| Скачать .docx |
Курсовая работа: Взаимосвязь детско-родительских и сиблинговых взаимоотношений при повторном браке родителей
Министерство образования Республики Беларусь
УО « Витебский государственный университет имени П.М. Машерова»
Факультет социальной педагогики и психологии
Кафедра прикладной психологии
КУРСОВАЯ РАБОТА
ТЕМА:
«Взаимосвязь детско-родительских и сиблинговых взаимоотношений при повторном браке родителей»
Выполнила: студентка 4-го курса
заочного отделения группы ФСПиП-48
Радченко Мария Николаевна
Минск, 2010
Содержание
Введение
Глава 1. Теоретические аспекты взаимосвязи особенностей детско-родительских и сиблинговых взаимоотношений при повторном браке родителей
1.1 Понятие о повторном браке
1.2 Понятие о сиблингах и сиблинговой позиции
1.2.1 Сводные братья и сестры
1.3 Проблемы детей и родителей в повторном браке
Глава 2. Эмпирическое исследование взаимосвязи особенностей детско-родительских и сиблинговых взаимоотношений при повторном браке родителей
2.1 Исследование особенностей взаимодействия родителей и детей в семьях, воспитывающих двух сиблингов от разных браков
2.2 Изучение сиблинговых взаимоотношений в семьях, воспитывающих двух сиблингов от разных браков
2.3 Исследование взаимосвязи особенностей детско-родительских и сиблинговых взаимоотношений в семьях, воспитывающих двух сиблингов от разных браков
Заключение
Список используемых источников
Приложения
Введение
По определению Н.Я Соловьева, семья - это “малая социальная группа общества, важнейшая форма организации личного быта, основанная на супружеском союзе и родственных связях, т. е. отношениях между мужем и женой, родителями и детьми, братьями и сестрами, и другими родственниками, живущими вместе и ведущими общее хозяйство” [1].
Изучение семейных взаимоотношений осложнено многими факторами:
Во-первых, сложностью семьи как социальной и психологической системы. Семья включает в себя большое число всевозможных отношений и взаимосвязей, для формирования которых имеют значение личностные особенности членов семьи, ее социальное окружение, обычаи, традиции, социально-экономические условия и т.д.
Во-вторых, отсутствием единого подхода к проблемам семьи, единого понимания ее сущности и структуры. Пока не выработана общая теория, которая могла бы стать основой для изучения семьи, вместо нее имеется значительное количество школ, течений и направлений с различными, нередко трудно сопоставимыми подходами.
В-третьих, тем, что предметом семейной психологии является та область социальной жизни, которая подвержена влиянию социальных стереотипов, и представление о которой испытывает значительное воздействие обыденного опыта. Каждый человек имеет свой семейный опыт и зачастую исходит только из него, пытаясь понять, что такое семейные отношения вообще.
И, конечно, изучение семьи осложняется скрытностью (интимностью) многих происходящих в семье событий, а так же их изменчивостью, отсутствием четких контуров.
Актуальность работы: заявленная тема актуальна, так как о повторных браках в последнее время мы слышим все чаще и чаще. У многих людей после развода либо после потери одного из супругов остаются дети. Часто появляется вопрос, быть ребенку и папой и мамой одновременно, либо создать новую семью, чтобы у ребенка были реальные и папа и мама. И вот именно здесь чаще всего появляется множество проблем.
В процессе изучения взаимосвязей между особенностями детско-родительских и сиблинговых взаимоотношениях в семьях, воспитывающих сиблингов от разных браков, открываются перспективы дальнейшего исследования различных аспектов этой проблемы.
Цель исследования: изучить взаимосвязь между особенностями детско-родительских и сиблинговых взаимоотношений в семьях, воспитывающих двух сиблингов от разных браков.
Задачи исследования:
1. Проанализировать основные теоретические подходы к исследуемой проблеме.
2. Изучить особенности взаимодействия родителей и детей в семьях, воспитывающих двух сиблингов от разных браков.
3. Исследовать сиблинговые взаимоотношения в семьях, воспитывающих двух сиблингов от разных браков.
4. Изучить взаимосвязь особенностей детско-родительских и сиблинговых взаимоотношений в семьях, воспитывающих двух сиблингов от разных браков.
Объект исследования: семьи, воспитывающие двух сиблингов от разных браков.
Предмет исследования: взаимосвязь особенностей детско-родительских и сиблинговых взаимоотношений в семьях, воспитывающих двух сиблингов от разных браков.
Гипотеза исследования: существует достоверная связь, выражающаяся в зависимости между особенностями детско-родительских и сиблинговых взаимоотношений в семьях, воспитывающих двух сиблингов от разных браков.
Методы исследования: теоретический анализ литературы по изучаемой проблеме, психодиагностические методы, корреляционное исследование.
Диагностические методики:
Опросоник «Взаимодействие родитель – ребенок» (автор Марковская И.М.)
Методика диагностики сиблингового общения (мод. Кравцовой М.В.)
Методы математической и статистической обработки: количественный и качественный анализ данных, коэффициент ранговой корреляции Спирмена.
База исследовательской работы средняя общеобразовательная школа №30. В исследовании приняли участие учащиеся 40 семей, воспитывающих двух сиблингов от разных браков.
Глава 1. Теоретические аспекты особенностей поведения сиблингов при повторном браке родителей
1.1 Понятие о повторном браке
Отношения повторного брака возникают в результате распада семьи или смерти одного из супругов, когда, при наличии оставшихся от предыдущего брака детей, их родители пытаются создать новые семьи.
Повторные браки возникают после разрушения семьи, как только один из бывших супругов вступает в новый семейный союз, неважно, официально или нет. В каждых двух случаях из трех такие отношения неизбежно оканчиваются разрывом, причиняя всем мучительную боль [11, с.12].
Повторный брак желателен и для женщины, и для мужчины, если они остались одинокими. Статистика показывает, что продолжительность жизни одиноких людей у нас меньше, чем семейных. Смертность среди мужчин-холостяков в 2,5 раза выше, чем среди женатых. Одинокие женщины умирают в 1,7 раза чаще, чем замужние.
По данным ООН, смертность холостых во всех странах вдвое выше, чем женатых (в Японии даже в 3,3 раза, в Румынии в 3,1 раза и т.д.). То же касается и одиноких женщин, правда, здесь смертность выражена меньше - особенно в возрасте от 20 до 40 лет, но зато потом она увеличивается такими же темпами, как и у мужчин.
Выходит, супружество - это и вопрос долголетия, условие сохранения здоровья и работоспособности. Поэтому второй брак жизненно необходим, а одиночество противопоказано мужчинам и женщинам, особенно после 40 лет[21].
Сейчас большинство смешанных семей образуется в результате последовательности «брак—развод—повторный брак». В прошлом же смешанные семьи в основном формировались в результате последовательности «брак—смерть супруга(и) — повторный брак».
Различие между этими двумя типами смешанных семей заключается, конечно, в наличии живого бывшего брачного партнера. Часто контакты с бывшим партнером продолжаются и могут включать в себя разделение опеки над детьми, финансовую поддержку и официальное посещение детей. В некоторых семьях бывшим супругам при таких контактах бывает трудно сохранять дистанцию, разрешать конфликты и избегать ощущения, что один из них в чем-то отказывает другому [9].
Наиболее часто наблюдаются два типа повторных браков:
1.Женитьба разведенного мужчины среднего или пожилого возраста на более молодой, свободной и бездетной женщине. Первоначально отношения между ними формируются на комбинации «родительского» и «детского» партнера, которые вполне совместимы. Дальнейшее развитие отношений зависит от того, сохраняется ли данный тип отношений или же после некоторого периода времени, в течение которого молодая жена развивается и созревает социально, она оставляет роль «детского» партнера и начинает проводить свою автономную линию, претендовать на главенство в семье. Определенные проблемы могут быть связаны с необходимостью материальной поддержки детей от первого брака, а также, в случае значительной разницы в возрасте, возможно временное уменьшение половой активности мужчины, которая постепенно возвращается к прежнему уровню. Второй брак с разведенной женщиной, имеющей детей. В большинстве случаев разведенными бывают оба партнера, причем разница в возрасте обычно невелика. Оба были неудовлетворенны в первом браке и в новый вступают с надеждой, что на этот раз супружеская жизнь будет лучше. Они уже имеют поучительный опыт, стали менее гибкими, медленнее меняют свои привычки. Жена приводит с собой ребенка (или нескольких детей) от первого брака. Дети от первого брака оказывают отрицательное влияние на согласие в новой семье [8].
С учетом ведущих мотивов и жизненно важных потребностей, определяющих стремление человека создать новую семью, в группе повторных браков можно условно выделить несколько разновидностей:
- брак разведенного мужчины среднего и пожилого возраста с более молодой, свободной и бездетной женщиной;
- женитьба разведенного мужчины, дети которого остались с матерью, на разведенной женщине с ребенком или несколькими детьми;
- брак вдовцов и вдов;
- «возвратные браки» [19, c. 239].
Повторный брак отличается от первичной семьи. Он не хуже и не лучше; он – иной в своей основе. Они существуют по разным законам. Поэтому взаимоотношения и поведение внутри каждого из них подчиняются своим правилам.
В настоящее время семьи в повторном браке – это семьи с двумя родителями, где могут быть дети – как общие, так и от прежних браков. Они могут жить вместе или с детьми мужа или жены. В XIX веке подобные браки были редкостью, но в XX веке, особенно после Великой Отечественной войны, такие браки стали распространенными. Семьи в повторном браке имеют много проблем, например: отношения отчима или мачехи к неродным детям, вопрос свиданий с ребенком отца, бабушки, дедушки или другого близкого родственника [10, с.9].
Во втором супружестве есть свои особенности. Обычно те, кто прошел процедуру развода, утверждают, что любви не существует, что она выдумана. Поэтому партнеры, вступившие в повторный брак, уже не рассчитывают на «вечную», романтическую любовь и рассматривают супружество с рациональной точки зрения. Выбор нового спутника жизни осуществляется продуманно, с учетом достоинств и недостатков друг друга, совместимости интересов и потребностей. Мужчина и женщина стараются учитывать и исключать промахи, которые были в предыдущем браке, поэтому не решаются на второй брак, если обнаружат у кандидата те же или сходные недостатки, что были у первого супруга. В основе второго брака лежит осознанная симпатия, а не эмоциональная восторженность, как при первом. Здесь практически можно избежать разочарования, ибо есть опыт оценки мужчин и женщин, есть возможность до заключения брака испытать друг друга на психологическую удовлетворенность.
Во втором браке могут возникнуть серьезные трудности, имеющие закономерный характер, справиться с которыми супругам поможет их житейская мудрость. Семейные отношения могут осложниться рядом глубоких и устойчивых противоречий: между прежними установками и необходимостью выбрать новые; между опытом прежней жизни и новыми семейными отношениями; между привычками, которые привносит в семью каждый из супругов, и необходимостью примириться с ними, либо избавиться от них. Противоречие может возникнуть между супружеской и родительской любовью, если от предыдущего брака остался ребенок. Нередко семье мешает и определенный психологический барьер. При вольном или невольном сравнении прежнего супруга с новым мужем вдруг обнаруживается, что первый в чем-то был лучше. А в сложных ситуациях супруги невольно начинают действовать, как и в прежней семье, негативными средствами, методами, по старой привычке.
Oдной из особенностей повторного брака является то, что партнеры постоянно сравнивают свою новую жизнь с прошлым супружеством и находят, что раньше они были счастливы в большей степени, чем сейчас (особенно это характерно для овдовевших супругов). Это может вызвать трудности психологической адаптации супругов в новом браке.
Мотивы повторного брака многообразны. Их можно свести к трем большим группам: 1) удовлетворение чувства любви, большой привязанности; 2) достижение большего душевного комфорта; 3) улучшение материальной стороны жизни, бытовых условий. Что касается мотива поиска человека, который мог бы заменить ребенку отца (мать), то его значение в повторных браках несколько преувеличено исследователями. На самом деле оказалось, что большинство разведенных женщин полагают, что сами в состоянии заменить ребенку ушедшего их семьи родителя и, более того, из-за психологического благополучия ребенка или его нежелания принимать в семью будущего отчима отказываются от повторного замужества [19,с.236-239].
Важной чертой – и особой сложностью – является необходимость добровольного принятия на себя каждым членам семейства определенных ролей. При создании новой семьи все правила меняются и могут существенно изменяться роли. В отличие от семейных отношений, складывающихся и развивающихся естественным образом, повторный брак требует от супругов создание новой системы взаимоотношений и ее последующего принудительного внедрения в жизнь совместными усилиями. Каждая такая система, или свод действующих в семье законов, создает новую команду, со свойственной только ей одной тактикой и стратегией [11, с.66].
Подобные «роли», или установленные права и обязанности, существуют как для взрослых, так и для каждого из детей, в соответствии с их возрастом и полом [11]. Как неродным родителям, так и их пасынкам и падчерицам, необходимо время, чтобы приспособиться — узнать характер друг друга и проверить свои знания. Чтобы сделать это, отчимы и мачехи должны попытаться занять в жизни детей место, отличающееся от места родного отца и матери. Если они попытаются конкурировать с родными родителями ребенка, высока вероятность, что их постигнет неудача [9].
По существующим данным, в части семей наличие нового мужа матери в части семей оказывается для детей более негативным фактором, чем «материнский брак», то есть фактическая неполная семья. Рождение ребенка (или детей) в новом браке делает старшего ребенка «лишним» и ведет к его безнадзорности, а в крайнем случае — к беспризорности и помещению в муниципальные учреждения для несовершеннолетних. Первенец как бы «не вписывается» в новую жизнь матери. В особенности это характерно для «гражданских браков», в большинстве которых новый муж матери не спешит брать на себя ответственность за семью и ребенка жены, но в то же время отвлекает на себя большую часть ее времени, требуя заботы. Значительная доля социальных сирот, о которых вынуждено заботиться государство, имеет мать, проживающую с гражданским мужем.
По данным американских авторов, мачехи сталкиваются с большим количеством проблем, чем отчимы, приспосабливаясь к своим новым ролям, им приходится преодолевать огромные трудности, чтобы достичь успеха — частично из-за существования стереотипа «злой мачехи», а частично из-за того, что мачехи проводят с детьми больше времени, чем отчимы [9].
