| Скачать .docx |
Реферат: Исследование системы программного регулирования скорости вращения рабочего органа шпинделя
ИНСТИТУТ ИНТЕГРАЦИИ МЕЖДУНАРОДНЫХ ОБРАЗОВАТЕЛЬНЫХ ПРОГРАММ
КГНУ
Кыргызско-Американский Факультет Компьютерных
Технологий и ИНТЕРНЕТ (КАФ-ИНТЕРНЕТ)
![]() |
Курсовая работа
По курсу: « Основы теории управления »
Тема: « Исследование системы програмного
регулирования скорости вращения рабочего
органа шпинделя »
Выполнил: студент гр. КИС-3-97
Краснов И.С.
Проверил: преподаватель
Алишеров С. А.
Бишкек – 1999
СОДЕРЖАНИЕ:
ВВЕДЕНИЕ....................................................................................................................................................................................... 2
Исходные данные................................................................................................................................................................ 3
1.Структурная схема системы................................................................................................................................. 5
2. Определение коэффициента усиления электронного усилителя по заданной точности................................................................................................................................................................................................................. 7
3. Определение устойчивости системы методом Михайлова А.Б.......................................... 9
4. Коррекция системы..................................................................................................................................................... 10
4.1. Построение ЛАЧХ корректирующего устройства.......................................................................................... 10
4.1.1. ЛАЧХ разомкнутой нескоректированной системы Lнс (w)........................................................................ 10
4.1.2. ЛАЧХ желаемой системы Lж(w)........................................................................................................................ 11
4.1.3. ЛАЧХ корректирующего устройства Lк(w)..................................................................................................... 12
4.2. Техническая реализация корректирующего устройства........................................................................... 13
I-Звено:...................................................................................................................................................................................... 13
II-Звено:..................................................................................................................................................................................... 14
III-Звено:................................................................................................................................................................................... 14
IV-Операционный усилитель:............................................................................................................................................. 15
4.3. Проверка правильности выбора корректирующих звеньев.......................................................................... 16
5. Построение переходного процесса и определение прямых показателей качества. 17
ЗАКЛЮЧЕНИЕ............................................................................................................................................................................. 18
СПИСОК ЛИТЕРАТУРЫ.......................................................................................................................................................... 19
Курс теории автоматического управления ставит своей целью ознакомить с общими принципами построения систем автоматического управления, с процессами в этих системах и методами их исследования. Принципы построения систем автоматического управления связаны с общими законами управления, значение которых выходит далеко за пределы технических задач.
Теория автоматического управления сформировалась в самостоятельную науку, в первую очередь на основе изучения процессов управления техническими устройствами. Изучение принципов построения и исследования систем автоматического управления в курсе ОТУ проводится на основе рассмотрения управления различными техническими устройствами, и первое понятие, которое конкретизирует довольно широкое поле деятельности этого курса является автоматическое регулирование. Под автоматическим регулированием понимают поддержание на определенном уровне или изменение по закону некоторых переменных характеристик (регулируемых величин) в машинах и агрегатах без участия человека с помощью различного рода технических средств.
Рассматриваемые принципы управления имеют более широкий общий смысл и могут быть применены при изучении процессов управления в совершенно иных системах, например, в биологических, экономических, социальных и др.
![]() |
Задана система програмного регулирования скорости вращения рабочего органа шпинделя.
Рис. 1
На рис.1 использованы следующие обозначения:
- ОВ ЭМУ – обмотка возбуждения ЭМУ.
- ЭМУ - электромагнитный усилитель.
- Д - двигатель постоянного тока
- ОВД – обмотка возбуждения двигателя.
- Р – редуктор.
- ТГ – тахогенератор.
- У – электронный усилитель.
- E - ошибка рассогласования.
- V - скорость изменения напряжения.
- М – момент инерции шпинделя.
Система регулирования работает следующим образом: с электронного усилителя У усиленный сигнал рассогласования Е поступает на обмотку возбуждения ЭМУ (ОВ ЭМУ), ток, проходящий через ОВ ЭМУ меняется, изменяя тем самым величину магнитного потока, действующего на ротор электромагнитного усилителя (ЭМУ) - увеличивая или уменьшая скорость его вращения, и в зависимости от этих изменений меняется скорость и направление вращения двигателя (Д). Двигатель (Д) , редуктор (Р) , тахогенератор (ТГ) и шпиндель находятся в жесткой механической связи, поэтому изменения в скорости и в направлении вращения двигателя вызывают соответствующие изменения в скорости и в направлении вращения рабочего органа шпинделя, а также в работе тахогенератора (ТГ) , который передвигает ползунок реостата в сторону изменения ошибки несогласования E .
Требуется:
1. Составить структурную схему и вывести уравнения, которыми описываются отдельные элементы и вся система регулирования в целом. Определить коэффициент усиления усилителя из заданной точности.
2. Определить устойчивость и качество переходных процессов в системе с помощью частотных методов.
3. Скорректировать систему.
