| Похожие рефераты | Скачать .docx |
Дипломная работа: Развитие интеллекта
Содержание
Содержание..................................................................................................... 2
Введение.......................................................................................................... 3
I. Умственная деятельность и развитие интеллекта....................................... 7
1.1Структура интеллекта. Объяснительные подходы в экспериментально-психологических теориях интеллекта............................................................ 7
1.2Интеллектуальные способности.............................................................. 36
1.3 Интеллект и биологическая адаптация детей в норме и патологии... 51
Выводы.......................................................................................................... 55
II. Особенности интеллектуального развития детей - олигофренов............ 57
2.1Умственная деятельность и ее характеристика....................................... 57
2.2Олигофрения и ее влияние на развитие................................................... 63
2.3Изучение интеллектуальных особенностей детей олигофренов и здоровых детей.
Анализ результатов....................................................................................... 85
Выводы.......................................................................................................... 91
Заключение.................................................................................................... 92
Библиография................................................................................................ 95
Приложение................................................................................................... 97
Интеллект в психологической науке рассматривается как относительно устойчивая структура умственных способностей индивида.
В психологической науке можно выделить ряд теоретических подходов в трактовке природы интеллекта. Это феноменологический, генетический, социо - культурный, процессуально - деятельностный, информационный, функционально-уровневый и регуляционный подходы. Нельзя не заметить, что эти подходы формировались и развивались в режиме преемственности и дополнительности по отношению друг к другу. Так, некоторые экспериментально-психологические подходы возникали в качестве реакции на противоречия тестологических теорий интеллекта, либо в качестве попыток объяснить индивидуальные различия в результатах тестового исполнения. В свою очередь, среди экспериментально-психологических теорий интеллекта существуют взаимопересечения и взаимовлияния.
Развитие и работа интеллекта зависят от влияния целого ряда факторов. Существуют многообразные функциональные свойства интеллекта, которые характеризуют те или иные частные психологические механизмы выполнения интеллектуальной деятельности и которые в той или иной мере могут свидетельствовать об уровне развития интеллектуальных возможностей субъекта.
Успешность деятельности принято соотносить со способностями. Интеллектуальная способность определяется как индивидуально-своеобразное свойство личности, являющееся условием успешности решения определенной проблемы. Выделяют четыре основных аспекта функционирования интеллекта, характеризующих четыре типа интеллектуальных способностей: конвергентныеспособности,дивергентные способности (или креативность), обучаемость и познавательные стили. Каждая из интеллектуальных способностей рассматривается как свойство интеллекта.
Недостатки в развитии интеллекта в наибольшей степени затрудняют процесс адаптации. Деятельность всей системы адаптации обеспечивается синхронным функционированием разных отделов организма. Чем более дисгармонично развитие ребенка, тем сложнее происходит его приспособление к новым условиям.
Влияние интеллектуального развития на ребенка очень велико.
Главная отличительная особенность интеллектуального развития детей-олигофренов от здоровых детей заключается в том, что умственно отсталые дети меньше, чем их нормальные сверстники, испытывают потребность в познании. На всех этапах процесса познания у них выявляются элементы недоразвития, вследствие чего эти дети получают неполные, а порой искаженные представления об окружающем мире. Дети-олигофрены характеризуются стойкими нарушениями всей психической деятельности.
Большой вклад в разработку теоретических и практических вопросов проблемы интеллектуального развития умственно отсталых и здоровых детей внесли Л.С. Выготский, Л.В. Занков, М.С. Певзнер, Г.Е. Сухарева, Д.Б. Эльконин, П.Я. Гальперин, Дж. Пиаже, В.П. Кащенко и другие.
/ Изучение умственно;.развития детей-олигофренов и здоровых детей является одним из основных направлений в психологи»; Медицине и педагогике. Актуальность этой проблемы вытекает, прежде всего, из задач практики обучения и воспитания подрастающего поколения.
Цель моей дипломной работы - исследование особенностей умственной деятельности детей-олигофренов и здоровых детей в условиях учебной деятельности.
Объектом исследования являются здоровые дети - учащиеся 4 класса средней школы №4; и дети-олигофрены 10-11 лет, учащиеся специальной (коррекционной) школы №40.
Объект был выбран не случайно, т.к. возраст перехода из начальной школы в среднее звено отражает наиболее существенные психолого педагогические проблемы, характерные для конца периода младшего школьного возраста и начала подросткового.
Предмет исследования - изучение структурных особенностей интеллекта детей-олигофренов и здоровых детей.
Задачами настоящей дипломной работы являются:
1. обзор теоретического материла по теме;
2. изучение основных подходов в теориях интеллекта;
3. изучение актуальных направлений в развитии детей;
4. выбор методики исследования интеллекта;
5. проведение исследования и анализ результатов.
Гипотеза исследования - уровень сформированности основных интеллектуальных операций у детей-олигофренов значительно отстает от здоровых ровесников по всем семи показателям.
Для подтверждения гипотезы и реализации поставленных задач была использована методика ГИТ (групповой интеллектуальный тест). Тест позволяет выявить, насколько учащиеся владеют словами и понятиями, предлагаемыми им в заданиях теста, а также умением выполнять логические действия.