Особые проблемы могут возникать при повторных браках вдовцов и вдов. Если первый брак у супругов был спокойным и вполне благополучным, иногда возникают подрывающие супружество тенденции сравнения второго партнера с первым. Воспоминания и нетактичные ссылки на пример умершего мужа могут вызывать напряжение и неудовлетворенность. Подобные ситуации чаще встречаются в семьях, где мать приводит с собой детей от первого брака [8].
Преимущества второго брака по сравнению с первым заключается в том, что партнеры уже не рассчитывают на «вечную», романтичную любовь и подходят к супружеству более рационально. Помня о той горечи, с которой нередко оканчивается первый брак, партнеры испытывают благодарность за все хорошее, что им представляет второй брак, они стараются сохранить его и активнее его оберегают [8].
1.2 Понятие о сиблингах и сиблинговой позиции
"Сиблингами" психологи называют всех братьев-сестер в семье, и они - зона особого внимания специалистов. Дело в том, что старшие и младшие дети в семье редко бывают дружны. Чаще они ожесточенно борются между собой за пространство, вещи, родительское внимание. При отсутствии конкретных воспитательных действий взаимное неприятие сиблингов может доходить до ненависти со всеми вытекающими и часто серьезными последствиями [13].
Формирование сиблинговых отношений начинается с момента появления в семье второго ребенка. Исходя из определения J. Dunn и М. Раттера, под сиблинговыми отношениями мы понимаем межличностные отношения между детьми одних родителей.
Ранние исследования сиблинговых отношений были преимущественно сосредоточены на учете факторов порядка рождения, размера семьи, интервала рождения между сиблингами. Более поздние исследования в этой области все больше обращают внимание на динамику развития сиблинговых отношений, их связь с другими социальными отношениями, влияние сиблинговых и других семейных взаимоотношений на индивидуальное, социальное и когнитивное развитие, генетические и средовые факторы, определяющие сходство и различие сиблинговых пар.
Сиблинговая позиция (от англ. sibling – брат или сестра) — стратегии поведения индивида по отношению к его братьям и/или сестрам. Выделяются следующие формальные позиции: старший ребенок, младший ребенок, средний ребенок, единственный ребенок, близнец. Каждой позиции присущ типичный (нормальный) стиль взаимодействия и функционирования индивида, который предписывает ему конкретные действия и выступает основой ожиданий. В контексте развития личности взаимоотношения с сиблингами играют важную роль с формировании адекватной социальной эмоциональности [16].
Особенности нашей личности во многом зависят от того, являемся ли мы старшим, младшим, средним или единственным ребенком в семье. Порядок рождения задает определенную модель, по которой мы развиваемся.
Есть две причины, по которым детям с разным "порядковым номером" свойственны разные типы поведения. Во-первых, родители по-разному реагируют на появление первого и последующего ребенка и разного ожидают от них. Во-вторых, место среди братьев и сестер во многом предопределяет характер складывающихся между детьми отношений. Первые дети - это нечто новое, непознанное и интересное для родителей, "подопытные кролики". Эти дети с самого начала получают от взрослых громадную заботу и внимание. Их самочувствие и поведение постоянно волнуют окружающих. Как правило, родители многого ждут от первенцев и относятся к ним с нежностью, но и наказывают строже. С более поздними детьми родители ведут себя спокойнее и реалистичнее.
Первенцы, как правило, показывают более высокие результаты в тестах на интеллект и чаще получают высшее образование. Они более послушны. Детям, родившимся позже, приходится прилагать значительные усилия, чтобы наладить отношения со старшими сиблингами. Может быть, поэтому младшие обычно более популярны среди сверстников и легче переносят перемены в жизни [15].
Изучением влияния сиблинговой позиции на дальнейшую жизнь ребенка занимались многие отечественные и зарубежные психологи.
В работах психоаналитического направления утверждается, что психологическая позиция личности зависит от номера рождения ребенка в семье и что эта позиция впоследствии влияет на процесс установления контактов со сверстниками в школе и на выбор супруги(а) [5, с.139].
В зарубежной психологии одним из основных направлений исследований является изучение особенностей развития ребенка в зависимости от порядка его рождения в семье. Основу такого подхода заложили З. Фрейд и А. Адлер. З. Фрейд первым отметил, что позиция ребенка среди его сестер и братьев имеет особое значение для всей его дальнейшей жизни. Эта позиция определяется количеством детей в семье, их полом и промежутками между их рождением. Чем ближе возраст детей, тем большее влияние они оказывают друг на друга в процессе своего развития.
А. Адлер.
А. Адлер, рассматривал порядок рождения как основную детерминанту установок сопутствующую стилю жизни. Он дал описание личностных особенностей первенца (старшего), второго ребенка (среднего), последнего (младшего) и единственного ребенка в семье. По Адлеру, порядок рождения (позиция) ребенка в семье имеет решающее значение. Особенно важно восприятие ситуации, что, скорее всего, сопутствует определенной позиции. То есть от того, какое значение придает ребенок сложившейся ситуации, зависит, как повлияет порядок его рождения на стиль жизни. Однако в целом определенные психологические особенности оказались характерными именно для конкретной позиции ребенка в семье [6].
Исходя из важной роли социального контекста в развитии личности, Адлер обратил внимание на порядок рождения, как основную детерминанту установок, сопутствующих стилю жизни. А именно: если у детей одни и те же родители, и они растут примерно в одних и тех же семейных условиях, их социальное окружение все же не тождественно. Опыт старшего или младшего ребенка в семье по отношению к другим детям, особенности влияния родительских установок и ценностей – все это меняется в результате появления в семье следующих детей и сильно влияет на формирование стиля жизни.
По Адлеру, порядок рождения (позиция) ребенка в семье имеет решающее значение. Особенно важно восприятие ситуации, что скорее всего сопутствует определенной позиции. То есть от того, какое значение придает ребенок сложившейся ситуации, зависит, как повлияет порядок его рождения на стиль жизни. Более того, поскольку это восприятие субъективно, у детей, находящихся в любой позиции, могут вырабатываться любые стили жизни. Однако в целом определенные психологические особенности оказались характерными именно для конкретной позиции ребенка в семье.
Первенец (старший ребенок). Согласно Адлеру, положение первенца можно считать завидным, пока он – единственный ребенок в семье. Родители обычно сильно переживают по поводу появления первого ребенка и поэтому всецело отдают себя ему. Первенец получает безграничную любовь и заботу от родителей. Он, как правило, наслаждается своим безопасным и безмятежным существованием. Но это продолжается до тех пор, пока следующий ребенок не лишит его своим появлением привилегированного положения.
Адлер часто описывал положение первенца при рождении второго ребенка, как положение "монарха, лишенного трона", и отмечал, что этот опыт может быть очень травматичным. Когда старший ребенок наблюдает, как его младший брат или сестра побеждает в соревновании за родительское внимание и нежность, он, естественно, будет склонен отвоевывать свое верховенство в семье. Со временем ребенок сознает, что родители слишком заняты, слишком задерганы или слишком равнодушны, чтобы терпеть его инфантильные требования. Кроме того, у родителей гораздо больше власти, чем у ребенка, и они отвечают на его трудное поведение (требование к себе внимания) наказанием. В результате подобной семейной борьбы первенец "приучает себя к изоляции" и осваивает стратегию выживания в одиночку, не нуждаясь в чьей-либо привязанности или одобрении. Адлер также полагал, что самый старший ребенок в семье скорее всего консервативен, стремится к власти и предрасположен к лидерству. Поэтому он часто становится хранителем семейных установок и моральных стандартов.
Единственный ребенок. Адлер считал, что позиция единственного ребенка уникальна, потому что у него нет других братьев или сестер, с которыми ему приходилось бы конкурировать. Главной особенностью этого стиля жизни становится зависимость и эгоцентризм.
Такой ребенок на протяжении всего детства продолжает быть средоточием жизни семьи. Однако позднее он как бы внезапно пробуждается и открывает для себя, что больше не находится в центре внимания. Единственный ребенок никогда ни с кем не делил своего центрального положения, не боролся за эту позицию с братьями или сестрами. В результате у него часто бывают трудности во взаимоотношениях со сверстниками [17].
Благодаря своему особому положению в семье, он получает гораздо больше ласки, внимания и заботы со стороны взрослых, чем в случае, если в семье имеется несколько детей. А если учесть еще и то обстоятельство, что к его воспитанию подключаются бабушки и дедушки, то он буквально «купается» в любви. Отмечая положительную сторону такого отношения к единственному ребенку в семье, специалисты считают, что он оказывается более эмоционально устойчивым, нежели другие дети, потому что не знает волнений, связанных с соперничеством братьев и сестер. По мнению А. Адлера, позиция единственного ребенка уникальна – у него нет брата или сестры, с которыми ему приходилось бы конкурировать.
Единственный ребенок очень скоро становится центром семьи. Заботы отца и матери, сосредоточенные на этом ребенке, обыкновенно превышают полезную норму. Любовь родительская в таком случае отличается известной нервозностью. Болезнь этого ребенка или смерть переносится такой семьей очень тяжело, и страх такого несчастья всегда стоит перед родителями и лишает их необходимого спокойствия. К заботе родителей подключаются многие дедушки и бабушки, которые души не чают в единственном внуке или внучке. Но гиперопека, как известно, порождает детские страхи. Детям передается тревожность взрослых. Известно, что те, кого чересчур сильно опекали и контролировали в детстве, во взрослом возрасте нередко бывают не способны на смелые, решительные поступки [18].
Второй (средний) ребенок. Второму ребенку с самого начала задает темп его старший брат или старшая сестра: ситуация стимулирует его побивать рекорды старшего сиблинга. Благодаря этому нередко темп его развития оказывается более высоким, чем у старшего ребенка.
В результате второй ребенок вырастает соперничающим и честолюбивым. Его стиль жизни определяет постоянное стремление доказать, что он лучше своего старшего брата или сестры. Итак, для среднего ребенка характерна ориентация на достижения. Чтобы добиться превосходства, он использует как прямые, так и окольные методы.
Последний ребенок (самый младший). Положение последнего ребенка уникально во многих отношениях. Во-первых, он никогда не испытывает шока "лишения трона" другим сиблингом и, будучи "малышом" или "баловнем" семьи, может быть окружен заботой и вниманием со стороны не только родителей, но, как это бывает в больших семьях, старших братьев и сестер. Во-вторых, если родители ограничены в средствах, у него практически нет ничего своего, и ему приходится пользоваться вещами других членов семьи. В-третьих, положение старших детей позволяет им задавать тон; у них больше привилегий, чем у него, и поэтому он испытывает сильное чувство неполноценности, наряду с отсутствием чувства независимости.
Несмотря на это, младший ребенок обладает одним преимуществом: у него высокая мотивация превзойти старших сиблингов. В результате он часто становится самым быстрым пловцом, лучшим музыкантом, наиболее честолюбивым студентом. Адлер иногда говорил о "борющемся младшем ребенке", как о возможном будущем революционере [17].
У. Тоумен.
Теоретическая позиция У.Тоумена также предусматривает развитие личности и ее взаимоотношений с окружающими в контексте определенной сиблинговой позиции.
Сиблинговая позиция предполагает определенные стратегии поведения индивида по отношению к его братьям и/или сестрам. Обобщенные данные представляют собой десять основных сиблинговых позиций, зависящих от числа детей в семье, их пола и интервала рождения. Каждой позиции присущ типичный (нормальный) стиль взаимодействия и функционирования индивида, который предписывает ему конкретные действия и выступает основой ожиданий [7, с.10].
Основные позиции таковы:
1) самый старший ребенок: старший из братьев, старший брат среди сестер, старшая из сестер и старшая сестра среди братьев;
2) самый младший ребенок: младший из братьев, младший брат среди сестер, младшая из сестер и младшая сестра среди братьев;
3) средний ребенок — мужского или женского пола;
4) единственный ребенок — мужского или женского пола;
5) близнецы: двое, трое, четверо, пятеро и т. д.
Будет ли старший в семье сверхтревожным или же спокойным лидером семьи, зависит от основного уровня ее дифференциации. Этот уровень будет определять, станет ли самый младший в семье безответственным, легко поддающимся любым переменам настроения и импульсивным или же уступчивым, но целеустремленным.
Основной тезис У. Томана состоит в том, что сиблинги учат друг друга тому, как осуществлять тесные взаимоотношения со сверстниками. Дружба у взрослых и выбор супруга(и), как и родительский стиль, сильно зависят от опыта, полученного сиблингом в детстве. У женщины, выросшей вместе с братьями, более спокойные и ровные дружеские взаимоотношения с мужчинами и с мужем, а также со своими сыновьями по сравнению с женщиной, у которой были только сестры. Мужчина, который вырос в окружении сестер, чувствует себя более уверенно и спокойно в дружеских взаимоотношениях с женщинами, в браке, а также в качестве отца дочерей, чем тот мужчина, у которого были только братья [3].
Но профили сиблинговой позиции и даже взаимодополнительность порядка рождения и пола в браке или в воспитании детей не являются абсолютными. Здесь существуют значительные вариации. Эти показатели могут обогатить представление о среднем ожидаемом уровне функционирования членов семьи в течение поколений в зависимости от того, соответствуют индивиды профилю или же отклоняются от него. Профили сиблинговой позиции могут, однако, ввести в заблуждение, если они используются как устойчивые стандарты для оценивания функционирования индивидов или брачной пары. Знание сиблинговой позиции может быть полезным в контексте всесторонней оценки семьи.
1.2.1 Сводные братья и сестры
Отношения между сводными детьми могут варьироваться от взаимного расположения и даже любви до ревности, недоверия, ненависти и активного стремления добиться первенства в новой семье. Взаимоотношения сводных детей представляют собой все многообразие проявлений непримиримого соперничества.
Ситуация осложняется еще и тем, что один ребенок или группа детей аппелирует к «моему папе», а их соперник обращается за поддержкой к авторитету «моей мамы». В качестве аргумента кто-либо из детей может ставить в пример «мою семью», а кто-то из детей то, что въехали в «его дом».
