом деле та хочет прийти, так как мать лучше ее знает, что происходит у той в «больном сознании»; согласие же дочери означает для матери лишь то, что у той никогда не хватает духу отказать. Таким образом, мать и дочь оказались жертвами парадоксального наклеивания ярлыков на сообщения».
Столкнувшись с невыносимой абсурдностью ситуации, человек, не способный к метакоммуникаций, может обнаружить одну из следующих реакций: '
L У него может сложиться впечатление, что какие-то существенные элементы ситуации от него ускользают, не позволяя ему уловить ее скрытый смысл, который другие, похоже, находят логичным и связным. В результате его охватывает потребность выявить эти элементы, и он кончает тем, что начинает принимать за них самые безобидные факты, не имеющие к ситуации существенного отношения.
2. Человек может реагировать на озадачивающую его логику ситуации, подчинившись всем ее требованиям и принимая их буквально, не делая различий между главным и второстепенным, правдоподобным и нереальным...
3* Наконец, он может полностью выйти из игры, отрезав все пути коммуникации и демонстрируя скрытность и неприступность.
В следующей главе будет показано, что каждая из этих трех схем поведения вызывает одну из трех форм шизофрении: параноидную, гебефренную или кататоническую. Действительно, как отмечают Бейт-сон и его сотрудники (Bateson et aL, 1956), когда человек «не в состоянии без основательной посторонней помощи расшифровывать и комментировать сообщения других людей», он «похож на саморегулирующуюся систему, лишившуюся своего регуляторного устройства; он обречен двигаться по спирали, совершая постоянные и всегда систематические искажения»; Уотслэвик добавляет к этому, что коммуникация шизофреника, уже сама по себе имеющая парадоксальный характер, накладывает печать парадоксальности и на его партнеров, так что создается порочный круг.
Источник; Waizlamch Р., МеЫкк-Beavin J,T Jackson D. (1967), Une logique de la communication, Paris, Seuil, 1972* p+ 21 lt 218-220.
Ouvragc collectif, La nouvellc communication, Paris, Seuil, 1981, p. 249-
-
Документ 11Л2- Любовь и истолкование улыбки
Жан тайно влюблен в Изабеллу, но не уверен, вызывает ли он у той ответное чувство, Ему хотелось бы знать, чем обусловлены ее улыбки при встречах - составляют ли они особенность ее манеры общения (внутренняя причина) или же они адресованы специально ему (внешняя причина) и, таким образом, имеют для него особое значение.
Жану известно, что большинство людей, испытывая чувство к другому человеку, выражают его главным образом улыбками (обычное поведение). Он замечает* что Изабелла всегда улыбается ему при встречу (постоянное поведение) и, с другой стороны, что она улыбается далеко
8*
116 Гмша П
не всем (отличающееся поведение). Таким образом, в соответствии со шкалой Келли Жан, по-видимому, мог бы объяснить поведение Изабеллы ситуацией (в данном случае-своим присутствием), а не просто складом личности девушки.
Прежде чем сделать окончательный вывод о том, что поведение Изабеллы свидетельствует о ее любви, он должен убедиться в двух вещах. Во-первых, в том, что поведение Изабеллы постоянно-что она улыбается не только тогда, когда хочет получить от него записи лекций (менее обычное поведение, обусловленное специфической внешней причиной) (см. примечание к схеме 11.1). Во-вторых, необходимо правильно расшифровать значение постоянного поведения Изабеллы. Как отмечает Эбби (Abbey, 1982), мужчины часто ошибаются в интерпретаций, принимая улыбку или интерес со стороны женщины за попытку обольщения или поиск интимного контакта. Поэтому не исключено, что Изабелла хочет всего-навсего наладить с Жаном прочные дружеские отношения, 1 Наверное, Жану проще всего было бы выяснить ситуацию, прямо спросив об этом девушку, пока улыбка не перестала быть избирательной,
г1
Резюме
ш ш
1. На самых разных уровнях-от атома до Вселенной-элементы объединяются в системы, которые в свою очередь образуют структуры со все более сложной организацией. Человек представляет собой лишь одно из звеньев этого континуума, а его равновесие и выживание возможно лишь в группе - составной части человеческого общества.
2. Размеры и защита территории зависят у человека от культуры, возраста, социального положения и т. п. Межличностная дистанция определяется степенью интимности отношения между людьми.
3. Окружающая среда и такие факторы, как перенаселенность, щум и загрязнение, иногда оказывают на людей пагубное влияние.
4. В каждой из групп, к которым принадлежит тот или иной человек, он занимает определенное социальное положение, с которым связана роль, позволяющая другим членам группы ожидать от него определенного поведения.
5. Существуют разные формы власти. Лидерство, по-видимому, зависит в основном от способности человека выдвинуться в тот момент, когда в группе ощущается в том потребность.
6. Конформизм развивается главным образом под влиянием социального давления; хотя в современном обществе альтруистическое поведение все еще продолжает играть важную роль, конформизм может стать причиной настоящей апатии у свидетелей драматических событий,
7. Влечение одного человека к другому определяется множеством факторов, В первую очередь это такие внешние факторы, как физическая близость, компетентность и взаимное вознаграждение.
8, Важную роль в коммуникации у людей играет невербальный язык, включающий выражение лица, телодвижения, прикосновения и голос.
и другие .mtdit N7
В любой момент сам характер общения между людьми составляет некую метакоммуникацию,, указывающую на то, как следует понимать передаваемую во время общения информацию. МетакймМуникация лежит в основе «двойного принуждения».
9, Наше восприятие других людей чаще всего основано на том впечатлении* которое они на нас произвели, а также на объяснении причин их поведения их внутренними склонностями или той ситуацией, в которой они оказались.
10, Стереотипы состоят из зачастую слишком привычных упрощенных представлений о других группах людей, о которых мы располагаем скудной информацией.
11. Установки имеют три измерения: когнитивное, аффективное и поведенческое. Они формируются с детства и «кристаллизуются» в возрасте от 20 до 30 лет*
12. Центральные установки изменяются всегда с большим трудом, чем периферические. Изменение установок зависит от множества факторов, связанных с качествами коммуникатора, характером информации и особенностями реципиента.
13, Когда наши убеждения приходят в противоречие с фактами, мы оказываемся в ситуации когнитивного диссонанса, выйти из которой можно, либо изменив установки, либо отвергнув факты или преуменьшив их значение, либо, наконец, найдя веские основания для сохранения прежних установок.
14. О предубеждении говорят в тех случаях, когда мы выносим свое суждение о других людях, даже не познакомившись с ними. Предубеждение позволяет, человеку успокоиться насчет ценности собственной персоны, а также направить свою агрессивность на «группу-мишень» во время кризиса.
Материал для самопроверки
Заполнить пробелы
L Животное маркирует.....вокруг гнезда или норы внутри своего жизненного ...... ,
2. Дистанция, позволяющая людям находиться друг от друга на расстоянии
вытянутой руки, называется.....; листании я, которая устанавливается между
людьми на собраниях и в аудиториях, называется......
3. К внешним факторам, способным вызвать серьезные нарушения психического равновесия человека, относятся...........и ...........
4. Социальное положение человека связано с его....., иа которую рассчитьь
вают другие члены группы и которая позволяет им.....определенного
поведения.
5. Власть.....обеспечивается доскональным знанием той или иной области
человеческой деятельности, что, например, характерно для-----и вообще......I
6+ Конформизм особенно сильно развивается в тех случаях, когда велико.....
конформности, а человек испытывает большую потребность в___; ,
7. Хотя человеческая история и изобилует примерами....., недавние наблю-
118 ___________ r.wtttt\ U_________________________ _
декия выявилк многочисленные случаи.....со стороны свидетелей.....
ситуаций, 3. Влечение, которое мы испытываем к другим людям, чаще всего связано
с такими.....особенностями, как..........,.....с нами, .....,......а
также.......
9+ Как полагает Мерабян, смысл слов передает ...., % содержания сообщения,
а выражение лица -.....%.
10. Невербальный язык включает........... ,.....,.........,.,......
11. Метакоммуникация представляет собой «коммуникацию над.....»л.е. над
тем, что буквально означает смысл......
12. ..... ., ♦,. представляет собой ситуацию, в которой никакой .**., невозможен,
13. Наше восприятие других людей основано на впечатлениях, на которые часто влияет эффект .л„ , когда доминирует какая-то одна черта личности, или эффект....., выражающийся в том, что наши первые впечатления наиболее ..... .
14. Каузальная атрибуция состоит ft том, что поведение других людей объясняют либо свойственными им ...., , либо . ♦..., в которых эти люди оказались,
15. Из-за стереотипов мы часто имеем о других людях....., сравнительно .....представление.
16. Установка имеет три измерения:.....,___. и......
17. Многие кз наших установок формируются в результате контакта с.....;
свою.....форму они* однако, приобретают в возрасте от.....до...........
18. Установка легче изменяется в том случае, если коммуникатор внушает......
если он говорит не слишком . ♦ ♦♦. , если он .....*«.,., и похож на нас самих,
19. Содержание передаваемого сообщения не должно слишком сильно.....от
мнения реципиента и должно показать ему, какие его могут ожидать.....,
если он не.....свою установку,
20. Наша.....к сообщению тем больше, чем больше оно нас......с учетом
сложившейся для нас....., наших.....и нашей ......
21. Механизм избирательного , Л,. позволяет человеку сохранять.....и.....
своих установок* но в то же самое время редко делает его более......
22. Согласно Фестингеру, стремление сохранить.....своих установок заставляет
нас делать все возможное, лишь бы.....возникающий....., и искать доводы, чтобы ..... себя, что сделанный нами выбор - наилучший,
23. Чтобы поддерживать высокий уровень___♦с другими людьми, мы склонны .....или даже.....расхождение между нашими и их установками.
24. О предубеждении говорят- в том случае, когда мы.....о человеке или
о группе людей, даже не.....с ними и не зная причин их ♦.....
25. Предубеждение, в частности, позволяет направлять.....на «группу-ми-
шеиъ», которой, таким образом, отводится роль...........
ъ
Верно нлн неверно?
1. Величина межличностной дистанции зависит от культурных традиций.
2. Во всех перенаселенных странах жители крупных городов испытывают серьезные проблемы, связанные с чувством одиночества, уходом в оебч и апатией.
3. В большинстве случаев человек выбирает свою социальную роль добровольно.
4. Достижение человеком власти чаще всего зависит от обстоятельств или даже от случая, а не от его внутренних качеств.
5. Влияние, которое может оказать какое-то меньшинство на остальных людей, очень мало зависит от стиля поведения этого меньшинства.
ПУ
6. Взаимное влечение двух людей определяется главным образом внутренними качествами каждого из них,
7. Коммуникация основывается на всем поведении человека в целом,
8. В отличие от стран с латинской культурой в странах с англосаксонской культурой прикосновение играет большую роль в коммуникации.
9. Метакоммуникация-это такая форма коммуникации, которая уже сама по себе является сообщением, указывающим на то, как следует понимать передаваемую информацию.
10. Эффект ореола состоит в том, что, усмотрев в человеке какое-то главное (по нашему мнению) качество, мы склонны видеть у него и другие свойства, гармонирующие с этим качеством,
11. Мы склонны чаще объяснять поведение другого человека внешними причинами, нежели внутренними*
. Стереотип - это сравнительно объективное представление о группе людей, с
которой у нас были ограниченные контакты*
, -Устанозхн «выкристаллизовываются» в период от 12 до 20 лет, и впоследствии изменить их очень трудно.
14. Если коммуникатор внушает доверие для изменения установок совсем не требуется, чтобы терминология, которой он пользуется, была доступна реципиенту.
15- В сообщении, преследующем цель изменить установку, часто можно с успехом использовать информацию, апеллирующую к страху.
16. Сообщение может изменить установку реципиента благодаря механизму избирательного восприятия.
17. В случае когнитивного диссонанса мы всячески стараемся обосновать слелан-ный нами выбор.
18. Попытки достичь когнитивного равновесия часто приводят к изменению наших аффективных отношений с другими людьми,
19. Предубеждение всегда означает, что суждение о другом человеке или группе людей выносится a priori.
20. Авторитарная личность менее подвержена предрассудкам, чем прочие люди.
Выбрать правильный ответ
1. Свою территорию животные
а) разделяют с другими сородичами;
б) ожесточенно защищают от всякого вторжения;
в) защищают от сородичей; !
г) ограничивают толысо тем местом, где расположено гнездо или нора.
2. Чрезмерная плотность населения чаще всего усиливает у людей
а) чувство одиночества;
б) чувство «анонимности»;
в) уход в себя.
г) Все ответы верны.
3+ Чрезмерный уровень шума может вызвать у людей
а) уменьшение агрессивности;
б) усиление взаимопомощи;
в) ухудшение-успеваемости в школе.
г) Вес ответы верны.
4. Социальные роли связаны
а) с социальным положением;
б) с поведением, которого ждут от человека другие члены группы;
i:oПтм и
в) с фактическим поведением человека.
г) Вес ответы верны,
5. Власть человека, представляющего существующий порядок, называется
а) законной;
б) властью вознаграждения;
в) принудительной;
г) властью эксперта.
6. Конформизму особенно сильно подвержены
а) очень дисциплинированные люди;
б) сравнительно умные люди;
в) люди, неустойчивые к стрессу.
г) Ни один из ответов не верен.
7. Апатию свидетелей в критических ситуациях можно объяснить
а) «распылением» ответственности;
б) уменьшением остроты ситуации;
в) боязнью принять решение в присутствии других.
г) Все ответы верны.
8. Вероятность увлечься другим человеком возрастает, если он
а) часто находится поблизости;
б) обладает качествами, противоположными нашим собственным;
в) компетентен в тех областяхФ в которых мы сами плохо разбираемся.
г) Все ответы верны.
9. Интерес к другому человеку можно невербально выразить
а) помещенными на бедра руками;
б) пронзительным голосом;
в} пристальным взглядом, устремленным на собеседника, г) Ни один из ответов не верен.
10. Двойное принуждение
а) мешает людям общаться на уровне метакоммуникации;
б) связано с невозможностью выбора;
в) позволяет избежать шизофренического поведения.
г) Ни один из ответов не верен.
11. Склонность объяснять все поведение человека на основе тех качеств* которые, на наш взгляд, являются у него главными, называется эффектом
а) первичности;
б) ореола;
в) плацебо;
г) Пигмалиона.
12. Согласно Келли, мы объясняем поведение человека внутренними причинами, если это поведение является
а) постоянным, мало отличающимся и необычным 6} постоянным, отличающимся и обычным;
в) непостоянным, мало отличающимся и необычным.
г) Ни один из ответов не верен. 13+ Стереотипы
а) представляют собой результат нашего личного опыта;
б) укрепляются при тесном общении с другой группой людей;
в) всегда являются предубеждениями.
г) Ни один из ответов не верен* 14." Установки
а) определяются только нашими мнениями и убеждениями;
б) являются результатом тех влияний которым мы подвергаемся с детства;
4t\iotiVK if другие люди 121
в) с большим трудом изменяются после 20-го года жизни.
г) Все ответы верны.
15. Коммуникатору легче воздействовать на наши установки, если он
а) внушает доверие;
б) любезен;
в) похож на нас самих.
г) Все ответы верны.
16. Для того чтобы сообщение звучало убедительно, оно должно
а) не слишком сильно отличаться от мнения реципиента;
б) часто видоизменяться;
в) взывать главным образом к страху.
г) Ни один из ответов не верен.
17. Реципиент сообщения склонен
а) легко менять свои установки;
б) объективно расшифровывать сообщение;
в) проявлять избирательность восприятия.
г) Все ответы верны.
18. Если мы стараемся.убедить себя, что сделанный нами выбор -наилучший, мы тем самым пытаемся - .
а) усилить когнитивный диссонанс;
б) создать когнитивное равновесие между своими чувствами и поведением;
а) увеличить когнитивное расхождение, г) Ни один ответ не верен,
19. Согласно теории когнитивного равновесия, мы склонны и) убеждать себя, что другие согласны с нашим мнением;
б) преуменьшать расхождение между собственным мнением и мнением других;
в) избегать установок, нарушающих наши взаимоотношения с другими людьми.
г) Вес ответы верны.
20. Предубеждения
а) чаще всего создаются у авторитарной личности;
б) основаны на потребности человека удостовериться в ценности собственной персоны;
в) позволяют направить агрессивность людей на «группу-мишень».
г) Все ответы верны.
Ответы
Заполнить пробелы
1 - территорию, пространства; 2-личной, публичной; 3 - перенаселенность, шум, загрязнение среды; 4-ролью, ожидать; 5эксперта, ученого, профессионала; 6-давление, одобрении; 7-альтруизма, апатии, критических; 8 - внешними, физическая привлекательность, сходство, комплементарность, компетентность, взаимное вознаграждение; 9-7, 55; 10-выражение лица, взгляд, телодвижения, прикосновения* голос; 11 - коммуникацией, сообщения; 12-«Двойное принуждение», выбор; 13-ореола, первичности, стойки; 14-поведение, склонностями, ситуация; 15-расхожес. упрощенное; 16 - когнитивное, аффективное, поведенческое; 17 -родителями, окончательную, 20, 30 лет; 18 доверие, быстро, привлекателен, любезен; 19-отличаться, последствия, изменит; 20-восприимчивость, касается, ситуации* нужд, цели; 21-восприятия, стабильность, согласованность, объективным; 22 непротиворечивость, ослабить, диссонанс, убедить; 23 согласия, преуменьшить, отрицать; 24-судим, познакомившись, поведения; 25 -агрессивность, «козла отпущения».
Верно или неверно?
1-В; 2 Н; 3-Н; 4-В; 5- Н; 6 Н; 7-В; 8- Н; 9-В; 10-В; П-В; 12 Н; 13-Н; 14-Н; 15-В; 16-Н; 17-В; 18-Н; 19-В; 20-Н. . .
Выбрать правильный ответ
1 -в; 2-г; 3-в; 4-г; 5-а; 6-в; 7-г; 8-а; 9-в; 10-6; 11-6; 12-г; 13-г; 15~г; 16-а; 17™в; 18-г; 19-6; 20-г.
Литература
Aronson E.r Under D,E. (1965), "Gain and loss of csteenf as determinants of interpersonal attractiveness", Journal of Experimental Social Psychology, n° 1, p. 156-171,
Asch S. £*, 1951. "Effects of group pressure on the modification and distortion of judgments", in: H. Geutskow {Ed.)> Groups, leadership and men, Pittsburgh (Pa), Carnegie.
Baieson G, 0972\ Vers une ecologie de Fesprit, tomes 1 et II, Paris, Ed, du Seuil 1977 et 1980,
Beilharz R*G*t Mykea P.J. (1963). "Social position and movement orders of dairy heifers", Animal behavior, n° 11, p, 533.
Bickman L.T Teger A.7 Gahriele TT Mclaughlin С Berger M*. Sunday E> (1973). tLDormitory density and helping behavior, Environment and behavior, n° 5, p. 46S-490.
Carbons T (1975). "Stylistic variables as related to source of credibility: A content analysis approach", Speech Monographs, n* 42, p, 99-106.
Cohen S>, Glass D, Дт SmgerJ.E. (1973). "Apartment noise, auditory discrimination, and reading ability in children1", Journal of Experimental Social Psychology, n° 9, p. 407-422.
Constanzo P.R* (1970). Conformity and development as function of self-blame", Journal of Personality and Social Psychology, h° J4, 366-374.
Crutchfield R.S. (1955). "Conformity and Character", American Psychologist, n° 10t ' p, 191-198.
Donnerstein E.t Wilson D. W, (1976). "Effects of noise and perceived control on ongoing and subsequent aggressive behavior", Journal of Personality and Social Psychology, n° 34 (5), p. 774-781.
Durden-Smith J.P 1980. "How to win the mating game by a nose", Next, nov.-dec., p. 85-89.
Festinger L,P 1957. A theory of cognitive dissonance, Stanford, CaL Stanford University Press.
French J*R.P.t Jr., Raven B.t 1959. "The basis of social power, in: D. Cartwright (Ed.)» Studies in social power, Ann Harbor. Mich. Institute of Social Research, p. 150-167.
Hall E. T.r 1966. The hidden dimension, New York, Doubieday.
Heider F.t 1958. The psychology of interpersonal relations, New York, Wiley.
Hess E.H. (1965). "The role of pupil size in communication"* Scientific American, n&223 (5), p. 110-119.
Hefting C.K.* Botzmon E.¥ Dalrymple S.t Graves N,, Pierce CM. (1966). t4An experimental study in nurse-physician relationships", Journal of Nervous and Mental Disease, ng 143, p. 171-180/
Jones E.E., KwtduseD.K, Kelly НИ., Nisbett R.E., Valietts S., Werner W, 1971. Attribution: Perceiving the cause of behavior, New York, General Learning Press»
U
Kelfcy ILH.T 1967, Attribution theory in social psychology", in: D. Levine (Ed), Nebraska symposium on motivation, Lincoln, Neb., University of Nebraska Press.
Kteinke C.L, (1977), "Compliance ю requests made by gazing and touching experimenters in field settings'4, Journal of Experimental Social Psychology, n° 13, p. 218-223.
La\ane В.. Dariey J.Xf., 1970. The unresponsive bystander: Why doesn't he help?, New York, Applet on- On tury-Crofis.
Le Maqnen J,f 1952. "Phenomenes olfacto*sexucts chez Thorn me*', Archives de Psychologie.
Leyetts J P., 1979. Psychologic sociate, Bruxelles, j*. Mardaga ed.
Mehrabian A.. 1972. Nonverbal commtinicatton, Chicago, Aldine Atherton.
Miller N+P Maruyama G,f Beaber R.J.. Valone K. (1976), "Speed of speech and persuasion", Journal of Personality and Social Psychology, n 34, P. 615-624.
Montmollin G* de, 1977. L'in/Iuencc social Phcnomtnes, factcurs et theories, Paris, PUP. '
Moscovki S.. 1979. Psychologic des minorites actives, Paris, PUF,
Page R. A. (1977), *Noise and helping behavior44, Environment and Behavior, n° 9, p. 311-334.
Schjeiderup-Ebbe 7; (1913). Social behavior in Birds", Handbook of Social Psychology, С М urchin son (Ed.), Worcester, Mass., Clark University Press 1935* p, 947-972,
Watztawick P., Beavin J.//., Jackson D,D. (19.67)* Une logique dc La communication, Paris, Ed, du Scuii, 1972,
Wilder D. (1977). "Perception of groups, size of opposition and social influence", Journal of Experimental Social Psychology, n° 13, p+ 253 268.
Zilman D>, Baron R.A., Tamborim R. i\9b\). **SociaJ costs of smoking- Effects of tobacco smoke in hostile behavior", Journal of Applied Social Psychology, nc tl (6), p. 548- 56J.
Глава 12 «Иные»
Введение
Вот мы и подошли к последней главе книги. В предшествующих главах мы пытались разобраться, как человек воспринимает чувствует, обучается, думает, говорит, творит ..., как развиваются эти разнообразные процессы и каким образом они позволяют человеку взаимодействовать с другими людьми.
Хотя мы нередко обращали внимание на те препятствия, которые могут помешать развитию человека, до сих пор предполагалось, что мы все проходим в общих чертах сходный, как бы идеальный и более или менее стандартный жизненный путь, который приводит каждого к отвечающим его природе целям. Иными словами* до сих пор мы рассматривали некоего «абстрактного» человека, противостоящего жизеш вообще.
Еще раз повторим, однако, что каждый человек уникален, и в каждом отдельном случае речь идет о жизни, восприятиях, переживаниях, потребностях, планах и трудностях данного человека. Сталкиваясь с затруднениями, он волей-неволей повседневно приспосабливается к окружающей его физической и социальной среде, приносящей ему удовлетворение или порождающей у него тревогу и стресс.
В таких бесконечных «переговорах» с окружающим миром и другими людьми большинству удается сохранять относительное равновесие. Однако некоторые люди, слишком хрупкие или плохо подготовленные к жизни, «спотыкаются» в самом начале жизненного пути или позднее, когда жизнь подвергает их серьезным испытаниям. Их необычное, неадаптивное, аномальное поведение привлекает к ним внимание других, а потом их оттесняют в сторону, отчуждают и превращают в «иных»* В результате общество часто берет на себя «ответственность» за таких людей, которая в лучшем случае оборачивается помощью а в худшем-изоляцией или попыткой насильственного возвращения к нормальной жизни.
Тревога и стресс
Как говорилось в главе 6, живое существо, ведущее непрерывую борьбу за свою адаптацию, снабжено такими механизмами, как эмоции и в особенности тревога, которые обеспечивают ему достаточную подготовку к действиям в новой или «кризисной» ситуации. Такие
125
механизмы, свойственные высшим животным, должны были играть важную роль в поведении наших предков, выживание которых существенным образом зависело от способности к «противостоянию».
Современная жизнь, однако» сильно изменила условия нашего существования, так что эта готовность к противостоянию становится все менее нужной для того, чтобы выжить. Между тем соответствующие механизмы сохраняются и продолжают действовать в самых разнообразных обстоятельствах, имеющих лишь очень отдаленное отношение к выживанию: во время разлуки, при потере близкого человека, при столкновении с новыми социальными ситуациями, при усилиях, необходимых для успеха в учебе и профессиональной деятельности, и т.д.
С физиологической точки зрения тревога не отличается от страха. Она сопровождается ускорением ритма сердца, подъемом кровяного давления, угнетением деятельности пищеварительного аппарата, легким потоотделением и т.п. Главное отличие состоит в том, что тревога вызывает активацию организма до того, как происходит ожидаемое событие.
Обычно тревога представляет собой преходящее состояние, она ослабевает, как только человек действительно сталкивается с ожидаемой ситуацией* Бывает, однако, и так, что ожидание, порождающее тревогу, затягивается, и организм вынужден тогда затрачивать много энергии для поддержания своей «дееспособности». В результате развивается состояние стресса, при котором организм проходит последовательные этапы синдрома адаптации,, описанного Селье (см. гл. 6),
К несчастью, стресс нередко приводит к весьма печальным последствиям в виде различных физиологических нарушений. Чаще всего это головные боли1 и язва желудка (см. документ 6.10), но бывают и другие расстройства, обусловленные причинами эмоционального порядка: артериальная гипертензия> артрит* астма (если только она не аллергического происхождения), колиты и даже некоторые формы стенокардии. Такие расстройства называют психосоматическими.
Другие последствия стресса носят более выраженный психический характер, Так* отмечаются нарушения на уровне личности, способные привести к полной дезорганизации поведения и отрыву от реальности, что побуждает окружающих людей задумываться о смысле подобной трансформации.
Вопрос, имеющий центральное значение для объяснения человеческо-
1 Головная боль обусловлена длительным возбуждением нервных волокон, окружающих кровеносные сосуды, ответственные за кровоснабжение черепа; эти сосуды находятся в состоянии хронического расширения из-за постоянной потребности лицевых мышц, напряженных вследствие тревоги или досады* в притоке насыщенной кислородом крови. Хроническое расширение сосудов приводит к освобождению проста г лан дина Е2, который участвует в возникновении болевых сигналов и синтез которого может блокироваться аспирином.
|26______________________________ Гмиж t:_____________________________________
го поведения, можно сформулировать следующим образом: какое поведение следует считать нормальным'! От ответа на него зависит и то, как следует определять отклонение, какой смысл нужно вкладывать в это понятие и, главное, в каких случаях поведение человека можно расценивать как «аномальное».
Что такое аномальное поведение?
Объективною ответа на этот вопрос не существует. Он зависит исключительно от тех критериев, которые приняты у представителей данной культуры в определенную историческую эпоху. То, что вчера считалось ненормальным, завтра, возможно, будет казаться нормальным, а то} что нам представляется неприемлемым, иногда очень хорошо вписывается в жизнь других народов.
Необходимо также различать критерии, которыми пользуются другие люди, определяя поведение раздражающего или вызывающего у них недоумение человека как «ненормальное», от тех критериев, которыми при этом пользуется сам этот человек, характеризуя, например, свое состояние, когда он не способен преодолеть собственное расстройство или даже просто сообщить о нем.
Как правило, чем реже встречается та или иная форма поведения, тем больше вероятность, что ее будут воспринимать как аномальную. Как и в случае интеллекта (см. гл. 9), речь идет здесь о статистическом критерии, позволяющем утверждать, что от 2 до 3% людей по обе стороны от того большинства, которое ведет себя более или менее «нормально», окажутся люди соответственно «слишком» или «недостаточно» общительные, беспокойные, организованные и т.д.1
Чаще всего, однако, «ненормальным» считают человека, «вышедшего из всех нормальных рамок», все поведение которого идет вразрез с ценностями, привычками или установками других людей.
Поведение будет считаться тем «ненормальнее», чем больше опасности оно будет представлять для самого человека или для окружающих. В качестве примеров можно привести суицидальные действия, злоупотребление наркотиками или поведение, создающее угрозу для общественного порядка.
Одним из критериев аномальности может быть тот факт, что «расшифровка» окружающего мира головным мозгом происходит у данного человека не так, как у других. Из главы 5 мы уже знаем, что наше восприятие действительности организуется и «стандартизируется» головным мозгом, важная функция которого состоит в фильтрации внешних сигналов. Всякое отклонение от «нормальной» расшифровки
1 Считают* что в США у 10% детей есть шансы на то, что на протяжении жизни у них возникнет какое-либо психическое расстройство. Фактически в психологической помощи или поддержке нуждаются 3-4% американцев.
127
этих сигналов связано с риском неправильной адаптации. Именно так обстоит дело у людей с нарушениями слуха или обоняния, а также у тех, кто склонен воспринимать взгляды и жесты других людей как враждебные или3 наоборот, как самые благожелательные.
Кроме того* дело может заключаться и в изменении уровня сознания, связанном с его «помрачением», что может стать причиной зрительных или слуховых галлюцинаций. Такого рода частые погружения во внутренний мир нормально воспринимаются лишь у некоторых народов, где их рассматриваю! как способ общения с «потусторонним миром». Как говорилось в главе 4, западная культура единственно нормальным состоянием сознания признает экстравертированное сознание.
Но еще сильнее, чем перечисленные симптомы, внимание к человеку могут привлечь эмоциональные нарушения, например преувеличенные проявления грусти или гнева, безосновательные страхи или депрессия» вызванная травмирующим событием, преодолевать которую человек не в состоянии,
Наконец, бывает, что и без каких-либо эмоциональных расстройств человек оказывается неспособным преодолеть жизненный стресс, что ведет к уходу, в себя или просто уединению и тем самым к разрыву нормальных путей общения с другими людьми.
Таким образом, понятие нормы весьма неоднозначно, и если вдуматься, то можно прийти к выводу, что четкой границы между «приемлемым» и «неприемлемым» нет. Не существует и «идеальной» нормы. Всякий человек в той или иной степени ненормален. Просто у отдельных людей некоторые свойства выражены сильнее, чем у остальных, и поэтому такие люди нуждаются в поддержке, чтобы адаптироваться (см. документ 12 Л).
Споры начинаются тогда, когда нужно решить, какой должна быть эта поддержка-социальной, психологической или медицинской. Выбор, который в этих случаях необходимо сделать, по существу, зависит от того подхода, к которому прибегают в попытках объяснить аномальное поведение, а также определяется историей борьбы с «безумием» в нашем обществе.
i
Некоторые подходы к пониманию аномального поведения
Демонология
На протяжении всего средневековья безумие считалось следствием одержимости бесом. Аномальное поведение человека объясняли присутствием «злого духа», которого во что бы то ни стало нужно было изгнать с помощью заклинаний и дурного с ним обращения. Чаще всего, однако, подобные меры не действовали; церковь пребывала в убеждении, что ведьмы и колдуны заключили с дьяволом нерасторжимый договор, и поэтому их нужно просто уничтожать* сжигая на костре. В 1484 году
Г\шва 12


____

Рис. 12. К Уверенность в том* что психические расстройства связаны с одержи-мостью бесом, приводила к изобретению различных способов избавления человека от дьявола. В средние века «ведьм» сжигали (А). Всего только столетие назад некоторые медики проповедовали насильственные методы борьбы с безумием (Б), а другие, как это видно из рисунка 1S80 года (В), пытались успокаивать безумных, помещая их в специальные клетки.
папа Иннокентий VII издал даже специальную буллу, призывавшую духовенство к безжалостному истреблению «ведьм».
На протяжении последующих столетий «безумцев» продолжали подвергать изоляции, избегая общения с ними или даже изгоняя их. В некоторых странах их бросали в тюрьмы, где гноили вместе с преступниками. В других странах их помещали на особые суда-«корабли сумасшедших», которые спускались по рекам, время от времени останавливаясь у пристаней, где из этого устраивали зрелища для публики (Foucault, 1972),
В XVI и XVII веках начинают (особенно в Англии) открываться приюты для умалишенных, предназначенные для изоляции лиц с психическими расстройствами. Здесь, однако, их ждала не более завидная участь, чем в тюрьмах. Очень часто их заковывали в цепи или сажали в клетки, чтобы утихомирить (рис+ 12.1).
Только в конце XVIII века безумием занялась медицинская наука1, назвав это расстройство, подобно органическим нарушениям, болезнью. Такое признание привело к рождению психиатрии и возникновению понятия «психическое заболевание».
1 Это событие связывают с именем французского врача Пинеля; на одной из картин того времени изображено, как он приказывает снять цепи с «безумных и умалишенных» (рис.
«Иные»
129
..

Рис, 12.2. Филипп Пинель был первым врачом, который в 1792 году потребовал освободить «умалишенных», содержавшихся в приюте Бисетр в Париже, от сковывавших их цепей и начал относиться к ним как к психически «больным» людям. Этот гуманный акт открыл эру психиатрии.
Медицинский подход
На протяжении XIX столетия ученые исследовали симптомы различных психических нарушений, описывали и классифицировали их, а также разрабатывали методы лечения того или иного расстройства с целью вернуть больного к нормальной жизни.
В 1883 году немецкий психиатр Крепелин опубликовал первое «Руководство по психиатрии», в котором даются названия, описания и систематика «душевных болезней».
Веру людей в медицину укрепило и открытие вакцинации французским ученым Луи Пастером, показавшим, что причиной многих болезней являются микроорганизмы, в частности бактерии. Разработанные позднее методы лечения сифилиса и тифа1, при которых, как известно, возможны психические осложнения, подкрепили мысль о том, что у всех душевных болезней есть свои органические причины.
В cbokJ очередь неврологические исследования показали, насколько тесно некоторые области мозга связаны с такими функциями, как речь и отдельные специфические формы поведения.
Что касается наследуемости психических болезней, то результаты наблюдений над близнецами, родители которых страдали такими
1 Третичный сифилис может приводить к утрате контроля над мышцами, к слепоте, глухоте и серьезным психическим нарушениям. Тиф в определенной стадии сопровождается сильной лихорадкой и делирием (бредом).
9 44.1
UP ___________________ ___________I .uirut /-?
болезнями, большей частью интерпретировались учеными в пользу представлений об их наследственной передаче1.
Наконец, в 50-е годы нынешнего столетия бурное развитие психофармакологии и открытие успокаивающего или возбуждающего действия некоторых лекарственных препаратов вселило во всех психиатров веру в то, что в контроле нашего поведения, возможно, участвуют биологические механизмы. Это стало еще более правдоподобным, когда в 70-е годы была выявлена роль нейромедиаторов, недостаток или избыток которых в организме, по-видимому, играет важную роль в развитии некоторых поведенческих расстройств.
Психоаналитический подход
Один психиатр прославился тем, что предложил психологическую модель, объясняющую возникновение «душевной болезни». Речь идет о Фрейде и его теории психоанализа.
Напомним, что, гласно Фрейду, мысли и поведение человека по большей части имеют бессознательную природу. Чаще всего они возникают в результате конфликта между связанным с реальностью сознанием, с одной стороны, и подсознательными сексуальными или агрессивными побуждениями-с другой.
Кроме того, Фрейд показал, что некоторые симптомы у больных можно снять, «высвободив» под гипнозом эмоции и чувства, связанные с определенными травматизирующими событиями, пережитыми в детстве, а затем подавленные. Так, у одной из пациенток Фрейда нормальное дыхание восстановилось после того, как под гипнозом ей стало понятно чувство вины, пережитое одним душным вечером, когда, бодрствуя у изголовья умирающего отца, она захотела оставить его и уйти на какой-то праздник. По Фрейду, этот пример позволяет объяснить, каким образом подавление молодой девушкой своих потребностей привело к конфликту, проявившемуся впоследствии на физиологическом уровне.
Психическая структура личности
Многочисленные наблюдения, которые позднее сделал Фрейд над своими пациентами, привели его к разработке нового варианта своей теории, позволившего, по его словам, лучше понять динамику человеческого поведения. Речь идет о гипотезе, согласно которой любой поступок человека является результатом конфликта между различными психическими структурами2, обозначенными Фрейдом как «Оно», «Я» и «Сверх-Я» (рис. 123).
1 Этот вопрос подробнее будет обсуждаться в настоящей главе дальше, при рассмотрении шизофрении.
2 Речь идет здесь о гипотетических структурах* относящихся к области мысли и/ таким образом, не имеющих под собой какой-либо реальной физиологической основы.
«Иные»

Рис. 12.Э. Три структуры личности, связанные, по Фрейду, с разными уровнями сознания. «Я» и «Сверх-Я» представлены в сознании слабо, подобно тому как над поверхностью воды выступает лишь верхушка айсберга. Между структурами личности существуют зоны конфликтов, которые способны дестабилизировать личность, если ее «Я» не обладает достаточной силой, чтобы восстановить между этими структурами равновесие*
«Оно» представляет собой совокупность биологических влечений и потребностей (в том числе сексуальных), составляющих часть наследственного багажа ребенка при его появлении на свет и требующих лишь возможности проявиться вовне и получить удовлетворение. Таким образом, «Оно» имеет по преимуществу подсознательную природу и руководствуется принципом удовольствия.
«Я» - психическая структура, постепенно освобождающаяся от контакта с внешней средой. Мало-помалу «Я» приобретает способность определять, какие влечения, смотря по обстоятельствам, могут найти удовлетворение, а какие нет. «Я», таким образом, руководствуется принципом реальности, позволяющим ему в любой момент времени оценить уместность или выполнимость действий, мотивируемых потребностями «Оно».
Наконец, «Сверх-Я» представляет собой структуру, образующуюся под влиянием социальной среды и ее запретов. Она формируется во время процесса социализации и постепенно принимает на себя функцию нравственного сознания, оценивающего с точки зрения «добра» и «зла» каждый поступок человека, планируемый его «Я» под давлением «Оно». Именно «Сверх-Я» лежит в основе чувства вины, которое испытывает «Я», принимая решение об удовлетворении какой-либо потребности. Так, например, обстоят дело при разрядке сексуального напряжения с помощью мастурбации, что нередко сопровождается чувством «греха»,
|?2 ______________________Глава !J_________._________________________
обусловленным воспитанием и ложными представлениями относительно этой практики.
Таким образом, между тремя психическими структурами неизбежны конфликты, и от того, как они разрешаются, зависит ориентация наших поступков. Реалистическое разрешение этих конфликтов свидетельствует о сильном «Я», способном в любую минуту взвесить требования «Оно» и давление со стороны «Сверх-Я» и таким образом определить, какой поступок будет самым целесообразным и самым логичным. Подобные рассуждения, однако, носят довольно утопичный характер: большинство из нас не имеет ничего общего с тем холодным и трезвомыслящим существом, которое способно было бы придерживаться такой установки,
Наоборот, очень часто фрустрации, которые под давлением «Сверх-Я» испытывает «Оно», побуждают «Я» снимать напряжение с помощью различных «выпускных клапанов», таких, например, как агрессивное поведение, обращение к алкоголю или психотропным веществам (включая не только курение табака или прием транквилизаторов), а также использование механизмов психологической защиты.
» «Я» и механизмы психологической защиты
Если человек не способен эффективно контролировать некоторые жизненные ситуации, на помощь ему приходят механизмы психологической защиты «Я», обеспечивающие ему бессознательную компенсацию этой неспособности и осл_абляюшие связанные с ней стресс и тревогу. Такие механизмы дают человеку возможность достичь удовлетворения потребностей-иногда реального, а чаще воображаемого или слишком сильно оторванного от реальности - путем отрицания или искажения действительности или же отрицания тех представлений и побуждений, которые порождают тревогу (см. документ 12.2).
Механизмы психологической защиты, изученные Фрейдом и его дочерью Анной весьма многообразны. Рассмотрим самые главные из них.
Чаще всего человек прибегает к такому защитному механизму, как подавление. Как мы уже знаем, оно состоит в вытеснении желания или конфликтной ситуации в область подсознательного. Речь идет об активном забывании подобного психического материала, который, однако, сохраняет весь свой динамический потенциал в виде подавленного влечения. Во время гипноза или некоторых сомнамбулических состояний может произойти его вспоминание.
Реактивное обучение предполагает принятие человеком чувств и поступков, противоположных тем, что были вытеснены им, с целью еще более сильного их подавления. Этот защитный механизм лежит в основе многих черт характера. Он особенно свойствен слишком мягким и слишком сострадательным людям, матерям, чересчур озабоченным опасностями, которые могут угрожать их детям, ит.п,
Отрицание и отвергание* напротив, выражаются в бессознательном отказе допустить существование определенных фактов или в трансфор-
« Ииы?»
133

Рис. 12.4. He является ли искусство хирурга результатом сублимации садистских побуждений, подавленных в детском возрасте?
мировании реальности с целью приспособить ее к своему поведению. Сказанное относится, например, к ребенку, который ночью идет по плохо освещенной дороге и при этом громко поет, или к человеку, который знает, что он неизлечимо болен, но продолжает' при этом заниматься прежней работой, избегая всяческих разговоров о своей болезни и даже строя долгосрочные планы.
Вытеснение означает замену недостижимой цели другой целью, вполне достижимой. Этот защитный механизм можно проиллюстрировать классическим примером человека, который дает пинка своей собаке, вернувшись с работы, где он целый день должен был безропотно сносить недовольство и претензии своего начальника.
Сублимация представляет собой разновидность вытеснения, приносящую человеку реальное удовлетворение. Она заключается в том, что человек ориентирует свое поведение на достижение цели более высокой, чем та, которая была поставлена первоначально, но оказалась недостижимой. Так может обстоять дело со всяким, кто остановил свой выбор на какой-то любимой профессии, продуктивно работает и добивается тем самым социального признания. Любимое занятие для такдех людей-своего рода замена удовлетворения психических побуэцдений, блокированных в детстве. Так, ребенок, которому не позволяли играть со своими экскрементами, может впоследствии преуспеть в гончарном ремесле, а дети, у которых подавлялись садистские наклонности, могут стать мясниками или хирургами (рис. 12.4).
Проекция состоит в наделении других людей собственными чувствами, неприемлемыми с точки зрения «Сверх-Я». «Почему ты больше меня не любишь?»- спрашивает такой человек у своей любовницы, которую подсознательно уже хотел бы бросить сам.
Рационализация заключается в поиске удобных причин для оправдания невозможности совершить тот или иной поступок или, наоборот, в поиске убедительного обоснования неприемлемого поведения: «Эта девочка слишком глупа, чтобы тратить на нее время»,-говорит молодой человек, ухаживания которого остались без внимания...
Человек прибегает к подобным механизмам психологической защи-
134 ______________ Пава 12________________________________
ты (за исключением разве что сублимации) только как к крайнему средству. Речь идет о стратегиях, требующих огромных затрат энергии, отдачей от которых чаще всего будет лишь иллюзорное удовлетворение. Они только частично и на очень короткое время могут ослабить тревогу, порожденную конфликтом.
Как бы то ни было, механизмы психологической защиты все-таки служат средством борьбы с тревогой, пока человек не найдет более рационального способа разрешения проблемы или конфликта.
Только в тех случаях, когда к психологической защите человек прибегает систематически, во всех порождающих тревогу ситуациях, или когда он слишком сильно искажает действительность, что приводит к развитию неадекватного поведения (мытье рук десятками раз на дню, необъяснимая боязнь некоторых мест, страх перед безобидными животными и т. п.), можно считать, что у него развивается состояние, которое Фрейд назвал неврозом (см. документ 12.4).
Бывает, однако, и так, что из-за чрезмерного развития процессов вытеснения дезорганизуется вся личность в целом. Возникающий в результате отрыв от реальности и выход «Оно» из-под контроля двух других психических структур приводят человека к деградации и уходу от мира, что уже характерно для психоза.
Бихевиористский подход
Медицинский и психоаналитический подходы к аномальному поведению акцентируют внимание на внутренних причинах поведенческих расстройств. Напротив, бихевиористы видят в аномальном поведении, как и во всяком другом, результат научения и поэтому считают, что причины его могут быть только внешними. Страх, вызванный Уотсоном и его сотрудницей у маленького Альберта, убедительно свидетельствует, на их взгляд, о том, что развитие у человека разнообразных нарушений можно объяснить просто-напросто классическим обусловливанием (см. документ 7Л).
С точки зрения бихевиорйстов, воздействие внешней среды как источника подкрепления в основном позволяет понять, каким образом ослабевают одни формы поведения и на их месте возникают другие, в том числе аномальные, подкрепляемые факторами окружения. Следует, кроме того, отметить, что во многих случаях на процесс обусловливания накладывается и социальное научение путем наблюдения над «моделью». Например, при воспитании ребенка в преступной среде весьма вероятно, что у него выработается антисоциальное поведение; точно так же воспитание, сопровождающееся сильным подавлением сексуальности, может привести к появлению в зрелом возрасте психосексуальных расстройств. Здесь уместно вспомнить и о том, как, по мнению Селитмена, развиваются чувства бессилия и неудачи по принципу научения на основе депрессии (см, досье 7Л),
Такие более серьезные расстройства личности, как шизофреническое поведение, бихевиористы объясняют бегством от реальности, которое,
«Иные»
по их мнению, для некоторых людей оказывается самым действенным средством спасения от жизненного стресса. Как мы увидим дальше, этому объяснению соответствуют и предлагаемые бихевиористами методы терапии.
Когнитивный подход
Этот подход основан на том принципе, что чувства и действия человека перестают соответствовать ситуации, после того как он начинает расшифровывать эту ситуацию, пользуясь иррациональными и потому неадекватными соображениями. Например, эмоциональное расстройство, сопровождаемое чувством тревоги и бессилия, связано скорее с ложной когнитивной интерпретацией человеком тех или иных событий, нежели с самими этими событиями.
Эллис (Ellis, 1962) выделил ряд иррациональных представлений, которые, по его мнению, бывают причиной большинства неадекватных поступков человека. Вот некоторые из них: «главное - заставить всех, с кем приходится сталкиваться, полюбить себя»; «важно всегда проявлять компетентность, вести себя, сообразуясь с обстоятельствами, и доводить до успешного конца любое начинание»; «переживать жизнь как катастрофу, если события развертываются не так, как того хотелось бы»; «людей, желающих нам зла, следует всегда порицать и наказывать»; «против суровой жизненной реальности всегда можно найти эффективное средство»,
Подобные представления покоятся на заложенных в каждого из нас глубинных потребностях (потребность рассчитывать на поддержку других, потребность быть любимым, проявлять свою компетентность и т. п.), удовлетворение которых необходимо для душевного равновесия. Весь парадокс, однако, заключается в том что, поскольку мы приписываем этим потребностям чрезмерное значение, их удовлетворение становится

В
Рис, 12.5. Согласно теории ABC Эллиса, причиной стресса (С) и вызываемых им фрустрации или неадаптивного поведения бывает не столько сама ситуация (А), сколько связанные с нею убеждения (В),
очень трудной или даже невыполнимой задачей, а сами мы при этом испытываем эмоциональные расстройства и тревогу,
В своей «теории ABC» Эллис (Ellis , 1976) показывает, каким образом эмоциональную реакцию (С) человек чаще всего приписывает «активирующему событию» (А), тогда как на самом деле она обусловлена теми представлениями (В) об этом событии, которые имеются у человека (рис. 12.5).
Так, стресс (С), в результате которого студент может провалиться на экзамене, вызван скорее мыслью, что «ему ни за что его не сдать» (В), нежели содержанием самого экзамена (А). Очень часто для того, чтобы исправить положение, достаточно лишь объективно оценить ситуацию, рассмотрев каждый ее аспект с разумной точки зрения и осознав, что «это еще не конец света». Именно так и следует поступать в большинстве жизненных обстоятельств, имея в виду их материальные, социальные или аффективные последствия.
Гуманистический подход
ш
В главе 10 мы рассмотрели развитие личности с точки зрения гуманистической психологии. Напомним, что в теории личности по Роджерсу центральным понятием является «реальное Я», т.е. те представления, которые человек имеет о самом себе* своих восприятиях, ценностях, чувствах и установках.
По мнению Роджерса, с одной стороны, индивидуум стремится привести в соответствие с этими представлениями о самом себе, т, е. со своим «реальным Я», как можно больше своих внешних переживаний. С другой стороны, он пытается сблизить представление о самом себе с теми глубинными переживаниями, которые составляют его «идеальное Я» и соответствуют тому, чем он хотел бы быть. Таким образом, «реальное Я» может так и не достичь соответствия «идеальному Я»-либо из-за того, что под давлением внешних обстоятельств человек вынужден отказывать себе в определенном жизненном опыте, либо потому, что он навязывает себе такие чувства, ценности или установки, которые только отдаляют его «реальное Я» от «идеального».

Рис. 12.6. По Роджерсу, тревога и неадаптивные формы поведения возникают в результате несоответствия между «реальным Я», страдающим под бременем тех или иных жизненных обстоятельств, и глубинными чувствами человека» составляющими его «идеальное Я»,
«Иные» 137
Тревога и нарушение психологической адаптации могут быть результатом несоответствия между «реальным Я» и жизненным опытом, с одной стороны, и между «реальным Я» и тем идеальным образом, который сложился у человека о себе самом,-с другой (рис. 12.6).
Социо-культ) рный подход
В 60-е годы появилось новое течение, развиваемое главным образом психиатрами и вновь поставившее во главу угла те представления о психических нарушениях, которых придерживались обычные люди и особенно представители традиционной психиатрии.
Согласно этому подходу, «безумных» порождает само общество своим отношением к аномальному поведению и его истолкованием. Ведь психическое заболевание, как отмечает Szasz, представляет собой не то, что человек «имеет», а скорее то, «чем он является» или «что делает» и к чему бессознательно стремится. Таким образом, по мнению этого автора, психическое заболевание-это миф. Приклеивая ярлык психически больного человеку, которому просто несколько труднее жить, чем другим людям \ с него снимают ответственность за его проблемы, что и побуждает его вести себя как подобает «больному».
Как уже говорилось в главе 10, наше восприятие поведения других людей значит для нас гораздо больше, чем само по себе это поведение. В этом смысле, как полагает Гофман (Goffman> 1961), ярлык, наклееный на человека, поведение которого выходит за рамки принятых норм, способен лишь подкрепить ту интерпретацию его поведения, которую мы собираемся сделать, а изменить наше собственное поведение ло отношению к нему. Все это может привести к одиночеству человека «с ярлыком» и к еще большей неспособности его общаться с другими. Чаще всего такая изоляция приводит его в больницу, условия которой таковы, что имевшаяся аномалия достигает крайней степени, а это в свою очередь более или менее ясно «подтверждает» поставленный ранее диагноз,
Лэинг (Laing)2 тоже отвергает медицинский подход к психическим нарушениям, основанный на классификации симптомов* которые, по его мнению, представляют собой просто-напросто «досужие вымыслы» в попытке постичь неизвестное. Согласно Лэянгу, больной становится шизофреником не сам по себе, а благодаря обществу, которое его таковым делает; поэтому в первую очередь следует изменить общество и отношения между людьми. С этой точки зрения кризис, переживаемый больным, важно интерпретировать не как симптом деструкции, а как
1 См+ в документе 11,10, как Бейтсон интерпретирует ситуацию двойного принуждения, в которой оказался ребенок-шизофреник,
2 Лэинг возглавляет направление, вызывающее в Англии многочисленные споры, которое Купер назвал «антивсихиатрией» и которое пытается доказать, что существует иной, способ борьбы с психическими страданиями, отличный от подхода официальной психиатрии.
I ЗУ______________________________ I'.matt 12__________ .__________________
признак выздоровления, и единственное, чем можно помочь человеку в преодолении кризиса- это сопровождать и поддерживать его, продвигаясь с ним по этому пути бок о бок, чтобы помочь ему «вновь обрести себя» на другом конце туннеля. По мнению Лэинга, бесполезно и ошибочно будет тянуть пациента назад с помощью шоковой терапии, чтобы вновь затолкать его в ту среду, из которой он хотел выбраться, укрывшись в иной сфере бытия.
Классификация психических расстройств
Как мы видим, главное расхождение между сторонниками медицинского подхода и психиатрами, стоящими на более психологических позициях и сосредоточенных на психической динамике самого человека, касается самого понятия «психическое заболевание» и вопроса о том, кого следует считать «психически больным».
Попытку Крепелина описать и классифицировать «психические болезни» по их симптомам в рамках медицинской модели повторила Американская психиатрическая ассоциация. В 1980 году она опубликовала третье издание «Руководства по диагностике и статистике психических нарушений» (DSM 1III). Авторы этой книги попытались придать единообразие классификации психических расстройств и характеризующих их симптомов с целью выработать единый международный язык психиатрии,
В разных изданиях «Руководства» прослеживается эволюция понятий психиатрии. Так, еще во втором издании книги (DSMII), вышедшем в 1968 году, сохранялось крупное, введенное еще Фрейдом подразделение психических расстройств на неврозы возникающие вследствие внутреннего конфликта, и психозы, проявляющиеся в неспособности адаптироваться к реальности. К этой последней категории в DSMII относились органические психозы, связанные с ухудшением физического состояния нервной системы, и функциональные психозы, физиологическая основа которых неизвестна.
В DSMIII предпочтение отдано классификации психических рас-стройств* основанной не на гипотетическом объяснении их причин, а скорее на видимых проявлениях аномалий поведения. Так, два больших класса расстройств разделяются на 17 диагностических категорий1,
1 „Diagnostic and Statistical Manual of Mental Disorders первое издание вышло в 1952 г,
2 К этому первому диагностическому подразделению авторы добавили еще четыре; во втором из них делается попытка отразить черты личности пациента, в третьем рассматриваются сопутствующие физические нарушения. Наконец, в четвертом подразделении* связанном с прогнозом заболеваний и их терапией, авторы пытаются определить уровень стресса, который мог испытывать больной перед развитием у него расстройства, а в пятом оценивается его способность противостоять жизненным трудностям.
«Иные» 139.
Таблица 12Л, Диагностические категории психических
расстройств (no DSM IIT)
Л. Тяжелые психические расстройства.
1. Расстройства, свойственные детскому и подростковому возрасту
- Умственная отсталость
- Расстройства внимания (например, гиперактивность)
- Расстройства поведения ([агрессивное или недостаточно социализированное поведение)
- Расстройства, сопровождающиеся тревогой
- Расстройства, связанные с потреблением пищи (анорексия, булимия)
- Стереотипные движения (тики)
- Расстройства с физическими проявлениями (энурез, эн коп рез) Доминантные нарушения развития (например, аутизм)
2. Психические расстройства органического происхождения
Сенильные и пресенидьные деменции
Расстройства, вызванные лекарственными препаратами
(отравления, галлюцинации, амнезии „.)
3. Расстройства/связанные с приемом лекарственных препаратов
- Зависимость, привыкание, передозировка
4. Шизофренические расстройства
- Несистематизированная шизофрения
- Кататоническая шизофрения
- Параноидная шизофрения Шизофрения неопределенного типа
5. Параноидные расстройства
- Паранойя
6. Неклассифицированные психотические расстройства
- Острые психотические шизофрениформные или шизоаффектнвные реакции
7* Аффективные расстройства
- Биполярные расстройства Глубокая депрессия
- Прочие специфические аффективные расстройства (депрессивнаи невроз и др.)
8. Расстройства, связанные с тревогой Фобии
- Панические расстройства
- Обсессивно-компульсивные расстройства
- Посттравматические расстройства 9* Соматоформные расстройства
- Конверсионные расстройства Соматизированные расстройства
- Ипохондрия
10. Диссоциативные расстройства
- Психогенная амнезия Психогенный летучий бред
- Множественная личность
- Расстройства, связанные с деперсонализацией 1 L Психосексуальные расстройства
- Расстройства, связанные с половой идентификацией Парафилии
- Нарушения половой функции Прочие психосексуальные расстройства
12. Симулированные расстройства
13. Расстройства контроля побуждений
- Клептомания Пиромания и т.п.
140Гита 1:
Продолжение табл. 12.1
14. Расстройства адаптации
Расстройства поведенческой адаптации на работе, в школе и т.д.
15. Психологические факторы, влияющие на физическое состояние
16. Состояния, не связанные с психическими расстройствами, но требующие внимания или коррекции
- Антисоциальные формы поведения
Трудности, связанные с телесными особенностями, супружескими и родительскими отношениями т.п.
В. Расстройства личности Личность: параноидная шизоидная
- «избегающая» пассивно-агрессивная
- зависимая гистрионическая компулъсивная
- нарциссическая антисоциальная
охватывающих все аспекты человеческого поведения (см. табл. 12Л).
Чтобы было видно, что органическая природа доказана лишь для небольшой части психических расстройств, мы, однако, разделили эти категории DSMIII на четыре группы следующим образом:
1. Расстройства, свойственные детскому и подростковому возрасту
(1).
JL Расстройства органического происхождения (2 и
III. Функциональные расстройства (4-11).
IV. Расстройства личности.
Расстройства, свойственные детскому и подростковому возрасту
К этой категории относятся различные поведенческие нарушения, свойственные ранним периодам жизни человека. Среди них - расстройства мышления, связанные с умственной отсталостью, эмоциональные нарушения -на основе гиперактивности, антисоциальное поведение или поведение, вызванное разлукой с матерью или каким-либо другим близким человеком, расстройства аппетита {булимия и анорексия), нарушения сна и контроля экскреторных функций {энурез и эикопрез), а также детский аутизм (см. документ 12,3).
Расстройства органического происхождения
Расстройства, связанные с физическими аномалиями или отравлениями
1. Опухоли представляют собой аномально развивающуюся ткань, которая при своем росте давит на окружающую нервную ткань (доброкачественная опухоль) или прорастает в нее (злокачественная опухоль); опухоль может стать причиной аффективных расстройств или афазий (см. документ 8.4}.
2. Отравление такими веществами, как окись углерода, свинец, мышьяк, алкоголь или лекарственные препараты, может быть причиной некоторых состояний спутанности сознания \ сопровождающихся беспокойством, сильным возбуждением больного или, наоборот, ступором2.
Спутанность сознания представляет собой острое психическое нарушение, и если оно не сопровождается существенным изменением тканей, то оно может пройти с исчезновением вызвавшей его причины.
Расстройства, связанные со старением
Старость может сопровождаться, в частности, и патологическим старением нервной системы. Этот процесс лежит в основе старческого слабоумия (деменции), т.е. необратимой дезорганизацией личности как в интеллектуальном, так и в аффективном плане. Различают два типа деменоди- дегенеративную и артериопатическую.
Дегенеративные деменции, как свидетельствует само их название, связаны с дегенерацией ансамблей нервных клеток, образующих так называемые сенилъные бляшки. Из дегенеративных нарушений чаще всего встречается болезнь Альцгеймера, которой страдают от 3 до 5% всех людей старше 65 лет, а иногда и 50-летние, Для этого заболевания характерна прогрессирующая неспособность больного организовать свою повседневную жизнь; вскоре добавляются расстройства восприятия места и времени и нарушение кратковременной памяти, а затем и потеря контроля над когнитивными, речевыми и, наконец, физиологическими функциями (рис. 12.7). Так, постепенно забывая назначение самых
1 Острое алкогольное отравление может вызвать особую форму спутанности сознания, известную как корсаковскип синдром. Этот синдром проявляется в амнезиях* пространственной дезориентации и склонности к придумыванию необыкновенных историй с целью заполнить провалы в памяти. Хронический же алкоголик, испытывающий потребность в выпивке, нередко становится жертвой приступа белой горячки (delirium tremens), сопровождающейся дрожанием рук, языка и губ, а также галлюцинациями, при которых ему кажется, что на него нападают страшные животные, а он от них должен отчаянно «защищаться»; от такой «защиты» часто страдают окружающие.
2 Нарушения, связанные с употреблением психотропных препаратов, рассматривались в главе 4,
142
Глава 12
Рис, 12,7, Болезнь Альцгеймера, которая иногда может начаться в 40 50 лет, приводит к постепенной деградации, доходящей до потери памяти на места и лица и исчезновения способности к самоидентификации и речи.
обычных предметов, человек в конце концов перестает идентифицировать собственную личность, затем разговаривать, улыбаться, и у него остается только сосательный рефлекс. Развитие этой болезни могут ускорить другие физические недуги или сильный психический стресс. Единственный способ замедлить прогрессиройание болезни состоит в том, чтобы поддерживать у больного ощущение жизни и тесную связь с окружающими,
Артернолатнческая деменция связана с изменениями сосудистой системы, снабжающей кровью головной мозг. Это результат многочисленных мелких инфарктов в мозгу, приводящих к заметному ослаблению притока крови и, как следствие, к гибели нервных клеток. Человек становится чрезмерно эмоциональным, но его жесты мало-помалу замедляются; ему все труднее сосредоточить внимание на каком-то определенном деле, а дефекты памяти день ото дня усиливаются. Осознание больным всех этих нарушений лишь увеличивает его страдания.
Функциональные расстройства
Функциональные расстройства составляют большую часть психических нарушений. Речь идет о нарушениях, для которых пока еще не удалось выявить причинного фактора органической природы. Это главным образом расстройства поведения или психических функций, связанные, видимо, с изменением деятельности нервной системы; они серьезно затрудняют или делают невозможными нормальные способы адаптации к социальным коллизиям. Прежде эти нарушения относили к категории психозов или неврозов (см. документ 12,4),
Шизофренические расстройства
В США более четверти всех больных, подвергавшихся лечению по поводу поведенческих нарушений, имели диагноз «шизофрения», и около 50% последних были моложе 25 лет (Blum, 1978). Речь идет о людях, у которых выявляется дезорганизация поведения, в том числе и тех,
143

Рис. 12.8. Ужас, объявший эту женщину и сквозящий в ос взгляде, полностью отрезает се от других людей и перекрывает все пути к нормальному общению. Это как раз тот случай, когда человеку приклеивают ярлык «шизофрения».
которые чувствуют себя «вполне адаптированными». Восприятие, а
также форма и содержание мыслей у них изменены. Жесты теряют свое значение, и в результате отношения с внешним миром прерываются (рис. 12.8).
Проблема, с которой сталкивается психиатрия* имея дело с этим расстройством, заключается, однако, в том, что о нем трудно говорить .как об одном психическом заболевании; неспособность психиатрии рассматривать его иначе приводит к тому, что в эту плохо отграниченную категорию попадают очень многие больные (см, документы 4.6).
До сих пор не выявлено с определенностью ни одного биологического фактора, который позволял бы объяснить развитие этого расстройства, В некоторых исследованиях на близнецах делались попытки показать, что эти факторы имеют генетическую природу. Однако, как и при изучении наследственной передачи умственных способностей, в таких случаях всегда трудно определить, становится ли ребенок шизофреником в результате того, что он унаследовал определенные гены от родителей-шизофреников, или потому, что он ими воспитывался1.
Лучше изучены факторы окружающей среды, о роли которых выдвигались различные гипотезы. Делались попытки объяснить поведение тлйзофреника реакцией на чрезмерную заботливость, пренебрежительное отношение или подавляющее влияние матери, часто повторяющимися ситуациями «двойного принуждения» (см, гл. 11), разрывом привязанностей в детском возрасте или же, наконец (согласно бихевиористам), воздействием в детстве факторов социального подкрепления, способствовавших выработке аномального поведения.
Тот факт, что далеко не все, с кем обращались подобным образом в детстве, попадают впоследствии в психиатрические больницы, наводит на мысль, что у некоторых людей, видимо, имеется наследственная
1 Согласно одной из биохимических гипотез, за развитие шизофрении ответствен дофамин, избыток которого в синапсах отмечается у многих шизофреников; не известно, однако, каким образом в этом случае действует дофамин и является ли этот избыток дофамина наследственным или приобретенным признаком (Owen et aU L978),
144 Г.шви 12
у

Рис, 12.9, Неподвижность, которую часами может сохранять этот человек* полностью оторванный от внешнего мира, является главным симптомом шизофрении кататонического типа.
предрасположенность или «прирожденная хрупкость», делающая их более чувствительными к травмирующим факторам среды. Таким образом, возникновение шизофренических расстройств, так же как и развитие умственных способностей (см. досье 9.1), лучше всего объясняет эпигенетический подход.
По классификации DSMIII существуют четыре типа шизофрении:
1. Несистематизированная шизофрения, для которой характерны спутанность мышления, бред и галлюцинации, не связанные с какой-то определенной темой, и, наконец, эмоциональные переживания, проявляющиеся неадекватно или причудливым образом. -
2. Кататоническая форма с характерными особенностями психомоторного поведения: больной способен часами сохранять одну и ту же позу или внезапно, без воздействия каких-либо внешних стимулов, переходить к бурной двигательной активности (рис. 12.9).
3. Параноидная форма с бредом величия или преследования, который сопровождается галлюцинациями, но не связан с какой-либо узкой темой,
4. Шизофрения неопределенного типа, которая включает все случаи заболевания, не относящиеся к трем описанным выше категориям.
Параноидные расстройства
DSMI1 относит к этой категории стойкие формы бреда, четко увязанные с манией величия, преследования или ревности, превращающейся у больного в навязчивую идею. В таких случаях говорят о паранойе.
«Иные» 145
днако бывает трудно определить» в какой момент человек начинает одить от действительности в мир собственных интерпретаций и в ка-•й мере его параноидные расстройства не связаны с такими физическими фектами, как, например, глухота, или с такими внешними обстоя-льствамн, как одиночество после переезда на новое местожительство.
Л
ффективные расстройства
Шизофренические и параноидные расстройства проявляются главным >разом в когнитивной области, не сопровождаясь сколько-нибудь [ачительными отклонениями в эмоциональной сфере. В тех случаях, >гда в поведении проявляется утрата контроля в эмоциональном плане, шример чрезмерный прилив энергии или, набборрт» глубокая депрес-1Я, говорят об аффективных расстройствах.
Согласно DSMIII, биполярное расстройство характеризуется чере-званием двух состояний -маниакального, когда больной крайне воз-утсден, говорит без умолку, перескакивая с ойной мысли на другую, или у и дело разражается невротическим смехом, и глубокой депрессии, эвергающей больного в состояние полной пассивности* пронизанной /вством бесполезности и ничтожности жизни 1.
Глубокая депрессия может быть и единственным «полюсом» аф-ективного расстройства. Речь идет в этом случае о доходящей, до гчаяния тоске, сопровождающейся болезненными мыслями и отказом т пищи или просто нежеланием покидать постель.
Невротическая депрессия отличается меньшей тяжесть) и чаще всего озникает в результате утомления или стресса. Она выражается в более ли менее сознательном отказе от всякой деятельности, которая теряет ля человека смысл.
Тревожные состояния
-, Наряду с соматоформными и диссоциативными расстройствами, *чь о которых пойдет в последующих разделах, тревожные состояния ходят в группу заболеваний, названных Фрейдом неврозами,- иррациональных форм поведения, когда человек при столкновении с ситуацией, юрождающей тревогу, не может преодолеть ее обычными способами, ю не теряет при этом контакта с реальностью. Характерная особен-юсть тревожных состояний - четко выраженное переживание тревога, которая может быть либо генерализованной (как в случае панических уасстройств),, либо связанной с каким-либо предметом, мыслью или действием (как при фобиях и обсессивно-компульсивных расстройствах). Фобии* Фобия представляет собой иррациональную, сильную и не
1 Повидимому, «стабилизатором настроения» при маниакально-депресснв- состояниях может служить карбонат лития, который влияет на метаболизм
юра дрена ли на в головном мозгу* Однако его терапевтические дозы при этом
приближаются к токсическим.
0-443
146
Глава 12

Рис. 12Л0, Фобия-сильн| нальная и беспочвенная что у других людей стр* вает. Как у вас обстоит
хом перед шеями, кото] начисто лишена эта, ма| вочка?
имеющую под собой реальной основы боязнь чего-либо
пространства (например, страх перед площадями, парками магазинами при агорафобии), тесного замкнутого простра] клаустрофобии), высоты (при акрофобии), безобидных жив< зоофобии) или какого-либо объекта (обычно живого), котор] людей чрезмерного страха не вызывает (рис. 12.10),
Панические расстройства. Эти расстройства, которые Фре! неврозами ужаса, в отличие от фобий характеризуются генера, тревогой возникающей вне связи с какой-либо определенной Они проявляются в виде приступов, сопровождающихся сер, обильным отделением пота и иногда доходящих до потери Больной осознаёт, что его «ужас» иррационален, но сопротив. не в состоянии.
Обсесснвно-компульснвные расстройства. Эти расстройства] ются в мыслях или побуждениях, которые принимают на] характер (обсессия) и часто порождают непреодолимое желаз шить определенное действие, чтобы освободиться от тревоги (koi Человек осознает иррациональность и бесполезность таких и потому постоянно «разрывается» между желанием совер| и удерживаться от них. Чаще всего компульсивные, навязчивые связаны со страхом перед микробами и состоят в «ритуально! тех или иных частей тела*
Соматоформные расстройства
Речь идет о расстройствах с физическими симптомами, жалуется на паралич или на боли в груди, не обнаруживая щ однако, никаких органических признаков заболевания.
Коверснонные расстройства. Аномалии этого типа Фрейд и
«Иные»
147
усионной истерией. Речь идет о нарушении какой-либо физиологи-|й функции организма, проявляющемся в виде паралича конечности, юго тика, полной или частичной потере голоса, ригидности руки |огиэ внезапной слепоте и т. п. Хотя такие симптомы и развиваются тствие каких бы то ни было физических аномалий, больные их не мруют. Их причину следует искать в психической сфере> предпо-что больной пытается разрешить бессознательный конфликт, ертируя» его в соматическую сферу.
матиэнрованные расстройства. В отличие от конверсии сомати-не сопровождается какими-либо соматическими симптомами, K жалуется на болезненные ощущения, не имеющие четкой [изации, что заставляет его обращаться к разным врачам и одно за пробовать разные лекарства, ни одно из которых ему не ает. Самая большая трудность, связанная с этим видом рас-;тв, обычно развивающихся у лиц моложе 30 лет, состоит в том, ;ловек отказывается принять психологическое объяснение своей [и и часто бывает убежден, что помочь ему может только хирурги-вмешательство.
|охондрня. Это преувеличенная озабоченнсють собственным эдо-[, свойственная некоторым людям зрелого возраста. Как правило, [забоченность касается состояния определенного органа или [то болезни, о которой человек узнал из телевизионной программы ючитал в журнале и все симптомы которой он у себя находит, (ость к «ипохондрическому синдрому» обнаруживают иногда ;нты, изучающие медицину и психологию, когда они приобретают о физической и психической патологии человека1.
щативные расстройства
расстройства, так же как и соматоформные, Фрейд относил ;рическим неврозам. Новая классификация, предлагаемая в [I, выделяет их в особую категорию, подчеркивая то, что дис-
[вные расстройства представляют собой способ избежать стресса «конверсии» внутреннего конфликта в соматическую сферу,
[ощью внезапных сдвигов на уровне памяти, моторного поведе* [ентификации или сознания,
|хогенная амнезия-это амнезия, развивающаяся без видимой фи-й причины в результате психического шока или стресса. Речь вдет |случае об активном «забывании», избирательно затрагивающем
1ким образом, среди соматических расстройств, обусловленных психо-;ими причинами, следует различать:
[сихосоматические расстройства, симптомы которых связаны с опреде-' | органом;
ж вереи онные расстройства, симптомы которых связаны с определенной организма;
расстройства, симптомы которых человек воображает.
148 Гита /2

