| Скачать .docx |
Реферат: Трансактный анализ
Введение
Главная цель этой книги – научить человека анализировать характер своего общения, научить использовать свои слова, мысли, интонации, выражения применительно к целям коммуникации, помочь человеку в его умении анализировать свои слова и поступки, постоянно осмысливая их истинную суть и их восприятие собеседником. Автор помогает находить скрытый смысл межличностных взаимодействий, распознавать мотивы собственных действий, поступков своих близких и других окружающих людей. Здесь можно найти много полезных советов, которые помогают понять природу человеческого общения. Книга будет полезна психиатрам, психотерапевтам, педагогам и врачам, брачным консультантам, всем, кто занимается коррекцией человеческого общения, помогает людям адекватно общаться, пытается вместе с ними выяснить причины возникающих у них проблем в понимании других людей и истоки производственных и семейных конфликтов.
Мир не просто меняется, он меняется принципиально. Мы начинаем жить во ВРЕМЯ КОММУНИКАЦИЙ. Основный источником благ более не является земля или капитал, на смену им приходит информация, человека кормят уже не руки, а голова. Дефицит профессиональных коммуникаторов в политике, бизнесе, социальной сфере, образовании, просто в бытовой жизни ощущается все сильнее. Уже недостаточно быть просто обаятельным человеком, чтобы добиться необходимого результата, нужно уметь находить общий язык с собеседником, т.е. человеком коммуницирующим. Еще недавно таких специалистов в стране не было. «Не хочешь – заставим», - вот и вся роскошь общения. За рубежом КОММУНИКАТОР – одна из самых престижных профессий , а у нас это слово только начинают писать по-русски.
Э.Берн полагал, что каждый человек имеет свой жизненный сценарий, модель которого намечается в ранние детские годы. В соответствии со своим жизненным сценарием люди играют в различные игры, которыми заполнена в основном вся человеческая жизнь
Развитие в человеке способности к общению.
Практика показывает, что человеку для полноценной и активной жизни необходимо общаться с другими людьми. Сенсорное голодание, или сенсорная депривация, могут привести даже к психическим нарушениям. У такого сенсорного голода очень много общего с пищевым голодом.
Эту схожесть можно рассматривать не столько с точки зрения биологической, сколько с психологической. Например, слова "голод", "переедание" можно рассматривать не только как термины, связанные с едой, но и как недостаточную и чрезмерную стимуляции.
Впервые сенсорный голод настойчиво дает о себе знать, когда в процессе нормального роста ребенок постепенно отдаляется от матери. Отныне ребенок сам должен "утолять" сенсорный голод. И этот человек теперь будет стремиться к близости того типа, которую он испытывал, будучи младенцем.
Чаще всего человеку приходится идти на компромисс. Он учится довольствоваться едва уловимыми, иногда только символическими формами физической близости. Результатом является частичное преобразование младенческого сенсорного голода в нечто, что можно назвать потребностью в признании. По мере того как усложняется путь к достижению этого компромисса, люди все больше отличаются друг от друга в своем стремлении получить признание. Итак, стремясь утолить "голод", то есть стремясь к признанию люди общаются, доставляя таким образом друг другу удовольствие, как бы "поглаживая" друг друга.
"Поглаживание" - это лишь наиболее общий термин, который используется для обозначения интимного физического контакта. Расширив значение этого термина, мы будем называть "поглаживанием" любой акт, предполагающий признание присутствия другого человека.
Таким образом "поглаживание" - это одна из основных единиц социального действия. Признавая присутствие друг друга, люди вынуждены общаться, и между ними происходит ряд трансакций. Из этого можно заключить, что обмен "поглаживаниями" составляет трансакцию, которую в свою очередь Э.Берн определяет как единицу общения. Умение дать достаточное количество “поглаживаний” позволяет расположить к себе собеседника и открыть дорогу продолжению общения.