При этом не менее сложными и многообразными оказываются взаимоотношения взрослых. При объединении двух семейств оба родителя по отношению к детям своего партнера автоматически превращаются в неродных родителей, что предоставляет каждому из них прекрасную возможность осыпать друг друга взаимными обвинениями в придирчивости или даже жестокости обращения с «чужими» детьми и всяческом попустительстве к собственному ребенку. Выполнению детьми возложенных на них обязанностей по ведению домашнего хозяйства такое положение вещей, естественно, ни коим образом не способствует, и комфортности в атмосфере новой семьи ребенку, конечно, не прибавляет. Наоборот, противостояние в семьях смешанного родственного состава вызывает у детей лишь дополнительное обострение чувства тоски и тревоги.
Определению места ребенка в новом составе семьи в значительной мере способствует распределение детей по разным возрастам. На этой основе ребенок естественным образом становится старшим среди детей, средним по возрасту или самым младшим из них. Помимо возрастных различий дети идентифицируются по физическим характеристикам и уровню развития своих способностей [11, с.211].
Однако отношения между сводными детьми могут быть очень даже доброжелательными. Отношения могут быть не хуже, чем отношения родных братьев и сестер.
Причин тому, что между сводными братьями и сестрами обычно складываются отношения такие же, как между родными, несколько. Само появление в семье сводного брата или сестры иное, чем неродного родителя. Новые дети рождаются в семье, их появления ждут, к нему готовятся, в то время как отчим или мачеха вторгаются в семью со стороны, как бы внезапно. А главное – дети легко вступают между собой в контакт, у них свой особый детский мир, общие интересы, общие игры и занятия. Чем ближе возраст детей, тем лучше и легче складываются их взаимоотношения. Есть лишь одна опасность. В любой семье появление следующего ребенка, если предыдущий уже достаточно подрос к этому времени, может вызвать ревность старшего, обиду за то, что малышу уделяется больше внимания, чем ему. Если это случается в повторном браке, по подобные чувства старший ребенок может связывать с тем, что один из родителей у него неродной. Чтобы избежать подобных оценок своего места в семье, необходимо старшего ребенка приобщать к уходу за младшим, дать ему почувствовать, что наравне со взрослыми на него ложится забота и ответственность за малыша. Таким образом, ребенок от первого брака, будучи старшим, обретает так необходимую ему возможность самоутверждения, приобщения ко «взрослой» деятельности, получает право на уважение и одобрение со стороны родителей. Самоотверженное, покровительственное, заботливое отношение к малышу становится психологически более значимым для него, чем ревнивое опасение, чем младшего в семье любят больше. Важно только без особой нужды не нарушать главное правило – одинаковое и равное отношение ко всем детям, независимо от того, родные они для супругов или неродные [19, с. 246].
1.3 Проблемы детей в повторном браке
«Весь мир для ребенка заключается в его семье. Когда она распадается, у ребенка разрушается восприятие себя как единого целого с окружающим миром и пропадает ощущение безопасности. Большинство детей так или иначе воспитываются двумя родителями. Мать и отец, поддерживая ребенка за руки с обеих сторон, переносили его через оставшиеся после дождя лужи или высокую бровку тротуара. Когда один из родителей уходит, у ребенка нарушается пропорциональное развитие. Теперь его держат только за одну руку, а вторая болтается сама по себе».
«Повторный брак» McGrow Hill, 1977.
В настоящее время происходит увеличение числа детей, воспитывающихся уже с дошкольного возраста в повторнобрачных семьях. В детских садах обнаруживается в среднем от 5% до 20% детей из таких семей.
Многие дети в условиях повторного брака ведут себя совершенно не так, как повел бы себя ребенок, воспитывающийся в семье с родными отцом и матерью. Когда семья распадается или один из родителей умирает, ребенок воспринимает это как событие, несущее с собой ничем невосполнимую утрату. При этом поведение ребенка может казаться вызывающе дерзким или совершенно неуправляемым, но на самом деле он чувствует себя напуганным. Он выплескивает свои эмоции в несдержанном поведении, но не знает, почему у него возникает такая потребность. Он не может найти слов для обозначения своих страхов.
Чем большее потрясение испытывает ребенок, тем сильнее в нем говорит потребность заставить страдать окружающих его взрослых людей. Он ведет себя плохо потому, что плохо себя чувствует. Ребенок (и люди взрослые также) стремится обрести внешний контроль, потому что он чувствует, что теряет его. Многих детей преследует чувство, что, если они «сделают что-то такое», утраченная ими семья снова соберется вся вместе. Едва лишь в орбите его внимания оказывается кто-либо для него незнакомый, ребенок немедленно превращается в маленького неуправляемого монстра, на которого не действуют ни какие увещевания [11, с.200-201].
Так ребенок реагирует на появление «чужого» папы или «чужой мамы. Но в начале ребенок переживает развод родителей или, что еще хуже, смерть одного из них, что является для него огромным стрессом.
Конечно, ребенок перенес тяжелейшую душевную травму: расстались два любимых им человека. Он помнит только хорошее о том, кого нет рядом. Всегда оказывается преувеличенной оценка отца, ушедшего в другую семью, или матери, даже если она была лишена родительских прав за алкоголизм или безнравственное поведение.
Оставшись с одним из родителей, ребенок невольно требует от одного все, что получал раньше от двоих. Да и одинокие отец или мать, сами обделенные супружеской лаской, болезненно переживают вину перед ребенком, свое родительское чувство.
Это сильнее привязывает родителя и ребенка друг к другу, и нового человека встречает ревностное отношение к нему. Дочь заявляет матери: "Нам другой отец не нужен". Сын говорит, обращаясь к мужчине, полюбившему его мать: "Вы здесь не нужны, мы без вас хорошо живем. И мне второго отца не надо, у меня есть один". Это невосприятие ребенком будущего отчима или мачехи естественно [21].
Положение ребенка в семье, складывающейся на основе второго брака матери, по–своему, исключительное и трудное. Во вновь созданной семье ухудшаются условия для эмоционального и нравственного развития ребенка из-за сложностей в отношениях “отчим-ребенок”. Часто это происходит из-за неумения, а порой нежелания мужчины осознать свою роль мужа и отца. Взрослые и дети вносят в новую семью свои воспоминания, страхи и фантазии.
Ожидания от второго брака порой бывают грандиозными: “Ты должен быть лучше, чем тот, кто был до тебя”. Происходит сравнение первого и повторного брака.
В повторном браке супруги адаптируются друг к другу, а также к воспитательным ролям. В первом браке эти стадии были разделены во времени, следовали друг за другом, во втором они накладываются друг на друга, что усиливает напряженность в семье.
В ситуации распада семьи мать становится для ребенка главной, а иногда и единственной опорой и источником психологической защиты. При повторном замужестве она, поглощенная личным эмоциональным состоянием, не всегда способна осознать необходимость эмоциональных контактов ребенка с матерью, увидеть душевные переживания ребенка, понять их причину. В жизни немало случаев, когда с повторным замужеством внимание матери переключается на второго супруга. Вследствие этого резко сокращается и обедняется ее эмоциональное отношение к ребенку. Чем дольше мать и ребенок жили в условиях неполной семьи, тем ощутимее для ребенка оказывается смещение внимания матери к новому супругу, а затем к ребенку от второго брака. Можно предположить, что обеднение и формализация контактов матери с сыном или дочерью от первого брака провоцируют разные формы нарушений поведения детей, их глубокие эмоциональные переживания [2].
Например, по мере взросления юноши мать неизбежно утрачивает способность привить своему возмужавшему ребенку навыки поведения, принятого в обществе мужчин. Мать не способна на собственном примере научить ребенка умению правильно воспринимать распоряжения вышестоящего начальства и привить ему стремление, как бы трудна ни казалась задача, без хныканья довести начатое до конца
Многое из мужского подхода к решению жизненных проблем неплохо усвоить и девочкам. Им также придется пробивать себе дорогу в жизни, идя по ней не только в окружении женщин, но и, естественно, мужчин. Здоровые взаимоотношения дочери с отцом в дальнейшем помогут ей при общении с мужчинами [11, с.21].
И, конечно, огромную и незаменимую роль в воспитании детей несет все же мать. Ребенок, чувствующий за спиной материнскую опору и любовь, оказывается более способным преодолевать негативные чувства, связанные с семейной напряженностью.
Итак, характер детских переживаний в условиях повторного брака матери опосредован качеством эмоциональной связи в диаде “мать-ребенок”. Чем менее выражена эмоциональная связь матери с ребенком, тем ощутимей у детей чувство неуверенности в любви к ним со стороны близких [2].
Когда брак распадается, отец и мать, каждый по отдельности, ищут свой язык общения с ребёнком.
Если раньше в отношениях было три участника, теперь их двое: ребёнок и отец или ребёнок и мать. Отношения с каждым из родителей приобретают свои отличительные черты и наделяются некими обязательствами. Дети привыкают к новым отношениям тет-а-тет довольно быстро и, следовательно, эти «пары» создаются раньше, чем у папы или мамы появляется следующий спутник жизни.
Создаётся ситуация, неестественная для обычной семьи, в которой отношения между родителями предшествуют появлению на свет ребёнка. При повторном браке любимый человек матери или отца приходит третьим, когда связь родителей с ребёнком уже сформировалась, и это создаёт определенные трудности. Об этом неплохо было бы знать семьям, в которых супруги приводят с собой детей [4].
Будем честными: вновь прибывшие «родители» не могут одинаково относиться к своим родным детям и детям своего супруга и, естественно, любовь, которую испытывают дети к своим биологическим родителям, отличается от привязанности к «пришельцам».
Конечно, это знание причиняет боль, потому что «новые» - как дети, так и родители чувствуют себя отвергнутыми. Львиная доля проблем связана с тем, что люди вступают в очередной брак, мечтая вновь обрести семью, которая однажды распалась. Конфликты возникают тогда, когда они начинают замечать разницу между своими ожиданиями и действительностью. А дальше как всегда, насколько мы способны принять ситуацию такой, какая она есть, настолько эффективно мы сможем выстроить отношения как с чужими, так и с родными детьми.
Другими словами, если в совместном быту вновь прибывшие мужчина или женщина занимают место папы или мамы, выполняя практические функции, но не значит, что они стали настоящими родителями ребёнку.
Зачастую дети и даже их непосредственный родитель отказываются наделить вновь прибывших необходимыми полномочиями, и это создаёт основную проблему. Поэтому своевременный разговор с партнёром на эти темы имеет первостепенное значение, так как вопросы, связанные со структурой семьи, только на первый взгляд кажутся проблемами общежития, где ни одна из сторон толком не понимает, из-за чего происходят ссоры. Поэтому нужно с самого начала чётко определить место, занимаемое каждым, и тип отношений, который вы собираетесь установить с остальными, а главное, добиться того, чтобы это стало понятным всем, избежав путаницы и недопонимания.
И потом, повторный брак для взрослого человека означает окончание периода одиночества, значит, является поводом для радости. Для детей же это событие предполагает начало тяжёлого этапа, к которому следует добавить боль потери, пережитую при разводе родителей или смерти одного из них.
Для многих детей такая перемена создаёт огромную проблему, связанную с чувством верности: «Если я люблю нового спутника моей мамы, я предаю своего папу».
Со всеми трудностями можно справиться, если их не замалчивать. Чаще всего об этом стараются не говорить, чтобы «не ворошить угли», и конфликты остаются неразрешёнными и напоминают о себе при совместной жизни…
И ещё - надо принять тот факт, что есть невосполнимые потери, что у наших детей есть нужды, которые появившийся в семье новый человек не сможет удовлетворить.
Мудрость отношений в паре состоит в том, чтобы наслаждаться тем, что мы имеем, и не ссориться, пытаясь добиться невозможного [4].
Глава 2. Эмпирическое исследование взаимосвязи особенностей детско-родительских взаимоотношений при различных сиблинговых позициях детей в семье
Эмпирическое исследование особенностей детско-родительских взаимоотношений и особенностей сиблингового взаимодействия в семьях, воспитывающих детей от разных браков, их взаимосвязи, происходило в три этапа, на каждом из которых решались следующие задачи:
Первый этап -диагностическое исследование особенностей взаимодействия родителей и детей в семьях, воспитывающих двух сиблингов от разных браков.
Второй этап - диагностическое исследование сиблинговых взаимоотношений в семьях, воспитывающих двух сиблингов от разных браков.
Третий этап - корелляционный анализ полученных на предыдущих этапах исследования данных. Проверка гипотезы о наличии значимой связи между исследованными параметрами.
Базой исследовательской работы явилась средняя общеобразовательная школа №30. В исследовании приняли участие учащиеся 40 семей, воспитывающих двух сиблингов от разных браков.
2.1 Исследование взаимосвязи особенностей детско-родительских и сиблинговых взаимоотношений в семьях, воспитывающих двух сиблингов от разных браков
На данном этапе исследования выявлялась связь между особенностей детско-родительских и сиблинговых взаимоотношений в семьях, воспитывающих двух сиблингов от разных браков.
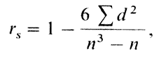
Статистическая проверка эмпирической гипотезы осуществлялась с помощью метода ранговой корреляции Спирмена, позволяющего определить тесноту (силу) и направленность корреляционной связи между двумя признаками. Коэффициент rs вычисляют по формуле

где d — разность между рангами сопряженных значений признаков (независимо от ее знака), а — число пар. В нашей работе вычисления были произведены с использованием программного пакета Statistica 7.0.
Результаты корреляционного анализа, позволяющие оценить взаимосвязь между исследуемыми параметрами представлены в Приложении 3, Таблице 5,6. Из таблиц 5 и 6 видно, что у первых сиблингов сильная связь (Р<0.01) существует между следующими параметрами:
· Доверительностью общения и требовательность родителей (0.7). Вероятно, это объясняется тем, что чем больше требований предъявляют родители к сиблингам, тем больше возникает у последних потребность искать поддержки, доверия друг у друга.
· Доверительностью общения и контролем отца (0.58)и матери (0.86). Такая взаимосвязь также, вероятно, может быть объяснена взрастающей сплоченностью внутри сиблинговой подсистемы при высокой степени контроля со стороны родителей.