Рис. 12 Л, Множественная личность - крайне редко встречающаяся аномалия, Ее проявления не раз становились главной темой романов и таких фнль* мов, как, например, «Три лика Евы».
одно или несколько травмировавших человека событий. Другими словами, те события, которые человек забывает, «отложились у него в памяти» независимо от всех прочих воспоминаний, которые при этом сохраняются полностью.
Психогенное бегство заключается в том, что человек резко порывает со своим прежним образом жизни, с тем чтобы в другом месте начать новую жизнь как другое «Я». Когда через некоторое время человек восстанавливает свое прежнее «Я», весь эпизод «бегства» выпадает у него из памяти.
Множественная личность свойственна человеку, у которого в разные периоды времени проявляются как бы разные личности, обладающие высокой сложностью и целостностью. Каждая из таких «временных» личностей позволяет человеку переживать чувства и побуждения, коiO-рые его «главная» личность отвергает и постоянно игнорирует (Schreiber, 1978), Известны случаи когда в одном человеке таким образом чередовалось более 20 разных личностей (рис, 12Л1). :
Деперсонализация характеризуется потерей контакта человека с повседневностью, что приводит его к восприятию жизни как сновидения и к формированию у него впечатления, что вое его мысли и действия находятся вне его контроля*,
Психосексуальные расстройства
Существуют многочисленные формы проявления сексуальности, которые только обогащают половую жизнь партнеров, В этом смысле даже девиантное (отклоняющееся) поведение нельзя расценивать как патологию, если оно проявляется людьми добровольно. Поэтому к психосексуальным расстройствам причисляются в DSMIII только случаи нарушений половой идентификации, сексуальных отклонений, ориентированных на необычные объекты, нарушений половых функций или тревоги, связанной с гомосексуализмом.
Нарушение половой идентификации включает главным образом транссексуализм, т.е. желание быть существом противоположного пола. По-видимому, гормональное лечение и хирургическое вмешательство
1 Это расстройство не следует смешивать с шизофренией, при которой имеет место полный отрыв от реальности. В случае диссоциативных расстройств человек нормально «функционирует» во всех тех сферах, которые воспринимает его личность.
«Иные» 149
Рис. 12.12. Травестизм характеризуется желанием одеваться и вести себя как лицо противоположного пола.
с целью сформировать пенис у женщины, желающей превратиться в мужчину, или женских половых органов у мужчины, желающего стать женщиной, могут сделать жизнь таких людей более привлекательной.
Известны также разнообразные парафилин-отклонения, при которых сексуальное удовлетворение связано с необычными объектами или формами- активности. Главным образом у мужчин встречается тра-вестизМъ т. е, потребность одеваться и вести себя по-женски, но притом без какого-либо желания изменить пол или уступать в гомосексуальные отношения (рис. 12J2). Фетишизм состоит в том, что половое влечение и возбуждение провоцируется лишь какой-нибудь одной частью тела (например, пальцем ноги) или неодушевленным предметом (нейлоновым чулком, туфлей, женским нижним бельем и т. п.). Зоофилия связана с предпочтением сексуальных отношений с животными. Педофилия характеризуется влечением к детям» не достигшим половой зрелости, как к сексуальным партнерам. Похоже, однако, что в этом случае целью сексуальных отношений скорее бывают легкие прикосновения, нежели половой акт, и что, вопреки распространенному мнению, гораздо чаще встречаются случаи гетеросексуального, а не гомосексуального влечения 1. Вуайеризм представляет собой расстройство, при котором человек способен получать половое удовлетворение, только наблюдая за незнакомыми людьми, участвующими в сексуальной активности, без их ведома. Эксгибиционизм состоит в том> что человек испытывает сексуальное возбуждение от неожиданного эффекта, который у посторонних производит обнажение им половых органов (по большей части, однако, эксгибиционист не ищет полового контакта с посторонними).
Садизм и мазохизм-психосексуальные отклонения, первое из которых выражается в потребности причинять партнеру страдания, а второе — в потребности быть униженным и страдать, чтобы достичь
1 К.тому же в 85% случаев в таких отношениях участвует друг семьи или знакомый.
150
-Глава 12
Рис. 12.13. В середине 70-х годов возникло сильное движение протеста гомосексуалистов, отстаивавших свои права на тот образ жизни; который соответствовал бы их природным склонностям.
сексуального удовлетворения. Как уже отмечалось, о психосексуальной аномалии в таких случаях можно говорить только тогда, когда половой партнер садиста не является мазохистом, и наоборот.
Одну из психосексуальнх проблем составляет нарушение половой функции. Оно может быть связано у мужчин либо с полной неспособностью к достижению или поддержанию эрекции (половое бессилие), либо с неспособностью контролировать рефлекс эякуляции (преждевременная эякуляция), а у женщин-с отсутствием полового возбуждения, неспособностью достичь оргазма (аноргазмия) или с полным или частичным противодействием влагалища проникновению пениса вследствие непроизвольных спазмов (вагинизм). .
Эгодистоннческнн гомосексуализм-единственный вид расстройства, связанных с гомосексуализмом, который рассматривается в DSMIII. Он свойствен людям, у которых гомосексуальное поведение сопровождается тревогой и сильным чувством вины. Можно, однако, задаться вопросом: не идет ли в данном случае речь о расстройстве, для существования которого было бы гораздо меньше причин, если бы общество относилось к гомосексуальной ориентации более терпимо?
«Иные» 151
Нарушения контроля побуждений
Это формы патологического поведения, связанные с неодолимой потребностью совершать определенные действия; красть без всяких видимых на то оснований {клептомания), совершать поджоги {пиромания) или убивать других людей без какой-либо причины, которая позволила бы объяснить приступ подобной мании убийства.
Расстройства личности
О расстройствах личности говорят только в тех случаях, когда из-за ее недостаточной гибкости й плохой способности к адаптации человек испытывает определенный стресс и трудности в социальной и профессиональной жизни. " .
Параноидная личность свойственна крайне подозрительным людям. Шизоидная личность характеризуется некоторой социальной изоляцией и недостаточно эмоциональным переживанием событий. Компулъсивная личность присуща педантам и людям чрезмерно стремящимся к совершенству. Нарциссическая личность замыкается на самой себе; она испытывает неумеренную любовь к собственной персоне и крайне пренебрежительно относится к социальным условностям и к правам других людей. Гистрионическая личность отмечена потребностью постоянно привлекать к себе внимание своим повелением и слишком эмоциональными реакциями. Неустойчивая личность характеризуется резкими изменениями настроения, социальных отношений и тех чувств, которые она испытывает к собственному «Я»; нередко она становится жертвой приступов тоски. Пассивно-агрессивная личность свойственна зависимым людям, которые внешне кажутся со всем согласными, а на самом деле сопротивляются или оказывают пассивное противодействие требованиям своих близких, которые они чаще всего воспринимают как следствие их нетерпимости.
«Избегающая» личность проявляет социальную фобию в виде сильного страха и тревоги при переживании тех или иных социальных ситуаций. Зависимая личность испытывает постоянную потребность в поддержке со стороны других людей и систематически придерживается нейтральной позиции, не склонна к конкуренции и чрезвычайно устойчива к фрустрации.
Антисоциальная личность характеризуется неспособностью устанавливать прочные социальные отношения, нежеланием придерживаться принятых норм, малой лояльностью по отношению к другим, несклонностью соблюдать свои обязательства перед ними и, наконец, отсутствием чувства вины даже за свои самые неблаговидные поступки. До сих пор, однако, не удавалось установить, обусловлено ли такое поведение социопатов (называемых также психопатами) наследственностью, или же это результат неблагоприятной атмосферы в семье и неадекватного воспитания, помешавших нормальному развитию нравственного и социально ориентированного сознания ребенка (см. документ 123).
152 Глина 12
«Приклеивание ярлыков» и его последствия
Читая эти последние страницы, вы, несомненно, не преминули определить и свое собственное место в предложенной классификации и наверняка узнали себя в одном или даже нескольких из описанных типов людей. В крайнем случае вы узнали в них хотя бы черты одного из ваших родителей, соседки, друга, полового партнера или преподавателя; такова уж особенность классификации, где представлены все категории психических отклонений,-коль скоро их основные критерии сформулированы, всегда найдется такой аспект психической жизни, который соответствует «реальности». Но тогда возникает вопрос: что же считать психическим здоровьем!
Если верить DSMIII, где психическое здоровье определяется по тому же принципу, что и здоровье физическое, то оно характеризуется отсутствием каких бы то ни было симптомов. Отсюда следует заключить, что, поскольку у любого из нас в той или иной степени присутствует какая-нибудь «психопатологическая особенность», всякий психически здоровый индивидуум легко может быть причислен к «ненормальным».
Руководство DSM III предназначено главным образом для медиков. В нем делается попытка как можно точнее описать на языке психиатрии наблюдаемые феномены и объединить их в определенные категории «болезней», В этом смысле DSM III является документом, призванным слуяЛггь основой для взаимного общения психиатров с тем, чтобы одно и то же заболевание они лечили одинаковыми методами, а диагностика болезней опиралась на симптомы, четко идентифицированные для каждой из них.
Именно с этим, однако, и связан главный недостаток подобного подхода. Рассматривая нарушение поведения в рамках понятий «симптомы», «заболевание», «диагноз» и «лечение», медицинский подход в значительной мере пренебрегает динамикой поведения и переживаниями индивидуума. Человек становится просто «больным» и отныне перестает быть индивидуальностью, которая переживает кризис, вызванный специфическими обстоятельствами, как то пытаются представить другие подходы. DSM1II не рассматривает пациента, страдающего психическим расстройством, как человека, прибегающего к фобическому или шизофреническому поведению для избавления от своих стрессов; главной задачей оказывается выявление людей, «страдающих» шизофренией или фобией-«болезнью», которую нужно лечить.
Самое пагубное последствие такого «приклеивания ярлыков» заключается в том, что коль скоро ярлык наклеен, человек перестает быть индивидуумом со всеми присущими ему особенностями, эмоциями и привычками и превращается в одного из параноиков или одного из
«Иные» 153
истериков, все поведение которых рассматривается с точки зрения известных для данного «заболевания» симптомов1.
Что касается лечения, то оно зависит от характера заболевания и преследует цель облегчить симптомы болезни, а по возможности и вовсе устранить их. Проблема человека превращается в последнее время в медицинскую проблему, которая в связи с прогрессом химиотерапии все чаще и чаще будет решаться с помощью лекарственных препаратов, а не психологической или социальной поддержки.
Иным подобные соображения могут показаться слишком упрощенными или даже смешными. Их, однако* с очевидностью подкрепляют данные опыта, проведенного Розенханом с сотрудниками (Rosenhan et аЦ 1973) (см, документ 12,5). Как показали эти исследователи, даже здоровые люди рискуют получить диагноз «психоза» и на несколько недель попасть в психиатрическую больницу> если они просто имели неосторожность рассказать, что иногда по ночам слышат какие-то голоса. По данным тех же авторов, как только человек оказывается в психиатрической больнице, его свобода распоряжаться собственной жизнью ограничивается и вместо этого он должен подчиняться больничной дисциплине и распоряжениям врача, от которого зависят все «больные». С этого момента у человека может начаться процесс психи-атризации, в результате которого он попадает в полную зависимость от психиатрической системы и произвола психиатров.
Лечение
Каждому подходу к объяснению аномального поведения соответствует тот или иной способ лечения или по крайней мере психологической поддержки больного, основанный на тех представлениях, которые формируются относительно его заболевания.
Если эти представления соответствуют медицинскому подходу, следует ожидать, что такой будет и терапия, а забота о больном будет обеспечиваться биологическими методами. Если же эти представления будут носить более психологический характер, то могут быть предложены разные формы терапии, особенности которых будут зависеть от того-, с каким научным направлением они связаны. Психоаналитик займется изучением конфликтов, источники которых, по его убеждениям, лежат в сфере подсознания; бихевиорист проведет «отучеиие от дурных привычек» и попытается восстановить приемлемое поведение; когнитивисты сделают попытку изменить восприятие человеком испы-
1 DSM III рекомендует психиатрам говорить, что «человек болен шизофренией», а не просто «он шизофреник». Такие нюансы, однако, ничего не меняют: от того что мы скажем «человек болен раком», тот здоровее не станет, В случае функциональных расстройств особенно важно, чтобы диагностика «заболевания» основывалась только на наблюдениях за образом действий и мыслей человека, а не просто на «объективных симптомах».
154_______________________________Г.шва 12____________________________
тывасмых им трудностей; гуманисты постараются пробудить его собственные силы, которые помогли бы ему самому найти выход из кризиса.
Психиатрия и медицинский подход к лечению психических расстройств
Учитывая то доминирующее положение, которое занимает психиатрия в лечении поведенческих расстройств, не приходится удивляться, что большинство пациентов подвергается в больницах психиатрическим методам лечения, предполагающим воздействие на нервную систему человека.
К этому типу терапии, конечно, всегда приходится прибегать в случае органических нарушений, поддающихся лечению лишь с помощью воздействия на вызвавшую их причину, связанную с травмой, инфекцией или старением. Медицинский подход, однако, распространяют и на другие, чисто функциональные расстройства, используя при этом такие средства, как электрошок, нейрохирургию и во все большей степени химиотерапию.
Биологические методы лечения
Электрошоковая терапия. В 30-е годы у исследователи сложилось впечатление, что лишь немногие из эпилептиков становятся шизофрениками. В связи с этим они предположили, что если у шизофреника путем резкого воздействия на мозг искусственно вызвать судороги, сходные с эпилептическими, то симптомы шизофрении можно ослабить. Проведя несколько опытов с использованием порой небезопасных препаратов, ученые вскоре решили пропускать через головной мозг больного в течение нескольких секунд довольно сильный электрический ток который вызывал общее повышение мышечного тонуса а затем и судороги. Последние, однако* оказались настолько сильными, что больного приходилось предварительно усыплять, чтобы он не поломал себе ребра или зубы (рис. 12,14).
Хотя, как было установлено позже, многие шизофреники одновременно страдают и эпилепсией, что противоречило первоначальным

Рис. 12.14, Электрошоковая терапия, которая оегод-ня, к счастью, в психиатрии почти не практикуется* состоит в пропускании через мозг усыпленного па* циента многократных коротких разрядов сильного электрического тока.
«Иные» 155
наблюдениям, электрошоковую терапию продолжали использовать, несмотря на ее многочисленные побочные эффекты: ретроградную амнезию (иногда очень продолжительную), повреждение мозга, а также сердца и легких. До сих пор нет ни доказательств эффективности такой терапии, ни каких-либо указаний на механизм ее действия. На протяжении 50-х и 60-х годов к ней прибегали почти систематически; сейчас ее используют лишь в очень тяжелых случаях1.
Нейрохирургия. В 30-е годы была разработана и другая методика, тоже находящая сейчас все меньшее применение. Речь идет о хирургических операциях на головном мозге, включающих разрушение отдельных участков лобных долей {лоботомия) и перерезку нервных пучков, связывающих их с некоторыми нервными центрами. Было отмечено, что такие операции, проведенные на обезьянах, делают животных более спокойными. У человека лоботомию впервые произвел португальский психиатр Мониз (Moniz), который получил сходные результаты. Вскоре, однако, заметили, что наряду со снижением агрессивности у пациента происходит изменение личности, проявляющееся в исчезновении интереса к повседневной жизни и отсутствии эмоций, А ведь восстановить что-либо после такой операции нельзя, и поэтому больные были обречены на бесцветную жизнь автоматов г.
После того как во всем мире были проведены десятки тысяч подобных операций, нейрохирурги в настоящее время почти полностью отказались от лоботомии, прибегая к ней лишь в самых крайних случаях и только после всестороннего обоснования ее целесообразности медицинской комиссией.
Химиотерапия. Открытие в начале 50-х годов психотропных препаратов произвело переворот в области лечения психически больных (рис. 12.15).
Такие сильные транквилизаторы, как хлорпромазин, а затем и резерпин (см, документ 3,7), позволили успокаивать самых возбужденных больных и ослаблять галлюцинации и бред у шизофреников. Хотя .в этом отношении препараты оказались весьма действенными, было замечено, что они вызывают и многочисленные побочные эффекты, затрагивающие двигательную систему, в особенности ригидность лицевых мышц, сопровождающуюся непроизвольными движениями губ и щек. Кроме того, действие этих лекарств непродолжительно, и чаще всего больных приходится подвергать повторным курсам лечения.
Что касается слабых транквилизаторов таких как валиум или либ-риум, то они оказывают сходное, хотя и менее выраженное действие и в основном применяются для снятия у пациента тревоги. Если не считать риска привыкания, связанного с регулярным приемом этих
1 Похоже, однако* что несмотря на широкие кампании против этой практики, организованные движениями -в защиту прав психиатрических больных, в большинстве западных стран к ней слишком часто продолжают прибегать и поныне*
2 За эти свои работа Мониз в 1949 г+ получил Нобелевскую премию.
Рис, 12,15. Огромные количества психотропных препаратов, которые ежедневно проглатывают люди, возможно, и облегчают их страдания, но не излечивают от болезни.
лекарств (см. гл. 4), они очень часто могут служить чудодейственным средством для отключения от жизненных проблем.
Антидепрессанты действуют противоположно транквилизаторам. Их назначают больным, страдающим депрессией, для «поднятия духа». Некоторые из этих препаратов 1 оказались очень токсичными, особенно для сосудистой системы, печени и головного мозга, В качестве примера можно привести карбонат лития, который, по-видимому, способен регулировать настроение у людей с аффективными расстройствами, но в то же время вызывает многочисленные побочные эффекты (поражение почек и щитовидной железы* тремор, псориаз и др.); его лечебные дозы очень близки к токсической дозе, способной вызвать тяжелые последствия. *
Несмотря на риск, связанный с приемом этих лекарств, нельзя оспаривать то, что они позволяют на короткое время стабилизировать поведение больного, а это часто бывает необходимым этапом для проведения психотерапии. Сам по себе их прием, однако, не способен «излечить» заболевание и может привести лишь к зависимости человека
1 Ингибиторы моноаминоксидазы (см, приложение А).
«Иные» 151
от лекарственных препаратов, чаще всего сопровождающейся его пси-хиатризациеп (см. документ 12.6).
Общинная психиатрия
Развитие химиотерапии в 60-е годы породило мысль о том, что наконец-то лечение психически больных и коррекцию их состояния можно будет проводить вне стен психиатрических лечебниц. В результате начали создаваться общинные центры психического здоровья, особенностями которых являются кратковременная госпитализация пациентов, амбулаторная забота о них и наблюдение за ними в соответствии с медицинскими предписаниями1*
Однако если эти новые организации и позволили существенно сократить время пребывания в больницах, они, по-видимому, не уменьшили числа людей, нуждающихся в заботе. Скорее наоборот-число поступлений в психиатрические клиники увеличилось, а число повторных поступлений иногда даже возрастало в 5-6 раз2. Это подтверждает, что лекарственные препараты способны лишь «помогать» больным, но не вылечивать их, и еще раз подчеркивает настоятельную нужду в профилактике психических заболеваний и в медицинском просвещении.
-
Психотерапия
В отличие от медицинского подхода, стремящегося изменить ход мыслей и поведение человека главным образом путем прямого воздействия на нервную систему, психотерапия пытается повлиять на ее функционирование в процессе взаимодействия больного с врачом или с группой других лиц, страдающих сходным расстройством. Существует огромное разнообразие методов психотерапии, разработанных главным образом в 60-е и 70-е годы, так что рассмотреть их все на нескольких страницах невозможно.
Хотя всякая классификация носит произвольный характер, методы психотерапии можно разделить на две большие категории: интрапсихи-ческую терапию и поведенческую терапию.
Как уже говорилось, в основе интрапсихической терапии лежит тот принцип, что аномальное поведение человека является следствием неадекватной интерпретации им своих чувств, потребностей и побуждений.
1 Одновременно стали создаваться и центры неотложной помощи, предназначенные для дезинтоксикации больных, отравившихся лекарственными препаратами, а также дли помощи людям, склонным к самоубийству, или изнасилованным женщинам и детям; такие центры имеют приемные отделения и прямую телефонную службу («горячие линии»).
2 Предварительные данные, опубликованные в статье д-ра Лемана «Психиатрия пробуксовывает» в журнале „Actualite", июнь 1986.
Г шва 12
Цель терапии состоит, таким образом* в том, чтобы помочь больному помять причины его плохого приспособления к реальности и дать ему возможность адаптироваться к ней, изменив свое поведение.
Поведенческая терапия исходящая из того принципа, что любое поведение человека является приобретенным, пытается с помощью методов обусловливания или моделей заменить неадекватное поведение человека другим, которое позволило бы ему действовать более адекватно. . .
Таким образом, если интрапсихическая терапия предполагает воздействие на восприятие, мысли и побуждения человека, то терапия поведенческая стремится только изменить или устранить у него те формы поведения, которые будут сочтены яеадаптивными.
К эффективности психотерапии некоторые ученые относятся скептически. Исследования, проведенные в 50-е годы Айзенком (Eysenck, 1952), показали, что через два года более чем в 70% случаев невротическое расстройство исчезает независимо от того, подвергался человек психотерапии или нет.
Айзенка, однако, можно упрекнуть в том, что он наблюдал только за поведением больных, оставляя без внимания те глубинные изменения личности, которые могли чувствовать сами пациенты. Как показали Слоун и его сотрудники (Sloane et аЦ 1975), когда общее состояние больных оценивают внешние наблюдатели, показатель улучшения и в самом деле составляет 75%, будучи одинаковым у тех, кто подвергался и кто не подвергался психотерапии. Но если предложить, провести оценку своего поведения самим больным, то из числа подвергавшихся психотерапии об улучшении своей адаптации сообщили 81% больных, тогда как в группе не подвергавшихся психотерапии этот показатель составил всего 44% !.
Смит и Гласе (Smith, Glass, I977) проанализировали данные 375 исследований, опубликованных за последние 20 лет; они сравнили результаты наблюдений за 25000 человек, подвергавшихся психотерапии, и 25000 человек, которые страдали сходными расстройствами, но никакого лечения не получали,. Ученые пришли к выводу, что 75% больных, подвергавшихся терапии, чувствовали себя лучше, чем те, кто обходился без лечения (см. документ 12.7).
Интрапснхическая терапия
Интрапсихическая терапия располагает весьма разнообразными
методами, которые охватывают почти все аспекты психической динамики человека. Одни методы направлены на то, чтобы выявить бессознательные побуждения человека, лежащие в основе его поведения;
1 Что касается поведенческой терапии, то по оценкам сторонних наблюдателей улучшение отмечается в 93% случаев; если же пациенты оценивают свое состояние самостоятельно, этот показатель составляет 74%.
«Иные»
159
- <

Рис. 12J6. Во время сеанса психоанализа пациент/ лежащий на кушетке, волен высказывать вес, что приходит ему в голову. Врач, сидящий в стороне и не попадающий в поле зрения пациента, пытается распутать этот клубок свободных ассоциаций и ухватиться за ниточку, которая смогла бы привести его к самому ядру конфликта.
другие акцентируют внимание на внутренних сила», которые помогут ему справиться с трудностями самостоятельно; третьи стараются" довести до сознания пациента то, как он воспринимает действительность; и, наконец, четвертые пытаются побудить его изменить характер своего «функционирования» в группе или мобилизовать свои внутренние ресурсы с целью изменить поведение. Понятно, что выбор и эффективность того или иного метода зависят от целого ряда факторов, среди которых немаловажную роль играют характер расстройства, степень восприимчивости человека, а также личность психотерапевта.
О многих из этих методов речь уже шла раньше. Поэтому ниже мы рассмотрим только принципы, лежащие в основе некоторых из них (дополнительные сведения приводятся в документе 12,9).
Психоанализ. Это первый из современных психотерапевтических методов. Пережив период огромного успеха на обоих континентах, психоанализ в настоящее время прочно утвердился только в Европе, особенно во Франции. В Северной Америке его мало-помалу вытесняют методы гуманистической, когнитивной и поведенческой терапии !.
Психоанализ ставит своей целью помочь больному отыскать подсознательные корни своих трудностей порожденных подавленными конфликтами, с тем чтобы больной, освободившись от связанных с ними эмоций, смог на новой основе воссоздать собственную личность.
На рис. 12.16 изображен психоаналитик, сидящий у изголовья кушетки, на которой лежит пациентка; он выслушивает, направляет в нужное русло и интерпретирует ее высказывания.
Можно выделить пять важных моментов, характерных для психоаналитической терапии:
1) Прежде всего терапевт должен всячески способствовать установлению и развитию глубоких эмоциональных отношений с пациентом, чтобы стал возможным перенос на него положительных или отрицательных (подчас весьма интенсивных) переживаний пациента, В результате пациент будет проецировать на психоаналитика чувства, испытываемые
1 Исключая Квебек, где у него, по-видимому, еще немало сторонников среди психотерапевтов.
\Ы) Г.шеи 12
им к более или менее воображаемому образу ненавидимого или обожаемого отца либо холодной или же слишком заботливой матери, по отношению к которым может обнаруживать замкнутость или бурную реакцию,
2) Второй элемент заключается в интерпретации (толковании) сновидений субъекта, которые Фрейд называл «самым коротким путем в подсознательное». В документе АЛ мы уже рассказывали о том, как он интерпретировал сновидения, исходя из символов* скрывающихся за их явным содержанием.
3) Другой психоаналитический подход состоит в том, что пациенту предлагают свободно высказывать все, что приходит ему на ум,-даже то, что кажется ему несущественным, тягостным или неприличным. Так с помощью свободных ассоциаций пациент высказывает одну мысль за другой, не сдерживая себя и не пытаясь найти в них какой-либо смысл.
4) Ключевым моментом психоанализа является попытка терапевта интерпретировать содержание слов пациента, выделяя те места, где тот обнаруживает колебания или старается не вдаваться в подробности, и расценивая их как точки сопротивления наводящие на след в поисках главной проблемы.
5) Объяснение, которое дает терапевт, должно, таким образом, побудить пациента вновь пережить в аффективном плане события его детства и соотнести их с симптомами, проявляющимися в данное время, Этот катарсис и приводит к исчезновению симптомов и, таким образом, знаменует успех лечения (см, документ 12,8).
Оценка, Психоанализ-лечебная процедура, которая может занять долгие годы \ прежде чем состояние больного улучшится и он будет способен реалистически управлять собственной жизнью. Кроме того, не во всех случаях психоанализ одинаково эффективен. Известно, например, что наибольших успехов с его помощью можно добиться у лиц от 15 до 50 лет, которые обладают высоким интеллектом и нарушения у которых имеют скорее невротическую, нежели психотическую, при* роду. Важно, чтобы человек был в состоянии понять процесс психоанализа и проявлял достаточное желание тесно сотрудничать с врачом. Было также замечено, что чем моложе пациент или чем сильнее у него тревога, тем выше вероятность значительного улучшения его состояния к концу лечения.
Двери психоаналитических кабинетов долгое время оставались закрытыми для психотических больных, особенно для шизофреников. Основных усилий, направленных на то, чтобы открыть их, следует ожидать от антипсихиатрического движения после создания заведений, где больной и врач могли бы находиться в тесном общении, Это вопрос
будущего.
Терапия, центрированная на клиенте. Речь идет о терапевтическом
методе, предложенном Роджерсом - и по сей день самым влиятельным психологом-клиницистом в Северной Америке. В отличие от психоана-
1 В некоторых случаях до 20 лет по нескольку 50-минутных сеансов в неделю.
«Ииые» 161
лиза, при котором терапевт выслушивает пациента с тем, чтобы понять и интерпретировать его сообщения, терапия по Роджерсу является недирективнопу т.е. основанной на принципе, что обращающийся за помощью человек (клиент, по терминологии Роджерса) лучше всего способен сам определить причины и найти способ решения своих проблем, стоит только ему оказаться в благоприятных для этого условиях. В связи с этим роль терапевта заключается в том, чтобы дать клиенту возможность выразить свои мысли н чувства и тем самым помочь ему осознать, как он воспринимает себя сам и как его воспринимают другие люди.
Цель этого метода состоит в выработке*у клиента большего самоуважения и способности предпринимать действия, необходимые для приведения его «реального Я» в соответствие с его личным опытом и глубинными переживаниями.
Роджерс выдвигает четыре условия необходимые для поддержания атмосферы, способствующей такому процессу.
Прежде всего важтю, чтобы терапевт сохранял безусловное позитивное отношение к выражаемым клиентом чувствам, даже если они будут иногда идти вразрез с его собственными установками. Клиент должен чувствовать, что его воспринимают как значительного человека, который волен говорить и действовать, не опасаясь осуждения.
Вторым условием является эмпатия. Смысл ее состоит в том, что терапевт старается видеть мир глазами клиента и переживать события так же, как их переживает сам клиент.
Третье условие - аутентичность которую терапевт должен доказать, отказавшись от маски «профессионала» или от какого-либо иного камуфляжа, который мог бы разрушить атмосферу эволюции клиента, лежащей в основе терапии,
И наконец, терапевт должен воздерживаться от интерпретации сообщений клиента или от подсказки решения его проблем Ему нужно только выслушивать его и всего-навсего выполнять функцию зеркала, отражающего мысли и эмоции клиента, и формулировать их по-новому. Такое отражение и приводит клиента к изучению своих внутренних переживаний, более реалистическому самовосприятию и пониманию того, как его воспринимают другие люди.
Согласно Роджерсу, именно в результате развития реалистического представления о самом себе человек мало-помалу приобретает способ-ность разрешать проблемы, с которыми он сталкивается.
Оценка. Учитывая, что клиент сам определяет, достиг ли он в результате терапии желаемых целей, он в любую минуту волен прекратить ее или решить продолжать дальше. Поэтому иногда терапия, центрированная на клиенте, ограничивается всего несколькими сеансами.
Однако реальную эффективность этого метода лечения оценить трудно. По-видимому, она приносит наибольшую пользу тем, кто способен выражать свои эмоции и делиться трудностями. По мнению большинства таких клиентов, этот метод помог им участвовать в жизненных событиях с большей уверенностью в себе.
П 443
162 Глаеа 12
Гештальттерапия. По мнению основоположника гештальттерапии Перлса (Peris, 18УЗ—1970), психические расстройства у людей обусловлены тем, что их личность не составляет единого целого, т. е, гештальта. У большинства из них стресс возникает в результате неосознанных конфликтов, мешающих им входить в контакт с некоторыми из их собственных чувств и мыслей,
Гештальттерапия стремится побудить человека переживать собственные фантазии, вести себя как те или иные персонажи его сновидений, осознавать собственные эмоции, контролировать интонации голоса, движения рук и глаз и понять прежде игнорировавшиеся им физические ощущения с тем, чтобы он смог снова установить связь между всеми этими аспектами своей личности и в результате достичь полного осознания собственного «Я».
Таким образом, цель этого метода-формирование целостной гармоничной личности-индивидуума, способного противостоять любой ситуации и сознающего, что он хочет сделать, а не что ему нужно делать или что он сделает, если,.. Таким образом гештальттерапия мыслится как подход, направленный на освобождение и самостоятельность личности.
Оценка. Гештальттерапия, подобно психоанализу, основана на развитии «самосознания» человека и разрешении его внутренних конфликтов; но при этом, подобно терапии, центрированной на клиенте, она предполагает также выработку у человека способности сознательно и эффективно противостоять жизненным трудностям. Из-за малочисленности данных* однако, пока ещеЧрудно объективно оценить достигаемые результаты,
Эмотнвно-рацнональная терапия. Этот подход, разработанный в 1962 году Эллисом (Ellis), теоретики долгое время игнорировали. Однако сейчас его одновременно признают и когнитивисты, и бихвиористы, а сам Эллис пользуется у североамериканских клиницистов авторитетом, уступающим разве только авторитету Роджерса.
Как уже говорилось, согласно Эллису, за расстройство поведения чаще всего ответственны иррациональные или «катастрофические» мысли, порождаемые у него «активизирующими» ситуациями. В связи с этим эмотявно-рациональная терапия ставит своей целью анализировать вместе с пациентом ситуацию, в которой тот оказался, и выводы, которые он из нее извлек. В задачи терапевта входят, таким образом, изучение мыслительных процессов клиента и доведение до его сознания иррациональных моментов содержащихся в его мыслях. Выработка у клиента более объективного восприятия событий приводит его к поиску новых действенных решений, которые смогут уменьшить у него тревогу. Таким образом, неадаптивные формн поведения мало-помалу будут замещаться новыми формами, способными сделать жизнь клиента более сносной, так как теперь он сможет лучше устанавливать связь между собственными потребностями, требованиями жизни в обществе и непрерывно меняющимися внешними обстоятельствами.
Оценка, Судя по многочисленным научным отчетам, рассмотренный
«Иные». 163
терапевтический подход очень часто дает положительные результаты, особенно если больные-взрослые люди и страдают депрессией или расстройствами, связанными с тревогой.
То, что эмотивно-рациональная терапия направлена на «модификацию» образа мыслей* побудило бихевиористов включить когнитивные формы терапии в разряд терапевтических подходов, предполагающих изменение поведения больного, Однако даже если «модификация мысли» и может приводить к изменению поведения, нужно все же признать, что любой подход, связанный с оценкой мышления, относится к области когнитивной психологии и требует от больного определенных способностей к размышлению; а это противоречит ортодоксальному бихевиоризму, признающему изменение поведения только под влиянием обусловливания, подражания или наблюдения.
-
Другие формы индивидуальной терапии
Существует и много других терапевтических подходов, связанных с различными направлениями й психологии. Рассмотрим кратко некоторые ИЗ HHXt
Экзистенциальная терапия, основанная на психоанализе, но имеющая гуманистическую и когнитивистскую ориентацию, делает упор на «свободную волю» человека, оставляя за ним возможность выбора и ответственность за сделанный выбор. Таким образом, этот подход имеет целью довести до понимания человека смысл, который он хочет придать своей жизни, и в зависимости от этого смысла - значение каждого его поступка (Frankl, 1961; Мау> 1967).
«Терапия реальностью» - это форма когнитивной терапии, стремя* щаяся развить у больного способность оценивать собственные действия и планы в зависимости Ът тех ценностей, которые он отстаивает, и тех последствий для него самого, к которым могут привести его поступки. Этот подход ставит своей главной целью побудить пациента брать на себя ответственность «по договору» и добиваться поставленных целей, если они реальны (Glasser, 1965).
Трансакшгоннын анализ тоже имеет корни в психоанализе. Своими методами, однако, он существенно отличается от последнего. Его основоположник, Э. Берн (Berne, 1961 )t обратил внимание на то, что в каждом человеке есть нечто от ребенка, которым он когда-то был, нечто от своих родителей и нечто от взрослого человека, каким он сейчас является. Все наши взаимодействия («трансакции») с другими людьми проникнуты той или иной из этих ролей. Подобно ребенку, мы иногда слишком импульсивно реагируем на события и выклянчиваем что-нибудь или хитрим, чтобы добиться своей цели; подобно родителям, мы порой относимся к другим людям, как к детям, наставляя или порицая их; подобно истинно взрослым людям, мы стараемся не терять чувства реальности, здравого смысла и логики перед лицом жизненных невзгод.
Цель этого терапевтического подхода состоит в том, чтобы человек лучше осознал свое поведение и в результате перестал бы играть
11*
164 Гмчт 1
2
неосознаваемую роль родителя или ребенка. Взаимодействуя с небольшой группой.людей, человек в виде негласного договорам самим собой «соглашается» и «обязуется» в будущем вести себя более сознательно и реалистично.
Психодрама - метод, разработанный в 20-х годах Морено. В психодраме человеку предлагается роль героя в игре, содержание которой сосредоточено на его проблемах. Таким образом человек может свободно выражать свои чувства в направляемых терапевтом импровизациях, в которых другие «актеры» исполняют роли главных персонажей его реальной жизни, Другим участникам сеанса предлагается внимательно следить за событиями и соотносить происходящее на сцеце со своими собственными затруднениями (Moreno, 1965).
Цель психодрамы состоит в том, чтобы раскрыть пациенту его самые глубинные эмоции в гораздо более яркой и действенной форме, чем, по мнению Морено, это позволяют сделать другие методы, основанные на простом словесном описании переживаний.
Социальная терапия ,
Гештальттерапия. психодрама и трансакщюнный анализ практикуются в группах. Но все эти подходы так или иначе центрированы на индивидууме, взаимодействующем с терапевтом. Существует, однако, и такой подход, цель которого состоит в том, чтобы не только дать пациенту возможность понять самого себя, но и наладить гармоничные отношения с другими, так что все могли бы делиться между собой чувствами и мыслями в атмосфере взаимного уважения.
Общение в группах роста, собственно говоря, не является терапией. Эти группы состоят, как правило, из людей, желающих улучшить свои взаимоотношения с другими людьми. Прежде всего можно выделить группы сенсибилизации участники которых учатся налаживать доверительные отношения с другими и лучше их узнавать, проявляя внимание ко всему, что происходит на невербальном уровне, и вступая с ними в контакт с помощью иных средств, нежели слово (взгляд, прикосновение и т.п.). В группах встреч особый упор делается на переживаниях людей в группе («в данном месте и в данное1 время»), на возникающих у них эмоциях и на социальных масках, к которым прибегают некоторые участники группы, тогда как другие стараются эти маски видоизменить (Dreyfus, 1975).
Похоже, однако, что опыт такого общения трудно перенести в повседневную жизнь и что если участники групп и чувствуют себя после таких сеансов лучше, то, оказавшись снова в обычных условиях, они почти полностью возвращаются к прежнему поведению. Не рекомендуются группы роста и людям, страдающим хотя бы умеренными эмоциональными расстройствами: требуемая от них активность и критические замечания, раздающиеся в их адрес в рамках групповых встреч, могут даже ухудшить их состояние.
В основе семейной терапии лежит тот факт, что большинство испы-
«Иные»
165

Рис. 12J7+ Групповая терапия основана на том, что люди* испытывающие сходные трудности* могут помочь друг другу в результате совместного обсуждения проблемы.
тываемых человеком трудностей связано с системой более крупной, нежели отдельный индивидуум,- с семьей и взаимодействиями между ее членами (Minuchin, 1979). Поэтому, чтобы выяснить, какую роль играет тот или иной член семьи, кто из них служит «козлом отпущения» и каковы обычные в данной семье способы коммуникации, в сеансах предлагается участвовать всем ее членам. Участников просят высказывать все те глубиные чувства, которые они испытывают друг к другу.
Роль терапевта состоит здесь в том, чтобы привлечь внимание членов семьи к «болезненным точкам» их взаимоотношений и предложить им новые подходы в общении с целью улучшить семейный микроклимат в целом и условия индивидуального развития каждой отдельной личности (Satir, 1970).
Групповая терапия основана на том обстоятельстве, что в группе людей со сходными проблемами обнаруживается склонность к взаимной эмоциональной поддержке, взаимному ободрению и выработке новых форм поведения. Этот подход практикуется главным образом в психиатрических клиниках и больницах, а также в различных ассоциациях помощи алкоголикам, наркоманам, тучным людям и т.п. (рис. 12Л7),
Групповая терапия предполагает направляемые терапевтом дискуссии по вопросам, выбранным участниками группы, за которыми может последовать доклад или просмотр фильма на интересующую их тему. Каждому участнику предлагается затем выразить свою точку зрения или
166 1\шна 12
чувства по поводу представленной ситуации. Если у пациентов выявляются глубокие нарушения личности и им трудно по собственной инициативе излагать свои проблемы, то дальше, как правило, требуется директивная терапия.
Оценка. Поддержка, которую человек чувствует со стороны группы, по-видимому, облегчает выражение им собственных чувств и забот. Поэтому групповая терапия, дающая ему возможность взаимодействовать с другими людьми в атмосфере взаимного понимания и уважения, может быть первым этапом на пути его реинтеграции в реальную жизнь. Однако и в этом случае общее направление и эффективность терапии сильно зависят от личности терапевта, его философской позиции и тех целей, которые он сознательно или бессознательно преследует,
Поведенческая терапия (бихевиористский подход)
Интрапсихическая терапия пытается помочь пациенту понять, в чем причины его проблем или что мешает ему найти правильный подход к их решению, будь то в индивидуальном или социальном плане. Предполагается, что, коль скоро ситуация прояснилась, человек сможет сделать нужные усилия по преодолению помех, в результате чего неадаптивные формы поведения у него сами собой исчезнут.
Наоборот, в основе поведенческой терапии лежит представление о том, что сами психические расстройства обусловлены неадаптивным поведением» которое может быть замечено самим больным, окружающими его людьми или терапевтом. Таким образом, сторонники модификации поведения полагают, что прямое воздействие на девиантное поведение с целью его устранить или исправить автоматически приведет и к снятию самой проблемы, В соответствии с этой концепцией психотерапевт нужен только для того, чтобы выбрать и провести «обучающую» программу, обеспечив надлежащее подкрепление.
Известны четыре подхода к модификации поведения. Это контр-обусдовливвние, основанное на принципе классического обусловливания; оперантные методы опирающиеся на принцип подкрепления; терапия, основанная на предъявлении модели в соответствии с представлениями о социальном научении; и наконец, процедуры самоконтроля.
I
Контр-обусловлнванне
Речь идет об улучшении нежелательного поведения или разрыве связи между условным разражителем и условным ответом (см, документ
Один из методов этого типа-систематическая десенсибилизация; она направлена на выработку реакций, противоположных по своему характеру неадаптивным ответам. Например, тревоге стараются противопоставить состояние расслабленности, которое с ней несовместимо.
Прежде всего больного учат расслабляться. Кроме того, ему пред-
«Иные1» 167
лагают составить перечень ситуаций, порождающих тревоги и связанных с его трудностями, и расположить их в порядке возрастающей действенности. Затем пациенту, находящемуся в расслабленном состоянии, предъявляют ситуацию, способную вызвать у него лишь минимальную тревогу. Когда он при этом перестает чувствовать тревогу, переходят к ситуации, порождающей более значительный стресс, и так далее вплоть до воздействия, вызывающего максимальную тревогу; во всех случаях стрессовая ситуация ассоциируется у пациента с мышечным расслаблением, а не напряжением. Столкнувшись с тревожными обстоятельствами в реальной жизни, человек должен теперь реагировать на нее не страхом, а расслаблением. В зависимости от характера испытываемых больным трудностей в этом подходе могут чаще использоваться реальные, нежели воображаемые, ситуации.
Имплозивная терапия минует все этапы систематической десенсибилизации и сразу «бросает» человека в воображаемую ситуацию в ее наиболее устрашающей форме. Поместив таким образом пациента в наихудшие для него условия, терапевт пытается вызвать у него внутренний «взрыв» тревоги, к которому организм после повторных столкновений с ситуациями, вызывающими панику, должен привыкнуть вплоть до полного исчезновения тревоги.
К аверсивному обусловливанию прибегают в случаях антисоциального поведения или вредных для организма привычек (например, курения, алкоголизма или обжорства), В противоположность систематической десенсибилизации этот метод заключается в сочетании неприятного воздействия или неприятного состояния с ситуацией, которая обычно доставляет удовольствие. Например, если всякий раз, когда пьяница поднесет стакан с алкоголем ко рту, он будет получать удар электрическим током или ощущать сильный приступ тошноты, вызванный лекарственным препаратом, то весьма вероятно, что удовлетворение, которое он прежде получал от алкоголя, сильно ослабеет, а после нескольких повторений такого опыта исчезнет совсем и сменится услов-норефлекторным отвращением к выпивке.
Оценка. Как и следовало предполагать, методы систематической десенсибилизации и имплозивной терапии используются главным образом для лечения фобий. Именно при такого рода расстройствах эти методы оказались особенно эффективными. Аверсивное обусловливание, а в известной мере и имплозивная терапия связаны с определенными этическими проблемами, В самом деле, правомерно задать вопрос: может ли врач, даже заручившись согласием больного, причннять ему боль с целью изменить поведение? Это еще более сомнительно в тех случаях, когда такие методы иногда используются для «лечения» гомосексуализма (см. раздел «Аверсивная терапия» в документе 12.9).
Оперантные методы
В этих методах используются принципы, установленные Скиннером, в особенности механизм формирования поведения путем последователь-
168_______________________________Г.шва 12____________.______________________
ных приближений. Оперантнос обусловливание применяют главным образом для выработки желательных форм повеления у детей, страдающих различными нарушениями или умственной отсталостью. Соответствующие процедуры практикуют также в некоторых психиатрических заведениях, где терапевты бихевиористского направления пытаются «перевоспитывать» шизофреников и возвращать их к жизни в обществе.
Метод формирования поведения прежде всего требует тщательного анализа привычек падиента, что позволяет выбрать самое действенное для него вознаграждение (конфеты, разрешение смотреть телевизор, социальное подкрепление и т.п.), с помощью которого у него и будет вырабатываться надлежащее поведение (рис. 12Л8).
Метод накопления жетонов используют главным образом в психиатрических заведениях. С его помощью стараются изменить поведение, предоставляя привилегии за всякое улучшение, констатируемое терапевтом. Например, всякий раз за то, что пациент, например, чистит зубы, убирает утром постель иди умывается, ему выдают пластмассовый жетон. Когда у него накапливается определенное число жетонов, он получает известные привилегии (сигареты, дополнительное посещение столовой, проживание в отдельной комнате и т. п.).
Оценка. Очевидно, что описанные терапевтические подходы зиждутся на философии бихевиористской школы и в особенности на жизненных принципах североамериканского общества, проникнутых духом эффективности и рентабельности, Цель этих подходов-не столько «внутренняя трансформация» человека, сколько превращение его в «самостоя* тельного» и, главное, полезного индивидуума независимо от того, какие глубинные причины вывели его в один прекрасный день из нормы. Американские суды, однако, установили предел для подобных манипуляций с поведением, чтобы основные права человека не превращались в «разменную монету» для оплаты возможных модификаций поведения больных.
Терапия с предъявлением модели
Этот подход основан на том, что тревога больного должна исчезнуть, если он будет наблюдать и имитировать поведение терапевта (или кого-нибудь другого), с легкостью выходящего из сложной для больного ситуации. Терапию, основанную на предъявлении такой «модели»,