Данный тест содержит семь субтестов:
1. субтест - исполнение инструкций - исследуется характеристика восприятия, понимания, выполнения требований;
2. субтест - арифметические задачи - характеристика практического мышления, способности решать выраженные в числах проблемы;
3. субтест - дополнение предожений - характеристика понимания смысла, умения продолжить мысль, завершить ее, т.е. логическое мышление;
4. субтест - определение сходства и различия - словарь, развитость языка, сформированность логических операций сходства и различия на языковом материале;
5. субтест - числовые ряды - характеристика числового индуктивного мышления, вычислительных способностей, математическая логика;
6. субтест - установление аналогий - характеристика комбинаторности мыслительных процессов, подвижности мышления и понимания;
7. субтест - символы - характеристика памяти, внимания, ее распределения и устойчивости, операции перекодирования.
Целью данного диагностического исследования является изучение
уровня сформированности основных интеллектуальных операций у детей-
олигофренов и здоровых детей.^ ишг^сш £ffc£f^_
Для достижения данной целиГоыло проведено сравнительное исследование и сделан качественный анализ результатов.
В выборке участвовало 43 человека, из которых 23 человека -здоровые дети, и 20 человек дети-олигофрены с установленным диагнозом -олигофрения в степени дебильности.
Исследование проводилось в период с февраля по апрель, в условиях учебной деятельности.
Таблица 1
| Фамилия, имя учащегося | Субтест | Общ. балл | уровень | ||||||
| 1 | 2 | 3 | 4 | 5 | 6 | 7 | |||
| 1. Айрапетян Миша | 9 | 8 | 10 | 29 | 13 | 15 | 22 | 106 | Высокий |
| 2. Алимова Настя | 12 | 5 | 9 | 18 | 6 | 23 | 19 | 92 | Выше среднего |
| 3. Бердников Рома | 8 | 6 | 6 | 0 | 8 | 12 | 25 | 65 | Ниже среднего |
| 4. Бусыгин Саша | 6 | 5 | 6 | 17 | 9 | 18 | 16 | 77 | Средний |
| 5. Буханцова Люба | 12 | 6 | 7 | 22 | 8 | 16 | 24 | 95 | Выше среднего |
| 6. Доронин В лад | 7 | 7 | 6 | 18 | 10 | 12 | 24 | 84 | Средний |
| 7. Дуболазова Юля | 8 | 5 | 6 | 12 | 7 | 11 | 24 | 73 | Средний |
| 8. Есембаева Вика | 11 | 5 | 7 | 18 | 13 | 29 | 24 | 107 | Высокий |
| 9. Клеймёнова Таня | 11 | 4 | 4 | 4 | 10 | 11 | 19 | 63 | Ниже среднего |
| 10. КолесихинаЮля | 12 | 6 | 8 | 23 | 12 | 16 | 20 | 9 | Выше среднего |
| 11. Ледяев Никита | 9 | 6 | 7 | 27 | 11 | 15 | 17 | 92 | Выше среднего |
| 12. Мешайкин Коля | 11 | 6 | 5 | 18 | 7 | 13 | 18 | 78 | Средний |
| 13. Нечоса Евгений | 8 | 8 | 5 | 20 | 16 | 22 | 19 | 98 | Выше среднего |
| 14. Овчинникова Женя | 9 | 6 | 9 | 5 | 6 | 11 | 12 | 58 | Ниже среднего |
| 15. Оганов Альберт | 4 | 6 | 8 | 23 | 6 | 16 | 19 | 82 | Средний |
| 16. Первойкин Юра | 9 | 8 | 7 | 21 | 14 | 19 | 20 | 98 | Выше среднего |
| 17. Петрунина Катя | 7 | 5 | 7 | 23 | 7 | 24 | 12 | 85 | Средний |
| 18. Рябова Юля | 7 | 5 | 7 | 12 | 0 | 16 | 19 | 66 | Ниже среднего |
| 19. Тимченко Кристина | 11 | 6 | 6 | 28 | 9 | 15 | 19 | 94 | Выше среднего |
| 20. Филатова Таня | 11 | 7 | 8 | 3 | 15 | 23 | 20 | 87 | Средний |
| 21. Чижикова Катя | 10 | 4 | 7 | 10 | 8 | 17 | 16 | 72 | Средний |
| 22. Чугунова Оксана | 6 | 8 | 7 | 17 | 6 | 10 | 14 | 68 | Ниже среднего |
| 23. Шабакаев Амир | 5 | 4 | 6 | 2 | 7 | 14 | 23 | 61 | Ниже среднего |
| 203 | 136 | 158 | 370 | 208 | 378 | 445 | 1898 | ||
| Средний балл | 8,8 | 5,9 | 6,9 | 16 | 9 | 16,4 | 19,3 | ||
| % выполнения | 44 | 30 | 35 | 40 | 45 | 41 | |||
| Высокий | 2 учащихся | 9% |
| Выше среднего | 7 учащихся | 30% |
| Средний | 8 учащихся | 35% |
| Ниже среднего | 6 учащихся | 26% |
| Низкий | - | - |
В целом у здоровых детей высокие, выше среднего и средние результаты выполнения заданий отмечаются у 74% учащихся (17 человек), ниже среднего уровня - 26% (6 человек). Отрадно отметить, что никто из учащихся не показал низкий уровень выполнения заданий. Тщательный анализ отдельных субтестов позволяет сделать соохв^ст^ующиУттщзди. Самый низкий показатель отмечается по 2 субтесту (арифметический
задачи) - 30% выполнения, что свидетельствует о недостаточном владении детьми арифметическими операциями, непонимания структуры задачи (условие, вопрос, выбор действия, решение, формулировка ответа), либо о неумении анализировать структуру задачи. Следует отметить также сложность выполнения арифметических операций в уме.