4. Построить переходный процесс в системе и оценить его качество.
Дано:
| Тэ1 |
Тэ2 |
Тд |
Кэму |
Кд |
Кред |
Ктг |
E,% |
V |
| 0,1 |
0, 7 |
2,5 |
4 |
3 |
2 |
0,1 |
0,4 |
0,5 |
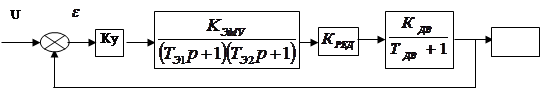
На основании принципиальной схемы (рис. 1) составим структурную схему (рис. 2) и рассмотрим все ее элементы для получения передаточной функции всей системы.
![]() |
Рис. 2
1.1 Усилитель.
![]()
(1)
где Ky – коэффицент усиления электронного усилителя.
1.2 ЭМУ

(2)
где Кэму - коэффицент передачи ЭМУ;
Тэ1 ,Тэ2 - постоянная времени ЭМУ.
1.3 Двигатель
(3)
где Кдв - коэффицент передачи двигателя постоянного тока.
Тдв - постоянная времени двигателя
1.4 Редуктор

(4)
где Кред - коэффициент передачи редуктора
1.5 Тахогенератор
(5)
где Ктг - коэффициент передачи тахогенератора
Пользуясь (рис. 2) и формулами (1-5) составим передаточную функцию разомкнутой системы
(6)
Подставив исходные значения, получим
(7)
2. Определение коэффициента усиления электронного усилителя по заданной точности.
Установившаяся ошибка замкнутой САУ складывается из двух составляющих:
(8)
где
-ошибка от задающего воздействия,
-ошибка от возмущения f(t).
Передаточная функция замкнутой системы по ошибке будет иметь вид:

пусть f(t)
0, тогда
(9)
Для любого воздействия ошибку можно найти с помощью коэффициентов ошибок, когда
(10)
Из 9 и 10 получаем:
(11)
С1 ,С2 ,С3 ,…-коэффициенты ошибок, которые можно найти по следующим выражениям:
![]()
![]()
Так как мы имеем статическую систему, то
(12)
По условию
, тогда
![]()
Подставим полученное значение в (7):
![]()
Тогда передаточная функция замкнутой системы будет:
(13)
3. Определение устойчивости системы методом Михайлова А.Б.
Характеристическое уравнение системы имеет вид:
![]()
где ![]()
(14)
Заменив в (14) комплексную переменную р мнимой переменной jw, получим функцию мнимого переменного jw, в котором w может принимать любое значение от +
до -
: ![]()
(15)
Так как
,а
, то четные степени jw вещественны, а нечетные линейны
![]()
Разделив вещественную часть от мнимой получим:
,
где
-вещественная часть функции А(jw)
-мнимая часть функции А(jw)
Критерий Михайлова можно сформулировать в виде условия перемежаемости корней, т.е. если W0 ,W2 ,W4 - упорядоченные корни мнимой составляющей А(jw), а W1 и W2 - упорядоченные корни вещественной составляющей А(jw), то для устойчивости системы необходимо и достаточно выполнения неравенства:
(16)
Корни ![]()
W0 =-4.342;
W2 =0;
W4 =4.342.
Корни ![]()
W1 =-10.989;
W3 =10.989.
Подставив
в (16):
![]()
Видим, что неравенство не верно, значит условные устойчивости не выполняется. Отсюда следует, что система неустойчива и нуждается в коррекции.
Выбираем последовательную коррекцию. Коррекция системы состоит из нескольких этапов:
1. Построение ЛАЧХ корректирующего устройства.
2. Техническая реализация корректирующего устройства
3. Проверка правильности выбора корректирующих звеньев.
4.1. Построение ЛАЧХ корректирующего устройства
Чтобы построить ЛАЧХ корректирующего устройства необходимо:
1. Построить ЛАЧХ разомкнутой нескоректированной системы Lнс (w).
2. Построить ЛАЧХ желаемой системы Lж(w).
3. Путем графического вычитания Lж-Lнс получить ЛАЧХ корректирующего устройства Lк(w).
4.1.1. ЛАЧХ разомкнутой нескоректированной системы Lнс (w).
ЛАЧХ разомкнутой нескоректированной системы будет иметь вид:
L
нс
(w)=20 lg
/
/
Для построения Lнс найдем опорные частоты:
![]()
![]()
![]()
20lgK = 20lg249=48 дб
4.1.2. ЛАЧХ желаемой системы Lж(w).
ЛАЧХ желаемой системы построим по методу Солодовникова.
Пусть величина перерегулирования переходного процесса равна G=25%, а время регулирования системы должно быть меньше постоянной времени двигателя, чтобы он успевал обрабатывать управляющее воздействие, т.е.