Рис. 12.18, Вознаграждение за каждый физический контакт, в который вступают эти двое детей, страдающих аутизмом, лежит в основе программы мо-г х чт- дификации поведения с целью их социализации.
«Иные»
используют главным образом при лечении фобий. Существуют, однако, и такие процедуры, как поведенческое обучение, где терапевт предлагает способ решения личной проблемы, задавая «адекватные» реакции и требуя от пациента их повторения или как можно более точного воспроизведения.
Процедуры самоконтроля
Процедуры самоконтроля-это оперантные методы, появившиеся в арсенале средств поведенческой терапии сравнительно недавно. В отличие от метода накопления жетонов, контролируемого извне (терапевтом, назначающим вознаграждение), в случае самоконтроля пациент сам будет вознаграждать себя за всякое поведение, соответствующее желаемой цели (отказ от курения, контроль за весом телап избавление от таких дурных привычек, как, например, обгрызание ногтей и т.п.).
В этих процедурах используются те же стратегии, что и при всяком оперантном обусловливании. Здесь, однако, человек сам контролирует окружающую среду, создавая ситуации, наиболее благоприятные для желаемого поведения, и избегая обстоятельств, в которых могут проявиться его дурные привычки или которые провоцируют его на это. Вознаграждать же себя пациент всегда старается только за желаемое поведение, например, разрешая себе приятные виды деятельности лишь в том случае, если поставленная им цель достигнута,
•
Оценка методов поведенческой терапии
К преимуществам поведенческой терапии можно отнести ее непродолжительность, что позволяет непосредственно контролировать вызываемые ею эффекты. Методы поведенческой терапии широко применяются по разнообразным поводам (курение, алкоголизм, фобии, заикание и т.п.). Их использование в психиатрических клиниках в тех или иных целях, о которых уже говорилось выше, тоже .дает хорошие результаты. Однако в случаях нарушений органической природы поведенческая терапия, по-видимому, так же неэффективна, как и другие виды психотерапии.
Кроме того, как показывают многочисленные исследования, проведенные в последние годы, поведенческая терапия никогда не оказывалась более действенной, чем интрапсихические методы, И хотя она претендует на большую научную обоснованность, чем эти последние, можно думать, что по меньшей мере столь же важную роль, что и сами процедуры, здесь играют такие субъективные факторы, как характер взаимоотношений между психотерапевтом и пациентом и заинтересованность пациента в изменении своего поведения.
Критика, которая раздается в адрес поведенческой терапии, чаще всего касается нестойкости вызываемых ею эффектов, так как, по мнению некоторых авторов, исчезновение симптомов расстройства отнюдь не означает устранение его глубинных причин.
170 ___________________________Гшва J2________________________
Альтернативные ресурсы и групповая терапия
i
Биологические подходы, как и большинство психотерапевтических методов, направлены на выявление симптомов, свидетельствующих о неспособности человека к нормальному поведению. Цель таких подходов состоит по преимуществу в подавлении этих «патологических» аспектов. личности, с тем чтобы восстановить способность человека к «нормальному функционированию». Иными словами, в основе этих подходов лежит тот принцип, что ответственность за улучшение своего психического состояния несет только сам человек и никто другой (Bouchard, 1983). Психиатрическая лечебница или психотерапевтический кабинет рассматриваются поэтому как место, где человек, прежде чем вновь окунуться в общественную жизнь, должен заново научиться брать на себя ответственность за собственные поступки.
Эта концепция, однако, не учитывает того, что социальная среда, очень часто сама выступающая в роли патогенного фактора, не меняется, так что если в результате терапии человек и хочет изменить свое поведение, внешние условия и порождаемый ими стресс сохраняются. Между тем многие исследования выявили решающую роль социально-экономических факторов в развитии психических расстройств. Особенно тяжелый характер такие расстройства носят у неимущих, для которых в.условиях урбанизации и подчас невыносимой социальной изоляции они нередко оборачиваются самыми драматическими последствиями Ч
Не удивительно поэтому, что «дезинституализация» психиатрии, как уже отмечалось, в конечном итоге ведет лишь к резкому увеличению частоты повторных обращений за психиатрической помощью со стороны людей, которые, вернувшись к социальной жизни после лечения, сталкиваются с прежними трудностями,
И все же социальное окружение может играть весьма положительную роль, если только люди проявят коллективную волю к его изменению. Уже много лет проводятся эксперименты, призванные найти замену медицинскому подходу к психическим расстройствам. Речь идет о добровольных группах или ассоциациях людей, пытающихся «побудить человека почувствовать собственную ответственность за переживаемые им трудности и осознать социальные факторы, порождающие эти трудности» (Guertin, Lecomte, 1983).
Можно выделить два типа альтернативных групп: группы взаимопомощи, включающие только самих больных, и терапевтические группы, объединяющие профессионалов и непрофессионалов.
1 Согласно многочисленным исследованиям, в так называемых «высших» классах психически здоровых людей значительно больше, а психически больных
в четыре раза меньше, чем среди обездоленных (Arseneau, 1983),
«Иные»
171
Группы взаимопомощи .
Такие группы имеют своей целью развитие отношений взаимной поддержки И'солидарности между людьми, переживающими одни и те же трудности. Организация этих групп основана на том принципе, что человек, успешно преодолевший трудную ситуацию, лучше способен помочь. собрату, столкнувшемуся со сходным затруднением (Lavoie, 1983); поэтому деятельность групп взаимопомощи состоит главным образом в совместных встречах и общих обсуждениях ситуаций, переживаемых их участниками. -
Группы взаимопомощи могут различаться в зависимости от тех проблем, на разрешение которых направлена их деятельность; это может быть алкоголизм («Анонимные алкоголики») *, депрессия («Анонимы с депрессией)», фобии («Анонимы с фобией»),, психологические осложнения, связанные, например, с такой операцией, как удаление груди (группа «Всегда женщины») и т. п. Деятельность этих групп
Рис. 12Л9+ В группах взаимопомощи и центрах посредничества в кризисных ситуациях у телефона круглосуточно сидит дежурный, способный дать компе* тентный ответ человеку, нуждающемуся в поддержке, и тем самым помочь ему преодолеть переживаемые им психологические трудности.
1 Эта организация в настоящее время объединяет около 750 тыс* членов йо всем мире.
172 ________-_ Г. шва 12__________________________________
направлена не только на облегчение у человека стресса и избавление его от одиночества, но и на обмен советами и информацией, которую не всегда просто получить обычным путем (рис. 12.19).
Другие группы пытаются изменить отношение общества в целом к своим членам, клятвенно обещая им стремиться к этой цели (в качестве примера можно привести группы «Аутопсия», «Психиатрическая солидарность» и др.).
Группа взаимопомощи помогает человеку осознать собственную ценность не только в результате его «внутренней эволюции», но и благодаря взаимодействию с окружающими.' Кроме того, участники групп взаимопомощи очень часто предлагают новые подходы к решению весьма специфических психологических проблем (Romeder, 1982),
Терапевтические группы
Терапевтические группы, чаще имеющие целью развитие у своих участников самостоятельности, необходимой для их социальной реинтеграции, располагают профессиональными кадрами. Используемый в них подход сконцентрирован главным образом на повседневной жизни человека и его участии в социально-культурной деятельности (plaman-don, 1983), В зависимости от того, б каком окружении происходит внутренняя эволюция человека, различают два типа терапевтических групп: терапевтические сообщество и сети психологического посредничества,
Терапевтические сообщества. Первые такие сообщества начали возникать в 1950-х годах внутри больниц. Пережив в своем развитии заметный спад в 60-е годых, они вновь пробудили к себе интерес и сейчас развиваются вне официальных учреждений, предоставляя пациентам возможность жить в атмосфере свободы и самостоятельности.
Пациенты, руководители программ, терапевты и представители администрации живут и работают в таких группах совместно, имея в виду цель изменить поведение и личность нуждающихся в том людей. Путем систематического анализа происходящих в сообществе событий, как можно более открытого общения между собой и ослабления иерархических отношений, порождающего у каждого чурство исходной сопричастности, члены группы пытаются создать такую атмосферу, в которой человек «мог бы чувствовать себя свободным совершать ошибки, выражать свои чувства, развивать и учиться жить лучше» (Lecomte, Tourigny, 1983),
По мнению сторонников таких сообществ, пациент волен сам выбирать, стоит ли ему подвергаться индивидуальной психотерапии вне стен сообщества, но в решении проблем, порождаемых совместным проживанием, ему помогают терапевты его же сообщества. Так, в
1 Здесь с л ел уст учесть тс большие надежды, которые тогда возлагались на химиотерапию, достигшую именно в то время своего наивысшего расцвета.
173
частности, обстоят дела в трех английских терапевтических сообществах, относящихся к Association Arbours, где главное внимание уделяется проблемам «общинной жизни».
Среди прочих подобных ассоциаций в западных странах в первую очередь следует отметить Philadelphia Association с психоаналитической ориентацией, основанную Лэинтом (тоже в Англии). Здесь пациенту предоставляется возможность совершить в стенах сообщества настоящее «путешествие через безумие» (Barnes, Berke, 1971), дабы «воссоединить его разъединеннные тело и дух»; при этом пытаются сделать его речь с ее собственной логикой понятной ему самому, иногда отыскивая в ней корни, сформировавшиеся еще до рождения, в материнской утробе (Laing, 1986) Ч
Важный принцип деятельности терапевтических сообществ - отказ от «ухода за больным», а вместо этого оказание помощи и поддержки «собрату», которого с первого момента его появления в сообществе рассматривают как одного из членов целостной организации. Он должен лично обратиться с просьбой о приеме, и эту просьбу рассматривают другие члены сообщества. Если перед вступлением в сообщество пациент подвергался лекарственной терапии, он сам должен решать вопрос о ее продолжении или прекращении, предварительно обсудив это с психиатром, назначившим ему лечение2, Таким образом, терапевтическое сообщество стремится преодолеть «барьеры», связанные с использованием медицинского подхода к психическим расстройствам; с большим числом членов больничного сообщества, с выраженным иерархическим характером его социальной структуры и систематическим применением лекарственных препаратов, обычным в психиатрических учреждениях и мешающим установлению нормальных человеческих отношений с больным (Mosher, Menn, 1978).
Сети психологического посредничества. Ограниченные возможности тех сообществ, о которых шла речь в предыдущем разделе, в какой-то мере компенсируются другим альтернативным (по отношению к психиатрической системе) источником психологической" помощи, включающим структуры эффективной поддержки* способные к быстрой мобилизации, если человек окажется в критических обстоятельствах (Blanchet et аЦ 1981).
Эти структуры возникают из тех сообществ, в которые входят люди, переживающие кризис. Такие сети состоят из общающихся между собой людей; их общение может быть основано либо на личных привязан-
1 Во Франции существуют лечебный центр Recamier и терапевтическая община Baisse (Sassolas, 1981), В США наиболее известны находящиеся в Калифорнии Chesnut Lodge и Soteria House. Начиная с 1975 г, много таких заведений создавалось и в Квебеке, большинство из них существует и поныне (см. статью Structures internflediaires ou alternatives" в журнале Sante Mentale au Quebec, vol. VIII, пй I, juin 1983).
2 По большей части, однако, вступившие в терапевтическое сообщество люди сразу же от этого лечения отказываются.
174 Глава 12
ностяк, что характерно для первичных сетей (родители, друзья, соседи, товарищи по работе или по школе), либо, как в случае вторичных сетей, на принадлежности людей к какой-либо профессиональной организации (профсоюз, профессиональный коллектив, религиозная община и т. п.), К помощи таких сетей и прибегают люди, чтобы заручиться социальной поддержкой, необходимой для решения какой-то проблемы, или воздействовать на семейные структуры в критические моменты жизни (когда нужно удалить ребенка, обеспечить сближение определенных членов семьи и т. п.).
«Пациент» сам прилагает усилия, чтобы «собрать и мобилизовать» членов семьи, устраивая для этого встречи с участием 5-20 человек, В таких встречах, во время которых «пациент» чувствует себя равным среди равных, помимо прочих членов сети участвуют и профессионалы (психиатр, психолог, представитель общественной организации, а иногда и социолог или антрополог). Во время встречи обсуждается какая-то -определенная тема или конкретная проблема (поиски жилья или работы, административные или юридические ходатайства и т.п.,). Такая встреча может включать глобальное психологическое воздействие, но может и ограничиваться только проведением индивидуальной, семейной или супружеской психотерапии, которая всегда должна в первую очередь касаться социальных и только потом-психологических аспектов проблемы.
Психологическое посредничество можно считать успешным, если сеть окажется в состоянии самостоятельно мобилизовать структуры аффективной поддержки и постепенно научить человека разрешать возникающие перед ним жизненные трудности.
Социальное посредничество
Эффективность групповой психологической помощи теперь уже не
вызывает сомнений. Эта .помощь, однако, лимитирована теми методами, к которым прибегает групповая терапия, преследуя вполне определенные цели, и которым зачастую противодействуют инертность общества и бюрократические дрязги, порождаемые недоверием, а иногда и неприятием со стороны официальных институтов.
Однако главный недостаток всех этих инициатив состоит в том, что, пытаясь решить самые острые психологические проблемы, они лишь сглаживают их на какое-то время. Так, центры неотложной помощи оказывают главным образом поддержку людям, подвергающимся непосредственной опасности; группы взаимопомощи основаны по преимуществу на доброй воле людей, стремящихся к большей личной самостоятельности; преследующие ту же цель терапевтические сообщества до сих пор очень малочисленны и сильно ограничены в своей «пропускной способности». Что касается программ профилактики психических расстройств и психологического воспитания населения, их действенность пока очень незначительна, И даже если бы их эффективность была высокой, они могли бы только способствовать сохранению
<с Иные» . 175
существующих условий жизни, противодействуя их ухудшению, но никак не смогли бы изменить социальную среду.
Такое изменение возможно лишь при вмешательстве различных социальных сил, в том числе и социальных психологов, которые могли бы систематически разъяснять людям обстоятельства их жизни и обсуждать их проблемы, учитывая прежде всего их реальные потребности и физические и социальные недостатки их окружения, а также шире проводить надлежащие исследования, всеми доступными средствами популяризируя получаемую в них информацию (Bouchard, I983).
Пока действующие политические силы не проявят склонность к глубокому изменению социальных условий, акцентируя внимание на росте сознательности и укреплении взаимосвязей и сотрудничества между отдельными людьми, группами и организациями, вряд ли можно надеяться на существенные перемены в обществе, проникнутом духом торгашества и больше интересующемся продуктивностью и рентабельностью, нежели психическим здоровьем своих членов.
Документ 12Л, Уравновешенный человек и «норма»
_
Сталкиваясь с жизненными трудностями и волей-неволей принимая
тот вызов, который бросают нам обстоятельства, мы все время вынуждены искать равновесия между адаптацией к реальности, с одной стороны, и развитием своих потенциальных возможностей, которое позволило бы нам утвердить собственную индивидуальность, с другой.
Выполнить эту двойственную задачу не так просто. Вполне «нормально» поэтому, что, столкнувшись с Определенными обстоятельствами или оказавшись в - специфических ситуациях, мы переживаем подчас сильную тревогу или глубокую депрессию, когда нам даже может показаться, что всякая борьба бесполезна, «Нормально» и то> что мы прибегаем к механизмам психологической защиты, позволяющим достичь быстрого, пусть даже временного, облегчения и «удержаться на плаву, пока не утихнет буря». Ведь наступят и другие, более спокойные времена, а может быть, и минуты торжества, когда все внезапно прояснится и покажется гораздо более светлым. Вся наша жизнь состоит из таких эпизодов неустойчивости и «маленьких радостей». Уравновешенность обусловлена движением по спирали, и в этом процессе весь человек участвует как единое целое, постепенно открывая для себя новые горизонты и вступая в новые схватки.
В документе 2.13 мы описали, каким образом человек может достичь актуализации своих потенциальных возможностей (по Маслоу). Здесь мы завершим эту картину, рассмотрев главные особенности «уравновешенного человека» как их представляют себе разные авторы.
В физическом плане уравновешенный человек должен обладать отменным телесным здоровьем; у него хорошее телосложение, он любит физические усилия и умеет сопротивляться усталости, Психическое равновесие по существу немыслимо без серьезного внимания к телу.
176 Гита 12
ш
"Metis sana in corpore sano" \- говорил древнеримский автор Ювенал, имея в виду, что душевное здоровье и здоровье телесное суть два столпа мудрости,
В сексуальном и аффективном плане уравновешенный индивидуум способен устанавливать гармоничные интимные отношения с другими людьми. Без преувеличенной тревоги заботясь об удовлетворении собственных потребностей, он в то же время умеет проявлять внимание к партнеру и чувствовать его потребности.
В интеллектуальном плане уравновешенным можно считать того, кто обладает хорошими умственными способностями, которые позволяют ему мыслить и действовать продуктивно. Он всегда стремится найти надлежащий выход из сложных ситуаций, предпочитая при этом полагаться на факты, а не на оптимистические гипотезы. Поэтому он склонен по возможности быстро переходить от мыслей к делу. Он осознает свои способности и возможности и умеет наилучшим образом пользоваться ими для продуктивной деятельности. Он постоянно совершенствует свои навыки, стремясь добиться поставленной цели в разумные сроки. Он не лишен воображения и любит искать нетрадиционные решения проблем,
В нравственном плане уравновешенный человек обладает чувством справедливости, основанным на глубокой и постоянной озабоченности объективностью. Он склонен больше полагаться на собственные суждения, чем на суждения других людей или средств массовой информации. Он всегда решает сам, придерживаться ли ему социальных норм. Обладая твердой волей, он при этом не упрям. Он всегда готов признать собственные ошибки, не выставляя их, однако, напоказ.
В социальном плане уравновешенный человек, как правило, способен устанавливать непринужденные отношения с другими, чувствуя при этом, что он ими принят. Он редко рассчитывает свои реакции заранее, и эта непосредственность позволяет ему легко общаться как с теми, кто стоит выше его, так и с теми, кто стоит ниже.
Наконец, в личностном плане уравновешенный человек-это оптимист, который любит жизнь и отвечает на ее требования, не испытывая при этом чувства принужденности. Чаще всего это добродушный, жизнерадостный по характеру человек, Это зрелая, самостоятельная и реалистически мыслящая личность, способная брать на себя ответственность, не отказываясь и от риска. Она достаточно устойчива в эмоциональном плане, не проявляет ни излишней доверчивости, ни чрезмерной подозрительности и способна принять собственную неудачу без несоразмерных переживании. Как правило, уравновешенный человек предпочитает достигать желаемого собственными усилиями, а не жалобами или манипуляциями. Кроме того, он сохраняет в себе некоторую свежесть чувств и поэтому способен совершать неожиданные поступки и восхищаться. Наконец, он с достаточным уважением и симпатией
«В здоровом теле-здоровый лух».
«Ии ы?№ 177
относится к самому себе, но сохраняет при этом чувство юмора, которое мешает ему принимать собственную персону слишком серьезно.
Вы считаете, что это ваш точный портрет? Если ваше мнение соответствует действительности, то вы относитесь к той трети людей, психическое состояние которых можно считать великолепным. Не волнуйтесь и в противоположном случае: вы не окажетесь в меньшинстве. Некоторые авторы полагают, что фактически более 70% всех людей обнаруживают поведение невротического типа, хотя, по их мнению, тяжелыми неврозами страдает всего 5% населения- Эти цифры, однако, зависят от возраста. Так, согласно данным опроса, проведенного в центре Нью-Йорка, если в возрасте от 20 до 29 лет великолепное психическое здоровье обнаруживают 24% людей, то после 65 лет этот показатель падает до 15% (Strole et aL, 1962) Ч
Таким образом, судя по статистическим данным, человеческая природа скорее всего соответствует той «психической зоне», в которой пребывает 70% всех людей и которая располагается между полюсом психической уравновешенности и полюсом патологии,
«Нормальным человеком» можно, по сути дела, считать всякого, кто живет и уживается со всеми своими недостатками, не всегда «адаптивным» поведением, удовлетворяемыми с грехом пополам потребностями и тревогой, от которой он старается получше «застраховаться», прибегая к разнообразным механизмам психологической защиты или вырабатывая определенные черты характера. Важно как можно лучше осознать все это, и если полного психического равновесия достичь все-таки не удастся, то сохранять критическое отношение к своим реакциям и способность при случае посмеяться над ними.
ч.
Документ 12.2. Жизнь и механизмы
психологической защиты
Ежедневно мы совершаем какие-то поступки, что-то говорим, о чем-то судим и как-то оправдываем свои действия. Ни первый взгляд, мы все это делаем сознательно, но всегда ли это так в действительности? В большинстве случаев здесь проявляются механизмы психологической защиты, с помощью которых наше «Я» позволяет нам преодолевать конфликты, в определенных ситуациях порождающие тревогу. Вот несколько примеров таких ситуаций. Можете ли вы определить какой механизм зашиты работает в том или ином случае? 2
1. Молодая женщина избегает всяких контактов с мужчинами; под гипнозом она рассказывает, как в детстве подверглась сексуальной агрессии со стороны своего дяди-алкоголика-событие, о котором в 'сознательном состоянии она совершенно не помнит.
1 Сходные исследования (щп\ no J. Arseneau, 1983), проведенные в Новой Шотландии и Квебеке, дали аналогичные результаты (Leighton et al, 1971; Denis et аЦ 1973),
2 Возможные варианты ответов см. на с. 205.
12 44,1
178_______________________________Г. юна 12__________________________________
2. В одном африканском племени бытует легенда, что тот, кто услышит шум соседнего водопада, умрет. Ни один представитель племени никогда не слышал шума падающей воды.
3. Некто заявляет, что был бы счастлив прийти на свидание, сулящее ему работу, но забывает туда явиться,
4. У ребенка, которому запрещали играть своими экскрементами, развивается преувеличенная чистоплотность.
5. Женщина, которая не может иметь ребенка, становится образцовой патронажной сестрой.
6. Студенту, который с удовольствием «смошенничал» бы на экзамене, кажется, что все на него смотрят так, как если бы он «мошенничал» взаправду.
7. Агрессивный молодой человек становится «звездой» регби или футбола,
8. Маленькая девочка настолько сильно «любит» своего младшего братца, что все ночи проводит у его изголовья на тот случай, если он вдруг «перестанет дышать».
9. Агрессивность одной женщины по отношению к мужу выражается в том, что она непроизвольно прячет принадлежащие ему вещи.
10. Агрессивный человек часто ведет себя слишком вежливо или слишком слащаво по отношению к другим.
П. Некто убежден, что ему изменяет жена, хотя подсознательно он сам хочет изменить ей.
12, Некто, воспитанный властным отцом, становится активистом одного из движений протеста.
13, Некая мать чрезмерно заботится о своем ребенке, о котором во время беременности она даже и думать не хотела.
14. Человек не признается самому себе, что он не удовлетворен своей должностью, и ему кажется, что все недовольны его работой.
15. Студент оправдывает свой провал на экзамене недостатком времени для ответа или тем, что в билете были вопросы на «засыпку».
-
Документ 12.3. Психические расстройства
в детстве и отрочестве
На протяжении всех первых дет жизни или в отрочестве у некоторых детей могут развиться расстройства поведения, которые будут сильно осложнять их собственную жизнь и жизнь окружающих людей. В большинстве случаев причины таких расстройств остаются неизвестными. Одни расстройства могут сгладиться или даже исчезнуть с наступлением половой зрелости; другие, наоборот, лишь к этому времени и проявляются. Как бы то ни было, большинство нарушений накладывают на человека отпечаток до конца его дней.
Детский аутизм. Аутизм-это расстройство, которым из каждых 10 тысяч детей страдает 3-4 ребенка; это большей частью (в 75% случаев) мальчики.
В отличие от ребенка-шизофреника, который в первые годы жизни
«Иные» 179
развивается нормально и лишь потом уходит в свой внутренний мир, аутистичный ребенок ни дня не проводит в реальном человеческом мире (Bettelheirn, 1973), Никогда-ни взглядом, ни улыбкой-не покажет он, что узнаёт своих родителей. Его речь развивается очень медленно и зачастую стереотипно: он не использует местоимение «я» и ограничивается повторением слов в ответ на заданный ему вопрос, дословно воспроизводя его или пользуясь для этого им же самим придуманным кодом1. Иногда он принимается без конца повторять какое-нибудь действие (например, машинальное движение по кругу) или одиноко играет в странные игры (например, часами смотрит на лужу воды). У него возможны и деструктивные формы поведения, направленные на неодушевленные предметы или на самого себя; он может, например, биться головой о стенку своей кровати или царапать себе лицо. Он проявляет особую привязанность к определенным предметам* которые он нюхает, облизывает или пробует на вкус. Он упрямо отказывается от некоторых видов пищи, требующих, скажем, использования бутылки, или принимается вдруг жевать бумагу или обсасывать камешек. Одна из особенностей аутизма состоит в том, что существует, видимо, какая-то связь между поведением ребенка и состоянием окружающей среды; он плачет во время дождя и топает от радости ногами по поверхности сухой земли.
Причины аутизма не известны; ни одна из предложенных до сих пор гипотез фактически не дает определенных объяснений, хотя все они отчасти дополняют друг друга. Существуют серьезные основания предполагать биологическую причину этого заболевания, но каких-либо свидетельств в пользу его генетической природы нет. Показано, что в голодном мозгу при аутизме образуется больше серотонина, чем у нормальных детей, и этот избыток нейромедиатора мог бы влиять на обработку мозгом внешней информации, поступающей по тем или иным сенсорным каналам.
Однако более правдоподобной кажется гипотеза о том, что биологические факторы обусловливают предрасположение к описанному выше аномальному поведению лишь тогда, когда ребенок попадает в условия, в которых ему ничего не остается, как только «забиться в уголок своего сознания». Особенно это касается тех случаев, когда такие психически хрупкие дети испытывают постоянное давление со стороны родителей, доброжелательность которых к ребенку сочетается с нетерпеливым стремлением развить его потенциальные способности. Беттелхайм, отдавший долгие годы изучению и лечению аутистичных детей, полагает, что под влиянием такого давления ребенок утрачивает способность к надлежащему развитию представлений о самом себе. Вот почему, по мнению этого автора, важно изолировать таких детей от семьи, с тем
1 Так, вместо того чтобы просто отвечать «нет>\ такой ребенок может, например, говорить; «Не таскай кошку за хвост» (замечание, некогда сделанное ему матерью, когда он мучил животное).
12*
180 ________ I\uma 12_________________
*
чтобы вернуть им возможность следовать собственному ритму жизни в соответствии с собственными потребностями в специально предназначенной для этого среде1.
Это концепция противостоит представлениям бихевиористов, ко* торые, как, например* Ловаас (Lovaas* 1977), напротив, полагают, что аутистичного ребенка следует систематически «перевоспитывать» с помощью прежде всего оперантных методов (см. документ 12,9).
Гниерактивность. Из каждых 100 детей в среднем 3 ребенка обнаруживают гиперактивность (мальчики в 10 раз чаще девочек). Как правило, гиперактивность проявляется в возрасте до 7 лет, иногда даже в 3 года и раньше. У одних детей это расстройство исчезает с началом полового созревания, у других же, напротив, сохраняется и в отрочестве, а иногда захватывает и зрелый возраст. Гиперактивный ребенок прежде всего очень невнимателен. Оказавшись в школе, он не слушает уроков, легко отвлекается и никогда не завершает начатое дело. Он импульсивен: почти всегда действует, не подумав, резко переключается с одной активности на другую, постоянно нуждается в присмотре во время выполнения заданий и не способен дожидаться своей очереди в таких групповых ситуациях, как, например, работа в классе или игра. Гиперактивный ребенок не может усидеть на месте; он перебегает с одного места на другое, лезет на мебель или летит вниз по лестнице. Даже во сне он не перестает двигаться. В любых обстоятельствах он ведет себя так, словно внутри у него «вечный двигатель».
Понятно, что такое поведение гиперактивного ребенка сильно отражается как на его социальном, так и на умственном развитии, осложняя его социальные взаимоотношения, что в дальнейшем может обернуться для него трудно преодолимым препятствием.
Причины гиперактивности изучены далеко не полностью. Поскольку это расстройство проявляется очень рано, весьма вероятно, что аномалия имеет отчасти биологическую природу, Была выдвинута гипотеза, что важную роль в развитии гиперактивности у предрасположенных к ней от рождения детей могут играть некоторые компоненты пищи, такие, например, как вкусовые добавки и красители, а также салицилаты (которые содержатся в некоторых плодах) и в особенности рафинированный сахар (Feingoldj 1976; Prinzet аЦ 1980). Как это ни странно, прием стимулирующих веществ (вкдючая кофе), по-видимому, вызывает у гиперактивных детей заметное снижение активности.
До сих пор из всех методов, применявшихся для лечения этого расстройства, заметного улучшения поведения удавалось достичь главным образом с помощью бихевиористских подходов.
1 Основанное Беттелхаймом в Чикаго специальное учебное заведение пытается создать такие условия физического и социального окружения ребенка, в которых он чувствовал бы себя наиболее устойчиво. Во Франции Делинъи (DeJigny, I975) также стремится к созданию для ребенка условий сгабильного существования, помещая его в небольшие «самодостаточные» сообщества, наподобие сети разбросанные пб одному из горных массивов Севенн+
«Иные» ] S Ч
От расстройств поведения до соцжшатнн. Некоторые дети лишены всякой способности думать о благополучии других людей и всякий раз попирают их права, когда дело касается удовлетворения собственных нужд. Речь идет о «манипуляторах»-детях (а впоследствии и подростках), пускающих в ход все свое, обаяние и играющих на самых чувствительных струнах других людей, чтобы добиться собственной цели. Как правило, они не способны испытывать какие-либо чувства или проявлять раскаяние по поводу причиненного ими зла. Иногда они могут быть просто опасными, так как не умеют предвидеть возможные последствия своих поступков. Таких социально неадаптированных лю* дей называют социальными психопатами.
Антисоциальная личность таких детей все чаще и чаще толкает их на то, чтобы жить за счет других* максимально эксплуатируя любой недостаток последних, лишь бы извлечь из него побольше выгоды
Впоследствии такие социопаты попадают в исправительные заведения, где и проводят значительную часть жизкн. Очутившись в тюрьме, они способны вести себя как «примерные» заключенные, без какого- л но о недовольства принимая все ограничения и проявляя большое уважение к начальству, чтобы добиться условного освобождения; получив его, они при первой же возможности снова совершают преступление.
Похоже, что никакая терапия на социопатов вообще не действует. Лечить это поведенческое расстройство трудно еще и потому, что слишком мало изучены вызывающие его причины. Известно, что во многих случаях антисоциальное поведение свойственно детям, выросшим в семье, где царило несогласие» или детям, родители которых разошлись или развелись, а нередко и сами проявляли антисоциальные черты. Кроме того, зачастую это дети, с очень раннего возраста воспитывавшиеся в детском ломе. Однако тот факт, что у большинства таких детей есть братья и сестры с нормальным поведением, может опять-таки указывать на возможную биологическую предрасположенность к этому расстройству. ЭЭГ социопатов заметно отличается от ЭЭГ нормальных людей; в ЭЭГ антисоциальных субъектов нет никаких признаков того, что они способны предвидеть событие, которое вот-вот должно произойти. Таким образом,, выражаясь физиологическим языком, они лишены способности устанавливать связь между тем, что только что произошло, и тем, чего можно сейчас ожидать1. Именно этим можно было бы объяснить, почему в ту минуту, когда они совершают преступление, они не думают ни о последствиях своего поступка, ни о страданиях жертвы, ни о том наказании, которому они рискуют подвергнуться. Как показал Орм (Orme, 1969)2, если в эксперименте испытуемых спросить, предпочитают ли они получить удар электрическим током сразу же или только через 10 секунд, нормальный человек, как правило* выберет первое, а социопат-второе; некоторым
1 Цит* по М, Ferguson, „La revolution du cerveau", p. 188.
2 Там
182_______________________________________Г.шва 12 >____________________________
образом это подтверждает, что социопат способен думать лишь о тех выгодах, которые он может извлечь в данный момент.
Психическая анорексия. Из каждой тысячи молодых людей анорек-сией в среднем страдает от 3 до 10 человек, причем в 7-20% случаев это расстройство приводит к летальному исходу. Анорексия наблюдается почти исключительно у девушек-подростков в возрасте от 12 до 18 лет; они упорно отказываются от- пищи, иногда даже потеряв более 25% своего нормального веса, Анорексия нередко сопровождается прекращением менструаций.
Больная анорексией имеет превратное представление о собственном теле, она считает себя «слишком жирной» даже тогда, когда лицо её выглядит изможденным, глаза глубоко запали, суставы на исхудавших руках и ногах выступают. Она отрицает голод, а если у нее и случаются иногда приступы булимии, она сразу же после еды искусственно вызывает рвоту. Анорексия сопровождается также гиперактивностью; девушка может заниматься разнообразными видами спорта или танцами, иногда поднимается даже ночью, чтобы проделать несколько упражнений и тем самым израсходовать сколько-то калорий.
Причины анорексии остаются неясными. Но, учитывая этап развития* на котором она возникает, и то, что страдают ею в основном девушки, можно думать, что это расстройство подросткового созревания, связанное с «упорным отказом от феминизации физического облика». Весьма возможно, что оно представляет собой реакцию на преждевременное половое созревание или на реальную или воображаемую опасность стать жертвой кровосмешения; взоры, которые обращают мужчины семейного круга на физическую трансформацию девушки, вполне могли бы способствовать появлению этой аномалии.
Лечение анорексии основано главным образом - на доведении до сознания пациентки реальности симптомов (потеря веса, прекращение менструаций), на пробуждении у нее желания восстановить нормальный процесс социализации и, наконец, на твердой постановке перед ней цели восстановить нормальный вес, что позволило бы объективно оценивать изменения в установках больной.
Булнмнн. Булимией тоже страдают почти исключительно женщины (около 10% всех женщин в возрасте от 12 до 39 лет). Как показали многие североамериканские исследователи, эта патологическая потребность объедаться, не испытывая при этом настоящего удовольствия, сейчас в той или иной мере отмечается у более чем 20% женщин со среднием уровнем образования, которым, однако, удается сохранять нормальный или близкий к нормальному вес тела. По данным этих исследователей, около половины таких женщин прибегает к слабительным средствам, а 14% -к искусственно вызываемой рвоте. Таким образом, некоторые из них «зацикливаются» на систематическом переедании и последующей рвоте, что становится одной из важнейших сторон их жизни. По-видимому, такая практика позволяет им на время избавляться от подавленности и тревоги,, связанными с повседневными проблемами, и трансформировать их в чувство облегчения, вины, стыда и т.п.
«Иные»
По мнению ряда авторов, расстройства, связанные с питанием, видимо, имеют тесное отношение к процессу самоидентификации. Страх быть отвергнутым в сочетании с отсутствием самоуважения мог бы быть одной из важных причин булимии, особенно если в недавнем или более отдаленном прошлом человек действительно был отвергнут представителем противоположного пола. В этом смысле навязчивое обжорство могло бы служить своеобразным способом занять свободное время, столь тягостное для отвергнутого; таким образом, эту аномалию можно было бы рассматривать как форму поведения с самовознаграждением !.
Источники: Barker М.. Вгипеаы С. 1985. "Aspects psycho! ogiques de Tartorexie men tale et implications", dans J. Wilkins (Ed,), Mcdccine de Fadolescence: Une medecine specifique, Montreal, Centre d'information sur la sante de I'enfant, Hopital SteJustine, p, 302-309.
Neuman P.A.r Halvorson P. A>, 1983. Anorexia Ncrvosa and Bulimia* Van Nostrand Rein hold Company Inc.
Документ 12.4. Путешествие через
психическое страдание
«Нормальный» человек определяет границу между тем, что прием-лемо и тем, что неприемлемо, своим отношением к галлюцинациям, бреду и неадаптивным или странным формам поведения, встречающимся у некоторых людей, При этом он руководствуется описанием и медицинской классификацией симптомов психических расстройств. Ко «насколько же сомнительна, зловеща и немыслима власть специалистов-психиатров, которые продолжают пользоваться правом закапывать больных-живых и вопящих-в могилы своих терминов. Их вопли -якобы не что иное, как симптомы истерии, их ужас-признак паранойи; их отсутствующий взгляд свидетельствует о пугающей утрате всех нравственных устоев» (Laing, 1986)* Кто может сказать, что на самом деле означает симптом, который человек использует как способ выражения своей неприспособленности к миру?
Бред и галлюцинации '
Из всех симптомов, свойственных человеку с параноидными или шизофреническими расстройствами, на первом месте стоят бред и галлюцинации. '
Бред, сопровождающий параноидные расстройства*, как правило, сосредоточен вокруг определенной темы, связанной с преследованием,
1 Недаьно было установлено, что патологическое переедание, сопровождающееся депрессией, связано с нарушением биохимических и физиологических механизмов мозга (в частности, функций эпифиза и обмена его гормона мела-тонина).- Ирим. перев.
184 Глава 12__________________________________
ревностью или величием, и больной абсолютно уверен в истинности своих представлений* которые совершенно не соответствуют действительности.
«Мой сосед далает все, чтобы мне навредить. Он знает, что я не люблю шума; тем не менее каждый вечер он включает свой телевизор именно в тот час, когда мне нужно отдохнуть. Я слышу его через стенку. Он это делает назло. А потом, почему он всегда ставит свой автомобиль прямо перед моей дверью? Чтобы всякий раз, когда я выхожу на улицу, выразить мне свое пренебрежение. Когда мы сталкиваемся в коридоре!» он не осмеливается даже взглянуть на меня; но я уверен, что в это время он про себя смеется надо мной. Наконец, что это за сомнительные личности, которых он часто принимает у себя по вечерам? Иногда они часами разговаривают, но стоит мне приложить ухо к стенке, как они замолкают- Мне нужно сообщить об этом в полицию.,.»
Сосед, разумеется, даже не подозревает о том, в чем его обвиняют. Бред этого типа характеризуется тем, что рассуждения больного вполне логичны-ошибочны только исходные посылки; они лишь плод его воображения.
Что касается бреда при шизофренических расстройствах то чаще всего он отличается несистематизированным характером и не привязан к какой-либо определенной теме. В случае .такого бреда у человека возникают мысли, не имеющие никакой взаимной связи, а во время речи часты паузы:
«Кто я? Я-это я и это весь мир в то же самое время... время.,, нужно остановить время... Вы не можете мне повредить... Я пустой внутри.,. У меня больше нет лица...»
При шизофреническом бреде параноидного типа у больного возникают идеи преследования или величия, не связанные какой-либо истин* ной логической связью:
«Вытащите сыновей... всех сыновей из моей головы, которые привязывают меня к громадной машине... Она всеми нами управляет... Их нужно остерегаться... Вот они... Они хотят войти в мое тело...»
Галлюцинации могут быть вкусовыми, обонятельными или зрительными, Чаще, всего, однако, возникают слуховые галлюцинации:
«Это голоса хирургов... Они опять хотят вынуть кусок моего мозга». Нет, я вам не дамся».
«Я знаю, что меня пытаются отравить запахами из углов моей комнаты... Даже у супа вкус изменился... Но они не знают, что я могу преодолеть действие отравы, стоит мне только сосредоточить свои
МЫСЛИ.;.»
«Вы видите на потолке Христа? Все могут его видеть, если хотят опустошить его голову...»
На первый взгляд эти речи полностью иррациональны, и именно это безрассудство, считающееся «болезнью», и призвана сдерживать, если не подавлять, психиатрия. Но каков глубинный смысл этих речей? Какие
«Иные» 185
внутренние переживания они могут отражать? Где начинаются их корни?1
-
Экзальтация и «перескакивание мыслен»
- Для маниакальных состояний характерны неустойчивость внимания, крайнее возбуждение, а также «скачка мыслей» - направление мыслей быстро и непредсказуемо меняется, что приводит к бессвязности речи:
«Как вы поживаете? Я очень спешу... Но садитесь же. Как вы поживаете? Вы похожи на моего брата. Я тоже играл в гольф. Но мне не нравился мой дантист... Вы знаете, я был женат. У нас был большой дом.., Я очень люблю пикники. А вы?„. Смотрите, почему это занавески задернуты?»
Одна из гипотез психоаналитического толка усматривает в таком поведении механизм психологической зашиты от глубокого депрессивного ужаса. Возможно, что с помощью таких направленных вовне беспорядочных мыслей человек как бы отрицает свою внутреннюю реальность и связанные с ней ощущения депрессии.
По ту сторону механизмов психологической защиты
Беспрерывная адаптация к подчас травмирующим жизненным обстоятельствам, риск, которому приходится подвергаться, ожидание того, что может произойти,-таковы источники порождающего тревогу стресса, над которым более или менее сознательно мы пытаемся ежедневно одерживать верх. Бывает, однако, и так, что человек уже не в состоянии регулировать стресс, и тогда без видимых причин его захлестывает ужас, сдержать который он не в силах; именно это происходит в случае панических расстройств.
Приступ ужаса развивается внезапно и может длиться несколько минут, а иногда и несколько часов. Но Дениза знает, что этот приступ беспричинный. Сердце начинает биться чаще, на коже выступает пот, и она чувствует, как у нее сжимается горло. Ей кажется, что скоро она не сможет дышать, что она жертва сердечного приступа* что она вот-вот сойдет с ума или умрет...
В других случаях «обычные» механизмы психологической защиты заменяются более или менее жесткими стратегиями, энергетическая «стоимость» которых для организма значительно выше (см. Dongier, 1967).
Например, человек, страдающий фобией будет постоянно испытывать страх перед каким-либо определенным предметом или местом, которого ему достаточно будет избегать, чтобы симптомы расстройства не проявлялись.
1 Лэиш {Laing, 1986) и ряд других исследователей пытаются связать некоторые сновидения или галлюцинации с тем* что человек пережил раньше, иногда, быть может, в первые дни после рождения или даже в период внутриутробной ЖИЗЕШ.
1Й6 Гита 12
Жанна, находясь на одном из верхних этажей дома, не может подойти к окну (даже закрытому), чтобьс у нее не подкашивались ноги (акрофобия).
Пьер может спать только в том случае, если в комнате есть хотя бы два окна и дверь, которую он оставляет на ночь приоткрытой (клаустрофобия).
Лиза не может отойти от дома дальше чем на сотню метров - ужас начинает сжимать ей грудь и горло, заставляя повернуть назад (агорафобия).
У Поля от одного вида муравья начинается сердцебиение (зоофобия).
Больной с. навязчивыми идеями пытается избежать связанного с ними дискомфорта, но это выражается главным образом в том, что он бесконечное число раз повторяет те .действия, совершать которые он чувствует себя «обязанным», сознавая при этом всю их бессмысленность.
Жак чувствует необходимость вымыть руки всякий раз, когда он дотронулся до дверной ручки или какого-либо другого предмета* Поэтому он десятки раз подходит у. умывальнику и еще по десять раз моет руки перед едой.
Жаннину преследует навязчивая мысль, что ее четырехлетний сын может порезаться ножом или какой-нибудь другой кухонной принадлежностью. Поэтому она вынимает их из выдвижного ящика и кладет, в стенной шкаф, а после этого ее охватывает сомнение: «А вдруг он заберется на стул?» В результате она перекладывает их на самый верх, откуда и вынуждена доставать всякий раз, когда нужно заняться приготовлением пищи,
Пьер не может сопротивляться искушению почистить номерные знаки всех автомобилей, стоящих вдоль тротуара. Иногда, объятый сомнением, он вынужден возвратиться назад, чтобы проверить, насколько тот или иной номерной знак хорошо читается. Его «голгофа» возобновляется всякий ра% когда он гуляет по городу (даже если его кто-нибудь сопровождает).
При конверсионных расстройствах человек не допускает даже самой возможности ситуации, порождающей ужас, что превращает психологическую проблему в проблему физическую.
После продолжительной жизни с матерью Жак, наконец, женился. Со своей будущей женой они договорились, что у них никогда не будет ребенка, так как чувствовали, что не способны взять на себя такую ответственность. Однако через несколько месяцев жена забеременела, и, исходя из своих религиозных убеждений, супруги решили не прерывать естественный ход вещей, В день родов, когда Жан собирался выйти из дома и направиться в больницу, он внезапно ослеп. Проведенные обследования, однако, не выявили никаких органических поражений на уровне глаз или головного мозга.
В момент отправки на фронт, где молодому солдату предстояло впервые участвовать в бою, у него внезапно развивается паралич правой ноги, который, однако, нельзя было связать с каким-либо органическим поражением,
Соматцзированные расстройства-еще один способ обезопасить себя от психологических тревог, подставив на их место симптомы, локализовать которые в большинстве случаев невозможно.
Лори 25 лет. Уже несколько месяцев она ощущает различные боли в животе, но не может определить, в чем их причина-желудок, печень или кишечник. Она сообщает, что ей нельзя есть определенные мясные блюда и жирную пищу, но эти специфические ограничения невозможно объяснить с точки зрения диетологии. Испытывая иногда невыносимые боли, она консультируется с разными врачами, но никто не может установить их причину. Лори тем не менее уверена, что расстройство, безусловно, имеет органическое происхождение Kt no ее мнению,
«Иныея 187
требует хирургического вмешательства; она a priori отвергает все психологи* чсские объяснения.
Ипохондрия -расстройство, при котором человек уделяет чрезмерное внимание признакам определенной болезни, которой, по его убеждению, страдает,
С тех пор как Марсель прослушал радиопередачу о болезнях сердца и прочел на эту тему несколько статей, он «знает», что возникающие у него иногда боли в груди - верный признак неизбежного инфаркта. Болевые симптомы появляются, как правило, после пробуждения от сна» из-за чего он часто не выходит на работу, а его жена вынуждена заботиться о нем. До сих пор, однако, медицинские обследования не выявили никаких предвестников сердечного приступа.
Диссоциативная реакция, встречающаяся главным рбразом у людей с множественной личностью,-сравнительно редкий психический феномен. Это механизм, позволяющий человеку противостоять стрессорным ситуациям путем «выпячивания» одного или нескольких аспектов личности; в совокупности эти аспекты составляют «персонаж», способный противостоять ситуации без участия других граней личности.
Тело Сибиллы поочередно становилось местообитанием 16 личностей разного пола и возраста. Каждая из них обнаруживала характерные особенности голоса, используемого словаря, походки и даже силуэта. Одни из этих личностей были крупными, другие-незначительными; одни были стройными и белокурыми, другие-невысокими и темноволосыми* У всех были разные представления о жизни, и каждая «заступала на дежурство» сообразно с той ситуацией, в какой оказывалась Сибилла. Мэри была задумчивой и замкнутой, Пэгги-холеричной, Сил и Майк были столярами и характером походили на отца и деда Сибиллы, Нэнси была нежной и набожной,- но только утонченная и пылкая Внкки знала о существовании других (Schreiber, 1978).
Документ 12.5. Здравый рассудок среди безумия
Можно ли быть уверенным в том, что тебя сочтут «нормальным» человеком в таком месте, где ухаживают за людьми, считающимися «ненормальными»? Именно на этот вопрос пытался ответить в 1973 году профессор психологии Станфордского университета (Калифорния) Дэвид Розенхан.
Он и еще семь человек образовали группу, в которую входили три психолога, педиатр, психиатр, художник и домохозяйка (три женщины и пять мужчин) и которая появлялась поочередно в 12 психиатрических клиниках пяти штатов США. Все члены группы были нормальными людьми и никогда в жизни не обнаруживали никаких психических расстройств.
Каждый участник группы получал следующую инструкцию: обратившись в клинику, он в ответ на соответствующий вопрос должен был сообщить, что иногда слышит незнакомый голос,-принадлежащий человеку одного с ним пола и произносящий какие-то малозначащие слова; затем ему следовало, изменив только свое имя, без утайки рассказать все, что касается его реальной жизни со всеми ее радостями и горестями.
Г.тт 12
По мнению Розенхана, в этих рассказах не могло быть ничего похожего на патологию.
Как бы то ни было, 11 из 12 участников группы были приняты в клинику с диагнозом «шизофрения».
Быть может, случившееся объясняется ошибкой медицинского персонала клиники или тем, что они хотели проверить диагноз?
С момента поступления в клинику и на протяжении всего пребывания в ней псевдопациенты вели себя совершенно нормально, не упоминая больше о «голосах», в надежде быстро выписаться. Такого внезапного улучшения состояния, однако, не заметил ни один из медицинских работников, и только после многочисленных попыток убедить персонал в том* что они находятся в достаточно здравом рассудке, чтобы покинуть больницу, смогли они вернуться домой, проведя в ней в среднем по три недели (одна из «исследователей», которого держали в клинике 7 с половиной недель, вынужден был бежать из нее, так и не убедив «опекунов», что он здоров и телом и душой).
Когда Розенхан ознакомил сотрудников психиатрических клиник с этими результатами, они возмутились отказываясь верить в то, что подобное могло случиться в обычных условиях.
Тогда Розенхан предупредил медицинский персонал одной из клиник, ознакомленный с результатами его первого эксперимента, что в ближайшие три месяца им следует ожидать обращений «псевдопациентов». Из 193 человек, принятых за это время в клинику, 41 вызвал подозрения по меньшей мере у одного представителя персонала, 23 были объявлены «псевдопациентами» по крайней мере одним психиатром и 19 вызвали подозрения одновременно у одного психиатра и у одного представителя персонала без медицинского образования... А между тем в клинику за все это время не обратилось ни одного «псевдопациента».
Таким образом, следовало признать очевидность того факта, что нет ни малейшей уверенности в том, кого следует считать «нормальным» а кого «ненормальным» человеком. Тогда на чем же основана такая уверенность у некоторых психиатров? По мнению Розенхана, большей частью на ошибках восприятия или на ошибочной интерпретации действительности.
Во время пребывания в клинике псевдопациенты записывали все свои наблюдения за происходившим вокруг, и это никого не обеспокоило и не побудило проверить цель этих наблюдений. Наоборот, их «писательское поведение» рассматривалось как характерный признак шизофрении и лишь подтверждало поставленный ранее диагноз. Однако 30% «на* стоящих» пациентов клиники разгадали «мошенничество» псевдопациентов; они заявляли: «Вы ведь не сумасшедший, правда?.. Вы, наверное, журналист или ученый?.. Держу пари, что вы наводите справки о больнице!».»
Исследователи отметили также, насколько трудно был доступен персонал клиники, шла ли речь о психиатре, психологе, медицинской сестре или служащем. Они подсчитали, что в среднем контактировали с тем или иным представителем персонала 6,8 минут в день. Кроме того,
«Иные»
эти контакты чаще всего были испорчены отношением персонала, о-чем прекрасно знают все, кто часто попадает в больницы. Так, например; на ежедневно задававшийся вопрос: «Доктор, не могли бы Вы мне сказать, когда меня выпишут?», психиатр тотчас же, не услышав даже вопроса, отвечал: «Здравствуйте, Дэвид, Как вы сегодня себя чувствуете?».
Как отмечает Розенхан, побывав в такой атмосфере, нетрудно понять, как нормальные люди «могут казаться безумными просто в силу того обстоятельства, что они очутились в столь необычном месте* как обезличивающая и вызывающая чувство обреченности психиатрическая больница».
Как еще 20 лет назад показал Мендел (см. документ ЗЛ), все происходит так, как было заведено. Неужели что-нибудь действительно
изменилось после 1954 года?
Документ 12.6. Антипсихиатрия и психиатрия:
право на безумие или право на лечение?
Дискуссии по поводу «безумия» еще очень далеки от завершения, С открытием в 50-е годы препаратов, действующих на мозг, некоторое развитие получило антипсихиатрическое движение, требующее для каждого человека права на уход из своей среды и обретение смысла своего существования с помощью «путешествия через безумие». Такая концепция прямо противоречила интересам тех психиатров, которые стремились «вернуть психиатрию в лоно медицины» как раз с помощью препаратов, представляющих собой «великолепные лекарственные прописи». Так, в частности, случилось с д-ром Тюийе, французским психиатром и фармакологом, автором книги «Десять лет, которые изменили безумие»1, где он прослеживает историю открытия психотропных препаратов и использования химиотерапии в психиатрии. В 1981 году в одном интервью он заявил2: «Если такие антипсихиатры, как Лэинг и Купер, говорят, что больного не нужно контролировать во время приступов психоза, то подобные установки следует считать преступными... Тот, кто послушался советов антипсихиатров, привел своих больных к катастрофе. Но язык антипсихиатров подобен коварному яду, против которого иногда с большим трудом борются настоящие добросовестные психиатры. Этот язык ставит по одну сторону тех, кто хочет сопровождать своих пациентов, жить вместе с ними и разрешать им делать вес, что хочется, а по другую-тех, кто хочет упечь своих больных в психиатрическую больницу и колоть их, одурманивая. Вторые сразу же оказываются в проигрышном положении».
«Однако, - продолжает д-р Тюийе,-достаточно лишь взглянуть на то, как химиотерапия изменила состояние некоторых больных. Я могу привести один конкретный пример, Я знаю женщину, приходящую домашнюю работницу, мать семейства, которая трудится, несмотря на
1 Книга вышла в издательстве „Pobert Laflont" в 1981 г.
г- Цит. по Jacque Mousscau, Psychologic, n4 136, mai 1981/, p. 25-33.
190 ' Г.шва 12
галлюцинации, В это время на нее воздействуют нейролептики, инъецируемые ей каждые 15 дней. Стоит ей только включить пылесос, как ей слышится голос, начинающий с ней разговарить, но потом она не обращает на него внимания, потому что находится под действием нейролептиков; а ведь прежде она разбила бы пылесос об стену.. В этом вся разница. Можно ли говорить, что она вылечилась? Она не вылечилась, но она работает, зарабатывает себе на жизнь, заботится о своих детях, и для нее есть место в обществе».
Иные могут возразить, что химические смирительные рубашки и та жизнь зомби, на которую они обрекают человека,-возможно, и не лучший способ обретения смысла существования, даже если речь идет всего-навсего о простой домработнице. Разве безумие-как раз не средство избавления от реальности, все содержание которой ограничено чужой квартирой и пылесосом? К сожалению, еще ни разу не сообщалось о психиатре, работающем «под нейролептиками» и продолжающем «зарабатывать себе на жизнь», несмотря, на галлюцинации. Такой пример, возможно, позволил бы проводить аналогии.
Как бы то ни было, и сейчас, в 1988 году, «психиатрия полностью пробуксовывает». Один психиатр признался журналисту1: «Нужно смиренно признать, что диагноз ставят, не зная причин болезни, и что людей не лечат, а скорее опекают». Канадский психиатр д-р Леманн, работающий в настоящее время в Отделении психиатрических исследований в штате Нью-Йорк, сознается, что он всегда был скептиком, «Долгие годы работы с психически больными,-говорит он,-убедили меня в том, что все, чего можно ожидать от пилюль,- это частичное или временное улучшение состояния».
Каково же будущее психиатрия? С одной стороны, исследования, а с другой-«поиск путей, которые могли бы обеспечить более приятную жизнь всем хроническим пациентам,-поясняет д-р Леманн.-Не следует самообольщаться: Общество агрессивно; чтобы идти вперед, нужно бороться. Больные на это не способны. Для них необходимо найти особый мир, где-то между обществом и клиникой. Мир, где они смогли бы наслаждаться большей свободой и самостоятельностью, пользуясь защитой и поддержкой других».
Но предложила ли антипсихиатрия что-нибудь отличное от тех мест, где пациент «смог бы сам найти для себя какой-то выход»? (Mousseau, 1*71),
Документ 12.7. Не сводится ли весь секрет терапии
к эффекту плацебо?
Сотни исследователей показали, что независимо от вида проведенной терапии - медицинской или психологической - показатели ее успешности довольно близки (Shapiro, Morris, 1978). Значительная величина этих
1 D. DemerSj La psychiatric en panne, L\Actualitet voL 11, nD 6t juin 1986, p. 48-53.
«Иные» 191
показателей, достигающая примерно 80% (Smith, Glass, 1977), ясно свидетельствует о том, что их нельзя объяснить случайными совпадениями, Стало быть, приходится говорить об участии во всех этих терапевтических процедурах некоего общего фактора. Вероятнее всего, речь идет об эффекте плацебо.
Бичер (Beecher, 1955) сообщил о результатах опыта с участием более тысячи пациентов, в котором использовалось одно только плацебо.-Раздав всем больным с различными расстройствами подслащенные пилюли и сказав им, что это действенное лекарство, Бичер нашел, Что состояние трети из них заметно улучшилось (некоторые же утверждали, что «лекарство» приносит им вред).
В Англии однажды только после двухлетней эксплуатации прибора для электрошоковой терапии обнаружили, что он неисправен и не выполняет своих функций. Неисправность же прибора была выявлена не в результате наблюдений за состоянием больных, а благодаря простому наблюдению медицинской сестры, заметившей, что у них во время процедуры не происходит обычного движения ушей (Scheflin, Opton, 1978).
Американский психиатр Хит (Heath) провел эксперимент с двойным слепым контролем, в котором одна половина больных с тяжелыми расстройствами подвергалась лоботомии, а другая-только поверхностной операции, не затрагивавшей головной мозг. У всех пациентов, таким образом, оставался рубец, но ни им самим, ни персоналу больницы не было известно, кто из них был подвергнут лоботомии. Хит настоял, чтобы после операции всем больным оказывалась наилучшая психологическая помощь- Спустя некоторое время у большинства из них обнаружились признаки улучшения, а многих даже можно было выписать домой, причем улучшение состояния не было статистически достоверно связано с хирургическим вмешательством.
Таким образом, эффект плацебо прослеживается в психотерапевтических подходах самой разной ориентации: похоже, что успех лечения чаще всего определяется тем, насколько пациент и терапевт верят в его эффективность. Впрочем, терапевты-бихевиористы отводят такую интерпретацию в отношении своих методов, ссылаясь на их строго научное обоснование. Между тем не исключено, что эффект плацебо в наиболее «чистом виде» проявляется именно в их методе систематической десенсибилизации. Вслед за многими другими исследователями Каздин и Уилкоксон (Kazdin, WUcoxon, 1976) показали, что больных фобией, испытывающих непреодолимую боязнь змей, можно вылечить, заставив их поверить, что на проецируемых на экран «пустых» диапозитивах имеется подпороговое изображение предмета их страхов. «Исцеление» можно ускорить, если знакомить пациентов с ложными записями физиологических показателей их тревоги, специально изготовленными для того, чтобы показать больному динамику его выздоровления.
Судя по результатам ряда исследований (Duncan, Laird, 1981), эффективность плацебо, по-видимому, отчасти зависит от личностных-факторов. Так, испытуемые, которые полагали, что их поведение контроли-
руется внешними факторами, реагировали на плацебо лучше, чем люди с внутренним контролем поведения (см. гл. 10).
Филдс и его сотрудники из Калифорнийского университета (Fields et aL, 1978), возможно» напали на след, который мог бы привести к пониманию таких различий с точки зрения биохимии головного мозга. Эти авторы попросили группу испытуемых оценить интенсивность боли после удаления зуба. Потом они предложили каждому испытуемому проглотить некий препарат и сообщить о его действии. Половина испытуемых получила налоксон-вещество, снимающее эффект естественных блокаторов боли, называемых эндорфинами. Другая половина получила плацебо. Испытуемые первой группы отмечали весьма заметное усиление боли, так как действие эндорфинов в период стресса было подавлено. Вторая половина испытуемых четко разделилась на две подгруппы. Треть из них сразу же реагировала на плацебо, отмечая заметное ослабление боли. Фидцс назвал этих испытуемых «плацебо-реактивными». Другая часть испытуемых сообщила лишь о небольшом ослаблении боли или даже об отсутствии эффекта. Их назвали «плаце-бо-ареактивными». Дав испытуемым этих двух подгрупп налоксон, исследователи отметили более значительное усиление боли у «плацебо-реактивных» лиц. Таким образом, можно заключить, что эффект плацебо связан с освобождением эндорфинов, но только у тех людей, у которых происходит их секреция под влиянием стресса.
Если влияние плацебо на боль и систему эндорфинов опосредовано такими механизмами, то не развиваются ли сходные процессы и на уровне эмоций и связанных с ними нейромедиаторов?
Источник данных; Guay J.t 1983. "La psycho* her a pie est-elle efficace?" dans Psychothcrapies, attention!, Sillery, Quebec, Quebec Science (ссЦ р. 99 119*
Документ 12.8* Пример фрейдистской интерпретации
В своей книге «Введение в психоанализ» (1916) Фрейд описывает случай 19-летней девушки с неврозом навязчивости \ Невроз проявлялся в виде целого ритуала действий, который она вынуждена была совершать перед сном. Прежде всего она останавливала большие часы с маятником, а затем просила вынести из комнаты все другие часы (включая и наручные). Потом она ставила на свой письменный стол все цветочные горшки и вазы «так, чтобы ни один горшок не разбился ночью и не нарушил ее сна». Дальше она приоткрывала дверь между своей комнатой и комнатой родителей и закрепляла ее в этом положении с помощью разных предметов. Но самая важная часть ритуала совершалась уже на кровати, «Большая подушка в изголовье не должна касаться деревянных частей кровати; маленькая подушка для головы должна лежать на большой ромбом; больная кладет голову вдоль диагонали этого ромба. Пуховую перину нужно предварительно встряхнуть так,
ством.
1 DSM III назырает это нарушение обсессивно-компульсивным расстрой-
«Иные я 193
чтобы ее нижний конец стал толще головного конца; но после этого больная тотчас же разрушает всю работу, сплющивая сделанное в перине утолщение»,
«Каждое действие контролируется, проверяется, то одна, то другая мера предосторожности подвергается сомнению, и вся работа длится час или два, в течение которых ни сама девушка, ни ее испуганные родители не могут уснуть».
Анализ симптомов этого расстройства занял несколько месяцев, и только потом было проведено истолкование, благодаря которому стал понятен особый символический смысл каждого из них. В результате «наша больная мало-помалу начинает понимать, что ее нетерпимость к присутствию часов ночью у нее в комнате имеет символическую основу, связанную с женскими половыми органами,.. Тиканье часов можно интерпретировать как символическое отображение пульсации клитора во время полового возбуждения- В самом деле, она часто просыпалась от этого мучительного ощущения, и именно боязнь эрекции заставляла ее избавляться на ночь от соседства с идущими часами. Цветочные горшки и вазы, как и вообще сосуды,-это тоже символы женских половых органов. Страх, что они могут упасть и разбиться ночью?-разве есть в этом какой-нибудь символический смысл? «Подушка,-говорила больная,-это всегда женщина, а вертикальная стенка кровати-мужчина», Таким образом, неким магическим действием, если можно так выразиться, она хотела разделить мужчину и. женщину, т,е, помешать сексуальным отношениям своих родителей. Этой же причиной объясняется ее потребность оставлять на ночь открытой дверь».
«Если подушка-женский символ, то встряхивание перины с тем, чтобы пух собрался в ее нижнем конце и образовал там возвышение, тоже имеет определенный смысл: этот акт означает «сделать женщину беременной»; больная же тотчас уничтожала это возвышение, приминая перину, чтобы помещать родителям зачать во время половой близости нового ребенка, который мог бы стать ей соперником».
«С другой стороны, если большая подушка (женский символ) означала мать, то маленькая подушка для головы могла символизировать только дочь* Почему маленькую подушку нужно было располагать ромбом? Потому* что ромб напоминает по форме открытый вход в женские половые пути. Таким образом, сама больная играла роль мужчины, а ее голова временно символизировала мужской половой орган».
И Фрейд заключает: «Грустные мысли, скажете вы, родятся в голове этой невинной девушки. Согласен с вами, но не забывайте, что не я их выдумал: я их только истолковывал». Разумеется, всякое толкование спорно-даже если его делает отец психоанализа.
Важнее всего, чтобы исчезли симптомы заболевания, не так ли? А Фрейд говорит, что именно это и было результатом тех долгих недель, когда шла эта медленная расшифровка подсознательного.
Источник: Freud S. (1916), Introduction a la psychanalyse, Paris, Petite bib-lioiheque Payot, 1965,
I? 443
194_______________________________Глава 12_________________________________
Документ 12.9. От одной формы терапии к другой...
В документе 12.8 мы кратко описали, как Фрейд и другие психоаналитики пытаются выявить подсознательные побуждения, толкающие людей на те или иные действия. Теперь мы приведем несколько примеров современных терапевтических подходов, основанных на иных принципах и стремящихся восстановить равновесие человека, который пришел за помощью.
Терапия, центрированная на клиенте (по Карлу Роджерсу)
Глория-разведенная женщина, которая пришла посоветоваться, как ей лучше держаться со своей 9-летней дочерью, учитывая свои собственные отношения с мужчинами. Во время" встречи, однако, Роджерсу становится все яснее, что Глория ищет ответа на нечто более глубокое.
Рассказав в начале встречи о своих прошлых поступках и чувствах, которые она рассматривала как бы со стороны «в черно-белых тонах», в ходе разговора она все больше начинает понимать свои чувства в данный момент времени, которые она готова выразить слезами, обращенными к терапевту. Как отмечает Роджерс, она идет от переживаний «там и тогда» и приходит к переживаниям «здесь и теперь».
Мы приведем описание конца этой встречи, позволяющее продемонстрировать различные аспекты роджерсовского подхода, основанного на эмпатии, уважении к другому человеку, аутентичности, переформулировке того, что было выражено словами, в эмоциональное отражение, С помощью этих приемов терапевт пытается дать клиентке возможность более глубоко изучить свой установки и чувства с тем, чтобы она поняла скрытые аспекты своей личности* о которых прежде сама не имела представления, осознала способность делать собственные суждения и в особенности извлекать соответствующие выводы.
Глория.- Вы знаете, о чем я думала. Мне ужасчо неловко говорить об этом: «Сеньор, как хорошо иметь возможность поговорить с вами»; я хочу получить ваше одобрение, и я вас уважаю. Мне так не хватало возможности поговорить со своим отцом так, как я сейчас говорю с вами. Мне хотелось бы сказать: «Я бы хотела, чтобы вы были моим отцом». Я не знаю, отчего эта мысль пришла мне в голову.
Роджерс,— Вы были бы мне нежной дочерью. Но вам и правда не хватало возможности быть откровенной?
- Да, я не могла быть откровенной. Но я не виню отца. Я думаю, я сейчас более откровенна, чем он мне позволял. Он никогда не слушал бы меня так, как вы, без порицания или унижения. Я иногда задумывалась над этим. Почему я должна быть совершенством? Я знаю, почему: он всегда хотел, чтобы я была совершенством, Я всегда должна была быть лучше. Но, увы, мне этого дано не было.
- А вы пытались быть той девочкой, какой бы он хотел видеть вас?
- Пыталась, но в то же время сопротивлялась этому. Например, мче очень хотелось как-нибудь написать ему письмо и сообщить, что я официантка (он очень этогоv не одобрил бы) и что я выхожу гулять по ночам- Взорвать и «фрапировать» его: «Ну как, сегодня ты меня все еще любишь?». С другой же
«Иные» 195
стороны, мне хочется, чтобы он принимал и любил меня. Я хочу сказать, что мне хочется знать, что он взаправду меня любит., *
- Вы хотели бы его оскорбить, сказав ему: «Посмотри, вот я какая сегодня»?
- Да. «Ты меня вырастил, и как тебе нравится результат?» Но, знаете, единственное, чего мне действительно хотелось бы. так это услышать от него: «Я знал' об этом, дорогая, и все-таки тебя люблю»,
- Мне кажется, вы потому чувствуете себя несчастной, что думаете, что он вряд ли скажет такие слова,
- Нет, он их ке скажет. Он не понимает. Два года назад я как-то вернулась домой, чтобы сказать ему* как сильно я его люблю и как одновременно боюсь. Он меня не донимает, он всегда говорит что-то вроде: «Дорогая, ты ведь знаешь, что я тебя люблю и всегда любил», Он ничего не понимает.
- Он вас никогда по-настоящему не знал и не любил, и поэтому у вас в глазах слезы.
- Я не знаю, почему. Знаете, когда я рассказываю об этом, мне говорят, что я витаю в облаках. Но стоит мне минуту спокойно посидеть, и мне начинает казаться, что внутри у меня глубокая рана, Я чувствую, чтотменя обманули.
Витать в облаках гораздо легче, потому чтр в это время не чувствуешь в себе пустоту или глубокую рану.
Да, и вот еще что. Мне кажется, что я должна принять все это; мой отец-не тот тип мужчины, кого я смогла бы полюбить. Я бы смогла полюбить тог.о, кто понимал и любил бы меня больше. Ой любит меня, но не так, чтобы с ним можно было сотрудничать, общаться.
- Вы чувствуете, что ваш отец постоянно хитрит.
- Вот почему я предпочитаю «заместителей»* Именно поэтому я разговариваю с вами, и мне нравятся мужчины, которых я могу уважать, врачи, и» быть может, в глубине души я чувствую, что мы очень близки,-вот какие чувства внушает мне «заместитель» отца,
- Я не чувствую, что вы навязываете мне эту роль.
- Но вы же мне действительно не отец.
- Нет, я только хотел говорить о близости.
Знаете, я думаю, с моей стороны это было бы претенциозно: .я не могу и надеяться стать вам близкой, А вы недостаточно хорошо меня знаете..
По крайней мере я говорю то, что чувствую, А сейчас я чувствую, что вы мне очень близки.
Гештальттерапия (по Фредерику Перлсу)
А сейчас Глория пришла к Перлсу, с которым она проведет получасовую беседу по поводу тех же самых проблем. Приемы, которым пользуется гештальттералия, однако, сильно отличаются от роджерсов-ского подхода и еще сильнее-от психоанализа* В противоположность последнему гештальттерапия считает всякое толкование поведения терапевтической ошибкой, поскольку для этого требуется такой терапевт, который понимал бы больного лучше, чем тот понимает себя сам.
Поэтому главный принцип гештальттерапии состоит не в том, чтобы объяснять положение дел пациенту, а в том, чтобы дать ему возможность самому понять и самому раскрыть себя в данной ситуации и тем самым способствовать проявлению гештальта «здесь и теперь». Технические приемы, которыми пользуются во время сеанса Перле и Роджерс, сильно различаются; Перле пытается достичь цели манипулированием и
и*
196_____________________________Глава2___________________________
обескураживанием клиента, с тем чтобы заставить его противостоять самому себе и понять разницу между «игрой» (в особенности игрой вербальной) и откровенным и доверчивым поведением. Таким образом, клиент в процессе созревания, во время которого он учится, образно говоря, «держаться на ногах», должен мобилизовать свои собственные ресурсы. Отказ от искреннего общения с терапевтом, например противоречивое поведение (клиент с улыбкой говорит о страхе и т.п., как в начале описываемой ниже встречи), мало-помалу уступает место выражению истинных чувств и потребностей клиента (потребность в уважительном к себе отношений, потребность любить и быть любимым и т.д.).
е- Нам предстоит получасовая беседа. Глория- Мне сейчас страшно.
- Видите ли, вы говорите, что вам страшно, но вы улыбаетесь, Я не понимаю, как можно одновременно и бояться, и улыбаться.
- Я подозреваю, что вы очень хорошо это понимаете. Я думаю, вы знаете... Когда мне страшно, я смеюсь или, чтобы скрыть страх, делаю глупости.
- Так оно и сейчас?
- Ах, я не знаю, Я слишком остро чувствую, что вы там сидите. Я боюсь-ах, я боюсь, что вы просто накинетесь на меня и «поставите меня в утоп». Я этого боюсь; было бы лучше, если бы вы сели рядом,
- Вы сказали, что боитесь, что я поставлю вас в угол, и положили руку на грудь.
Хм! "
- Это и есть ваш угол?
Ну, это как... да... это оттого, что мне страшно.
- Куда бы вы пошли? Вы можете описать угол, куда бы вам хотелось пойти?
- Да, это самый дальний угол, где я была бы в безопасности.
- В безопасности от меня+
i
- Ну, не в безопасности, но там я бы чувствовала себя спокойнее.
- Зачем вам идти в угол, вы и тут в безопасности. Что бы вы делали в том углу?
- Я бы села. Вы бы сели?
-Да- .
- И долго бы вы сидели?
- Не знаю. Но смешно об этом говорить; мне это напоминает детство. Всякий раз, когда мне было страшно, я успокаивалась, сидя в углу. Я паниковала, но..,
- Разве вы "маленькая девочка?
- Нет, конечно, но чувство такое же. Вы маленькая девочка?
Ее мне напомнило чувство, .- Вы маленькая девочка? Нет, нет, нет.
- Наконец-то. Сколько вам лет?
- Тридцать.
Ну, вы не маленькая девочка.
- Нет.
- Хорошо. Итак, вы 30-летняя девочка, которая боится такого парня, как я.
й Иные» ] 91
He знаю. Мне кажется* я вас боюсь. С вами я чувствую себя настороже.
- Что бы я смог с вами сделать?
- Вы бы ничего не смогли со мной сделать, но я чувствую себя идиоткой и тупицей, не умеющей хорошо ответить.
- Что заставляет вас быть идиоткой и тупицей?
- Я ненавижу момент, когда чувствую себя глупой.
- Что заставляет вас быть идиоткой и тупицей? Я сформулирую вопрос иначе. Что мне может быть от того, что вы играете роль идиотки и тупицы?
- От этого вы почувствуете себя еще умнее, еще выше, чем я* Мне и так приходится глядеть на вас снизу вверх, потому что вы такой умный.
- О! , \
- Да.
- Вот так, продолжайте льстить мне и дальше.
- Нет* я думаю, вы прекрасно можете делать это и сами.
- Хм1 Я думаю обратное. Играя под идиотку и тупицу, вы хотели заставить меня расколоться».
- О, мне такое говорили и раньше, но я с вами не согласна,
- Что вы делаете ногами?
- Я ими болтаю, - Почему вы сейчас шутите?
- Нет, я боюсь, как бы вы не стали перечислять мне все* что я делаю, Я хочу, чтобы вы помогли мне расслабиться, Я не хочу быть с вами настороже. Вы обращаетесь со мной так, словно я сильнее» чем я есть на самом деле, а мне хочется, чтобы вы относились ко мне покровительственно и мягко,
Судя по тому, как вы улыбаетесь, вы и сами ни слову не верите из того, что сказали.
Это не так, но, кажется, после этого вы действительно готовы поставить меня в угол.
- Конечно. Вы блефуете, вы лживы. Вы думаете? Вы это серьезно?
- Да. Видите ли, вам страшно, и вы улыбаетесь, бы ухмыляетесь и изворачиваетесь. Это-лживость. Это то, что я называю лживостью.
- О! Я абсолютно не согласна с вами!
- Не могли бы вы объясниться?
- Да, месъе. Я, безусловно, не лжива. Я объясню: мне трудно побороть свое замешательство. А я ненавижу это ощущение. Но когда йы говорите, что я лжива, мне обидно. То, что я улыбаюсь, испытывая замешательство, и то, что я ставлю себя в угол, совсем не значит, что я лжива. \
- Прекрасно, за последнюю минуту вы «и разу не улыбнулись.
- Вы меня рассердили.
Хороню. Вам не нужно было скрывать свой гнев улыбкой. В то мгновение, в ту минуту вы не были лживой,
Эмотнвно-рацнональная терапия (по Олберту Эллису)
Эмотивно-рационалъная терапия пытается атаковать пораженческие установки человека с двух главных позиций. Прежде всего терапевт действует как «контр-пропагандист», отвергая какие бы то ни было пораженческие мысли и «наслоения», выработанные и используемые клиентом. Затем он должен ободрять, убеждать, соблазнять и подталкивать клиента к деятельности, которую тот отвергает или которой
198_________ ____________________Гмва 12___________________ __________
боится, и использовать этот прием как второй способ контр-пропаганды против беспочвенных убеждений пациента.
Молодой человек 23 лет сообщает во время лечебного сеанса, что он сильно угнетен, а почему-сам не знает. С помощью ряда вопросов удалось выявить главную проблему: последние два года клиент много пил, а на следующий после выпивки день регулярно должен был проводить учет материала в мастерской у стекольщика, у которого он в то время учился.
Клиент.-Я знают что должен был бы проводить этот учет, не дожидаясь, когда накопится слишком много работы, но я всегда откладывал это дело «на потом». Честно говоря, все это, я думаю, из-за того, что меня эпго занятие всегда сильно раздражало,
Эллис- Почему эта работа так сильно вас раздражала?
- Она скучная, мне она не нравилась,
- Итак, она скучная. Хороший довод, чтобы не любить работу, но не слишком хороший, чтобы испытывать к ней раздражение*
Разве это не одно и то же?
- Никоим образом. «Не любить работу» соответствует установке, что «поскольку такая-то работа на доставляет мне удовольствия* мне не хочется ее выполнять». Это разумный образ мыслей. Раздражение же соответствует установке, что «поскольку мне работа не нравится, я не обязан ее выполнять». А эта мысль лишена смысла.
- Но разве так уж безрассудно испытывать раздражение к тому, что тебе не нравится?
Да, и по нескольким причинам. Прежде всего с чисто логической точки зрения нет никакого смысла говорить себе: «Поскольку зга работа мне не нравится, я не обязан ее выполнять». Вторая часть фразы не вытекает логически из первой. Это немного похоже на то, как если бы вы сказали себе: «Поскольку работа мне не нравится, другим людям и вообще всем на свете следует знать, что они не должны заставлять меня ее выполнять». А эта мысль, разумеется, лишена всякого смысла. С какой стати у других людей должны быть насчет вас такие соображения? Может быть, и неплохо, чтобы они были, но откуда они возьмутся? Чтобы ваша мысль была логичной, нужно, чтобы весь мир и все населяющие его люди вертелись вокруг вас и всецело были бы озабочены вашей особой.
- Разве мне нужно так много? Мне кажется, что все, чего я хочу на своей работе - не проводить учета. Разве это много?
- Да. После того, что вы мне рассказали, это, безусловно* много. Учет входит в ваши обязанности, не так ли? Поэтому вы должны его проводить, чтоб сохранить свое место, тем более, если раньше вы мне сказали, что хотели бы сохранить это место по личным соображениям.
После долгих рассуждений в таком духе Эллис должен попытаться заставить молодого человека понять, что вещи, вызывающие досаду, неизбежны и поэтому лучше принимать их неприятные стороны, не жалуясь. Кроме того, он должен показать ему, что гораздо важнее пытаться делать в жизни то, что действительно интересно, чем одержимо заниматься какой-то другой деятельностью> которая вызывает раздражение и желание всеми путями избежать ее.
После 47 сеансов на протяжении двух лет молодой человек окажется в состоянии справиться со всеми своими проблемами, завершить свое обучение и достичь высокого профессионального мастерства. Кроме
if Иные» 199
того, он бросит пить,и, как он сам об этом скажет, займется приятной работой.
Источник: Ellis А., 1982. From the Essence of Rational Emotive Therapy, in: D, Goleman, K. R. Speeth, The essential Psych other a py* New Jork* New American Library, p. 161-168.
Терапия реальностью
Уильям Глассср в своей книге «Терапия реальностью» (Glasser, 1965) описывает использование этого подхода д-ром Мейнордом для лечения психотических больных, только что поступивших в одну из больниц штата Вашингтон.
Согласно главному принципу этого метода лечения, люди ведут себя безответственно не потому, что они-больные; наоборот, они больные потому, что ведут себя безответственно. Поэтому прежде всего каждый член группы узнаёт, что & группе нет «больных». Чаще говорят, что тот или иной человек «безумен», так как он совершает или совершил множество безрассудных поступков- Слово «больной» считается здесь запретным.
Пациенты должны оплачивать свое лечение работой по хозяйству. Так, они выполняют работу на кухне или в гардеробной и вообще помогают там, где требуется помощь. От них ждут хорошей трудовой отдачи, и если работа выполнена плохо, то они лишаются привилегии гулять в саду.
Принцип «ты не болея, ты безумец» - о дин из самых эффективных приемов для того, чтобы продемонстрировать пациентам концепцию свободы выбора. Так, пациенты никогда не примут мысль: «Я не могу себя сдерживать, когда мне хочется выпить». Пациенты могут быть спокойными, но если им сказать, что они выбрали неразумное поведение просто потому, что так легче, они пойдут на многое, лишь бы доказать, что их поступки вполне вменяемы.
Терапевт непринужденно играет роль энергичного руководителя и говорит пациентам, что, они должны научиться им манипулировать. Он предупреждает 'их* что будет довольно упрямым, так что, если они научатся манипулировать им, потом они смогут управлять почти что кем угодно.,.
Терапевт допускает и даже поощряет враждебность по отношению к себе, но всегда пользуется ею так, чтобы пациент был способен защищаться до тех пор, пока не станет ясно, что терапевт в чем-то ошибается, и он должен будет это признать.
Терапевт по своему усмотрению пользуется самыми разными приемами, в том числе шутками, выговорами, ультиматумом или вообще отказом от работы с группой. Каждый пациент может спорить и задавать вопросы, но при этом ему лучше опираться на очевидность или логику, иначе его акция будет расценена как безответственная. Особого уважения к правам пациента не проявляют, но права эти должны быть не пожалованы «сверху», а заработаны им самим.
200 Г шел 12
Источник: Gfasser W., 1971. La "Reality Therapy4; une nouvclle approche en psychiatric, Paris, Ed, p. 165-173
i
Систематическая десенсибилизация (по Джозефу Уолпу)
У молодого человека 18 лет компульсивное расстройство, связанное с мытьем рук. Навязчивая идея основана главным образом на боязни испачкать других людей своей мочой. Это сильно затрудняет жизнь больному. После каждого мочеиспускания он посвящает 45 минут сложному ритуалу омовения половых органов, а затем больше двух часов моет руки. Кроме того, каждое утро, проснувшись* он около четырех часов проводит под душем. К этим главным эпизодам добавляются и все другие «случаи загрязнения, неизбежные в течение дня». Не удивительно поэтому, что два месяца назад молодой человек решил проводить большую часть дня в постели.
Возникновение расстройства связано с тем, что родители заставляли его до 15-летнего возраста спать в одной постели с сестрой, которая была старше его на два года и не могла спать в одиночестве. Сексуальные реакции в отношении сестры, которые не приминула вызвать у него эта ситуация, пробудили в нем чувство стыда и вины. В отношении родителей помимо раздражения и враждебности у него возникли мысли об их смерти, которые вскоре привели его в ужас и сделали еще более презренным в собственных глазах.
Лечение десенсибилизацией заключается в следующем. На первых порах пациенту, находящемуся в состоянии расслабления, предлагают воображать себе сцены, в которых посторонний человек погружает руку в бак с водой емкостью в полтора кубометра, куда прежде упала капля мочи. От сеанса к сеансу концентрация мочи повышается, так что в конце концов пациент должен быть в состоянии принять мысль, что человек погружает руку в сосуд с чистой мочой. Во второй серии сеансов больному предлагают представить себе те же сцены, но на сей раз погружать руку в жидкость должен он сам. На этом этапе, спустя 5 месяцев после начала терапии, проводившейся 5 раз в неделю по 20 минут, молодой человек сократил продолжительность мытья рук до нескольких минут* а время утреннего душа-до одного часа в день. Кроме того, садясь во время сеанса на стул, он перестал испытывать необходимость подкладывать под себя газету «Нью-Йорк тайме». Но хотя он и мог теперь представить себе, что погружает руку в мочу, проделать это на самом деле он упорно отказывался.
Далее десенсибилизация переносится в реальную жизнь, где реакция расслабления противопоставляется реальным раздражителям, порождающим тревогу, интенсивность которых от сеанса к сеансу возрастает. Сначала молодой человек видит перед собой написанное крупными буквами слово «моча», а затем - помещенную в другом конце длинной комнаты бутылку с мочой, которая с каждым сеансом придвигается все ближе* до тех пор пока он не будет в состоянии брать ее в руки с минимальными тревожными переживаниями. Когда преодолен и этот
«Иные» 201
этап, начинается новая серия сеансов, во время которых на тыльную поверхность руки пациента наносят каплю все более концентрированного раствора мочи; объем раствора довоцдат затем до 5 литров чистой мочи, а потом эту мочу заменяют мочой самого болыюпхПосле того как тревога, вызываемая такой ситуацией, ослабевает, пациенту предлагают брать в свои «запачканные мочой» руки различные предметы и одежду. В конце лечения молодой человек отводит на мытье рук в среднем 7 минут, пребывание под душем сокращается до 40 минут, и он полностью прекращает те «интимные омовения», совершать которые прежде считал своей обязанностью. Через год продолжительность мытья рук падает в среднем до 3 минут, а душа-до 20 минут.
Источник; Wolpe J.T 1982. "Behavior Therapy in Complex Neurotic States*4, in: D. Goleman, K,R> Spccth, The Essential Psychotherapies, New York, New American Library, p. 217-219,
Аверенвнад терапия
Одним из самых спорных случаев применения аверсивной терапии является попытка изменять с ее помощью сексуальную ориентацию молодых гомосексуалистов (Bancroft, 1966; Feldman, MacCulloch, 1965). Ниже описана процедура, использованная с этой целью упомянутыми авторами.
Пациентов просили выбрать из набора диапозитивов, изображавших обнаженных и одетых мужчин, восемь изображений и расположить их в порядке возрастающей привлекательности. Такой же выбор они должны были сделать из серии диапозитивов с изображениями женщин и тоже классифицировать их по привлекательности. Для каждого пациента Фелдман и Мак-Каллок подбирали электрический удар такой силы, что он воспринимался как очень неприятный.
Лечение проводилось в темном и тихом зале больницы. Пациенту сообщали, что на экране сейчас будут проецировать изображение мужчины, а затем через несколько секунд последует удар электрическим током. Его предупреждали также* что он может убрать изображение с экрана, нажав на кнопку и сказав «нет». Таким образом, если пациент делал это не позднее чем через 8 секунд после появления изображения, то он избегал электрического удара. И наоборот, если он созерцал изображение больше 8 секунд, следовал удар. Если же сила тока была недостаточной для того, чтобы пациент сразу же решал нажать на кнопку, выключавшую изображение, ее увеличивали до тех пор, пока он не начинал принимать меры, чтобы избежать удара,
После того как пациент три раза подряд успешно избегал электрического удара, начиналась предварительно разработанная программа подкрепления: как только изображение мужчины на экране исчезало, на него сразу же проецировалось изображение женщины. Тем самым исследователи пытались «ассоциировать» подавление тревоги с появлением женского образа. При этом они сами решали, когда убирать изображение женщины с экрана, чтобы, по их словам, у пациента не создавалась «привычка избегать женщин».
202_________________ Гмто 12__________________„__„
Из 43 пациентов 23 к концу лечения несколько изменили свою сексуальную ориентацию, 11 не обнаружили каких-либо сдвигов, а 7 человек прервали курс лечения до его окончания. Следует, однако, отметить, что большинство из тех, у кого отмечались положительные результаты, были молодыми людьми, тяжело переживавшими свою гомосексуальную ориентацию и сильно желавшими изменить ее. Однако и после лечения прежние чувства и некоторые из гомосексуальных форм поведения у этих молодых людей сохранились.
Использование оперантного метода
Ниже приводится описание терапевтического приема, направленного на развитие навыков речи у ребенка, страдающего аутизмом (Lovaas, 1977). Представленный диалог - фрагмент записи сеанса, проводившегося на третьем месяце лечения. На всем протяясении разговора всякий раз, когда ребенок дает правильный ответ, он получает конфету.
Терапевт. - Рики, как тебя зовут? Рики. - Рики.
Хорошо. {Рики получает конфету.) Теперь спроси меня то же самое.
- Как ты себя чувствуешь?
- Нет, Спроси меня то же, о чем я тебя спросила. Рики, скажи: «как тебя зовут?»
- Рики.
- Нет. Скажи «как»...
- Как,,, {пауза).
- «Тебя»...
- Тебя,,, (пауза).
- Скажи «зовут».
- Зовут,
- Теперь скажи все вместе* Как тебя зовут?
- Меня зовут Жоан. Хороший мальчик, Рики. Хорошо (конфета). Хорошо. Пойди сюда, Рики. Встань, Рики. Рики, как ты себя чувствуешь?
- Я себя чувствую хороню.
Хорошо (конфета), Рики, пойди сюда. Рики, подойди. Теперь спроси меня.
- Как ты себя чувствуешь?
- Я чувствую себя хорош О- (Конфета.)
- Лягт пожалуйста, Ляг (в предшествующий период Рики научился приказывать терапевту вставать, ложиться, улыбаться и т.п.).
- Рики* сколько тебе лет?
- Мне 7 лет.
- Хорошо {конфета). Теперь спроси меня, Рики. Спроси меня.
Нет, я не об этом тебя просила. Спроси, сколько мне лет. Скажи: «сколько»... Тебе.
Скажи: «лет». -.Лет.
- Хорошо (конфета). Теперь скажи все вместе. Скажи мне: «сколько тебе лег?»
- Мне 7 лет. Сколько тебе лет?
- Мне 21 год. Очень хорошо. Хорошо (конфета).
«Иные» 203
Резюме
1. Большое значение для выживания высших животных имеют такие механизмы, как тревога* Изменение условий существования человека привело к тому, что этот механизм стал играть в его жизни меньшую роль. Он, однако, сохранился и бывает причиной стресса и таких его вредных для организма последствий, как психосоматические расстройства*
2. Психологическая реакция на стресс у разных людей не одинакова. Трудно поэтому установить точные критерии, кого можно считать нормальным человеком, а кого-нет*
3. Аномальным люди обычно склонны считать поведение» встречающееся сравнительно редко, выходящее за рамки принятых социальных норм или представляющее опасность для самого человека или других людей. Об аномальном поведении, таким образом, говорят в тех случаях, когда восприятие человеком действительности отличается от социально принятого или же этот человек подвержен галлюцинациям. Кроме того, внимание других чаще всего рискует привлечь к себе человек, обнаруживающий подавленность или неспособность преодолеть жизненный стресс, ведущую к разрыву нормальных контактов с другими людьми.
4. Отношение к людям с аномальным поведением сильно зависело от исторической эпохи. Считавшееся в средние века признаком одержимости бесом; «безумие» затем на несколько столетий нашло себе место в приютах и, наконец, начиная с 19-го века было взято под защиту медицинской наукой. Медицинский подход к «душевным болезням» главное внимание уделял классификации психических расстройств и поискам их биологических корней.
5. В свою очередь психоаналитический подход предложил модель, в которой поведенческое расстройство рассматривается как результат конфликта между «Оно» и «Сверх-Я», который не в состоянии разрешить «Я». Согласно Фрейду, если такие механизмы психологической защиты, как подавление, реактивное обучение, отрицание, вытеснение, сублимация» проекция или рационализация, оказываются недостаточно эффективными, то возникает угроза развития менее адаптивных форм поведения, характерных для неврозов, или распада личности с развитием психоза,
6. Бихевиоризм рассматривает аномальные формы поведения, подобно всем другим формами, исключительно как результат научения. Поэтому их можно корректировать и устранять в соответствии с общими законами научения, выявленными в лабораторных исследованиях,
7. Когнитивный подход виэдт в аномальном поведении следствие неправильного истолкования активирующих ситуаций из-за появления иррациональных мыслей, основанных на имеющихся у каждого из нас фундаментальных потребностях.
8. Для гуманистов неадаптивное поведение есть результат наруше-
204______________Г шва 12_________________________
ния соответствия между реальным «Я» и жизненным опытом индивидуума, с одной стороны, и его идеальными представлениями о самом себе-с другой,
9. Понятие «психическая болезнь» вновь было поставлено под сомнение главным образом сторонниками социокультурного подхода/ Они подчеркивают, что и, само это понятие, и классификация симптомов психических заболеваний в официальной психиатрии суть «досужие вымыслы», вынуждающие общество брать на себя ответственность за проблемы человека, изолируя его как «больного» и доводя его «отклонение» до крайности, вместо того чтобы помочь ему благополучно закончить «переход», воспринимаемый нами как погружение в «безумие»,
10. Руководство DSM III, в котором представлена новейшая классификация психических расстройств, группирует все их симптомы в 17 категорий-от аномалий, свойственных детскому возрасту, до расстройств органической и функциональной природы, Категорий, относящиеся к группе функциональных расстройств и называемые также неврозами и психозами, подвергаются наибольшей критике со стороны тех исследователей, по мнению которых наклеивание на больных «ярлыка» без видимых биологических оснований способствует дегуманизации отношений между больным и теми, кто о нем заботится, и приводит к психиатризации больного.
11. Каждому подходу к объяснению аномального поведения соответствует тот или иной тип терапии. Медицинский подход отдает предпочтение биологической терапии-в настоящее время это в основном химиотерапия. Что касается общинной психиатрии, то, позволив сократить время пребывания пациентов в клинике, она не смогла уменьшить число людей, нуждающихся в психиатрической помощи.
12. Все психотерапевтические методы можно разделить на две большие группы: интрапсихические подходы, которые делают упор на осознании больным своих проблем, и поведенческие подходы, стремящиеся изменить само поведение пациента.
13. Среди интрапсихических подходов в первую очередь следует выделить психоанализ, цель которого-дать пациенту возможность понять подсознательные корни своих проблем и тем самым высвободить связанные с ними эмоции и чувства.
14. Терапия, центрированная на клиенте, стремится развить у человека большее самоуважение и наметить действия, необходимые для того, чтобы восстановить соответствие реального «Я» индивидуальному опыту и глубинным чувствам.
15. Гешталъттерапия стремится распознать различные компоненты личности и таким образом помочь больному достичь полного самосознания.
16: Эмотивно-рациональная терапия пытается выяснить ход мыслей клиента и помочь ему осознать, что в его мышлении иррационально.
17. Существуют и другие индивидуальные психотерапевтические подходы; экзистенциальная терапия, акцентирующая свободную волю
«Иные» 205
человека; терапия реальностью, которая стремится побудить клиента взять на себя ответственность за свои проблемы с помощью своего рода «договора»; трансакционнып анализ, направленный на осознание больным характера его взаимодействий с другими людьми; психодрама, с помощью которой пациент может освободиться от своих переживаний во время «импровизации».
18. Социальная психотерапия позволяет человеку восстановить гармоничные отношения с другими путем обсуждения общих с ними чувств/ мыслей и проблем. К этому психотерапевтическому подходу относят группы роста, семейную терапию и групповую терапию,
19. Поведенческая терапия включает четыре подхода: контр-обус-ловливание, операктные методы, терапию с предъявлением модели и процедуры самоконтроля.
20. К контр-обусловливанию относят: систематическую десенсибилизацию, при которой раздражитель, вызывающий аномальную реакцию, ассоциируют с ответом, противоположным неадаптивному ответу пациента; имплозивную терапию стремящуюся вызвать у пациента «внутренний взрыв тревоги», к которому его организм должен привыкнуть; аверсивное обусловливание, при котором неприятное ассоциируют с ситуацией, доставляющей удовлетворение,
2L Оперантные методы включают процедуры формирования поведения t позволяющие вытеснить старые формы поведения новыми; таков, например, метод накопления жетонов, цель которого изменить определенные формы поведения путем выдачи жетонов, дающих какую-то привилегию, за любую модификацию поведения в желательном направлении.
22. Терапия с предъявлением модели стремится к выработке у больного новых форм поведения путем подражания тем образцам, которые ему предлагает терапевт. Процедуры с самоконтролем рассчитаны на то, что за всякое улучшение поведения вознаграждать себя должен сам пациент.
23. Биологические методы и психотерапевтические подходы отводят социальной среде как фактору, изменяющему поведение довольно скромную роль. Однако опыт деятельности групп взаимопомощи и терапевтических групп показывает, что социальную реинтеграцию пациента сильно облегчает внутренняя эволюция, совершающаяся в нем при поддержке терапевта в социальной среде, проникнутой желанием изменить поведение.
24. И все-таки очевидно, что до тех пор, пока не произойдет глубокого изменения общества в целом, эффективность терапевтических сообществ и программ предупреждения психических расстройств останется невысокой.
Возможные варианты ответов на ситуации, описанные в документе
1. Подавление, 2+ Отрицание. 3* Подавление. 4. Реактивное обучение. 5. Сублимация. 6. Проекция. 7. Сублимация, 8. Реактивное обучение. 9. Вытеснение. 10. Реактивное обучение. П. Проекция, 12, Вытеснение, 13. Реактивное обучение. 14. Проекция. 15* Рационализация.
12
Материал для самопроверки
Заполнить пробелы
1. Важную роль в жизни наших предков, .....которых сильно зависело от
способности противостоять опасным ситуациям, должна была играть ♦.....
2. Одним иг пагубных последствий стресса у человека могут быть.....нарушения, называемые ___расстройствами.
3. Определенное поведение обычно считают аномальным, если оно встречается
....., выходит за рамки общепринятых.....или сопровождается .....от
нормальной интерпретации реальности,.....,.....или .....преодолевать
жизненные трудности.
4. В средние века безумие считалось следствием............
5. Сначала «безумных» бросали в .....; позднее, начиная с 16-го века, их
помещали в....., и только в начале 19-го столетия заботу о них взяла на
себя......
6. В конце 19-го века появилось первое руководство по....., в котором были
описаны и классифицированы.....болезни.
1, Успехи.....в изучении функций мозга и прогресс......изучающей действие
некоторых лекарственных препаратов, убедили.....в томЛ что поведение
человека можно корректировать ...,♦♦ методами* 8. Рассматривая психическую структуру человека, Фрейд показал» что .....
руководствуется принципом....., а «Я» -принципом......
9+ Подсознательные стратегии, которыми пользуется ....., чтобы избежать
....., порождающих....., называются......
10......обучение проявляется & переживании чувств и совершении действий,
.....тем, которые были......
11......представляет собой одну из форм вытеснения, приносящую человеку
реальное удовлетворение.
12. Суть ..... состоит в том, что мы приписываем другим людям наши
собственные чувства, которые наше.....расценивает как неприемлемые.
13. Согласно бихевиористскому подходу, аномальные формы поведения, как и все другие, являются результатом....., а их причины могут быть только
14. В основе.....подхода лежит тот принцип, что чувства и поведение человека
следует считать ....., когда истолкование им ситуаций основано на___\
мыслях.
15. С точки зрения. Роджерса и основанного им гуманистического подхода,
неспособность человека к адаптации -это результат нарушения.....его.....
«Я».
16. По мнению сторонников.....подхода, психические заболевания-это всего-навсего .....* а классификация их симптомов, будучи плодом чистого
умозрения, только мешает человеку принимать на себя.....за собственные
проблемы.
17. Все расстройства поведения можно разделить на четыре большие группы в зависимости от того, в каком.....они возникают, имеют ли они ♦,,, ♦ или
*.....природу или связаны с изменениями личности человека.
18. Среди психических расстройств органического происхождения можно выделить нарушения, связанные с физическими ..... или —, и нарушения,
обусловленные старостью, например......
19. Такие функциональные расстройства, как шизофрения и параноидные состо-
«Иные» 207
проявляются главным образом в ..... сфере, а ..... расстройства
характеризуются.....эмоционального контроля.
20. Нарушения, связанные с тревогой, включают.....,.....и.....расстройства.
21. Нарушение какой-либо функции организма, не вызванное органической причиной* называется.....расстройством.
22♦ Характерной чертой диссоциативных расстройств является ..... личности
или отдельных ее структур.
23. К психосексуальным расстройствам относят только нарушения половой
.....:, сексуальные проявлений, направленные на ,.,... объекты, расстройства
половой *___и * +.., связанную с гомосексуализмом.
24- О расстройствах личности говорят в тех случаях, когда человек обнаруживает недостаточную .....и недостаточную.....поведения, приводящие к
заметному......
25. Главная проблема, связанная с «приклеиванием ярлыков», состоит в том, что человек, превращаясь в....., перестает быть.....личностью, переживающей ....., вызванный определенными обстоятельствами.
26. Биологическая терапия предполагает воздействие на больного такими средствами, как.....,.....и особенно......
27* Групповая терапия позволила ..... время пребывания в психиатрической
больнице, но от этого число людей, нуждающихся в психиатрической помощи, не......
28, В недавно проведенных исследованиях показано, что люди, подвергавшиеся психотерапии, по-видимому, чувствуют себя.....адаптированными.
29. Все психотерапевтические подходы можно разделить на две большие группы: .....и......
30, Цель психоанализа заключается в том, чтобы человек смог отыскать.....
корни своих проблем, порожденных.....ранее конфликтами.
31. Терапия, центрированная на клиенте, стремится к развитию у него более
глубокого чувства ...... что позволило бы ему достичь большего .....
реального «Я».
32. Гештальттерапия стремится к тому* чтобы человек наиболее полно .....
собственное «Я» и превратился в гармоничное......
33, Эмотивно-рациональная терапии предполагает анализ . .tt.T в которой оказался человек, и тех выводов, которые он из нее извлекает, с учетом возникающих у него.....мыслей.
34: Среди индивидуальных подходов к лечению можно выделить.....терапию,
терапию.....>.....анализ и......
36, Социальная терапия преследует двоякую цель: позволить человеку tt + ,.
самого себя и восстановить его.....взаимоотношения с другими людьми,
36, Систематическая десенсибилизация-метод___, с помощью которого внешний раздражитель связывается у пациента с ответом......по своим результатам ..... ответу,
37, Метод накопления.....стремится изменить ..... человека, предоставляя
ему некоторые.....за всякое замечаемое терапевтом улучшение.
38, Процедуры..... основаны на том, что пациент должен сам.....себя за
всякое изменение поведения в желаемом направлении.
39* Группы взаимопомощи стремятся избавить человека от.....и.....помогая
ему.....и___, получить которую по обычным каналам трудно..
40......сообщества пытаются создать....., в которой человек чувствовал бы
себя.....совершать ошибки,.....себя, развиваться и учиться жить лучше.
208_________________ Глава 12________._________________ '
Верно или неверно
1, Тревога один из самых полезных механизмов, позволяющих человеку противостоять условиям современной жизни,
2. Язва желудка чаще всего возникает вследствие причин органического характера.
3. Понятие «психическая болезнь» восходит к средним векам.
4, По теории Фрейда, чем сильнее «Я», тем выше вероятность того, что человек примет реалистическое решение.
5* Вытеснение-механизм психологической защиты, который состоит в том, что мы приписываем другим людям наши собственные чувства* неприемлемые с точки зрения нашего «Сверх-Я».
6, Согласно когнитивному подходу, неадаптивное поведение человека-это результат интерпретации обстоятельств на основе иррациональных мыслей.
7. Когда поведение и установки индивидуума расходятся с его идеальным «Я», равновесие реального «Я» нарушается,
8. Сошю-культурный подход подчеркивает важную роль повышения ответственности человека за свои проблемы в развитии у него поведенческих расстройств,
9, В настоящее время известны органические причины большинства функциональных нарушений.
10+ Деменция результат патологического старения нервной системы. 1 L Эпигенетический подход не в состоянии объяснить развитие шизофренических расстройств.
12, В случае расстройств, выражающихся в тревоге, последняя имеет либо генерализованный характер, либо связана с каким-то определенным предметом, мыслью или действием.
13, Все отклонения полового поведения от нормы можно рассматривать как психосексуальные расстройства.
14, DSM III-руководство, предназначенное главным образом для психиатров, рассматривающих расстройства поведения в таких понятиях, как «симптом», «заболевание», «диагноз» и «уход за больным».
15, благодаря блестящим результатам, гюлученным с помощью психохирургии, этот метод находит все большее применение.
16, Химиотерапию, пожалуй, следует относить к области ухода за больными, а не их лечения.
17, Недавние исследования показывают, что невротическое расстройство с одинаковой вероятностью может исчезнуть у людей, подвергавшихся и не подвергавшихся психотерапии.
18, Суть катарсиса заключается в аффективном переживании человеком событий детства и их соотнесении с имеющимися у него симптомами.
19, По Роджерсу, роль терапевта состоит в том, чтобы дать клиенту возможность выразить свои чувства и мысли и таким образом помочь ему лучше осознать то, как он воспринимает себя сам и как его воспринимают другие.
20, Гештальттерапия преследует цель довести до сознания человека, что ему следует делать, а не что ему хочется делать,
21, Цель эмотивно-рациональной терапии заключается в том, чтобы клиент понял, что в его поведении иррационально.
22, Терапия реальностью преследует цель довести до сознания человека смысл, который он хочет придать своей жизни, и значение его поступков в зависимости от этого смысла,
" 23, Трансакщюнный анализ выявляет то обстоятельство, что в своих взаимоот-
«Иные» 209
ношениях (трансакциях) с другими мы по большей части исполняем определенные неосознаваемые роли,
24. Групповая терапия может быть первым этапом на пути реинтеграции человека в реальную жизнь, так как она предоставляет ему возможность «столкновений» с другими людьми,
25. Систематическая десенсибилизация заключается в сочетании неприятного раздражителя или состояния с той ситуацией, которая обычно доставляет удовлетворение.
26. Аверсивное обусловливание и имплозивная терапия могут быть сопряжены с проблемами этического порядка*
27. Метод накопления жетонов предусматривает развитие у больного чувства бережливости,
28. Используя метод поведенческого повторения,, терапевт предлагает повторять или воспроизводить вслед за ним действия* которые он сформулировал специально для пациента и которые могли бы помочь тому справиться с собственными проблемами.
29. Группы взаимопомощи очень часто способствуют появлению новых форм психологического посредничества-
3<Х Своими успехами терапевтические сообщества отчасти обязаны той иерархической структуре, которая устанавливается в них, чтобы социально защитить пациента.
Выбрать правильный ответ
L Колит и язва желудка
а) суть психосоматические расстройства;
б) часто не обусловлены органическими причинами;
в) тесно связаны с тревогой и фрустрацией.
г) Все ответы верны.
2, Понятие «психическая норма»
а) основано на объективных данных;
б).лежит между двумя четко определенными полюсами;
в) в разных культурах почти не различается.
г) Ни один из ответов не верен.
3. В западном обществе «безумные»
а) всегда находились под защитой церкви;
б) начиная с 16-го века были окружены заботой врачей;
в) всегда подвергались изоляции и вызывали неприязненное отношение,
г) Ни один из ответов не верен.
4, Медицинский подход к психическим заболеваниям возник в связи
а) с появлением классификации психических болезней по их симптомам;
б) с открытиями в области неврологии; в) с прогрессом психофармакологии.
г) Все ответы верны.
5. Чем сильнее у человека «Я», тем выше его способность
а) отыскивать реалистичные решения проблем;
б) руководствоваться принципом реальности;
в} регулировать конфликты между «Оно» и «Сверх-Я». г) Все ответы верны.
6* Выбор поведения, ориентированного на достижение более высокой цели, чем первоначально поставленная» но недостижимая,-это один из механизмов психологической защиты, называемый
14 443
МО_______________ Глава 12___________________________
а) замещением;
б) проекцией;
в) рационализацией;
г) сублимацией.
7. Суть проекции заключается
а) в приписывании другим людям собственных чувств;
б) в ориентации поведения на доступную цель;
в) в отрицании реальных фактов;
г) в выборе поведения, противоположного подавленному.
S. Бихе&иористы показали, как в результате научения могут развиваться
а) фобии;
б) антисоциальные формы поведения;
в) чувство поражения и бессилия.
г) Все ответы верны.
9* Мысль, что «все, с кем контактируешь, непременно должны тебя полюбить»,
а) иррациональна;
б) лежит в основе многих неадекватных форм поведения;
в) базируется на фундаментальной потребности человека.
г) Все ответы верны.
10, По Роджерсу равновесие реального «Я» нарушается; когда оно
а) слишком полно соответствует идеальному «Я»;
б) деформируется под влиянием определенного жизненного опыта;
в) перестает соответствовать представлениям человека о самом себе.
г) Ни один из ответов не верен.
1К По мнению сторонников социо-культурного подхода, «психическое заболевание» представляет собой
а) миф; . '
б) неосознанный выбор, сделанный больным;
в) признак выздоровления, а не разрушения.
г) Верны все ответы.
12. В DSM III делается попытка
а) придать единообразие категориям психических расстройств и их симптомов;
б) классифицировать психические расстройства, исходя из гипотез об их происхождении;
в) tпровести более четкую грань между неврозами и психозами.
г) Все ответы верны.
13. Болезнь Альцгеймера
а поражает около 5% всех людей старше 65 лет;
6Хсвязана с нарушением васкуляризашш головного мозга;
в) исчезает под влиянием надлежащего лечения;
г) характеризуется легкими расстройствами памяти.
14. По всей видимости, шизофрения обусловлена
а) генетическими причинами;
б) внешними причинами;
в) биохимическими причинами.
г) Ничего определенного о причинах шизофрении сказать нельзя.
15. Биполярное расстройство
а) относится к категории аффективных расстройств;
б) выражается в потере контроля над эмоциональной сферой;
в) характеризуется чередованием маниакального и депрессивного состояний.
г) Все ответы верны.
«Иные» 211
16, Боязнь микробов, заставляющая человека десятки раз в лень мыть рукит является
а) фобическим расстройством;
б) паническим расстройством;
в) обсессивно-компульсивным расстройством;
г) конверсионным расстройством.
17. Паралич руки, не вызванный какой-либо видимой причиной, представляет собой
.
а) психосоматическое расстройство;
б) ипохондрическое расстройство;
в) диссоциативное расстройство.
г) Ни один из ответов не верен.
. Феномен множественной личности представляет собой
а) шизофреническое расстройство;
б) соматоформное расстройство;
в) биполярное расстройство;
г) диссоциативное расстройство.
. Опасность «приклеивания ярлыка» состоит в том, что
а) в значительной мере игнорируется анализ динамики поведения;
б) поведение больного интерпретируется в зависимости от «ярлыка».
в) личностная проблема превращается в медицинскую.
г) Все ответы верны.
20. Электрошоковая терапия
а) убедительно доказала свою эффективность;
б) вызывает много побочных эффектов;
в) все чаще используется в клиниках.
г) Все ответы верны.
21. Химиотерапия
а) бурно развивалась в 30-е годы;
б) эффективна при многих психических заболеваниях;
в) позволила сократить время пребывания в психиатрических больницах, в) Все ответы неверны.
22. Недавние исследования показывают, что
а) большинство психических расстройств исчезает независимо от того, проводилась психотерапия или нет;
б) улучшение состояния после психотерапии легче замечают сами пациенты* чем сторонние наблюдатели;
в) 75% больных, не подвергавшихся психотерапии, чувствуют себя так зкс> как и те, что ей подвергались.
г) Ни один из ответов не верен.
23. Среди главных элементов психоаналитической терапии выделяются
а) эмпатия;
б) перенос;
в) безусловно положительное отношение к пациенту.
г) Все ответы верны.
24. Прибегая к терапии, центрированной на клиенте, терапевт должен
а) интерпретировать мысли и чувства клиента;
б) довести до его сознания игнорировавшиеся им прежде физические ощущения;
в) дать клиенту возможность выражать чувства, не боясь подвергнуться
осуждению;
14*
212 '_______________________________Г.шав 12___________________________________
г) довести до сознания клиента иррациональные аспекты его мыслей.
25. Терапия, направленная на развитие у клиента способности брать на себя ответственность по принципу «договора» и придерживаться реалистически поставленных перед собой целей, называется
а) трансакционным анализом;
б) экзистенциальной терапией;
в) гештальттерапией,
г) Ни один из ответов не верен.
26. Групповая терапия предполагает
а) дискуссии под руководством терапевта;
б) контакты с членами группы на вербальном уровне;
в) выявление социальной маскировки, к которой прибегают некоторые участники группы.
г) Все ответы верны.
27. Аверсивное обусловливание
а) чаще всего используется для лечения алкоголиков и соцщшатов;
б) состоит в сочетании неприятного раздражителя с ситуацией, дающей удо в летворение;
в) сопряжено с проблемами этического порядка.
г) Все ответы верны.
2S, Метод накопления жетонов
а) представляет собой одну из форм контр-обусловливания; 6} предполагает поведенческое повторение;
в) позволяет пациенту получать некоторые привилегии за всякое улучшение поведения.
г) Все ответы верны. 29. Группы взаимопомощи
а) объединяют людей, переживающих сходные проблемы;
б) часто возникают внутри терапевтических сообществ;
в) редко способствуют появлению новых способов психологического посредничества.
г) Ни один из ответов не верен, * 30* Терапевтические сообщества
а) пытаются пробудить у своих членов чувства сопричастности и свободы;
б) главным образом сосредоточены на заботах о пациентах;
в) начиная с 60-х годов переживают упадок.
г) Все ответы верны.
Ответы
Заполнить пробелы
1 выживание, тревога; 2-физиологические, психосоматическими; 3-редко, корм, отклонениями галлюцинациями, стрессом, неспособностью; 4-одержимости бесом; 5 -тюрьмы, приюты, медицина; 6-психиатрии, психические; 7-неврологии, психофармакологии, психиатров, биологическими; &-«Оно», удовольствия, реальности; 9-«Я», ситуаций, тревогу, механизмами психологической за-ншты; 10-реакционное, противоположных, подавлены; \\ -сублимация; 12-про-екциит «Сверх-Я»; 13-научения, внешними; 14 когнитивного, неадаптивными, иррациональных; 15-равновесия, реального; 16 социо-культурного, миф, ответственность; 17-возрасте, органическую, функциональную; 18-аномалиями, отравлениями, деменции: 19-когнитивной, эффективные, утратой; 20-
«Иные» 2I3
фо б и ческие, панические, обсессивно-компульсивные; 21-соматоформным; 22-распад; 23 - идентификации, необычные, функции, тревогу; 24-гибкость, адаптивность, стрессу; 25-«больного», неповторимой, кризис; 26-электрошокл психохирургия, химиотерапия; 27-сократить, уменьшилось; 28-лучше; 29-интра-психические, поведенческие; 30 - подсознательные, подавленными; 31-самоуважения, равновесия; 32-осознал, целое; 33-ситуации, иррациональных; - 34-экзистенциальную, реальности, трансакционный, псих о драму; 35-понять, гармоничные; 36-обусловливания, противоположным, нсадаптивному; 37-жетонов, поведение, привилегии; 38-самоконтроля, вознаграждать; 39-изоляции, стресса.
советами, информацией; 40-терапевтические, атмосферу, свободным, выражать,
i
Верно или неверно
1-Н; 2 Н; 3-Н; 4 -В; 5-Н; 6-В; 7-В; 8-Н; 9-Н; 10 В; 11-Н; П-В; 13-Н; 14-В; 15-Н; 16-В; 17-Н; 18-В; 19-В; 20-Н; 21 -В; 22-Н; 23-В; 24-В; 25-Н;
26 В; 27-Н; 28-В; 29-В- 30-Н.
j
Выбрать правильный ответ
1-г;2-пЗ-в;4-г;5-г;6-г;7-а;8-г;9-г; 10-6; И-г; 12-а; 13 а; 14-г; 15 -г; 16-в; 17-г; 18 г; 19-г; 20-6; 21 -в; 22-6; 23-6; 24-в; 25 г; 26-г; 27-г; 28-в; 29 г; 30-а+
Литература
Barnes M.t Berke J,t 1973. Mary Barnes; un voyage a travers la folie, Paris, Seuil.
Berne £., 1977. Analyse transact) ondle el psychotherapie, Paris, Payot.
Beitelheim Вш> 1979. Un lieu oq renaTtre, Paris, LafTont.
Blanchet L., Laviyueur H.r Dauphinais R< (novH 1981). "L'intervention en reseau, un modele alternatit dc prise en charge communautaire*\ Sante mentale au Quebec, vol. VI, n° 2, p, 126 132, r
Bouchard C.t 1983. "Non a la prevention", dans Psych о therapies, attention!, Sillery (Quebec),.Quebec Science {ed.>, p. 203-22К
Bfum J.D. (nov. 1978). "On Changes in Psychiatric Diagnosis Over Time", American Psychologist, vol. 33, nMl, p. 1017-1031. '
Deiigrty F.t 1975, Nous et Tinnocent, Paris, Maspero,
Denis G\, Toussignant М.ч Laforest L+ (1973). "Prevalence de cas dnterel psychiatrique dans une region du Quebec", Canadian Journal of Public Health, nu 64, p. 387-397.
Dongicr JVf.. 1967. Ncvroses el troubles psychosomatiques, Bruxelles» Dessart.
Dreyfus C.f 1975. Les groupes de rencontre, Paris, Retz.
Е1Ш A.. 1961 Reason and emotion in psychotherapy, New York, Lyle Stewart
Eysenck H,J. 1952), "The effects of psychotherapy: an evaluation", Journal of Consulting Psychology, n43 16, p. 319-324.
Feldman M>P*> Maccuftoch M.J.t 1971. Homosexual behavior: therapy and assessment, Oxford (England), Pergamon Press.
Fontaine O,, 1978. Introduction aux therapies cornportcmenUles, Bruxelles, Mardaga.
Fourcauh M.t 1972. Histoirc de la folie a I'age dassique, Paris, Gallimard.
Frankt И, 1974, La psychotherapie et son image de Fhomme, Paris, Ed: Resma.
Freud A,. 1967. Lc moi et les mecanismes de defense, Paris, RU+F+
2H___________________________ Гшва 12__________________________
Gtasser W.t 1971. La "reality therapy", Paris, EPI Ed.
Goffman £U 1968* Asilcs, Paris, Lcs Editions de Minuit.
Guertin M.t Lecomte У. (juin 1983), "Editorial", Same mentale au Quebec, vol. VIII, n* 1,
p. 5. ' Kazdin A,E, Wikoxon L.H, (sept. 1976), "Systematic desensitization and non-specific
treatment effects: a methodological evaluation", Psychological Bulletin, vol. 83, n°
5, p. 729-758,
Laing RtD.tA91§< La politique de {'experience, Paris, Stock. Laing RD,, 1986. La voix de Гсхрспепсс, Paris, SeuiL Lavoie F.. 1983. 1TLcs groupes d'entraide", dans J. Arseneau et coll, Psychotherapies,
Attention!, Sillery (Quebec), Quebec Science (cd.), p. 181-201 Lecomte Yr, Toungny Ch, (juin 1983). **La communaute therapeuiiquew, Sante mentale
au Quebec, vol VIII, n* 1Э р. 107-134. Leighton B.C. er coll. (1971). "Psychiatric disorder in a Swedish and a Canadian
community: an exploratory study4, Soc. ScL Med.s n° 5, p. 200. Lovaas LO* 1977. The autistic child. New York, Irvington Publishers. May R~> 1976. Le desir d'etre: Psychologic existentielle, Paris, Ed, de TEpi. Minuchin S,. 1979. Families en therapie, Paris, Delage.
Moreno J.L>, 1965. Psychotherapie de groupe et psychodrame, Paris, P. LLF. Mosher L,7 Menn A*r 1978, "Lowered barriers in the Community: the Soteria Model", in:
L I. Stein, M* A* Test (Eds.), Alternatives to Mental Hospital Treatment, New York,
Plenum Press, p. 75-113.
Mousseau J. (oct 1971). "Le discours de Tanti-psychiatrie", Psychologie, n° 21, p, 51-58. Owen F.r Crow T.rJ.7 Poulter M,f Cross A,J., Longden A., Riley G.J. (197S). "Increased
dopamine receptor sensitivity in schizophrenia", Lancet II, p. 223-226. Peris F.f 1977. Gestait-lherapie: technique d'epanoutssement personnel, Montreal,
Stanke* Ptamandon M. (juin 1983). "Les alternatives en sante: enjeux et perspectives", Same
mentaie au Quebec, vol VIII, n° t, p, 100-106. Rogers С R> "La relation therapeutique: les bases de son efficacite11, Bulletin de
Psychologie, n° 17, p. 1-9, Romeder J. M.t 1982. Les groupes d*entraide au Canada, Ottawa, Ministere de Sante et
- du Bien-etre social
Rosenhan D,L. (1973). "On being sane in insane places", Science, n" 179* p. 250-258. Satir K> 1970, Therapie du соцр1е et de Ja familie, Paris Ed+ de ГЁрь Scheflin A.W., Qpton E+M., 1978. L'homme programme, Montreal, Stanke. Schreiber F. R.. 1978. Sybil, Paris, J'ai lu, Shapiro A, K., Morris L. A.r 1978< "Placebo effects in medical and psychological
therapies", in.: Garfield S.L. et Bergin A. E-, Handbook of psychotherapy and
behavior change, John Wiley and Sons. Shane R., Bruce et coll., 1975. Psychotherapy versus Behavior therapy* Harvard
University Press. Smith M.L., Glass О.У. (1977). *'Meta-analysis of psychotherapy outcome studies",
American Psychologist, n* 32, p. 752-760. Strole L., Lunger T.S., Michael S. 7\, Oplier M.K.. Rennie T.A.. 1962. Mental Heatlth
in the Metropolis, New York, McGraw-Hill Swlz S. Д., Wienckowski L.A.. Brown B*S, (1975), "Behavior modification; a perspective
on critical issues*', American Psychologist, ny 30, p. 1027-1048. Szasz T.T 1977. Lc mythe de la-maladiej Paris, Payot. Wolpe J,, 1915. Pratique de la therapie com port mentale, Paris, Masson.
Приложение А
Биологические основы поведения
Наследственность и размножение
Миллиарды клеток, из которых построено человеческое тело, берут начало от одной-единственной клетки (зиготы), образованной слиянием яйцеклетки и сперматозоида.
Генетические основы развития
Клетка
Любая клетка состоит из цитоплазмы, в которой вырабатываются различные материалы, необходимые для роста и жизнедеятельности организма, и ядра, обеспечивающего программирование этой активности и определяющего ее общее направление.
Ядро содержит (у человека) 23 пары хромосом. Каждая хромосома несет в себе многие тысячи генов, ответственных за различные аспекты строения организма и разнообразные функции (размеры тела, цвет глаз, волос и кожи, выработка тех или иных ферментов, рост и развитие, продолжительность жизни и т,д.)>
Носителем наследственности с ее генетическим кодом служит де-зоксирибонуклеиновая кислота {ДНК), которая передает заложенные в ней инструкции в цитоплазму через другую, синтезируемую с ее помощью кислоту-рибонуклеиновую (РНК). Таким образом, именно РНК, выходя из ядра, будет налаживать «работу» цитоплазмы и заставлять ее вырабатывать все необходимые белки в соответствии с «генеральным планом», заданным ДНК,
Клеточное деление
С момента образования исходной клетки - оплодотворенного сперматозоидом яйца (зиготы)-весь процесс роста организма происходит за счет последовательных клеточных делений. Ядро клетки при этом делится надвое, что приводит к разделению генетического материала между двумя образующимися ядрами и к восстановлению в каждом из них 23 пар хромосом.
Исключение из этого правила составляют лишь клетки одного типа. Речь идет о половых клетках, или гаметах ответственных за размножение особей. Когда для образования яйцеклеток в яичниках или сперматозоидов в семенниках клетки-предшественники подвергаются делению,
2\Ь
Приложение А
Рис, А.1а+ Образование гамет и оплодотворение. Каждая гамета содержит половину набора хромосом, имеющегося в клетках родителей. В результате случайного распределения родительских хромосом по гаметам во время клеточного деления создастся множество различных сочетаний генов, ответственных за физические и психические особенности будущего ребенка.