Не на много выше показатель по 3 субтесту (дополнение предложений) - 35% выполнения, что свидетельствует о слабом умении работать с устной и письменной инструкцией, о трудности в выражении своих мыслей, малом словарном запасе, склонности к стереотипности мышления, предпочтении работы по шаблону, заданному образцу, слабом развитии логических операций: анализ, синтез, обобщение, классификация.
Несколько выше показатели по 1,4,5,6,7 субтестам, что позволяет констатировать о наличии у здоровых детей способности к переключению с одного вида деятельности на другой. У них высокая мотивация на успех, хорошая работоспособность, достаточно высокий уровень зрительного восприятия, учащиеся способны легко усваивать новый материал.
Таблица №2
| Фамилия, имя учащегося | Субтест | Общ. балл | уровень | ||||||
| 1 | 2 | 3 | 4 | 5 | 6 | 7 | |||
| 1. Акимов Алеша | 3 | 2 | 3 | 4 | 5 | 9 | 12 | 38 | Низкий |
| 2. Айвазов Саша | 2 | 1 | 2 | 4 | 7 | 10 | 26 | Очень низкий | |
| 3. Вережнова Юля | 4 | 3 | 2 | 1 | 3 | 7 | 12 | 32 | Низкий |
| 4. Давыдова Катя | 3 | 2 | 3 | 1 | 2 | 7 | 10 | 28 | Очень низкий |
| 5. Дудкин Денис | 2 | 3 | 2 | 2 | 5 | 6 | 12 | 32 | Низкий |
| 6. Духовный Вадим | 4 | 2 | 2 | 2 | 5 | 6 | 11 | 32 | Низкий |
| 7. Елисеева Вика | 4 | 3 | 3 | 2 | 6 | 5 | 13 | 36 | Низкий |
| 8. Колесов Андрей | 3 | 3 | 3 | 2 | 3 | 8 | 14 | 36 | Низкий |
| 9. Короткова Вика | 3 | 2 | 3 | 0 | 1 | 8 | 16 | 33 | Низкий |
| 10. Маркин Ваня | 4 | 2 | 3 | 0 | 4 | 5 | 8 | 26 | Очень низкий |
| 11. Новиков Дима | 3 | 0 | 2 | 1 | 4 | 6 | 9 | 25 | Очень низкий |
| 12. Осинкин Влад | 2 | 3 | 2 | 0 | 2 | 5 | 8 | 22 | Очень низкий |
| 13. Первухина Лена | 1 | 0 | 2 | 0 | 2 | 5 | 8 | 18 | Очень низкий |
| 14. Родин Саша | 1 | 2 | 2 | 0 | 1 | 12 | 10 | 28 | Очень низкий |
| 15. Роланд Саша | 2 | 0 | 0 | 2 | 1 | 6 | 15 | 26 | Очень низкий |
| 16. Страхов Юра | 3 | 3 | 3 | 5 | 6 | 8 | 12 | 40 | Низкий |
| 17. Темкина Света | 1 | 2 | 3 | 0 | 2 | 10 | 10 | 28 | Очень низкий |
| 18. Федосова Люба | 4 | 2 | 3 | 8 | 2 | 15 | 13 | 47 | Низкий |
| 19. Чудков Сергей | 3 | 3 | 2 | 2 | 4 | 7 | 12 | 33 | Низкий |
| 20. Шаванова Юляя | 4 | 3 | 3 | 3 | 6 | 9 | 14 | 42 | Низкий |
| 56 | 41 | 48 | 35 | 68 | 151 | 229 | 628 | ||
| Средний балл | 2,8 | 2,1 | 2,4 | 1,8 | 3,4 | 7,6 | П,4 | ||
| % выполнения | 14 | 10,5 | 12 | 4,5 | 17 | 19 | |||
Низкий уровень - 11 человек - 55%;
Очень низкий - 9 человек - 45%.
Из 20 человек обследованных детей - олигофренов низкий интеллект имеют 55% (11 человек), очень низкий интеллектуальный уровень 45% (9человек). Самый низкий показатель отмечается по 4 субтесту (определение сходства и различия) - 4,5% выполнения, что свидетельствует о несформированности логического мышления, о малом словарном запасе у детей, о трудности в выражении своих мыслей.
Несколько выше показатели по 1,2,3,5,6,7 субтестам, но и эти показатели значительно ниже, чем у здоровых детей.