Трансакционный анализ
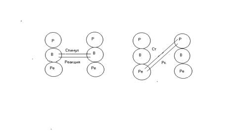
В каждом человеке самым сложным образом переплетены три состояния Я: «Взрослого», «Родителя», «Ребенка». «Ребенок» (Ре) - прекрасное состояние эмоциональности, веселья и раскованности, источник интуиции, творчества, спонтанных, архаичных, неконтролируемых импульсов. Ребенок руководствуется словом «хочу». «Родитель» (Р) – совокупность устоявшихся стереотипов, педант, знающий, как себя надо вести, склонный к поучениям, состояния Я, сходные с образами родителей. Девиз родителя – «полагается». Благодаря Р многие наши реакции стали автоматическими, что помогает сберечь массу времени и энергии. Это освобождает взрослого от необходимости принимать множество тривиальных решений. «Взрослый» (В) – состояния Я, автономно направленные на объективную оценку реальности, способность к самостоятельному и непредвзятому принятию решений. Лозунг - «разумно». Взрослый контролирует действия Р и Ре, является посредником между ними.
Единица общения – трансакция. Попытка вступления в контакт – трансакционный стимул. Ответом на этот стимул является трансакционная реакция.
Общение будет эффективным в том случае, если оно ведется на одном уровне (т. е. Ре с Ре, В со В, Р с Р)
Трансакции могут быть дополнительными, пересекающимися и скрытыми. При нормальных человеческих отношениях стимул влечет за собой уместную, ожидаемую и естественную реакцию. Это дополнительная трансакция первого типа (рис. 1а) или второго (рис. 2а)

Рис. 1 Дополнительные трансакции
а) – Давай разберемся, почему ты не подготовился
- Честно говоря, просто поленился
б) –У меня нога болела, и я не мог выучить.
- Никакого телевизора сегодня, оболтус.
Процесс коммуникации быстро прерывается, если трансакции пересекающиеся .
Примером к этой схеме может быть диалог:
-Давай разберемся, почему у тебя снизилась успеваемость.(обращение взрослого к взрослому).
![]() |
-Неправда, мне просто не везет, а вам лишь бы поругать меня.
Рис. 2 Пересекающиеся трансакции
В том случае, если стимул содержит скрытый мотив, трансакции выглядят сложнее. Именно скрытые трансакции показывают механизм манипулирования человеком. Скрытые трансакции требуют одновременного участия более, чем двух состояний Я. Они происходят на двух уровнях: высшем – уровне текста и низшем – уровне подтекста, который передается в основном при помощи средств
![]() |
невербальной коммуникации. Именно эта категория служит основой для игр. Скрытые могут быть двух видов: угловые и двойные.
а) Угловая б) двойная
Рис. 3 Скрытые трансакции
а) продавец: Эта модель лучше, но она вам не по карману
покупатель: Вот ее-то я и возьму.
б) – Может быть, мы ненадолго покинем гостей, и я покажу вам мои новые ковры
- Я всегда мечтала посмотреть ваши новые ковры
.
Сценарии
В детстве нам предлагают Сценарий, но следовать ли ему далее - только наше личное дело
Сценарий – это постепенно развертывающийся жизненный план, который формируется еще в раннем детстве в основном под влиянием родительского программирования, которое беспрестанно подкрепляется. Этот психологический импульс с большой силой толкает человека вперед, навстречу его судьбе, и очень часто независимо от его сопротивления или свободного выбора.
Сценарий предполагает: 1) родительские указания; 2) подходящее личностное развитие; 3) решение в детском возрасте; 4) убежденную установку или вызывающую доверие убежденность.