Рис. АЛ б. Хромосомный набор {ка-риотип) человека, 46 хромосом объединены попарно. Хромосомы первых 22 пар одинаковы у обоих полов. У мужчин 23-я пара представлена разными хромосомами - X и Y, а у жен* щин-двумя X-хромосомами. Синдром Дауна характеризуется наличием лишней хромосомы 21-й пары (так называемая трисомия-21).
оно происходит таким образом, что каждая из дочерних клеток в результате получает только 23 хромосомы (по одной из каждой пары) и поэтому содержит лишь половину той генетической информации, которой располагают мать и отец, *
Набор из 46 хромосом восстанавливается только в момент оплодотворения яйцеклетки сперматозоидом. Генетическая информация, кото-

ттедетт
217
У ОТЦА
Рис. А.2. Определение пола у ребенка. Яйцеклетка матери всегда содержит Х-хромосом у. Сперматозоид может нести либо Х-хромосому, либо Y-хромосому. Таким образом, теоретически шансы на рождение девочки и мальчика равны и составляют 50%.
рую вносят в зиготу сперматозоид и яйцеклетка, зависит, таким образом, от того, как распределился генетический материал во время образования каждой из половых клеток. Число возможных сочетаний генетического материала в оплодотворенной яйцеклетке огромно, чем и определяется уникальность каждого появляющегося на свет человека (рис. АЛ).
Определение пола "'
Существенное различие между мальчиками и девочками выявляется в структуре 23-й пары хромосом. Если у девочек она образована двумя

218
Приложение А
большими Х-образными хромосомами, то у мальчиков состоит из большой Х-йбразной хромосомы и более мелкой Y-образной. Таким образом, при образовании гамет все яйцеклетки получают Х-хромосому, а сперматозоиды - либо Х-, либо Y-хромосому. Поэтому в момент оплодотворения яйцеклетка с 50%-ной вероятностью может получить две Х-хромосомы и с такой же вероятностью-одну Х- и одну Y-хромосому; в первом случае из зиготы разовьется девочка, а во втором-мальчик (рис. А.2).
Передача признаков генами
Восстановление полного набора хромосом в ядре зиготы приводит к тому, что каждый ген здесь будет представлен двумя «экземплярами», по одному от матери и отца, и признаки нового индивидуума будут определяться их совместным действием, В зависимости от того, однако,
Рис, A3. Действие доминантных и рецессивных генов. Рецессивный ген может вызвать проявление соответствующего признака только в том случае, если он присутствует в обеих гаметах, образующих в результате слияния зиготу. Сказанное относится, например, к такому признаку, как «голубые глаза» {А), а также к некоторым наследственным болезням (фенилкетонурия хорея Гентингтона, Б).

основы поведения 219
является ли ген доминантным или рецессивным* это действие будет проявляться по-разному, Если ген доминантный, то признак, за который он ответствен, проявляется во всех случаях «автоматически». Напротив, если ген будет рецессивным, то в присутствии доминантного гена он обречен на «безмолвие» и способен проявиться только в том случае, если второй ген той же пары будет тоже рецессивным. Поэтому некоторые наследственные признаки одного из родителей у ребенка могут навсегда остаться в скрытом состоянии и снова проявиться лишь в следующем поколении. Подобным образом дело обстоит с голубым цветом глаз и с некоторыми наследственными заболеваниями (такими, например, как фенилкетонурия или хорея Гентингтона) (рис* А.З).
г
Хромосомные аномалии .
Может случиться так, что при образовании яйцеклетки или сперматозоида разделение хромосомного материала клетки произойдет неправильно, в результате чего гаметы либо не получат надлежащего числа хромосом, либо, наоборот, получат лишнюю хромосому (последнее, например, бывает при синдроме Дауна> известном также под названием монголизма). Это заболевание обусловлено присутствием одной лишней хромосомы 21-й пары, откуда еще одно его название-«трисомия-21». Чаще всего своим присутствием в яйцеклетке лишняя хромосома обязана матери, перешедшей некий критический возраст, хотя в одном из четырех случаев такая аномалия может быть обусловлена неправильным образованием сперматозоида. Последствия трисомии 21 проявляются главным образом во внешнем облике больного (особенно в чертах лица) и в задержке умственного развития (см. гл. 9).
Нарушение клеточного деления может затрагивать и половые хромосомы. Например, если в зиготе присутствует только Х-хромосома1, развивающийся из нее ребенок будет страдать синдромом Тернера для которого характерно наличие женских половых органов при отсутствии яичников.
Ребенок может оказаться и носителем трех хромосом 23-й пары. Если речь в этом случае идет о трисомии типа XXY, возникает синдром Клайнфельтера. Этот синдром характеризуется развитием мужских половых органов (с пенисом и семенниками) в' сочетании с типично женскими вторичными половыми признаками.
В одном из 1000 случаев лишней оказывается Y-хромосома. Мальчи-. ки, ставшие жертвой такой трисомии типа XYY, обнаруживают «сверхмужские» признаки, обгоняя, как правило, в росте своих нормальных сверстников; в период полового созревания к этому добавляется чрезмерная секреция мужских гормонов, вызывающая обильные высыпания угрей на лице и импульсивное поведение.
Большинство из описанных аномалий сопровождается умственным недоразвитием и нарушениями аффективной сферы.
Зигота, содержащая только Y-хромосому, вообще нежизнеспособна.
220 Приложение Л
Близнецы
В 16 случаях из тысячи у матери может родиться двойня, и в одном случае из четырех близнецы будут идентичными.
Идентичные близнецы развиваются из одной яйцеклетки, оплодотворенной одним сперматозоидом; поэтому их называют также однояйцовыми. Развитие из одной зиготы двух человеческих существ обусловлено тем, что после первого клеточного деления каждая из дочерних клеток начинает расти независимо от другой, и это приводит к появлению на свет двух очень похожих детей с совершенно одинаковым генотипом и, разумеется, одного пола.
Неидентичные (д&умйцдвые) близнецы развиваются из двух разных яйцеклеток, освободившихся из яичников одновременно и оплодотворенных двумя разными сперматозоидами. В таком случае в стенку матки внедряются и растут бок о бок два эмбриона с разными генотипами, что может приводить к появлению на свет двух братьев, двух сестер или брата и сестры.
Резюме
3. Ядро любой клетки человеческого организма содержит 23 пары хромосом, несущих тысячи генов, которые и определяют признаки и характер развития организма.
2. Гаметы (т.е. яйцеклетки и сперматозоиды) содержат только по 23 хромосомы, а полный их набор восстанавливается лишь при оплодотворении яйца (образовании зиготы),
3. Пол зародыша определяется хромосомами 23-й пары» которые у женщин имеют одинаковую, а у мужчин - разную форму; хромосомы обоих типов имеют равные шансы попасть в ядро сперматозоида, поэтому вероятность появления на свет девочки и мальчика одинакова.
4. Рецессивный ген в присутствии своего доминантного двойника бездействует. Он может проявиться только в присутствии другого рецессивного гена, что и имеет место> например, в случае голубого цвета глаз или некоторых наследственных заболеваний.
5. Хромосомные аномалии нарушают нормальное развитие организ* ма. Например, трисомия-21 приводит к синдрому Дауна, а аномалии 23-й пары хромосом-к различным синдромам, затрагивающим половую дифференцировку, а также умственное и аффективное развитие,
6. Однояйцовые близнецы развиваются из одной и той же зиготы и поэтому обладают идентичным генетическим материалом; двуяйцевые близнецы развиваются из двух разных яйцеклеток, одновременно оплодотворенных двумя разными сперматозоидами.
Биологические тионы
221
Физиология поведения
Организация нервной системы
Нервная система-центр деятельности всего организма. Это обусловлено тем влиянием, которое она одновременно оказывает и на взаимодействие организма с внешней средой, и на такие его внутренние процессы, как, например, кровообращение или пищеварение (схема АЛ). Таким образом, нервная система выполняет две важнейшие функции. Первая из этих функций-коммуникационная. С одной стороны, это передача различным нервным центрам информации, получаемой рецеп-торамиу находящимися в коже, глазах, ушах, носу, рту и других органах; с другой стороны, это проведение сигналов от нервных центров к эффекторам (железам и мышцам), что дает возможность адекватным и специфическим образом реагировать на те события во внешней среде, с которыми сталкивается организм.
Эту двоякую функцию обеспечивает периферическая нервная система состоящая, во-первкх, из соматической системы,, ответственной за .взаимодействия организма с внешним миром* и, во-вторых, из вегетативной системы* регулирующей деятельность таких внутренних органов, как сердце, легкие, пищеварительный тракт, почки и т.д., и таким образом координирующей «вегетативную жизнь» организма.
Схема А,К Организация нервной системы.

222 Приложение А
Второй важной функцией нервной системы, без которой теряет смысл и ее первая функция, являются интеграция и переработка получаемой информации и программирование наиболее адекватной реакции. Эта функция принадлежит центральной нервной системе и включает широкий диапазон процессов-от простейших рефлексов на уровне спинного мозга до самых сложных мыслительных операций на уровне высших отделов головного мозга (см. схему АЛ).
Однако прежде чем углубиться в вопрос о том, как функционирует нервная система, рассмотрим сначала, каким образом происходит возбуждение рецепторов и как эффекторы осуществляют действия, запрограммированные нервными центрами.
Рецепторы
Go времен Аристотеля традиционно выделяют пять видов ощущений, информирующих человека об изменениях в окружающей среде. Это осязание, вкус, обоняние, слух и зрение. В настоящее время, однако, установлено, что существует также много других ощущений и что организм для восприятия непрерывно атакующих его бесконечно разнообразных стимулов снабжен очень сложными механизмами, обеспечивающими постоянное взаимодействие его органов чувств между собой. Так, например, обстоит дело с восприятием вкуса, которое, как мы увидим, основано на тесном взаимодействии рецепторов ротовой и носовой полостей. Сказанное относится и к взаимодействию между органами зрения и равновесия и к тем расстройствам, к которым может приводить нарушение этого взаимодействия («морская» и «автомобильная» болезни). Следует, однако, заметить, что любая отдельно взятая сенсорная моделъность сама по себе настолько сложна, что до раскрытия всех ее тайн еще очень далеко.
В функциональном отношении можно выделить: кожное чувство, или соместезию,-ощущения, возникающие при прямом контакте с предметами внешнего мира; кинестезию, которую обеспечивают внутренние рецепторы, расположенные в мышцах и суставах и ответственные за информацию о степени напряжения или растяжения мышц, а также о положении конечностей; чувство равновесия, осведомляющее нас о положении тела в пространстве благодаря рецепторам, находящимся во внутреннем ухе; химическое чувство, включающее вкус и обоняние и информирующее нас о структурных особенностях молекул, растворенных, в слюне или взвешенных в воздухе; слуху т.е. способность к восприятию звуковых волн, связанных с колебанием молекул воздуха; и наконец, зрение, обусловленное восприятием световых волн путем поглощения «квантов энергии», называемых фотонами.
Кожная, или соместетическая, чувствительность
.
Всякий контакт с внешним предметом может вызывать ощущения четырех типов, способные объединяться в комплексные восприятия. Это
Биологические оипты /ишчкчт.ч
223
Рис. А.4. Рецепторы кожи. Свободные нервные окончания соответствуют «точкам» ощущения тепла и холода. Кроме того, они участвуют в возникновении болевых нервных сигналов. Глубже расположенные в дерме инкапсулированные и «корэинчатые» нервные окончания ответственны за восприятие давления.
чувства давления, тепла, холода и боли, t рецепторы, образованные нервными окончаниями, разбросаны по всей поверхности тела, но расположены более плотно на ладонях, например, на коже живота или спины *:
Существует несколько типов кожных рецепторов. Свободные нервные окончания разбросаны по всей поверхности кожи и реагируют на температуру или давление либо сразу на оба этих воздействия. Рецепторы, расположенные в более глубоких слоях кожи (инкапсулированные нервные окончания и окончания, оплетающие основания волосяных фолликулов), воспринимают главным образом давление (рис. А.4).
Говоря о температурных'рецепторах, следует отмстить, что на теле имеются точки, чувствительные только к теплу или только холоду. Они активируются в зависимости от температуры кожи: если кожа разгорячена (например, когда человек выходит из бани), всякий более холодный предмет будет казаться холодным, путь даже его температура сравнительно высока; и наоборот, предмет, температура которого выше
1 Так, рецепторы на кончике пальца способны различать два стимула, расстояние между которыми всего лишь 2 мм, в то время как на предплечье для раздельного восприятия стимулов расстояние между ними должно быть не менее 10 мм.

Приложение А
температуры кожи, будет казаться теплым, Таким образом, тепло и холод-понятия весьма относительные.
Тактильные ощущения возникают в результате передачи информации различными вгожными рецепторами при их контакте с предметом. Например, когда рука скользит по предмету с гладкой поверхностью, возбуждаются все рецепторы и все они одинаковым образом сообщают головному мозгу о своем возбуждении. Напротив, скольжение руки по шероховатой поверхности в каждый данный-момент ведет к возбуждению лишь определенной группы рецепторов, которые, по мере того как рука продвигается по неровностям, сменяются другими, в результате чего мозг получает информацию о характерных особенностях поверхности предмета.
Болевые ощущения* по-видимому, возникают при слишком сильном возбуждении свободных нервных окончаний в результате повреждения тканей; при этом передача нервных импульсов усиливается вследствие облегчающего влияния таких нейромедиаторов, как вещество Р, которые действуют в определенных участках спинного мозга (Mdzak, 1980) (см, гл, 6 и конец приложения А).
-
Кинестетические ощущения и чувство положения конечностей
-
Чувство положения тела и движения конечностей в пространстве обеспечивают сигналы, приходящие в мозг от рецепторов двух типов. Рецепторы первого типа представлены мышечными веретенами, находящимися внутри мышц, и рецепторами Голъджи, расположенными в сухожилиях; они посылают в нервные центры сигналы о степени растяжения или сокращения мышцы (Paillard, 1976) (рис. А.5). Рецепторы

Рис. А+5, Мышечные волокна и мышечное веретено.
основы поведения 225
второго типа находятся в суставах и посылают в мозг непрерывные сигналы о взаимном расположении различных частей тела.
Чувство равновесия и положения головы
Тело сохраняет равновесие благодаря тому, что мозг получает информацию о положении головы в пространстве. Эту информацию обеспечивает лабиринт-небольшой орган, расположенный во внутреннем ухе. Лабиринт состоит из трех отделов: улиткщ речь о которой пойдет позже, полукружных каналов, чувствительных к вращению головы, и двух полостей - круглого и овального мешочков (саккулюса и утри* кулюса), ответственных за восприятие прямолинейного движения.
Три полукружных канала лежат в трех взаимно перпендикулярных плоскостях и содержат студенистое вещество, в которое погружены чувствительные волоски (см. рис. А9). Такого же рода волоски имеются в мешочках. При вращении или прямолинейном смещении головы движение передается студенистому веществу, а вместе с ним и чувствительным волоскам. Эта информация воспринимается нервными клетками, от которых отходят волоски, а затем поступает в головной мозг1.
Химическая чувствительность
Вкусовая и обонятельная чувствительность называется химической, так как возбуждение соответствующих рецепторов происходит в результате «химического анализа» молекул* растворенных в слюне (вкус) или находящихся в воздухе (запах)*
Вкус
Традиционно различают четыре типа вкусовых ощущений: сладкое, кислое, соленое и горькое, которые воспринимаются определенными участками языка с помощью примерно тысячи вкусовых сосочков (рис. А,6). Эти сосочки представляют собой небольшие выступы, окруженные ямкой, и расположены на всех поверхностях языка, включая заднюю его часть. В каждой ямке насчитывается от 10 до 15 вкусовых почек, содержащих по 15-20 рецепторных клеток. Каждая из таких клеток обладает специфической чувствительностью только к определенным молекулам, и в одной и той же почке могут быть клетки, чувствительные к молекулам разного типа.
Жизнь рецепторных клеток сравнительно коротка. Через четыре дня они фактически деградируют, так что их популяция во вкусовых почках полностью обновляется в среднем каждые 7 дней.
1 Понимание этих процессов и их связи с ощущениями других модальностей приобретает особую важность в наше время, когда человек с головокружительной скоростью поднимается в космос и пребывает там в состоянии полной невесомости.
15 443
2:6
Приложение А
Рис. А.6. А. Вкусовая почка. Б. Разрез вкусового сосочка*
Обоняние
Для большинства низших животных обоняние - самое важное из чувств. Кроме того, это единственный вид ощущений, обусловленный прямой передачей информации в кору, минуя промежуточные низшие центры головного мозга. В каждой половине носовой полости, в ее верхней части, насчитывается около 30 млн* рецепторных клеток, ответственных за распознавание присутствующих в воздухе пахучих веществ (рис. АЛ),
Между тем до сих пор мало что известно о том, как происходит такое распознавание. Теоретически различают семь основных групп запахов, Запах может быть эфирным (ацетон), камфорным (нафталин), мускусным (мускус), цветочным (запах розы), ментоловым (мята), острым (уксус) или гнилостным (запах тухлого яйца). Чтобы объяснить, каким образом мозг распознает запахи, было выдвинуто предположение, что каждая клетка функционирует как замок, к которому подходит только один ключ, соответствующий специфическому типу молекул определенной формы и величины. Цозже, однако, было показано, что иногда молекулы со сходной структуррй вызывают разные обонятельные ощущения.
Обоняние играет важную роль в оценке потребляемой пищи. Когда нос «забит» (например, при насморке), пища кажется совсем безвкусной. Мы не способны хорошо оценивать качество и вкус пищи только в результате ее пережевывания и проглатывания-мы всегда пропускаем воздух через полость носа, где расположены обонятельные клетки.

Биологические оакшы
221
Волоски
Обонятельная луковица
Слизь
Обоняние, кроме того, играет важную роль в коммуникации животных (особенно низших): специальные железы их выделяют феромоны, позволяющие животным метить свою территорию. По-видимому, у
человека эта функция обоняния в сексуальном плане приобретает еще большее значение (см. документ \\Ж).
Слух
Стимулы, вызывающие слуховые ощущения, представляют собой волны, которые образуются в результате колебаний частиц воздуха, Вибрации какого-либо предмета вызывают поочередное образование уплотненных и разреженных зон воздуха, которые затем в виде последовательных волн распространяются в пространстве со скоростью около 330 метров в секунду (рис, А.8).
Функция уха заключается в преобразовании этих колебаний в нервные импульсы. Слуховое ощущение зависит главным образом от характеристик звуковой волны. Так, громкость звука определяется амплитудой волны, а его высота - частотой колебаний (см. группу таблиц А.1); тембр звука, который характеризует издающий, его инструмент, зависит от числа и интенсивности образующихся гармоник (обертонов).
Известно, что человеческое ухо может безболезненно воспринимать
15*

228
Приложение А
Рис. А.8. Схематическое изображение звуковых волн, исходящих от камертона. Ветви камертона своими колебаниями создают последовательные сжатия и разрежения воздуха. Гребни волны соответствуют фазам сжатия, впадины-фазам разрежения. Базисная прямая соответствует среднему положению ветвей камертона.
звук, интенсивность которого в тысячу миллиардов (10й) раз выше интенсивности едва слышимого звука. В логарифмическом масштабе эта разница составляет 12 бел или 120 децибел (децибел - десятая часть бела), а это значит, что, например, звук интенсивностью 100 децибел в 10 раз сильнее звука в 90 децибел и в 1000 раз сильнее звука в 70 децибел.
Что касается частоты звуковых колебаний, то воспринимаемый человеческим ухом диапазон простирается от 20 колебаний в секунду (20 Гц) до 20 тысяч колебаний в секунду (20 000 Гц),
Ухо состоит из трех отделов (рис. А.9), Наружное ухо состоит из ушной раковины и слухового прохода длиной 25 мм, упирающегося в барабанную перепонку-мембрану, вибрирующую под воздействием звуковых волн. В среднем ухе имеются три слуховые косточки: молоточек, наковальня и стремя, обеспечивающие передачу вибраций овальному окну на границе внутреннего уха. Во внутреннем ухе находится лабиринт, в состав которого входит улитка-трубка длиною 34 мм, спирально свернутая в 2,5 оборота наподобие раковины виноградной улитки. Улитка внутреннего уха заполнена жидкостью, которая приходит в движение под влиянием звуковых волн, передаваемых косточками среднего уха. Движение жидкости вызывает прогибание и смещение базилярной мембраны, проходящей вдоль всей улитки. Эта деформация базилярной мембраны сильнее всего выражена у основания улитки при воздействии высоких звуков, а у вершины-при воздействии низких, В месте максимальной деформации базилярной мембраны в результате возбуждения ее чувствительных клеток, волоски которых соприкасаются с нависающей над ними текториальной мембраной, происходит преобразование вибраций в нервные импульсы. Таким образом, частота звука различается в соответствии с тем участком базилярной мембраны, где происходит ее деформация, а его громкость -в зависимости от числа клеток, вовлеченных в деформацию. Затем информация передается в головной мозг по слуховому нерву, образованному отростками чувствительных волосковых клеток.

Ни о. t os ичгские on кшы nmetk+tt ия
229
Рис. А.9 (вверху). Поперечный разрез уха.
Рис. А. 10 (внизу). Разрез улитки. Жидкость, заполняющая улитку, приводится в движение в результате воздействия стремени на овальное окно. Распространяющаяся волна вызывает деформацию базилярнай мембраны и возбуждение волосковых клеток, приходящих в соприкосновение с; расположенной над ними текториальной мембраной* Возникающие при этом нервные импульсы передаются по волокнам слухового нерва.
Нарушения слуха. Между тем моментом, когда барабанная перепонка начинает колебаться пол действием звуковых волн, и началом передачи нервных сигналов в мозг могут возникать различные нарушения, обусловленные поражением того или иного отдела уха. Здесь

230 Приложение А
следует различать так называемую проводниковую и сенсорную глухоту.
Проводниковая (кондуктывная) глухота развивается в результате старения организма или вследствие инфекции среднего уха, вызывающей потерю подвижности сочленений слуховых косточек. Возникающее в результате ослабление слуха можно тем не менее компенсировать слуховым аппаратом, который усиливает звуковые сигналы перед их прохождением по костям черепной коробки.
Сенсорная глухота возникает в результате деградации или разрушения волосковых клеток внутреннего уха, ответственных за преобразование колебаний базилярной мембраны в нервные импульсы. Иногда разрушению подвергается лишь какая-то определенная группа клеток. Это может случиться у рабочего, вынужденного с утра до вечера ковать металлические изделия: глухота в этом случае развивается в отношении только тех звуковых частот, которые вызывали постоянное возбуждение волосковых клеток.
Подобная деградация нервных структур уха приводит к необратимой сенсорной глухоте, не поддающейся восстановлению каким-либо хирургическим вмешательством. Технический прогресс, однако, позволил недавно сконструировать протез, с помощью которого часть неработающих сенсорных клеток можно присоединить к микрокомпьютеру, способному обеспечить различение звуковых волн (пока довольно г рубое) и передачу соответствующей информации по слуховому нерву в головной мозг.
Зрение
Свет-это лишь узкая полоса в спектре электромагнитных колебаний, где энергия может восприниматься человеческим глазом (см, вставку АЛ), Световой стимул тем интенсивнее (т.е. тем ярче), чем больше фотонов соответствует той или иной частоте.
Глаз функционирует наподобие фотоаппарата. Как и фотоаппарат, он способен изменять диаметр отверстия для прохождения света и наводить на фокус линзу для получения четкого изображения. Снабжен он и чувствительной поверхностью, где химическая структура пигментов, так же как и химическая структура фотопленки, способна изменяться под действием фотонов (рис. АЛ1).
Световые лучи проникают в глаз через роговицу, которая концентрирует их перед проникновением в водянистую влагу-прозрачную жидкость, питающую роговицу и повдержива'ющую определенную форму глаза. Затем лучи проходят через отверстие зрачка, размер которого регулируется радужной оболочкой- при ярком свете он уменьшается, а в темноте увеличивается. После этого лучи фокусируются чечевицеобраз-ным хрусталиком, который становится более плоским или более выпуклым в зависимости от того, удаляется ли фокусируемый предмет от глаза или приближается к нему; благодаря этому процессу аккомодации световые лучи, прошедшие через стекловидное тело (студенистое вещест-
Биологические опшвы поведения
231
Рис. А. 11. Глаз можно уподобить фотоаппарату, объектив которого соответствует хрусталику, диафрагма - радужной оболочке, а фотопленка сетчатке.
во, выполняющее примерно те же функции, что и водянистая влага), формируют на сетчатке глаза четкое изображение.
Рецепторами в сетчатке служат клетки, содержащие чувствительные к свету вещества-фотопигменты, разлагающиеся под действием фотонов и запускающие тем самым электрическую реакцию рецепторов. По периферии сетчатки распределены 120 млн. палочек не способных различать цвета. Зрение в черных, серых и белых тонах не требует много света - палочки весьма эффективно функционируют и при слабом освещении. Цветовое зрение обеспечивают 6-7 млн. колбочек сосредоточенных в центральной области сетчатки, особенно в небольшой, с булавочную головку зоне, где около 50 тысяч колбочек образуют так называемую центральную ямку. Каждая колбочка содержит фотопигмент одного из трех типов, чем и определяется ее чувствительность к световым волнам той или иной длины-к красному, зеленому или синему цвету; соответствующий дополнительный цвет подавляет реакцию колбочки1.
Колбочки и палочки образуют целую сеть связей с двумя другими слоями клеток, расположенными впереди слоя рецепторов,-сначала с биполярными клетками, а затем с ганглидзными клетками, которые посылают свои нервные волокна в составе зрительного нерва в головной мозг. Таким образом, световые волны, прежде чем воздействовать на
1 Об этом и о том, как формируются отрицательные последовательные образы, см. в документе 8.2.

Приложение Л
Рис. АЛ2. Проникающие в сетчатку световые волны, прежде чем вызвать возбуждение палочек и колбочек на самом дне глаза, проходят через три слоя нервных элементов. Возникающие в результате нервные сигналы проводятся по путям, образуемым сначала биполярными, а затем ганглиозными клетками, и передаются потом в головной мозг по волокнам зрительного нерва.
фоторецепторы (колбочки или палочки) и породить нервные сигналы в биполярных и ганглйозных клетках, вначале должны пройти сквозь два слоя этих самых клеток (рис. А. 12).
Ганглйозных клеток насчитывается около миллиона, т.е. на 130 рецепторных клеток в среднем приходится одна ганглиозная клетка. Однако «концентрация» проводящих путей различна в зависимости от того, идет ли речь о палочках или о колбочках. Информация от палочек передается по «общим» нервным путям, где одна ганглиозная клетка приходится на многие десятки палочек; что касается колбочек, то многие из них располагают «собственным», индивидуальным выходом в зрительный нерв и головной мозг. Такой характер передачи информации, наряду с тем фактом, что колбочки более плотно сконцентрированы в центральной ямке, позволяет понять, почему острота зрения максимальна именно в этой области сетчатки и почему предмет, изображение которого проецируется в центр сетчатки, всегда воспринимается отчетливее, чем предмет, расположенный ближе к периферии поля зрения.
Психологические аспекты восприятия цвета* Как видно из всего

сказанного выше, цвет не является свойством света как такового, а скорее представляет собой результат его взаимодействия со специфичен кими фото пигментами и последующих психических процессов.
Восприятие цвета имеет три измерения. Прежде всего это цветовой тон, характеризующий качество цвета и определяющий его название: красный, зеленый, фиолетовый м т+д. Далее, насыщенность отражает количественный аспект цвета-от белого, насыщенность которого равна нулю, через более густые пастельные оттенки до полностью насыщенного, например багряно-красного или золотисто-желтого. Наконец, яркость определяется амплитудой световых волн, т, с. числом фотонов, участвующих в каждом колебательном цикле, что соответствует восприятию большей или меньшей интенсивности света. Таким образом, эти три психологических измерения воспринимаемого цвета, в основе которых лежат чисто физические явления, позволяют нам преломлять информацию об окружающем мире в психологическом плане*
Нарушения рецепторных функции сетчатки. Существует множество аномалий зрения. Есть среди них и такие, которые связаны с дефектами фоторецепторов и обусловливают цветовую и ночную («куриную») слепоту.
Цветовая слепота называемая также дальтонизмом,-аномалия, которой страдает 5% всех людей, главным образом мужчины. Дальтонизм обусловлен выпадением функций колбочек одного из трех типов-чаще всего тех, которые чувствительны к световым волнам, соответствующим красному или зеленому цвету. Больной не способен различать цвета, воспринимаемые здоровым человеком как «красный» и «зеленый». При этом его цветовое зрение ограничивается более или менее темными оттенками желтого, синего и серого цветов.
На 1 млн. людей приходится 25 человек, вообще,не различающих цвета. Возможно, что это нарушение возникает в самом раннем детстве вследствие заболевания или же развивается в результате отравления загрязняющими веществами, а также может быт;ь обусловлено наследствен ым дефектом.
Ночная слепота обусловлена нарушением функции палочек, которые, как уже отмечалось, являются единственными фоточувствительными элементами сетчатки, способными функционировать при слабом освещении. Это нарушение может возникнуть по многим причинам, самая обычная из которых-недостаток витамина А, необходимого для восстановления зрительного пигмента палочек.
Дополнение АЛ. Звук и свет
Звук и свет обусловлены колебаниями и могут поэтому передаваться в виде волн, позволяющих судить о свойствах источника этих колебаний.
Характеристики волны. Присущая волне синусоидальная форма определяется гребнями и впадинами, которые следуют друг за другом как отклонения от базисной прямой* представляющей среднюю (равновесную) величину.
234 Приложение А
Гребень и следующая за ним впадина составляют цикл -исходя из которого можно провести различные измерения и определить характеристики данной волны. Время, необходимое для совершения цикла, называется периодом.
Волна описывается двумя основными характеристиками. Первая из них, амплитуда* отражает мощность или интенсивность колебания. Вторая, частота дает представление о том, как происходит колебание во времени. _ .
Амплитуда волны соответствует расстоянию между базисной прямой и вершиной гребня. Это расстояние тем больше, чем интенсивнее (мощнее) волновой сигнал.
Частоту чаще всего оценивают по числу циклов, совершаемых за одну секунду, и выражают в герцах (1 Гц — 1 цикл в секунду). Частота определяет высоту звука или цветовой тон света. В случае света, однако, частота колебаний настолько высока (до многих сотен тысяч миллиардов герц), что предпочитают пользоваться длиной волны, т. е. расстоянием между гребнями двух соседних циклов. Этот показатель используют для определения и классификации различных волн электромагнитного спектра, включающего и волны света, воспринимаемого глазом (см. цветной рисунок в гл. 5? т. 19 с. 183).
Звуковые волны. Звук представляет собой движение молекул воздуха, вызываемое колеблющимся физическим телом (например, струной гитары, камертоном или мембраной громкоговорителя). Воздушная среда совершенно необходима для распространения звука в пространстве; ее возвратно-поступательные движения во время колебаний сопровождаются последовательными волнами сжатия и разрежения воздуха, которые распространяются со скоростью около 330 метров в секунду. Прежде всего это означает, что звук не может распространяться в вакууме, в котором, стало быть, всегда царит абсолютная тишина. Если нет отражателя или резонатора, звук распространяется главным образом в направлении колебаний физического тела.
Амплитуда звуковой волны определяет интенсивность звука* Чем больше молекулы воздуха отклоняются от их среднего положения, тем больше амплитуда волны.
От частоты звуковой волны зависит высота слышимого звука, т. е. будет ли данный звук восприниматься как высокий (если число колебаний в секунду велико) или (в противном случае) как низкий.
Эти две характеристики воспринимаемы* звуков взаимосвязаны. Фактически высокие звуки всегда кажутся более интенсивными, чем низкие, даже если их,волны имеют одинаковую амплитуду.
Существует еще одна психологическая характеристика звука, называемая тембром. Она зависит от гармоник основного звука. Гармоники возникают вследствие того, что колебания струны, как и любого другого предмета, включают ее вибрацию не только по всей длине, но и в каждой из двух половин, в каждой третьей, четвертой или какой-либо другой ее части, которые, таким образом, добавляют частоты своих колебаний к основной частоте колебаний струны, по отношению к которой они будут кратными. Число и богатство гармоник, разумеется, зависит от типа и
Биологические основы поведения 235
качества музыкального инструмента, что и позволяет уху отличать один инструмент от другого.Даже если гармоники, присутствующие в звуках трубы и скрипки, имеют одинаковую частоту и интенсивность, они заставляют эти инструменты звучать по-разному; да и скрипки в зависимости от того, сделаны ли они «конвейерным способом» или изготовлены Страдивариусом, имеют разный тембр звука1.
Световые волны. Свет представляет собой колебания электромагнитного поля и распространяется в виде квантов энергии, называемых фотонами2. Идет ли речь о Солнце, пламени свечи или электрической дуге, фотоны образуются в источниках, в которых тепловая энергия вещества преобразуется в энергию излучения. В газообразной среде, жидкости или абсолютном вакууме свет распространяется во всех направлениях. Скорость его распространения в пустоте постоянна и составляет приблизительно 300 000 километров % секунду.
Амплитуда световой волны соответствует интенсивности света и зависит от числа фотонов, испускаемых источником света за одну секунду3.
Частота световых колебаний настолько велика, что, как уже отмечалось, ее выражают в виде длины волн. В электромагнитном спектре, простирающемся от космических лучей с длиной волны менее 10 тысячных долей нанометра до гораздо более длинных радиоволн (длина их может превышать 10 км), где-то в середине располагается спектр видимого света с длинами волн от 400 нм (фиолетовая часть спектра) до 700 нм (красная часть спектра).
Свет чаще всего представляет собой смесь волн разной длины. Крайний случай в этом отношении-белый солнечный свет, содержащий все типы излучения. Обычно свет некогерентен, так как является результатом колебания большого числа атомов со случайными фазовыми соотношениями. Только луч лазера в котором эти соотношения упорядочены, представляет собой когерентный свет высокой чистоты.
Белый свет можно разложить на различные составляющие, пропустив его через прозрачную призму, которая разделяет его на разноцветные пучки от фиолетового до красного с плавными переходами между ними,
Когда свет проходит через прозрачную пластинку, сквозь нее проникает большинство фотонов. Если же предмет непрозрачен то часть фотонов поглощается, а другая-отражается. В одном из крайних
1 Достаточно, однако, с помощью фильтров освободиться от всех гармоник, и отличить звучание одного музыкального инструмента от другого будет невозможно.
2 Энергия фотонов лежит в основе всей жизни на нашей планете. Эта энергия активирует хлорофилл растений, что дает возможность живой материи синтезировать органические вещества и вырабатывать механическую или тепловую энергию.
1 Так, лампа мощностью 50 Вт испускает аа 1 секунду примерно 4 миллиарда миллиардов (4101В) фотонов.
236
случаев предмет поглощает световые волны любой длины и кажется глазу черным, так как вовсе не отражает света, а в другом крайнем случае он отражает все световые волны и кажется поэтому белым. Во всех остальных случаях предметы отражают световые волны большей длины и поглощают волны меньшей длины или, наоборот, отражают волны меньшей длины* поглощая более длинные волны; в первом случае видимый цвет предмета будет ближе к красному, а во втором -к синему, а точный оттенок будет зависеть от длины отражаемых волн.
Эффекторы .
Эффекторы, участвующие в реакциях организма на возникающие перед ним ситуации, можно разделить на два типа-мышцы и железы.
Мышцы .
-
В соответствии со структурой и функциями мышцы подразделяются на два типа-гладкие и поперечнополосатые.
Гладкая мускулатура состоит из медленно сокращающихся мышечных клеток в стенках внутренних органов. Таким образом, она тесно связана с «вегетативной жизнью» организма и обеспечивает деятельность его кровеносной, дыхательной, пищеварительной и других систем. Как мы увидим позже, деятельность гладкой мускулатуры регулируется двумя отделами вегетативной нервной системы-симпатическим и парасимпатическим.
Поперечнополосатая мускулатура получила свое название по причине исчерченности, обусловленной строением тех многих сотен мышечных волокон, из которых состоят скелетные мышцы. Мышечные волокна имеют толщину от 0,01 до 0,1 мм и способны быстро сокращаться под действием нервных импульсов. Эти импульсы приходят по моторным (двигательным) нервным волокнам, называемым альфа-волокнамщ каждое из которых иннервирует определенное число мышечных волокон; чем точнее работа, которую должна совершать мышца> тем меньшее число мышечных волокон иннервируется одним нервным волокном (как, например, в мышцах, приводящих в движение пальиы рук). Как мы увидим позже, степень сокращения поперечнополосатых мышц регулируется при участии сенсорных (чувствительных) нервных волокон, посылающих в нервные центры сигналы обратной связи от находящихся в мышцах рецепторов-мышечных веретен (см, рис. А+5),
Поскольку поперечнополосатые мышцы осуществляют всю произвольную двигательную активность, их функции могут быть очень разнообразными. Они могут быть инициаторами движения, прямо участвуя в его выполнении, или антагонистами, когда путем противодействия инициированному движению они в зависимости от характера требуемого действия участвуют в регулировании движения конечности.
Биологические ос ионы ттеОеиия ' 237
Некоторые мышцы действуют как синергжты* помогая друг другу, или как фиксаторы* обеспечивая неподвижность того или иного сустава при выполнении определенного движения. Наконец, существуют и «антигравитационные» мышцы, которые участвуют в поддержании равновесия тела* давая ему возможность противостоять силе тяжести.
Так, например, человек, собирающийся взять со стола какой-нибудь предмет, сначала должен вытянуть руку, сокращая для этого мышцы-инициаторы (например, трицепс) и медленно расслабляя мышцы-антагонисты (например, бицепс). Когда кисть приближается к предмету, плечо блокируется мышцами, выполняющими роль фиксаторов. В результате смещения центра тяжести, обусловленного наклоном тела, в работу по стабилизации тела включаются мышцы туловища, таза и нижних конечностей, в том числе и мышцы с антигравитационной функцией. Далее, чтобы движение было точным, функцию инициаторов, антагонистов и синергистов должны будут выполнять мышцы кисти. Когда, взяв предмет, мы потянем его к себе, потребуется иная последовательность движений; при этом функции некоторых мышц изменятся на противоположные-инициаторы станут антагонистами и наоборот.
Таким образом, трудно говорить о какой-либо чисто «произвольной» моторике* если учесть, какое множество мышц, образованных тысячами мышечных волокон, и «непроизвольных» механизмов согласованно участвует в выполнении даже самого несложного движения*
Железы
Как уже отмечалось, движения внутренних органов осуществляет гладкая мускулатура, Во многих случаях, однако, функционирование гладкой мускулатуры тесно связано с деятельностью определенных желез.
Железы-это органы, которые вырабатывают и выделяют вещества, необходимые для работы других органов. Существуют железы двух типов; зкзокрштые и эндокринные. Они различаются своими функциями, а главным образом тем, что первые имеют выводные протоки, а вторые освобождают продукты своей деятельности непосредственно в кровь.
Экзокринные железы. Экзокринных желез особенно много в пищеварительной системе, работа которой в большой степени зависит от выработки слюнными, желудочными и кишечными железами соков, содержащих необходимые для переваривания пищи ферменты. Некоторые экзокринные железы (например, потовые) могут выполнять функцию охлаждения кожи. Другие (например, слезные железы и железы слизистой оболочки носа) увлажняют органы, выполняя тем самым защитную функцию. Как бы то ни было, во всех случаях речь идет о железах, продукты которых попадают во внешнюю среду или в сообщающиеся с ней полости внутренних органов.
Эндокринные железы. Железы этого типа вырабатывают секреты, которые переходят в замкнутую систему кровообращения и могут переноситься с током крови к органам, иногда очень далеким от места
Приложение А
Рис. А. 13. Эндокринные железы.
секреции. Деятельность эндокринных желез, так же как и экзокринных, регулируется вегетативной нервной системой. Регуляцию эндокринных желез, однако, в значительной мере осуществляет и гипофиз главная эндокринная железа, тесно связанная с нервными центрами, расположенными в основании мозга.
Эндокринная система состоит из семи небольших желез, находящихся в разных частях тела (рис. АЛЗ).
Щитовидная железа расположена на уровне шеи, под гортанью. Она секретирует тироксин, который играет важную роль в обмене веществ, а также влияет на настроение и побуждения человека, Недостаточная секреция тироксина, связанная, например, с отсутствием иода, участвующего в синтезе этого гормона, у грудных детей может вызвать кретинизм (см+ гл. 9), а у взрослых людей может быть причиной Апатии; наоборот, избыточная секреция тироксина может привести к чрезмерной нервозности.
Паращитовидные железы расположенные по обе стороны от щитовидной железы, играют важную роль в регуляции содержания в крови кальция, необходимого для нормальной работы мышц и нервов.
Тимус лежит за грудиной. По-видимому, он участвует главным образом в процессе роста организма и в его иммунологической защите. В период полового созревания тимус атрофируется.
Поджелудочная железа прежде всего выполняет экзокринную функцию-выделяет панкреатический сок во время пищеварения. Ее эндокринную функцию обеспечивают островки Лангерганса - участки ткани, вырабатывающие инсулин; в островках имеются также специфические

Биологические основы поведения 239
клетки, продуцирующие глюкагон. Инсулин позволяет запасать в печени сахар, поступающий в кровь после переваривания пищи. Глюкагон способствует противоположному процессу-освобождению из печени накопленного в ней сахара, что делает его доступным для «сжигания» в мышцах1.
Сахарный диабет обусловлен недостатком инсулина и характеризуется гипергликемиеп* т. е, избытком сахара в крови, способным повлечь за собой кому и смерть. Гипогликемия вызывается избыточной секрецией инсулина; сахар усиленно выводится из крови, и это может привести, к оцепенению, а затем и к коме.
Надпочечники прилегают к верхушкам почек. В надпочечниках различают наружную и внутреннюю части. Наружная часть-корковое вещество-вырабатывает кортикоиды2 (кортикретероиды); это разнообразные гормоны, которые ответственны за регуляцию относительного содержания натрия и калия в организме и участвуют в углеводном обмене и синтезе белков. . ...
Внутренняя часть надпочечников-мозговое вещество - декретирует два очень близких по структуре гормона, адреналин и норадреналин, называемые «гормонами стресса». Адреналин вырабатывается главным образом при обстоятельствах, требующих от организма быстрой мобилизации всех его сил; он вызывает расширение кровеносных сосудов в мышцах, учащение сердечного ритма, сужение сосудов желудка и кишечника (т.е. приостановку пищеварения) и т.д. Главная функция норадре-налина состоит в освобождении (при участии некоторых кортикоидов) накопленного в печени сахара в тот момент, когда организму требуется много энергии. Позже мы увидим, что норадреналин служит также и ней роме диатором, повышающим возбудимость нервной системы.
Половые железы ответственны за развитие вторичных половых признаков в период полового созревания (см. гл, 10), а также за регуляцию половых функций, У женщин они вырабатывают эстрогены, регулирующие овуляцию, и прогестерон, инициирующий подготовку стенки матки к внедрению в нее оплодотворенной яйцеклетки. У мужчин они секретируют андрогены и тестостерон, усиливающие половое влечение3. *
Гипофиз расположен в основании головного мозга. Это «главная» железа, которая-не только вырабатывает собственные гормоны, но и регулирует деятельность большинства других эндокринных желез (рис.
1 Мышечная энергия образуется главным образом в результате окисления сахара кислородом, который тоже транспортируется кровью,
1 К кортикоидам относятся и так называемые анаболические стероиды, которыми иногда незаконно пользуются некоторые спортсмены для увеличения
мышечной силы
3
Говоря точнее, эстрогены и андрогены образуются как у мужчин, так и у женщин, однако до наступления старости их количества у разных полов различны.
24(1
Приложение А
А. 14), Обильно снабжаемый кровью, гипофиз непрерывно оценивает уровень в крови различных гормонов; в результате он может регулировать их содержание в крови. Его передняя доля выделяет гормоны, вызывающие активацию щитовидной железы, коры надпочечников и половых желез1. Передняя доля гипофиза выделяет, кроме того, гормон роста (соматотропин), влияющий главным образом на рост костей, а также пролактин, стимулирующий выработку молока у матери после родов.
Задняя доля гипофиза продуцирует два гормона: вазопрессши или антидиуретический гормон, при надобности усиливающий обратное всасывание воды в почках и вызывающий повышение кровяного давления, и окситоцип, способствующий сокращениям матки во время родов.
Периферическая нервная система
Нервные сигналы от рецепторов и команды поперечнополосатой мускулатуре передаются соответственно по сенсорным и двигательным
1 Влияние гипофиза на половые железы уравновешивается действием на них секретов эпифиза. Эта железа расположена в промежуточном мозгу, над мозжечком (см. рис. А.22). Благодаря своей форме, напоминающей сосновую шишку, она получила также название шишковидной железы; Декарт полагал, что в этой железе заключена у человека душа. В настоящее время известно, что подавление функций эпифиза вызывает гипертрофию половых органов, а его опухоль может привести к преждевременному половому созреванию.