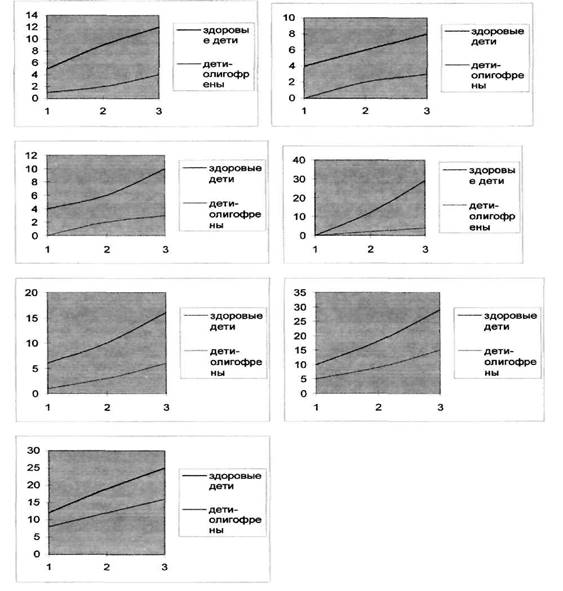
Таким образом, проведя структурный анализ результатов исследования. Данные по изучению уровней развития различных сторон
интеллекта показали, что дети - олигофрены по умственному развитию значительно отстают от своих здоровых ровесников, причем это отставание наблюдается по всем семи характеристикам.
Обобщая полученные данные, следует отметить, что у умственно отсталых детей в целом большее значение в их умственной деятельности имеют наблюдательность, способность выделять пространственные отношения и зрительно-моторная координация, а наименьшее -способность к аналогиям и обобщению, уровень их общей эрудиции и степень социальной зрелости. В то же время у их здоровых ровесников -преимущественное влияние на их умственную деятельность оказывают степень их социальной зрелости, наблюдательность и способность выделять пространственные отношения, а в число наименее значимых вошли способность выделять последовательность событий, уровень общей эрудиции и способность к переключению внимания.
Анализируя результаты диагностического исследования можно сделать вывод о том, что у олигофренов 10-11 лет основные характеристики интеллекта значительно мене развиты, чем у их ровесников.
Отличительные признаки олигофренов, по которым они различаются со здоровыми ровесниками:
Иной, чему у здоровых детей качественный состав ведущихфункций интеллкта Меньшая роль речевых характеристик в умственномразвитии. Высокая степень зависимости развития каждой из психических характеристик интеллекта от уровня развития остальных; Более медленный темп развития интеллектуальных функций.
Анализ результатов и сделанные выводы позволили решить поставленные задачи (йтюдтвердить выдвинутую гипотезу.
Первые на Руси официальные документы, касающиеся слабоумных, относятся к X веку, когда князь Владимир Святославович обязывал церковь заботиться об убогих. Имеется рад указаний на то, что в Киево-Печерской лавре в XI веке было убежище для слабоумных.
В дальнейшем отношение к слабоумному постепенно менялось. На них стали смотреть как на тяжкую обузу. Однако, прогрессивные деятели России, уверенные в том, что этих детей можно сделать полезными членами общества, всегда пытались привлечь внимание общественности к их судьбе.
Широкое общественное движение за воспитание и обучение умственно отсталых детей в России началось в конце XIX - начале XX века.
I . Умственная деятельность и развитие интеллекта.
1.1 Умственная деятельность и ее характеристика.
Понятие «интеллект» (от лат. Intellectus - разумение, понимание, постижение) не имеет однозначного определения, но всеми признается, что присущий каждому человеку уровень способности пользоваться мыслительными операциями является одной из основополагающих характеристик интеллекта Создатели первых интеллектуальных тестов А.Биге, Т Симон и Д. Векслер полагали, что человека, обладающий интеллектом - это тот, кто «правильно судит, понимает и размышляет» и кто, благодаря этим способностям, может хорошо справляться с жизненными обстоятельствами, т.е. адаптироваться к окружающей среде, к обстоятельствам жизни. [22, с. 349]
Другая точка зрения не интеллект связана с тем, что здесь главное значение придается связи интеллекта с психофизиологическими способностями человека быстрее или медненнее обрабатывать поступающую информацию (быстрота восприятия, запоминания и воспроизведения и т.п.), иначе - со скоростными параметрами реагирования на внешние стимулы. И в более поздних исследованиях основным показателем интеллекта при этом подходе служит время, затраченное человеком на решение предложенных задач.
В прошлом предлагалось довольно много определений интеллекта, исходя из наличия и степени выраженности способностей к интеллектуальной деятельности. Однако следует помнить, что понятие способностей определяет более широкий круг психических явлений, чем понятие интеллекта.
Интеллект часто определяют как обобщенную способность к обучению. Адекватность такого подхода обосновывалось многими исследователями. Например, показано, что оценки по интеллектуальнымтестам хорошо согласуются с успеваемостью в школе и других учебных заведениях. Однако, хорошо известно и то, что многие одаренные люди не отличались хорошей успеваемостью в школе (Эйнштейн, Дарвин, Черчилль).