· Доверительностью общения и строгостью отца (0.83), что говорит о том, что чем больше строгости проявляет отец по отношению к детям, тем больше сиблинги стремятся к согласию по поводу верований и ценностей внутри своей подсистемы.
· Доверительностью общения и эмоциональной дистанцией отца (-0.59, -0.63). То есть чем более дистанцирован отец в отношениях с детьми, тем меньше у сиблингов стремление доверить друг другу свои тайны, свои дела, положиться на брата (сестру) в полной мере. Вероятно, дети усваивают родительскую модель «холодных» взаимоотношений.
· Доверительностью общения и отвержением отца (-0.71) и матери (-0.52). Что говорит о том, что отвержение родителей, вероятно, способствует формированию недоверия в отношениях с окружающими, в том числе и в сиблинговой подсистеме.
· Доверительностью общения и сотрудничеством с отцом (0.52) и с матерью (0.55). Вероятно, проявляя отношения сотрудничества в детско-родительских взаимоотношениях, родители транслируют детям необходимые умения для построения отношений, позволяющих достигать общих целей.
· Доверительностью общения и непоследовательностью отца (-0.52). Вероятно, непоследовательные воспитательные воздействия отца в семье препятствуют построению доверительных отношений, формированию согласованной системы верований и ценностей у сиблингов.
· Доверительностью общения и авторитетностью отца (0.62). Вероятно, авторитетность отца в семье привносит в отношения сиблингов умения уважать друг друга, относиться к общению как к ценности, уметь полагаться друг на друга в решении проблем.
· Взаимопонимание между сиблингами связано со строгостью отца (0.56, 0.81), с контролем матери (0.84) и отца (0.92). Вероятно, при строгом отце в семье у сиблингов возникает дополнительная мотивация искать взаимопониминие друг у друга в сиблинговой подсистеме.
· Взаимопонимание между сиблингами связано с эмоциональной дистанцией отца (-0.67), с отвержением матери (-0.61) и отца (-0.74). Очевидно, эмоционально дистанцированные отношения с родителями транслируются в сиблинговую подсистему. И такие дети не понимают друг друга, не стремятся узнать интересы, настроения другого.
· Взаимопонимание между сиблингами связано с сотрудничеством с матерью (0.66). Возможно, такая материнская позиция учит детей проявлению мягкости в отношениях, возможности предсказать и понять поведение брата/сестры в определенных ситуациях реакции на те или иные события.
· Взаимопонимание между сиблингами связано с несогласием - с матерью (-0.54) и отцом (-0.56): чем более дети «отделены» от родителей, тем более стремятся к взаимопониманию друг с другом.
Доверительность и взаимопонимание в общении тесно связаны между собой. Неудивительно, что эти параметры имеют много похожих взаимосвязей с особенностями детско-родительских взаимоотношений.
· Сходство взглядов связано обратной связью с принятием отца (-0.56) и сотрудничеством (-0.57), с согласием матери (-0.76) и отца (-0.81). Вероятно, при отсутствии поддержки в этой сфере со стороны отца, дети вынуждены формировать свою, общую для них систему интересов, взглядов, мировоззрения.
· Сходство взглядов связано авторитетностью отца (-0.63). Возможно, чем более поддержан авторитет отца в семье, тем более согласованы позиции членов семьи в различных вопросах.
· Прямой связью сходство взглядов связано с последовательностью матери (0.51) и отца (0.69). Вероятно, это можно объяснить простым утверждением: чем более последовательны родители, тем более понятно детям как воспринимать мир. С другой стороны, чем более несогласованны родители, тем больше причин у сиблингов искать понимания друг у друга.
· Общие символы семьи связаны прямой связью с требовательностью матери (0.51) и отца (0.56), строгостью отца (0.85), контролем матери (0.80) и отца (0.86). Вероятно, такая система воспитания и общения с детьми в семье способствует созданию у сиблингов системы объектов, высказываний, имеющих для них одно и то же значение, вызывающих одно и то же чувство, воспоминание, отношение. В общении может выражаться в существовании «своего языка», чувства единства, сплоченности, так называемого «мы».
· Общие символы семьи связаны с эмоциональной дистанцией отца (-0.70), отвержением матери (-0.65), неудовлетворенностью отношениями с отцом (-0.57). Понятно, что такие характеристики общения с детьми не способствуют развитию у сиблингов чувства единства, сплоченности, так называемого «мы».
У вторых сиблингов сильная связь (Р<0.01) существует между следующими параметрами:
· Доверительностью общения и требовательность отца (0.79), контролем матери (0.52), строгостью отца (0.55) и матери (0.67). Что, вероятно, как и у первых сиблингов, объясняется теми же причинами: при требовательных, контролирующих, строгих родителях дети вынуждены искать поддержку внутри своей подсистемы.
· Доверительностью общения и непоследовательностью отца (-0.78), эмоциональной дистанцией матери (-0.58), несогласием отца (-0.83) и матери (-0.91). То есть чем более конфликтны, дистантны и несогласованны позиции родителей по отношению к детям, тем меньше доверия внутри сиблинговой подсистемы.
· Доверительностью общения и с сотрудничеством с отцом (0.55): в таких семьях, где родитель демонстрирует конструктивные способы разрешения противоречий, достижения взаимопонимания, дети выстраивают отношения доверия между собой.
Эти результаты во многом схожи с результатами исследования первых сиблингов и. вероятно, во многих случаях могут быть объяснены теми же причинами.
· Взаимопонимание между вторыми сиблингами связано с требовательностью отца (0.74), со строгостью отца (0.61) и матери (0.69, 0.61), с контролем матери (0.72, 0.56) и отца (0.56), с несогласием - с матерью (-0.93, -0.85) и отцом (-0.72, -0.67), с непоследовательностью отца (-0.75, -0.72); и, вероятно, объясняется теми же причинами, как и связи при исследовании первой сиблинговой позиции: чем более строгие и контролирующие родители, тем больше близости, доверия и понимания между сиблингами.
· Сходство взглядов, в отличие от первых сиблингов, не имеет сильных взаимосвязей с параметрами родительского отношения. Возможно, потому что младшие сиблинги часто ориентируются на старших, играя «ведомую» роль.
· Общие символы семьи связаны с требовательностью отца (0.87), со строгостью отца (0.73)и матери (0.57), с контролем матери (0.65) и отца (0.60), с принятием матери (0.54), с несогласием отца (-0.82) и матери (-0.89), с непоследовательностью отца (-0.68). Эти связи, вероятно, объясняются теми же причинами, что и в отношении первых сиблингов.
· Легкость общения у вторых сиблингов связана с автономностью матери (-0.52). Эта связь характерна только для второй сиблинговой позиции. Вероятно, это объясняется склонностью многих мам к выстраиванию очень тесных отношений с младшими детьми, что препятствует развитию навыков общения со сверстниками, может способствовать сиблинговой конкуренции.
· Легкость общения связана с отсутствием сотрудничества с матерью (-0.68), неавторитетностью матери (-0.70) и отца (-0.69). Эти связи также, вероятно, объясняются необходимостью «верной» дистанции в отношениях с родителями для развития навыков общения у детей.
· Легкость общения связана с неудовлетворенностью взаимоотношениями с матерью (-0.67) и отцом (-0.68). Возможно, это объясняется той же закономерностью: чем более ребенок привязан к матери, тем сложнее ему отделиться и выстраивать эффективные взаимоотношения с другими персонами.
Наконец, психотерапевтичность общения связана с отсутствием сотрудничества с матерью (-0.52), с неавторитетностью отца (-0.55), с неудовлетворенностью отношениями с отцом (-0.53). Что также возможно объяснить сплочением сиблингов за счет дистанцирования с родителями.
Таким образом, гипотеза, подлежавшая проверке в нашем исследовании, нашла свое подтверждение, что позволило констатировать существование достоверной взаимосвязи между исследуемыми признаками.
Заключение
В связи с этим возникает необходимость всестороннего изучения очерченной проблемы.
Наше исследование было направлено на изучение взаимосвязи между особенностями детско-родительских и сиблинговых взаимоотношений в семьях, воспитывающих двух сиблингов от разных браков.
При этом исследование проводилось в несколько этапов. На первом этапе осуществлен анализ основных теоретических подходов к исследуемой проблеме. Рассматриваемой проблеме посвящено большое количество исследований, однако, несмотря на значительное количество работ, исследования в этой сфере остаются достаточно актуальными.
Задачами второго и третьего этапов исследования являлось диагностика детско-родительских и сиблинговых взаимоотношений. Полученные в результате реализованного диагностического обследования данные позволили охарактеризовать выборку испытуемых исходя из рассматриваемых диагностических параметров.
На последнем этапе исследования решалась задача исследования взаимосвязи особенностей детско-родительских и сиблинговых взаимоотношений.
Статистическая проверка эмпирической гипотезы осуществлялась с помощью метода ранговой корреляции Спирмена, позволяющего определить тесноту и направленность корреляционной связи между двумя признаками. Гипотеза, подлежавшая проверке в нашем исследовании, нашла свое подтверждение, что позволило констатировать существование достоверной взаимосвязи между исследуемыми признаками.
Практический аспект результатов нашего исследования представляется в применении полученных результатов практическими психологами учреждений, консультирующих по вопросам брака и семьи.
Итак, есть множество вопросов, на которые мы не знаем ответов, а значит, перед нами открыты новые горизонты исследований в области семейной психодиагностики.
Психологи считают семейную психологию и исследования в этой области наиболее сложными, но, надо заметить, что это и наиболее интересная область психологии, наиболее жизненная область.
Список используемых источников
1. Алешина Ю.Е. Индивидуальное и семейное психологическое консультирование / Ю.Е. Алешина – М.: Ост, 1993.– 175 с.
2.Баранова Е.В. Повторный брак матери и эмоциональное самочувствие ребенка / Е.В. Баранова – М.: Медицинский центр, 2007г.– 58 с.
3. Бейкер К. Теория семейных систем М. Боуена / К.Бейкер // Вопросы психологии. – №6. – 1991г.
4. Букай Х. Любить с открытыми глазами / Х. Букай, С. Салинас.– Пер. с исп. Н. Черепковой.– М.: Изд.дом Мещерякова, 2007 г. – 285 с.
5. Думитрашку Т.А. Влияние внутрисемейных факторов на формирование индивидуальности / Т.А. Думитрашку //Вопросы психологии.– №1. – 1991.
6. Корепанова И.А. Опыт психологического анализа отношения младшего школьника к сиблингу / И.А. Корепанова, Е.И. Карпунина //Материалы второй всероссийской научной конференции «Психологические проблемы современной российской семьи» (25 — 27 октября 2005 г.), часть 2. – М., 2005. – стр. 119-125.
7. Кравцова М.В. Братско-сестринские отношения в ситуациях травматического опыта / М.В. Кравцова // Псiхалогiя.– №3. – 2004.
8. Кратохвил С. Психотерапия семейно-сексуальных дисгармоний /С. Кратохвил – М.: Медицина, 1991. – 344 с.
9. Крайг Г. Психология развития. / Г. Крайг – 7-е международное издание. –СПб.: Питер, 2002.– 183 с.
10. Куровская С. Брак и семья / С. Куровская // Планета-семья.– 2005г. –№2, с.3-9.
11. Лофас Ж.Повторный брак: дети и родители / Ж. Лофас, Д. Сова – СПб.: Питер Пресс, 1996. – 320 с.
12. Райе Ф. Психология подросткового и юношеского возраста / Ф. Райе – СПб.: Питер, 2000. – 656 с.
13. Синарева Ю.Н. Любовь и сиблинги. Сестры и братья. Как им жить мирно / Ю.Н. Синарева // Домовой №4. – 2003 г.
14. Слепкова В.И. Психологическая диагностика семейных отношений / В.И. Слепкова, Т.А. Заеко – Мозырь: Содействие, 2006. –196 с.
15. Современный ребенок. Энциклопедия взаимопонимания" / А.Я.Варга. – М.: ОГИ, 2006, – 135 с.
16. Томан У. Семейное созвездие: её влияние на личностное и социальное поведение / У. Томан – N.Y.: Springer, 1976.
17. Хьелл Л. Теории личности / Л. Хьелл, Д. Зиглер Д. – 3-е изд. – СПб.: Питер, 2005.– 607 с.: ил.– (Серия «Мастера психологии).
18. Целуйко В.М. Психологические проблемы современной семьи / В.М. Целуйко – М.: ВЛАДОС, 2008 г.– 496 с.
19. Целуйко В.М. Психология современной семьи / В.М. Целуйко – М.: Гуманит. изд. центр ВЛАДОС, 2004 г.–288 с.
20.Шейнов В.П. Превратности семейной жизни. Повторный брак / Шейнов В.П. – М.: РИПОЛ, 2003 г. – 64 с.
21. Шнейдер Л. Б.Психология семейных отношений. Курс лекций / Л. Б.Шнейдер – М.: Эксмо-Пресс, 2000г. – 512 с.
ПРИЛОЖЕНИЕ 1
ОПРОСНИК «ВЗАИМОДЕЙСТВИЕ РОДИТЕЛЬ — РЕБЕНОК»
(автор Марковская И. М.)
Назначение методики. Методика предназначена для диагностики особенностей взаимодействия родителей и детей. Опросник позволяет выяснить не только оценку одной стороны — родителей, — но и видение взаимодействия с другой стороны - с позиции детей.
Описание методики. Опросник «Взаимодействие родитель— ребенок» является «зеркальным» и содержит две параллельных формы: для родителей и для детей. Кроме того, имеется два варианта опросника:
Вариант для подростков и их родителей.
Вариант для родителей дошкольников и младших школьников.
Таким образом, опросник имеет три формы: одну детскую и две взрослые, по 60 вопросов в каждой. В нашей работе использован вариант для подростков.
Текст опросника включает 10 шкал— критериев для оценки взаимодействия родителей с детьми. На каждую шкалу варианта опросника для подростков приходится равное количество вопросов, кроме двух, которые выделяет большинство исследователей и которые могут считаться базовыми в родительско-детских отношениях. Это шкалы «Автономия - контроль» и «Отвержение - принятие», в них вошло по 10 утверждений, а в остальные шкалы — по 5 утверждений.