Сценарий обычно охватывает всю жизнь человека. Это искусственные системы, ограничивающие спонтанные творческие человеческие устремления. Сценарий должен закончится чудом или катастрофой; это зависит от того, конструктивен он или деструктивен. Соответственно, игры тоже подразделяются на конструктивные и деструктивные. Сценарий в жизни, благодаря неосознанному родительскому программированию, в основных чертах написан уже в первые годы жизни человека, основная стратегия его поведения уже сформирована к моменту поступления в школу, а школа довершает дело, дописывая недостающие детали сценария – трагичного или комичного, скучного или яркого, сценарий Царевны или сценарий Лягушки – победителя или побежденного. Сценарий победителя – это сценарий человека, умеющего ставить позитивные цели и выполнять их, причем делать это органично и легко. Такие люди отличаются тем, что при неудаче одной попытки они не приходят в отчаяние и умеют находить другие пути для достижения цели. Победитель - это не обязательно тот, кто достиг внешних признаков успеха, существенным является его отношение к своим достижениям, чувство комфорта. Победитель - человек, преуспевающий (с его точки зрения) в том деле, которое он намерен сделать. Это тот, кто имеет силы завершить неудачный опыт и, таким образом, освободить возможность для движения вперед. Такой сценарий требует самостоятельности решений, уверенности в себе и представляет собой редкость.
Крупный руководитель, вполне материально благополучный, но страдающий язвой желудка и вечными неврозами, изводящий себя героическим трудом, не является победителем.
Приведенный выше сценарий представляет собой вариант сценария побежденного – т.е. человека, не способного достичь цели, человека, живущего, может быть, без крупных проигрышей, но и без существенных выигрышей, никогда не рискующего, в конце жизни говорящего: «Может быть, я и не сделал ничего выдающегося, но работал не хуже других». Неудачник – тот, кто не в состоянии осуществить намеченное
Не победитель – это человек, который не выигрывает и не проигрывает, а ухитряется все свести к нейтральному балансу.Победитель знает, что ему делать с случае проигрыша, но не говорит об этом. А неудачник не знает как быть, если придет неудача, но постоянно рассуждает, что он сделает в случае выигрыша.
Большинство сценариев - результат внутриличностных конфликтов, заложенных в нашей цивилизации, попыток человека примирить непримиримое: уступчивость и агрессивность, амбиции и страх, беспомощность и самоуважение. Конечно, с возрастом человек в какой-то мере учится принимать самостоятельные, независимые от усвоенных в детстве стратегий поведения, решения, но очень часто, в особенности в ситуациях стресса, возвращается к своему сценарию, автоматически используя проверенные варианты поведения.
Людей, привязанных к сценарию, мы подразделяем на два типа
1. Человек, руководимый сценарием. У него есть много разрешений, но, прежде чем насладиться разрешенным, он должен выполнить все сценарные требования. Хорошим примером такого типа может быть усердный работник, который умеет развлечься в свободное время.
2 Людям, одержимым сценарием, тоже кое-что разрешено, но им суждено «гнать» свой сценарий любой ценой, посвящая ему все свое время. Типичным примером служит наркоман или алкоголик, стремительно мчащийся к своей гибели.
Другие части сценарного аппарата
Для участника социальной группы из двух или более членов имеется несколько способов структурирования времени. Э.Берн определяет их так (от более простых к более сложным):
1- ритуалы;
2- времяпрепровождение;
3- игры;
4- близость;
5- деятельность.
Причем последний способ может быть основой для всех остальных.
Предписания – это ограничения. Для того чтобы то или иное предписание накрепко запечатлелось в сознании ребенка, его нужно многократно повторять. Предписания – самая важная часть сценарного аппарата. Предписания передаются не только в форме прямых директив, а иногда и вопреки им. Дети растут не только и не столько такими их хотят видеть родители, сколько такими какими родители являются. Негативные предписания передаются ребенку родителями вследствие их собственных проблем - несчастий, неудач, тревог, разочарований.
Родители забивают головы детей ограничениями, но иногда дают и разрешения. Запреты затрудняют приспособление к обстоятельствам (они неадекватны), тогда как разрешения дают свободу выбора. Разрешения не приводят ребенка к беде, если не сопровождаются принуждением. Истинное разрешение – это простое «можно», как, например, разрешение пойти погулять (но никто не заставляет ребенка идти на улицу). Разрешение – могучий фактор достижения позитивных результатов. Успешные люди – те, которым разрешили быть успешными, быть красивыми. Важнейшие разрешения – это разрешение любить, успешно справляться со своими задачами, не быть глупцом, стараться думать самому. К сожалению, многие люди не понимают даже, что такое - мыслить. Вовремя данное разрешение помогает преодолеть им этот барьер. Разрешение должно быть гибким и подвижным.Чем больше у человека разрешений, тем менее он связан сценарием.