Людям творческим, как считает психолог Гилфорд, свойственно дивергентное мышление, при котором поиск решение проблемы осуществляется по всем возможным направлениям. Такой «веерообразный» поиск позволяет творческой личности найти весьма необычное решение проблемы или предположить множество решений там, где обычный человек может найти лишь одно или два. Люди с творческим мышлением порой с трудом адаптируются к традиционному обучению, которое требует от ученика прямых и ясных ответов на поставленный вопрос, концентрирует на поиске единственно правильного решения, что свойственно конвергентному мышлению. [22, с. 350]
Психолог Спирмен (1904г) сформулировал следующие постулаты: интеллект не зависит от прочих личностных черт человека; интеллект не включает в свою структуру неинтеллектуальные качества (интересы, мотивация достижений, тревожность и т.п.). Интеллект выступает как общий фактор умственной энергии. Спирмен показал, что успех любой интеллектуальной деятельности зависит от некого общего фактора, общей способности, таким образом, оно выделил генеральный фактор интеллекта (фактор G) и фактор S, служащий показателем специфических способностей. С точки зрения Спирмена, каждый человек характеризуется определенным уровнем общего интеллекта, от которого зависит, как этот человека адаптируется к окружающей среде. Кроме того, у всех людей имеются в различной степени развитые специфические способности, проявляющиеся в решении конкретных задач. Впоследствии Айзенк интерпретировал генеральный фактор как скорость переработки информации центральной нервной системой (умственный темп). [22, с. 86]
Позже Терстоун (1938г.) с помощью статистических факторных методов исследовал различные стороны общего интеллекта, которые он назвал первичными умственными потенциями. Он выделил семь таких потенций:
1) счетную способность, т.е. способность оперировать числами и выполнять арифметические действия;
2) вербальную (словесную) гибкость, т.е. легкость, с которой человека может объясняться, используя наиболее подходящие слова;
3) пространственную ориентацию, или способность проставлять себе различные предметы и формы в пространстве;
4) память;
5) способность к рассуждению;
6) быстроту восприятия сходств или различий между предметами и изображениями.
Факторы интеллекта, или первичные умственные потенции, как показали дальнейшие исследования, коррелируют, связаны друг с другом, что говорит о существовании единого генерального фактора.
Позже Гилфорд (1959) выделил 120 факторов интеллекта, исходя из того, для каких умственных операций они нужны, к каким результатам приводят эти операции и каково их содержание (содержание может быть образным, символическим, семантическим, поведенческим). Под операцией Гилфорд понимает умение человека, вернее, психический процесс -понятие, память, дивергентная продуктивность, конвергентная продуктивность, оценивание. Результаты - форма, в которой информация обрабатывается испытуемым: элемент, классы, отношения, системы, типы преобразований и выводы. В настоящее время подобраны соответствующие тесты для диагностики более 100 указанных Гилфордом факторов.
По мнению Кетелла( 1967г.), у каждого из нас уже с рождения имеется потенциальный интеллект, который лежит в основе нашей способности к мышлению, абстрагированию и рассуждению. Примерно к 20 годам этотинтеллект достигает наибольшего расцвета. С другой стороны, формируется «кристаллический» интеллект, состоящий из различных навыков и знаний, которые мы приобретаем по мере накопления жизненного опыта, «кристаллический» интеллект образуется именно при решении задач адаптации к окружающей среде и требует развития одних способностей за счет других, а также приобретения конкретных навыков. Таким образом, «кристаллический» интеллект определяется мерой овладения культурой того общества, к которому принадлежит человек. Фактор потенциального или свободного интеллекта коррелирует с фактором «кристаллического или связанного интеллекта», так как потенциальный интеллект определяет первичное накопления знаний. С точки зрения Кеттела, потенциальный или свободный, интеллект независим от приобщённости к культуре. Его уровень определяется уровнем развития третичных зон коры больших полушарий головного мозга. Парциальные, или частные, факторы интеллекта (например, визуализация - манипулирование зрительными образами) определяются уровнем развития отдельных сенсорных и моторных зон мозга. [23, с. 88]
Хебб (1974) с несколько иных позиций рассматривает интеллект. Он выделяет интеллект А - это тот потенциал, который создается в момент зачатия и служит основой для развития интеллектуальных способностей личности. Что касается интеллекта В, то он формируется в результате взаимодействия этого потенциального интеллекта с окружающей средой. Оценить можно только этот «результирующий» интеллект, наблюдая, как совершает умственные операции человек. Поэтому мы никогда не сможем узнать, что представлял собой интеллект А.
Генетические и средовые факторы в развитии интеллекта,
О генетических предпосылках интеллекта до настоящего времени практически мало что известно. Из сотен тысяч генов, расположенных в хромосомах, выявлены лишь несколько, которые, отвечая за ряд физических признаков организма, могут при повреждении вызывать грубые нарушения
интеллекта. Наиболее известны хромосомные аномалии при болезни Дауна, где типичный «монголоидный» внешний вид больного сопутствует умственный отсталости. Однако, лишь в 3-4% случаев болезнь Дауна передается по наследству. В остальных случаях главным фактором заболевания служит немолодой возраст родителей.
Также известно, что аномалии содержания в ядре оплодотворенной яйцеклетки числа половых хромосом не столько приводят к изменению вторичных половых признаков, сколько сопровождаются задержкой умственного развития и нарушениями поведения. Большее количество мальчиков среди умственно отсталых стало понятно, когда было установлено, что очень часто этот признак сцеплен с Х-хромосомой.
На умственное развитие ребенка могут оказать влияние болезни матери во время беременности (краснуха, диабет, сифилис), а также употребление ею ряда лекарственных и токсических веществ. Однако, с какими бы наследственными задатками не появился на свет ребенок, его дальнейшее развитие во многом обусловлено факторами внешней среды — питанием, воспитанием и прочими.
Много дискуссий вызывает и обнаружение более низких усредненных показателей по тестам интеллекта у лиц из менее обеспеченных слоев общества и некоторых этнических групп. Результаты этих исследований интересны сами по себе, но они так и не дали ответа на главный вопрос - о причинах групповых различий.