При заполнении опросника детям предлагается оценить степень согласия с каждым утверждением по 5-балльной системе:
1 балл — «совершенно не согласен, это утверждение совсем не подходит»;
5 баллов — «совершенно согласен, это утверждение абсолютно подходит».
Шкалы опросника «Взаимодействие родитель — ребенок» (ВРР)
В опроснике «Взаимодействие «родитель — ребенок» для подростков и их родителей представлены следующие 10 шкал.
1 шкала — «Нетребовательность — требовательность родителя». Данные этой шкалы показывают тот уровень требовательности родителя, который проявляется во взаимодействии родителя с ребенком. Чем выше показания по этой шкале, тем более требователен родитель, тем больше ожидает он высокого уровня ответственности от ребенка.
2 шкала — «Мягкость — строгость родителя». По результатам этой шкалы можно судить о суровости, строгости мер, применяемых к ребенку, о жесткости правил, устанавливаемых во взаимоотношениях между родителями и детьми, о степени принуждения детей к чему-либо.
3 шкала — «Автономность — контроль по отношению к ребенку». Чем выше показатели по этой шкале, тем более выражено контролирующее поведение по отношению к ребенку. Высокий контроль может проявляться в мелочной опеке, навязчивости, ограничительности; низкий контроль может приводить к полной автономии ребенка, к вседозволенности, которая может быть следствием либо безразличного отношения к ребенку, либо следствием любования. Возможно также, что низкий контроль связан с проявлением доверия к ребенку или стремлением родителя привить ему самостоятельность.
4 шкала - «Эмоциональная дистанция - эмоциональная близость ребенка к родителю». Следует обратить специальное внимание, что эта шкала отражает представление родителя о близости к нему ребенка. Такая трактовка этой шкалы вызвана зеркальной формой опросника, по которой дети оценивают свою близость к родителям, свое желание делиться самым сокровенным и важным с родителем. Сравнивая данные родителя и данные ребенка, можно судить о точности представлений родителей, о переоценке или недооценке близости к нему ребенка.
5 шкала — «Отвержение — принятие ребенка родителем». Эта шкала отражает базовое отношение родителя к ребенку, его принятие или отвержение личностных качеств и поведенческих проявлений ребенка. Принятие ребенка как
личности является важным условием благоприятного развития ребенка, его самооценки. Поведение родителей может восприниматься ребенком как принимающее или отвергающее.
6 шкала — «Отсутствие сотрудничества — сотрудничество». Наличие сотрудничества между родителями и детьми как нельзя лучше отражает характер взаимодействия. Сотрудничество является следствием включенности ребенка во взаимодействие, признания его прав и достоинств. Оно отражает равенство и партнерство в отношениях родителей и детей. Отсутствие такового может быть результатом нарушенных отношений, авторитарного, безразличного или попустительского стиля воспитания.
7 шкала — «Несогласие — согласие между ребенком и родителем». Эта шкала тоже описывает характер взаимодействия между родителем и ребенком и отражает частоту и степень согласия между ними в различных жизненных ситуациях. Используя две формы опросника (детскую и взрослую), можно оценить степень согласия не только по этой шкале, но и по всем остальным шкалам, так как расхождения между ними тоже позволяют судить о различиях во взглядах ребенка и родителя на воспитательную ситуацию в семье.
8 шкала — «Непоследовательность — последовательность родителя». Последовательность родителя является важным параметром взаимодействия, в этой шкале отражается, насколько последователен и постоянен родитель в своих требованиях, в своем отношении к ребенку, в применении наказаний и поощрений и т. д. Непоследовательность родителя может быть следствием эмоциональной неуравновешенности, воспитательной неуверенности, отвергающего отношения к ребенку и т.п.
9 шкала — «Авторитетность родителя». Результаты этой шкалы отражают самооценку родителя в сфере его влияния на ребенка, насколько его мнения, поступки, действия являются авторитетными для ребенка, какова их сила влияния. Сравнение с данными ребенка позволяют судить о степени расхождения оценок родительского авторитета. Когда дети дают высокую оценку авторитетности родителя, то чаще всего это означает выраженное положительное отношение к родителю в целом, поэтому показатели по этой шкале очень важны для диагностики позитивности — негативности отношений ребенка к родителю, как и показатели по следующей, 10-й шкале.
10 шкала — «Удовлетворенность отношениями ребенка с родителем».
По данным десятой шкалы можно судить об общей степени удовлетворенности отношениями между родителями и детьми как с той, так и с другой стороны. Низкая степень удовлетворенности может свидетельствовать о нарушениях в структуре родительско-детских отношений, возможных конфликтах или об обеспокоенности сложившейся семейной ситуацией.
Опросник «Взаимодействие родителя с ребенком» (ВРР)
Подростковый вариант
Инструкция: «Отметьте степень согласия со следующими утверждениями по 5-балльной системе. Оцените утверждения отдельно для каждого родителя в бланке ответов: под буквой "М" — для матери, под буквой "О" — для отца».
5 — несомненно, да (полное согласие);
4 — в общем, да;
3 — и да, и нет;
2 — скорее нет, чем да;
1 — нет (абсолютное несогласие).
ВОПРОСЫ:
1. Если уж он(а) чего-то требует от меня, то обязательно добьется этого.
2. Он(а) всегда наказывает меня за мои плохие поступки.
3. Я редко говорю ему (ей), куда иду и когда вернусь.
4. Он(а) считает меня вполне самостоятельным человеком.
5. Могу рассказать ему (ей) обо всем, что со мной происходит.
6. Он(а) думает, что я ничего не добьюсь в жизни.
7. Он(а) чаще замечает во мне недостатки, чем достоинства.
8. Он(а) часто поручает мне важные и трудные дела.
9. Нам трудно достичь взаимного согласия.
10. Иногда он(а) может разрешить то, что еще вчера запрещал(а).
11. Я всегда учитываю его (ее) точку зрения.
12. Я бы хотел(а), чтобы мои будущие дети относились ко мне так же, как к нему (к ней).
13. Я редко делаю с первого раза то, о чем он(а) меня просит.
14. Он(а) меня редко ругает.
15. Он(а) старается контролировать все мои действия и поступки.
16. Считает, что главное — это слушаться его (ее).
17. Если у меня случается несчастье, в первую очередь я делюсь с ним (ней).
18. Он(а) не разделяет моих увлечений.
19. Он(а) не считает меня таким умным и способным, как ему (ей) хотелось бы.
20. Он(а) может признать свою неправоту и извиниться передо мной.
21. Он(а) часто идет у меня на поводу.
22. Никогда не скажешь наверняка, как он(а) отнесется к моим словам.
23. Могу сказать, что он(а) для меня авторитетный человек.
24. Мне нравятся наши с ним (ней) отношения.
25. Дома он(а) дает мне больше заданий, чем их дают в семьях большинства моих друзей.
26. Бывает, что он(а) применяет ко мне физические наказания.
27.Даже если я не хочу, мне приходится поступать так, как желает он(а).
28. Считает, что он(а) лучше знает, что мне нужно.
29. Он(а) всегда мне сочувствует.
30. Мне кажется он(а) меня понимает.
31. Он(а) хотел(а) бы во мне многое изменить.
32. При принятии семейных решений он(а) всегда учитывает мое мнение.
33. Он(а) всегда соглашается с моими идеями и предложениями.
34. Никогда не знаешь, что от него (нее) ожидать.
35. Он(а) является для меня эталоном и примером во всем.
36. Я считаю, что он(а) правильно воспитывает меня.
37. Он(а) предъявляет ко мне много требований.
38. По характеру он(а) мягкий человек.
39. Обычно он(а) мне позволяет возвращаться домой, когда я захочу.
40. Он(а) стремится оградить меня от трудностей и неприятностей жизни.
41. Он(а) не допускает, чтобы я подмечал его (ее) слабости и недостатки.
42. Я чувствую, что ему (ей) нравится мой характер.
43. Он(а) часто критикует меня по мелочам.
44. Он(а) всегда с готовностью меня выслушивает.
45. Мы расходимся с ним (ней) по очень многим вопросам.
46. Он(а) наказывает меня за такие поступки, какие совершает сам(а).
47. Я разделяю большинство его (ее) взглядов.
48. Я устаю от повседневного общения с ним (ней).
49. Он(а) часто заставляет меня делать то, что мне не хочется.
50. Он(а) прощает мне то, за что другие наказали бы.
51. Он(а) хочет знать обо мне все; о чем я думаю, как отношусь к своим друзьям и т. п.
52. Я не советуюсь с ним (ней), с кем мне дружить.
53. Могу сказать, что он(а) — самый близкий мне человек.
54. Он(а) все время высказывает недовольство мной.
55. Думаю, он(а) приветствует мое поведение.
56. Он(а) принимает участие в делах, которые придумываю я.
57. Мы по-разному с ним (ней) представляем мою будущую жизнь.
58. Одинаковые мои поступки могут вызвать у него (нее) то упреки, то похвалу.
59. Мне хотелось бы быть похожим на него (нее).
60. Я хочу, чтобы он(а) всегда относился(лась) ко мне так же, как сейчас.
Обработка результатов опросника ВРР. Подсчитывается общее количество баллов по каждой шкале, при этом учитывается, прямые это или обратные утверждения. Обратные утверждения переводятся в баллы следующим образом: ответы 1, 2, 3, 4, 5; баллы 5, 4, 3, 2, 1.
В бланках- «ключах» обратные вопросы обозначены звездочками. Поскольку шкалы 3 и 5 содержат по 10 утверждений, а не по 5, как в остальных, то арифметическая сумма баллов по этим шкалам делится на два. Суммарная оценка проставляется в последнем столбце регистрационного бланка.
Шкалы опросника ВРР для подростков и их родителей:
1. Нетребовательность — требовательность.
2. Мягкость - строгость.
3. Автономность — контроль.
4. Эмоциональная дистанция — близость.
5. Отвержение — принятие.
6. Отсутствие сотрудничества — сотрудничество.
7. Несогласие — согласие.
8. Непоследовательность — последовательность.
9. Авторитетность родителя.
10.Удовлетворенность отношениями с ребенком (с родителем).
ПРИЛОЖЕНИЕ 2
МЕТОДИКА ДИАГНОСТИКИ СИБЛИНГОВОГО ОБЩЕНИЯ
Предлагаемая методика представляет собой модифицированный вариант методики «Диагностика супружеского общения» (Ю. Е. Алешина, Л. Я. Гозман, Е. М. Дубовская)*. Модификация выполнена М. В. Кравцовой.
Цель методики: методика ориентирована на выявление следующих характеристик общения: доверительность и взаимопонимание в общении сиблингов, сходство взглядов, общие символы семьи, легкость общения между сиблингами, психотерапевтичность общения.
Инструкция: «Ответьте, пожалуйста, на предложенные ниже вопросы. Постарайтесь, чтобы выбранный вариант ответа наиболее полно соответствовал именно вашей точке зрения на ситуацию, сложившуюся в вашей семье».
Текст методики
1. Можно ли сказать, что тебе с сестрой (братом), как правило, нравятся одни и те же фильмы, книги, спектакли?
а) Да;
б) скорее да, чем нет;
в) скорее нет, чем да; г) нет.
2. Часто ли у тебя в разговоре с сестрой (братом) возникает чувство общности, полного взаимопонимания?
а) Очень редко;
б) довольно редко;
в) довольно часто; г) очень часто.
3. Есть ли у вас любимые высказывания, которые имеют для вас обоих одно и то же значение, и вы с удовольствием используете их?
а) Да;
б) скорее да, чем нет; в) скорее нет, чем да;
г) нет.
4. Сможешь ли ты предсказать, понравится ли твоей сестре (брату) фильм,
книга и т. д.?
а) Да;
б) скорее да, чем нет; в) скорее нет, чем да;
г) нет.
5. Чувствует ли твоя сестра (брат), нравится ли тебе то, что она (он) говорит или делает, когда ты непосредственно ей (ему) об этом не говоришь?
а) Практически всегда;
б) довольно часто; в) довольно редко;
г) практически никогда.
6. Рассказываешь ли ты сестре (брату) о своих отношениях с другими людьми?
а) Рассказываю практически все;
б) рассказываю довольно много;
в) рассказываю довольно мало;
г) не рассказываю практически ничего.
7. Бывают ли у тебя с сестрой (братом) разногласия на почве того, какие отношения необходимо поддерживать с друзьями?
а) Да, почти постоянно;
б) довольно часто; в) довольно редко;
г) нет, почти никогда.
8. Насколько хорошо твоя сестра (брат) понимает тебя?
а) Очень хорошо;
б) скорее хорошо, чем плохо; в) скорее плохо, чем хорошо;
г) совсем не понимает.
9. Твоя сестра (брат) чувствует, что ты расстроен(а) или раздражен(а) чем-то, но не желает этого показывать?
а) Да;
б) наверное, это так; в) навряд ли это так;
г) нет, это не так.
10.Рассказывает ли тебе сестра (брат) о своих неудачах и промахах?
а) Практически всегда;
б) довольно часто; в) довольно редко;
г) практически никогда.
11. Бывает ли так, что какое-то слово или предмет вызывает у вас обоих одно и то же воспоминание?
а) Очень редко;
б) довольно редко; в) довольно часто;
г) очень часто.
12. Когда у тебя неприятности, плохое настроение, становится ли тебе легче от общения с сестрой (братом)?
а) Практически всегда;
б) довольно часто; в) довольно редко;
г) практически никогда.
13. Как ты думаешь, есть ли темы, на которые сестре (брату) тяжело и неприятно разговаривать с тобой?
а) Очень много;
б) довольно много; в) довольно мало;
г) очень мало.
14. Бывает ли так, что в разговоре с сестрой (братом) ты чувствуешь себя скованно, не можешь подобрать нужных слов?
а) Очень редко;
б) довольно редко; в) довольно часто;
г) очень часто.
15. Есть ли в вашей семье традиции, к которым вы с сестрой (братом) одинаково относитесь?
а) Да;
б) скорее да, чем нет; в) скорее нет, чем да;
г) нет.
16. Может ли твоя сестра (брат) без слов понять, какое у тебя настроение?
а) Практически никогда; в) довольно часто;
б) довольно редко; в) довольно часто;
г) практически всегда.
