| Скачать .docx |
Реферат: Контрольная работа по Математическим методам в психологии
ФЕДЕРАЛЬНОЕ АГЕНТСТВО ПО ОБРАЗОВАНИЮ
УРАЛЬСКИЙ ГУМАНИТАРНЫЙ ИНСТИТУТ
Заочный факультет
Кафедра психологии
Контрольная работа по дисциплине: Математические методы в психологии
Вариант 5
Екатеринбург
2010
1.Раскрыть меры центральной тенденции (Мода, медиана, среднее арифметическое)
Меры центральной тенденции
Назначение М. ц. т. — служить сводными количественными характеристиками, обеспечивающими наилучшее описание множества наблюдений или оценок одним единственным числом. Термины М. ц. т. и «средняя величина» часто употребляются как равнозначные, хотя некоторые авторы сужают объем понятия «средняя величина» до среднего арифметического. Несмотря на разнообразие М. ц. т., чаще всего встречаются мода, медиана и среднее.
Мода — это просто наиболее часто встречающееся в определенной совокупности наблюдений значение переменной. При сгруппированных данных мода определяется как середина интервала группирования, содержащего наибольшее число значений наблюдаемой переменной.
Медиана — это значение переменной, делящее упорядоченную совокупность наблюдений пополам, так что одна половина значений в этой совокупности лежит ниже медианы, а др. их половина — выше медианы. Если совокупность образована нечетным числом значений наблюдаемой переменной, то медиана равна значению переменной, являющемуся серединой упорядоченной совокупности наблюдений. Если же совокупность образована четным числом значений, то медиана определяется значением, лежащим посередине между двумя значениями, находящимися в центре упорядоченной совокупности наблюдений. Медиана — более полезная мера, чем мода, и часто используется в случае скошенного (асимметричного) распределения данных. Следует, однако, отметить, что медиана нечувствительна к величине крайних значений упорядоченной совокупности наблюдений.
Среднее арифметическое — самая распространенная мера центральной тенденции — определяется как сумма значений наблюдаемой переменной, разделенная на их число. (В данной статье под «средним» подразумевается среднее арифметическое.) Использование среднего дает исследователю ряд преимуществ. В отличие от др. М. ц. т., среднее чувствительно к точному положению каждого значения в распределении переменной. Правда, это достоинство среднего арифметического оборачивается недостатком в виде повышенной чувствительности к крайним значениям переменной, и потому его иногда избегают использовать в случае сильно скошенных распределений.
2.Укажите в каких случаях используются коэффициент корреляции Фехнера, коэффициент корреляции Пирсона, приведите пример.
Коэффициент Фехнера. Подсчитывается количество совпадений и несовпадений знаков отклонений значений показателей от их среднего значения. Коэффициент это отношение разницы количества совпадения и количества несовпадений к их сумме.
Коэффициент корреляции Фехнера— это мера взаимосвязи измеренных явлений. Коэффициент корреляции (обозначается «r») рассчитывается по специальной формуле и изменяется от -1 до +1. Показатели близкие к +1 говорят о том, что при увеличении значения одной переменной увеличивается значение другой переменной. Показатели близкие к -1 свидетельствуют об обратной связи, т.е. При увеличении значений одной переменной, значения другой уменьшаются.
Пример. На большой выборке был проведён тест, где по шкале 0 – 10 были оценены Застенчивость и Депрессивность опрашиваемых.
Для наглядности, задаём систему координат, на которой по X будет застенчивость, а по Y — депрессивность. Таким образом, каждый человек из выборки исследования может быть изображен точкой на этой системе координат. Посчитаем среднее выборок по Застенчивости и среднее выборок по Депрессивности. Посчитаем, у скольки человек при отклонении выборки от среднего по шкале Застенчивости отклонение выборки от среднего по шкале Депрессивности совпадает по знаку. Из десяти опрошенных человек таких оказалось, допустим, 8. Тех, у кого такие отклонения не совпали по знаку, оказалось 2. Тогда коэффициент Фехнера r = (8 - 2)/(8+2) = 0.6.
Таким образом, коэффициент корреляции больший от 0 до 1 говорит о прямопропорциональной связи (чем больше… тем больше…), а коэффициент от -1 до 0 о обратнопропорциональной (чем больше… тем меньше…)
Делаем вывод: между Застенчивостью и Депрессивностью имеется прямопрпорциональная связь, но не полная, а средняя.
Коэффициент Пирсона.
Коэффициент линейной корреляции отражает меру линейной зависимости между двумя переменными. Используя этот коэффициент, следует учитывать, что лучше всего он подходит для оценки взаимосвязи между двумя нормальными переменными. Если распределение переменных отличается от нормального, то он по-прежнему продолжает характеризовать степень взаимосвязи между ними, но к нему уже нельзя применять методы проверки на значимость. Также коэффициент корреляции Пирсона не очень устойчив к выбросам - при их наличии можно ошибочно сделать вывод о наличии корреляции между переменными.
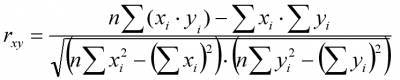
Формула: 
Где xi и yi - сравниваемые количественные признаки, n – число сравниваемых наблюдений/
Для применения коэффициента корреляции Пирсона, необходимо соблюдать следующие условия:
1. Сравниваемые переменные должны быть получены в интервальной шкале или шкале отношений.
2. Распределения переменных X и Y должны быть близки к нормальному.
3. Число варьирующих признаков в сравниваемых переменных X и Y должно быть одинаковым.
4. Таблицы уровней значимости для коэффициента корреляции Пирсона рассчитаны от n = 5 до n = 1000. Оценка уровня значимости по таблицам осуществляется при числе степеней свободы k = n - 2.
Список использованной литературы
1. Тарасов С.Г. Основы применения математических методов в психологии. СПб, 1998
2. Артемьева Е. Ю., Мартынов Е. М. Вероятностные методы в психологии. - М.: МГУ, 1975.
3. Наследов А.Д. Математические методы психологического исследования. Анализ и интерпретация данных. – СПб.: «Речь», 2004.
Иные информационные источники
1. www.prosvetlenie.org
2. www/psystat.at.ua