Вероятно, нельзя рассматривать интеллект как некое однозначное явление, объясняемое одной причиной или одним механизмом. Надо признать существование сложной структуры интеллекта, включающей общие и специфические факторы. В основе общих факторов, скорее, лежат определенные нейрофизиологические механизмы обработки информации, а частные (специфические) факторы представляют собой основные виды действий, операций по обработке информации, усваемые при бучении и накоплении жизненного опыта. Очевидно также и то, что наследуются не
общий интеллект или конкретные действия и операции, а определенные нейрофизиологические характеристики мозговых зон, которые включаются в функциональные системы, относящиеся к факторам интеллекта. Эти нейрофизиологические особенности можно рассматривать как задатки способностей.
1.2 Структура интеллекта . Объяснительные подходы в экспериментально - психологических теориях интеллекта .
Несмотря на мощное методологическое обеспечение изучения интеллектуальных способностей, тестология не смогла породить сколь-нибудь приемлемую концепцию интеллекта. Кроме того, приверженцы взглядов на интеллект как единую структуру, пришли к парадоксальному выводу о множестве различных, не всегда зависимых друг от друга способностей, а приверженцы идеи множественного интеллекта убедились в наличии общего начала всех проявлений интеллекта. В целях упорядочения накопленного в этой области психологических исследований материала выделяют несколько основных подходов, для каждого их которых характерна определенная концептуальная линия в трактовке природы интеллекта.
1. Феноменологический подход (интеллект как особая форма содержания сознания);
2. Генетический подход (интеллект как следствие усложняющейся адаптации к требованиям окружающей среды в естественных условиях взаимодействия человека с внешним миром);
3. Социокультурный подход (интеллект как результат процесса социализации, а также влияния культуры в целом);
4. Процессуально-деятельностный подход (интеллект как особая форма человеческой деятельности);
5. Образовательный подход (интеллект как продукт целенаправленного обучения;
6. Информационный подход (интеллект как совокупность элементарных процессов переработки информации);
7. Функционально-уровневый подход (интеллект как система разноуровневых познавательных процессов);
8.Регуляционный подход (интеллект как факторсаморегуляции психической активности);
Далее более детально рассмотрим объяснительные подходы.
1. Феноменологический подход.
Одна из первых попыток построения объяснительной модели интеллекта была представлена в гештальт-психологии, в рамках которой природа интеллекта трактовалась в контексте проблемы организации феноменального поля сознания. Предпосылки такого подхода были заданы В. Кёлером. В качестве критерия наличия интеллектуального поведения у животных он рассматривал эффекты структурности: возникновение решения связано с тем, что поле восприятия приобретает новую структуру, в которой схватываются соотношения между элементами проблемной ситуации, важные для ее разрешения. Само решение при этом возникает внезапно, на основе практически мгновенного переструктурирования образа исходной ситуации (это явление получило название инсайта). В последствии М. Вертгеймер, характеризуя «продуктивное мышление» человека, также на первый план вывел процессы структурирования содержания сознания: группирование, центрирование, реорганизацию наличных впечатлений. [24, с. 37]
Основной вектор, по которому идет перестройка образа ситуации, -это его переход к «хорошему гештальту», то есть предельно простому, ясному, расчлененному, осмысленному образу, в котором в полном объеме воспроизводятся все основные элементы проблемной ситуации, в первую очередь, ее ключевое структурное противоречие. Способность к инсайту является критерием развития интеллекта. Можно сказать, что проявлением интеллектуального действия является такая мгновенная реорганизация содержания сознания, благодаря которой познавательный образ приобретает «качество формы».
Особое место в гештальт-психологической теории занимали исследования К. Дункера, которому удалось описать решение задачи с
точки зрения того, как изменяется содержание сознания испытуемого в процессе нахождения принципа (идеи) решения. Ключевая характеристика интеллекта - инсайт (внезапное, неожиданное уяснение сути проблемы). Чем глубже инсайт, то есть чем сильнее существенные черты проблемной ситуации определяют ответное действие, тем более интеллектуальным оно является. По словам Дункера, глубочайшие различия между людьми в том что мы называем умственной одаренностью, имеют свою основу именно в большей или меньшей легкости переструктурирования мыслимого материала. Таким образом, способность к инсайту (т.е. способность быстро пререстраивать содежание познавательного образа в направлении выявления основного проблемного противоречия ситуации) и является критерием развития интеллекта. [24, с. 39]
2. Генетический подход.
По мнению У.Р. Чарисворза, сторонника этологического подхода в объяснении природы интеллекта, отправной точкой в его ислледованиях должно стать изучение поведения в естественной среде. Интеллект, таким образом, - это способ адаптации живого существа к требованиям действительности, сформировавшейся в процессе эволюции. Для лучшего понимания адаптационных функций интеллекта он предлагает разграничить понятие «интеллект», включающее наличные знания и уже сформировавшиеся когнитивные операции, и понятие «интеллектуальное поведение», включающее средства приспособления к проблемным (новым, трудным) ситуациям, в том числе и когнитивные процессы, которые организуют и контролируют поведение.
Взгляд на интеллект с позиции теории эволюции привел Чарлсворза к заключению, что глубинные механизмы того свойства психики, которое мы называем интеллектом, коренятся во врожденных свойствах нервной системы.