![]()
По номограммам Солодовникова (рис.3) определим tp
, запас по фазе
и запас по амплитуде Lзап
:
![]()
![]()
![]()
Частота среза ЛАЧХ находится из условия:
![]()
ЛАЧХ желаемой системы разбивается на три участка:
- Низкочастотный участок строиться с наклоном –20Vдб\дек, где V – порядок астатизма системы. Т.к. в данной системе V=0, то наклон будет – 0 дб\дек.
- Среднечастотный
участок строится с наклоном – 20дб\дек до пересечения с линиями
с некоторым запасом.
- Высокочастотный участок строится из расчета наименьшей разницы с Lнс (w)
Построение ЛАЧХ желаемой системы начинают со среднечастотного участка.
Построение ЛАЧХ показано на рис 4.
По ЛАЧХ Lж(w) можно найти передаточную функцию желаемой системы:
![]()
![]()
![]()
![]()
4.1.3. ЛАЧХ корректирующего устройства Lк(w).
Из формул передаточная функция корректирующего устройства будет иметь вид:
![]()
где ![]()
Для проверки запасов по фазе и амплитуде необходимо построить ЛФЧХ желаемой системы (рис.4).
![]()
|
|
|
| 1.1 |
-24.8 |
| 2.5 |
-47.3 |
| 10 |
-85.1 |
| 130 |
-181.1 |
При частоте, на которой
пересекает
запас по амплитуде системы равен Lзап
=16.5 дб, т.е. запас по амплитуде соблюдается по сравнению с заданным (16 дб).
Запас по фазе находится как расстояние между точками
и
на частоте среза Wс=20. Получено значение
, т.е. запас по фазе также соблюдается по сравнению с заданным (
).
4.2. Техническая реализация корректирующего устройства.
Следующим этапом коррекции системы является реализация корректирующего устройства, которое представляет собой набор четырех-полюсников.
Представим передаточную функцию корректирующего устройства в виде набора звеньев:
![]()
I -Звено:
![]() |
Выберем RC-цепочку, представленную на рис. 5
своей принципиальной схемой и логарифмической
амплитудно-частотной характеристикой.
![]() |
Рис.5
II -Звено:
Выберем RC-цепочку, представленную на рис. 6
своей принципиальной схемой и логарифмической
амплитудно-частотной характеристикой.
![]() |
Рис. 6
|
Выберем RC-цепочку, представленную на рис. 7
своей принципиальной схемой и логарифмической
амплитудно-частотной характеристикой.
![]() |
Рис. 7
Т.о. коэффициент усиления корректирующего звена будет:
![]()
необходимо ввести операционный усилитель, чтобы получить Кк=0,014.
IV -Операционный усилитель:
Принципиальная схема операционного усилителя
и его краткая форма представления показана
на рис. 8. Определим его параметры:
![]() |
![]() |
![]() |
Рис. 8
После чего схема корректирующего устройства будет иметь вид:
![]() |
Рис. 9
4.3. Проверка правильности выбора корректирующих звеньев.
Проверка правильности выбора корректирующих звеньев состоит из трёх этапов:
- Построить ЛАЧХи всех корректирующих звеньев.
- Построить результирующую ЛАЧХ Lрез(w).
- Сравнить Lрез с ЛАЧХ корректирующего устройства Lк(w).

Из рис.10 можно сделать вывод, что корректирующие звенья выбраны правильно.
5. Построение переходного процесса и определение прямых показателей качества.
Перехолным процессом называется реакция системы на подачу ко входу единичного скачка 1(t):
Построим переходный процесс с помощью компьютерной программы и определим прямые показатели качества (рис. 11).
К прямым показателям качества относятся:
1. Время регулирования:
при ![]()
Определяется точкой последнего попадания графика h(t) в пятипроцентную зону G=0,05. Задано tp=0,4, а получено по графику (рис. 11) tp=0,35.
2. Относительное перерегулирование
![]()
Определяется величиной выброса hmax относительно Lуст .
Задано G=25%, а получено G=0%.
3. Максимальное перегулирование : Lmax =1
4. Время наступления Lmax : tmax =0.2
Мной рассмотрена система программного регулирования рабочим органом шпинделя.
Я построил и описал систему, отвечающую всем качественным требованиям варианта № 7.Были получены определенные значения и показатели, характеризующие данную систему.
В частности:
- для заданной точности был найден коэффициент усиления всей системы.
- по структурной схеме была получена передаточная функция разомкнутой системы
, а по последней - передаточная функция замкнутой системы Ф(Р).
- система была проверена на устойчивость частотным методом Михайлова, и в последствии для неё было выбрано последовательное корректирующее устройство
- для системы был построен переходной процесс, по которому я определил прямые показатели качества системы.
Работа содержит достаточно информативные графики и рисунки, которые совместно с текстовым пояснением и формулами помогают легко разобраться в сути данного исследования.
- Методические указания по курсовой работе.
- Воронов А.А. “Основа и теория автоматического управления” Часть 1, Москва 1965г.
- Теория автоматического управления под редакцией А.В. Петушила, Часть 1, Москва 1968г.