Биологические основы
241
Рис. А. 15. Соматическая и вегетативная нервная система. На разрезе спинного мозга (слева) видно, каким образом задний и передний корешки спинномозгового нерва образуют рефлекторную лугу, среднюю часть которой составляют расположенные в центре спинного мозга промежуточные нейроны. На рисунке показан также путь волокон симпатической нервной системы, проходящий через симпатические ганглии и далее к внутренним органам.
> нервным путям. Сенсорные пути, передающие информацию к нервным
центрам, называются также афферентными путями, а двигательные, проводящие команды от нервных центров к мышцам и железам,-эфферентными путями. Эти два типа нервных путей обычно проходят в общих нервах и составляют соматическую нервную систему.
Вегетативная нервная система, ответственная за внутренние функции, состоит из двух параллельных, но антагонистических систем. Первая из них, называемая симпатической, подготавливает организм к действию; вторая, называемая парасимпатической способствует расслаблению организма и восстановлению его энергетических запасов (рис. АЛ 5),
Соматическая нервная система. Она состоит из 31 пары спинномозговых нервов и 12 пар черепномозговых нервов (рис, АЛ6). Спинномозговые нервы, корешки которых этажами располагаются вдоль всего спинного мозга, передают информацию, связанную с кожными рецепторами и мускулатурой туловища и конечностей. Черепномозговые нервы, берущие начало в том месте, где спинной мбзг переходит в головной, передают сенсорные сигналы и команды, связанные с рецепторами и мышцами головы и шеи.
Вегетативная нервная система. Поскольку функции организма, контролируемые этой системой, в значительной мере осуществляются по
)6 443

242
Приложение А

Рис. А Л 6. Расположение и функции 12 пар чсрспномозговых нерво]
принципу саморегуляции1, ее называют также авгпономп\ системой (рис. А. 17).
Структуры, из которых состоят две части вегетативна
1 Однако, как отмечалось в главе 6, в настоящее время уста] некоторые приемы позволяют в большей или меньшей мере koj самые разные функции организма. Таким образом, подобно тс<[ тическая система не является исключительно «произвольной», так и систему нельзя считать полностью «автономной».
основы
243
док,
елудочняд
Цепочка
симпатических гэнглиий

17. Вегетативная нервная система. Симпатическая нервная система, отменная за физиологическую активацию организма, образована нервными гнами, выходящими из спинного мозга на уровне грудного и поясничного fob; эти волокна соединяются в двух лежащих, вдоль позвоночника цепочках с волокнами, иннервирующими различные внутренние органы. Пара-ггическая система, способствующая расслаблению организма, иногда до- до депрессии, образована волокнами некоторых черепномозговых •в, выходящих из продолговатого мозга* и волокнами спинномозговых «в крестцового отдела.
:мы, различны. Симпатическая система воздействует на внутренние и железы через парную цепочку из 25 ганглиев-«передаточных на Е1ервных путях, выходящих из спинного мозга (рис. А.1 5), В [симпатической системе имеются 4 пары черепномозговых нервов, шящих от верхнего конца спинного мозга, и 3 пары спинномозговых рв, отходящих от его другого конца в крестцовой области.
244 Приложение А
Симпатическая система. Эта система приводит организм в состояние «боевой готовности». Она вызывает учащение сердечного и дыхательного ритма, расширение артерий в мышцах, торможение функций пищеварительной системы, активацию потовых желез, а также влияет на деятельность некоторых эндокринных желез (например, надпочечников), заставляя их оекретировать адреналин и норадреналин, активирующие мускулатуру.
Парасимпатическая система. В противоположность симпатической системе парасимпатическая приводит организм в расслабленное состояние, что позволяет ему восстановить свои силы (в частности, эа счет активации пищеварения). Она действует также на различные органы, вызывая эффекты, противоположные эффектам симпатической системы. Так, она вызывает урежение сердечного и дыхательного ритма, стимулирует работу желудка и кишечника, способствует сокращению мочевого пузыря и выведению из него мочи.
Касаясь половых функций* следует отметить, что, хотя во время оргазма активируется симпатическая система, состояние предварительной расслабленности, необходимое для возбуждения половых органов, так же как и состояние, наступающее после полового акта, как это ни парадоксально, обусловлено активацией парасимпатической нервной системы.
Дополнение А.2. Три «мозга» и эволюция нервной
системы
ч
На филогенетической лестнице животных мозг, одновременно с головой и двусторонней симметрией тела, впервые появляется у плоских червей, таких, как планарии. По-видимому, это эволюционное событие произошло около миллиарда лет назад, Если вначале головной мозг представлял собой всего-навсего два небольших скопления нейронов числом около 3000, то в процессе эволюции он достиг развития» присущего современному человеку, и образовал два полушария, содержащих более 10, а может быть, и более 30 миллиардов нервных клеток. Сложнее всего нервная система устроена у позвоночных (рис. АЛ8).
Мак-Лин {McLean, 1964) предложил ставшую уже классической схему, согласно которой головной мозг в своем развитии проходит три этапа, соответствующие уровням развития позвоночных на трех важных стадиях их эволюции (рис. 1.19). f
На первом из этих этапов возникает древний мозг* называемый также «рептильным». Он включает мозговой ствол, ответственный за важнейшие вегетативные функции, выше которого располагается средний мозг% на данном этапе развития фактически выполняющий роль примитивного переднего мозга. На этой стадии эволюции уже имеются также зачатки мозжечка, а гипоталамус играет важную роль в поддержании внутреннего гомеостаза и в удовлетворении основных физиологических потреб-
. to<
ы
24?

Рис. А>18+ Прогрессивная эволюция переднего мозга у позвоночных. ОЛ-обонятельная луковица; ПМ-передний мозг (большие полушария); СМ-средний мозг; Мж-мозжечок; ПрМ-промежуточный мозг,
ностей. Уже появилась и древняя часть коры (позднее превращающаяся в гиппокамп).
У низших млекопитающих формируется старый мозг. Он состоит из таламуса, полосатых тел и первичной коры (старой коры или лимбичес-кого мозга), тесно связанной с обонянием и у многих животных очень сильно развитой. Помимо обоняния лимбический мозг начинает выполнять и другие функции, связанные с контролем эмоционального поведения и примитивным научением по принципу вознаграждения и наказания. Таламус координирует и интегрирует сенсорные функции организма, а полосатые тела ответственны за автоматизмы.
У высших млекопитающих развивается высший отдел головного мозга - передний мозг, состоящий главным образом из новой коры. Она покрывает два полушария переднего мозга и достигает максимального развития у человека1, С появлением переднего мозга развиваются и высшие психические функции, основанные на познании человеком окружающего мира и самого себя и совершенствовании сложных форм поведения.
По мнению Мак-Лина, развитие этого «третьего мозга» продолжалось не более 1 млн. лет, что породило некоторые проблемы. За это сравнительно короткое время передний мозг не мог установить сколько-нибудь надежного койтроля за деятельностью двух более древних отделов мозга. В связи с этим Лабори (Laborit, 1979) полагает, что те конфликты между удовлетворением влечений и «разумным» поведением, которые мы постоянно переживаем, обусловлены недостаточной согласованностью функций всех трех отделов мозга. По этой причине мы неправильно пользуемся своими подкорковыми системами неотложных реакций, в частности системой активного торможения (по терминологии
1 У человека кора головного мозга развита настолько сильно, что для того, чтобы поместиться в черепной коробке, две трети се поверхности, составляющей 22 дм2, образуют складки. Масса всего головного мозга у человека в среднем составляет 1330 г, и если этот показатель отнести к массе тела, то полученная величина окажется в 30 раз больше, чем соответствующий показатель у низших млекопитающих. Например, если бы землеройка была размером с человека, ее мозг весил бы всего 46 г.
24b
Приложение Л
а - древняя кора (архикортекс) п — стара* кора 1папеокортекс1 н - новая кора [неокортекс) 6г — базэпьные ганглии
фк — боковой желудочек бе — белое вещество мт — мозолистое тедо
Рис. А. 19. Эволюция коры мозга от рептилий до человека (по Romer, 1955), Примитивная кора (а и п) уступает место новой коре (и), которой почти нет у рептилий и которая у высших позвоночных полностью покрывает полушария мозга. У высших млекопитающих и особенно у человека сильного развития достигает и мозолистое тело.
Лабори), Согласно Лабори, эта система позволяет человеку на какое-то время задержать действие, чтобы оценить ситуацию и направить должным образом свою активность. Однако современные социальные условия, а также физические условия городской жизни вынуждают все чаще и дольше прибегать к активному торможению, и это приводит к развитию стресса, вызывающего многочисленные физические расстройства, усиление агрессивности и разнообразные аномалии поведения.
Источники: LahoritH. 1979. L'inhibition dc Faction, Paris, Masson. Lazortiies 0., 1982. Le cerveau et Tesprit, Paris, Flammarion. McLean P.D.t 1964, "Man and his animal brain", Modern Medecine, 32, p. 95-106.
Центральная нервная система
Периферические части соматической и вегетативной систем представляют собой продолжение центров переработки информации, программирования и принятия решений, которые этажами располагаются в спинном мозгу и выше, вплоть до коры головного мозга. Каждый из этих центров находится под контролем другого центра, лежащего непосредственно над ним; все центры тесно связаны между собой пучками нервных волокон (см, дополнение А.2).

Вгш.шгическне основы {юмчкчшч 247
Спинной мозг
Спинной мозг представляет собой тяж нервной ткани с площадью поперечного сечения примерно 1 см2 и около метра длиной, главная функция которого состоит в проведении сигналов от периферической нервной системы или к ней. Его наружные слои в основном образованы восходящими сенсорными и нисходящими двигательными нервными путями, а также путями, передающими нервные сигналы танглиям симпатической системы (см. рис. АЛ5). '
Помимо этого, спинкой мозг выполняет функцию нервного центра, ответственного за врожденные рефлексы. Он способен мгновенно передавать команды тем или иным мышцам после получения? соответствующий информации и обеспечивает таким образом быструю защитную реакцию организма (например, в случае ожога или укола), Нервная цепь, ответственная за такую реакцию, сравнительно проста; ее называют рефлекторной дугой. В такой дуге импульсы сенсорных волокон, входящих в спинной мозг через задние корешки спинномозговых нервов, передаются моторным волокнам передних корешков через один или большее число промежуточных (вставочных) нейронов, находящихся в центральной части спинного мозга1.
-
Головной мозг
Головной мозг-это отдел нервной системы, заключенный в черепную коробку (рис. А.20). Он состоит из двух частей: мозгового ствола и мозжечка, образующих «нижний этаж», и большого мозга, включающего промежуточный мозг и два полушария, которые составляют передний мозг. Головной мозг состоит не только из нервной ткани. Внутри его имеются четыре полости. Эти полости, называемые желудочками, нумеруются сверху вниз. Первый и второй желудочки-это боковые полости внутри мозговых полушарий, третий-средняя центральная полость, а четвертый - нижняя полость, ограниченная продолговатым мозгом. Все желудочки заполнены, ими же секретируемой спинномозговой' жидкостью. Эта жидкость заполняет и спинномозговой канал являющийся продолжением желудочков в спинном мозгу (рис. А,21),
Ствол мозга. Этот отдел включает такие структуры, как продолговатый мозг, варолиев мост и средний мозг. Ствол можно сравнить с ножкой гриба, шляпка которого образована полушариями мозга с их
1 Чем выше уровень центральной нервной системы, тем большую роль играют промежуточные нейроны. Они обеспечивают многообразие нервных связей и составляют* таким образом, основу пластичности нервных центров. В этом смысле можно даже утверждать, что чем больше промежуточных нейронов в нервном центре, тем он «совершеннее» и тем выше его способность к сложной переработке информации. Это в особенности относится к коре, некоторые области которой целиком состоят из промежуточных нейронов.
:4s
Приложение А
Рис. А.20. Внутренняя поверхность правого полушария и разрез, проходящий через промежуточный мозг и ствол мозга.
корой. Ствол составляет наиболее примитивную часть головного мозга1, •
Продолговатый мозг. Он представляет собой расширение спинного мозга, через которое проходят все сенсорные и двигательные нервные пути; в продолговатом мозгу эти пути в значительной части перекрещиваются, что приводит к образованию связи правой половины тела с левым полушарием и наоборот. Кроме того, в продолговатом мозгу расположены рефлекторные центры, ответственные за сосание, жевание, слюноотделение, глотание, кашель и т.п. Находятся здесь и жизненно важные центры, регулирующие работу дыхательной и сердечно-сосудистой систем. Из этого понятно, почему резкий удар по шее, приводящий к повреждению продолговатого мозга, может быть опасен для жизни,
Варолнев мост. Этот отдел содержит связи между спинным мозгом и вышележащими отделами головного мозга. В нем проходят два больших пучка восходящих и нисходящих волокон. Кроме того, он содержит многочисленные центры, ответственные, в частности, за глазные рефлексы, рефлекторное моргание (мигательный рефлекс), моторику кишечника, мочеиспускание и др.
1 Согласно традиционным представлениям, ствол мозга включает только продолговатый мозг и варолиев мост. Современные авторы, однако, все чаще относят к стволу и другие структуры, рассматривая его как «важную часть головного мозга, простирающуюся от продолговатого мозга до таламуса включительно» (Changeux, 1983, р. 415; Bourne, Ekstrand, 1985* р+ 44).

осшмы
249
Рис. А.21. Желудочки головного мозга. Боковые желудочки (первый и второй) расположены в самой середине каждого полушария; третий желудочек занимает центральную часть большого мозга. Он сообщается с боковыми желудочками (через межжелудочковые, или монроевы, отверстия) и с четвертым желудочком, находящимся в стволе.
Средний мозг. Средний мозг можно рассматривать как остаток примитивного головного мозга низших позвоночных, у которых он играет важную роль в соединении сенсорных путей с двигательными, У человека он функционирует главным образом как передаточный центр, состоящий из бугорков четверохолмия и коленчатых тел-ядер на пути следования зрительных и слуховых сигналов.
Мозжечок. Этот орган находится позади мозгового ствола, с которым он, как и с другими центрами головного мозга, тесно связан. Мозжечок-это своего рода компьютер, быстро и непрерывно анализирующий всю информацию о положении тела в пространстве и степени напряжения и расслабления различных мышц. Таким образом, в любой момент он способен корректировать команды, посылаемые мозгом к конечностям, с учетом новых сообщений от глаз, полукружных каналов и мышечных веретен.
Ретикулярная формация. Это образование тянется вдоль всей оси мозгового ствола. Своим названием оно обязано сетчатой структуре (лат. reticulum-сетка)1, образуемой его нервными клетками с их очень сложными связями (рис, А,22),
Как отмечает Шанжё (Changeux, 1983), морфология нейронов ретикулярной формации и в самом деле весьма любопытна, так как эти клетки образуют скопления в несколько тысяч штук, а их отростки направля-
1 Термин «ретикулярная формация» ввел открывший ее в 1950-х годах Мэгун.

250
Приложение А
Рис. А.22. Ретикулярная формация. Нейроны ретикулярной формации собраны в ядра, выполняющие специфические функции, и посылают отростки в большинство областей мозговой коры. Различают восходящую ретикулярную систему (слева), вызывающую активацию коры, и нисходящую ретикулярную систему (справа), главным образом регулирующую постурадышй тонус (поддержание позы) благодаря тормозному и облегчающему влиянию на двигательные пути* спускающиеся из моторной коры в спинном мозг.
_
ются в большинство других областей головного мозга, а некоторые доходят даже до обширных зон мозговой коры.
Сегодня известно, что ядра ретикулярной формации выделяют специфические нейромедиаторы (см. ниже). Так, в одном из этих ядер, голубом пятне, ответственном за активацию коры (в частности, во время парадоксального сна), некоторые клетки секретируют норадреналин, а другие - ацетилхолин; еще одно ядро, имеющее отношение к засыпанию, выделяет серотонин, а третье ядро, играющее важную роль в облегчении моторных реакций во время пробуждения (см. документ 4.1), секрети-рует дофамин.
Ретикулярная формация представляет собой систему, активирующую кору мозга. Практически все нервные сигналы, посылаемые в большой мозг по сенсорным путям,- поступают также и в ретикулярную формацию. Ретикулярная формация как бы оценивает, насколько важны те или

иные сигналы, прежде чем позволить им активировать кору, чтобы она могла подвергнуть их расшифровке. Раздражение ретикулярной формации спящего человека через имплантированный в мозг электрод приводит к резкому пробуждению. Такое же воздействие на ретикулярную формацию бодрствующего человека вызывает обострение внимания,
С другой стороны, если у животного разрушить ретикулярную формацию, оно вообще не сможет бодрствовать. Хотя с помощью электродов, имплантированных в кору мозга, можно показать, что сенсорные сигналы благополучно приходят туда, никакой расшифровке они там не подвергаются, так как без ретикулярной формации кора не активируется.
Таким образом, ретикулярная формация прежде всего выполняет функцию фильтра, который позволяет важным для организма сенсорным сигналам активировать кору мозга, но не пропускает привычные для него или повторяющиеся сигналы.
Большой мозг* Большой мозг подразделяется на два «этажа». Продолжением среднего мозга является промежуточный мозг, расположенный по обе стороны третьего мозгового желудочка. Над ним находятся большие полушария, соединенные друг с другом толстым уплощенным пучком поперечных нервных волокон мозолистым телом.
Промежуточный мозг. Промежуточный мозг - наиболее примитивная часть большого мозга. Он включает три главные структуры, расположенные на уровне третьего желудочка: гипоталамус (центр эмоций и мотивации), лимбическую систему (ведающую аффективным и мотивированным поведением) и таламус (производящий фильтрацию и предварительную переработку информации и затем направляющий ее в разные области мозговой коры).
Гипоталамус. Эта структура, снабжаемая кровью обильнее всех других мозговых структур, образует с большинством из них прямые связи. Гипоталамус состоит из дюжины пар ядер, и хотя вес его составляет всего лишь 1% веса большого мозга, а поверхность можно закрыть ногтем большого пальца, он играет важнейшую роль в проявлении потребностей и в эмоциональной жизни человека. Именно в гипоталамусе находятся центры голода и жажды, а также центры, влияющие на температуру тела, сон, половое поведение и разнообразные эмоции. Кроме того, гипоталамусу принадлежит важная роль в регуляции гормональных функций организма. В некоторых его ядрах синтезируются такие гормоны, как вазопрессин (антндиуретический гормон) и пролактин, которые затем секретируются подвешенным к гипоталамусу у основания мозга гипофизом. В период полового созревания гипоталамус инициирует и деятельность половых желез, находящихся под контролем гипофиза.
Лимбическая система. Эта система образует нечто вроде кольца, состоящего из таких пучков нервных волокон, как, например, свод и поясной пучок, соответствующий поясной извилине. Эти пучки соединяют некоторые ядра передней части гипоталамуса с гиппокампом и расположенным в височной доле миндалевидным ядром (рис. А.23), Таким
252 Прн.иктхти: А
Обонятельные луковицы
Миндалевидное—" Ч— N—.—Гипгкжамп
ядро
Рис. АР23. Внутренняя поверхность левого полушария и структуры лимбической системы.
образом, лимбическая система тесно связана с гипоталамусом, вместе с которым она выполняет важные функции, касающиеся мотивации и эмоций, которые она контролирует. Лимбическая система и особенно входящий в нее гиппокамп играют важную роль и в процессах памяти (см. досье 8Л), Кроме того, она участвует в регуляции агрессивного поведения, которое можно вызывать стимуляцией миндалевидного ядра и подавлять раздражением области перегородки расположенной впереди свода1. В различных отделах лимбической системы, окружающих гиппокамп, были также обнаружены центры удовольствия и боли.
Таламус. Таламус состоит из двух больших скоплений ядер, расположенных по обе стороны третьего мозгового желудочка и соединенных между собой тонким пучком нервных волокон, называемым серой комиссурой. .
Главная функция таламуса состоит в фильтрации и классификации сигналов от рецепторов и отсылке их в соответствующие области мозговой коры. Кроме того, таламус обеспечивает сенсомоторныс связи, направляя в двигательные зоны коры сигналы, поступающие из мозжечка и из полосатых тел> ответственных за автоматические движения (например, ходьбу). Таким образом, благодаря таламусу возможен контроль автоматических движений со стороны сознания.
Передний мозг* Передний мозг получает особенно сильное развитие в эволюции млекопитающих, а у человека становится доминирующей структурой нервной системы. Этот эволюционно новый отдел большого мозга состоит главным образом из двух полушарий, покрытых корой* в которой протекают высшие нервные процессы.
Под корковым слоем серого вещества располагается белое вещество, образованное скоплением нервных волокон, которые проводят нервные сигналы к коре или от нее- Здесь же находятся полосатые тела,
1 Удаление миндалевидного ядра, вызывает у экспериментального животного апатию и «покорность».

основы mwedemtx 253
ответственные за нервно-мышечный тонус и координацию автоматических движений.
Полосатые тела. Это ядра, относящиеся к так называемым базаль-ным ганглиям1. Каждое полосатое тело состоит из хвостатого ядра и чечевицеобразного ядра, включающего скорлупу и бледный шар (см. рис. А.22).
Эта группа ядер, расположенная между таламусом и корой большого мозга, участвует в регуляции и координации двигательных автоматизмов. Так, разрушение бледного шара вызывает ригидность мускулатуры, а дегенерация контролирующей его скорлупы приводит к дрожанию, характерному для болезни Паркинсона, или к возникновению непроизвольных движений, как у больных хореей Гентингтона.
Кора большого мозга
Кора представляет собой сдой серого вещества толщиной в среднем 3 мм. В кору приходят сенсорные волокна после «переключения» в таламусе, и из нее выходят моторные волокна, направляющиеся в спинной мозг.
Два мозговых полушария соединены между собой комиссурами-поперечными пучками нервных волокон. Главной из этих комиссур является толстая пластина мозолистого тела; она простирается спереди назад на 8 см и состоит более чем из 200 млн. нервных волокон, идущих из одного полушария в другое.
Кора каждого полушария образует шесть обособленных долей, разграниченных бороздами, из которых две особенно крупные-рол андова и сильвиева. В передней части мозга выделяют лобную долю, в верхней -теменную, в боковой-височную, в задней-затылочную; под височной долей, в глубине сильвиевой борозды находится долька, называемая островком, а под мозолистым телом, на внутренней поверхности полушария-доля мозолистого тела (рис. А-24).
Между бороздами коры образуются валики, называемые извилинами, которые в большей или Меньшей степени соответствуют областям с определенными функциями. Это могут быть сенсорные, моторные или ассоциативные зоны коры (см. рис, АЛ9). Сенсорные зоны получают информацию от различных рецепторов, а моторные зоны посылают команды, управляющие движениями. Таким образом, сенсорные области мозговой коры представляют собой конечные пункты на пути волокон, связанных с периферической нервной системой, и их разрушение приводит к потере чувствительности в той области тела, где расположены соответствующие рецепторы. Моторные области дают начало волокнам, разрушение которых вызывает паралич конечности, управляемой нейронами соответствующей области коры.
1 К базальным ганглиям причисляют и другие, более мелкие ядра, расположенные в мозговом стволе (такие, например, как черная субстанция, красное ядро, голубое пятно и др.).
Приложение А
Рис. А.24. Кора большого мозга.
Наиболее значительную часть коры, однако, занимают ассоциативные зоны, организация которых наиболее характерна для этой мозговой структуры. По сути дела, именно эти зоны, лишенные какой-либо явной специализации, ответственны за объединение и переработку информации и программирование действий. Благодаря этому они составляют основу таких высших процессов, как память, научение, мышление и речь (см, документ 8.4),
А, Сенсорные зоны. Такие зоны имеются в разных долях гкоры. Зона общей чувствительности находится в теменной доле, зрительная зона - в затылочной, слуховая-в височной, вкусовая-в нижней части теменной доли, а обонятельная-в двух обонятельных луковицах, находящихся под большим мозгом.
Зона общей чувствительности расположена в извилине, идущей вдоль роландовой борозды, в теменной доле и получает сигналы от рецепторов кожи. Все тело человека-головой вниз, а пальцами лог вверх-представлено здесь в виде областей (проекций), поверхность которых про* порциональна чувствительности соответствующих частей тела; так, проекция кисти намного больше проекций спины или ног (рис. А.25),
Повреждение всей этой зоны или какой-либо ее части приводит к блокаде сенсорных сигналов от соответствующих областей тела; в результате здесь исчезают тактильные, температурные и болевые ощущения, хотя внешние стимулы продолжают возбуждать рецепторы кожи и вызывать поток импульсов в идущих от них нервных путях.
Ассоциативная зона, находящаяся в верхней части теменной области, является гностической и отвечает за узнавание и восприятие стимулов, вызвавших ощущения на уровне теменной извилины.
Зона зрительной чувствительности расположена в затылочной доле вдоль щпорной борозды, и информация, передаваемая каждой ганглиоз-ной клеткой сетчатки, очень точно проецируется в разные ее точки.
Затылочная зона каждого полушария мозга получает информацию от противоположной половины поля зрения. Прежде чем войти в большой мозг, часть волокон обоих зрительных нервов перекрещивает-

основы поведения 255
ся, образуя так называемую зрительную хиазму (рис. А.26). В результате этого перекрещивания левая зрительная доля получает волокна от обоих глаз, несущие информацию о правой половине поля зрения, а лравая доля-о левой половине. Таким образом, в результате интеграции нервных сигналов от обеих сетчаток в мозгу воссоздается трехмерный образ предмета, изображения которого на правой и левой сетчатках несколько различны.
Зрительное восприятие предметов, слов и чисел осуществляется в ассоциативной зоне, расположенной вокруг сенсорной зоны.
Зона слуховой чувствительности находится в височной области коры. Каждая из двух височных долей получает информацию, улавливаемую обоими ушами. Поэтому даже значительное повреждение слуховой зоны не может привести к глухоте, если оно, конечно, не затрагивает обоих мозговых полушарий.
Восприятие звуков, включая интерпретацию слов и мелодий, происходит в ассоциативной зоне, находящейся под сенсорной зоной (см, документ 8.4).
Вкусовая и обонятельная чувствительность локализована в зонах, расположенных сравнительно недалеко друг от друга. Зона вкусовой чувствительности находится в основании восходящей извилины и отвечает за расшифровку нервных сигналов, приходящих от языка. Доминирующая у большинства животных зона обонятельной чувствительности редуцирована у человека до двух обонятельных луковиц, являющихся продолжением обонятельных полосок в основании большого мозга.
Б* Двигательные (моторные) зоны. Область, ведающая произвольными движениями, расположена в извилине лобной доли, тянущейся вдоль роландовой борозды. Выходящие из нее моторные волокна направляются в спинной мозг либо прямо, проходя в виде двух пучков через варолиев мост и продолговатый мозг (где перекрещиваются), либо непрямым путем-через мозжечок и различные ядра, ответственные за координацию движений.
Как и в зоне общей чувствительности, в моторной зоне в виде проекций представлено все тело человека (головой вниз, пальцами ног вверх); площадь этих проекций пропорциональна сложности управления соответствующими группами мышц (см. рис, А.25, £).
Ассоциативная зона, прилегающая к моторной области и тесно взаимодействующая с расположенным под ней полосатым телом (см. выше), ответственна за моторные автоматизмы, а также за программирование и координацию борлее сложных и тонких движений. Повреждения этой зоны сопровождаются расстройством, получившим название двигательной апраксии (см. документ 8+4).
В. Зоны мышления и планирования действий. Собственно говоря, зон, где «рождаются» мысли, не существует, В принятии даже самого незначительного решения участвует весь мозг, В действие вступают разнообразные процессы, происходящие как в различных зонах коры, так и в низших нервных центрах.
Многообразны и формы самого процесса мышления. Он может быть
Л

Рис. А.25н Величина проекций сенсорных .волокон в соместетической зоне коры несоразмерна с величиной тех участков тела, от которых эти волокна отходят {А). То же самое относится и к распределению центров моторной зоны, ведающих произвольными движениями (£). Изобразив проекции различных частей тела в коре, эту несоразмерность можно иллюстрировать в виде сенсорного или моторного гомупкулюса.
направлен на решение самых различны* задач-от простой оценки пространственных или временных отношений до предвидения результатов действий-и помимо прочего* может sбыть связан с функциями памяти и речи или даже с владением сложными психомоторными навыками (см. дополнение A3).
В любой момент времени наш мозг осведомлен о положении тела в пространстве благодаря той информации, которая поступает в него по различным сенсорным каналам. Эта информация, по-видимому, стекается в область, расположенную на стыке трех долей мозга, включающих главные сенсорные зоны. Речь идет о так называемой «дугообраз-» ной складке», расположенной в верхней части сильвиевой борозды (см.
Биологические основы поведения
257
Затылочка r кора
Рис, А.26. Зрительный перекрест (хиазма) и зрительные пути. Информация о событиях в правой половине поля зрения поступает в левую затылочную до*лю из левой части каждой сетчатки; информация же о правой половине поля зрения направляется б левую затылочную долю из правых частей обеих сетчаток. Такое перераспределение информации от каждого глаза происходит *в результате перекрещивания части волокон зрительного нерва на уровне зрительной хиазмы.
4
рис. А.24), которая получает также нервные сигналы, передаваемые таламусом и различными ядрами. Повреждение этой зоны ведет к расстройству жестикуляции и ориентировки в пространстве.
Способность мозга определять время совершения события в основном зависит от памяти. Проведенные недавно исследования, по всей видимости, указывают на то, что способность ориентироваться во времени особенно свойственна высшим животным и что она в известных пределах не зависит от циркадианных ритмов (Richelle, Lejeune, 1986).
Память, очевидно, не связана с какой-то одной специфической областью мозга; она зависит от многочисленных зон, играющих важную роль, В особенности это касается некоторых областей височной коры и в еще большей мере-гиппокампа (см. документ 8Л).
Речь и язык одновременно связаны с такими сенсорными функциями,
I?

25В Приложение Л
как слух и зрение и с двигательными функциями, необходимыми для устной речи и письма (см, документ 8.4). Центры, ответственные за эти функции, находятся в разных областях мозга, особенно в лобной, затылочной и височной долях. У подавляющего большинства людей лингвистическая активность контролируется левым полушарием мозга.
Планирование действий, которое* собственно, и составляет суть мышления, происходит в префронтальной коре (т. е. в передних участках лобных долей) в результате объединения и переработки ею информации, получаемой и расшифровываемой в других зонах коры. Именно в префронтальной коре находятся структуры, определяющие способность к счету, предсказанию и предвидению1.
Наконец, управление сложными психомоторными функциями осу* ществляется на уровне верхних отделов мозгового ствола. Эта область мозга представляет собой настоящую «телефонную станцию» (Lazorthes, 1973), объединяющую информацию от рецепторов и моторные сигналы из коры мозга. Благодаря этому она может контролировать выполнение движений, планируемых лобной корой.
-
Специализация полушарий "
Развитие центральной нервной системы уже у плоских червей (например, у планарнй) сопровождается возникновением билатеральной (двусторонней) симметрии всего тела. Тело оказывается разделенным в продольном направлении на две половины, каждая из которых представляет собой зеркальное отражение другой, причем левая половина тела находится под контролем правой стороны мозга, и наоборот,
В процессе эволюции предков человека каждое мозговое полушарие приобретало все большую специализацию, что в особенности проявилось в предпочтительном пользовании правой или левой рукой, развитии речи, пространственной ориентации и полярности эмоциональных состояний.
I
Предпочтительное пользование той или другой рукой. Правши составляют около 90% всех людей; по-видимому, доминирование правой руки существовало уже у пещерных предков человека2. Не следует, однако, думать, что такая ситуация обязательно обусловлена наследственными факторами. Статистически установлено, что ребенок, у которого оба родителя левши, имеет примерно один шанс из двух стать правшой.
Речь* У подавляющего большинства людей центры речи расположены в левом полушарии. Только 5% правшей и 30% левшей, т. е. менее
1 У человека эта область занимает 29% поверхности коры, у шимпанзе 17%, а у собаки всего 7% (Changeих).
1 По-видимому, при создании наскальных изображений человека контур руки нередко наносился с помощью трафарета, которым служила свободная рука самого художника, и е 80% таких случаев это была левая рука. Значит, контур обводился обычно правой рукой.
Биологические оаиты птсдегш.ч 259
8% всех людей, разговаривают с помощью правого полушария. Согласно Рош-Лекуру (цит. по Changeux, 1983), все дети появляются на свет с речевыми зонами в обоих полушариях, однако в процессе развития на первом году жизни одно из них «берет верх» над другим. Поэтому отсутствие или случайная утрата одного полушарий при рождении или в первые два года жизни может быть компенсирована, так как соответствующие функции способно взять на себя второе полушарие.
То, что некоторые функции представлены только в одном полушарии, ,может означать, что это полушарие (обычно левое) подавляет активность другого. Иными словами, вследствие блокады недоминантного полушария доминантным через межполушарные волокна мозолистого тела недоминантное полушарие остается пассивным.
В лополнении А,3 приводятся наблюдения ученых за работой обоих мозговых полушарий, ставших независимыми после перерезки мозолистого тела. Эти наблюдения позволили выявить важную роль мозолистого тела в межполушарных взаимодействиях и в особенности роль доминантного полушария в объединении информации. Благодаря такой организации большого мозга вся нервная система в целом получает возможность работать согласованно и эффективно. Так, например, нервные сигналы, вызванные раздражением левой руки и приходящие в правое полушарие, автоматически передаются в доминантное левое полушарие. Лишь после того как девое полушарие ознакомилось с этой информацией, в первое полушарие посылается команда, заставляющая левую руку выполнить нужное движение.
Эмоциональные состояния. По-видимому, каждое полушарие мозга, помимо прочего, отвечает за направленность чувств человека и их позитивную или негативную окраску. Так, например, если патологический очаг у больного эпилепсией находится в левом полушарии мозга, человека нередко охватывает беспредметный смех, а если в правом, то больной более склонен к грусти и слезам.
Было также показано, что у людей во время депрессии в области правого полушария нередко регистрируются аномальные электрические волны. Это привело к предположению, что правое полушарие ответственно за эмоциональные состояния с негативной окраской и способствует тому, что человек видит прежде всего отрицательные стороны событий, тогда как левое полушарие придает эмоциональным реакциям на те или иные события положительную окраску. Таким образом, чувство или эмоциональное состояние человека будет определяться балансом этих противоположных тенденций. Однако, как подчеркивает Шанжё, вопрос о том, как мозгу удается без острого конфликта сделать взвешенный выбор, до сих пор остается полной загадкой.
Половые различия. Были обнаружены некоторые различия в строении мозга у мужчин и женщин. Например, недавно выяснилось, что у женщин в определенном участке мозолистого тела больше нервных волокон, чем у мужчин. Это может означать, что межполушарные связи у женщин более многочисленны и поэтому у них лучше происходит объединение информации, имеющейся в обоих полушариях; этим можно
17*
260 Приложение Л
объяснить и некоторые половые различия в поведении. Кроме того, выявленные у женщин более высокие показатели, связанные с лингвистическими функциями, памятью, аналитическими способностями и тонким ручным манипулированием можно связать с большей относительной активностью у них левого полушария мозга. Напротив, функции восприятия и способность к оценке пространственных отношений и художественному творчеству, видимо, лучше развиты у мужчину что может объясняться большим участием в этих процессах правого полушария. Еще раз, однако, отметим, что в первые годы жизни оба полушария способны хранить одинаковые количества и одинаковые виды информа* ции и что специализация полушарий происходит лишь очень постепенно. В связи с этим можно задаться вопросом: какова роль культуры и воспитания в формировании различий между женщинами и мужчинами* в частности различий в развитии нервных функций, обусловливаю-щих те или иные способности?
Дополнение A3. Расщепленный мозг
Сперри (Sperry, 1968) решил выяснить, что произойдет с нервной регуляцией функций организма и особенно с процессами восприятия информации, если полностью перерезать мозолистое тело, разобщив тем самым мозговые полушария1. Хотя такая операция обычно не вызывает сколько-нибудь серьезных нарушений повседневного поведения больных, было тем не менее замечено, что они действуют в сущности так, как если бы у них было два мозга.
Напомним* что информация из правой половины поля зрения проецируется в левое полушарие, и наоборот. У большинства людей «разговаривает» левое полушарие, которое интерпретирует события, происходящие в превой половине зрительного поля, и посылает команды мышцам превой половины тела. Правое-«немое»-полушарие расшифровывает информацию из левой половины поля зрения р управляет движениями правой стороны тела.
Сперри наблюдал людей с «расщепленным» мозгом в различных экспериментальных ситуациях, В одной из них испытуемый находился перед экраном, на который проецировались изображения разных пред-мехов* попавшие в левую или правую половину поля зрения, Оновремен-но испытуемый руками, скрытыми от его взора, трогал предметы, изображения которых могли проецироваться на правую или левую половину экрана (рис, А.27),
1 Людей иногда подвергают этой операции, чтобы ослабить проявление таких заболеваний, как, например, эпилепсия- По мнению некоторых нейрохирургов, это вмешательство оправдано тем, что переход через мозолистое тело нервного возбуждения из эпилептогенного очага, находящегося в одном полушарии, в симметричный участок другого полушария может способствовать развитию и усилению эпилептического припадка.
аашш ттеденыя
261

Рис, А,27, Расщепленный мозг. Испытуемому с перерезанным мозолистым телом предъявляют в левой части экрана изображение карандаша, воспрнни* маемое правым полушарием, а в правой части экрана - изображение вилки, воспринимаемое левым полушарием. Когла испытуемого просят взять левой рукой (управляемой правым полушарием) увиденный им предмет, он выбирает карандаш, Однако если его спросить, какой предмет он выбрал, он отвечает* что выбрал вилку {как подсказывает ему левое полушарие, ответственной за речь и игнорирующее все зрительные восприятия и инструкции другого полушария).
Исследователи обнаружили, что испытуемый мог после ощупывания предметов взять левой рукой тот из них, изображение которого на короткое время появилось в левой части экрана. Но он не мог ни назвать этот предмет, ни описать словами действия своей левой руки. Когда изображение предмета проецировалось в правой части экрана, наблюдались противоположные отношения.
Тогда Сперри и его сотрудники решили выяснить, что произойдет, если изображения разных предметов предъявить на обеих половинах экрана одновременно-например, на левую его часть проецировать изображение карандаша, а на правую-изображение вилки. Когда испытуемого попросили левой рукой, скрытой от его взора, выбрать тот предмет, изображение которого появилось на экране, он выбрал карандаш. Но когда ему предложили назвать выбранный им предмет, он, немного поколебавшись, ответил, что эта вилка-
Таким образом, «говорящее» полушарие испытуемого отвечало* руководствуясь тем, что оно перед собою «видело», полностью игнорируя команды, посылаемые другим полушарием левой руке.
Такого рода наблюдения позволили продемонстрировать ту важную роль, которую в согласованном функционировании всего организма играют мозолистое тело и в особенности доминантное полушарие мозга; последнее непрерывно интегрирует нервные сигналы, обеспечивающие совершенную координацию и высокую эффективность работы отдельных частей тела.
Источники: Sperry R. Wi, "The great cerebral commissure", Scientific American, jan. I964:
Sperry Д? W.y "Hemisphere deconncction and unity in conscious awareness", American Psychologist, 196&, n° 23, p. 723-733.
262 Приложение А
Структура и функции нейрона
Структурной единицей нервной системы является нервная клетка, или нейрон. Нейроны отличаются от других клеток организма многими особенностями. Прежде всего их популяция, насчитывающая от 10 до 30 млрд. (а быть может, и больше1) клеток, почти полностью «укомплектована» уже к моменту рождения, и ни один из нейронов, если он отомрет, не замещается новым. Принято считать, что после того, как человек минует период зрелости, у него ежедневно отмирает около 10 тысяч нейронов, а после 40 лет этот суточный показатель удваивается.
Другая особенность нейронов состоит в том, что в отличие от клеток других типов они ничего не продуцируют, не декретируют и ие структурируют; единственная их функция заключается в проведении нервной информации. . .
Структура нейрона
Существует много типов нейронов, структура которых варьирует в зависимости от выполняемых ими в нервной системе функций; сенсорный нейрон отличается по своему строению от моторного нейрона или нейрона мозговой коры (рис, А.28).
Но какой бы ни была функция нейрона, все нейроны состоят из трех основных частей: тела клетки, дендритов и аксона.
Тело нейрона, как и всякой другой, клетки, состоит из цитоплазмы и ядра. Цитоплазма нейрона, однако, особенно богата митохондриями, ответственными за выработку энергии, необходимой для поддержания высокой активности клетки. Как уже отмечалось, скопления тел нейронов образуют нервные центры в виде ганглия, в котором число клеточных тел исчисляется тысячами, ядра, где их еще больше, или, наконец, коры, состоящей из миллиардов нейронов. Тела нейронов образуют так называемое серое вещество.
Дендриты служат нейрону своего рода антеннами. Некоторые нейроны имеют много сотен дендритов, принимающих информацию от рецепторов или других нейронов и проводящих ее к телу клетки и ее единственному отростку другого типа - аксону.
Аксон представляет собой часть нейрона, ответственную за передачу информации дендритам других нейронов, мышцам или железам. У одних нейронов длина аксона достигает метра, у других аксон очень короткий. Как правило, аксон ветвится, образуя так называемое терминальное дерево; на конце каждой ветви имеется синаптическая бляшка. Именно она и образует соединение (синапс) данного нейрона с дендри-тами или телами других нейронов.
1 Предположение, что нервная система состоит из 30 млрд. нейронов, сделал Пауэлл с сотрудниками (Powell et al, 1980), который показал, что у млекопитающих независимо от вида на 1 мм* нервной ткани приходится около 146 тысяч нервных клеток. Общая же поверхность человеческого мозга составляет 22 дм2 (Changcux, 1983, р. 72).
Биологические основы поведения
263
Рис- А.28. Различные типы нейронов.
Большинство нервных волокон (аксонов) покрыто оболочкой, состоящей из миелина-белого жироподобного вещества, выполняющего функции изоляционного материала. Миелиновая оболочка с регулярными промежутками в 1-2 мм прерывается перетяжками -перехватами РатьСь которые увеличивают скорость пробегания нервного импульса по волокну, позволяя ему «перепрыгивать» с одного перехвата на

264 Приложение А
другой, вместо того чтобы постепенно распространяться вдоль волокна. Сотни и тысячи собранных в пучки аксонов образуют нервные пути, которые благодаря миелину имеют вид белого вещества.
Нервный импульс
Информация поступает в нервные центры, перерабатывается там и затем передается эффекторам в виде нервных импульсов, пробегающих по нейронам и соединяющим их нервным путям.
Независимо- от того, какую информацию передают нервные импульсы, пробегающие по миллиардам нервных волокон> они ничем не отличаются друг от друга. Почему же в таком случае импульсы, идущие от уха, передают информацию о звуках, а импульсы от глаза-о форме или цвете предмета, а не о звуках или,о чем-нибудь совсем ином? Да просто потому, что качественные различия между нервными сигналами определяются не самими этими сигналами, а тем местом, куда они приходят: если это мышца, она будет сокращаться или растягиваться; если это железа, она будет выделять секрет, уменьшать или прекращать секрецию; если это определенная область мозга, в ней будет формироваться зрительный образ внешнего стимула или же сигнал подвергнется расшифровке в виде, например, звуков. Теоретически достаточно было бы изменить ход нервных путей, например* часть зрительного нерва в зону мозга, ответственную за расшифровку звуковых сигналов, чтобы заставить организм «слышать глазами».
Потенциал покоя и потенциал действия
Нервные импульсы передают по дендритам и аксонам не сам внешний стимул как таковой и даже не его энергию. Внешний стимул лишь активирует соответствующие рецепторы, и эта активация преобразуется в энергию электрического потенциала, который создается на кончиках дендритов, образующих контакты с рецептором.
Возникающий при этом нервный импульс можно грубо сравнить с огнем, бегущим вдоль бикфордова шнура и поджигающим расположенный у него на пути патрон с динамитом; «огонь», таким образом, распространяется по направлению к конечной цели за счет небольших следующих друг за другом взрывов. Передача нервного импульса* однако, принципиально отличается от этого тем, что почти сразу же после прохождения разряда потенциал нервного волокна восстанавливается.
Нервное волокно в состоянии покоя можно уподобить маленькой батарейке; с наружной стороны его мембраны имеется положительный заряд, а с внутренней-отрицательный (рис. А.29), и этот потенциал покоя преобразуется в электрический ток только при замыкании обоих полюсов. Именно это и происходит при прохождении нервного импульса,, когда мембрана волокна на какое-то мгновение становится проницаемой и деполяризуется. Вслед за этой деполяризацией наступает период рефрактерности в течение которого мембрана реполяризуется и восста-
Биологические опыты поведения
2Ь5
Рис. А.29. Потенциал действия. Развитие потенциала действия, сопровождающееся изменением электрического напряжения (от -70 до +40 мВ), обусловлено восстановлением равновесия между положительными и отрицательными ионами по обе стороны мембраны, проницаемость которой на короткое время увеличивается.
навливает способность к проведению нового импульса1. Так за счет последовательных деполяризаций и происходит распространение этого потенциала действия (т. е. нервного импульса) с постоянной скоростью, варьирующей в пределах от 0,5 до 120 метров в секунду в зависимости от типа волокна, его толщины и наличия или отсутствия у него миелиновой оболочки,
Закон «всё или ничего». Поскольку каждому нервному волокну присущ определенный электрический потенциал, распространяющиеся по нему импульсы независимо от интенсивности или каких-либо других свойств внешнего стимула всегда имеют одни и те же характеристики, Это означает, что импульс в нейроне может возникнуть только в том случае, если его активация, вызванная стимуляцией рецептора или
1 Во время периода рефрактерности, длящегося около тысячной доли секунды, нервные импульсы по волокну проходить не могут. Поэтому за одну секунду нервное волокно способно провести не более 1000 импульсов.

Приложение А
импульсом от другого нейрона, будет превосходить некий порог, ниже которого активация неэффективна; но, если порог достигнут сразу же возникает «полномерный» импульс. Этот факт получил название закона
«всё или ничего».
Сннаптическая передача
Синапс, Синапсом называют область соединения между окончанием аксона одного нейрона и дендритами или телом другого. Каждый нейрон может образовать до 800-1000 синапсов с другими нервными клетками, а плотность этих контактов в сером веществе мозга составляет боле 600 млн- на 1 ми3 (рис. А.30):.
Место перехода нервного импульса с одного нейрона на другой
Рис. А.30. Синаптическое соединение нейронов (в середине область синапса при большем увеличении). Терминальная бляшка пресинаптического нейрона содержит пузырьки с запасом нейро медиатора и митохондрии, доставляющие энергию, необходимую для передачи нервного сигнала,
1 Это значит, что если за одну секунду отсчитывать по 1000 синапсов, то для их полного пересчета потребуется от Э до 30 тысяч лет (Changeux, 1983, р. 75).

Бшиогическт* оашш 1шае<кчш.ч
267
Рис* A+3L la. Медиатор А, молекулы которого освобождаются нз концевой бляшки нейрона I, связывается специфическими рецепторами на дендритах нейрона IT. Молекулы ХФ которые по своей конфигурации не подходят к этим рецепторам, занять их не могут и потому не вызывают каких-либо еннаптических эффектов.
16. Молекулы М (например, молекулы некоторых психотропных препаратов) сходны по своей конфигурации с молекулами нейро медиатора А и поэтому могут связываться с рецепторами для этого медиатора, таким образом мешая ему выполнять свои функции. Например, ЛСД мешает серотонину подавлять проведен йё сенсорных сигналов.
2а и 26. Некоторые вещества, называемые нейромодуляторами, способны воздействовать на окончание аксона, облегчая или подавляя высвобождение нейромеАиатора,
представляет собой, собственно, не точку контакта, а скорее узкий промежуток, называемый синоптической щелью. Речь идет о щели шириной от 20 до 50 нанометров (миллионных долей миллиметра), которая с одной стороны ограничена мембраной пресинаптической бляшки нейрона, передающего импульс, а с другой-постсинаптической мембраной дендрита или тела другого нейрона, принимающего нервный сигнал и затем передающего его дальше,
Нейромедиаторы. Именно в синапсах происходят процессы, в результате которых химические вещества, освобождаемые пресинаптической мембраной? передают нервный сигнал с одного нейрона на другой. Эти вещества, получившие название нейромедиаторов (или просто медиаторов),-своего рода «мозговые гормоны» (нейрогормоны)-накапливают-

26& Приложение А
ся в пузырьках синаптических бляшек и освобождаются, когда по аксону сюда приходит нервный импульс.
После этого медиаторы диффундируют в синаптическую щель и присоединяются к специфическим рецепторным участкам постсинаптиче-ской мембраны, т.е. к таким участкам, к которым они «подходят* как ключ к замку», В результате этого проницаемость постсинаптической мембраны изменяется, и таким образом сигнал передается с одного нейрона на другой; медиаторы могут также и блокировать передачу нервных сигналов на уровне синапса, уменьшая возбудимость постси-наптического нейрона.
Выполнив свою функцию, медиаторы расщепляются или нейтрализуются ферментами либо всасываются обратно в пресинаптическое окончание, что приводит к восстановлению их запаса в пузырьках к моменту прихода следующего импульса (рис. А.31).
Возбуждающая или тормозная функция синапса зависит главным образом от типа выделяемого им медиатора и от действия последнего на постсинаптическую мембрану. Некоторые медиаторы всегда оказывают только возбуждающее действие, другие-только тормозное {инги-бирующее), а третьи в одних отделах нервной системы играют роль активаторов, а в других-ингибиторов.
Функции главных нейромедиаторов. В настоящее время известно несколько десятков этих нейрогормонов, но их функции изучены пока недостаточно. Сказанное, например, относится к ацетилхолину, который участвует в мышечном сокращении, вызывает замедление сердечного и дыхательного ритма и инактивируется ферментом ацетилхолииэстера-зой1. Не вполне изучены и функции таких веществ из группы моноами-нов, как норадреналин, отвечающий за бодрствование мозговой коры и учащение сердечного ритма, дофамин, присутствующий в «центрах удовольствия» лимбической системы и некоторых ядрах ретикулярной формации, где он участвует в процессах избирательного внимания, или серотонии который регулирует сон и определяет объем информации, циркулирующей в сенсорных путях. Частичная инактивация моноаминов происходит в результате их окисления ферментом моиоаминоксидазой. Этот процесс, обычно возвращающий активность мозга к нормальному уровню, в некоторых случаях может приводить к чрезмерному ее снижению, что в психологическом плане проявляется у человека в чувстве подавленности (депрессии).
Гамма-амииомасляиая кислота (ГЛМК) представляет собой нейро-медиатор, выполняющий примерно ту же физиологическую функцию, что и моноаминоксидаза. Ее действие состоит главным образом в снижении возбудимости мозговых нейронов по отношению к нервным импульсам.
1 По-в или м ом у, недостаток ацстилхолина в некоторых ядрах промежуточного мозга-одна из главных причин болезни Л л ыд гей мера, а недостаток дофамина в скорлупе (одно из базальных ядер) может быть причиной болезни Парки неона.
биологические основы поведения
Наряду с нейроедиаторами существует группа так называемых нейромодуляторов* которые в основном участвуют в регуляции нервного ответа, взаимодействуя с медиаторами и видоизменяя их эффекты. В качестве примера можно назвать вещество Р и брадикинин, участвую-щие в передаче болевых сигналов. Освобождение этих веществ в синапсах спинного мозга, однако, может быть подавлено секрецией эндорфи-пов и энкефалина, которая таким образом приводит к уменьшению потока болевых нервных импульсов (рис. А.31, 2а). Функции модуляторов выполняют и такие вещества, как фактор S, играющий, по-видимому, важную роль в процессах сна? холецистокинищ ответственный за чувство сытости, ангиотензиНу регулирующий жажду, и другие агенты.
Ненромеднаторы и действие психотропных веществ. В настоящее время известно, что различные психотропные препараты действуют на уровне синапсов и тех процессор в которых участвуют нейро медиаторы и нейромодуляторы.
Молекулы этих препаратов по своей структуре сходны с молекулами определенных медиаторов, что и позволяет им «обманывать» различные механизмы синаптической передачи. Таким образом они нарушают действие истинных нейромедиаторов, либо занимая их место на рецеп-торных участках, либо мешая им всасываться обратно в пресинаптиче-ские окончания или подвергаться разрушению специфическими ферментами (рис. АЛ, 26),
Установлено, например что ЛСД, занимая серотониновые рецептор-ные участки, мешает серотонину затормаживать приток сенсорных сигналов. Таким образом ЛСД открывает доступ к сознанию для самых разнообразных стимулов, непрерывно атакующих органы чувств.
Кокаин усиливает эффекты дофамина, занимая его место в рецептор-ных участках. Подобным же образом действуют морфин и другие опиаты, мгновенный эффект которых объясняется тем, что они быстро успевают занять рецепторные участки для эндорфиновi.
Действие амфетаминов обусловлено тем, что они подавляют обратное поглощение норадреналина пресинаптическими окончаниями, В результате накопление избыточного количества нейрогормона в синаптической щели приводит к чрезмерной степени бодрствования мозговой коры.
Принято считать, что эффекты так называемых транквилизаторов (например, валиума) объясняются главным образом их облегчающим влиянием на действие ГАМК в лимбической системе, что приводит к усилению тормозных эффектов этого медиатора. Наоборот* как антидепрессанты действуют главным образом ферменты, инактивирую-щие ГАМК, или такие препараты, как, например, ингибиторы моноами-
1 Несчастные случаи, связанные с передозировкой наркотиков, объясняются тем, что связывание чрезмерного количества, например, героина эндорфиновыми рецепторами в нервных центрах продолговатого мозга приводит к резкому угнетению дыхания, а иногда и к полной его остановке (Besson 19S8, Science et Vie, Hors seric, nc 162).
270 Приложение А
у введение которых увеличивает количества моноаминов в синапсах.
Смерть от некоторых отравляющих газов наступает вследствие удушья. Такое действие этих газов связано с тем, что их молекулы блокируют секрецию фермента, разрушающего ацетилхолин. Между тем ацетилхолин вызывает сокращение мышц и замедление сердечного и дыхательного ритма. Поэтому его накопление в синоптических пространствах приводит к угнетению, а затем и полной блокаде сердечной и дыхательной функций и одновременному повышению тонуса всей мускулатуры.
Изучение нейромедиаторов еще только начинается, и можно ожидать, что в скором времени будут открыты сотни, а может быть и тысячи этих веществ, многообразные функции которых определяют их первостепенную роль в регуляции поведения.
Дополнение АА Нервная активность н сканер
До недавнего времени единственным методом, позволяющим регистрировать электрическую активность мозга с помощью электродов, размещенных в разных участках черепной коробки, была электроэнцефалография (см. документ 4Л). Но записи, которые получают этим методом, с трудом поддаются расшифровке, и поэтому чаще всего
электроэнцефалография дает лишь грубое представление об активности популяции нейронов, расположенных под электродом.
Недавно, однако, появилось другое устройство для регистрации нервной активности. Речь идет о так называемом сканере, позволяющем составлять довольно точные карты нервной активности в различных областях головного мозга.
Это устройство осуществляет томографическое сканирование голов* ного мозга с помощью позитронной эмиссии (откуда и другое название сканера - позитронно-эмиссионный томограф). В основе метода лежит то обстоятельство, что для работы мозга используется главным образом глюкоза: чем выше активность данного участка, тем больше глюкозы ему требуется для поддержания работы.
Первый из такого рода методов заключается в выявлении активных зон мозга после инъекции в кровь радиоактивных изотопов (например, фтора-18 или углерода-11X способных испускать положительно заряженные частицы, называемые позитронами, Столкновение позитронов с отрицательно заряженными электронами в нейронах сопровождается «взрывом», в результате которого образуются два разлетающихся в противоположных направлениях фотона (см+ документ 5.2). Эти кванты света, число которых должно быть больше в усиленно снабжаемых кровью активных участках, улавливались затем камерой с фоточувствительными элементами, производившей таким образом послойный аналкз головного мозга. После определения компьютером точки возникновения каждого «взрыва» информация-точка за точкой-выводи-
Бткшгическш* основы поведения
27]

А.32. Позитронно-эмиссионный томограф (ПЭТ) благодаря камере с фоточувствительными элементами и компьютеру, интегрирующему данные, позволяет следить за распределением активности в головном мозгу и воспроизводить получаемую картину на экране.
лась на телевизионный экран с изображением последовательных срезов мозга (рис. А,32).
Однако то обстоятельство, что активность нейронов приходилось оценивать косвенным образом-по притоку крови, сильно снижало томность результатов. Недавно был предложен метод прямого определи ния активности нейронов с помощью внутриклеточной метки. Такая возможность появилась, когда было найдено вещество, которое клетка поглощает вместо глюкозы, ко не может использовать. В результате это вещество-дезоксиглюкоза-способно накапливаться в.нейронах и благодаря радиоактивной метке указывать места повышенной нервной активности. Поскольку, однако, позитрон за то время, которое проходит между его эмиссией и «взрывом» при столкновении с отрицательно заряженным электроном, успевает пробежать несколько миллиметров, получаемые изображения все-таки остаются несколько неточными. Тем не менее можно надеяться на быстрое усовершенствование описанного
Рис. А-33. Картины активности головного мозга, полученные с помощью ПЭТ (более активные участки выглядят более темными).
А. Активность в затылочных долях в зависимости от зрительного восприятия. Слева: глаза испытуемого закрыты, В середине: испытуемый открывает глаза и видит однообразный белый фон. Справа: испытуемый видит перед собой парк. (По Phelps et al, 1982),
Б. Активность в височных и лобных долях во время прослушивания испытуемым рассказа О Шерлоке Холмсе (в середине) rf «Бранденбургс-кого концерта» И. С. Баха (справа). С лева*, мозг испытуемого с заткнутыми ушами.
A