Этологический подход (с его ориентацией на изучение интеллектуальной активности в обыденной жизни в контексте
естественного окружения) вывел на первый план феномен здравого смысла (своего рода «наивную теорию человеческого поведения»). В отличие от фантазийных грез и научного мышления здравый смысл, с одной стороны, имеет реалистическую и практическую направленность и, с другой стороны, мотивирован потребностями и желаниями. Таким образом, здравый смысл ситуационно-специфичен и одновременно индивидуально-специфичен -именно этим объясняется его ключевая роль в организации адаптационного процесса.
Согласно Ж. Пиаже, интеллект - это наиболее совершенная форма адаптации организма к среде, представляющая собой единство процесса ассимиляции (воспроизведения элементов среды в психике субъекта в виде когнитивных психических схем) и процесса аккомодации (изменение этих когнитивных схем в зависимости от требований объективного мира). Таким образом, суть интеллекта заключается в возможности осуществлять гибкое и одновременно устойчивое приспособление к физической и социальной действительности, а его основное назначение - в структурировании (организации) взаимодействия человека со средой. [18, с. 27]
Как возникает интеллект в онтогенезе? Посредником между ребенком и окружающим миром является предметное действие. Ни слова, ни наглядные образы сами по себе ничего не значат для развития интеллекта. Нужны именно действия самого ребенка, который мог бы активно манипулировать и экспериментировать с реальными предметами (видами, их свойствами, формой и т.д.).
По мере накопления и усложнения опыта ребенка в практическом взаимодействии с предметами происходит интериоризация предметных действий, т.е. их постепенное превращение в умственные операции (действия, выполняемые во внутреннем мысленном плане).
По мере формирования операций взаимодействие ребенка с миром все в большей мере приобретает интеллектуальный характер. Как пишет Пиаже, интеллектуальный акт (состоит ли он в том, чтобы отыскать спрятанный
предмет или найти скрытый смысл художественного образа) предполагает множество путей достижения цели.
Развитие интеллекта - это стихийный, подчиненный своим особым законам процесс вызревания операциональных структур, постепенно вырастающий из предметно-житейского опыта ребенка. Согласно теории Пиаже, в этом процессе может быть выделено пять стадий. [18, с. 30]
1. Стадия сенсорно-моторного интеллекта (от 8-10 месяцев до 1,5лет);
2. Символический, или допонятийный, интеллект (от 1,5-2 лет до 4 лет);
3. Стадия интуитивного (наглядного) интеллекта (от 4 лет до 7-8 лет);
4. Стадия конкретных операций (от 7-8 лет до 11-12 лет);
5. Стадия формальных операций, или рефлексивный интеллект (от 11-12 лет до 14-15 лет).
Следовательно, интеллектуальное развитие - это развитие операционнальных структур интеллекта, в ходе которого мыслительные операции постепенно приобретают качественно новые свойства: скоординированность (взаимосвязанность и согласованность множества операций), обратимость (возможность в любой момент вернуться к начальной точке своих рассуждений, перейти к рассмотрению объекта и прямо противоположной точки зрения и т.д.), автоматизированность (непроизвольность применения), сокращенность (свернутость отдельных звеньев, «мгновенность» актуализации).
Благодаря сформированное™ мыслительных операций оказывается возможной полноценная интеллектуальная адаптация подростка к происходящему, смысл которой заключается в том, что «мышление становится свободным по отношению к реальному миру». [18, с. 206] Наиболее яркой иллюстрацией подобной формы адаптации является математическое творчество.
В развитии интеллекта, согласно теоретическим воззрениям Пиаже, выделяются две основные линии. Первая связана с интеграциейоперациональных когнитивных структур, а вторая - с ростом инвариантности (объективности) индивидуальных представлений о действительности.
Пиаже постоянно подчеркивал, что переход от ранних стадий к более поздним осуществляется путем особой интеграции всех предшествовавших когнитивных структур, которые оказываются органичной частью последующих. Интеллект - это такая когнитивная структура, которая последовательно «вбирает в себя» (интегрирует) все прочие, более ранние формы когнитивных адаптации. Если такого рода последовательная интеграция прошлых структур во вновь образовавшиеся структуры места не имеет, то интеллектуальный прогресс ребенка оказывается невозможным. В частности, Пиаже отмечал, что сами по себе формальные операции не имеют значения для развития интеллекта, если они при своем возникновении не опирались на конкретные операции, одновременно и подготавливающие их, и дающие им содержание. [24, с. 44]
Только на основе уже сформировавшихся операций, по мнению Пиаже, можно обучать ребенка понятиям. Получается, что усвоение полноценных научных понятий зависит от тех операциональных структур, которые уже сложились у ребенка к моменту обучения. Поэтому, чтобы не быть поверхностным, обучение должно приспосабливаться к наличному уровню развития детского интеллекта. Пиаже считал, что вербальное мышление выступает лишь как побочное явление по отношению к реальному операциональному мышлению. В целом же «...корни логических операций лежат глубже лингвинистических связей...». [18, с. 20]
Что касается роста инвариантности детских представлений о мире, то общее направление их эволюции идет в направлении от центрации к децентрации. Центрация ( или эгоцентризм) -это специфическая бессознательная познавательная позиция, при которой построение познавательного образа диктуется собственным субъективным состоянием либо случайной, бросающейся в глаза деталью воспринимаемой ситуации (по принципу «реально только то, что я чувствую и вижу»). Именно феномен центрации обусловливает особенности детской мысли: синкретизм (тенденцию связывать все со всем), трансдукцию (переход от частного к частному, минуя общее), нечувствительность к противоречию и т.п.