17. Можно ли считать, что у тебя с сестрой (братом) одинаковое отношение к жизни?
а) Да;
б) скорее да, чем нет; в) скорее нет, чем да;
г) нет.
18. Бывает ли так, что ты не рассказываешь сестре (брату) новость, важную для тебя, но к ней (нему) не имеющую прямого отношения?
а) Очень часто;
б) довольно часто; в) довольно редко;
г) очень редко.
19. Рассказывает ли тебе сестра (брат) о своем физическом состоянии?
а) Рассказывает практически все;
б) рассказывает довольно много;
в) рассказывает довольно мало;
г) не рассказывает практически ничего.
20.Нравится ли твоей сестре (брату) то, что ты делаешь или говоришь, когда она (он) прямо не говорит об этом?
а) Практически всегда;
б) довольно часто; в) довольно редко;
г) практически никогда.
21.Можно ли сказать, что вы согласны друг с другом в оценках своих друзей?
а) Нет;
б) скорее нет, чем да; в) скорее да, чем нет;
г) да.
22.Может ли твоя сестра (брат) предсказать, понравится ли тебе тот или иной фильм, книга?
а) Да;
б) скорее да, чем нет; в) скорее нет, чем да;
г) нет.
23. Рассказываешь ли ты сестре (брату) о неудачах?
а) Практически никогда;
б) довольно редко; в) довольно часто;
г) практически всегда.
24.Когда вы находитесь в компании, сестре (брату) достаточно посмотреть на тебя, чтобы понять, как ты относишься к тому, что происходит?
а) Очень редко;
б) довольно редко; в) довольно часто;
г) очень часто.
25. Насколько твоя сестра (брат) искренна(ен), откровенна(ен) с тобой?
а) Полностью;
б) скорее да, чем нет; в) скорее нет, чем да;
г) нет.
26. Тебе легко общаться с сестрой (братом)?
а) Да;
б) скорее да, чем нет; в) скорее нет, чем да;
г) нет.
27.Часто ли вы балуетесь, общаясь друг с другом?
а) Очень редко;
б) довольно редко; в) довольно часто;
г) очень часто.
28.После того как ты рассказал(а) сестре (брату) о чем-то очень важном для тебя, не доводилось ли жалеть об этом?
а) Практически никогда;
б) довольно редко; в) довольно часто;
г) практически всегда.
29. Как ты думаешь, когда у твоей сестры (брата) неприятности, плохое настроение, становится ли ей (ему) легче от общения с тобой?
а) Практически никогда;
б) довольно редко; в) довольно часто;
г) практически всегда.
30. Насколько ты искренен(на), откровенен(на) с сестрой (братом)?
а) Полностью;
б) не всегда; в) скорее неискренний;
г) неискренний.
31.Всегда ли ты чувствуешь, когда твоя сестра (брат) расстроен(а) или раздражена) чем-то, но не хочет тебе этого показывать?
а) Да;
б) наверное, это так; в) навряд ли это так;
г) нет, это не так.
32. Случается ли, что твои взгляды по какому-нибудь важному для тебя вопросу не совпадают с мнением твоей сестры (брата)?
а) Очень редко;
б) довольно редко; в) довольно часто;
г) очень часто.
33. Твоя сестра (брат) делится с тобой новостью, которая важна лично для нее (него), но к тебе непосредственного отношения не имеет?
а) Очень редко;
б) довольно редко; в) довольно часто;
г) очень часто.
34. Можешь ли ты без слов понять, какое у твоей сестры (брата) настроение?
а) Практически всегда;
б) довольно часто; в) довольно редко;
г) практически никогда.
35.Часто ли возникает у тебя с сестрой (братом) чувство единства, сплоченности, так называемого «мы»?
а) Очень часто;
б) довольно часто; в) довольно редко;
г) очень редко.
36. Насколько хорошо ты понимаешь свою сестру (брата)?
а) Совсем не понимаю;
б) скорее плохо, чем хорошо;
в) скорее хорошо, чем плохо;
г) полностью понимаю.
37. Рассказывает ли тебе сестра (брат) о своих отношениях с другими людьми?
а) Практически ничего;
б) довольно мало; в) довольно много;
г) практически все.
38.Бывает ли так, что в разговоре с тобой сестра (брат) чувствует себя напряженно, скованно, не может подобрать нужных слов?
а) Очень редко;
б) довольно редко; в) довольно часто;
г) очень часто.
39. Есть ли у тебя тайны от сестры (брата)?
а) Есть;
б) скорее есть, чем нет; в) скорее нет, чем есть;
г) нет.
40. Часто ли вы, общаясь друг с другом, используете смешные названия, прозвища?
а) Очень часто;
б) довольно часто; в) довольно редко;
г) очень редко.
41.Есть ли темы, на которые тебе трудно и неприятно говорить с сестрой (братом)?
а) Очень много;
б) довольно много; в) довольно мало;
г) очень мало.
42. Часто ли у тебя с сестрой (братом) возникают разногласия по вопросу воспитания вас родителями?
а) Очень редко;
б) довольно редко; в) довольно часто;
г) очень часто.
43.Можно ли сказать, что твоей(ему) сестре (брату) легко общаться с тобой?
а) Да;
б) скорее да, чем нет; в) скорее нет, чем да;
г) нет.
44. Рассказываешь ли ты сестре (брату) о своем физическом состоянии?
а) Рассказываю практически все;
б) рассказываю довольно много;
в) рассказываю довольно мало;
г) не рассказываю практически ничего.
45. Приходилось ли твоему(ей) брату (сестре) жалеть, что он(а) не рассказал (а) тебе нечто очень интересное и важное для него (нее)?
а) Практически никогда;
б) довольно редко; в) довольно часто;
г) практически всегда.
46.Возникало ли когда-нибудь чувство, что у тебя с сестрой (братом) существует свой язык, неизвестный никому из окружающих?
а) Да;
б) скорее да, чем нет; в) скорее нет, чем да;
г) нет.
47. Есть ли у твоей сестры (брата) тайны от тебя?
а) Да;
б) скорее да, чем нет; в) скорее нет, чем да;
г) нет.
48. Бывает ли так, что когда вы находитесь среди других людей, тебе достаточно посмотреть на сестру (брата), чтобы понять, как она (он) относится к тому, что происходит?
а) Очень часто; б) довольно часто; в) довольно редко; г) очень редко.
Ключ
1. Доверительность общения:
а) +6, +18, -23, +30, -39, +44;
б) +10, +19, +25, -33, -37, -47.
2. Взаимопонимание между сиблингами:
а) +4, +20, -24, +31, +34, -36;
б) +5, +8, +9, -16, +22, +48.
3. Сходство взглядов брата и сестры: + 1, -7, +17, -21, +32, +42.
4. Общие символы семьи:
+3, -11, +15, +35, +40, +46.
5. Легкость общения между сиблингами:
-2, +14, +26, -27, +38, +43.
6. Психотерапевтичностъ общения:
+ 12, -13, +28, -29, -41, +45.
Обработка результатов. Во всех номерах вопросов со знаком «+» первой альтернативе приписывается 4 балла, второй — 3, третьей — 2, четвертой — 1. Во всех номерах вопросов со знаком «-»— в обратном порядке.
По каждой шкале подсчитывается индекс, значение которого равно среднему арифметическому значений, входящих в шкалу вопросов. Чем выше балл, тем в большей степени выражен показатель шкалы. Максимальное число баллов по шкале — 4.
Критерии доверительности и взаимопонимания в общении сиблингов, сходства взглядов, присутствия общих символов семьи, легкости общения между сиблингами, психотерапевтичности общения позволяют оценить степень благополучия отношений с братом/сестрой. Характеристики определяются степенью выраженности показателя шкалы. Доверительность и взаимопонимание оценивается по двум направлениям: оценка респондентом себя по этому признаку, оценка респондентом партнера. Это позволяет проследить реальную семейную ситуацию, а также степень адекватности ее субъективной оценки. Опросник носит характер стандартизированного самоотчета, респонденты представляют субъективную оценку происходящего в их отношениях с братом/сестрой.
Характеристика шкал опросника
1. Доверительность общения — шкала выявляет степень доверия в общении сиблингов, выражающуюся в функционировании мотивов, способности положиться на веру, на совесть другого, вверить брату/сестре себя, свои тайны, свои дела, положиться на него в полной мере. Непосредственно связано с согласием по поводу верований и ценностей.
2. Взаимопонимание между сиблингами — шкала выявляет понимание сиб-лингами друг друга, знание интересов, настроений другого, возможность предсказать и понять поведение брата/сестры в определенных ситуация; реакции на те или иные события.
3.Сходство взглядов — шкала рассчитана на определение единства взглядов или разногласий в оценке вопросов, связанных с ценностными выборами, мировоззренческой позицией, кругом интересов, отношением к жизни, восприятием окружающего (людей, предметов культуры и т. п.).
4.Общие символы семьи — оценивает существование у сиблингов объектов, высказываний, имеющих для них одно и то же значение, вызывающих одно и то же чувство, воспоминание, отношение. В общении может выражаться в существовании «своего языка», чувства единства, сплоченности, так называемого «мы».
5. Легкость общения — предполагает возникновение чувства общности, взаимопонимания во взаимодействии, отсутствие скованности, напряженности, легкость общения.
6. Психотерапевтичность общения — оценивает то, в какой степени общение с братом/сестрой является поддерживающим, приносит облегчение в ситуациях, связанных с неприятностями, сложными жизненными обстоятельствами. Психотерапевтическая функция общения невозможна без определенного уровня доверия и взаимопонимания.
ПРИЛОЖЕНИЕ 3
Таблица 1
Результаты диагностического обследования на предмет особенностей взаимодействия родителей и детей в семьях, воспитывающих двух сиблингов от разных браков (для первой сиблинговой позиции) .
| № исп-го | 1 | 2 | 3 | 4 | 5 | 6 | 7 | 8 | 9 | 10 | ||||||||||
| мать | отец | мать | отец | мать | отец | мать | отец | мать | отец | мать | отец | мать | отец | мать | отец | мать | отец | мать | отец | |
| 1. | 13 | 10 | 9 | 14 | 17 | 18 | 21 | 20 | 22 | 23 | 25 | 9 | 13 | 15 | 21 | 17 | 25 | 18 | 25 | 22 |
| 2. | 15 | 10 | 14 | 11 | 13 | 13 | 17 | 20 | 23 | 23 | 9 | 9 | 15 | 15 | 17 | 17 | 20 | 18 | 22 | 22 |
| 3. | 21 | 22 | 8 | 14 | 17 | 18 | 17 | 17 | 21 | 21 | 22 | 22 | 21 | 22 | 7 | 5 | 23 | 23 | 21 | 21 |
| 4. | 18 | 21 | 15 | 14 | 15 | 16 | 16 | 15 | 16 | 15 | 12 | 13 | 14 | 13 | 15 | 15 | 19 | 17 | 19 | 19 |