' "•-.•


272 Приложение А
метода или на разработку других методов, которые позволят точнее картировать активность в мозгу.
Тем временем существующие методы уже дали возможность показать, что для бодрствования, например, характерна более высокая нервная активность в лобной доле, а эффекты сенсорной стимуляции выражены в тех участках мозга, которые имеют к данной сенсорной модальности более тесное отношение, чем к другим модальностям (Mazziota et аЦ 1982) {рис, А.ЗЗ).
Разумеется, в изучении нервной активности сделаны только первые шаги. Но, как полагает Шанжё, настанет, может быть, день, когда на телевизионном экране появится картина, воспроизводящая мысленный образ.
Резюме -
Организация нервной системы
Нервная система выполняет две главные функции: функцию передачи информации, за которую ответственны периферическая нервная система и связанные с ней рецепторы и эффекторы, и функцию обработки информации и программирования реакций, осуществляемую на уровне центральной нервной системы.
+
Рецепторы
1. Существует большое разнообразие рецепторов - от рецепторов кожи и мышц до вкусовых сосочков языка, рецепторов носовой полости, внутреннего уха к> наконец, фоторецепторов сетчатки.
2. Кожная чувствительность позволяет воспринимать давление, тепло, холод и боль; ощущения возникают в результате раздражения свободных, инкапсулированных или корзинчатых нервных окончаний, расположенных в наружных слоях кожи по всей поверхности тела. Кинестетическая чувствительность дает возможность определять положение тела и конечностей в пространстве; для этого используются рецепторы суставов и сухожилий, а также мышечные веретена, находя* щиеся в поперечнополосатых мышцах. Чувство равновесия основывается на информации, получаемой чувствительными волосками внутреннего уха при движении жидкости в полукружных каналах и других полостях вестибулярного аппарата.
3, Химическая чувствительность включает дополняющие друг друга вкус и обоняние. Ощущения вкуса обусловлены реакцией сосочков языка на соприкосновение с объектом; в восприятии запахов участвуют особые клетки, расположенные в верхней части носовой полости под обонятельными луковицами мозга.
4, Слух обусловлен преобразованием колебаний молекул воздуха в колебания жидкости в улитке внутреннего уха, которые в свою очередь
Биологические основы поведения * 273
приводят к возбуждению чувствительных клеток. Высота звука оценивается по тому, в каком месте улитки колебания жидкости выражены особенно сильно, а его интенсивность-по числу реагирующих волоско-вых клеток.
5. Основу зрения составляют реакции фотопигментов в клетках сетчатки на воздействие фотонов-квантов энергии световых волн. Яркость света кодируется нервными сигналами от палочек сетчатки, а цвет-сигналами от колбочек сосредоточенных главным образом в центральной ямке сетчатки. Затем клетки двух других типов последовательно передают информацию волокнам зрительного нерва, по которым она направляется в головной мозг.
Эффекторы
, 1. Эффекторами могут быть мышцы и железы. Мышцы разного типа образуют соответственно гладкую и поперечнополосатую мускулатуру; железы подразделяются на экзокринные и эндокринные,
2. Для гладкой мускулатуры характерно медленное сокращение; она находится в стенках внутренних органов, и ею управляет вегетативная нервная система. Поперечнополосатая мускулатура, в которой пучки волокон исчерчены поперечными полосками* ответственна за движение различных частей тела; ею управляют импульсы, приходящие по двигательным нервным волокнам. Поперечнополосатые мышцы выполняют различные функции, выступая в качестве инициаторов движения, антагонистов, синергистов й фиксаторов или же действуя против силы тяжести.
3. Эндокринные железъи например слюнные, желудочные, слезные и др., вырабатывают секреты, которые выводятся во внешнюю среду или в сообщающиеся с ней полости.
4. Эндокринные железы вырабатывают секреты, называемые гормонами, которые, напротив, поступают в замкнутый круг кровообращения. Деятельность щитовидной железы существенно влияет на настроение и мотивацию человека, Паращитовидные железы участвуют в регуляции уровня кальция в кро&и. Тимус, По-видимому, функционирует в период роста организма. Находящиеся в подзкелудочной железе островки Лан» герганса секретируют инсулин и глкжагон - гормоны, вызывающие противоположные эффекты; в то время как первый из них отвечает за накопление сахара в печени, второй, наоборот, освобождает его из печени в качестве «топлива» для мышц. Надпочечники состоят из двух частей: коркового слоя, который секретирует участвующие в метаболизме кортикоиды, и мозгового слоя, который вырабатывает адреналин и норадреналин, в значительной степени определяющие. возбудимость организма. Половые железы ответственны за развитие вторичных половых признаков в период полового созревания, а также за действие механизмов, определяющих оплодотворение яйцеклетки и ее имплантацию в стенку матки,
5. Гипофиз является «главной» эндокринной железой организма, которая не только регулирует секреторную деятельность ряда других
18 443
желез, но и сама выделяет различные гормоны, ответственные за процессы роста, обратное всасывание воды в почках, сокращения матки во время родов и послеродовое усиление выработки молока.
,
Периферическая нервная система
1. Эта система состоит из соматической нервной системы, включающей афферентные (сенсорные) и эфферентные (двигательные) волокна, и вегетативной нервной системы, представленной двумя.антагонистическими отделами-симпатическим и парасимпатическим.
2. Соматическая нервная система включает 31 пару спинномозговых нервов, связывающих спинной мозг с рецепторами и эффекторами тела, и 12 пар черепномозгойых нервов, выполняющих аналогичные функции в отношении головы и шеи.
3. Вегетативная нервная система состоит из двух антагонистических отделов. Симпатический нервная система активирует организм, подготавливая его к энергичным действиям, а парасимпатическая, наоборот, способствует расслаблению организма для восстановления его сил.
Центральная нервная система
-
L Центральная нервная система состоит из спинного мозга и различных структур головного мозга. .
21 Спинной_ мозг служит для передачи информации, приходящей по афферентным волокнам, в высшие нервные центры или команд от этих центров-эфферентным волокнам. Кроме того, в спинном мозгу программируются рефлексы, пути которых (рефлекторные дуги) состоят из последовательно соединенных сенсорных волокон, вставочных нейронов и двигательных волокон.
3. Головной мозг представляет собой часть нервной системы, заключенную в черепную коробку. Он включает два «этажа», нижний из которых-это ствол головного мозга, а верхний - большой мозг. Эти структуры размещены вокруг четырех желудочков» заполненных спинномозговой жидкостью,
4. Ствол мозга включает продолговатый мозг, & котором перекрещиваются сенсорные и моторные нервные волокна и локализованы различные рефлекторные центры жизненно важных функций организма, варо-лиев мост* ответственный за сложные рефлексы, и средний мозг, служащий местом переключения зрительных и слуховых путей.
5. Мозжечок, расположенный в передней части мозгового ствола, отвечает за сохранение равновесия и двигательную координацию.
6. Ретикулярная формация проходит через ствол, достигая большого мозга. Она образована рядом ядер, отростки которых ветвятся в виде сетки и доходят до' коры; в активации коры и состоит функция ретикулярной формации. - - "
7. Большой мозг в свою очередь подразделяется на два «этажа»-про-
Биологические основы поведение 275
межуточный мозг и расположенный над ним передний мозг* состоящий из двух мозговых полушарий. > .
8. Промежуточный мозг включает прежде всего таламус\ который образован двумя большими скоплениями ядер, соединенными между собой серой комиссурой, и служит главным образом центром распределения информации, направляющейся к коре. Расположенный под тала-мусом гипоталамус объединяет около десятка пар ядер, являющихся центрами мотиваций и эмоций. Гипоталамус тесно связан с лимбической системой, образующей вокруг пррмежуточного мозга кольцо, многочисленные структуры которого играют важную роль в регуляции эмоционального поведения и в процессах памяти.
9. Передний мозг состоит главным образом из коры-серого вещества, покрывающего два мозговых полушария, связанных между собой сотнями очерчивания корковые доли, внутри которых, вдоль извилин, ограниченных более мелкими бороздами, располагаются сенсорные, моторные и ассоциативные зоны.
10. Сенсорные зоны расположены в разных долях мозга. В восходящей теменной извилине находится зона общей чувствительности, которая получает нервные сигналы от рецепторов кожи- Зрительная чувствительность локализуется в затылочных долях, каждая из которых получает информацию из противоположной половины поля зрения. Слуховая чувствительность представлена в двух височных долях, причем каждая из них воспринимает сигналы от обоих ушей, Зона вкусовой чувствительности располагается книзу от зоны общей чувствительности, а обонятельную зону образуют обонятельные луковицы, лежащие под полушариями мозга.
11. Моторные зоны находятся в восходящей лобной извилине. Эта извилина через выходящие из нее пучки нервных волокон, идущие через головной и спинной мозг вниз, управляет скелетной мускулатурой.
12. Ассоциативные зоны не выполняют каких-либо специфических функций. Они служат для переработки информации; например, примыкающие к сенсорным областям гностические зоны ответственны за процесс восприятия, а соседние с двигательной ".областью праксические зоны обеспечивают тонкую моторику и автоматические движения. Ассоциативные зоны, расположенные в лобной доле и в месте соединения трех других долей, особенно тесно связаны с мыслительной деятельностью, речью, памятью и осознанием положения тела в пространстве.
13. Специализация мозговых полушарий достигает наивысшего развития у человека. Известно, что примерно у 90% людей доминирует левое полушарие мозга, в котором расположены центры речи и которое в известной мере определяет положительную окраску эмоциональных состояний; по-видимому, левое полушарие лучше развито у женщин. Правое полушарие, лучше развитое у мужчин, вероятно, отвечает главным образом за процессы восприятия, оценку пространственных отношений, художественное творчество, а также за придание негативной окраски эмоциям.
276 Приложение А
Структура и функции нейрона
1. Нейрон служит для передачи информации. Он состоит из трех частей: клеточного тела с ядром и весьма многочисленными митохондриями, дендритов, проводящих нервные сигналы к телу клетки, и аксона передающего импульсы к эффекторам или к другим нейронам с помощью соединений, называемых синапсами.
2. Нервные импульсы сами по себе не несут какой-либо специфической информации; расшифровка их значения скорее определяется той областью ъоры, которую они возбуждают.
3. Отдельный импульс, или потенциал действия, возникает у основания аксона в результате активации дендритов и тела нейрона,
4. Проведение импульса по нервному волокну происходит в результате деполяризации последовательных участков его мембраны, за которой следует период рефрактерности.
5- Нервный импульс характеризуется постоянной амплитудой и скоростью распространения. Он подчиняется закону «всё или ничего»; либо он не возникает вовсе, либо-если превышен порог возбуждения-все связанные с ним события сразу развертываются «в полнуьо силу».
6. Передача нервного сигнала с одного нейрона на другой происходит через узкую синаптическую щель, Нейромедиаторы, выделяемые в эту щель концевыми бляшками пресинаптического нейрона, связываются рецепторными участками мембрань постсинаптического нейрона и вызывают его возбуждение или, наоборот, уменьшают его возбудимость.
7. Каждый нейромедиатор выполняет в данном отделе нервной системы специфическую функцию. Воздействие медиатора на уровне синапсов может привести к сокращению или расслаблению мускулатуры ? ускорению или замедлению сердечного и дыхательного ритма, активации или угнетению функции мозговой коры, пробуждению внимания или засыпанию иТп+
8. Эффекты нейромедиаторов регулируются другими нейромедиато-рами, взаимодействующими с ними,
9. Действие психотропных препаратов можно объяснить их способностью связываться с определенными рецепторными участками постси-наптической мембраны, т. е. занимать место соответствующих нейромедиаторов й тем самым изменять характер передачи нервных сигналов.
Литература
Changeux J, P.t 1983, Lhomme neuronal, Paris, Fayard.
Lazorthes G.> 1973- Le systems nerveux central, Paris, Masson et Cie.
Melzak R.f 1980. Le defi de la douleur, Montreal, Cheneliere et Stanke.
Mazziotta J., Phelps M,P Carson R>, Kuhl D. (1982). "Tomographic mapping of human
cerebral metabolism: auditory stimulation", Neurology, n° 32, p, 921-937. Ouvrage collectif (1973). "Le cerveau et la pens£e*\ Science et Vie, Hors serie, n° 112. Omrage collect if(198S). TXe cerveau t% la memoire", Science et Vie, Hors serie» n° 162. PaiUard J.t 1976. "Tonus, postures et mouvements"» dans С Kayser, Physiologic
(t. II), Paris, Flammarion, p: 521-728. Richelle M.. Lejeune H. (1986). "La perception du temps chez 1-аштаГ\ La recherche, n°
182, vol 17, p. 1332-1342.
Приложение Б
Статистика и обработка данных
Введение
Слово «статистика» часто ассоциируется со словом «математика», и это пугает студентов, связывающих это понятие со сложными формулами, требующими высокого уровня абстрагирования*
Однако, как говорит Мак-Коннелл, статистика-это прежде всего способ мышления, и для ее применения нужно лишь иметь немного здравого смысла и знать основы математики. В нашей повседневной жизни мы, сами о том не догадываясь, постоянно занимаемся статистикой, Хотим ли мы спланировать бюджет, рассчитать потребление бензина автомашиной, оценить усилия, которые потребуются для усвоения какого-то курса, с учетом полученных до сих пор отметок, предусмотреть вероятность хорошей и плохой погоды по метеорологической сводке или вообще оценить, как повлияет то или иное событие на наше личное или совместное будущее, - нам постоянно приходится отбирать, классифицировать и упорядочивать информацию, связывать ее с другими данными так, чтобы можно было сделать выводы позволяющие принять верное решение.
Все эти виды деятельности мало отличаются от тех операций, которые лежат в основе научного исследования и состоят в синтезе данных, полученных на различных группах объектов в том или ином эксперименте, в их сравнении с целью выяснить черты различия между ними, в их сопоставлении с целью выявить показатели, изменяющиеся в одном направлении, и, наконец, в предсказании определенных фактов на основании тех выводов, к которым приводят полученные результаты. Именно в этом заключается цель статистики в науках вообще, особенно в гуманитарных, В последних нет ничего абсолютно достоверного, и без статистики выводы в большинстве случаев были бы чисто интуитивными и не могли бы составлять солидную основу для интерпретации данных, полученных в других исследованиях.
Для того чтобы оценить огромные преимущества, которые может дать статистика, мы попробуем проследить за ходом расшифровки и обработки данных, полученных в эксперименте. Тем самым, исходя из конкретных результатов и тех вопросов, которые они ставят перед исследователем, мы сможем разобраться в различных методиках я несложных способах их применения. Однако, перед тем как приступить к этой работе, лам будет полезно рассмотреть в самых общих чертах три главных раздела статистики.
1. Описательная статистика, как следует из названия, позволяет описывать, подытоживать и воспроизводить в виде таблиц или графиков
Приложение f>
данные того или иного распределения, вычислять среднее для данного распределения и его размах и дисперсию.
2. Задача индуктивной статистики -проверка того, можно ли распространить результаты, полученные на данной выборке на всю популяцию из которой взята эта выборка- Иными словами, правила этого раздела статистики позволяют выяснить, до какой степени можно путем индукции обобщить на большее число объектов ту или иную закономерность, обнаруженную при изучении их ограниченной группы в ходе какого-либо наблюдения или эксперимента. Таким образом, при помощи индуктивной статистики делают какие-то выводы и обобщения, исходя из данных, полученных при изучении выборки.
3. Наконец, измерение корреляции позволяет узнать, насколько связаны между собой две переменные, с тем чтобы можно было предсказывать возможные значения одной из них, если мы знаем другую.
Существуют две разновидности статистических методов или тестов, позволяющих делать обобщение или вычислять степень корреляции. Первая разновидность-это наиболее широко применяемые параметрические методы* в которых используются такие параметры*, как среднее значение или дисперсия данных. Вторая разновидность - это непараметрические методы, оказывающие неоценимую услугу в том случае, когда исследователь имеет дело с очень малыми выборками или с качественными данными (см. документ БЛ); эти методы очень просты с точки зрения как расчетов, так и применения. Когда мы познакомимся с различными способами описания данных и перейдем к их статистическому анализу, мы рассмотрим обе эти разновидности,
Как уже говорилось, для того чтобы попытаться разобраться в этих различных областях статистики, мы попробуем ответить на те вопросы, которые возникают в связи с результатами того или иного исследования. В качестве примера мы возьмем тот эксперимент, который приведен в главе 3, а именно-изучение влияния потребления марихуаны на глазодвигательную координацию и на время реакции. Методика, используемая в этом гипотетическом эксперименте, а также результаты, которые мы могли бы в нем получить, представлены в дополнении Б.21.
При желании вы можете заменить какие-то конкретные детали этого эксперимента на другие-например, потребление марихуаны на потребление алкоголя или лишение сна,-или, что еще лучше, подставить вместо этих гипотетических данных те, которые вы действительно получили в вашем собственном исследовании. В любом случае вам
1 Важное примечание. В разделах, посвященных описательной и индуктивной статистике, мы будем рассматривать только те данные эксперимента, которые имеют отношение к зависимой переменной «поражаемые мишени». Что касается такого показателя, как время реакции, то мы обратимся к нему только в разделе о вычислении корреляции. Однако само собой разумеется, что уже с самого начала значения этого показателя надо обрабатывать так же, как и переменную «поражаемые мишени». Мы предоставляем читателю заняться этим самостоятельно с помощью карандаша и бумаги.
Статистика и обработки донных 279
придется принять «правила нашей игры» и выполнять те расчеты, которые здесь от вас потребуются; только при этом условии до вас «дойдет» существо предмета, если это уже не случилось с вами раньше1.
Дополнение Б.1. Некоторые основные понятия
Популяция н выборка2
Одна из задач статистики состоит в том, чтобы анализировать данные, полученные на части популяции, с целью сделать выводы относительно популяции в целом.
Популяция в статистике не обязательно означает какую-либо группу людей или естественное сообщество; этот термин относится ко всем существам или предметам, образующим общую изучаемую совокупность, будь то атомы или студенты, посещающие то или иное кафе.
Выборка-это небольшое количество элементов, отобранных с помощью научных методов так, чтобы она была репрезентативной, т.е, отражала популяцию в целом,
_
Данные и их разновидности
Данные в статистике-это основные элементы, подлежащие анализу. Данными могут быть какие-то количественные результаты, свойства, присущие определенным членам популяции, место в той или иной последовательности-в общем любая информация, которая может быть классифицирована или разбита на категории с целью обработки3.
Построение распределения - это разделение первичных данных, Полученных на выборке, на классы или категории с целью получить обобщенную упорядоченную картину, позволяющую их анализировать.
Существуют три типа данных:
' L Количественные данные* получаемые при измерениях (например, данные о весе, размерах, температуре, времени, результатах тестирования и т+ п.). Их можно распределить по шкале с равными интервалами.
2. Порядковые данные соответствующие- местам этих элементов в последовательности, полученной при их расположении в возрастающем порядке (1-й, ..., 7-й, ..., ЮО-й, ...; А, Б, В. ...).
1 Для того чтобы облегчить задачу, мы советуем вам снять фотокопии таблиц Б.1 и Б.2: тогда на всех этапах рассуждений и расчетов данные будут у вас перед глазами.
2 В отечественной литературе приняты термины соответственно «генеральная совокупность» и «выборочная совокупность».- Прим. перев.
3 Не следует смешивать «данные» с теми «значениями», которые эти данные могут принимать. Для того чтобы всегла различать их, Шатийон (Chatillon, 1977) рекомендует запомнить следующую фразу: «Данные часто принимают одни и те же значения» (та? если мы возьмем, например* шесть данных -8, 13, 10, 8, 10 и 5, то они принимают лишь четыре разных значения -5, 8, 10 и 13).
Приложение Б
3. Качественные данные, представляющие собой какие-то свойства элементов выборки или популяции. Их нельзя измерить, и единственной их количественной оценкой служит частота встречаемости (число лиц с голубыми или с зелеными глазами, курильщиков и не курильщиков, утомленных и отдохнувших, сильных и слабых и т, п,).
Из всех этих типов данных только количественные данные можно анализировать с помощью методов, в основе которых лежат параметры (такие, например, Как средняя арифметическая). Но даже к количественным данным такие методы можно применить лишь в том случае, если число этих данных достаточно, чтобы проявилось нормальное распределение. Итак, для использования параметрических методов в принципе необходимы три условия: данные должны быть количественными, их число должно быть достаточным, а их распределение-нормальным. Во всех остальных случаях всегда рекомендуется использовать непараметрические методы.
Дополнение Б.2* Влияние потребления марихуаны
на глазодвигательную координацию н время реакции .
(гипотетический эксперимент)
Процедура
На группе из 30 добровольцев-студентов4 и студенток, курящих обычные сигареты, но не марихуану,-был проведен опыт по изучению глазодвигательной координации. Задача испытуемых заключалась в том, чтобы поражать предъявляемые на дисплее движущиеся мишени, манипулируя подвижным рычагом. Каждому испытуемому были предъявлены 10 последовательностей из 25 мишеней.
Для того чтобы установить исходный уровень, рассчитали среднее число попаданий из 25, а также среднее время реакции для 250 попыток. Далее группа была разделена на две подгруппы как можно более равным образом. Семь девушек и восемь юношей из контрольной группы получили сигарету с обычным табаком и сушеной травой, дым от которой напоминал по запаху дым марихуаны. В отличие от этого семь девушек и восемь юношей из опытной (экспериментальной) группы получили сигарету с табаком и марихуаной. Выкурив сигарету, каждый испытуемый снова был подвергнут, тесту на глазодвигательную координацию, (Более подробно этот опыт описан в главе 3).
В табл+ Б,2,1 и Б,2+2 представлены средние результаты обоих измерений для испытуемых той и другой группы до и после воздействия.
| Средняя 15,8 16,0 |
Средняя |
15,2 |
11.3 |
| Стандартное отклонение 3,07 4,25 |
Стандартное отклонение |
ЗД7 |
4,04 |
| Девушки: Д1-Д14 |
Юноши: Ю1 |
Ю16 |
|
Таблица Б.2.2. Время реакции испытуемых контрольной
и опытной групп (среднее время 1/10 с в серии нз 10 испытаний)
| Контрольная группа |
Опытная группа |
||||
| Испы- |
Фон |
После воз- |
Испы- |
Фон |
После воз- |
| туемые |
(до воз- |
действия |
туемые |
(до воз- |
действия |
| дейст- |
(табак с |
дейст- |
(табак с ма- |
||
| вия) |
нейтраль- |
вия) |
рихуаной) |
||
| - |
ной добав- |
- |
|||
| кой) |
|||||
| Д 1 |
8 |
9 |
да |
15 |
17 |
| 2 |
15 |
16 |
9 |
И |
13 |
| 3 |
13 |
14 |
10 |
16 |
20 |
| 4 |
14 |
13 |
11 |
13 |
18 |
| 5 |
15 |
12 |
12 |
1$ |
21 |
| 6 |
13 |
15 |
13 |
14 |
22 |
| 7 |
14 |
15 |
14 |
13 |
19 |
Статистика и обработка данных
281
Таблица Ь.2Л. Результативность испытуемых контрольной и
опытной групп (среднее чнсло пораженных мишеней из 25 в 10 сериях испытаний)
| Контрольная группа |
Опытная группа |
||||
| Испы- |
Фон |
После воз- |
Испы- |
Фон |
После воз- |
| туемые |
(до воз- |
действия |
туемые |
(до воз- |
действия |
| дейст- |
(табак с |
дейст- |
(табак с ма- |
||
| вия) |
нейтраль- |
вия) |
рихуаной) |
||
| ной добав- |
|||||
| кой) |
- |
||||
| Д 1 |
19 |
21 |
Д 8 |
12 |
8 |
| 2 |
10 |
8 |
9 |
21 |
20 |
| 3 |
12 |
13 |
10 |
10 |
б |
| 4 |
13 |
11 |
11 |
15 |
8 |
| 5 |
17 |
20 |
12 |
15 |
17 |
| 6 |
14 |
12 |
13 |
19 |
10 |
| 7 |
17 |
15 |
14 |
17 |
10 |
| Ю 1 |
15 |
17 |
Ю9 |
14 |
. 9 |
| 2 |
14 |
15 |
10 |
13 |
7 |
| 3 |
15 |
15 |
11 |
11 |
8 |
| 4 |
17 |
18 |
12 |
20 |
14 |
| 5 |
15 |
16 |
13 |
15 |
13 |
| б |
18 |
15 |
14 |
15 |
16 |
| 7 |
19 |
19 |
15 |
14 |
11 |
| 8 |
22 |
25 |
16 |
17 |
12 |
| Итого |
237 |
240 |
Итого |
228 |
169 |
282
Приложение В
| Продолжение табл, Б.2.2 |
|||||
| Ю L |
12 |
10 |
Ю 9 |
15 |
20 |
| 2 |
16 |
13 |
. 10 |
18 |
17 |
| 3 |
13 |
15 |
И |
15 |
19 |
| 4 |
И |
12 |
12 |
И |
14 |
| 5 |
18 |
13 |
13 |
14 |
!2 |
| 6 |
12 |
П |
14 |
11 |
18 |
| 7 |
13 |
12 |
15 |
12 |
21 |
| 8 |
14 |
10 |
16 |
15 |
17 |
| Средняя |
13,4 |
12,7 |
Средняя |
14,06 |
17,9 |
| Стандарт- |
Стандарт- |
||||
| ное от- |
нос от- |
||||
| клонение |
2,29 |
2,09 |
клонение |
2,28 |
2,97 |
| Девушки: Д1-Д14 |
т Юноши: Ю1\Ю16 |
||||
Описательная статистика
Описательная статистика позволяет обобщать первичные результаты, полученные при наблюдении или в эксперименте. Процедуры здесь сводятся к группировке данных по их значениям, построению распределения их частот, выявлению центральных тенденций распределения (например, средней арифметической) и, наконец, к оценке разброса данных по отношению к найденной центральной тенденции.
Группировка данных
Для группировки необходимо прежде всего расположить данные каждой выборки в возрастающем порядке. Так, в нашем эксперименте для переменной «число пораженных мишеней» данные будут располагаться следующим образом:
| Опытная группа (дополнить цифрами} |
|||||||||||||||||
| Фон:................... *...............•. - •...... |
|||||||||||||||||
| Пост воздействия; .....,.,,,,*...,.;,,,........м........ *......... |
|||||||||||||||||
| Контрольная группа |
|||||||||||||||||
| Фон: |
10 |
1 |
2 |
13 |
14 |
14 |
15 |
15 |
15 |
17 |
17 |
17 |
18 |
19 |
19 |
22 |
|
| После voatintCTBMif: |
6 |
1 |
1 |
12 |
13 |
15 |
15 |
15 |
15 |
16 |
17 |
18 |
19 |
20 |
21 |
25 |
|
Статистика и обработка Данных 283
Распределение частот (числа пораженных мишеней)
Уже при первом взгляде не получение ряды можно заметить, что многие данные принимают одни и те же значения, причем одни значения встречаются чаще, а другие-реже. Поэтому было бы интересно вначале графически представить распределение различных значений с учетом их частот. При этом получают следующие столбиковые диаграммы:
Контрольная группа
После воздействий (дополнить столбиками!
Опытная группа
| 10 |
1 |
12 |
1Э |
14 |
15 |
16 |
17 |
18 |
19 |
£0 |
21 |
22 |
23 |
| Фон |
После воздействии {дополнить столбиками)
Такое распределение данных по их значениям дает нам уже гораздо больше, чем представление в виде радов. Однако подобную группировку используют в основном лишь для качественных данных, четко разделяющихся на обособленные категории (см. дополнение Б. I),
Что касается количественных данных, то они всегда располагаются на непрерывной шкале и, как правило, весьма многочисленны. Поэтому такие данные предпочитают группировать по классам, чтобы яснее видна была основная тенденция распределениям
Такая группировка состоит в основном в том, что объединяют данные с одинаковыми или близкими значениями в классы и определяют частоту для каждого класса. Способ разбиения на классы зависит от того, что именно экспериментатор хочет выявить при разделении измерительной шкалы на равные интервалы. Например, в нашем случае можно сгруппировать данные по классам с интервалами в две или три единицы шкалы:
| X |
• |
X |
||||||||||||||||||||||||||||||||||||||||||||||||||
| X |
X |
X |
X |
|||||||||||||||||||||||||||||||||||||||||||||||||
| X |
X |
X |
X |
X |
х |
X |
X |
X |
||||||||||||||||||||||||||||||||||||||||||||
| 10 |
11 |
12 |
13 |
14 |
15 |
16 |
17 |
18 |
19 |
20 |
21 |
£2 |
23 |
|||||||||||||||||||||||||||||||||||||||
| Фом |
||||||||||||||||||||||||||||||||||||||||||||||||||||
| 3 |
9 |
1 |
(У |
1 |
1 |
12 |
13 |
14 |
1 |
5 |
16 |
1 |
7 |
16 |
19 |
20 |
21 |
22 |
23 |
24 |
25 |
|||||||||||||||||||||||||||||||
| л. |
||||||||||||||||||||||||||||||||||||||||||||||||||||
| 6 |
6 |
9 |
10 |
11 |
1 |
2 |
1 |
3 |
1 |
4 |
15 |
1 |
6 |
17 |
18 |
19 |
20 |
21 |
22 |
|||||||||||||||||||||||||||||||||
| 284 |
Приложение |
Б |
||||||||||
| Контрольная групп* |
||||||||||||
| X |
||||||||||||
| X |
X |
|||||||||||
| X |
X |
ж |
||||||||||
| X |
X |
X |
X |
X |
X |
|||||||
| X |
X |
х |
X |
X |
X |
X |
||||||
| X X |
X |
X |
* х |
X |
X |
X X |
||||||
| Клксы |
10-11 |
12-13 |
14 15 |
ieir |
13-19 |
20-21 |
гг-га |
9-1 |
12-14 |
15-17 |
16-го |
21-23 |
| Частоты |
1 |
е |
5 |
э |
г |
0 |
1 |
1 |
А |
3 |
1 |
|
| Фон |
Фан |
|||||||||||
| (с интервалами в 2 ъд.\ |
(с интервалами в, 3 вд,} |
|||||||||||
(заполнить таким же образом)
_
Выбор того или иного типа группировки зависит от различных соображений. Так, в нашем случае группировка с интервалами между классами в две единицы хорошо выявляет распределение результатов вокруг центрального «пика». В то же время группировка с интервалами в три единицы обладает тем преимуществом, что дает более обобщенную и упрощенную картину распределения* особенно если учесть, что число элементов в каждом классе невелико1. Именно поэтому в дальней* шем мы будем оперировать классами в три единицы.
Опытная групп*
| Классы |
в-10 |
||||
| Частоты |
|||||
| Фон |
|||||
| Классы |
5-7 |
||||
| Частоты |
|||||
После воздействий (с интервалами в 3 ед.)
Данные, разбитые на классы по непрерывной шкале, нельзя представить графически так, как это сделано выше. Поэтому предпочитают
1 При большом количестве данных число классов по возможности должно быть где-то в пределах от 10 ло 20, с интервалами до 10 и более.
| Классы |
а-э |
|||||||
| Частоты |
||||||||
| • |
После воздействия {с интервалами в 2 ед.) |
После воздействия (с интервалами в 3 ед-1 |
||||||
"_____________Статистика и обработка данных____________285
использовать так называемые гистограммы-способ графического
представления в виде примыкающих друг к другу прямоугольников:

Фон Поел* воздействия Фон После воздействия
Опытная группа Контрольная групп*
Наконец, для еще более наглядного представления общей конфигурации распределения можно строит полигоны распределения частот. Для этого отрезками прямых соединяют центры верхних сторон всех прямоугольников гистограммы, а затем с обеих сторон «замыкают» площадь под кривой, доводя концы полигонов до горизонтальной оси (частота = 0) в точках, соответствующих самым крайним значениям распределения. При этом получают следующую картину:
Частоты

Контрольная группа Опытная группа
Если сравнить полигоны, например, для фоновых (исходных) значений контрольной группы и значений после воздействия для опытной группы, то можно будет увидеть, что в первом случае полигон почти симметричен (т. е, если сложить полигон вдвое по вертикали, проходящей через его середину, то обе половины наложатся друг на друга)* тогда как для экспериментальной группы он асимметричен и смещен влево (так что справа у него как бы вытянутый шлейф).
Полигон для фоновых данных контрольной группы сравнительно близок к идеальной кривой, которая могла бы получиться для бесконечно большой популяции. Такая кривая -кривая нормального распределения -имеет колоколообразную форму я строго симметрична. Если же количество данных ограничено (как в выборках, используемых для научных исследований), то в лучшем случае получают лишь некоторое приближение (аппроксимацию) к кривой нормального распределения.
Приложение f>
Если вы построите полигон для фоновых значений опытной группы и значений после воздействия для контрольной группы, то вы наверняка заметите, что так же будет обстоять дело и в этих случаях.
Оценка центральной тенденции
Если распределения для контрольной группы и для фоновых значений в опытной группе более или. менее симметричны, то значения, получаемые в опытной группе после воздействия, группируются, как уже говорилось, больше в левой части кривой. Это говорит о том, что после употребления марихуаны выявляется тенденция к ухудшению показателей у большого числа испытуемых.
Для того чтобы выразить подобные тенденции количественно, используют три вида показателей моду, медиану и среднюю.
1. Мода (Мо)-это самый простой из всех трех показателей. Она соответствует либо наиболее частому значению, либо среднему значению класса с наибольшей частотой. Так, в нашем примере для экспериментальной группы мода для фона будет равна 15 (этот результат встречается четыре раза и находится в середине класса 14-15-16), а после воздействия (середина класса 8-910),
Мода используется редко и главным образом для того, чтобы дать общее представление о распределении. В некоторых случаях у распределения могут быть две моды; тогда говорят о бимодальном распределении. Такая хартина указывает на то> что в данном совокупности имеются две относительно самостоятельные группы (см,, например, данные Триона, приведенные в документе 3.5).

Бимодальное распределение
*
2, Медиана (Me) соответствует центральному значению в последовательном ряду всех полученных значений. Так, для фона в экспериментальной группе, где мы имеем ряд
10 11 12 13 14 14 15 15 15 15 17 17 19 20 21,
медиана соответствует 8-му значению, т.е. 15. Для результатов воздействия в экспериментальной группе она равна 10.
В случае если число данных п, четное, медиана равна средней арифметической между значениями, находящимися в раду на л/2-м и я/2 + 1-м местах. Так, для- результатов воздействия для восьми юношей опытной группы медиана располагается между значениями, находящимися на 4-м (8/2 = 4) и 5-м местах в ряду. Если выписать весь
Статистика и обработка данных
2У7
ряд для этих данных;, а именно
7 8 9 II 12 13 14 16,
то окажется, что медиана соответствует (II + 12)/2 =11,5 (видно, что медиана не соответствует здесь ни одному из полученных значений),
3. Средняя арифметическая (1Й) (далее просто «средняя») - это наиболее часто используемый показатель центральной тенденции. Ее применяют, в частности, в расчетах, необходимых для описания распределения и для его дальнейшего анализа. Ее вычисляют t разделив сумму всех значений данных на число этих данных. Так, для нашей опытной группы она составит- 15,2(228/15) для фона и 11,3(169/15) для результатов воздействия.
Если теперь отметить все эти три параметра на каждой из кривых для экспериментальной группы, то будет видно, что при нормальном распределении они более или менее совпадают, а при асимметричном расп ред е л е ни и - нет.
Прежде чем идти дальше, полезно будет вычислить все эти показатели для обеих распределений контрольной группы-они пригодятся нам в дальнейшем: . .


Приложение Б
Оценка разброса
Как мы уже отмечали, характер распределения результатов после воздействия изучаемого фактора в опытной группе дает существенную информацию о том, как испытуемые выполняли задание. Сказанное относится и к обоим распределениям в контрольной группе:
Контрольная группа Мода (Мо) Мели* не (Me) Средни а (м)
| Фон: ................. |
| После воздействия: ч • - •:....... • •......• • ,...••.«••-. |
Сразу бросается в глаза, что если средняя в обоих случаях почти одинакова, то во втором распределении результаты больше разбросаны, чем в первом, В таких случаях говорят, что у второго распределения больше диапазон, или размах вариаций, т.е, разница между максимальным и минимальным значениями.
Так, если взять контрольную группу, то диапазон распределения для фона составит 22 — 10 = 12, а после воздействия 25 — 8 — 17. Это позволяет предположить, что повторное выполнение задачи на глазодвигательную координацию оказало на испытуемых из контрольной группы определенное влияние; у одних показатели улучшились, у других ухудшились1. Однако для количественной оценки разброса результатов
1 Здесь мог проявиться эффект плацебо связанный с тем, что запах дыма травы вызвал у испытуемых уверенность в том, что они находятся под воздействием наркотика. Для проверки этого предположения следовало бы повторить эксперимент со второй контрольной группой, в которой испытуемым будут давать только обычную сигарету.


u /lOfHtonmKit thmiwx
относительно средней в том или ином распределении существуют более точные методы, чем измерение диапазона.
Чаще всего для оценки разброса определяют отклонение каждого из полученных значений от средней (М-М)> обозначаемое буквой d, а затем вычисляют среднюю арифметическую всех этих отклонений. Чем она больше, тем больше разброс данных и тем более разнородна выборка. Напротив, если эта средняя невелика, то данные больше сконцентрированы относительно их среднего значения и выборка более однородна.
Итак, первый показатель, используемый для оценки разброса,-это среднее отклонение. Его вычисляют следующим образом (пример, который мы здесь приведем, не имеет ничего общего с нашим гипотетическим экспериментом). Собрав все данные и расположив их в ряд
3 5 6 9 11 14,
находят среднкУю арифметическую для выборки:

Затем вычисляют отклонения каждого значения от средней и суммируют их:

Однако при таком сложении отрицательные и положительные отклонения будут уничтожать друг друга, иногда даже полностью, так что результат (как в данном примере) может оказаться равным нулю. Из этого ясно, что нужно находить сумму абсолютных значений индивидуальных отклонений и уже эту сумму делить на их общее число. При этом получится следующий результат:
среднее отклонение равно

Общая формула:

где
(сигма) означает сумму; \d\- абсолютное значение каждого индивидуального отклонения от средней; «-число данных.
Однако абсолютными значениями довольно трудно оперировать в алгебраических формулах* используемых в более сложном статистическом анализе. Поэтому статистики решили пойти по «обходному пути», позволяющему отказаться от значений с отрицательным знаком, а именно возводить все значения в квадрат, а затем делить сумму квадратов на
19-443
290
flfHLtlKXCVIttlC Л
число данных. В нашем примере это выглядит следующим образом:

В результате такого расчета получают так называемую варианеу1* Формула для вычисления вариансы, таким образом, следующая:

Наконец, чтобы получить показатель, сопоставимый по величине со средним отклонением, статистики решили извлекать из вариансы квадратный корень. При этом получается так называемое стандартное отклонение:
В нашем примере стандартное отклонение равно![]()
Следует еще добавить* что для того, чтобы более точно оценить стандартное отклонение для малых выборок (с числом элементов менее 30), в знаменателе выражения под корнем надо использовать не /г, а п — 1:
-
Вернемся теперь к нашему эксперименту и посмотрим, насколько полезен оказывается этот показатель для описания выборок.
На первом этапе, разумеется, необходимо вычислить стандартное
Г
1 Варнанса представляет собой один из показателей разброса, используемых в некоторых статистических методиках (например, при вычислении критерия F; см, следующий раздел). Следует отметить, что в отечественной литературе варианту часто называют дисперсией.-Прим. rtepee.
* Стандартное отклонение для популяции обозначается маленькой греческой буквой сигма
, а для выборки - буквой s. Это касается и вариансы, т.е. квадрата стандартного отклонения: для популяции она обозначается
, а для выборки -![]()
tt vtipafwniKct
291
отклонение для всех четырех распределений. Сделаем это сначала для фона опытной группы:
Расчет стандартного отклонения1 для фона контрольной группы
Испытуемые Число пора* Средняя женных мише-ней в серии
Отклоне- Квадрат от-
кие от клонздия от
средней (*/) средней (dl)
| 1 2 3 |
19 10 12 • |
15,8 15,8 15,8 |
-ЗД + 5,8 + 3,8 |
10,24 33,64 14,44 |
| - 15 |
- 22 |
- 15,8 |
-6,2 |
г 38,44 |
Сумма
Стандартное отклонение
1 Формула для расчетов н сами расчеты приведены здесь лишь в качестве иллюстрации. В наше время гораздо проще при об* рести такой карманный микрокалькулятор, в котором подобные расчеты уже заранее запрограммированы, и для расчета стандартного отклонения достаточно лишь ввести данные, а затем нажать клавишу s.
О чем же свидетельствует стандартное отклонение, равное 3,07? Оказывается, оно позволяет сказать, что большая часть результатов (выраженных здесь числом пораженных мишеней) располагается в пределах 3,07 от средней, т.е. между 12,73 (15,8 - 3,07) и 18,87 (15,8 4- 3,07),
Для того чтобы лучше понять, что подразумевается под «большей частью результатов», нужно сначала рассмотреть те свойства стандартного отклонения, которые проявляются при изучении популяции с нормальным распределением.
Статистики показали, что при нормальном распределении «большая часть» результатов, располагающаяся в пределах одного стандартного отклонения по обе стороны от средней, в процентном отношении всегда одна и та же и не зависит от величины стандартного отклонения: она соответствует 68% популяции (т, е. 34% ее элементов располагается слева и 34%-справа от средней):
![]()


292
При.южеши* Б
6ЭГ27%

М-0 М М+о
Точно гак же рассчитали, что 94,45% элементов популяции при нормальном распределении не выходит за пределы двух стандартных отклонений от средней:

и что в пределах трех стандартных отклонений умещается почти вся популяция-99,73%.

Учитывая, что распределение частот фона контрольной группы довольно близко к нормальному, можно полагать, что 68% членов всец популяции, из которой взята выборка, тоже будет получать сходные результаты, т,е, попадать примерно в 13-19 мишеней из 25, Распределение результатов остальных членов популяции должно выглядеть следующим образом;
Статистики tt обработка данных
293
Гипотетическая популяция,
из которой взята контрольная группа (фон)
Что касается результатов той же группы после воздействия изучаемого фактора, то стандартное отклонение для них оказалось равным 4,25 (пораженных мишеней). Значит, можно предположить, что 68% результатов будут располагаться именно в этом диапазоне отклонений от средней, составляющей 16 мишеней, т. е. в пределах от 11,75 (16 — 4,25) до 20,25 (16 + 4,25), или, округляя, 12 — 20 мишеней из 25. Видно, что здесь разброс результатов больше, чем в фоне. Эту разницу в разбросе между двумя выборками для контрольной группы можно графически представить следующим образом:


294
Приложение И

-t<7
После воздействия
Поскольку стандартное отклонение всегда соответствует одному и тому же проценту результатов, укладывающихся в его пределах вокруг средней, можно утверждать, что при любой форме кривой нормального распределения та доля ее площади, которая ограничена (с обеих сторон) стандартным отклонением, всегда одинакова и соответствует одной и той же доле всей популяции. Это можно проверить на тех наших выборках, для которых распределение близко к нормальному,-на данных о фоне для контрольной и опытной групп.
Итак, ознакомившись с описательной статистикой, мы узнали» как можно представить графически и оценить количественно степень разброса данных в том или ином распределении. Тем самым мы смогли понять, чем различаются в нашем опыте распределения для контрольной группы до и после воздействия. Однако можно ли о чем-то судить по этой разнице-отражает ли она действительность или же это просто артефакт, связанный со слишком малым объемом выборки? Тот же вопрос (только еще острее) встает и в отношении экспериментальной группы, подвергнутой воздействию независимой переменной. В этой группе стандартное отклонение для фона и после воздействия тоже различается примерно на 1 (3,14 и 4,04 соответственно). Однако здесь особенно велика разница между средними-15,2 и 11,3* На основании чего можно было бы утверждать, что эта разность средних действительно достоверна, т,е\ достаточно велика, чтобы можно было с уверенностью объяснить ее влиянием независимой переменной, а не простой случайностью? В какой степени можно опираться на эти результаты и распространять их на всю популяцию, из которой взята выборка, т, е. утверждать, что потребление марихуаны и в самом деле обычно ведет к нарушению глазодвигательной координации? -
На все эти вопросы и пытается дать ответ индуктивная статистика.
u u oopitwowKu (кишы.\
Индуктивная статистика
Задачи индуктивной статистики заключаются в том, чтобы определять, насколько вероятно, что две выборки принадлежат к одной популяции.
Давайте наложим друг на друга,, с одной стороны, две кривые-до и после воздействия-для контрольной группы и> с другой стороны, две аналогичные кривые для опытной группы. При этом масштаб кривых должен быть одинаковым.


Видно, что в контрольной группе разница между средними обоих распределений невелика, и поэтому можно думать, что обе выборки принадлежат к одной и той же популяции. Напротив, в опытной группе большая разность между средними позволяет предположить что распределения для фона и воздействия относятся к двум различным популяциям, разница между которыми обусловлена тем, что на одну из них повлияла независимая переменная.
Проверка гипотез
Как уже говорилось, задача индуктивной статистики - определять достаточно ли велика разность между средними двух распределений для того, чтобы можно было объяснить ее действием независимой переменной, а не случайностью, связанной с малым объемом выборки (как,
2%
по-видимому, обстоит дело в случае с опытной группой нашего эксперимента).
При этом возможны две гипотезы:
1) нулевая гипотеза (Но), согласна которой разница между распределениями недостоверна; предполагается, что различие недостаточно значительно, и поэтому распределения относятся к одной и той же популяции, а независимая переменная не оказывает никакого влияния;
2) альтернативная гипотеза (НД какой является рабочая гипотеза нашего исследования. В соответствии с этой гипотезой различия между обоими распределениями достаточно значимы и обусловлены влиянием независимой переменной.
Основной принцип метода проверки гипотез состоит в том, что выдвигается нулевая гипотеза Но, с тем чтобы попытаться опровергнуть ее и тем самым подтвердить альтернативную гипотезу Нх, Действительно, если результаты статистического теста, используемого для анализа разницы между средними, окажутся таковы, что позволят отбросить Но, это будет означать, что верна HL, т.е. выдвинутая рабочая гипотеза по дт ве рж дается.
В гуманитарных науках принято считать, что нулевую гипотезу можно отвергнуть в пользу альтернативной гипотезы, если по результатам статистического теста'вероятность случайного возникновения найденного различия не превышает 5 из 100!. Если же этот уровень достоверности не достигается, считают, что разница вполне может быть случайной и поэтому нельзя отбросить нулевую гипотезу.
Для того чтобы судить о том, какова вероятность ошибиться, принимая или отвергая нулевую гипотезу, применяют статистические методы, соответствующие особенностям выборки.
Так, для количественных данных (см. дополнение БЛ) при распределениях, близких к нормальным, используют параметрические методы, основанные на таких показателях, как средняя и стандартное отклонение. В частности, для определения достоверности разницы средних для двух выборок применяют метод Стьюдента, а для того чтобы судить о различиях между тремя или большим числом выборок,-тест F, или дисперсионный анализ.
Если же мы имеем дело с неколичественными данными или выборки слишком малы для уверенности в том, что популяции, из которых они взяты, подчиняются нормальному распределению, тогда используют непараметрические методы -критерий х2 (лм-квадрат) для качественных данных и критерии знаков, рангов, Манна-Уитни, Вилкоксона и др, для порядковых данных.
Кроме того, выбор статистического метода зависит от того, являются ли те выборки, средние которых сравниваются, независимыми (т. е,, например, взятыми из двух разных групп испытуемых) кли зависимыми
\ Разумеется, рнск ошибиться будет еще меньше, если окажется, что эта вероятность составляет 1 на 100 или* еще лучше, I на 1000.
Статистика и оорашгпжи данных
(т. е. отражающими результаты одной и той же группы испытуемых до и после воздействия или после двух различных воздействий).
Дополнение Б.З. Уровни достоверности (значимости)
Тот или иной вывод с некоторой вероятностью может оказаться ошибочным, причем эта вероятность тем меньше, чем больше имеется данных для обоснования этого вывода. Таким образом, чем больше получено результатов, тем в большей степени по различиям между двумя выборками можно судить о том, что действительно имеет место в той популяции, из которой взяты эти выборки.
Однако обычно используемые выборки относительно невелики, и в этих случаях вероятность ошибки может быть значительной, В гуманитарных науках принято считать, что разница между двумя выборками отражает действительную разницу между соответствующими популяциями лишь в том случае, если вероятность ошибки для этого утверждения не превышает 5%, т.е. имеется лишь 5 шансов из 100 ошибиться, выдвигая такое утверждение. Это так называемый уровень достоверности (уровень надежности, доверительный уровень) различия. Если этот уровень не превышен, то можно считать вероятным, что выявленная нами разница действительно отражает положение дел в популяции (отсюда еще одно название этого критерия-порог вероятности).
Для каждого статистического метода этот уровень можно узнать из таблиц распределения критических значений соответствующих критериев (f, х1 и т, д.); в этих таблицах приведены цифры для уровней 5% (0,05), 1% (0,01) или еще более высоких. Если значение критерия для данного числа- степеней свободы (см. дополнение Б.4) оказывается ниже критического уровня, соответствующего порогу вероятности 5%, то нулевая гипотеза не может считаться опровергнутой, и это означает, что выявленная разница недостоверна.
Параметрические методы
Метод Стьюдента (tf-тест)
Это параметрический метод, используемый для проверки гипотез о достоверности разницы средних при анализе количественных данных о популяциях с нормальным распределением и с одинаковой вариан-сой *.
Метод Стьюдента различен для независимых и зависимых выборок. Независимые выборки получаются при исследоваиии двух различных
1 К сожалению, метод Стьюдента слишком часто используют для малых выборок, не убедившись предварительно в том, что данные в соответствующих популяциях подчиняются закону нормального распределения (например, результаты выполнения слишком легкого задания, с которым справились все испытуемые* или же, наоборот, слишком трудного задания не дают нормального распределения).

групп испытуемых (в нашем эксперименте это контрольная и опытная группы). В случае независимых выборок для анализа разницы средних применяют формулу
где
-средняя первой выборки;
-средняя второй выборки;
-стандартное отклонение
для первой выборки;
-стандартное отклонение
для второй выборки;
-число элементов в первой
и второй выборках.
Теперь осталось лишь найти в таблице значений t (см. дополнение Б.5) величину, соответствующую п — 2 степеням свободы, где л-общее число испытуемых в обеих выборках (см. дополнение Б,4), и сравнить эту величину с результатом расчета по формуле.
Если наш результат больше, чем значение для уровня достоверности 0,05 (вероятность 5%), найденное в таблице* то можно отбросить нулевую гипотезу (Но) и принять альтернативную гипотезу (НД т,е, считать разницу средних достоверной.
Если же, напротив, полученный при вычислении результат меньше, чем табличный (для п-2 степеней свободы), то нулевую гипотезу нельзя отбросить и, следовательно, разница средних недостоверна,
В нашем эксперименте с помощью метода Стьюдента для независимых выборок можно было бы, например, проверить, существует ли достоверная разница между фоновыми уровнями (значениями, полученными до воздействия независимой переменной) для двух групп. При этом мы получим:

Сверившись с таблицей значений /, мы можем прийти к следующим выводам; полученное нами значение / — 0,53 меньше того, которое соответствует уровню достоверности 0,05 для 26 степеней свободы I
; следовательно, уровень вероятности для такого / будет выше
0,05 и нулевую гипотезу нельзя отбросить; таким образом, разница между двумя выборками недостоверна, т. е. они вполне могут принадлежать к'одной популяции.
Сокращенно этот вывод записывается следующим образом:
недостоверно.
Однако наиболее полезным f-тест окажется для нас при проверке
1 Как уже говорилось, поскольку объем выборок в данном случае невелик, а результаты опытной группы после воздействия не соответствуют нормальному распределению, лучше использовать непараметрический метод, например U-тест Манна -Уитни.
Спитш-тика и мраоотка омнных
гипотезы о достоверности разницы средней между результатами опытной и контрольной групп после воздействия1. Попробуйте сами найти для этих выборок значения и сделать соответствующие выводы:

Значение t ....., чем табличное для 0,05 (.....степеней свободы).
Следовательно, ему соответствует порог вероятности ___•, чем 0,05,
В связи с этим нулевая гипотеза может (не может) быть отвергнута. Разница между выборками достоверная (недостоверна?):
![]()
Дополнение Б.4. Степени свободы
Для того чтобы свести к минимуму ошибки, в таблицах критических значений статистических критериев в общем количестве данных не учитывают те, которые можно вывести методом дедукций. Оставшиеся данные составляет так называемое число степеней свободы* т. е. то число данных из выборки, значения которых могут быть случайными.
Так, если сумма трех данных равна 8, то первые два из них могут принимать любые значения, но если они определены, то третье значение становится автоматически известным. Если, например, значение первого данного равно 3>а второго-1, то третье может быть равным только 4. Таким образом, в такой выборке имеются только две степени свободы. В общем случае для выборки в п данных существует п-1 степень свободы.
Если у нас имеются две независимые выборки, то число степеней свободы для первой из них составляет пг-\, а для второй-л2-Ь А поскольку при определении достоверности разницы между ними опираются на анализ каждой выборки, число степеней свободы, по которому нужно будет находить критерий г в таблице, будет составлять К + «а) - 2. " .
Если же речь идет о двух зависимых выборках, то в основе расчета лежит вычисление суммы разностей, полученных для каждой, пары результатов (т.е., например, разностей между результатами до и после воздействия на одного и того же испытуемого). Поскольку одну (любую) из этих разностей можно вычислить» зная остальные разности и их сумму, число степеней свободы для определения- критерия г будет равно и- 1.
Метод Стьюдента для зависимых выборок
К зависимым выборкам относятся» например, результаты одной и той же группы испытуемых до и после воздействия независимой переменной. В нашем случае с помощью статистических методов для зависимых выборок можно проверить гипотезу о достоверности разни-
300 Пщмож*-нш* В
цы между фоновым уровнем и уровнем после воздействия отдельно для опытной и для контрольной группы.
Для определения достоверности разницы средних в случае зависимых выборок применяется следующая формула:

где
-разность между результатами
в каждой паре;
-сумма этих частных разностей;
-сумма квадратов частных разностей.
Полученные результаты сверяют с таблицей и отыскивая в ней значения, соответствующие « — 1 степени свободы; «-это в данном случае число пар данных (см. дополнение Б.З).
Перед тем как использовать формулу, необходимо вычислить для каждой группы частные разности между результатами во всех парах, квадрат каждой из этих разностей, сумму этих разностей и сумму их квадратов1.
Необходимо произвести следующие операции:
Контрольная группа. Сравнение результатов для фонд н после
воздействия
| Испытуемые |
Фок |
После uov |
d |
|
| дейстзия |
||||
| Д 1 |
19 |
21 |
+ 2 |
4 |
| 2 |
ю- |
S |
-2 |
4 |
| г |
12 |
13 |
+ 1 |
1 |
| 4 |
13 |
11 |
-2 |
4 |
| 5 |
17 |
20 |
+3 |
9 |
| 6 |
14 |
12 |
-2 |
4 |
| 7 |
17 |
15 |
— 2 |
4 |
| Ю 1 |
15 |
J7 |
+2 |
4 |
| 2 |
14 |
15 |
+ 1 |
1 |
| 3 |
15 |
15 |
_ |
|
| 4 |
17 |
18 |
+ 1 |
1 |
| 5 |
15 . |
16 |
+ 1 |
1 |
| 6 |
18 |
15 |
-3 |
9 |
| 7 |
19 |
19 |
_ |
— |
| 8 |
22 |
25 |
+ 3 |
9 |
1 Все эти расчеты необходимо сделать в чисто учебных целях. Сегодня существуют более быстрые методы, при которых основная работа сводятся к вводу данных в программируемый микрокалькулятор или в компьютер, который автоматически выдает результат. Приведенная здесь таблица помогает понять все расчеты, которые осуществляются такими машинами.

и ищпюотки данных 301
Величина / = 0,39 ниже той, которая необходима для уровня значимости 0,05 при 14 степенях свободы. Иными словами, порог вероятности для такого / выше 0,05. Таким образом, нулевая гипотеза не может быть отвергнута, и разница между выборками недостоверна. В сокращенном
виде это записывается следующим образом:
'л
недостоверно.
Теперь попробуйте самостоятельно применить метод Стьюдента для зависимых выборок к обоим распределениям опытной группы с учетом того, что вычисление частных разностей для дар дало следующие результаты:![]()
Значение t....., чем то, которое соответствует уровню значимости G>05
для.....степеней свободы. Значит, нулевая гипотеза....., а различи»
между выборками.....
Запишите это в сокращенном виде.
Дисперсионный анализ (тест F Снедекора)
Метод Снедекора-это параметрический тест, используемый в тех случаях, когда имеются три или большее число выборок. Сущность этого метода заключается в том, чтобы определить, является ли разброс средних для различных выборок относительно общей средней для всей совокупности данных достоверно отличным от разброса данных относительно средней в пределах каждой выборки. Если все выборки принадлежат одной и той же популяции, то разброс между ними должен быть не больше, чем разброс данных внутри их самих.
В методе Снедекора в качестве показателя разброса используют вариансу (дисперсию). Поэтому анализ сводится к тому, чтобы сравнить вариансу распределений между выборками с вариансами в пределах каждой выборки, или:
различие .....

где
-варианса средних каждой выборки относительно общей
средней:
-варианса данных внутри каждой выборки. Если различие между выборками недостоверно, то результат должен быть близок к 1, Чем больше будет F по сравнению с 1, тем более достоверно различие.
ft pit. r* мнение
Таким образом, дисперсионный анализ показывает, принадлежат ли выборки к одной популяции, но с его помощью нельзя выделить те выборки, которые отличаются от других. Для того чтобы определить те пары выборок, разница между которыми достоверна, следует после дисперсионного анализа применить метод Шеффе* Поскольку, однако, этот весьма ценный метод требует достаточно больших вычислений, а к нашему гипотетическому эксперименту он неприменим, мы рекомендуем читателю для ознакомления с ним обратиться к какому-либо специальному пособию по статистике.
-
Непараметрические методы
Метод %2 («хи-квадрат»)
Для использования непараметрического метода х2 не требуется вычислять среднюю или стандартное отклонение. Его преимущество состоят в том, что для применения его необходимо знать лишь зависимость распределения частот результатов от двух переменных; это позволяет выяснить, связйы они друг с другом или, наоборот, независимы. Таким образом, этот статистический метод используется для обработки качественных данных (см. дополнение БЛ)+ Кроме того, с его помощью можно проверить, существует ли достоверное различие между числом людей, справляющихся или нет с заданиями какого-то интеллектуального теста, и числом этих же людей, получающих при обучении высокие или низкие оценки; между числом больных, получивших новое лекарство, и числом тех, кому это лекарство помогло; и, наконец, существует ли достоверная связь между возрастом людей и их успехом или неудачей в выполнении тестов на память и т. п. Во всех подобных случаях этот тест позволяет определить число испытуемых, удовлетворяющих одному и тому же критерию для каждой из переменных,
При обработке данных нашего гипотетического эксперимента с помощью метода Стьюдента мы убедились в том, что употребление марихуаны испытуемыми из опытной группы снизило у них эффективность выполнения задания по сравнению с контрольной группой. Однако к такому же выводу можно быдо бы прийти с помощью другого метода -х2- Для этого метода нет ограничений, свойственных методу Стьюдента: он может применяться н в тех случаях, когда распределение не является нормальным, а выборки невелики.
При использовании метода х2 достаточно сравнить число испытуемых в ТОЙ и другой группе, у которых снизилась результативность, и подсчитать, сколько среди них было получивших и не получивших наркотик; после этого проверяют, есть ли связь между этими двумя переменными.
Из результатов нашего опыта, приведенных в таблице в дополнении Б,2, видно, что из 30 испытуемых, составляющих опытную и контрольную группы, у 18 результативность снизилась, а 13 из них получили марихуану. Теперь надо внести значение этих так называемых эмпирических частот (Э) в специальную таблицу:
и oopainrnwa *>шшы.\
303
| Результаты |
||||
| Ухудшение Без изменений или улучшение |
Итого • - |
|||
| ос |
После употребления наркотика |
13 |
2 |
15 |
| О О 3 |
Без наркотика |
5 |
10 |
15 |
| Итого |
18 |
12 |
30 |
|
г
Эмпирические частоты (Э)
Далее надо сравнить эти данные с теоретическими частотами (Т), которые были бы получены, если бы все различия были чисто случайными. Если учитывать только итоговые данные, согласно которым, с одной стороны, у 18 испытуемых результативность снизилась, а у 12-повысилась, а с другой-15 из всех испытуемых курили марихуану, а 15-нет, то теоретические частоты будут следующими:
Результаты
Ухудшение Без изменений Итого
или улучшение
| После употреб- |
|
|
1 с |
| в лен и я на кортика |
1 э |
||
| 5 Без наркотика |
|
|
1С |
| 13 |
|||
| Итого |
18 |
12 |
30 |
Теоретические частоты (Т)
Метод х2 состоит в том, что оценивают, насколько сходны между собой распределения эмпирических и теоретических частот. Если разница между ними невелика, то можно полагать, что отклонения эмпирических частот от теоретических обусловлены случайностью. Если же, напротив, эти распределения будут достаточно разными, можно будет считать, что различия между ними значимы и существует связь между действием независимой переменной и распределением эмпирических частот*
Для вычисления
определяют разницу между каждой эмпирической
304 fIpu.w.iKvrt!ti' Fi
и соответствующей теоретической частотой по формуле
а затем результаты, полученные по всех таких сравнениях, складывают:

В нашем случае все это можно представить следующим образом:
| Наркотик, ухудшение |
13 |
9 |
+4 |
16 |
1,77 - |
| Наркотик, улучшение |
2 |
6 |
-4 - |
16 |
2,66 |
| Без наркотика, ухудшение |
5 |
6 |
_4 |
16 |
1,77 |
| Без наркотика, улучшение |
10 |
6 |
+4 |
16 |
2,66 |
Для расчета числа степеней свободы число строк в табл. 2 (в конце приложения Б) за вычетом единицы умножают на число столбцов за вычетом единицы. Таким образом, в нашем случае число степеней свободы равно (2 — 1)* (2 — 1) = 1,
Табличное значение
(см, табл, 2 в дополнении Б.5) для уровня значимости 0,05 и 1 степени свободы составляет 3,84, Поскольку вычисленное нами значение
намного больше, нулевую гипотезу можно считать опровергнутой. Значит, мевду употреблением наркотика и глазодвигательной координацией действительно существует связь1.
Критерий знаков (биномиальный критерий)
Критерий знаков-это еще один непараметрический метод, позволяющий легко проверить, повлияла ли независимая переменная на выпол-
1 Следует, однако, отметить* что если число степеней свободы больше 1, то критерий
нельзя применять, когда в 20 или более процентах случаев теоретические частоты меньше 5 или когда хотя бы в одном случае теоретическая частота равна 0 (Siegel, 1956).


if и ooptwonma йштых%
305
нение задания испытуемыми. При этом методе сначала подсчитывают
число испытуемых, у которых результаты снизились, а затем сравнивают его с тем числом, которого можно было ожидать на основе чистой случайности (в нашем случае вероятность случайного события 1:2). Далее определяют разницу между этими двумя числами, чтобы выяснить, насколько она достоверна.
При подсчетах результаты, свидетельствующие о повышении эффективности, берут со знаком плюс, а о снижении-со знаком минус; случаи отсутствия разницы не учитывают.
Расчет ведется по следующей формуле;

где Л"-сумма «плюсов» или сумма «минусов»;
«/2-число сдвигов в ту или в другую сторону при чистой случайности (один шанс из двух 1);
0,5-поправочный коэффициент, который добавляют к Х9 если X < л/2, или вычитают, если X > п/2.
Если мы сравним в нашем опыте результативность испытуемых до воздействия (фон) и после воздействия, то получим
Итак, в 13 случаях результаты ухудшились а в 2-улучшились. Теперь нам остается вычислить Z для одного из этих двух значений X:
1 Такая вероятность характерна, например, для п бросаний монеты. В случае же если п раз бросают игральную кость то вероятность выпадения той или иной грани уже равна одному шансу из 6 (л/6).
20 443
| Опытная группа |
|||||||||||||||
| Фон: |
12 |
21 |
10 |
15 |
15 |
19 |
17- |
14 |
13 |
11 |
20 |
15 |
15 |
14 |
17 |
| После воздействия: |
8 |
20 |
6 |
8 |
17 |
10 |
10 |
9 |
7 |
8 |
14 |
13 |
16 |
И |
12 |
| Знак: |
— |
— |
— |
+ |
— |
— |
— |
— |
— |
+ |
— |
— |

306
Из таблицы значений Z можно узнать, что Z для уровня значимости 0,05 составляет 1,64. Поскольку полученная нами величина Z оказалась выше табличной, нулевую гипотезу следует отвергнуть; значит, под действием независимой переменной глазодвигательная координация действительно ухудшилась.
Критерий знаков особенно часто используют при анализе данных, получаемых в исследованиях по парапсихологии. С помощью этого критерия легко можно сравнить, например, число так называемых телепатических или психокинетических реакций (X) (см, досье 5,1) с числом сходных реакций, которое могло быть обусловлено чистой случайностью (гс/2).
Другие непараметрические критерии
Существуют и другие непараметрические критерии, позволяющие проверять гипотезы с минимальным количеством расчетов.
Критерий рангов позволяет проверить, является ли порядок следования каких-либо событий или результатов случайным, или же он связан с действием какого-то фактора, не учтенного исследователем. С помощью этого критерия можно, например, определить, случаен ли порядок чередования мужчин и женщин в очереди. В нашем опыте этот критерий позволил бы узнать, не чередуются ли плохие и хорошие результаты каждого испытуемого опытной группы после воздействия каким-то определенным образом или не приходятся ли хорошие результаты в основном на начало или конец испытаний.
При работе с этим критерием сначала выделяют такие последовательности, в которых подряд следуют значения меньше медианы, и такие, в которых подряд идут значения больше медианы. Далее по таблице распределения k (от англ> runs-последовательности) проверяют, обусловлены ли эти различные последовательности только случайностью.
При работе с порядковыми данными 1 используют такие непараметрические тесты, как тест U (Манна-Уитни) и тест Т Вилкоксона, Тест U позволяет проверить, существует ли достоверная разница между двумя независимыми выборками после того, как сгруппированные данные этих выборок классифицируются и ранжируются и вычисляется сумма рангов для каждой выборки. Что же касается критерия Т, то он используется для зависимых выборок и основан как на ранжировании, так и на знаке различий между каждой парой данных.
Чтобы показать применение этих критериев на примерах, потребовалось бы слишком много места. При желании читатель может подробнее ознакомиться с ними по специальным пособиям.
1 Такие дачные чаще всего получаются при ранжировании количественных данных, которые нельзя обработать с помощью параметрических тестов.
it и обработка данных
307
-
Корреляционный анализ
При изучении корреляций стараются установить, существует ли какая-то связь между двумя показателями в одной выборке (например* между ростом и весом детей или между уровнем IQ и школьной успеваемостью) либо между двумя различными выборками (например, при сравнении пар близнецов), и если эта связь существует, то сопровождается ли увеличение одного показателя возрастанием (положительная корреляция) или уменьшением (отрицательная корреляция) другого.
Иными словами, корреляционный анализ помогает устанойить, можно ли предсказывать возможные значения одного показателя, зная величину другого.
До сих пор при анализе результатов нашего опыта по изучению действия марихуаны мы сознательно игнорировали такой показатель, как время реакции. Между тем было бы интересно проверить, существует ли связь между эффективностью реакций и их быстротой. Это позволило бы, например, утверждать, что чем человек медлительнее» тем точнее и эффективнее будут его действия и наоборот.
С этой целью можно использовать два разных способа: параметрический метод расчета коэффициента Браве - Пирсона (г) и вычисление коэффициента корреляции рангов Спирмена (rj, который применяется к порядковым данным, т.е. является непараметрическим» Однако разберемся сначала в том, что такое коэффициент корреляции.
*
Коэффициент корреляции
Коэффициент корреляции - это величина, которая может варьировать в пределах от +1 до — L В случае полной положительной корреляции этот коэффициент равен плюс 1, а при полной отрицательной-минус L На графике этому соответствует прямая линия, проходящая через точки пересечения значений каждой пары данных:
Переменная I
А '

Переменная В
Полная положительная корреляция [г = +1)
20'
308
Приложение

В случае же если эти точки не выстраиваются по прямой линии, а образуют «облако», коэффициент корреляции по абсолютной величине становится меньше единицы и по мере округления этого облака приближается к нулю:
В случае если коэффициент корреляции равен 0, обе переменные полностью независимы друг от друга,
В гуманитарных науках корреляция считается сильной, если ее коэффициент выше 0,60; если же он превышает 0,90, то корреляция считается очень сильной. Однако для того, чтобы можно было делать выводы о связях между переменными, большое значение имеет объем выборки: чем выборка больше, тем достовернее величина полученного коэффициента корреляции. Существуют таблицы с критическими значениями коэффициента корреляции Браве-Пирсона и Спирмена для разного числа степеней свободы (оно равно числу пар за вычетом 2, т. е. п — 2). Лишь в том случае> если коэффициенты корреляции больше этих критических значений, они могут считаться достоверными. Так, для того чтобы коэффициент корреляции 0,70 был достоверным, в анализ должно быть взято не меньше 8 пар данных
при вычислении
г (табл. В.4) и 7 пар данных
при вычислении
(табл
5 в дополнении Б,5).

С тиши-тика и /юраоотка thin пых 30Q
Коэффициент Браве-Пирсона
Для вычисления этого коэффициента применяют следующую формулу (у разных авторов она может выглядеть по-разному):
где
-сумма произведений данных из каждой пары;
п - число пар;
-средняя для данных переменной X;
-средняя для данных переменной У;
-стандартное отклонение Для распределения х;
-стандартное отклонение для распределения у. Теперь мы можем использовать этот коэффициент для того, чтобы установить, существует ли связь между временем реакции испытуемых и эффективностью их действий. Возьмем, например, фоновый уровень контрольной
группы.
| Д1 |
19 |
8 |
152 |
| Д2 |
10 |
15 |
150 |
| ДЗ 1 г К>8 |
12 1 22 |
13 г 14 |
156 308 |
![]()
Отрицательное значение коэффициента корреляции может означать, что чем больше время реакция, тем ниже эффективность. Однако величина его слишком мала для того, чтобы можно было говорить о достоверной связи между этим двумя переменными.
Теперь попробуйте самостоятельно подсчитать коэффициент корреляции для экспериментальной группы после воздействия, зная, что
j j -
![]()

.40 Приложение Ь
Какой вывод можно сделать из этил результатов? Если вы считаете, что между переменными есть связь, то какова она-прямая или обратная? Достоверна ли она [см. табл. 4 (в дополнении Б. 5) с критическими значениями г]?
Коэффициент корреляции рангов Спнрмена rs
Этот коэффициент рассчитывать проще, однако результаты получаются менее точными, чем при использовании г, Это связано с тем, что при вычислении коэффициента Спирмена используют порядок следования данных, а не их количественные характеристики и интервалы между классами.
Дело в том, что при использовании коэффициента корреляции рангов Спирмена (г,) проверяют только, будет ли ранжирование данных для какой-либо выборки таким же, как и в ряду других данных для этой выборки, попарно связанных с первыми (например, будут ли одинаково «ранжироваться» студенты при прохождении ими как психологии, так и математики, или даже при двух разных преподавателях психологии?). Если коэффициент близок к + 1, то это означает, что оба ряда практически совпадают, а если этот коэффициент близок к — 1, можно говорить о полной обратной зависимости.
Коэффициент rs вычисляют по формуле

где d- разность между рангами сопряженных значений признаков (независимо от ее знака), а п- число пар.
Обычно этот непараметрический тест используется в тех случаях, когда нужно сделать какие-то выводы не столько об интервалах между данными, сколько об их рангах, а также тогда, когда кривые распределения слишком асимметричны и не позволяют использовать такие параметрические критерии, как коэффициент г (в этих случаях бывает необходимо превратить количественные данные в порядковые).
Поскольку именно так обстоит дело с распределением значений эффективности и времени реакции в экспериментальной группе после воздействия, можно повторить расчеты,'которые вы уже проделали для этой группы, только теперь не для коэффициента г, а для показателя rF Это позволит посмотреть, насколько различаются эти два показателя.
Cniwrntcnmtcti if оораштгка ошшых
?М
| Испыту- |
Эффек- |
Время |
Ранга |
Ранги |
d |
d* |
| емые |
тивность |
реакции |
X* |
У* |
||
| .V |
у |
|||||
| Д8 |
8 |
17 |
12 |
5 |
. 7 |
49 |
| Д9 |
20 |
13 |
L |
2 |
] |
1 |
| Д ю |
6 |
20 |
15 |
11,5 |
3,5 |
12,25 |
| Д и |
8 |
18 |
12 |
7,5 |
4,5 |
20,25 |
| Д 12 |
17 |
21 |
2 |
13,5 |
11,5 |
132,25 |
| Д 13 |
10 |
22 |
8,5 |
15 |
6,5 |
42,25 |
| Д 14 |
10 |
19 |
8,5 |
9,5 |
1 |
1 |
| Ю9 |
9 |
20 |
10 |
1,5 |
2,25 |
|
| Ю 10 |
.7 |
17 |
14 |
5 |
9 |
81 |
| Д 11 |
8 |
19 |
12 |
9,5 |
2,5 |
6,25 |
| Ю 12 |
14 |
14 |
4 |
3 |
1 |
I |
| Ю 13 |
13 |
12 |
5 |
1 |
4 |
16 |
| Ю 14 |
16 |
18 |
3 |
7,5 |
4,5 |
20,25 |
| Ю 15 |
11 |
21 |
7 |
13,5 |
6,5 |
42,25 |
| Ю 16 |
12 |
17 |
6 |
5 |
1 |
1 |
| 428 . |
* Следует помнить, что
1) для числа попаданий 1-й ранг соответствует самой высокой, л 15-й-самой низкой результативности, тогда как для времени реакции 1-й ранг соответствует самому короткому времени, а 15-й-самому долгому;
2) данным ex aequo придается средний ранг.
Таким образом, как и в случае коэффициента г, получен положительный, хотя и недостоверный, результат. Какой же из двух результатов правдоподобнее: г = —0,48 или rs = +0,24? Такой вопрос может встать лишь в том случае, если результаты достоверны.
Хотелось бы еще раз подчеркнуть, что сущность этих двух коэффициентов несколько различна. Отрицательный коэффициент г указывает на то, что эффективность чаще всего тем выше, чем время реакции меньше, тогда как при вычислении коэффициента г5 требовалось проверить, всегда ли более быстрые испытуемые реагируют более точно, а более медленные - менее точно.
Поскольку в экспериментальной группе после воздействия был получен коэффициент rst равный 0,24, подобная тенденция здесь, очевидно, не прослеживается. Попробуйте самостоятельно разобраться в данных для контрольной группы после воздействия, зная, что 2jd2 = 122,5:
гs = 1 —---------------= 1 —--------------- — 1 — ; достоверно ли?
F
Каков ваш вывод?..........................................
Итак, мы рассмотрели различные параметрические и непараметрические статистические методы, используемые в психологии. Наш обзор

![]()

![]()
![]()
был весьма поверхностным, и главная задача его заключалась в том, чтобы читатель тюнял, что статистика не так страшна, как кажется, и требует в основном здравого смысла. Напоминаем, что данные «опыта», с которыми мы здесь имели дело,-вымышленные и не могут служить основанием для каких-либо выводов. Впрочем, подобный эксперимент стоило бы действительно провести. Поскольку для этого опыта была выбрана сугубо классическая методика, такой же статистический анализ можно было бы использовать во множестве различных экспериментов. В любом случае нам кажется* что мы наметили какие-то главные направления, которые могут оказаться полезны тем, кто не знает, с чего начать статистический анализ полученных результатов.
Резюме
Существуют три главных раздела статистики: описательная статистика, индуктивная статистика и корреляционный анализ,
I. Описательная статистика
1. Задачи описательной статистики - классификация данных, построение распределения их частот, выявление центральных тенденций этого распределения и оценка разброса данных относительно средних.
2. Для классификации данных сначала располагают их в возрастающем порядке. Далее их разбивают на классы по величине, интервалы между которыми определяются в зависимости от того, что именно иследователь хочет выявить в данном распределении,
3. К наиболее часто используемым параметрам, с помощью которых можно описать распределение, относятся, с одной стороны, такие величины, как мода, медиана и средняя арифметическая, а с другой-показатели, разброса, такие как варианса (дисперсия) и стандартное отклонение,
4. Мода соответствует значению, которое встречается чаще других или находится в середине класса,' обладающего наибольшей частотой.
Медиана соответствует значению центрального данного, которое может быть получено после того, как все данные будут расположены в возрастающем порядке.
Средняя арифметическая равна частному от деления суммы всех данных на их число.
Распределение считается нормальным, если кривая распределения имеет ко л околообразный вид, а все показатели центральной тенденции совпадают, что свидетельствует о симметричности распределения,
5. Диапазон распределения (размах вариаций) равен разности между наибольшим и наименьшим значениями результатов,
6. Среднее отклонение -это более точный показатель разброса, чем диапазон распределения. Для расчета среднего отклонения вычисляют среднюю разность между всеми значениями данных и средней арифме-
Статистики и оорапатка дачны
тической, или, упрощенно»
Среднее отклонение =
7, Еще один показатель разброса, вычисляемый из среднего отклонения,-это варианса (дисперсия), равная среднему квадрату разностей между значениями всех данных и средней:
Варианса -
8. Наиболее употребительным показателем разброса служит стан-дартное отклонение, равное квадратному корню из вариансы» Таким образом, это квадратный корень из суммы квадратов всех отклонений от средней:

Стандартное отклонение =
V и V п —
9+ Важное свойство стандартного отклонения заключаете в том, что независимо от его абсолютной величины в нормальном распределении оно всегда соответствует одинаковому проценту данных, располагающихся по обе стороны от средней: 68% результатов располагаются в пределах одного стандартного отклонения в обе стороны от средней, 95% - в пределах двух стандартных отклонений и 99,7%-в пределах трех стандартных отклонений.
10. С помощью перечисленных выше показателей можно осуществить оценку различий между двумя или несколькими распределениями, позволяющую проверить, насколько эти различия могут быть экстраполированы на популяцию, из которой взяты выборки. Для этого применяют методы индуктивной статистики.
-
IL Индуктивная статистика
1. Задача индуктивной статистики заключается в том, чтобы оценить значимость тех различий, которые могут быть между двумя распределениями, с целью выяснить, можно ли распространить найденную закономерность на всю популяцию, из которой были взяты выборки.
2. Для того чтобы определить, достоверны ли различия между распределениями, следует выдвинуть гипотезу, которую нужно будет затем проверить статистическими методами. Нулевой гипотезой называют предположение, согласно которому различие между распределениями недостоверно, тогда как альтернативная гипотеза утверждает противоположное.
3. В том случае, если данных достаточно, если эти данные количественные и подчиняются нормальному распределению, для проверки гипотез используют параметрические критерии. Если же данных мало либо они


314 При.ш.жетн' К
являются порядковыми или качественными (см.дополнение Б.1), используют непараметрические критерии.
4. Из параметрических критериев наиболее эффективен и чаще всего используется критерий"! Стьюдента. Этот критерий позволяет сравнить средние и стандартные отклонения для двух распределений. В случае если эти показатели принадлежат независимым выборкам, используют формулу

Для сопряженных выборок используют иную формулу:
5, Если необходимо сравнить три или большее число распределений, используют иной параметрический метод - дисперсионный анализ. При этом с помощью метода Шеффе можно выявить пары выборок, различия между которыми достоверны либо недостоверны.
6. Критерий х2 (хи-квадрат) - это непараметрический критерий, позволяющий проверить, являются ли две переменные независимыми друг от друга, .По этому методу сравнивают, как распределяются эмпирические частоты в зависимости от критериев для каждой переменной, с тем, как они распределились бы теоретически, если бы переменные были независимыми. Далее с помощью таблицы, в которую сводятся все частоты, вычисляют критерий х2. Для этого сначала находят разницу между каждой эмпирической (Э) и соответствующей теоретической (Т) частотой, а затем сумму этих разностей:
7. Критерий знаков (биномиальный тест)-еще один непараметрический метод, позволяющий легко определить, оказала ли независимая переменная существенное влияние по сравнению с исходным уровнем (фоном). Для этого сначала подсчитывают число «ухудшений» (-) или число «улучшений» (+), а затем сравнивают одно из этих двух чисел с тем, что могло бы получиться в результате чистой случайности (1 шанс из 2, или л/2). Для этого применяют формулу
(Х±0.5)~



и обработки <Штых 315
8, Существуют и другие непараметрические тесты, которые приходится использовать для проверки гипотез тогда, когда нельзя применить параметрические критерии, К этим методам, в частности, относится критерий рангов позволяющий определить, случайна или нет очередность событий в той или иной последовательности, а также критерий V и критерии 7\ Последние лва критерия используют в случае порядковых переменных соответственно для независимых и зависимых выборок.
9. Какой бы критерий ни использовался, его вычисленное значение следует сравнить с табличным для уровня значимости 0,05 с учетом числа степеней свободы. Если при этом вычисленный „результат окажется выше, нулевая гипотеза может быть отвергнута и можно, следовательно, утверждать* что разница достоверна,
III. Корреляционный анализ
1. Задача корреляционного анализа заключается в том, чтобы установить возможную связь между двумя показателями, полученными на одной и той же или на двух различных выборках. При этом устанавливается, приводит ли увеличение какого-либо показателя к увеличению или уменьшению другого показателя.
2. Коэффициент корреляции колеблется в пределах от -И, что соответствует полной положительной корреляции, до — 1 в случае полной отрицательной корреляции. Если этот коэффициент равен 0, то никакой корреляции между двумя рядами данных нет.
3. Коэффициент корреляции Браве - Пирсона (г)-э?о параметрический показатель, для вычисления которого сравнивают средние и стандартные отклонения результатов двух измерений При этом используют формулу
г =
4, Коэффициент корреляции рангов Спирмена (г5)-это непараметрический показатель, с помощью которого пытаются выявить связь между рангами соответственных величин в двух рядах измерений.
5. Коэффициент корреляции может быть значимым лишь при достаточном числе пар данных, взятых в анализ. Это можно проверить с помощью таблицы пороговых значений г или rs для уровня значимости 0,05.
Результаты вычислений,
которые предложено было сделать читателям
Различие между данными контрольной и опытной группы после воздействия (критерий / для независимых выборок):
t = 3,11; л — 28; р < 0,05; достоверно.
![]()