К времяпрепровождению – совместным занятиям без определенной цели и результата – относится большая часть наших вечеринок, болтовни в перерывах, все эти глубокомысленные рассуждения на «вечные темы» политики, детей, здоровья, одежды, спорта, музыки, фильмов. Существует некоторое количество людей, отвергающих любую попытку втянуть их во времяпрепровождение, не видящие в этом никакого смысла, даже возможности расслабиться. По определению самого Э. Берна это серия простых, полуритуальных дополнительных трансакций, сгруппированных вокруг одной темы, целью которой является структурирование определенного интервала времени.
Ритуалы включают комплекс принятых в обществе “хороших манер”. Самостоятельной смысловой нагрузки они не несут, но облегчают процесс общения, установления контакта. Типичные ритуалы – выражение соболезнования вполне незнакомым людям при известии о постигшей их об утрате. При помощи ритуала можно избегать действительного контакта при сохранении его видимости. По Берну ритуалом называется стереотипная серия простых дополнительных трансакций, заданных внешними социальными факторами. Ритуалы предлагают безопасный, вселяющий уверенность и часто приятный способ структурирования времени. Интересно то, что при ритуалах люди обмениваются одинаковым количеством поглаживаний. Ритуалы стереотипны и предсказуемы.
«Расколдовыватель» , или внутреннее освобождение, - это «устройство», отменяющее предписание и освобождающее человека из-под власти сценария. Человек становится автономным и движимым собственным собственными намерениями. В рамках сценария – это «устройство» для его саморазрушения.
Родительское программирование . Родители часто препятствуют свободному выражению чувств ребенка или пытаются их регулировать. Эти указания по-разному интерпретируются как взрослым, так и ребенком. Возможны несколько вариантов интерпретации: 1) что имеет в виду родитель с точки зрения его собственных слов? 2) что имеет в виду родитель с точки зрения постороннего наблюдателя? 3) что действительно имеет в виду родитель? 4) что из этого извлекает ребенок?
Игра
Игра -сеpия следующих дpуг за дpугом скpытых дополнительных тpансакций с четко опpеделенным и пpедсказуемым исходом, некие скpытые сценаpии общения. Игры - искуственные структуры, лимитирующие спонтанную творческую интимность. Это самый распространеннй способ манипулирования, отказаться от которого большинству людей чрезвычайно трудно. Основные характеристики игры:
- скрытые мотивы
- наличие выигрыша
Три количественные характеристики игры:
1. Гибкость. В некоторые игры можно играть, используя только один материал; другие игры в этом смысле более гибки.
2. Цепкость. Одни люди легко отказываются от своих игр, другие более упорны.
3. Интенсивность. Одни люди играют с прохладцей, другие - более напряженно и арессивно. Соответственно игры называются легкими и серьезными.
Кроме того, их можно классифицировать на основе других факторов: цели игры, роли, наиболее очевидные «возаграждения»
Игры препятствуют честным, открытым и откровенным отношениям между играющими. Несмотря на это, люди играют в психологические игры, потому что они заполняют их время, развлекают, поддерживают прежнее мнение о себе и других. В играх заключаются взаимоотношения людей друг с другом. С некоторым типом игр мы встречаемся каждый день, хотя мы можем не придать этому значения (т.е. не сразу догадаться о скрытой игре). Игры преследуют нас повсюду. И мы не отказываемся от них, а, наоборот, с радостью принимаем участие в играх. И, в конце концов, игры превращаются в судьбу людей.
. Игры, в которые играют люди, передаются от поколения к поколению. Любимая игра конкретного человека может быть прослежена как в прошлом у его родителей, так и в будущем у его детей. Переходя из поколения в поколение, игры могут изменяться, но при этом наблюдается сильная тенденция к вступлению в брак между индивидами, играющими в игры, которые принадлежат одному семейству (если не одному роду).