| 5. | 20 | 18 | 22 | 15 | 20 | 18 | 13 | 14 | 9 | 20 | 11 | 12 | 10 | 16 | 9 | 16 | 9 | 22 | 5 | 18 |
| 6. | 14 | 11 | 15 | 12 | 14 | 13 | 17 | 20 | 22 | 23 | 7 | 9 | 16 | 15 | 18 | 18 | 21 | 18 | 23 | 22 |
| 7. | 21 | 22 | 7 | 13 | 16 | 17 | 16 | 17 | 20 | 21 | 23 | 23 | 21 | 22 | 8 | 5 | 24 | 23 | 22 | 21 |
| 8. | 19 | 21 | 16 | 14 | 15 | 17 | 17 | 14 | 16 | 16 | 11 | 13 | 12 | 12 | 15 | 16 | 19 | 17 | 20 | 19 |
| 9. | 13 | 10 | 9 | 14 | 17 | 18 | 21 | 20 | 22 | 21 | 25 | 9 | 13 | 15 | 21 | 17 | 25 | 18 | 25 | 23 |
| 10. | 15 | 10 | 14 | 11 | 13 | 13 | 16 | 20 | 23 | 20 | 9 | 8 | 15 | 15 | 17 | 17 | 20 | 19 | 22 | 21 |
| 11. | 21 | 22 | 8 | 14 | 17 | 18 | 17 | 17 | 21 | 21 | 22 | 22 | 21 | 21 | 7 | 5 | 23 | 23 | 21 | 21 |
| 12. | 17 | 21 | 15 | 13 | 15 | 16 | 17 | 15 | 16 | 15 | 12 | 13 | 14 | 13 | 15 | 15 | 19 | 17 | 19 | 19 |
| 13. | 21 | 18 | 22 | 15 | 20 | 18 | 13 | 14 | 9 | 20 | 11 | 13 | 10 | 16 | 9 | 16 | 9 | 22 | 5 | 18 |
| 14. | 15 | 10 | 14 | 11 | 13 | 13 | 17 | 20 | 23 | 23 | 9 | 9 | 15 | 15 | 17 | 17 | 20 | 18 | 22 | 22 |
| 15. | 21 | 22 | 8 | 14 | 17 | 18 | 14 | 17 | 21 | 20 | 22 | 19 | 21 | 21 | 7 | 5 | 23 | 23 | 21 | 21 |
| 16. | 18 | 21 | 15 | 13 | 15 | 14 | 17 | 15 | 16 | 15 | 12 | 13 | 17 | 13 | 15 | 15 | 19 | 17 | 19 | 19 |
| 17. | 21 | 18 | 22 | 15 | 20 | 18 | 13 | 14 | 9 | 20 | 10 | 13 | 10 | 16 | 9 | 16 | 9 | 22 | 5 | 18 |
| 18. | 21 | 22 | 8 | 12 | 17 | 19 | 12 | 17 | 21 | 21 | 22 | 22 | 21 | 21 | 7 | 5 | 23 | 23 | 21 | 21 |
| 19. | 18 | 20 | 15 | 12 | 15 | 16 | 17 | 15 | 16 | 15 | 12 | 13 | 14 | 13 | 15 | 15 | 19 | 16 | 19 | 19 |
| 20. | 21 | 18 | 22 | 15 | 20 | 18 | 13 | 14 | 9 | 20 | 11 | 13 | 10 | 16 | 9 | 16 | 9 | 22 | 5 | 18 |
| 21. | 9 | 23 | 11 | 18 | 18 | 19 | 20 | 12 | 21 | 10 | 16 | 11 | 14 | 12 | 17 | 13 | 17 | 16 | 18 | 14 |
| 22. | 10 | 13 | 7 | 7 | 7 | 10 | 19 | 12 | 15 | 17 | 16 | 10 | 23 | 16 | 17 | 15 | 13 | 15 | 13 | 13 |
| 23. | 10 | 24 | 12 | 19 | 18 | 20 | 21 | 13 | 21 | 11 | 17 | 12 | 15 | 13 | 17 | 13 | 18 | 17 | 19 | 15 |
| 24. | 16 | 18 | 16 | 9 | 15 | 12 | 11 | 11 | 15 | 22 | 12 | 16 | 15 | 13 | 16 | 11 | 16 | 15 | 17 | 9 |
| 25. | 15 | 12 | 12 | 10 | 21 | 18 | 19 | 12 | 19 | 19 | 24 | 16 | 17 | 18 | 13 | 14 | 25 | 21 | 24 | 21 |
| 26. | 16 | 18 | 16 | 9 | 15 | 12 | 11 | 11 | 15 | 22 | 12 | 16 | 15 | 13 | 16 | 11 | 16 | 15 | 17 | 9 |
| 27. | 9 | 23 | 11 | 18 | 18 | 19 | 20 | 12 | 21 | 10 | 16 | 11 | 13 | 12 | 17 | 12 | 17 | 16 | 18 | 14 |
| 28. | 10 | 13 | 7 | 7 | 6 | 8 | 19 | 12 | 15 | 17 | 15 | 10 | 23 | 16 | 15 | 15 | 13 | 15 | 13 | 15 |
| 29. | 11 | 24 | 12 | 19 | 18 | 20 | 21 | 13 | 21 | 11 | 17 | 12 | 15 | 13 | 18 | 13 | 18 | 17 | 19 | 15 |
| 30. | 8 | 23 | 12 | 19 | 18 | 20 | 21 | 13 | 21 | 12 | 17 | 12 | 15 | 13 | 12 | 13 | 19 | 17 | 19 | 15 |
| 31. | 16 | 18 | 16 | 9 | 15 | 12 | 11 | 11 | 15 | 22 | 12 | 16 | 14 | 13 | 16 | 11 | 16 | 15 | 17 | 9 |
| 32. | 15 | 12 | 12 | 10 | 21 | 18 | 19 | 12 | 19 | 19 | 24 | 16 | 17 | 18 | 13 | 14 | 25 | 21 | 24 | 21 |
| 33. | 16 | 18 | 16 | 9 | 15 | 12 | 11 | 11 | 15 | 22 | 12 | 16 | 14 | 13 | 16 | 11 | 16 | 15 | 17 | 9 |
| 34. | 16 | 18 | 16 | 9 | 15 | 12 | 11 | 14 | 15 | 22 | 12 | 16 | 10 | 13 | 16 | 11 | 16 | 15 | 17 | 9 |
| 35. | 9 | 23 | 11 | 18 | 18 | 19 | 20 | 12 | 21 | 10 | 16 | 11 | 14 | 12 | 17 | 13 | 17 | 16 | 18 | 14 |
| 36. | 12 | 13 | 7 | 7 | 7 | 10 | 19 | 12 | 15 | 17 | 16 | 10 | 23 | 16 | 17 | 15 | 13 | 15 | 13 | 13 |
| 37. | 10 | 24 | 12 | 19 | 18 | 20 | 21 | 13 | 21 | 11 | 17 | 12 | 15 | 13 | 17 | 13 | 18 | 17 | 19 | 15 |
| 38. | 10 | 24 | 12 | 19 | 18 | 20 | 21 | 13 | 21 | 11 | 17 | 12 | 15 | 13 | 17 | 13 | 18 | 17 | 19 | 15 |
| 39. | 16 | 18 | 16 | 9 | 15 | 12 | 12 | 11 | 14 | 22 | 12 | 16 | 14 | 13 | 16 | 11 | 16 | 15 | 17 | 9 |
| 40. | 13 | 12 | 12 | 11 | 21 | 18 | 19 | 12 | 19 | 19 | 24 | 16 | 17 | 18 | 13 | 14 | 25 | 21 | 24 | 21 |
Шкалы опросника ВРР для подростков:
1. Нетребовательность — требовательность.
2. Мягкость - строгость.
3. Автономность — контроль.
4. Эмоциональная дистанция — близость.
5. Отвержение — принятие.
6. Отсутствие сотрудничества — сотрудничество.
7. Несогласие — согласие.
8. Непоследовательность — последовательность.
9. Авторитетность родителя.
10.Удовлетворенность отношениями с родителем.
Таблица 2
Результаты диагностического обследования на предмет особенностей взаимодействия родителей и детей в семьях, воспитывающих двух сиблингов от разных браков (для второй сиблинговой позиции) .
| № исп-го | 1 | 2 | 3 | 4 | 5 | 6 | 7 | 8 | 9 | 10 | ||||||||||
| мать | отец | мать | отец | мать | отец | мать | отец | мать | отец | мать | отец | мать | отец | мать | отец | мать | отец | мать | отец | |
| 1. | 9 | 23 | 11 | 18 | 18 | 19 | 20 | 12 | 21 | 10 | 16 | 11 | 13 | 12 | 17 | 12 | 17 | 16 | 18 | 14 |
| 2. | 10 | 13 | 7 | 7 | 6 | 8 | 19 | 12 | 15 | 17 | 15 | 10 | 23 | 16 | 15 | 15 | 13 | 15 | 13 | 15 |
| 3. | 11 | 24 | 12 | 19 | 18 | 20 | 21 | 13 | 21 | 11 | 17 | 12 | 15 | 13 | 18 | 13 | 18 | 17 | 19 | 15 |
| 4. | 8 | 23 | 12 | 19 | 18 | 20 | 21 | 13 | 21 | 12 | 17 | 12 | 15 | 13 | 12 | 13 | 19 | 17 | 19 | 15 |
| 5. | 16 | 18 | 16 | 9 | 15 | 12 | 11 | 11 | 15 | 22 | 12 | 16 | 14 | 13 | 16 | 11 | 16 | 15 | 17 | 9 |
| 6. | 15 | 12 | 12 | 10 | 21 | 18 | 19 | 12 | 19 | 19 | 24 | 16 | 17 | 18 | 13 | 14 | 25 | 21 | 24 | 21 |
| 7. | 16 | 18 | 16 | 9 | 15 | 12 | 11 | 11 | 15 | 22 | 12 | 16 | 14 | 13 | 16 | 11 | 16 | 15 | 17 | 9 |
| 8. | 16 | 18 | 16 | 9 | 15 | 12 | 11 | 14 | 15 | 22 | 12 | 16 | 10 | 13 | 16 | 11 | 16 | 15 | 17 | 9 |
| 9. | 9 | 23 | 11 | 18 | 18 | 19 | 20 | 12 | 21 | 10 | 16 | 11 | 14 | 12 | 17 | 13 | 17 | 16 | 18 | 14 |
| 10. | 12 | 13 | 7 | 7 | 7 | 10 | 19 | 12 | 15 | 17 | 16 | 10 | 23 | 16 | 17 | 15 | 13 | 15 | 13 | 13 |
| 11. | 10 | 24 | 12 | 19 | 18 | 20 | 21 | 13 | 21 | 11 | 17 | 12 | 15 | 13 | 17 | 13 | 18 | 17 | 19 | 15 |
| 12. | 10 | 24 | 12 | 19 | 18 | 20 | 21 | 13 | 21 | 11 | 17 | 12 | 15 | 13 | 17 | 13 | 18 | 17 | 19 | 15 |
| 13. | 16 | 18 | 16 | 9 | 15 | 12 | 12 | 11 | 14 | 22 | 12 | 16 | 14 | 13 | 16 | 11 | 16 | 15 | 17 | 9 |
| 14. | 13 | 12 | 12 | 11 | 21 | 18 | 19 | 12 | 19 | 19 | 24 | 16 | 17 | 18 | 13 | 14 | 25 | 21 | 24 | 21 |
| 15. | 9 | 23 | 11 | 18 | 18 | 19 | 20 | 12 | 21 | 10 | 16 | 11 | 13 | 12 | 17 | 12 | 17 | 16 | 18 | 14 |
| 16. | 9 | 23 | 11 | 18 | 18 | 19 | 20 | 12 | 21 | 10 | 16 | 11 | 13 | 12 | 17 | 12 | 17 | 16 | 18 | 14 |
| 17. | 10 | 13 | 7 | 7 | 6 | 8 | 19 | 12 | 15 | 17 | 15 | 10 | 23 | 16 | 15 | 15 | 13 | 15 | 13 | 15 |
| 18. | 11 | 24 | 12 | 19 | 18 | 20 | 21 | 13 | 21 | 11 | 17 | 12 | 15 | 13 | 18 | 13 | 18 | 17 | 19 | 15 |
| 19. | 8 | 23 | 12 | 19 | 18 | 20 | 21 | 13 | 21 | 12 | 17 | 12 | 15 | 13 | 12 | 13 | 19 | 17 | 19 | 15 |
| 20. | 16 | 18 | 16 | 9 | 15 | 12 | 11 | 11 | 15 | 22 | 12 | 16 | 14 | 13 | 16 | 11 | 16 | 15 | 17 | 9 |
| 21. | 15 | 12 | 12 | 10 | 21 | 18 | 19 | 12 | 19 | 19 | 24 | 16 | 17 | 18 | 13 | 14 | 25 | 21 | 24 | 21 |
| 22. | 16 | 18 | 16 | 9 | 15 | 12 | 11 | 11 | 15 | 22 | 12 | 16 | 14 | 13 | 16 | 11 | 16 | 15 | 17 | 9 |
| 23. | 16 | 18 | 16 | 9 | 15 | 12 | 11 | 14 | 15 | 22 | 12 | 16 | 10 | 13 | 16 | 11 | 16 | 15 | 17 | 9 |
| 24. | 9 | 23 | 11 | 18 | 18 | 19 | 20 | 12 | 21 | 10 | 16 | 11 | 14 | 12 | 17 | 13 | 17 | 16 | 18 | 14 |
| 25. | 12 | 13 | 7 | 7 | 7 | 10 | 19 | 12 | 15 | 17 | 16 | 10 | 23 | 16 | 17 | 15 | 13 | 15 | 13 | 13 |
| 26. | 10 | 24 | 12 | 19 | 18 | 20 | 21 | 13 | 21 | 11 | 17 | 12 | 15 | 13 | 17 | 13 | 18 | 17 | 19 | 15 |
| 27. | 10 | 24 | 12 | 19 | 18 | 20 | 21 | 13 | 21 | 11 | 17 | 12 | 15 | 13 | 17 | 13 | 18 | 17 | 19 | 15 |
| 28. | 16 | 18 | 16 | 9 | 15 | 12 | 12 | 11 | 14 | 22 | 12 | 16 | 14 | 13 | 16 | 11 | 16 | 15 | 17 | 9 |
| 29. | 13 | 12 | 12 | 11 | 21 | 18 | 19 | 12 | 19 | 19 | 24 | 16 | 17 | 18 | 13 | 14 | 25 | 21 | 24 | 21 |
| 30. | 9 | 23 | 11 | 18 | 18 | 19 | 20 | 12 | 21 | 10 | 16 | 11 | 13 | 12 | 17 | 12 | 17 | 16 | 18 | 14 |
| 31. | 10 | 13 | 7 | 7 | 6 | 8 | 19 | 12 | 15 | 17 | 15 | 10 | 23 | 16 | 15 | 15 | 13 | 15 | 13 | 15 |
| 32. | 11 | 24 | 12 | 19 | 18 | 20 | 21 | 13 | 21 | 11 | 17 | 12 | 15 | 13 | 18 | 13 | 18 | 17 | 19 | 15 |
| 33. | 8 | 23 | 12 | 19 | 18 | 20 | 21 | 13 | 21 | 12 | 17 | 12 | 15 | 13 | 12 | 13 | 19 | 17 | 19 | 15 |
| 34. | 16 | 18 | 16 | 9 | 15 | 12 | 11 | 11 | 15 | 22 | 12 | 16 | 14 | 13 | 16 | 11 | 16 | 15 | 17 | 9 |
| 35. | 15 | 12 | 12 | 10 | 21 | 18 | 19 | 12 | 19 | 19 | 24 | 16 | 17 | 18 | 13 | 14 | 25 | 21 | 24 | 21 |
| 36. | 16 | 18 | 16 | 9 | 15 | 12 | 11 | 11 | 15 | 22 | 12 | 16 | 14 | 13 | 16 | 11 | 16 | 15 | 17 | 9 |
| 37. | 16 | 18 | 16 | 9 | 15 | 12 | 11 | 14 | 15 | 22 | 12 | 16 | 10 | 13 | 16 | 11 | 16 | 15 | 17 | 9 |
| 38. | 9 | 23 | 11 | 18 | 18 | 19 | 20 | 12 | 21 | 10 | 16 | 11 | 14 | 12 | 17 | 13 | 17 | 16 | 18 | 14 |
| 39. | 12 | 13 | 7 | 7 | 7 | 10 | 19 | 12 | 15 | 17 | 16 | 10 | 23 | 16 | 17 | 15 | 13 | 15 | 13 | 13 |
| 40. | 10 | 24 | 12 | 19 | 18 | 20 | 21 | 13 | 21 | 11 | 17 | 12 | 15 | 13 | 17 | 13 | 18 | 17 | 19 | 15 |
Шкалы опросника ВРР для подростков:
1. Нетребовательность — требовательность.2. Мягкость - строгость.
3. Автономность — контроль. 4. Эмоциональная дистанция — близость.
5. Отвержение — принятие. 6. Отсутствие сотрудничества — сотрудничество. 7. Несогласие — согласие. 8. Непоследовательность — последовательность. 9. Авторитетность родителя. 10.Удовлетворенность отношениями с родителем.
Таблица 3
Результаты диагностического обследования выборки на предмет особенностей взаимодействия сиблингов в семьях, воспитывающих двух детей от разных браков (для первой сиблинговой позиции) .