."Ш> Пргиожапк' Б
Различие между данными до и после воздействия для опытной группы (критерий г для зависимых выборок):
достоверно.
Сравнение показателей эффективности и времени реакций для опытной группы после воздействия (коэффициент г Браве- Пирсона):
недостоверно.
Сравнение показателей эффективности и времени реакции для контрольной группы после воздействия (коэффициент rs Спирмена):
достоверно.
Дополнение Б,5. Таблицы
| Таблица 2. 3 терпя X2 Л |
начения кри- 0,05 |
|
| 1 |
3,84 |
|
| 2 |
5,99 |
|
| 3 |
7,81 |
|
| 4 |
9,49 |
|
| 5 |
1Ы |
|
| 6 |
12,6 |
|
| 7 |
14,1 |
|
| 8 |
15,5 |
|
| 9 |
16,9 |
|
| 10 |
18,3 |
|
| - Таблица 3* Достоверные |
||
| значения Z |
||
| Р |
Z |
|
| 0,05 |
1,64 |
|
| 0,01 |
2,33 |
|
| Таблица 1. Значения кри- |
||
| терия 1 Стьюдента |
||
| I |
631 |
|
| 2 |
2,92 |
|
| 3 |
2,35 |
|
| 4 |
2,13 |
|
| 5 |
2,02 |
|
| 6 |
1,94 |
|
| 7 |
1*90 |
|
| Ь |
1,86 |
|
| 9 |
1,83 |
|
| 10 |
1,81 |
|
| 11 |
1,80 |
|
| 12 |
1J8 |
|
| 13 |
1,77 |
|
| 14 |
1J6 |
|
| 15 |
1,75 |
|
| 16 |
1,75 |
|
| 17 |
1,74 |
|
| 18 |
1,73 |
|
| 19 |
1,73 |
|
| 20 |
1,73 |
|
| 21 |
1,72 |
|
| 22 |
1,72 |
|
| 23 |
1,71 |
|
| 24 |
1,71 |
|
| 25 |
1,71 |
|
| 26 |
1*71 |
|
| 27 |
1,70 |
|
| 28 |
1,70 |
|
| 29 |
1,70 |
|
| 30 |
1,70 |
|
| 40 |
1,68 |
|
| оо |
1,65 |
|
ii it обработки Оштых
| Таблица 4. |
Достоверные |
||
| (критические) |
значения г |
||
|
|
р = 0,05 |
||
| • |
(5%) |
||
| 3 |
0,88 |
||
| 4 |
0,81 |
||
| 5 |
0,75 |
||
| 6 |
0,71 |
||
| 7 |
0,67 |
||
| 8 |
0,63 |
||
| 9 |
0,60 |
||
| 10 |
0,58 |
||
| 11 |
0,55 |
||
| 12 |
0,53 |
||
| 13 |
0,51 |
||
| 14 |
0,50 |
||
| 15 |
0,48 |
||
| 16 |
0,47 |
||
| 17 |
0,46 |
||
| 18 |
0,44 |
||
| 19 |
0,43 |
||
| 20 |
0,42 |
||
| Таблица 5, Достоверные |
|||
| (критические) : |
значения rs |
||
|
|
р - 0ъ05 |
||
| 2 |
1,000 |
||
| 3 |
0,900 |
||
| ' 4 |
0,829 |
||
| 5 |
0,714 |
||
| 6 |
0,643 |
||
| 7 |
0,600 |
||
| 8 |
0,564 |
||
| 10 |
0,506 |
||
| 12 |
0,456 |
||
| 14 |
0,425 |
||
| 16 |
0,399 |
||
| 18 |
0,377 |
||
| 20 |
0,359 |
||
| 22 |
0,343 |
||
| 24 |
0,329 |
||
| 26 |
0,317 |
||
| 28 |
0,306 |
||
Примечания. J) Для больших выборок или уровня значимости меньше 0,05 следует обратиться к таблицам в пособиях по статистику
2) Таблицы значений других непараметрических критериев можно найти в специальных руководствах (см. библиографию).
Литература
Chatillon G.t 1977. Statistique en Sciences humaines, Trois-Rivieres, Ed, SMG, Gilbert N.T 1978. Statistiques, Montreal, Ed. HRW. Moroney MJ.t 1970. Comprendre la statistique, Verviers, Gerard et Cie, Siegel S*t 1956* Non-parametric Statistic, New York* MacGraw-Hill Book Co'.
Словарь терминов
Абсолютное значение-значение числа, в котором не учитывается его знак; обозначается двумя вертикальными черточками с обеих сторон от числа.
Абстинентный синдром-совокупность символов, возникающих в ре* зультате прекращения употребления наркотика.
Автономная мораль-мораль, правила которой устанавливаются самим человеком и могут быть им же изменены.
Агент-термин, означающий в экспериментах по экстрасенсорике лицо, которое должно передать, сообщить что-то перципиенту.
Агнозия-состояние, при котором мозг не может расшифровать информацию, поступающую от нормально функционирующих рецепторов.
Адреналин-гормон, вырабатываемый мозговым веществом надпочечников; активирующее действие его на организм сравнимо с действием симпатической нервной системы.
Аккомодация-механизм, состоящий в изменении существующей схемы для приспособления ее к новому объекту или ситуации.
Акроним-слово, составленное из первых букв других слов, обозначающих, например, ту или иную организацию, страну или общественный институт.
Акростих -стихот во рение* в котором первые буквы каждой строки* прочитанные по вертикали, составляют имя или ключевое слово.
Актуализировать-перевести из состояния потенциального в состояние реальное.
Алгоритмический метод-процедура, используемая при решении задач и заключающаяся в систематическом рассмотрении всех возможных решений.
Альбинизм - наследственная аномалия, характеризующаяся частичным или полным отсутствием пигментации кожи, волос и радужной оболочки глаза. Альбинизм, по всей видимости, обусловлен отсутствием фермента тирозиназы, участвующего в синтезе пигмента меланина.
Альтернативная гипотеза (Нг)-гипотеза, согласно которой различия между выборками являются значимыми, т.е. отражают соответствующее различие внутри или между популяциями, из которых взяты эти выборки. Обычно альтернативная гипотеза соответствует рабочей гипотезе исследователя. .
Амнезия антероградная-амнезия на события, происходящие после
3!9
момента травмы; при этом мозг утрачивает способность передавать информацию из кратковременной памяти в долговременную.
Амнезии ретроградная - амнезия на события, происшедшие <ао момента травмы.
Лмниотический мешок-оболочка с жидкостью, которая образуется на эмбриональной стадии развития организма и в которую погружен плод.
Амплитуда (ЭЭГ)-максимальное смешение пика волны по отношению к нулевому значению,
Амфетамин - препарат, возбуждающий центральную нервную систему. Получается из амфетиламина.
Аналгетики-вещества, подавляющие болевые ощущения или снижающие чувствительность к боли.
Анальная стадия- стадия психосексуального развития на втором и третьем году жизни, когда доминирует эрогенная зона, представленная. анальной областью и обеспечивающая удовольствие при выведении или задержке фекальных масс.
Аидрогены- мужские половые гормоны, вырабатываемые главным образом в семенниках; самый активный из них-тестостерон-играет важную роль в развитии мужских половых органов. Некоторые андро-генные гормоны вырабатываются также корковым веществом надпочечников, яичниками и даже плацентой.
Анестетики - вещества, используемые для подавления чувствительности к боли,
Антндиуретический гормон- гормон, препятствующий избыточному выведению воды с мочой (называется также вазопрессином).
Апноэ- более или менее продолжительное подавление дыхания.
Апраксин- невозможность совершать целенаправленные движения при нормальном функционировании интеллекта и двигательных и сенсорных систем.
Артефакт - феномен или эффект, привнесенный в эксперимент исследователем.
Архетипы- согласно Юнгу, это простые и фундаментальные образы, существующие в коллективном бессознательном у людей и возникающие на заре человечества.
Архивизация- структурирование и организация информации в долговременной памяти,
Асинхронносгь- характеристика процессов, не совпадающих во времени. Асинхронная активность нервных клеток приводит к возникновению в ЭЭГ волн низкой амплитуды и высокой частоты (быстрые волны).
Ассимиляция-механизм, при котором новый предмет или новая ситуация интегрируется с совокупностью предметов или другой ситуацией, для которой уже существует схема (по Пиаже).
Ассоциативная организация- организация, основанная на группировке элементов по признаку общих особенностей.
Аутизм - свойство ребенка или подростка, развитие которого харак-
320
теризуется резким снижением контактов с окружающими, слабо развитой речью, своеобразной реакцией на изменения в окружающей среде. Аффективный-относящийся к состояниям удовольствия или неудовольствия, связанным с ощущениями, эмоциями, страстями, чувствами, мыслями.
Барбитураты- производные барбитуровой кислоты; используются как седативные или снотворные средства.
Барбмтуромання - род токсикомании, характеризуется потребностью в постоянном приеме барбитуратов. , ' .
Бартолннневы железы-пара небольших желез, расположенных у входа во влагалище; их секрет служит для увлажнения влагалища во время полового акта.
Билатеральная симметрия-точное соответствие между правой и левой половинами тела, каждая из которых является зеркальным отражением другой.
Бинокулярное зрение - одновременное формирование двух изображений одного объекта на сетчатках двух глаз; один из главных механизмов iвосприятия глубины.
Биологические часы - внутренние механизмы регуляции биологических ритмов организма, периодичность которых различна и может варьировать в пределах от нескольких минут до суток или даже года.
Биполярные клетки - нервные клетки, ответственные за передачу сигналов от колбочек и палочек к ганглиозным клеткам сетчатки.
Борозды - углубления, разделяющие извилины и более крупные участки коры большого мозга, Роландова борозда отделяет лобную долю от теменной, а сильвйева борозда-височную от теменной.
Вазопресснн - гормон, выделяемый задней долей гипофиза. Вызывает сужение артерий, повышая тем самым кровяное давление; играет важную роль в обратном всасывании воды в почках.
Варнанся (дисперсия)-показатель разброса (дисперсии) данных, соответствующий среднему квадрату отклонений этих данных от средней арифметической. Вариаяса равна стандартному отклонению, возведенному в квадрат.
Варолнев мост- отдел центральной нервной системы, лежащий выше продолговатого мозга. Он содержит многочисленные центры, ответственные за сложные рефлексы.
Вегетативные функции-функции, относящиеся к непроизвольной физиологической активности организма.
Вербальное задание - задание, требующее участия словесных операций или знаний, приобретенных ранее субъектом. Напротив, невербальное задание основано исключительно на наблюдении, рассуждении и манипуляциях.
Вестибулярные аппарат- часть ушного лабиринта, включающая полукружные каналы и две полости - саккулюс и утрикулюс; ответственна за восприятие положения и движений головы.
Вещество Р- нейромодулятор, который служит в нервной системе главным передатчиком болевых сигналов.
Словарь термин tut .121
Вид- совокупность генетически сходных особей, которые способны скрещиваться между собой и давать при этом плодовитое потомство.
Викарное научение- см. Научение викарное*
Вкусовые сосочкн - структуры, рассеянные по поверхности языка и содержащие вкусовые почки.
Вкусовые почки - ансамбли из двух или большего числа рецепторных клеток в стенке небольших ямок, окружающих сосочки. С этими клетками контактируют молекулы веществ, растворенных в слюне, которые возбуждают эти клетки и вызывают нервные импульсы, направляющиеся в мозг.
Влечение - инстинктивное желание, которое побуждает индивидуума действовать так, чтобы это желание удовлетворить.
Внутренняя мотивация- мотивация, которая побуждает индивидуума к действию с целью улучшить его состояние уверенности и независимости, в отличие от внешней по отношению к нему цели (вознаграждение, избежание наказания и т, п.).
Возбуждающее средство-наркотик или лекарство, прием которого возбуждает, увеличивает энергию и активность человека.
Волны - периодические колебания воздуха (звуковые волны) или электромагнитного поля (электромагнитные волны).
Восприятие подпороговое (бессознательное)- феномен, когда информация преодолевает физиологический порог, но не достигает порога осознанного восприятия; при этом она тем не менее способна вызывать ответы организма.
Воспроизведение- процесс извлечения информации, хранящейся в долговременной памяти; чаще всего требует вспоминания той структурной организации, которая сформировалась при запоминании.
Восстановление (рефлекса), растормаживание- частичное или полное восстановление условного рефлекса после его угасания-либо после временного перерыва (спонтанное восстановление), либо в результате того, что безусловный, стимул или подкрепляющий агент снова начинает предъявляться.
Врожденные признака-те, которыми индивидуум обладает при рождении и которые могут наследоваться или формироваться во время пренатальной жизни.
Вспоминание- процесс извлечения информации из памяти.
Выборка- группа испытуемых, представляющих определенную популяцию и отобранных для эксперимента или исследования.
Галлюцинации- восприятия, переживаемые при отсутствии какой-либо внешней стимуляции; являются продуктом внутреннего мира.
Галлюциногены- синтетические или природные вещества, способные вызывать галлюцинации. Близки к нейромедиаторам, которые они могут заменять или нарушать их функционирование.
Гамета- половая клетка, которая обладает лишь половиной набора хромосом, присутствующего во всех других клетках организма. Слияние гаметы одного пола с гаметой противоположного пола приводит к образованию зиготы - исходной клетки нового организма.
2N443
322 C.i*tH(ij,*h
Ганглнозные клетки- нервные клетки сетчатки, получающие нервные сигналы от колбочек и палочек чере биполярные клетки и передающие их в головной мозг по зрительному нерву, образованному их аксонами.
Ген- дискретная структурная единица, локализованная в хромосоме и отвечающая за передачу наследственных признаков. Число генов у разных видов колеблется от 50 до 100000.
Ген доминантный - так называют геи, присутствие которого обеспечивает проявление определяемого им признака независимо от того, является ли другой ген той же пары доминантным или рецессивным.
Ген рецессивный - так называют ген» способный обеспечить проявление определяемого им признака только в том случае, если он не находится в паре с соответствующим доминантным геном.
Генерализация-процесс, в результате которого субъект начинает воспроизводить поведенческую реакцию в ответ на все раздражители или ситуации, сходные с безусловным раздражителем или с ситуацией, в которой производилось подкрепление.
Генеративность-интерес к следующему поколению и его воспитанию, проявляющийся в продуктивности и созвдательности в различных сферах жизни у человека, достигшего 40 лет и положительно переживающего свойственный этому возрасту кризис.
Генетика - раздел биологии, изучающий законы наследования признаков (не путать с генетической психологией, которая изучает развитие человеческого поведения от момента рождения до смерти).
Геннтальная стадия- стадия психосексуального развития, соответствующая* половой зрелости* которая наступает в отрочестве.
Героин-одно из производных морфина, белый кристаллический порошок. Название «героин» было дано в надежде, что это вещество будет менее опасно, чем морфин, но оно оказалось еще более токсичным.
Гетерогенность (выборки)-свойство выборки, данные которой в значительной степени разбросаны на шкале распределения, что проявляется большим стандартным отклонением н свидетельствует о том, что данные сильно отличаются друг от друга.
Гетерономная мораль- мораль, правила которой вырабатываются другими людьми и которую данный индивидуум считает «священными» и обязательными.
Гетеросексуальная ориентация- влечение к людям другого пола.
Гнпергликемня и гипогликемия. Содержание сахара в крови в норме составляет около 1 г глюкозы на 1 литр. Для некоторых заболеваний характерно пониженное (гипогликемия) или повышенное (гипергликемия) содержание сахара в крови; гипергликемия может быть обусловлена недостаточной выработкой инсулина (например, при сахарном диабете).
Гиперемия- прилив крови к тому или иному участку тела.
Гипноз- техника воздействия на индивидуума путем фокализации его внимания с целью сузить поле сознания и подчинить его контролю внешнего агента (гипнотизера), внушения которого он будет выполнять.
С.тварь терминов 323
Гипоталамус - структура промежуточного мозга, расположенная под таламусом. Гипоталамус содержит дюжину пар ядер, служащих важными центрами вегетативных функций. Помимо этого он тесно связан с гипофизом, активность которого регулирует.
Гипотеза- предположение, которое выдвигается как временное на основе имеющихся наблюдений и уточняемое в последующем эксперименте.
Гишюкамл - структура, расположенная в глубинных слоях височной доли мозга; на разрезе напоминает морского конька. Гиппокамп принадлежит к лимбической системе (см. приложение А) и, очевидно, играет важную роль в запоминании и воспроизведении информации.
Гистограмма - один из способов графического представления количественных данных. Столбики (прямоугольники) гистограммы примыкают друг к другу и соответствуют частоте каждого класса данных.
Гладкая мускулатура- совокупность мышечных клеток, находящихся в стенках большинства внутренних органов (желудка, кишечника, мочевого пузыря, мочеточника, кровеносных сосудов и др.). Гладкая мускулатура обусловливает сокращение этих органов и регулирует диаметр просвета кровеносных сосудов. Удлиненные гладкомьАиечные клетки образуют тонкий слой, способный к медленным сокращениям без развития утомления.
Глиальные клетки - вспомогательные клетки нервной ткани, обеспе-чивающие по-видимому, питание нервных клеток.
Глюкагон - гормон, вырабатываемый островками Лангерганса поджелудочной железы и являющийся антагонистом инсулина. Глюкагон вызывает распад накопленного в печени гликогена и превращение его в глюкозу, которая переходит в кровь.
Годовые ритмы-биологические ритмы с периодичностью, близкой
к одному году.
Головной мозг-часть нервной системы, заключенная в черепную коробку и состоящая из большого мозга, мозжечка, варолиева моста и продолговатого мозга.
Голография - фотопроцедура, позволяющая формировать трехмерные изображения. Фотопластинка, полученная таким способом, в каждом своем участке содержит информацию обо всем изображении.
Гомеостаз - поддержание постоянства различных физиологических
параметров организма.
Гомеостат-устройство, поддерживающее какую-либо величину на заданном уровне.
Гомогенность (выборки)-свойство выборки, данные которой сосредоточены вокруг средней арифметической или медианы, что проявляется небольшим стандартным отклонением и свидетельствует о том, что данные мало отличаются друг от друга.
Гомосексуальная ориентация-влечение к лицам того же пола.
Дальтонизм (по имени английского врача Дальтона)-наследственная аномалия цветового зрения, неспособность воспринимать красный и зеленый цвета.
21*
324 Словарь терминов
Дауна болезнь-врожденная аномалия, обусловленная наличием добавочной, третьей хромосомы 21 (отсюда ее другое название-трисомия 21). Такие больные отличаются монголоидным типом черт лица и легкой дебильностью.
Двойной слепой метод-такой метод проведения эксперимента, когда ни испытуемый, ни экспериментатор не знает о введении независимой переменной до конца опыта.
Двуяйцовые близнецы - близнецы, развивающиеся из двух разных яйцеклеток в результате одновременного оплодотворения их двумя разными сперматозоидами. Они могут быть одинакового или разного пола и обнаруживать такие же различия, как и обычные братья и сестры,
Дебнлыгость- легкая степень умственной отсталости, встречающаяся примерно у 2% населения; характеризуется затрудненной интеллектуальной деятельностью, но хорошей социальной адаптацией.
Декортикация-удаление коры головного мозга.
Демократизация - внедрение демократии в ту или иную систему, приводящее к открытости этой системы для всех социальных слоев.
Дервиш-турнеры - мусульманские проповедники (персы и сирийцы), принадлежащие к братству, в котором пение псалмов и ритмические танцы вызывают изменение активного, экстравертированного сознания, в результате чего наступает измененное состояние сознания.
Детерминизм - концепция, согласно которой действия людей детерминированы наследственностью и предшествующими событиями.
Децибел-десятая доля бела, единицы мощности звука.
Диапазон распределения (размах вариаций) - разность между самым большим и самым малым значением в данном распределении.
Днфферснцировка-процесс, в результате которого индивидуум перестает реагировать на те варианты стимула, после которых не предъявляются безусловные раздражители или подкрепляющие агенты, и воспроизводит поведенческие реакции лишь на те раздражители, которые продолжают подкрепляться.
ДНК-дезоксирибонуклеиновая кислота; она содержится в клеточном ядре, и из нее состоят гены.
" Догма -элемент какой-либо доктрины или религии, который считают абсолютной истиной, не подлежащей сомнению. 1 Долговременная память см. Память долговременная.
Древний мозг (рептильный мозг)-группа нервных структур, образующая «нижний этаж» большого мозга человека и, согласно Мак-Лину, соответствующая первому этапу развития головного мозга в филогенезе вплоть до рептилий.
Дуализм-концепция, утверждающая сосуществование двух каких-либо начал.
Евгеника-направление, основанное Гальтоном и ставившее своей целью улучшение человеческого рода путем создания препятствий для воспроизведения «неприспособленных» и, напротив, благоприятных условий для воспроизведения наиболее одаренных.
Естественный отбор-дарвиновская концепция, согласно которой осо-
терминов 325
би, наименее приспособленные для выживания в данных условиях, устраняются, уступая место более сильным и способным более успешно передавать свои признаки потомству.
Зависимая переменная-величина, изменения которой зависят от воздействия независимой переменной.
Зависимость от лекарственных препаратов или наркотиков. Она может быть физиологической, если сам организм нуждается в данном веществе для нормального функционирования, или психологической, если эта потребность имеет аффективную природу.
Зависимые выборки-выборки, состоящие из результатов одних и тех же испытуемых после двух или нескольких различных воздействий.
Зазен-японская техника медитации, преподаваемая мастерами Zen, Она состоит в том, чтобы отвлекаться от предметов, пассивно концентрируя свое внимание на них. Иначе говоря, на них надо смотреть, но не видеть.
Зигота-оплодотворенное яйцо, продукт слияния яйцеклетки и сперматозоида.
Зоопсихология-ветвь психологии (близкая к этологии)* изучающая поведение животных главным образом в лабораторных условиях.
Зрелость-состояние, к которому приходит организм в конце периода развития.
Зрительный перекрест (хиазма)-место у основания мозга, где перекрещивается половина волокон зрительных нервов, а именно волокна, идущие от внутренней половины сетчатки каждого глаза. Благодаря этому в затылочную область каждого полушария мозга проецируется вся информация из контралатеральной (противоположной) половины всего тюля зрения.
Идиот - индивидуум с резко нарушенным мышлением, неспособный обучаться речи и быть независимым в социальном плане.
Извращения - патологические отклонения в области влечений или поведения*
Измененные состояния сознания - любые состояния сознания» отличающиеся от состояния экствертированного, активного сознания. Они характеризуются отсутствием контроля и потерей контакта с существующей реальностью, а также измененным восприятием времени и пространства.
Изменчивость. Согласно Дарвину, это небольшие модификации, которые появляются у многих особей и передаются потомству в животных или растительных популяциях. Эти изменения могут давать преимущества обладающим ими особям. (Дарвин не знал о явлении генетических мутаций.)
Иллюзии - ошибки восприятия, связанные с неверной интерпретацией сенсорных сигналов от объектов окружающего мира.
Имплантация-закрепление оплодотворенного яйца в стенке матки.
Индексы разброса-величины, характеризующие разброс данных, ъ е. их рассеяние по шкале распределения. Чаще всего используют такие индексы разброса, как варианса и стандартное отклонение.
326
Индивндуацин процесс самореализации, в результате которого личность стремится обрести индивидуальность в том, что у нее «самое интимное, уникальное и непреходящее».
' Индифферентный (нейтральный) раздражитель-стимул, не вызывающий никакой специфической реакции, пока он не связался с безусловным стимулом, запускающим определенную реакцию,
Индуктивная статистика-раздел статистики, рассматривающий индукцию, т. е. распространение на большие группы объектов (например* популяции) выводов, сделанных при изучении меньших групп (выборок).
Шщукция- обобщение результата или наблюдения, полученного для единичного или особого случая. При индукции идут от факта к закону.
Инкапсулированное окончание-нервное окончание, заключенное в небольшую капсулу и чувствительное к давлению.
Инсайт-новое решение проблемы, проявляющееся внезапно после того, как субт>ект интегрирует информацию, имеющуюся в памяти и поступающую из окружающей среды.
Инстинкт-врожденная форма поведения, присущая всем особям данного вида (одного или обоих полов).
Инстинктивное повеление - врожденное поведение, присущее данному виду, возникающее без предварительного обучения в определенных условиях окружающей среды. Этологи считают такое поведение филогенетической адаптацией: в ходе эволюции вида отбирались и закреплялись именно такие формы поведения, которые постоянно возникали в данных условиях и способствовали выживанию.
Инсулин - гормон, вырабатываемый особыми участками поджелудочной железы-островками Лангерганса. Под влиянием инсулина происходит накопление сахара в печени в виде гликогена, что приводит к уменьшению его уровня в крови.
Интеллект-способность человека к пониманию и приспособлению к Новым ситуациям. " .
Интеллект А и интеллект В (по Хеббу}: А - потенциальный интеллект, состоящий из всех врожденных возможностей индивидуума; В-интеллект, включающий все способности индивидуума и развивающийся в результате взаимодействия с окружающей средой,
.Интеллект абстрактный-интеллект, в деятельности которого участвуют познавательные навыки, необходимые для суждения и для оперирования понятиями.
Интеллект конкретный - практический интеллект, ответственный за решение повседневных проблем с помощью знаний и навыков, хранящихся в памяти.
Интеллект пластичный (по Кэттеллу)-врожденный интеллект, лежащий в основе нашей способности мыслить, рассуждать и абстрагироваться; к 20 годам он достигает своего максимального развития, а затем постепенно ухудшается.
Интеллект сформированный (по Кэттеллу) - интеллект, развивающийся на основе пластичного интеллекта, научения и опыта; он продолжает формироваться всю жизнь.
Интеркорнзованное-то, что не реализуется, а лишь существует в мыслях.
Интерференция-отрицательное влияние определенных событий на запоминание или сохранение того или иного материала. Проакттная интерференция связана с событиями, происшедшими до запоминания, а ретроактивная-с происходящими непосредственно после запоминания. " "
Интроверт-индивидуум, обращенный чаще всего к своему внутреннему миру, избегающий контактов с другими людьми,
Интроверткрованный - тип человека, замкнутого в себе и сосредоточившего интересы на своей внутренней жизни и на абстрактных и теоретических вопросах.
Интроспекция-наблюдение за своей собственной психической активностью, самонаблюдение.
Информационная перегрузка-ситуация, в которой оказывается мозг, когда он вынужден сравнивать большое количество очень важной информации и уже не в состоянии ее обрабатывать.
Искусственный интеллект - область науки, задача которой-повышать способность компьютеров выполнять такие задачи, которые, если бы их решал человек, считались бы «интеллектуальными». Для этого исследователи исходят из психологических закономерностей, позволяющих понять природу человеческого мышления.
Йога - индийская техника медитации, которая состоит в полном отключении от внешней реальности путем концентрации внимания на одном объекте или одной мысли, В результате этого йоги могут осуществлять полный контроль над многими функциями своего организма.
Карта-мишень (в исследованиях по парапсихологии) - выбранная случайно картина, на которой агент концентрирует свое внимание, чтобы «передать» ее содержание реципиенту.
Картезианец-тот* кто согласен с Декартом, разделяет его взгляды и теорию, последовательный дуалист.
Каталепсия-постоянное желание уснуть, сопровождающееся общим снижением мышечного тонуса,
Кататоння- состояние, характерное для некоторых форм шизофрении; проявляется в неподвижности всего тела в сочетании с «кипучей» активностью мозга.
Квант-«порция» энергии электромагнитного излучения. Квантами света являются фотоны.
Кибернетика-наука, изучающая механизмы управления и передачи информации у живых существ и в машинах,
Кинэстетнческая чувствительность -ощущения, возникающие при движениях различных частей тела*
Класс (в статистике)-совокупность данных» имеющих сходные количественные значения, качество или характеристику. Распределение по классам осуществляется по принципу одинаковых межклассовых интервалов.
С.итарь ыермишт
Клаустрофобия - боязнь тесных замкнутых пространств; страх оказаться запертым.
Когнитивная карта-представление в памяти различных элементов какой-либо конкретной ситуации и связей между ними (в частности, пространственных отношений).
Когнитивный - имеющий отношение к познанию, мышлению.
Кодеин-вещество, которое, так же как и морфин, добывают из мака, но оно действует слабее морфина.
Кокаин-возбуждающее вещество, которое действует при жевании листьев коки индейцами Южной Америки. Для экспорта в другие страны его выделяют в виде порошка белого цвета.
Кола - возбуждающий наркотик, получаемый из орехов африканского дерева кола.
Колбочки - фоточувствительные клетки, находящиеся главным образом в середине сетчатки, особенно в центральной ямке. Существует три типа колбочек, каждому из которых присущ особый фотопигмент, определяющий чувствительность колбочки к коротким, средним или длинным световым волнам.
Колоколообразнаа кривая-кривая, характеризующая распределение большинства количественных данных или результатов. Такую кривую для уровней интеллекта можно получить, исследуя распределение результатов интеллектуального тестирования большой группы лиц. Из подобных кривых видно, что результаты большинства исследуемых группируются вокруг среднего уровня, а по мере удаления в ту или иную сторону от этого уровня число их становится все меньше. Именно это и обусловливает характерную колоколообразную форму кривой.
Кома-бессознательное состояние с потерей чувствительности и подвижности, возникающее в результате травмы или приема некоторых лекарственных или наркотических веществ,
Комиссура (спайка)-группа нервных волокон, связывающая между собой две симметричные части мозга (например, серая спайка соединяет две группы ядер, образующих таламус).
Компетентность лингвистическая-скрытая (имплицитная) подсознательная способность формулировать неограниченное число фраз на том или ином языке. .
Комплекс-совокупность черт личности, приобретаемых в детстве и на протяжении большей части бессознательного периода жизни, обладающая значительной аффективной силой и заставляющая человека обнаруживать по отношению к другим людям стереотипное поведение.
Комплекс неполноценности - уверенность человека в своей неспособности решать жизненные проблемы, которая тормозит и парализует его действия.
Комплекс превосходства-комплекс, развивающийся в результате сверхкомпенсации у человека, который страдает комплексом неполноценности и, не будучи в состоянии реалистически противостоять жизненным невзгодам, производит впечатление тщеславного и высокомерного
субъекта с преувеличенным мнением о своих истинных возможностях.
терлиfiioh 329
Комплекс Электры - нежная привязанность девочки к своему отцу в сочетании с антагонистическим отношением к матери,
Кондуктивная глухота-глухота, обусловленная нарушением функций слуховых косточек среднего уха вследствие, например, инфекции или старения организма. Этот дефект можно исправить с помощью хирургического вмешательства.
Контролируемая переменная-величина, поддерживаемая на постоянном уровне на протяжении всего эксперимента.
Контрольная группа - группа испытуемых, которых не подвергают никаким экспериментальным воздействиям, так как она служит для сравнения во время эксперимента.
Конформизм-тактика человека, приспосабливающего свой уклад жизни, мысли и чувства к укладу жизни, мыслям и чувствам той социальной группы, в которой он оказывается.
Копуляция (совокупление)-спаривание самца и самки.
Корзннчатое окончание - нервное окончание, оплетающее корень волоса и чувствительное к его движению или соприкосновению с чем-либо.
Корреляция-связь между двумя переменными. Эта связь может быть полной (при этом, зная значение одной переменной, можно точно предсказать значение второй), неполной (при этом между двумя переменными существует лишь более или менее систематическая связь) или нулевой, если две переменные никак не связаны друг с другом. Корреляция может быть положительной, когда обе переменные изменяются в одном направлении, или отрицательной, если эти изменения противоположны.
Кортикошш (кортикостероиды)"Группа гормонов, вырабатываемых корковым слоем надпочечников, и их химические производные.
Кортнкостерон-один из гормонов, вырабатываемых корковым слоем надпочечников-эндокринных желез* расположенных на верхних полюсах почек; играет важную роль в обмене углеводов.
Космические лучи-излучение, содержащее, с одной стороны, высокоэнергетические частицы внеземной природы, а с другой -частицы* возникшие при взаимодействии первых с атмосферой Земли.
Косточки среднего уха - молоточек, наковальня и стремечко. Это три небольшие соединенные друг с другом косточки, ответственные за проведение звуковой волны и ее усиление на пути от барабанной перепонки к овальному окну внутреннего уха.
Кофеин - вещество растительной природы, содержащееся в кофе, чае и орехах кола.
Коэффициент интеллектуальности (IQ)-отношение умственного возраста к хронологическому (в месяцах), умноженное на 100* По определению, нормальный (средний) IQ равен 100 баллам, поскольку в этом случае умственный возраст соответствует хронологическому*
Коэффициент корреляции-величина, принимающая значение от — 1 до +1 и характеризующая степень корреляции между двумя переменными, Для количестве иных данных используют коэффициент корреляции г, а для качественных-.
3 3ft С". юварь пи 'р •• * ttn on
Кратковременная память см, Память кратковременная.
Кретинизм - вид умственной отсталости, сочетающейся с задержкой физического развития; обусловлен недоразвитием щитовидной железы из-за недостатка иода в рационе матери.
Кривая нормального распределения-ко л околообразная кривая, обладающая симметрией относительно средней и характерная для популяции, подчиняющейся закону нормального распределения.
Кровосмешение-сексуальная связь между близкими родственниками.
Ксенофобии-неприязненность при встрече со всем чужим, необычным, незнакомым.
Культура-совокупность форм приобретенного поведения, характерных для определенного общества и передающихся из поколения в поколение.
Лабиринт-орган, расположенный во внутреннем ухе, который включает улитку (орган слуха) и вестибулярный аппарат (орган равновесия).
Латентное научение см. Научение латентное.
Латентный-скрытый, до поры не проявляющийся.
Лнбцдо- сексуальная энергия, которая, согласно теории 3. Фрейда, присутствует с самого рождения и Лежит в основе развития личности,
Лнмбнческая система - группа структур промежуточного и переднего мозга, образующих кольцо в центральной части головного мозга (на краю внутренней поверхности полушарий); регулирует аффективное поведение.
Мантра-слово или звук, полученные входящим в состояние трансцендентальной медитации от своего учителя* мастера медитации. Это слово он должен неустанно повторять, чтобы оторваться от внешней реальности и расширить поле сознания.
Мастурбация-действия, вызывающие сексуальное удовольствие путем манипуляций с половыми органами.
Медитация - техника, позволяющая изменить состояние сознания, замедлить мозговую деятельность путем концентрации внимания на каком-либо объекте или мысли. Это вызывает расслабление организма и может привести к появлению мистических образов.
Медиана-одна из количественных характеристик центральной тенденции.
Межклассовый интервал (в* статистике)-интервал, ограниченный с одной стороны наименьшим, а с другой-наибольшим значением тех данных, которые принадлежат к одному классу.
Мезоморфный тип - морфологический тип» свойственный крупным, мускулистым и довольно сильным людям с преимущественным развитием тканей мезодермального происхождения; этот тип соответствует энергичному и активному темпераменту. (Мезодерма-листок развивающегося зародыша, расположенный между эктодермой и энтодермой и дающий начало главным образом скелету, мышцам и крови.)
Менопауза - конец репродуктивного периода у женщины; прекращение менструаций; сопровождается рядом физиологических изменений.
Менструация-периодическое выделение крови из матки у неберемен-
Смтцрь терминов 331
ной женщины, связанное с отторжением эндометрия (внутренняя выстилка матки), который в случае оплодотворения яйца должен был бы служить местом его имплантации.
Мнелин-жироподобное беловатое изолирующее вещество, образующее оболочку вокруг большинства нервных волокон (волокна вегетативной нервной системы такой оболочки лишены). Миелиновым оболочкам обязано своим цветом белое вещество спинного и головного мозга, состоящее из нервных волокон.
Мнелнннзацня - процесс, в результате которого некоторые волокна нервной системы оказываются окруженными оболочкой из жирового вещества (миелина).
Митохондрии-мелкие гранулы величиной около 1 мкм (0,001 мм) в цитоплазме клеток. В. нейронах митохондрии имеются, в частности, в окончаниях аксонов, где они вырабатывают энергию, необходимую для передачи нервных сигналов с одного нейрона на другой,
Мнемотехинческне (мнемонические) приемы-способы формирования умственных ассоциаций, способствующих процессам запоминания и воспроизведения.
Мода-мера центральной тенденции, соответствующая значению, встречающемуся в распределении чаще других, или классу с самой высокой частотой.
Модель - человек или персонаж, поведению которого подражает субъект-либо «слепо» (подражание), либо в зависимости от тех последствий, к которым это поведение приводит для модели (викарное научение).
Мозжечок - задняя часть мозгового ствола, разделенная вертикальной бороздой на два полушария. Мозжечок связан с большим мозгом и спинным мозгом многочисленными пучками нервных волокон, которые позволяют ему координировать активность мускулатуры и обеспечивать равновесие за счет коррекции нервных сигналов из моторных центров.
Мозолистое тело-толстый пучок поперечных нервных волокон, соединяющих у высших животных два мозговых полушария. Мозолистое тело обеспечивает целостность работы коры головного мозга.
Монист-тот, кто полагает, что мысли и тело имеют одно и то же существование; мысль-это результат активности нервной системы.
Морфема-элементарная осмысленная единица языка (в слове «ходил» морфемами являются «ход-» и «-ил>>)>
Морфин-один из алкалоидов опия, обладающий снотворным и успокаивающим действием.
Моторное волокно типа альфа (а)-двигательное нервное волокно, иннервирующее определенное число мышечных волокон и вызывающее их сокращение. ц-Мотонейроны и иннервируемые ими мышечные волокна образуют двигательные единицы, число которых зависит от размеров мышцы и тонкости выполняемой ею работы-
Мутация-наследственное изменение организма, обусловленное изменением отдельного гена, хромосомы или всего набора хромосом.
332 CtvHtfph mvp
Мышечное веретено-рецепторный орган, состоящий из дидоизме-ненных мышечных волокон и реагирующий на изменения длины и напряжения мышцы.
Мышечное волокно-нитевидная структурная единица мускулатуры. Волокна поперечнополосатой мышцы исчерчены поперечными полосками, определяемыми структурой миофибрилл-сократимых элементов мышечного волокна. Мышечные волокна иннервируются моторными нервными волокнами типа альфа (а).
Мышечный тонус-существующее почти все время слабое напряжение мышц, препятствующее полному расслаблению тела и помогающее поддержанию определенной позы.
Мышление, Мышление конвергентного типа направлено на поиск единственного лучшего решения проблемы; мышление дивергентного типа направлено на поиск большого числа возможных решений проблемы. Творческое мышление характеризуется оригинальностью и изобретательностью решений.
Мышца-антагонист- мышца, действие которой противоположно действию какой-то другой мышцы.
Мышцькинергнсты- мышцы, действующие в одном и том же направлении (как, например, сгибатели одного и того же сустава и т. п.).
Наказание - предъявление нежелательного или устранение желательного стимула в ответ на поведенческую реакцию, которую требуется подавить; подобные раздражители приводят к снижению вероятности воспроизведения поведенческих реакций. В качестве факторов наказания может быть удар электрическим током, шлепок, лишение десерта и т. п.
Нарколепсия-заболевание, при котором в любое время дня, независимо от состояния активности у больного может возникнуть непреодолимое желание заснуть.
Наркотик-снадобье или лекарство, вызывающее дремоту, сонливость, эмоциональную тупость, снижение чувствительности.
Наркотики «тяжелые»-наркотики, вызывающие очень быстрое привыкание и физическую зависимость, что может привести к опасным передозировкам.
Нарцнссическнй- проявляющий внимание исключительно к собственной персоне.
Научение-процесс, при котором в результате практики или опыта происходит относительно стойкое и иногда довольно значительное изменение поведения.
Научение викарное - воспроизведение действий модели в определенных условиях и в зависимости от тех последствий, которые эти действия имеют для модели. Вероятность воспроизведения таких действий (даже агрессивных) возрастает, если модель получает вознаграждение.
Научение латентное-научение, которое осуществляется без какого-либо явного вознаграждения и проявляется в виде той или иной поведенческой реакции лишь тогда* когда этого потребует конкретная ситуация.
Научение методом проб ш ошибок - научение, при котором из раз лич-
шерм strum 333
ных случайных действий постепенно отбираются те, которое приводят к желательному результату.
Научение психомоторное-научение, при котором формируются автоматизированные навыки, для которых необходим высокий уровень координации и интеграции последовательных двигательных реакций.
Независимая переменная - величина, управляемая экспериментатором, действие которой подлежит изучению.
Независимые выборки-выборки, включающие различные элементы одной популяции (например, опытная и контрольная группы) либо дзух или нескольких популяций.
Нейродепрессор - наркотик или лекарственное вещество, угнетающее деятельность некоторых участков мозга, что приводит к ослаблению или дезорганизации соответствующих функций.
Нейромедиатор- химическое вещество, передающее нервные сигналы в синапсах. Оно накапливается в пузырьках пресинаптического окончания и высвобождается в синаптическую щель, где связывается рецептор-ными участками постсинаптической мембраны,
Нейромодулятор- химическое вещество типа пептида (с короткой цепочкой аминокислот), способное модифицировать, ослаблять или усиливать эффекты нейромедиаторов.
Нейрон (нервная клетка)-клетка, выполняющая функцию передачи нервных сигналов. Нейрон состоит из тела клетки и отростков двух типов: дендритов, которые принимают нервные сигналы и проводят их к телу, и аксона, проводящего нервные импульсы к другим нейронам или иным клеткам.
Нерв-пучок нервных волокон, проводящих нервные импульсы от рецепторов в ЦНС или из ЦНС к эффекторам. Миелиновые оболочки нервных волокон придают нерву беловатый цвет.
Нервный импульс - потенциал действия, пробегающий по нервному волокну в результате изменений ионной проводимости его мембраны под влиянием стимуляции. Нервный импульс соответствует деполяризации и последующей реполяризации мембраны вследствие перехода через нее ионов натрия (Na+), хлора (С1~) и калия (К + ),
Нирвана-для буддистов это состояние высшей безмятежности, спокойствия, слияния души со Вселенной,
Норадреналин - близкий к адреналину гормон, выделяемый мЬзго-вым веществом надпочечников; норадреналин играет также роль нейро-медиатора.
Нормальное распределение см+ Колоколообразная кривая.
Нулевая гипотеза-гипотеза, согласно которой различия между выборками обусловлены только случайностью и не отражают действительных различий между популяциями, из которых взяты эти выборки. Обычно нулевая гипотеза выдвигается с целью ее опровержения в пользу альтернативной гипотезы.
Образы мысленные-внутренние представления, сопутствующие процессам вспоминания и воображения.
Обряд-церемония или религиозная процедура, имеющая священный
Словарь терлшпое
или символический характер; присуща культам или определенным культурам.
Общин адаптационный синдром-реакция организма на стресс, которая, согласно теории Селье, подразделяется на три фазы.
Объективный-существующий сам по себе независимо от любых интерпретаций наблюдателя.
Овальное окно - отверстие в стенке внутреннего уха, благодаря которому звуковые волны, прошедшие по слуховым косточкам, передаются жидкости, заполняющей улитку.
Однояйцовые близнецы - близнецы, развивающиеся из одной оплодотворенной яйцеклетки и, следовательно, имеющие одинаковый генетический потенциал; кроме того, в ходе их развития они в большинстве случаев проходят и через одинаковые ситуации, Синонимы: монозиготные близнецы, истинные близнецы.
Оккультные науки. Представители этих «наук» используют засекреченную теорию и практику лечения, привлекая силы, неизвестные науке, и делая акцент на существовании «реальностей, не воспринимаемых нашими органами чувств».
Окснтоцин-гормон, выделяемый задней долей гипофиза, который вызывает сокращения матки в течение нескольких недель до и после беременности. Его иногда используют для искусственной стимуляции родов.
Онирнческий - относящийся к сновидениям.
Онтогенез-развитие особи от момента оплодотворения яйцеклетки до смерти.
Операциональный-позволяющий осуществить объективный анализ или измерение.
Операция-иитериоризованное действие, имеющее обратимый характер и способное координироваться с другими операциями в структуру ансамбля.
Опий - вещество, содержащееся в густом соке, получаемом при насечке головок еще не созревшего мака. Используется как одурманивающее средство. ;
Описательная статистика-совокупность методов (таблицы, графики, измерения показателей), позволяющих охарактеризовать выборки данных. "
Оптимальный уровень активации-уровень активации организма, позволяющий ему действовать самым эффективным образом. Он меняется в зависимости от личности, времени, ситуации и душевного состояния.
Оральная стадия - первая стадия психосексуального развития, на которой доминирует эрогенная зона, представленная губами и ртом и обеспечивающая удовольствие во время сосания.
Осморецепторы-клетки, чувствительные к осмотическому состоянию жидкостей организма. Расположены в гипоталамусе; влияют на выделение гормона, регулирующего обратное всасывание воды в почечных канальцах.
Палочки - фоточувствительные клетки, особенно многочисленные на
Словарь термин**** ♦ 335
периферии сетчатки и полностью отсутствующие в области центральной ямки. Палочки участвуют главным образом в сумеречном и ночном зрении, а также в восприятии движения. К цвету они нечувствительны и поэтому воспринимают только интенсивность света-от белого до черного через всю гамму серых тонов. Специфический фотопигмент палочек-родопсин, в синтезе которого участвует витамин А.
Память генетическая-совокупность информации, заложенной в генах индивидуума; эта информация передается с самых ранних этапов развития жизни на Земле и изменяется в процессе эволюции видов.
Память долговременная-память, в которую откладывается информация после ее анализа и организации. Такая информация хранится очень долго.
Память индивидуальна»-совокупность информации, приобретавшейся индивидуумом в результате опыта и научения на протяжении всей жизни.
Память кратковременная-память, длящаяся короткое время и позволяющая задержать внимание на той или иной информации, пока мозг решает вопрос о том, надо ли ее фиксировать на длительный срок или нет.
Память семантическая-память, в которой содержится информация об общем познании объективных закономерностей, а также о структурах и правилах, лежащих в основе различных умственных операций.
Память сенсорная (непосредственная)-кратковременное (менее одной секунды) сохранение информации на уровне рецепторов после прекращения действия раздражителя. ;
Парадоксальный сон см. Сои парадоксальный.
Параметр-измеряемый показатель, в определенном отношении характеризующий некоторую совокупность количественных данных (например, средняя арифметическая, медиана или стандартное отклонение).
Параноидное поведение - поведение, для которого характерны навязчивые идеи - не доверие, ожидание опасности (от окружающих), мания величия,-лишенные объективных оснований. Базируется на нарушенном мышлении и ошибках суждения.
Парапсихолог-психолог, изучающий психические феномены, кото* рые кажутся необъяснимыми с точки зрения традиционной науки.
Паттерн - «узор> структура форма, пространственное илр временное распределение стимулов, процессов и т.п.
Пептид полимер, стоящий из небольшого числа аминокислот, соединенных пептидными связями,
Первичные влечения-состояния, связанные со стремлением к удовлетворению основных физиологических потребностей (голод, жажда, потребность в кислороде, в устранении боли и т. п.).
Передний мозг - передняя часть большого мозга, состоящая из двух полушарий. Она включает серое вещество коры большого мозга, подкорковые ядра, а также нервные волокна, образующие белое вещество.
Переменная зависимая-характеристика, изменения которой зависят от воздействия независимой переменной.
>
С. it шарь
Переменная контролируемая-величина, поддерживаемая на постоянном уровне экспериментатором в течение всего эксперимента.
Переменная независимая-величина, управляемая экспериментато-ром> с помощью которой хотят получить эффект.
Переменная промежуточная-характеристика субъекта, которая не может быть проконтролирована экспериментатором.
Перенос-влияние результатов предшествующего научения на текущее научение. При положительном переносе предшествующее научение облегчает процесс нового научения, а при отрицательном-затрудняет.
Перехваты Ранвье - расположенные с регулярными промежутками разрывы в миелиновой оболочке, которые позволяют нервному импульсу «перескакивать» с одного участка на другой, что значительно увеличивает скорость проведения импульса.
Перманентность объекта-представление, которое вырабатывается у ребенка, осознающего, что скрытый от него предмет продолжает оставаться на месте, хотя он и изчез из его поля зрения.
Перципиент-термин, используемый в экстрасенсорике для обозначения лица, которое должно «воспринять» то, что ему должен «передать» агент.
Перцептивная бдительность-феномен, противоположный перцептивной защите; возникает при воздействии специфических стимулов, восприятие которых облегчается снижением порога перцепции.
Перцептивная защита - подавление сознанием сигналов, которые оценены как угрожающие или неприемлемые.
Плетизмограф-аппарат для измерения ступени расширения (показатель покоя) или сужения (показатель активации) кровеносных сосудов.
Плод - организм, завершивший эмбриональную стадию развития и впервые явно обнаруживающий специфические признаки данного вида (у человека-с третьего месяца внутриутробной жизни).
Поверхностная структура (языка)-структура, определяющая частные особенности языка и формирующаяся на основе глубинной структуры, образованной элементами, общими для всех людей.
Подкрепление-подача или устранение раздражителя после поведенческой реакции, которую необходимо выработать; при этом вероятность воспроизведения такой реакции увеличивается.
Подкрепление вторичное-подкрепление, основанное на формировании связи между каким-либо агентом и уже имеющимися подкрепляющими факторами. Примерами вторичных подкрепляющих агентов могут быть: денежное вознаграждение, медаль, диплом, социальное признание и т. п.
Подкрепление отрицательное-подкрепление, при котором устранение того или иного раздражителя или события в результате поведенческой реакции повышает вероятность ее повторения. Подкрепляющими агентами при этом могут быть электрический удар или любой другой аверсивный раздражитель, осуждение, ссора и т. п.; субъект при этом будет стараться воспроизводить такие поведенческие реакции, которые приводят к устранению подобных факторов.
Сг шпарь терминов 337
Подкрепление первичное - подкрепление, основанное на появлении или устранении естественного безусловного раздражителя, связанного с врожденными мотивациями организма (голодом, жаждой, сном и т, д.).
Подкрепление положительное-подкрепление, при котором раздражитель или событие, появляющиеся в результате поведенческой реакции* увеличивают вероятность ее воспроизведения. Подкрепляющим агентом при этом может быть пища, вода, лакомство, улыбка и т. п., т. е. такие факторы, для получения которых субъект будет воспроизводить нужную поведенческую реакцию.
Подкрепление социальное подкрепление, основанное на межличностных отношениях улыбка* похвала, одобряющее слово или жест и т. п,)«
Подкрепляющий агент - раздражитель или событие, которые появляются (или, напротив, исчезают) в результате той или иной поведенческой реакции и тем самым увеличивают вероятность воспроизведения этой реакции.
Подпороговое, бессознательное-то, что находится под порогом сознания.
Подражание (имитация)-«слепое» воспроизведение поведения модели.
Подсознательное восприятие-уровень восприятия» на котором информация находится уже в мозгу, но не может активно использоваться сознанием.
Полигон распределения частот - графическое представление, в котором центральные точки верхних сторон столбиков гистограммы соединяются отрезками прямой.
Полиграф-прибор, позволяющий осуществлять одновременную регистрацию многих физиологических реакций, таких как сердечный ритм, артериальное давление, психогальваническая реакция. Полиграф используется для изучения эмоций и стресса, произвольного управления физиологическими параметрами (см. гл. 6) и др.
Положительное отношение, О безусловном положительном отношении к человеку говорят в тех случаях, когда его чувства, мысли или поступки вообще не подвергаются никакому разбирательству. В отличие от этого положительное отношение называют условным, когда о чувствах} мыслях или поступках человека судят на основании общепринятых критериев.
Полосатое тело-одно из базальных (подкорковых) ядер большого мозга; участвует в двигательных автоматизмах.
Полукружные каналы-три заполненных жидкостью канала во внутреннем ухе; они расположены в трех взаимно перпендикулярных плоскостях и ответственны за восприятие вращательных движений головы в трехмерном пространстве.
Популяция (в статистике)-совокупность всех элементов реальной или теоретической группы лиц, предметов и т. п.
Порог-критический уровень, выше которого начинается возбуждение рецептора или восприятие стимула мозгом. В первом случае говорят
22 443
С.ювирь терминов
о физиологическом пороге, во втором-о пороге восприятия.
Последовательные образы - образы, сохраняющиеся в течение короткого времени на сетчатке после прекращения действия раздражителя. В зависимости от времени действия раздражителя на рецепторы (экспозиции) они могут быть положительными или отрицательными.
Потенциал действия см. Нервный импульс.
Потенциал покоя-электрический потенциал всякой живой клетки. У нейронов этот потенциал составляет — 70 мВ. Он возникает в результате того, что клеточная мембрана обладает избирательной проницаемостью для определенных ионов и активно выводит ионы Na* из клетки.
Потенции умственные первичные - семь основных факторов, лежащих, по мнению Тёрстоуна, в основе человеческого интеллекта.
Пресыщение-состояние организма, потребности которого полностью удовлетворены,
Преформнстская теория развития языка. Согласно этой теории, в генах всех людей записана информация об определенной структуре, обусловливающей врожденную способность понимать смысл фразы и формулировать неограниченное количество осмысленных фраз.
Привыкание (габнтуация)-процесс, при котором в результате повторения или постоянного действия стимула реакция организма, вызываемая этим стимулом, ослабевает или исчезает.
Приобретенное (в поведении) -то, чему индивидуум обучается в течение жизни путем опыта и подражания.
Проб и ошибок метод см. Научение методом проб и ошибок,
Прогестерон половой гормон, инициирующий, в частности, изменение слизистой оболочки матки и таким образом способствующий внедрению оплодотворенного яйца в ее стенку.
Программа - совокупность данных и инструкций, вводимых в компьютер и необходимых для выполнения последовательности операций.
Продолговатый мозг-продолжение верхней части спинного мозга. Содержит ряд нервных центров, необходимых для жизнедеятельности организма (центры кровообращения, дыхания и др.); их повреждение может иметь гибельные последствия для организма,
Пролактин-выделяемый гипофизом гормон, стимулирующий образование молока у матери.
Промежуточный мозг-самый нижний отдел большого мозга, У низших животных (включая рептилий) это конечный отдел головного мозга; у человека же он представляет собой очень важную «станцию переключения» между центрами коры, с одной стороны, и мозгового ствола и спинного мозга-с другой. Кроме того, здесь локализованы важные бессознательные функции (например, автоматизмы) и центры регуляции вегетативных функций,
Пснлогня- раздел науки, изучающий феномены «пси». Существует много синонимов псилогии; чаще всего используют термин «парапсихология», реже - «метапсихика», «биоинформатика», «психотроника» и др.
Словарь терминов 339
Психиатр - врач, который специализируется в психиатрии; его образование позволяет, в частности, обследовать больных с душевными расстройствами, в основе которых лежат органические изменения* и назначать лечение-от химиотерапии до проведения хирургической мозговой операции.
Психогальванометр-прибор, служащий для регистрации изменений сопротивления кожи под влиянием эмоционального воздействия (психогальванический рефлекс, или электрокожная реакция).
Пснходелнтикн - вещества, изменяющие восприятие окружающего мира за счет искажения зрительных* слуховых и тактильных ощущений.
Психолог клинический-психолог, умеющий диагностировать и лечить нарушения поведения, так же как и психиатр (их часто смешивают), но в сферу психолога не входят некоторые вопросы, принадлежащие только к области психиатрии.
Психолог-эргономист психолог, занятый проблемами приспособления машин и рабочих мест к возможностям работающего человека.
Психология генетическая - ветвь теоретической психологии, которая стремится понять, как развиваются различные аспекты личности (интеллект, чувства, мораль, социальные аспекты) от начала и до конца жизни.
Психосоматические расстройства-физические расстройства или болезни на психологической почве (в основном связанные с неосознанными психологическими конфликтами).
Психосоциальные кризисы кризисы, вызванные социальными проблемами, с которыми сталкивается человек на разных этапах своей жизни. Каждый из восьми кризисов, описанных Эриксоном, может разрешаться в положительном или отрицательном для человека направлении.
Психотерапии-лечение нарушенного поведения с помощью психологических приемов (исключая лечение медицинское, которое осуществляет психиатр). Каждому направлению в психотерапии свойствен особый подход к лечению.
Психотическое поведение характеризуется нарушением личностных черт, причем сам индивидуум не отмечает патологлчности, аномальности этих изменений.
Психотропные вещества все вещества, действующие на психику.
Психофизиология-наука, изучающая связь между физиологическими и психическими процессами.
Пубертатный период- переход от детства к отрочеству, сопровождающийся рядом физиологических и психологических сдвигов.
Разброс - рассеяние данных по шкале распределения.
Разноянцовые близнецы-близнецы, развивающиеся из разных оплодотворенных яйцеклеток. Единственное, что отличает их от обычных братьев или сестер,-это то, что период внутриутробного развития у них общий и в большинстве случаев тот опыт, который они приобретают во время воспитания, тоже более сходен.
Раса-понятие, не имеющее строгого научного обоснования и объединяющее в «естественную» группу людей, сходных по некоторым
340 Словарь
физическим чертам или культурным традициям.
Распределение-совокупность данных в выборке, сгруппированных и упорядоченных по определенным характеристикам.
Рационализм-концепция, согласно которой все достоверные знания идут от разума, мышления и суждения.
Резерпин - антигипертоническое средство, используемое в лечении не только повышенного кровяного давления, но и состояний тревоги, тоски, мании.
Резонанс (в физиологии мозга)-явление, при котором внешние колебания, близкие к «естественным частотам» мозга, увеличивают амплитуду последних.
Релятивистская теория-теория, согласно которой структуры, входящие в состав поведения людей, тесно связаны с той культурой, к которой эти люди принадлежат. В соответствии с релятивистской теорией языка, у каждой культуры имеется собственная лингвистическая система, характерная именно для этой культуры и служащая матрицей для мышления ее представителей.
Ретикулярная формация-нервная структура, расположенная вдоль всего мозгового ствола. Она состоит из клеток, отростки которых ветвятся в обширных областях мозговой коры. Ретикулярная формация состоит из двух систем: восходящей (именно об этой системе идет речь во второй части книги, посвященной активации и сознанию) и нисходящей, которая регулирует тонус мускулатуры, необходимый для поддержания позы.
Рефлекс безусловный-естественная генетически запрограммированная реакция, вызываемая без какого-либо научения специфическим раздражителем, который называют безусловным.
Рефлекс условный - рефлекс или поведенческая реакция, запускаемые раздражителем, который первоначально был индифферентным, после того как этот раздражитель какое-то число.раз сочетается с безусловным раздражителем. При этом индифферентный раздражитель становится условным.
Рефрактерности период-период, наступающий сразу же после потенциала действия, когда возникновение нового потенциала действия невозможно или затруднено.
Рецептор - орган или ансамбль клеток, способный реагировать на определенные стимулы и преобразовывать их в нервные импульсы, которые затем передаются в нервные центры, ответственные за их расшифровку (примером рецептора может служить сетчатка глаза или улитка внутреннего уха),
Рецепторные участки {в синапсе)-участки постсинаптической мембраны, способные связывать молекулы определенного нейромедиатора, благодаря чему и происходит передача нервного сигнала через синапс.
РНК-рибонуклеиновая кислота. Содержится как в клеточном ядре, так и в цитоплазме; одна из ее форм-информационная (матричная) РНК-служит носителем генетической информации, получаемой от ДНК, и с помощью этой информации управляет синтезом белков.
Словарь терминов 341
Робототехника-область науки и технологии, изучающая научные методы и технологические средства разработки и построения роботов.
«Свое»-термин, используемый для оценки субъективного внутреннего видения, складывающегося у субъекта о самом себе, о своих чувствах и т. п. Что касается понятия «свое глубинное», то это совокупность знаний человека о своем внутреннем мире, независимых от внешней реальности.
Седатнвные средства - вещества, прием которых оказывает успокаивающее действие.
Сексуальные фантазии-сознательная или бессознательная психическая деятельность в виде образов или мыслей, связанных с прошлым или предстоящим сексуальным опытом.
Семантика - наука о значении слов языка.
Семантическая память см. Память семантическая.
Семенные пузырьки - небольшие расширения каналов мужской половой системы (расположенные около мочевого пузыря и предстательной железы), секрет которых способствует подвижности сперматозоидов,
Сензитнв-человек, который легко воспринимает явления «пси». Раньше этих людей называли медиумами, т. е. посредниками в общении с «духами»,
Сеннльные состояния-совокупность изменений, характерных для патологически протекающего процесса старения.
Сенситизация (сенсибилизация)-процесс, при котором стимул, не вызывавший раньше никакой реакции, начинает вызывать ее.
Сенсорная адаптация-явление, возникающее на уровне рецепторов или низших мозговых центров, которые, адаптируясь к постоянному стимулу, перестают посылать в высшие центры информацию, соответствующую данному уровню стимуляции.
Сенсорная глухота-глухота, обусловленная нарушением функций рецепторных клеток внутреннего уха, передающих импульсы по слуховому нерву.
Сенсорная изоляция-экспериментальная ситуация, в которой организм лишается большинства внешних стимулов.
Синапс - область вокруг очень узкой щели, через которую происходит передача нервных сигналов с синаптических бляшек одного нейрона на тело или дендрит другого нейрона, мышечное волокно или железистую клетку.
Сннаптическая бляшка-утолщение на конце каждой ветви аксона. В синаптической бляшке содержатся пузырьки с нейромедиатором, высвобождение которого в синоптическую щель позволяет передавать сигнал другому нейрону,
Сннаптнческая щель-узкое пространство, отделяющее синаптичес-кую бляшку одного нейрона от дендрита или тела другого нейрона (или от мышечной клетки). Таким образом, это пространство с одной стороны ограничено пресинаптической мембраной, а с другой - постси-наптической мембраной (другого нейрона или эффектора).
342 Словарь
Синкретизм -спутанное и недифференцированное восприятие различных элементов как единого целого, предшествующее у ребенка мышлению. (Своим происхождением слово «синкретизм» обязано преданию, согласно которому на острове Крите нельзя было найти двух человек с одинаковым мнением, что приводило к большой разноголосице в тех случаях, когда нужко было выработать единую точку зрения.)
Синхронность-одновременность, Синхронизация активности нервных клеток ведет к возникновению в ЭЭГ волн большой амплитуды и низкой частоты (медленные волны).
Система подавления действий (активного торможения)-название, которое Лабори дал гипотетической функциональной системе, которая задерживает действие, стимулируемое какой-либо непосредственной мотивацией, если выполнение его в данный момент нецелесообразно или сопряжено с опасностью.
Слепота-полное или почти полное исчезновение зрения. Слепота может быть врожденной или возникать вследствие инфекций, травмы или старения организма. Она может развиваться в результате поражения роговицы, хрусталика, сетчатки и области головного мозга, ответственной за расшифровку зрительной информации. При поражении сетчатки возможна ночная слепота (если нарушены функции палочек) или цветовая слепота (если нарушены функции колбочек).
Словесная глухота-полное или частичное непонимание устной речи.
Словесная слепота-полная невозможность распознавать буквы или смысл написанных слов (синоним-алексия).
Смежность-ситуация, при которой два или несколько воспринимаемых событий соседствуют друг с другом во времени или пространстве.
Созревание - генетически запрограммированный внутренний процесс определяющий этапы развития организма до зрелого состояния.
Соместетическая чувствительность-тактильная, температурная, болевая и мышечно-сухожильная чувствительность различных частей тела.
Сомнамбулизм состояние, возникающее у некоторых людей в стадии глубокого сна. В это время человек может совершать автоматические и координированные движения, такие как ходьба.
Сон глубокий-последняя стадия медленноволнового сна. Именно в этой стадии происходит максимальное восстановление физических сил.