Близость
В отличие от игр, близость исключает скрытый мотив, использование каких-либо масок, предполагая действительную искренность и открытость отношений в дружбе, любви Повседневная жизнь предоставляет очень мало возможностей для человеческой близости. Кроме того, многие формы близости (особенно интенсивной) для большинства людей психологически не приемлемы. Поэтому с социальной жизни весьма значительную часть составляют игры. Времяпрепровождения и игры - это не истинная близость. В этой связи их можно рассматривать скорее как предварительные соглашения, чем как формы взаимоотношений. Настоящая близость начинается тогда, когда индивидуальное (обычно инстинктивное) планирование становится интенсивнее, а социальные схемы, скрытые мотивы и ограничения отходят на задний план. Только человеческая близость может полностью удовлетворить сенсорный и структурный голод и потребность в признании. К счастью, свободная от игр человеческая близость, которая по сути есть и должна быть самой совершенной формой человеческих взаимоотношений, приносит такое ни с чем не сравнимое удовольствие, что даже люди с неустойчивым равновесием могут вполне безопасно и даже с радостью отказаться от игр, если им посчастливилось найти партнера для таких взаимоотношений.
Заключение
Все люди в той или иной меpе игpают pоли. Если это пpавда, являются ли все люди неискpенними? И почему человек не может быть пpосто самим собой, не игpая никакой pоли? Существует мнение, что, "каждый человек pасполагает опpеделенным, чаще всего огpаниченным pепеpтуаpом состояний своего Я, котоpые суть не pоли, а психологическая pеальность."
Судьба каждого человека определяется в первую очередь им самим, его умением мыслить и разумно относиться ко всему происходящему в окружающем его мире. Только свобода дает ему силу осуществлять свои планы, а сила дает ему свободу осмысливать, если надо их отстаивать или бороться с планами других.
Сценарии возможны лишь потому, что большинство людей не понимают, что в действительности они могут порой причинить себе самим и своим близким. Понимать это – значит выйти из-под власти сценария.
Как себя вести человеку, чтобы прийти к свободе и независимости от сценариев:
1. Воспринимать жизнь как дети, с полным поглощением и концентрацией.
2. Пробовать новое скорее, чем застревать на проверенном и безопасном.
3. Прислушиваться к своим чувствам, чтобы оценить происходящее скорее, чем прислушиваться к голосу традиций, авторитетов и большинства.
4. Быть честным, избегать игр, спрашивая себя: “Интересно, что будет,
если я перестану защищаться в общении с тобой?”
5. Быть готовым стать непопулярным, если ваша точка зрения не совпадает с мнением большинства.
6. Быть ответственным.
7. Интенсивно работать над тем, что вам нужно сделать.
8. Определять свои способы защиты и иметь смелость отказаться от них.
В общем, концепция Э. Берна оказывается своего рода прикладной философией жизни, применимой для анализа разных жизненных ситуаций, в том числе и углубленного самоанализа.
Список литературы:
1 Э. Берн «Игры, в которые играют люди Психология человеческих взаимоотношений; Люди, которые играют в игры. Психология человеческой судьбы». Лениздат,1992 год
Московская государственная академия тонкой химической . технологии им. М. В. Ломоносова
Кафедра философии и основ культуры.
Итоговая гуманитарная работа по психологии .
Тема: “Жизнь по сценарию”
Студентки: Рудаковой Е. В.
Группы : М-32
Руководитель: Елонова А.Я.
Москва 2001
Оглавление
1 Введение стр. 1
2 Основная часть
1) Развитие в человеке способности к общению стр. 2
2) Трансакционный анализ стр. 3
3) Сценарии стр. 5
4) Другие части сценарного аппарата
-предписания стр. 8
- разрешения стр. 8
- времяпрепровождение стр. 9
- ритуалы стр. 9
- расколдовыватель стр. 9
- родительское программирование стр. 9
5) Игры стр. 10
6) Близость стр. 11
3 Заключение стр. 12
4 Оглавление стр. 13
5 Список литературы стр. 14