№ исп-го |
1 | 2 | 3 | 4 | 5 | 6 | ||
| а | б | а | б | |||||
| 1. | 14 | 13 | 23 | 21 | 21 | 21 | 18 | 21 |
| 2. | 6 | 6 | 13 | 11 | 13 | 9 | 16 | 15 |
| 3. | 16 | 15 | 16 | 18 | 11 | 18 | 13 | 20 |
| 4. | 19 | 12 | 25 | 16 | 20 | 19 | 16 | 19 |
| 5. | 12 | 15 | 22 | 19 | 18 | 22 | 13 | 20 |
| 6. | 7 | 7 | 14 | 12 | 14 | 9 | 17 | 16 |
| 7. | 16 | 15 | 17 | 19 | 11 | 19 | 14 | 21 |
| 8. | 20 | 12 | 26 | 16 | 21 | 20 | 16 | 20 |
| 9. | 14 | 13 | 23 | 21 | 21 | 21 | 18 | 21 |
| 10. | 6 | 6 | 13 | 11 | 13 | 9 | 16 | 15 |
| 11. | 16 | 15 | 16 | 18 | 10 | 18 | 13 | 21 |
| 12. | 19 | 12 | 25 | 16 | 20 | 19 | 16 | 19 |
| 13. | 12 | 15 | 22 | 19 | 18 | 22 | 13 | 20 |
| 14. | 6 | 6 | 13 | 11 | 13 | 9 | 16 | 15 |
| 15. | 16 | 15 | 16 | 18 | 11 | 18 | 13 | 20 |
| 16. | 17 | 12 | 25 | 16 | 20 | 19 | 16 | 17 |
| 17. | 12 | 15 | 22 | 19 | 18 | 21 | 13 | 20 |
| 18. | 16 | 14 | 16 | 18 | 11 | 18 | 13 | 117 |
| 19. | 19 | 12 | 25 | 16 | 20 | 19 | 16 | 17 |
| 20. | 12 | 15 | 22 | 19 | 18 | 22 | 13 | 20 |
| 21. | 14 | 13 | 23 | 21 | 21 | 21 | 18 | 21 |
| 22. | 6 | 6 | 13 | 11 | 13 | 9 | 16 | 15 |
| 23. | 16 | 15 | 16 | 18 | 11 | 18 | 13 | 20 |
| 24. | 19 | 12 | 25 | 16 | 20 | 19 | 16 | 19 |
| 25. | 12 | 15 | 22 | 19 | 18 | 22 | 13 | 20 |
| 26. | 7 | 7 | 14 | 12 | 14 | 9 | 17 | 16 |
| 27. | 16 | 15 | 17 | 19 | 11 | 19 | 14 | 21 |
| 28. | 20 | 12 | 26 | 16 | 21 | 20 | 16 | 20 |
| 29. | 14 | 13 | 23 | 21 | 21 | 21 | 18 | 21 |
| 30. | 6 | 6 | 13 | 11 | 13 | 9 | 16 | 15 |
| 31. | 16 | 15 | 16 | 18 | 10 | 18 | 13 | 21 |
| 32. | 19 | 12 | 25 | 16 | 20 | 19 | 16 | 19 |
| 33. | 12 | 15 | 22 | 19 | 18 | 22 | 13 | 20 |
| 34. | 6 | 6 | 13 | 11 | 13 | 9 | 16 | 15 |
| 35. | 16 | 15 | 16 | 18 | 11 | 18 | 13 | 20 |
| 36. | 17 | 12 | 25 | 16 | 20 | 19 | 16 | 17 |
| 37. | 12 | 15 | 22 | 19 | 18 | 21 | 13 | 20 |
| 38. | 14 | 13 | 23 | 21 | 21 | 21 | 18 | 21 |
| 39. | 6 | 6 | 13 | 11 | 13 | 9 | 16 | 15 |
| 40. | 16 | 15 | 16 | 18 | 11 | 18 | 13 | 20 |
| среднее значение (в баллах) | 13,75 | 12,25 | 19,7 | 16,7 | 16,1 | 17,6 | 14,95 | 23,7 |
1.Доверительность общения (оценка себя). 2.Доверительность общения (оценка партнера). 3.Взаимопонимание между сиблингами (оценка себя).
4.Взаимопонимание между сиблингами (оценка партнера).5.Сходство взглядов. 6.Общие символы семьи.7.Легкость общения. 8.Психотерапевтичность общения.
Таблица 4
Результаты диагностического обследования выборки на предмет особенностей взаимодействия сиблингов в семьях, воспитывающих двух детей от разных браков (для второй сиблинговой позиции) .
| № исп-го | 1 | 2 | 3 | 4 | 5 | 6 | ||
| а | б | а | б | |||||
| 1. | 18 | 21 | 20 | 25 | 21 | 22 | 15 | 21 |
| 2. | 9 | 6 | 13 | 6 | 15 | 6 | 18 | 18 |
| 3. | 17 | 8 | 19 | 15 | 14 | 20 | 18 | 15 |
| 4. | 15 | 19 | 19 | 19 | 14 | 18 | 18 | 19 |
| 5. | 12 | 15 | 17 | 14 | 17 | 12 | 14 | 16 |
| 6. | 17 | 19 | 19 | 19 | 14 | 18 | 18 | 19 |
| 7. | 17 | 21 | 21 | 25 | 21 | 22 | 15 | 21 |
| 8. | 10 | 6 | 13 | 6 | 15 | 6 | 17 | 18 |
| 9. | 17 | 8 | 19 | 14 | 13 | 20 | 19 | 15 |
| 10. | 18 | 21 | 20 | 25 | 21 | 22 | 15 | 21 |
| 11. | 9 | 6 | 13 | 6 | 15 | 6 | 18 | 18 |
| 12. | 17 | 8 | 19 | 15 | 14 | 20 | 18 | 15 |
| 13. | 15 | 19 | 19 | 19 | 14 | 18 | 18 | 19 |
| 14. | 12 | 15 | 17 | 14 | 17 | 12 | 14 | 16 |
| 15. | 17 | 19 | 19 | 19 | 14 | 18 | 18 | 19 |
| 16. | 17 | 21 | 21 | 25 | 21 | 22 | 15 | 21 |
| 17. | 10 | 6 | 13 | 6 | 15 | 6 | 17 | 18 |
| 18. | 17 | 8 | 19 | 14 | 13 | 20 | 19 | 15 |
| 19. | 14 | 8 | 20 | 15 | 15 | 20 | 18 | 14 |
| 20. | 17 | 19 | 19 | 19 | 14 | 18 | 18 | 19 |
| 21. | 12 | 15 | 17 | 14 | 17 | 12 | 14 | 16 |
| 22. | 17 | 19 | 19 | 19 | 14 | 18 | 18 | 19 |
| 23. | 18 | 19 | 19 | 19 | 14 | 18 | 18 | 19 |
| 24. | 18 | 21 | 20 | 25 | 21 | 22 | 15 | 22 |
| 25. | 9 | 6 | 13 | 6 | 15 | 6 | 20 | 18 |
| 26. | 17 | 8 | 19 | 15 | 14 | 20 | 18 | 14 |
| 27. | 17 | 8 | 19 | 15 | 14 | 20 | 18 | 15 |
| 28. | 17 | 19 | 20 | 21 | 14 | 18 | 19 | 19 |
| 29. | 12 | 15 | 17 | 14 | 17 | 12 | 14 | 15 |
| 30. | 18 | 21 | 20 | 25 | 21 | 22 | 15 | 21 |
| 31. | 9 | 6 | 13 | 6 | 15 | 6 | 18 | 18 |
| 32. | 17 | 8 | 19 | 15 | 14 | 20 | 18 | 15 |
| 33. | 15 | 19 | 19 | 19 | 14 | 18 | 18 | 19 |
| 34. | 12 | 15 | 17 | 14 | 17 | 12 | 14 | 16 |
| 35. | 18 | 21 | 20 | 25 | 21 | 22 | 15 | 21 |
| 36. | 9 | 6 | 13 | 6 | 15 | 6 | 18 | 18 |
| 37. | 17 | 8 | 19 | 15 | 14 | 20 | 18 | 15 |
| 38. | 15 | 19 | 19 | 19 | 14 | 18 | 18 | 19 |
| 39. | 12 | 15 | 17 | 14 | 17 | 12 | 14 | 16 |
| 40. | 17 | 19 | 19 | 19 | 14 | 18 | 18 | 19 |
| среднее значение (в баллах) | 15 | 14 | 18,1 | 16,25 | 15,65 | 16,4 | 17,1 | 17,6 |
1. Доверительность общения (оценка себя).
2. Доверительность общения (оценка партнера).
3. Взаимопонимание между сиблингами (оценка себя).
4. Взаимопонимание между сиблингами (оценка партнера).
5. Сходство взглядов.
6. Общие символы семьи.
7. Легкость общения.
8. Психотерапевтичность общения.
Таблица 5.
Результаты корреляционного анализа показателей детско-родительских и сиблинговых взаимоотношений в семьях, воспитывающих двух сиблингов от разных браков (первая сиблинговая позиция) .
Наим. шкал |
1 | 2 | 3 | 4 | 5 | |||||
| мать | отец | мать | отец | мать | отец | мать | отец | мать | отец | |
| А | 0,42* | 0,79** | -0,23 | 0,42* | 0,23 | 0,58** | 0,06 | -0,59** | -0,22 | -0,71** |
| Б | 0,73** | 0,70** | -0,02 | 0,83** | 0,86** | 0,94** | -0,33* | -0,63** | -0,52** | -0,19 |
| В | 0,09 | 0,34* | 0,38* | 0,56** | 0,35* | 0,40* | 0,11 | -0,67** | -0,61** | -0,74** |
| Г | 0,41* | 0,40* | -0,08 | 0,81** | 0,84** | 0,92** | -0,06 | -0,40* | -0,40* | -0,05 |
| Д | -0,30 | -0,10 | 0,49* | 0,37* | 0,16 | 0,11 | 0,28 | -0,38* | -0,49* | -0,56** |
| Е | 0,51** | 0,56** | 0,18 | 0,85** | 0,80** | 0,86** | -0,17 | -0,70** | -0,65** | -0,40* |
| Ж | -0,93** | -0,62** | -0,17 | -0,43* | -0,63** | -0,53** | 0,82** | 0,54** | 0,46* | -0,07 |
| З | 0,27 | 0,26 | -0,28 | -0,14 | 0,16 | 0,36* | -0,39* | -0,02 | 0,11 | 0,11 |
| Условные обозначения шкал | |
Шкалы опросника ВРР для подростков: 1. Нетребовательность — требовательность. 2. Мягкость - строгость. 3. Автономность — контроль. 4. Эмоциональная дистанция — близость. 5. Отвержение — принятие. 6. Отсутствие сотрудничества — сотрудничество. 7. Несогласие — согласие. 8. Непоследовательность — последовательность. 9. Авторитетность родителя. 10.Удовлетворенность отношениями с родителем. |
Шкалы опросника ДСО А. Доверительность общения (оценка себя). Б. Доверительность общения (оценка партнера). В. Взаимопонимание между сиблингами (оценка себя). Г. Взаимопонимание между сиблингами (оценка партнера). Д. Сходство взглядов. Е. Общие символы семьи. Ж. Легкость общения. З. Психотерапевтичность общения. |
Критические значения rs при N=40:
| rs кр. = { | 0,3120 (р≤0,05) 0,5007 (р≤0,001) |
**- уровень достоверности Р<0.01
*- уровень достоверности Р<0.05
Таблица 6.
Результаты корреляционного анализа показателей детско-родительских и сиблинговых взаимоотношений в семьях, воспитывающих двух сиблингов от разных браков (вторая сиблинговая позиция) .
| Наименования шкал | 1 | 2 | 3 | 4 | 5 | |||||
| мать | отец | мать | отец | мать | отец | мать | отец | мать | отец | |
| А | 0,06 | 0,79** | 0,67** | 0,55** | 0,52** | 0,39* | -0,26 | 0,10 | 0,32* | -0,22 |
| Б | 0,47* | 0,06 | 0,64** | -0,10 | 0,37* | -0,06 | -0,58** | -0,47* | -0,14 | 0,31* |
| В | 0,03 | 0,74** | 0,69** | 0,61** | 0,72** | 0,56** | -0,16 | 0,05 | 0,46* | -0,25 |
| Г | 0,11 | 0,55** | 0,61** | 0,39* | 0,56** | 0,33* | -0,29 | -0,19 | 0,26 | -0,13 |
| Д | -0,41* | 0,07 | -0,31* | 0,29 | 0,25 | 0,34* | 0,38* | -0,08 | 0,40* | -0,44* |
| Е | -0,13 | 0,87** | 0,57** | 0,73** | 0,65** | 0,60** | -0,05 | 0,15 | 0,54** | -0,41* |
| Ж | 0,10 | 0,23 | 0,13 | -0,12 | -0,52** | -0,39* | -0,30 | 0,06 | -0,41* | 0,16 |
| З | 0,15 | -0,01 | 0,12 | -0,26 | -0,29 | -0,43* | -0,44* | -0,49* | -0,39* | 0,17 |
| Условные обозначения шкал | |
Шкалы опросника ВРР для подростков: 1. Нетребовательность — требовательность. 2. Мягкость - строгость. 3. Автономность — контроль. 4. Эмоциональная дистанция — близость. 5. Отвержение — принятие. 6. Отсутствие сотрудничества — сотрудничество. 7. Несогласие — согласие. 8. Непоследовательность — последовательность. 9. Авторитетность родителя. 10.Удовлетворенность отношениями с родителем. |
Шкалы опросника ДСО А. Доверительность общения (оценка себя). Б. Доверительность общения (оценка партнера). В. Взаимопонимание между сиблингами (оценка себя). Г. Взаимопонимание между сиблингами (оценка партнера). Д. Сходство взглядов. Е. Общие символы семьи. Ж. Легкость общения. З. Психотерапевтичность общения. |
Критические значения rs при N=40:
| rs кр. = { | 0,3120 (р≤0,05) 0,5007 (р≤0,001) |
**- уровень достоверности Р<0.01
*- уровень достоверности Р<0.05