Сон медлен ново л новый сон, для которого характерно замедление волн ЭЭГ, обусловленное все большей синхронизацией работы мозговых нейронов. Выделяют четыре стадии, наступающие после засыпания и продолжающиеся до глубокого сна.
Сон парадоксальный («быстрый») - стадия сна, наступающая после стадии глубокого сна; повторяется примерно через каждые 90 минут. Для нее характерна интенсивная мозговая деятельность, контрастирующая, однако, с полным исчезновением мышечного тонуса. На этой стадии обычно воникают сновидения.
Социальный класс-совокупность лиц одного сословия или социального уровня со сходными интересами и образом жизни. С психологи-
Сюяарь терминов * 343
ческой точки зрения принадлежность к тому или иному классу характеризуется, в частности, тем, может ли человек распоряжаться своей собственной работой или работой коллектива, принимать по собственной инициативе экономические, технологические или профессиональные решения, а с другой стороны-устанавливать размеры своих гонораров или зарплаты. Если представители привилегированных классов (директора, руководители, менеджеры, представители свободных профессий и т.п.), на долю которых приходится 10-12% населения, обладают всеми этими возможностями, то представители среднего класса (инженеры, мастера, функционеры, средний медицинский персонал* учителя, ремесленники* мелкие коммерсанты и сельские хозяева), составляющие 30-40% населения, обладают лишь одной из них. Что касается низших слоев (рабочие, подсобный и обслуживающий персонал), составляющих 50 60% населения, то их представители не обладают свободой в отношении возможности самим регулировать ход выполнения или ритм своей работы и не могут влиять на свою зарплату иначе, как через коллективные соглашения. Естественно, что нормы поведения/мировоззрение и самоуважение у лиц, принадлежащих к различным классам, тесно связаны с их психологическими особенностями, условиями труда и существования.
Специфичность кодирования (закон специфичности кодирования)-закон, согласно которому любая информация, записанная в памяти, всегда связана с тем контекстом, в котором она была закодирована. Поэтому воспроизвести легче, если вспомнить ее контекст.
Спинномозговая (цереброспинальная) жидкость - светлая прозрачная жидкость, заполняющая пространства под паутинной оболочкой мозга, мозговые желудочки и спинномозговой канал- Служит главным образом в качестве амортизатора, способного защищать нервные центры от слишком резких сотрясений. Ее чрезмерная выработка у плода или новорожденного с еще мягким черепом может привести к гидроцефалии (увеличению объема черепной коробки).
Спинномозговой канал-узкий канал внутри спинного мозга, про* ходящий по всей его длине и продолжающийся вплоть до 4-го желудочка в основании мозгового ствола.
Спинномозговые нервы нервы, передние и задние корешки которых соединены с заключенным в позвоночнике спинным мозгом.
Спиритизм - учение, утверждающее продолжение жизни после смерти и возможность вхождения в контакт с умершим с помощью, медиума.
Способности творческие проявляются в том, что человек может находить большое число решений (пластичность), пользуясь разнообразными подходами (гибкость), часто необычными.
Способность-врожденное или приобретенное свойство организма, заключающееся в возможности осуществлять ту или иную деятельность.
Среднее отклонение - показатель разброса данных, соответствующий средней арифметической абсолютных значений всех отклонений данных выборки от средней арифметической.
Средний мозг-средняя часть головного мозга, расположенная между
344 Словарь терминал
варолиевым мостом и промежуточным мозгом. Средний мозг образует верхнюю часть мозгового ствола; через него проходят все сенсорные и моторные пути, связанные с мозжечком и играющие поэтому важную роль в поддержании равновесия и двигательной координации.
Средняя арифметическая-частное от деления суммы различных значений на их число.
Стадия БДГ-то же, что стадия парадоксального сна. Для нее характерно появление быстрых движений глаз при закрытых веках.
Стандартное отклонение-показатель, характеризующий разброс в распределении относительно среднего.
Статистика-область науки, включающая методы описания, анализа и математической интерпретации данных, позволяющие делать определенные выводы относительно явлений, о которых невозможно собрать полную информацию, .
Статистическая гипотеза - утверждение, касающееся распределения популяции или различия между двумя популяциями, основанное на данных, полученные на выборках из этих популяций.
Статистический критерий-статистический показатель, позволяющий принять или отвергнуть ту или иную гипотезу в зависимости от вероятности того, что различия обусловлены чистой случайностью.
Статистическое обобщение - изучение выводов, которые могут быть распространены на популяцию, исходя из данных, полученных на выборке, а также оценка степени достоверности таких выводов.
Стереоскопия-способ, позволяющий с помощью двух изображений, предъявляемых друм глазам одновременно, создавать ощущение объем-. ности видимой картины.
Стимул (раздражитель)-любой физический, химический иди механический агент, способный возбуждать рецепторы кожи, глаз, ушей, носа или языка.
Столбиковая диаграмма-диаграмма, используемая преимущественно для качественных данных; столбики, рисуемые отдельно друг от друга, соответствуют частоте каждой категории данных.
Стресс-общая реакция организма на такие факторы, как боль, опасность, душевное потрясение, препятствие к достижению желаемого и т.п.
Субьектнвный-основанный на индивидуальной интерпретации действительности мыслящим существом, зависимый от установок или эмоций человека. Субъективное знание может весьма неточно отражать реальность,
Схема (по Пнаже) организованная совокупность движений (сосание, хватание, толкание. ..) или операций (разбиение, классификация, измерение. ..), имеющихся у ребенка «от рождения» (если речь идет о движениях) или приобретаемых и развиваемых в процессе взаимодействия с окружающим миром (если речь идет об операциях).
Схоластика-философия и теология, преподававшиеся в средние века в университетах; схоластика была основана ни доктрине Аристотеля и на христианской вере.
Смишрь пп'р.ишшв 345
Таламус. Так как у первых исследователей, изучавших эту структуру промежуточного мозга, сложилось впечатление, что она служит «ложем» для зрительных нервов, она получила также название «зрительного бугра». Таламус образован двумя большими группами ядер, расположенными по обеим сторонам 3-го желудочка и связанных между собой серой спайкой. Таламус служит своего рода распределителем для информации от рецепторов, которую он интегрирует, интерпретирует и затем передает в кору мозга.
Теория-совокупность идей или концепций по определенной теме. Когда эти идеи складываются в результате наблюдений и эксперимента, говорят о научной теории.
Теория присвоения-теория, согласно которой мы приписываем себе самим и окружающим причины наших действий или действий других людей* для того чтобы придать смысл этим действиям.
Терминальное разветвление-совокупность веточек аксона, каждая из которых оканчивается синаптической бляшкой.
Тесты - определенные задания, одинаковые для всех испытуемых; степень успеха или неудачи в выполнении таких заданий оценивается количественно/
Типология - система классификации людей по типам с учетом связи между их физическими и психологическими особенностями или по типам личности.
Тироксин - вещество, содержащее иод и составляющее главный компонент гормона щитовидной железы, участвующего в процессах роста и метаболизма.
Токсикомания - патологическое стремление к добыванию и употреблению токсических веществ или лекарственных препаратов.
Толерантность - возрастающая способность организма сопротивляться действию вещества; она приводит к необходимости увеличивать дозы для получения желаемого эффекта.
Транквилизаторы-лекарственные препараты, снимающие состояние тревоги путем воздействия на мозг.
Трйнс-состояние сильного возбуждения, вызываемое бурной мозговой активностью.
Трансцендентальный-выходящий за границы обычного сознания и достигающий уровня «чистого сознания», освобожденного от всякой связи как с внешней, так и с внутренней реальностью.
Тропизм-изменение в направлении роста тех или иных органов растения, вызванное физическими или химическими агентами. Гелиотропизм, геотропизм и фототропизм-наиболее обычные тропизмы в растительном мире.
Угасание-процесс, при котором условный рефлекс постепенно исчезает (но не стирается при этом из памяти) вследствие того> что после условного раздражителя перестает подаваться безусловный.
Узнавание-одно из проявлений памяти, при котором субъект узнает предъявляемую ему информацию, вспоминает, что имел с ней дело раньше.
23-443
3 46 Or wap ь mi rp.\ 11t a an
Улитка-часть ушного лабиринта, составляющая орган слуха. В ней имеется спирально закрученный канал, внутри которого колебания базилярной мембраны, вызванные звуковыми волнами, приводят к возбуждению волосковых клеток и передаче соответствующей информации по волокнам слухового нерва в головной мозг.
Ультразвук - звуковые волны, частота которых выше верхнего предела восприятия человеческого уха.
Ультраднанные ритмы-биологические ритмы с периодичностью короче суток; таков, например, ритм с периодом около 90 минут, затрагивающий смену фаз сна.
Умственный возраст-умственный уровень индивидуума, определяемый по успешности прохождения им тестов для детей различного хронологического возраста.
Уретра-мочеиспускательный канал (у мужчин служит также для выведения спермы). . ,
Условный рефлекс - реакция, возникающая на ранее «безразличный» стимул, если его предъявление сочеталось несколько раз со стимулом, способным вызывать сходный рефлекс в естественных условиях.
Фактор G-фактор/общий для различных умственных операций и составляющий, по Спирмену, основу общего (генерального) интеллекта.
Фактор S-фактор соответствующий той или иной специфической способности (по Спирмену).
Фаллическая стадия-стадия психосексуального развития, на которой у ребенка формируется интерес к половым органам и развивается эдипов комплекс.
Феннлкетонурия - врожденное заболевание (встречается у одного на 10000 новорожденных), обусловленное отсутствием фермента, участвующего в расщеплении аминокислоты фенилаланина. При этом фе-нилаланин накапливается в крови и превращается в фенилпировино-градную кислоту* что ведет к нарушению развития некоторых участков головного мозга и, как следствие, к умственной отсталости, .
Феномены «пси»-совокупность паранормальных феноменов сознания, до сих пор мало понятных (телепатия, ясновидение, телекинез).
Фигура - участок перцептивного поля, выделяющийся на некотором фоне (см,) в процессе восприятия.
Ферменты-биологические катализаторы белковой природы, каждый из которых ускоряет определенную химическую реакцию.
Фиксация лнбндо - закрепление либидо на какой-либо стадии психосексуального развития, нарушающее эволюцию личности и мешающее приспособлению либидо к реальности.
Фиксизм- доктрина, утверждающая, что все биологические виды неизменны. Креационисты, которые примыкают к этой теории, полагают, что все виды созданы Богом.
Филогенез - история развития видов в процессе эволюции животного и растительного мира.
Фнстула-искусственное отверстие, через которое в тот или иной
347
орган вводят трубку (канюлю), позволяющую собирать секрет этого органа для измерения его количества или химического анализа.
Фобия - иррациональный страх перед определенными объектами и ситуациями, не представляющими реальной угрозы.
Фокалнэацня-стратегия мышления, при которой внимание и мысль сосредоточены на какой-то гипотезе или группе элементов с целью приобрести то или иное понятие или решить проблему*
Фон-менее структурированная область перцептивного поля, на которой в процессе восприятия выделяется та или иная фигура (см,)
Фонема-звуковой элемент членораздельной речи, рассматриваемый как элементарная единица того или иного языка.
Фонология-наука, изучающая звуки того или иного языка (фонемы) и их функцию в этом языке.
Формирование реакции-методика, часто используемая при оперант-ном обусловливании; она состоит в подкреплении тех реакций, которые постепенно приближают поведение к желаемому конечному результату. Таким образом, данное поведение формируется методом последовательных приближений.
Фотопигмент-вещество, содержащееся в палочках и колбочках сетчатки, способное преобразовывать световую энергию в химическое изменение и далее в электрическую активность. Палочки и каждый из трех типов колбочек содержат свои особые фотопигменты.
Фрустрация - психологическая реакция, связанная с разочарованием, неудачей в попытке достичь какой-либо цели и т, п.
Функциональная ригидность - неспособность находить нестандартные решения проблем, новые применения вещам, которые мы привыкли использовать определенным образом.
Хватание-способность схватывать предметы с помощью соответствующего органа. Становление человека связано с переходом от хватания ртом к хватанию с помощью рук.
Химиотерапия-лечение заболеваний с помощью химических препаратов. .
Хорея-неврологическое расстройство, проявляющееся в непроизвольных некоординированных сокращениях лицевых мышц и судорожном подергивании конечностей. Хорея Гентингтона, обусловленная рецессивным наследственным фактором, начинается в зрелом возрасте и нередко сопровождается умственной деградацией.
Хромосомы-структуры в клеточном ядре, несущие гены. Число хромосом у данного вида постоянно (у человека-23 пары). Своим названием хромосомы обязаны тому обстоятельству, что благодаря содержащейся в них ДНК они интенсивно окрашиваются некоторыми красителями.
Хронологический возраст - возраст, рассчитываемый исходя из даты рождения человека.
Центральная тенденция-измеряемая величина, соответствующая «центру» выборки. Мерами центральной тенденции являются мода, медиана и средняя арифметическая.
23*
Стопарь термишт
Центральная ямка-центральный участок сетчатки, содержащий только колбочки; это область наибольшей остроты зрения.
Цнркаднанкые ритмы - биологические циклы с периодичностью, близкой к 24 часам, управляющие ежедневной активностью организма.
Цитоплазма-все внутреннее содержимое клетки за исключением ядра.
Частота колебаний-число их в единицу времени. Измеряется в герцах (1 Гц-одно колебание в секунду). '
Черепномозговые нервы - нервы, корешки которых соединены со стволом головного мозга; иннервируют рецепторы и мышцы головы и шеи.
Чувство - сложное аффективное состояние, которое, в отличие от эмоций, относительно стабильно и продолжительно.
Чувство неполноценности-чувство, зарождающееся у ребенка вследствие осознания им своей биологической неполноценности и заставляющее его выработать собственный стиль жизни, который может позволить ему развить способности и получить превосходство над другими.
Шизофрения - состояние, для которого характерна потеря контакта с реальностью и возникновение противоречивых чувств и реакций, парадоксальных мыслей.
Эйдетические образы-проявление относительно редкой формы памяти (называемой в обиходе фотографической памятью), при которой человек чрезвычайно ярко представляет себе все детали того или иного изображения, чего не бывает при обычных воспоминаниях.
Эгоцентризм-субъективная установка, при которой за исходную точку для восприятия мира принимается собственная личность.
Эдипов комплекс - нежная привязанность мальчика к своей матери, сопровождающаяся враждебностью к отцу, который рассматривается как «соперник».
Экэокрннная железа-железа, выделяющая продукты своей деятельности на поверхность кожи или в какую-нибудь естественную полость тела.
Эклектик-человек, заимствующий и использующий элементы, которые ему кажутся лучшими, из различных систем* течений, научных школ.
Экспериментальная группа-группа испытуемых, подвергнутых экспериментальному воздействию (в отличие от контрольной группы).
Экстаз-состояние, в котором находится индивидуум, как бы вышедший из себя. Это состояние вызывается у мистиков проповедью и молитвами. Чрезмерная мозговая активация при этом контрастирует с неподвижностью тела и выражением возвышенного счастья.
Экстраверт-индивидуум, обращенный к внешнему миру и социальной жизни, контактный.
Экстр&вертярованное (поверхностное) сознание - состояние сознания, соответствующее активному бодрствованию. Оно дозволяет организму адаптироваться к окружающей среде путем установления связей между внешним и внутренним миром.
Экстрасенсорное восприятие - восприятие событий без участия об-
C.uwapb терминов 34У
щеизвестных органов чувств. Парапсихологи объясняют этот феномен аномальностью восприятия или рассматривают как явление, механизмы которого пока неизвестны.
Эктоморфнын тип-морфологический тип, свойственный крупным людям со слабо развитой мускулатурой и преобладающим развитием тканей эктодермального происхождения; этот тип соответствует «церебральному» темпераменту. (Эктодерма - внешний листок зародыша, дающий начало, в частности, нервной системе.)
Электроды вживленные-чрезвычайно тонкие иглы, вводимые на длительное время в определенные участки мозга; через них можно стимулировать эти участки электрическим током, а также регистрировать активность их нейронов.
Элементаризм доктрина, разработанная Вундтом, согласно которой сознание состоит из простых элементов (таких, как чувствования, воспоминания, ощущения), а эти элементы объединяются и организуются по законам ассоциации.
Эмбрион - организм в период развития от оплодотворенного яйца до стадии плода; у человека этот период продолжается со второй по восьмую неделю внутриутробной жизни.
Эмпиризм-концепция, согласно которой все знания происходят только из наблюдения и эксперимента.
Энграмма - след, оставляемый в мозгу тем или иным событием (в частности, при научении).
Эндокринная железа-железа, выделяющая продукты своей деятельности (гормоны) непосредственно в кровь.
Эндоморфный тип - морфологический тип, свойственный полным людям с преимущественным развитием тканей энтодермального происхождения; этот тип соответствует общительному темпераменту, стремящемуся к любви и комфорту, (Энтодерма-внутренний листок зародыша, дающий начало главным ббразом внутренним органам.)
Эндорфнны-нейромодуляторы, облегчающие, подобно морфину, физическую боль. Кроме того, эндорфины играют значительную роль в снятии стресса. "
Энзимы см. Ферменты.
Эпилепсия - нервное заболевание, для которого в большинстве случаев характерны более или менее генерализованные судорожные припадки. Припадок возникает вследствие широкого распространения (в частности, через мозолистое тело) нервных импульсов, генерируемых в эпилептогенном очаге.
Эрогенные зоны-участки тела, стимуляция которых может вызывать половое возбуждение.
Эстральнын цикл - совокупность физиологических изменений, периодически происходящих на уровне матки и влагалища у некоторых животных. Эструс-фаза цикла, соответствующая созреванию яйцеклетки; соответствует периоду «течки», наиболее благоприятному для зачатия.
Эстроген-половой гормон, ответственный за овуляцию у женщин:
350 Cwmipt* mvp литой
Этнология-наука, изучающая группы людей, их антропологические, социальные, культурные и другие особенности.
Этолог-специалист, изучающий поведение животных главным образом в естественных условиях.
Эффекторы-органы или группы клеток, функционирование которых под контролем нервной системы позволяет организму отвечать на различные стимулы внешней и внутренней среды. Эффекторами являются гладкие и поперечнополосатые мышцы, экзокринные и эндокринные железы,
«Я»-понятие, используемое во многих психологических теориях как обозначение личности, ее сознательной оценки при взаимодействии с внешней и внутренней реальностью. Ассоциируется с состоянием активного бодрствования, *
«Я» идеальное-совокупность представлений, отражающих то, чем человек хотел бы быть, или то, чем, по его мнению, он может быть в силу присущих ему качеств.
«Я» реальное - представление, которое складывается у человека о самом себе на основании личного опыта.
Предметный указатель
Абстиненции синдром I: 145
Абстрагирование I: 324
Дверейвная терапия, аверсивдое обусловливание II: 167, 201-202
Австралопитеки I: 52
Авторитарный тип личности II: 94
Агнозии I; 385
Аграфии 1: 386
Агрессивность I: 24, 44-45
-мотивация Т: 289-293
Адаптации синдром (по Селье) I: 262
Адаптация I: 137
-и научение I: 302
-и привыкание I: 192-194
-и творчество I: 414, 415, 438-440
Адреналин II: 239
Акронимы I: 382
Акростихи I: 382
Активация I: 134-136, 242-243, 265
Алексия I: 387
Алкоголь I: 145, 166
Алкогольное отравление II: 141
Альтруизм II: 78-79
Альцгеймера болезнь I: 385; II: 141-142
Амнезия I: 384-385 психогенная II: 147-148
Амфетамины I: 146, 167; II: 269
Аналитическая психология II: 37-38
Анатомия I: 87
Анкеты I: 111
Аномальное поведение II: 126-138
- - пример фрейдистской интерпретации Н: 192-193
Анорексня II: 182
Антидепрессанты II: 156, 269
«Антипсихиатрия» U: 1S9—190
Антисоциальная личность II: 151
Аплизня (морской заяц) I: 404, 405
Апноэ I: 175-176
Апраксин I; 385-386
Артериолатическая деменция II: 142
Артефакт I: 115 Архетипы I: 171; II: 37 Архивизация в памяти I: 353-355 Ассоциативная организация информации в памяти I: 354 Ассоциации идей I; 63, 329 Атрибуции теория 1: 267 Аутизм детский Н: 178-180 Афазии 1: 386-387 Афазия Брака Г: 386 -Вернике I: 387
Аффективные расстройства И: 145 Ацетилхолнн II: 268
Барбитураты I: 147-148, 166, 167
Барнума эффект Т: 126
БДГ (сон с быстрыми движениями глаз) I: 140, 141, 170, 172, 227
Безусловные рефлексы I: 305
Белая горячка II: 141
Беспокойство I: 262
«Беспомощность» I: 34G* 341
Бессознательное в повседневной жизни I: 90-91
Бессонница Т: 175
Вине тест (шкала) I: 427, 430, См. также Стэнфорл-£ике тест
Бинокулярное зрение I: 191, 192* 214
Биологические побуждения I: 240-242, 245-257, 265
-ритмы I: 337, 340
-часы I: 139, 158-160
Биологический подход в психологии I: 69-72
Биполярное расстройство И: 145
Бихевиоризм, бихевиористы I: 87-88
Бихевиористские концепции когнитивных процессов I: 365-366
Бихевиористский подход к аномалиям повеления I: 67-69; II: 134
352
. \ ге
чса -нтп\ 1ь
—к терапии II: 166-169
Близнецы I: 462, 464; II: 220 Богословы I: 60 Бодрствование I: 137-140 Болевые центры I: 269, 270 Боль I: 248-249; II: 224/ Боринга рисунок I: 189 Бред II: 183-184 Булимия I: 152; II: 182-183 Бурундуки I: 337, 338 Буфотенин I: 150 Быстроволновый сон I: 170
Вазопрессин I: 247
Валнум I: 148, 166
Варнанса II: 290
Вариация I: 2S
Варолиев мост II: 248-249
Вдохновение I: 264
Векслера шкалы интеллекта (WAIS,
WISC) I: 428, 431-434, 449 Вера в догматы I; 60 Вербальная (словесная) гибкость I: 416 Вербальное восприятие I: 417 Веронал I: 166 Вещество Р I: 248; II: 269 Вживленные электроды I: 70 Викарное научение I: 316, 317, 332 Вкус II: 225-226 -корковые зоны И; 255 Вкусовая аверсия I: 339-340 Вкусовое восприятие I: 214, 215 Власть II: 76-78, 99 Влечение I: 264
-межличностное II: 79-84, 110-111 Влечения, вытесненные в подсознание
I: 171
Внешний раздражитель I: 265, 266 Внимание I; 194-199, 210 Внутреннее пространство I: 220-222 --картография I: 155-158 Внутренний мир I: 137, 139 —и наркотики I: 153 Военная психология I: 105-106 Возбуждающие средства I: 145-147 Возраст хронологический I: 429, 430.
См. также Умственный возраст Восприятие 1: 135, 181-238* См, также
Зрительное восприятие, Слуховое
восприятие -времени 1: 215-216
- глубины см. Стереоскопическое восприятие
-движения I: 215 -константность I: 188-191 -принципы организации I: 186-188 Впечатление II: 84-85 Время I: 215
Врожденное и приобретенное поведение I: 21, 24-26, 46, 79-80, 302 Врожденные дефекты I: 420-423 -наклонности I: 2!5 -рефлексы I: 36, 305 -факторы I: 421 Вселенная! II; 71 -единство Т: 205 -место человека I: 205-206 Вторичные половые признаки II: 14 Вуайеризм II: 149 Выборка II: 279 Выводковые птицы I: 34, 331 Вытеснение (по Фрейду) II: 133
Галлюцинации I: 146, 155-158, 218-222;
II: 127, 181-182
Галлюциногены I: 149-152, 166 Гаметы II: 215-216, 218 Гамма-аминомасляная кислота
(ГАМК) II; 268, 269 Гашиш I: 150-152, 167 Генеалогическое дерево I: 27 Генерализация I: 313 Генетика I: 29, 72 Генетическая память I: 326 -психология I; 107-108, 126 Гены I: 29; II: 215, 218-219 Геринга теория I: 184 Героин I: 144, 145, 149, 166 Гештдльтпсихология I: 73, См. также
Восприятие, принципы организации Гсштальттерапия II: 161-162, 195-197 Гештальты (паттерны) у младенцев I:
88-89
Гиббоны I: 43 Гнперактивность' II: 180 Гипноз I: 162-164, 225, 227 Гипоталамус II: 251 Гипотезы Т: 62, 185, 210-212, 389-391 Гипофиз II: 239-240 Гиппокамп I: 399 Глаз II: 230-231 Глухота II: 230
Пргдлгеотый укаитк\
353
Голдстепна шкала I: 157
Головной мозг II: 244-260
--эволюция I: 42
Голографическая гипотеза I; 400-401
Голография I: 206-208, 231
Голод Г: 246 247
Гомеостаз Т: 241
Гомеостатическое поведение I: 241
Го мин иды Г: 50-52
Гомосексуализм I: 121, 122, 251-253; II: 150, 201-202
- эгодистонический II: 150
Гориллы Г; 37
Гортань I: 42
Гравитация I; 222
Группы взаимопомощи II: 171-172
«Группы роста», групповая терапия II: 164-166, 170-175
Гуманистический подход (в психологии) I: 77-78; II: 38-41
--к аномалиям поведения II: 136
Диссоциативные расстройства II: 147-148, 187
ДНК (дезоксирибонуклеиновая кислота) I: 401; II: 215
Добрачные половые связи V 122; Н: 18
Дождевой червь I: 35, 36
Долговременная память I: 350-353
Доминирующие индивидуумы I: 25; II: 99-103
Донаучная психологи? I: 59-64
Досада см* Фрустрация
Достоверность (статистическая) II: 297
Дофамин II: 263
Древесный образ жизни I: 37
Дремота I: 170
Дуалистический подход в психологии I: 84, 207
Душа и тело 1: 84-85
Естественный отбор I: 28
Дауна болезнь (синдром, трисомия 21) I: 421> 422; II: 216, 219
«Двойное принуждение» II: 84, 113-114
Двусмысленные изображения I: 216, 217
Дегенеративные деменции II: 141-142
Дедукция I: 389-391
Декартовский дуализм I: 61
Деперсонализация II: 148
Депрессия I: 139, 200; II: 145
Дервиш-турнеры I: 142
Десенсибилизация II: 166-167, 200-201
Детектор лжи (полиграф) I: 280
Детерминация I: 80-82
Дети I: 88-90. См, также Ребенок; Родители и дети, взаимоотношения восприятие I: 182, 212-215
-импульсивные I: 456
-моторное развитие II: 12-14
-половое развитие II: 16-17
-умственное развитие I: 366-370, 419-430, 442-444; II: 19-23
-усвоение языка I: 391-393
Дети-первенцы I; 254, 425
Детство Н: 8-9
-стадии по Валлону II: 23-25
Диалог внутренний I: 365, 372
Дисперсионный анализ П: 301 302
Дисперсия см. Варианса
Жажда I: 247
Желания I: 76, 264
Железы 11: 237-240
Женщина и сексуальность I; 250-251
Жестокость I: 91-93, 292-293
Жизненные кризисы (по Эриксону) II:
43-45
Жизненный цикл, фазы по Бюлср II: 40 Жизнь, системная организация II: 71-72. См. также Продолжительность жизни Жираф I: 29
Забывание I: 348, 356-358
Закон ассоциации I; 329
-эффекта 1: 329
Замещение I: 266
Засыпание I: 169
Звук, физические аспекты И; 233-235
Земледелие I: 43
Зеиера карты I: 227, 232
Зимняя спячка I: 160
Зоопсихолог, зоопсихология I: 71, 109-110, 126
Зоофилия II: 149
Зрачок как показатель психологической реакции I: 218-219
Зрелость I: 324; II: 9
354
11 pi ч). \ ii'ii itthtu i h.(f jt tn и'. ih
Зрелый возраст, половое развитие II:
14-15
--физическое развитие II: 18-19 Зрение II: 230-233 -корковые зоны II: 254-255» 257 -нарушения И: 233 -новорожденного I: 212-214 Зрительная память I: 349-350 Зрительное восприятие I: 182-194 --новорожденного I: 212-214 Зрительные иллюзии I: 185, 216 218
Избегание I: 269
Избирательное внимание I: 195-196
Изоляция, влияние на память I: 220
-и материнское поведение I: 254
-и сексуальное поведение I; 249-250
Иллюзии I: 218. См. также Зрительные иллюзии; Мюллера - Лайера иллюзии; Понсо иллюзии
Имплозивная терапия II: 167
Импринтинг I: 33-34, 254, 303-305, 331
Инсайт I: 303, 321-322, 334
Инстинктивное поведение, инстинкты I: 25, 32-35, 76, 338-339
Инструментальные ответы по Стэн-форду I: 230
Интеллект I: 301, 377, 414-477. См. также Искусственный интеллект; Умственное развитие
-и первичные способности II: 416-418
-«нормальный» и «аномальный» II: 451-453
-развитие I: 419-423
-роль наследственности I: 420-422, 460-467
-структура по Гил тону I: 417, 418 уровни I: 419, 433-434, 439
-шкалы Векслера I: 428, 431-433, 449
Интеллектуалы I: 453-454
Интенциональность II: 40
Интересы I: 194
Интериоризация II: 21
Интрапсихическая терапия II: 158-163
Интроверсия II: 31, 32
Интроверты I: 229
Интроспекция I: 65, 66
Информация I: 281-282, 300
-ее обработка I: 134
«Иные» II: 5, 124
Ипохондрия II: 147, 187
Иррациональные представления II: 135 Искусственный интеллект I: 110, 126,
470, 474*76 Исследовательское поведение I: 225
Леркса- Додсопа закон I: 138* 242 Йога, йоги I: 142, 143, 156, 157 ;
Карты наблюдений I: 111 Каталепсия I: 175 Кататония I: 158 Каузальная атрибуция II; 85-86 Квантовая механика I: 181 -теория I: 205 Кениапитек I; 37 Кессон I: 220, 221 Кибернетика I: 472-473 Кинестезия II: 224 Клайифелътерй синдром II: 219 Клаустрофобия I: II7-119 Клетка JJ: 215 -деление И: 215-216 Клещи Т: 204-205 " Клиническая психология I: 102 103, 117-119, 126
-
Когнитивная психология I: 73-76, 208 Когнитивное научение Т: 303, 318-324*
332-333
-равновесие II: 92 -развитие II: 19-26 Когнитивные процессы, развитие I:
365-370
-стратегии I: 320 -способности I: 419 -теории I: 244, 366-370 Когнитивный диссонанс II: 92 -подход к аномалиям поведения II:
135-136
Кодеин I: 149, 166 Кодирование (в памяти) I: 351, 353 Кожная чувствительность II: 222-224 Кожно-гальванические реакции I: 282 Кока I: 165
Кокаин I: 146-147, 165; II: 269 Кока-кола I: 146 Кола I: 165 Колюшка I: 47-48 Кома I: 14S, 176
Компьютер и мышление 1: 470- 477 Конверсионные расстройства Н: 146-
147, 186
Предметный vrca шпе. а*
Конкретных операций стадия 11: 21-22 Конопля I: J 50, 151, 167 Константность восприятия I: 188-191 Конструктивизм I; 74-75, 376-377 Контекст и память 1: 351 Кентр-обусловливание Н: 166-167 Контрольная группа I:. 144, 126 Конфликты I: Д 71 Конформизм II: 77-78, 105 107 Концептуальное научение 1: 323 Кора мозга I: 173; П: 245-246, 253-260
— при сенсорной изоляции 1: 222
— специализация полушарий II: 258-
261 Корреляционный анализ I: 112-113,
126; II: 307-312 Корреляция II: 307 коэффициент Браве Пирсона (г) II:
309-310
— Спирмена (г3) II: 310-311 . Корсаковский синдром II: 141 Кортикостерон I: 464 Косоглазие см, Страбизм Кофе I: 145, 165 .
Кофеин I: 145-146, 1$5 Кошмары I: 174
Коэффициент интеллектуальности (IQ) L: 429*30, 433, 434, 442, 463
— у близнецов I: 464, 465 Кратковременная память Г: 349-350 Критерий знаков II: ЗО4-ЭО6 -рангов II: 306
Критика (ее восприятие) II: 112-113 Критические периоды I: 324, 331-334 Кровосмешение I: 250 Кроманьонцы I: 41 Крысы, биологические ритмы I: 337 -материнский инстинкт I: 48-49 научение I: 122-124, 463, 464 -удовольствие от электротока I: 268 269
— язва желудка I: 282-г284 Ксенофобии I: 72; II: 94 Культура и школа I: 446
Лабиринт I: 123
Латентное научение 1: 303* 319-320
Лекарственные вещества, влияние на
плод I: 422-423 Лесбиянки Г: 252 Лжесвидетельство I: 387-389
Либидо I: 76, 266; II: 34
Либриум I: 148
Лимбичсская система, лимбический
мозг И: 245, 251-252 Лингвистическая компетенция Т; 372 Личностные черты II: 30-32 Личность, оценка II: 55-60 -развитие II: 29-41
расстройства II: 151 -типология II: 29-30 Лоботомия И: 155 Ложь I: 280-281 Лососи, миграция I: 47 ЛСД (диэтиламид лизергиновой кис-
лоты) I
Лунатизм I Люминал I
149-150, 166; II: 269
170
166
«Люси» 1: 42, 50-52
Мазолизм II: 149 Мак II: 148
Маниакальные состояния II: 145, 185 Мантра I: 142, 161
Марихуана I: I5O-152, 167; II: 280-289 Мастурбация II: 16
Материнский инстинкт см. Материнское поведение Материнское воспитание I: 277-279
поведение Т: 48 49, 253-254 Медиана П: 286
Медиаторы см. Нсйромедиаторы Медитация I: 142-143, 156, 157 -общедоступная I: 161-162 Медленно вол новы и («медленный») сон
I: 140-141, 154-155, 169-170 ' Медуза I: 31
Межличностная дистанция II: 73 Менопауза I: 251 Менструация I: 251 Меньшинство II: 78 Мескалин I: 149-150, 166 Мета дон I: 166
Метакоммуникация II: 82-34 Метапсихнка (парапсихология) I: 225 Методы I: ПО 117 Миграции I: 41, 47, 160 Мигрень 1:_161 Миндалевидное ядро II: 252 Мистические состояния, мистический
экстаз t: J55-158, 206 Мнемотехнические приемы I: 350, 352,
381-384
356
Предметный умпате. /ь
Множественная личность II: 148
Мода {в статистике) II: 286
Мозг, обработка информации» сравнение с компьютером I: 471-474
Мозжечок II: 249
Мозолистое тело II: 25 Г
--результаты перерезки II: 260-261
Монистическая концепция I: 61-62, 84, 207
Морфин I: 149, 166; II: 269
Мотив I: 264
Мотивационная активация I: 239
Мотивация I: 33, 136, 240-292
-внутренняя I: 244, 267-268
-гидромеханическая модель I: 265-266
- и память I: 352 -теории I; 290-292 -терминология Г; 264 Моторная деятельность I: 173 Мужчина I: 277
My на гипноз I: 267
Мутации I: 29
Мысленные образы I: 359, 380-381
Мышечный тонус I: 140, 141 .
Мышление I: 244, 301, 348, 358-370
-детское II: 50-53
- н речь I: 370 -корковые зоны II: 255-258 -развитие по Брунеру I: 366-367 —по Пиаже I: 367-370 -сравнение с искусственным интеллектом 1: 474-475
-стратегии I: 363-365 -формальное I: 389-391 Мюллера-Лапера иллюзии 1: 185, 216* 217
Наблюдение I: 316-318
L
Надпочечники II: 239
Накопление жетонов {метод терапии)
II: 168
Намерение I: 264 Нарколепсия I: J75 Наркотики I: 139, 144-153 -механизм действия II: 269 Нарциссизм II: 24, 151 Население Земли I: 45 Наследственность II: 215-220 -и научение I: 122-126 Научение I: 34-36, 47-49, 302-347 -в лабиринте I; 35, 36, 123, 124
-виды I: 302-303 -оценка результатов I: 325-326 -роль врожденного и приобретенного I: 336-341
—наследственности I: 122-126
-социальное I: 69
-языку I: 372-374
Научный метод I: 62, 64-66, 85
Неандертальцы I: 41
Невербальный язык II: 81-82
Нейродепрессанты I: 147-148, 166
Нейрокомпьютеры I: 475
Нейромедиаторы 1: 70, 145; II: 267-270
Нейронаука 1: 205
Нейроны, структура II: 260-264
-функционирование II: 264-270
Нейрохирургия И: 155
Неонатальный период II: 11
Неотения I: 43
Непараметрические методы II: 302-306
Нервная сеть I: 31
~система I: 75; II: 10-11, 221-222
--вегетативная Hi 241-244
—периферическая 11: 240
—соматическая II: 241
— центральная II: 246-260
— эволюция II: 244-246 Нервные структуры сна I: 172 Нервный импульс (потенциал действия) II: 264-265
Никотин 1: 146, 166
Нирвана I: 162
Новорожденные I: 88-89, 212-215
Норадреналин I: 146; II: 239
«Нормальное» поведение, «нормальный» уравновешенный человек I: 21; И: 175-177
Ночная работа I: 340
Ночные ужасы I: 174-175
Нравственное развитие xi: 26-29, 53-55
Нравственность женская, концепция по Гиллиган II: 28-29
Обезьяны I: 34, 36, 49-52 -детеныши I: 275-216 -язва желудка I: 282-284
— язык I: 371, 372, 393-397 Обобщение I: 324
Обоняние I: 214-215; II: 110-Ш, 226-
227
-корковые зоны II: 255 Образы I: 378-381
Предметным уйашпе.л
.157
Обратная связь и управление физиологическими процессами I: 160-161
Обсессивно-компульсианые расстройства II: 146
Обусловливание I: 329. См. также Оперантное обусловливание; Реактивное обусловливание
-классическое Jf: 326-329
Обучение I: 43, 104
-программированное I: 3J6
-языку I: 333-334
Общение I: 371-372
Общество и школа I: 445
Общинная психиатрия II: 157
Объединение (группировка) I: 187
«Одержимость бесом» II: 127-128
Оккультные науки Т: 201
Оннрическая деятельность I: 171
«Оно» II: 132 '
Оперантная терапия II: 167-168, 202
Оперантное обусловливание I: 306-307, 314-315, 331
-поведение I: 303
Опиаты I: 148-149
Опиум I: 148
Оплодотворение II: 216
Опросники I: 111; II: 56-58
Оптимальной активации теория I: 242-243
Орально-гениталъные контакты I: 122
Оргазм I: 270-275
-женский I: 251, 270
-у детей II: 16
Органы чувств см. Рецепторы
Ориентировочная реакция I: 194
Орудия, изготовление I: 3S, 41, 42, 44
Оружие I: 43
Осморецепторы I: 247
Отрочество II: 9
-половое развитие II: 17-18
-физическое развитие II: 14
Охрана территории I: 47-48
Ощущения I: 63, 64, 86
Память I: 167-168, 210, 301, 348-360,
377-388, 39805 -и мышление I: 358-360 -извлечение информации I: 355-356 -компьютера I: 471-472 -локализация в мозгу I: 399-401 -молекулярное кодирование I: 403 -расстройства I: 220, 384386
-синаптическая гипотеза I: 401
-у пожилых людей I: 351
-физическая природа следов I: 401-405
Панические расстройства II: 146, 185
Папуасы I: 25
Парадоксальный сон I: 140-142, 170, 172
Параметрические методы II: 297-302
Парамеция I; 31
Параноидные расстройства J: 146; И: 144
Паранормальные явления I; 224
Парапсихология (биоинформатика, ме-тапсихика* пенлогия) I: 201, 202, 225-233
Парасимпатическая нервная система П: 243, 244
Паращитовидная железа II: 238
Педагогический психолог I: 104-105
Педофилия II: 149
Первичные половые признаки II: 14
Первичные способности по Тёрстоуну I: 416-417
Перенаселенность II: 77, 97
Перенос I; 325, 326
Перцептивная бдительность I: 199
-защита I: 198-199
Перцептивное научение I: 323
Пигмалиона эффект I: 125
Питание, влияние на умственное развитие I: 421-424
Планарии I: 403
«Планификаторы» (в обществе) I: 330-331
Плацебо I: 126; II: 190-192
Плетизмография I: 228
Плод I: 331
-нарушения питания I: 421-422
Побуждение I: 264
Поведение, история и методы исследования I: 19-23
-уровни I: 46
-эволюция I: 30-52
Прведенческая терапия II: 166-169
Подавление по Фрейду II: 132
Поджелудочная железа II: 238-239
Подкрепление отрицательное I: 312
-по Скиннеру I: 329
-положительное 1: 312
Подпороговое восприятие I: 197, 199-200
Подражание I: 69, 262, 316-318/332
Прес) \ <\ '; ;;.
win w
Подсознательное I: 91
Позитронно-эмиссионная томография II: 270-271
Покорность I: 92-93
Пол, определение у ребенка II: 217-218
-развитие 11: 15-19
Половое поведение I: 25, 76, 121-122, 249-253, 266
Половые железы II: 239
-органы I: 272, 273. См. также Первичные половые признаки
Понсо иллюзии I: 216, 217
Понятия I; 324, 361-362
-типы I: 361
Популяция (в статистике) II; 279
Порог восприятия I; 196-198
Потенциал действия (нервный импульс) II: 264-265
Потребности 1: 79, 91, 194, 264 .
Похвала (ее восприятие) II: 112-113
Предвидение 1: 201, 225, 226
Предсознательный уровень 1: 199
Предубеждения II: 93-95
Предшествующий опыт I: 182, 186, 205-212, 339-341 "
Пренатальный период II: 8, 12, 15
П реформистские теории I: 374
Привыкание (габитуация) I: 145, 192-194, 303, 304, 404
Привязанности I: 254, 264
Принцип реальности II: 131
-удовольствия II: 131
Приобретенное поведение см* Врожденное и приобретенное поведение
Проб и ошибок метод I: 307-309
«Проблемная клетка» I: 308
Продолговатый мозг II: 248
Продолжительность жизни II: 9-10
Проективные тесты II; 5S-60
Проекция (по Фрейду) И; 133
Происхождение видов 1: 26-30, См. также Эволюция
-жизни по Библии I: 26
Промежуточный мозг IV. 251
Промышленный психолог I: 103-104, 126
Прямохождение I:. 37, 41
Псилогия (парапсихология) I: 201, 225
Псилоцибин I: 166
Пси-феномены I: 225, 230, 231
Психиатр I: 102
Психическая стимуляция I: 424
Психические расстройства в детстве и
отрочестве II: 178-183 — классификация II: 138-152 . -лечение II: 153-175
— органического происхождения II;
141-142
функциональные II: 142 151 Психическое здоровье и болезнь II: 152 Психоанализ I: 76-77, 171; II: 130-134,
159-160, 192 193 Психогальванометрия I: 228 Психоделитики I: 149-152, 166 Психодрама II: 164 Психолингвист, психолингвистика I:
372, 391 -393
Психологическая активация I: 135 -защита, механизмы II: 132-134,
177-178
Психология (психологические исследования) I: 57-84, 119-120 -личности I: 108, 126 -методы I: 85, 110—117 -разделы Г. 102 107 -творчества I: 107 Психолог-консультант I: 103, 119—120»
126
Психолог-эргономист I: 105 Психомоторные навыки I: 303, 320-321 Психосексуальные расстройства II:
148-150 Психосоматические расстройства I:
- 283; II: 125
Психотерапия I: 103; II: 157-169 Психотропные средства I: 144, 145,
165-167; II: 269
Психофармакология I: 109, 126 Психофизиология I: 70-71, 109 Птенцовые птицы I: 34 Пчелы I: 371
«Равновесие» по Пиаже I: $9-90
Равновесия чувство II: 225
Разброс данных II: 288-294
Развитие индивидуума II: 7-70
—этапы II: 8-10
Размножение I: 160
Расизм I: 460; II: 94
Расслабление I: 154П 155, 162, 222
Рассуждения 1; ЗОЗТ 322-323, 334, 359
Рационалисты I: 62
Реактивное обусловливание Т: 314-315
Пред. \ ten vt nit yKi f :r< n t n: i
359
-поведение I: 303-306
Ребенок, особенности личности I: 455-
457
умственное развитие I: 429; II: 19-23 Резерпин I: 126 Реклама I: 105-106 Религия I: 106
Релятивистские теории I: 375 Ретикулярная формация I: 172, 209,
222; II: 249-251 Рефлексология I: 328 Рефлексы I: 31-32, 208. См. также
Условные рефлексы Рецепторы (органы чувств) I: 182* 208;
II: 222-223
Речевые сигналы у животных I: 371 Речь I: 41-42, 301, 370-377
определение I: 370 -развитие I: 372-377 -расстройства 1: 386-387 Решение задач (проблем) I; 362-363,
418419> 435-436; 473-474 Рибонуклеаза I: 402 РНК (рибонуклеиновая кислота) I:
401-403; II: 215 Родители и дети, взаимоотношения I:
119-120, 457 458
Розенталн эффект I: 115> 116* 125 Раршаха тест II: 58-59 Рост II: 10 Рубина ваза I: 187 Рука, эволюция 1: 37 38
Садизм II: 149
Самоактуализация II: 39
Самовыражение I: 91—92
Самореализация I: 79, 92, 256-257
Самоуважение 1: 92, 256
«Сверх-Я» I: 266; II: 130-132
Световые волны II: 235-236
Свободная воля I: 80
«Свое» I: 156, 157
Сексуальные роли I: 276-279
-фантазии II: 47-49
Секты I: 267-268
Семантика 1: 372
Семантическая память I: 353—355, 392
Семейная терапия II: 164-165
Семья* взаимоотношения I: 103» 119-120, 457-458, См. также Родители и дети, взаимоотношения
-место ребенка I: 455
-число детей и умственное развитие
I: 425, 442 444 Сенсибилизация I: 303, 304 Сенсомоторная стадия (по Пиаже) II:
20-21
Сенсорная адаптация I: 193 -изоляция I: 202-203, 219-222 -память I: 348-349, 377-378 Серотонин I: 146; II: 263 Симметрия I: 138 Симпатии 1: 71 Симпатическая нервная система II: 243,
244
Синапсы I: 401, 402; II: 266-267 Синдром адаптации II: 125 -скоропостижной смерти I: 176 Синкретизм 11: 24-25, 50 52 Синтаксис I: 372, 392-393 Склонность I; 264 Скотофобин I; 404 Слепой метод I: 116 —двойной I: 116, 126 Слепота врожденная I: 186, 212 Слух II: 227-230 -корковме зоны II; 255 Слуховое восприятие I: 214 Смерть 1: 164-165, 176; IT: 46-47 Снедекора тест II: 301 -302 -Сновидения (сны) 1: 141, 169-174, 227 -«вещие» I: 224 Снотворные средства I: 147 Собака, способность к умозаключениям I: 49 -50 Сознание I: 64, 65, В6 -активация Т: 134-139 -расстройства I: 139-153 Созревание, критические периоды I;
324, 331-334 Солнечный свет I: 183 Соматизиро ванные расстройства II:
147, 186 Соматоформные расстройства II: 146-
147
Сомнамбулизм I: 175 Сон I: 137, 139-142, 154-155, 169-176,
См. также Сновидения Социализация II: 41 -43 Социальная психология I: 109 -терапия II: 164-166 Социальное восприятие II: 84-обучение I: 292
36t>
Предметный уки итк\
-положение I: 425427; II: 77-78
-развитие II: 41-45
Социальный ранг (у животных) II: 77-78
Социобиология I: 70, 72, 88
Социокультурный подход к аномалиям поведения II: 137-138
Социопатия II: 181
Спинной мозг II: 247
Среднее отклонение II; 289
Средний мозг II: 249
Средняя арифметическая II; 287
Стандартное отклонение I: 433; II: 1 290-294
Старческое слабоумие 11; 141
Статистика индуктивная II: 295-306
-описательная II: 282-294
Статистическая обработка данных I: 226-229, 43334; 1Г; 277
Ствол мозга II: 247-248
Степени свободы II: 299
Стереоскопическое восприятие (восприятие глубины) I: 191-192, 212, 214 <
Стереотипы II: 86-88
Стимулы I: 64, 208-210
-для восприятия I: 194
Страбизм (косоглазие) I: 214
Стратегии I: 72
Стресс I: 261-263, 284-287; II: 124-125
Структуралистский подход (в психологии) I: 64-65
Стъюдента метод (Mwr) II: 297-301, 316
Стэнфорд-Fww тест I; 428-432
Субатомная реальность I: 206
Сублимация II: 133
Субъективная психология I: 63
Счетная способность I: 416
Табак I: 145, 166 Таксисы I: 30-31 Таламус II: 245, 252 Творческие способности I: 438-441 Творческий потенциал I: 301 Творческое мышление I: 436-442 Творчество I: 435-442 Телевидение I; 292-293 Телекинез I: 225, 229 Телепатия I: 201, 225, 226 Тембр II: 234-235
Темперамент I: 456
Теория I: 62 относительности I: 205
«Терапия реальностью» II: 163, 199
Терапия, центрированная на клиенте II; J 60-161, 194-195
Тернера синдром II: 219
Терпение рыболова 1: 340, 341
Территория (у животных) II: 72-73
Тест 1Q см. Коэффициент интеллектуальности
Тест SAT I; 444
Тест Т (Вилкоксона), тест U (Манна-Уитни) II; 306
Тест ТТА И: 59
Тесты I: 103, 104, 111
-валидность и надежность I: 448449
-на интеллект I; 427-433, 442, 444, 447-451, 461-463
-«нормализация» I: 111
9-Тетрагидроканнабинол I; 150
Тимус II: 23S
Токсикомания I: 145, 146, 148
Толерантность (к наркотикам) I: 145
Травестизм II: 149
Транквилизаторы I; 147-148, 166; II: 155, 269 ' '
Транс I: 138
Трансакцнонныи анализ II: 163-164
Транссексуализм II: 148
Трансцендентальная медитация I: 142
Тревога I: 262; II: 124
Тревожные состояния II: 145-146
Трисомия 21 II: 216. См. также Дауна синдром
Тропизмы I: 30
Угасание I: 306, 313 Удовольствия центры I: 268t 269 Узнавание I: 210 Улыбка II: 115-116 Умозаключения I: 36-37, 49-52 Умственная отсталость I: 434, 453 Умственное развитие I: 419-430 — влияние питания матери I: 421-424
-----социального положения I: 425427
-----числа детей в семье I: 425, 442-444
—концепция Брунера I: 366-367
-—Пиаже I: 367-370
—психическая стимуляция I: 424
Предметный указатель
361
— роль наследственности I: 420-422,
460-461
Умственные потенции I: 416-417 способности I: 24-25, 113, 325+ Си.
также Первичные способности по
Тёрстоуну
Умственный возраст I; 427—430 Управление обществом по Скичнеру I:
329-331
Уравновешенный характер II: 175-177 Условные рефлексы I: 32, 36, 68, 303,
305-306
Успокаивающие средства I: 147 Установки II: 88-93 Ухо II: 228-229
Цвет, восприятие I: 183-186; II: 232
233
—у новорожденных I: 212, 213 Целое I: 74
Цнркалианные ритмы I: 153-160 Цирканнуальные ритмы I: 160
Чай I: 145, 165
Человек, место во Вселенной 1: 3S
-умелый I: 37-39
-эволюция I: 37-45
Черепномозговые нервы II: 242
Чувства I: 136
-притупление 1:+282
Фактор G I: 416
Фашизм I: 460, 462
Фенилкстонурия I: 420
Феромоны II; ПО
Фетишизм II: 149
Физика, физические теории I; 84, 205
Физиологическая активация I: 135
Физиологические потребности I: 9!
Физиологический порог восприятия I:
J96-198
Физиология I: 87 Физическое развитие I: 336-337; II:
П-15
Философы древние I: 59-60 Фобии И: 145-146, 185-186 Фонемы I: 392 Фонология I: 372, 392 Формальных операций стадия II: 23 Формирование реакций I: 309-311 Фрустрация (досада) I; 291 Функционалисты I: 65-66, 86 Функциональная ригидность I: 360, 435
_
Характер I: 456
Хватательные движения II: 12, 14 Хи-квадрат метод II: 302-304, 316 Химиотерапия I: 126; II: 155-156 Химическая чувствительность П: 225-
226
Хомяки, биологические ритмы I: 337 Хотение I: 264 Хоториа эффект I: Пб, 126 Хромосомные аномалии I: 421, 422; II:
216, 219 Хромосомы I: 421; II: 215-219
Шизофрения Т: 139, 158, 200; II: 113-
115, 142-144 -формы II: 144 Шимпанзе I: 57, 393-396 Школа I: 444-447
Школьная успеваемость I: 425, 426, 444 Школьное образование I: 426 447 Школьный психолог I: 103-104* 126 Шум IT: 77, 98 99
Щитовидная железа II: 233
Эволюционная теория I; 26-30 Эволюционный календарь I: 40 Эволюция I: 26-52 -поведения I: 30-36 -социальная I: 42-44 -хронология I: 40 человека I: 37-45 Эвристический метод 1: 474 Эгоцентризм (детский) II: 50 Эдипов комплекс II: 60-61 Эйдетические образы I; 379-380 Эйфория I: 146, 147, 151 Экзистенциальная терапия II: 163 Эклектический подход I: 81-82 Экологическая психология I: 106 Эксгибиционизм II: 149 Экспериментальная группа 1: 114, 126 Экспериментальный метод I: 113-116,
126 Эксперименты на животных I: 120-121,
463-464 t
24 441
362
укалитль
-переменные факторы I: 114-115
Экстраверсия II: 31, 32
Экстравертир о ванное сознание I: 138, 139
Экстраверты I; 229
Экстрасенсорное восприятие I: 200 202, 225
Электрическая активность мозга I: 154—155. См, также Электроэнцефалограмма (ЭЭГ)
Электрошок I: 268-269
Электрошоковая терапия II: 154-155
Электроэнцефалограмма (ЭЭГ) I: 154,
155, 157, 170 в парапсихологических опытах I; 228
-при сенсорной изоляции I: 222
Электры комплекс II: Э5П 61
Эмотивно-рациональная терапия 11: 162 163, 197-199
Эмоции J: 71- 72, 136, 240, 257-263
Эмоциональная активация Т; 239
Эмпатия II: 161
Эмпирическое направление I: 62
Энграмма I: 399
Эндокринные железы II; 237-240
Эндорфины 1: 149, 164, 222; II: 192, 269
Эпизодическая память I: 353
Эпилепсия I: 161
Эпифиз II: 240
Эрогенные зоны II: 34
Эротические ласки II: 17
Эстральный цикл I: 249, 337
Этнолог I: S6
Этология I: 70 72
Эффект аудитории I; 125, 325
зрителя II: 79 -ореола II: 85 -первичности¥11; 85
первого впечатления I: 126 -плацебо I: 116, 126 Эффекторы II; 236-240 Эхография II: 15
Юридическая психология I; 105
«Я» I: 156: II: 5, 7, 130. 132. См. также
«Сверх-Я»
-идеальное и реальное II: 39, 136 Язва желудка \: 282-284 Язык I: 371 372 -Бейсик I: 472 -дельфинов I: 220 -невербальный II: 81 82 -обезьян I: 371, 372, 393-397 -пчел 1: 37!
-разных народов I: 375-376 Языковая психология 1: 372 Ясновидение I: 225
Именной указатель
Абеляр (Abelard R) 1: 60 Агранофф (Agranoff G.) 1: 402 Адлер (Adler A.) II: 36-37 Азеринский (A7erinsky Е.) I: 141 Айэснк (Eysenck H+JJ II: 31 Аристотель I 5K 60 Аронсон (Aronson R) II: 112
Вейнберг (Weinberg MS<) i: 251
Вейс (Weiss X М.) I; 283, 284
Векслер (Wechslcr D.) I: 415, 431-434
Виктор I: 19-21, 24, 186
Вольф (Wolf Ch.) Ir 84
Вундт (Wuntil W.) I: 64, 85, 390, 391
Выготский Л. С. I: 367, 376; II: 23
Бандура (Bandura A,) I: 69, 73, 217, 292, 317 . .
Бейтсон {Bateson G.) I: 221; II: 84
Белл {Bell A. P.) I: 251
Бельмон (Bclmom L.) \: 443
Бенсон {Benson H<) I: 143, 161
Бергер (Berger H.) I; 154
Бёрдуистелл (Birdwhistell R, LT) II: 82, 84
Бёрт (Burl C) I: 462, 466
Бессель (Bessel F.) T: 414
Бсттелхайм (Bettelheim B.) II: 180
Бехтерев В. М. I: 328
Бикмэн (Bickman L.) II: 97
Бине (Binct A.) I: 390, 391, 427-430
Бич (Beach F.A+) Г: 251
Бичср (Bcccber J.) II; 191
Блаффер Хрди (BLaffer Hrdy} I; 270
Боллсс (Bolles R. C.) I: 244
Боу-jp (Bower T.G.R.) I: 88, 89
Браня (Brand G.) I: 230
Брейди (Brady J.V.) I: 282-284
Бругманс (Brugmans X F.) I: 225
Брунер (Bruner J, S.} I: 361, 363, 366, 367, 370
Бэгби (Bagby) I: 210, 212
Бюлср {Buhler Ch.) II: 40
Валлон (Wallon H.) II: 23, 25 Ваг Гог (van Gogh V.) I: 158 Васильев Л. 201л 225, 227 Вебер (Weber E.H.) I: 64
Галилей I: 60
Гальтон (Galton F.) I: 414, 460-462, 466
Гарднер Ph и Б, {Gardner R. и В.) I:
394
Гатри (Guthric R.VJ 1: 467 Гегель (Hegel G.W.F,) I: 62 Геллер (Geller Щ I; 202 Герней (Gnrney E.) I: 225 Гсрон (Heron W.) 1: 219 Гибсон (Gibson E.J.) 1: 212 Гиллиган (GiHigan C) II: 26, 2S Гилфорд (Guilford J. R) I: 417, 418 Гласе {Glass D. D,) II; 15S Го/ыарт (Goddart) I: 462 Гой (Goy R. W.J 1: 269 Гомер I; 58
Гофман (Goflman E.) II: 137 Графе нберг (G га fen berg E.) I: 272 Грегори (Gregory R.L.) \: 185, 2\5, 323 Гринсбсрг II: 119 Гроф (Grof) 1: 221 Гуди и и {Goodwin D.) I: 167 Гудолл Джейн (Goodail J.) I: 44, 71;
II: 75
Д*Авила Тереза (d'Avila TO I: 15&
Дарвин (Darwin Ch>) I: 26 30, 72
Дарли (Darley J. M.) II: 79
Даффи (DuiTy H.) I: 242
Декарт (Descarlcs R,) I: 60 62/181, 186
Делиньи (Deligny F) II: 180
24-
364
Именной указатель
Дерден-Смит (Durden-Smith J.) 11: 111 Деси {Dcci F, L.) 1: 244 Детье (Dethier V. G.) I: 46 Джеймс У. (James W/> I: 65, 66, 225 Джон {John M) T: 402-403 Джонсон {Johnson V+E,} I. 271; II: 49 Джохансон (Johanson D,) I: 52 Диксон {Dixon N.F.) I: 199, 222 Доллард (Dollard J.) Г: 291 Дьюи (Dewey J.) 1: 86 Дэвидсон (Davidson J. M.) I: 273 " Дэвис (Davis F.C) I: 380 Дюваль (Duval P.) (псевдоним Шовена) I: 228, 229
Жане (Janet) I: 227 Желей (Geky G.) I: 225 Жуве (Jouvct M.) I: 172
Зайокц (Zajonc R.B+) I: 425, 442-444,
455
Зейгарник (Zeigarnik B. VJ I: 352 Зснер (Zener) F: 225 Зубек (Zubek J.) I: 463
Икскюлль (von Uexkiill J+) I: 204 Ингрэм (Ingram D.) I: 393 Инхсльдер (Inhelder B.) I: 380 Иодоровский (Jodorowski) I: 221 Итар (Itard J.) I; 19, 24
Йенсен (Jensen A, R.) Г: 419, 462, 463, 466 Йеркс (Yerkes R.M.) I: 35, 36, 431, 461
Каган (Kagan Ц T: 456
Каздин (Kazdin A. R) IT; 191
Кант И. (Kant I.) I: 62
Карли (Kurli P.} 1: 290-292
Кзртрайт (Cartwright R.D.) I: 173, 174
Каслер (Casler Щ I: 227
Кёлер (Kohler W,) X: 50, 73, 74, 321, 322
Келлог и Келлог (Kellog W, А. и L, AJ I:
393
Кеннел {Kennel J.) I: 254 Кеплер (Kepler J,) I: 60 Кинси (Kinsey A,) I: 121, 122, 250t 251;
IT: 18
Клапаред (Claparede E,) II: 50 Клаус (Klaus M.) I; 254 Клейтман (Kleitman N.) I: 141 Кокс (Cox) I: 441 Кокто {Cocteau J.) I: 14$ Кольберг (Kohlberg L) II; 27-28 Кондильяк (Condillac) I; 63 Коперник Н. I: 60
Коппанс (Coppens Y.) I: 37, 41, 51, 57 Коселин (Kosslyn S.Mt) 1: 76, 381 Костанцо (Costanzo P.R.) TT: 107 Кратчфнлд (Crutchfteld R,S,} II: 78 Крафф-Эбинг (КЫТ-Ebing) II: 111 Крепелин (Kraepelin E) II: 129 Kpeno (Crepault C) II: 48 Кречмер (Kretschmer E.) II; 29 Криппнер (Krippner S.) I: 227, 231 Купер (Cooper R.) 1: 463 Кэндел {Kandd E) I: 404 * Кзттелл (Cattell J.) I: 414, 415 Кэттелл (Cattell R.B.) 1: 419, 451; H; Jl Кюблер-Росс {КйЫег-Ross E+) I: 164; II:
46 Кюри М. и П. (Curie) I: 225
Лабори (Laborit H.) II: 245-246
Латанэ (Latane B.) II: 79
Левин (Levine M.} I: 363
Левин сон (Levmson В, WJ I: 167
Лсннеберг (Lenneberg E. H.) 1: 374, 378
Лики (Leakey M+) I; 52
Лилли (Lilly J.) I; 137, 202, 203, 220-221
Линдер (binder D, E,) II: 112
Ловаас (Lovaas T,O,) II: 180
Локк (Locke J-) I: 63
Лоренц (Lorenz K.) I: 33, 34, 70, 71, 242,
265, 290
Лофтус (Loftus E. R) I: 388, 389 Лурия А. Р, I: 367 Лэинг (Laing R.D.) II: 137, 138, 185 Лэшли (Lashley K.) I: 399, 405
Мак-Каллок {Mac Culloch MJJ II; 201 Мак-Карли (McCarlcy R.W-) I: 173 Мак-Коннел (McConnel J. V-) I: 403, 404 Мак-Лин (McLean PJ II: 244, 245 Мак-Юэн (McEwen B.S.) I: 269 Мальтус (Maltus T.) I: 28 Маркс П. (Marx P.) I: 284 Маркус (Marcus G+B.) I: 442-444
Именной указатель
365
Маролла (МагоИа F. А,) I; 443
Маррей (Murray Н. АО II; 59
Маслоу {Maslow A.) 1; 77, 79, 91, 144,
245; II: 39
Мастере (Masters W.H.) I: 271; II: 49 Матье (Malhieu M.) II: 21 Мсндел (Mendel W.) I: 126, 194; II: 189 Мсрабян (Mehrabian A.) II: 83 Мид (Mead M.) I: 225, 476 Миерс (Myers К W. Н.) I: 225 Милгрэм (Milgram С.) 1: 92, 93, 109;
II: 103, 105
Миллер (Miller G. А.) I: 349 Миллер (МШег RE.) I: 160, 291 Мониз (Moniz J.) II: 155 Монредон (Montredon E.) Г: 229 Мсжтессори Мария (Montessori МО I:
445
Морено (Moreno J. L.) II: 164 Мориарти (Moriarty Т.) II: 109, ПО Московичи (Moscovici S.) II; 78, 108 Муди (Moody R,) I: 164, 165 Мунн (Munn N.L.) I: 267, 324
Надо (Nadeau L.) I: 152 Нсйссср (Neisser Vt) I: 73 Ньютон (Newton L) I: 181 Нюттен (Nutten J.) I: 244
Пирс-Прэтт (Pearсе-Pratt) I: 226 . Платон I: 5Z4 59, 62 Прибрам (Pribram КО I: 206-208 Примэк (Premack D.) I: 394 Псалтис Д. I: 400, 476 Пьерон (Pieron H.) I: 66 Пэттисон (Paulson E. MO II: 46
Райн (Rhine J. BO I: 20b 225, 226, 229
Рам а кришна (Ramakrishna) I: 158
Рамбо (Rumbaugh D, M J I: 394
Рейвен (Raven ВО П: 76
Рейнер (Rayner R,) I: 313
Рейх (Reich W.) fc 266
Ривс* (Reeves R) I: 181
Ризл (Ryzl) I 227
Рйнг (Ring K+) I: 165
Рише (Richet C) I: 225, 227, 232
Роджерс (Rogers C.) I: 77, 78; II: 39, 136,
160, 161, 194
Розенберг (Rosenberg M. R.) I: 475 Розенталь (Rosenthal R.) J: 115, 125 Розенхан (Rosenhan D,L.} II: 153, 188,
189
Роршах (Rorschach H.) II: 58 Роттср (Rotter J.B.) II: 33, 58 Рош-Лекур II: 259
Овертон (Overton D. AJ I: 167 Олдс (Olds J.) I; 268 Олпорт (Allport G. WO II: 30 Орм (Orme) II: 181
Павлов И.П, I: 67, 81, 186, 305, 306,
313, 326, 327-Паскаль (Pascal B.) I: 158 Пастср (Pasteur L.) II: 129 Паттсрсон (Patterson F.G) I: 394 Пау>лл (Powell T+P.) II: 261 Псйперт (Papert S,) I; 477 Пекк (Peck R+) II: 43 Пснфилд (Penficld W, GO I: 399, 400 Перле (Perls F.) II: 161, 195 Пиаже (Piaget JO I: 73, 89, 332-334,
367-369, 376, 380, 390, 391; U: 19,
23, 25, 26, 42, 52 Пил (Peek S) I: 152, 153 Пинель (Pind Ph.) 1: 19, 21, 24; II: 128,
129
Сайновски 1: 475
Cac (Szasz ThO I: 152
Селигмен (Seligman M.E.PO II: 134
Селье (Selye H.) I: 262, 263; 11: 125
Симон (Simon Th.) I: 430
Симонов П.В+ I: 244
Сирл (Searle L.VO I: 129
Сиффр (Siffrc M.) I: 159
Скилс (Skeels H.MO 1: 424, 425
Скиннер (Skinner B.R) I: 6S, 6% 309-
311, 329 331; II: 167 Слоун (Sloane RO It 158 Смит (Smith M. L) II: 158 Смит (Smith S.M.H.D.) I: 366 Спайсмаи (Speismsm J.C) I; 2SI Сгтерлинг (Sperling GO t 348, 377, 378 Сперри (Sperry R.) IT: 260, 261 Спирмен (Spearman CO I: 416 Стеллар (Stellar E.) I: 46 Столлер (Stoker R,JO II: 49 Стэнфорд (Stanford) I: 230
366
И. \ tetmoii \ к а чип кк
Тарт (Tart С. Т.) I: 228
Термен (Terman LM.) I: 430, 431, 433,
434, 453, 454, 461 Террас (Terrace R S.) I: 395-397 Тёрстоун (Thurstone L+L) I: 416Т 417 Тинберген (Tinbergen N.) I: 47, 48 Тобиаш (Tobias P.) I: 52 Токкэ (Tocquet R.) I: 225 Тол мен (Tolman RC) Т: 73, 75 Томсон (Thomson GR) 418, 419 Торндайк (Thorndike Е. L.) I: 68, 307-
309, 329
Трайон (Tryon R.C) I: 113, 122, 123, 463 Тульвинг (Tulving E.) 1: 351, 353 Тюийе (Thuiller) ГГ: 189
Уайт {White Т.) I: 52 Уилкоксон (Wilcoxon L.H.) II; 191 Уилсон (Wilson E. O.) 1: 72 Улльман (Ullman M.) I: 227 Унгар (Ungar G > I: 403, 404 Уок (Walk R.D.) I: 212 Уоллес (Wallas GJ I: 362 Уолтер (Walter GO I: 155 Уорф (Wharf B. L.) I: 375 Уотцлэвик (Watzlawick P.) II: 84, 113 Уотсон (Watson J.B.) I: 66-69t 73, 87, 313, 326, 328, 365, 372, 390, 391
Фалер (Fahter P.) I: 227
Фаулкс (Foulkcs DJ I: 173
Фаутс (Fouls R.S.) I: 394, 396
Фельдман (Feldman M. P.) II: 20!
Фергюсон (Fergusson M) I: 157, 440
Фестингер (Festinger L.) II: 9lt 92
Фсхнер (Fechner G.Th.) I: 64
Филдс (Fields G.) IT: 192
Фишер (Fischer С D.) I: 244
Фишер (Fischer R.A.) I: 155, 156, 163> 167, 168, 221
Фламмарион (Flammarion CJ I: 225
Флекснер (Flexner D.) I: 403
Форд (Ford С SO 1: 251
Фрейд (Freud S,} 1: 76, 77, 81, 171, 186, 199, 266, 290, 355, 358, 390, 391; II: 34-36, 130, 131, 134, l«, 192, 193
Фреяч (French J. R. P.) II: 76
Фриш (von Frisch K,) I: 371
Хайдер (Heider F.) II: 92
Хант (Hunt M.} И: 17
Харлоу (Harlow RR) I: 249, 254, 262,
275, 276 Хебб (Hcbb D.O.) T: 137, L3S+ 242, 323,
399, 401, 420 Хебер (Hebcr R.) I: 424 Xecc (Hess E.H.) 1: 218, 219; II: SO Хиден (Hydcn H.) I; 401 Хилпфд (Hilgard E.R0 t: 163 Хит (Heath) II: 191 Холл (Hall C) I: 173 Холл (Hall S.) I: 86 Хомский (Chomsky N.) I: 374, 392, 395 Хонортон (Honorton X) I: 227, 230 Хопфилд I: 475 Хордсн I; 401 Хоторн (Hawthorne) I: 116, 126
Чаплин Ч. (Chaplin Ch.) 1: 167 Черри (Cherry EC.) I: 195
Шанжё (Changcux J.-R} II: 249 Шагтутье (Chapouthier G.) I: 348 Шахтер (Schachter SJ I: 254 Шелдон (Sheldon W.R.) II: 29 Шмсйдлер (Schmcidler) I: 229 Шмидт (Schmidt H>) 1: 226 Шовен (Chauvjn R,) I: 228 Штерн (Stern W+> I: 429 Шуман Роберт (Schumann R.) I: 158
Эбби (Abbey A,) 11: 116
Эббингауз (Ebbmghaus H.) T; 349, 350
Эдип II: 60 61
Эйбл-Эйбесфельдт (Eibl-Eibesfeldt Г) II:
111
Эйзли (Eiseley L,) lie 95 Эйнштейн (Einstein A.) I: 205 Экклс (Eccles JJ I: 230 Эллис (Ellis A,) II: 135, 136 Энджелл (Angel 1) I; $6 Эренфельс (von Ehrenfels ChJ I: 73 Эриксон (Erikson E. H.) I: 77; II: 43 Эрон (Eron L, D+) I: 290 3m(Asch S,E+) 11:84, 105
Юм (Hume D.) I: 63
Юнг (Jung. С.G.). I: 171; II: 30, 37, 38
Юнг Томас (Jung Т.) I: J84
Оглавление
ЧАСТЬ 4. Я, ДРУГИЕ И «ИНЫЕ»
Глава 10. Развитие «Я»................. 7
Введение................... 7
Различные аспекты развития............. 8
Этапы жизни , ................ 8
Неравномерность роста......... . . 10
Развитие нервной системы ..... 10
Физическое развитие................ 11
Половое развитие................. 15
Половая функция и размножение . . ........ 15
Половое поведение и развитие........... 15
Когнитивное развитие............... 19
Этапы умственного развития ребенка и подростка .... 19
Умственные способности взрослого человека...... 25
Нравственное развитие............... 26
Моральное суждение в детском возрасте . ..... 26
Развитие нравственного сознания.......... 27
Развитие личности . .............. 29
Описательные подходы.............. 29
Бихевиористский подход............. 32
Когнитивный подход.............. 33
Психодинамические подходы . . . 34
Гуманистический подход............. 38
Социальное развитие................ 41
Этапы социализации.............. 41
Жизненные кризисы ............ 43
Смерть . . . ............ 46
Приближение к смерти............. 46
Ступени смерти................ 46
Документ 10.1. Сексуальные фантазии: извращение или
психологическое «афролидирующее средство»?..... 47
Документ 10.2. Детское мышление......... 50
Документ 103, Перед лицом нравственной дилеммы . 53
Документ 10.4. Можно ли оценить личность? ..... 55
Документ 10.5. Кто такие были Эдип и Электра? .... 60
Материал для самопроверки.............. 63
Литература................... 69
Глава 11. Человек и другие люди........ 71
Введение.................... 71
Жизнь в обществе............. . . 72
Территория и индивидуальный участок .. 72
Факторы окружающей среды........... 74
Социальное положение и роль в группе.. 74
бласть и подчинение.............. 76
Конформизм................. 77
Влияние меньшинства....... .... 78
Альтруизм и апатия.......... . 78
Взаимодействие и коммуникация........:.. 79
Межличностное влечение ............ 79
Коммуникация...... .... 81
Социальное восприятие............... 84
Впечатления ......... 84
Каузальная атрибуция............. 85
Стереотипы ........... 86
Установки .
Составляющие установок ....... 88
Выработка установок.............. 89
Изменение установок.............. 89
Предубеждения................ 93
Документ 11.1. «Внутренняя галактика»....... 95
Документ П.2. Чем многолюднее, тем безответственнее 97
Документ 11.3. Шум и успеваемость в школе..... 98
Документ I L4. Доминирование, власть и лидерство ... 99
Документ 11.5. Приказы и жизнь других людей ..... 103
Документ 11.6. Конформизм и преобразование действительности ......... 105
Документ 117, Влияние меньшинств и- социальные сдвиги.................... 107
Документ 11.8, Безмолвные ейидетели и снисходительные жертвы.............. 108
Документ 11.9. Межличностное влечение зависит и от обоняния.................. 110
Документ 11.10. Похвала и критика......... 112
Документ 11,11. Парадоксальная коммуникация, двойное принуждение и шизофрения... 113
Документ 11.12. Любовь и истолкование улыбки , . . . 115
Резюме..................... 116
Материал для самопроверки............. 117
Ответы................... 121
Литература................... 122
Глава 12. «Иные»..................... 124
Тревога и стресс................. 124
Что такое аномальное поведение?........... 126
Некоторые подходы к пониманию аномального поведения 127
Демонология................ !27
Медицинский подход.............. 129
Психоаналитический подход ..:....... 130
Бихевиористский подход . ........... 134
Оглавление 369
Когнитивный подход............ . 135
Гуманистический подход............. 136
Социо-культурный подход............ 137
Классификация психических расстройств , ... 138
Расстройства, свойственные детскому и подростковому возрасту . ..... 140
Расстройства органического происхождения.. 141
Функциональные расстройства . ....... 142
Расстройства личности............. 151
«Приклеивание ярлыков» и его последствия 152
Лечение...... . 153
Психиатрия и медицинский подход к лечению психических расстройств........ 154
Психотерапия................. 157
Поведенческая терапия (бихевиористский подход) .... 166
Альтернативные ресурсы и групповая терапия . . . 170
Документ 12.1. Уравновешенный человек н «норма» , 175
Документ 12.2. Жизнь и механизмы психологической защиты 177
Документ 12.3. Психические расстройства в детстве н отрочестве ........ . 178
Документ 12.4. Путешествие через психическое страда-
Документ 12.5. Здравый рассудок среди безумия .... 187
Документ 12.6. Антипсихиатрия и психиатрия: право на безумие или право на лечение? 189
Документ 12.7. Не сводится ли весь секрет терапии к эффекту плацебо? . 190
Документ 12.8. Пример фрейдистской интерпретации 192
Документ 12.9. От одной формы терапии к другой ... 194
Резюме..................... 203
Материал для самопроверки............. 206
Ответы................... 212
Литература................... 213
Приложение А. Биологические основы поведения ... 215
Наследственность и размножение . 215
Генетические основы развития 215
Хромосомные аномалии.......... 219
Близнецы ............ .... 220
Резюме................. 220
Физиология поведения.......... 221
Организация нервной системы ........ 221
Рецепторы............... 222
Дополнение А.1. Звук и свет......... 233
Эффекторы ................ 236
Периферическая нервная система....... 240
Дополнение А.2. Три «мозга» и эволюция нервной системы, 244
Центральная нервная система......... 246
Кора большого мозга......... . . 253
Дополнение A3. Расщепленный мозг 260
Структура и функции нейрона ......... 262
Дополнение А.4. Нервная активность и сканер . 270
Резюме.................. 272
Литература................. 276
Приложение Б. Статистика и обработка данных...... 277
Введение.................. 277
Дополнение БЛ, Некоторые основные понятия 279
Дополнение Б.2. Влияние потребления марихуаны на глазодвигательную координацию и время реакции (гипотетический эксперимент)...... 280
Описательная статистика............ 282
Группировка данных............ 282
Оценка центральной тенденции........ 286
Оценка разброса... 288
Индуктивная статистика . ....... 295
Проверка гипотез............. 295
Дополнение Б.З. Уровни достоверности (значимости)
Параметрические методы.......... 297
Дополнение Б А Степени свободы....... 297
Непараметрические методы......... 302
Корреляционный анализ.......... 307
Коэффициент корреляции -. 307
Резюме.................. 312
Результаты вычислений, которые предложено было сделать читателям....... 315
Дополнение Б.5. Таблицы........... 316
Литература.................. 317
Словарь терминов..................... 318
Предметный указатель.............. 351
Именной указатель................. 363
Уважаемый читатель!
-
Ваши замечания о содержании книги, ее
оформлении, качестве перевода и другие
просим присылать по адресу:
129820, Москва,
1-й Рижский пер., д. 2,
издательство «Мир»
Учебное издание
Жо Годфруа
ЧТО ТАКОЕ ПСИХОЛОГИЯ
В 2-х томах Том 2
Консультант редакции члкорр. АН СССР
Т. М. Турпаев
Заведующая редакцией канд. биол, наук М.Д, Гроэлоьа
Ст. научк. редактор КХ И. Пашкевич
Мл. научи, редактор ЬЛ.С. Карнюшнна
Художник А, В. Захаров
Художественные редакторы АС Волков, Л. М, Аленичена
Технические редакторы И,М. Кренделсва, Т.Д. Максимова
Корректор С. А. Денисова
ИЬ № 7487
Сдано в набор 29 04.91. Подписано к лечат» 23.06.92. Формат 60 х 90V|6- Бумага офсетная >fe 1. Печать офсетная. Гарнитура тайме. Объем 11*75 бум. л. Уел, печ. л. 23,50, Усл. кротт. 47. Уч. изд, л. 27Л1- Иж № 4/7674, Тираж 15 000 экх Зах, 443, С-293.
«Мир» 129820, ГСП, Москва, И-ПО, 1-й Рижский пер., 2.
Можайский иолшрдфкомбннаг Министерства печати и информации Российской Федерации г. Можайск, ул. Мира, 93.