Напротив, децентрация, т.е. способность мысленно освобождаться от концентрации внимания на личной точке зрения либо на частном аспекте ситуации, предполагает перестройку познавательного образа по линиям роста его объективности, согласованности в нем множества различных точек зрения, а также приобретения им качества релятивности (в том числе возможность анализа любого явления в системе варьирующих категориальных обобщений).
Таким образом, в качестве дополнительных критериев развития интеллекта в теории Пиаже выступают мера интегрированности операциональных структур (последовательное приобретение
мыслительными операциями всех необходимых качеств.) и мера объективации индивидуальных познавательных образов (способность к децентрализованному познавательному отношению к происходящему).
Анализируя отношения интеллекта к социальному окружению, Пиаже пришел к выводу, что социальная жизнь оказывает несомненное влияние на интеллектуальное развитие в силу того, что ее неотъемлемой стороной является социальная кооперация. Последняя требует координации точек зрения некоторого множества партнеров по общению, что стимулирует развитие обратимости мыслительных операций в структуре индивидуального интеллекта. Именно постоянный обмен мыслями с другими людьми, подчеркивает Пиаже, позволяет нам децентрировать себя, обеспечивает возможность учета разнообразных познавательных позиций. В свою очередь, именно операциональные структуры, создавая внутри субъекта пространство для разнонаправленных перемещений мысли, являются предпосылкой эффективного социального поведения в ситуациях взаимодействия с другими людьми.
3. Социо-культурный подход.
Констатация того, что человек формируется как культурно-историческое существо, усваивая в ходе своей жизнедеятельности материальные и духовные ценности, созданные другими людьми, в такой ее формулировке, конечно же, не вызывает никаких сомнений. Как не вызывает сомнений и тот факт, что такие социо-культурные факторы, как язык, обычаи, традиции и т.д., являются детерминантами по отношению к уровню и темпам психического развития всех членов общества.
Специфическая задача межкультурных исследований заключалась в сравнительном анализе особенностей интеллектуальной деятельности представителей разных культур. В ходе этих исследований на фоне очевидности факта культурного влияния все ярче вырисовывалась неочевидность конкртных форм этого влияния, и именно это обстоятельство позволило увидеть природу человеческого интеллекта в новом свете. [24, с. 46-47]
Во-первых, основная тенденция культурных изменений в восприятии, памяти, умозаключениях, воображении и т.д., заключается в появлении отвлеченного, категориального отношения к действительности: познавательное действие приобретает способность выходить за пределы непосредственного практического опыта в область логических рассуждений. При этом ведущую роль в появлении способности к категориальному обобщению играет школьное обучение. Различия по этому показателю между образованными и необразованными людьми, независимо от типа культуры, поразительно.
Тем не менее, культура оказывает свое влияние ^е на собственно уровень развития интеллекта, а, скорее, на характер интеллектуальных предпочтений. Специфика культурной среды проявляется в избирательной организации способностей людей, иными словами, в формировании своего рода познавательного стиля личности, отражающего требования культуры того общества, в котором живут его представители. [24, с. 47]
Во-вторых, критерии оценки интеллектуальных возможностей человека, сформулированные в рамках одной культуры, не могут быть механически перенесены в другую культуру.
Именно в межкультурных исследованиях было ясно продемонстрировано то обстоятельство, что результат выполнения того или иного задания может интерпретироваться не только в терминах «хороший -плохой», но и в терминах «один - другой». И, более того, сам факт существования «других» результатов заставлял задуматься о смысле выражения «хороший результат».
В-третих, существование специфических, культурно обусловленных свойств интеллекта не исключает наличие интеллектуальных универсалий, имеющих своим источником общие потенциальные способности людей и сходные черты их образа жизни. То есть, своеобразие интеллектуальной активности представителей разных культур - это различные выражения универсальных законов устройства человеческого разума, который, по выражению Кл. Леви-Стросса, суть «бескорыстное упорядочивание хаоса». Так, наука и магия - это просто разные способы организации картины мира и получение знаний о нем, основанные на одних и тех же базовых мыслительных процедурах.
В-четвертых, некоторые типы социо-культурной среды, «подталкивают» интеллектуальное развитие лучше, раньше и на более длительном отрезке человеческой жизни, чем другие. При этом ранняя стабилизация интеллекта в культурно обедненной среде всего лишь означает, что человек не достиг наивысшего уровня развития своих познавательных возможностей.
В-пятых, благодаря освоению вербально-логических средств интеллектуальной деятельности индивидуальный опыт через значения слов и логические рассуждения оказывается погруженным в общечеловеческий опыт; разумеется, при этом качественно расширяется интеллектуальный
мир отдельного культурного уровня развития имеет и свою регрессивную составляющую.
Таким образом, наши интеллектуальные возможности не только порождаются культурным контекстом, но и ограничиваются им.
В целом критерий развития интеллектуальных возможностей в рамках данного направления связывается с тем, насколько данный субъект освоил содержание соответствующей культуры и в какой мере его интеллект является носителем и реализатором доминирующих культурных ориентации. Базовые культурные факторы (прежде всего, традиционный образ жизни, образование, языковая семантика) создают эффект унификации (универсализации) механизмов интеллектуальной активности. Не удивительно, что, например, образованные представители разных культур по складу своего ума более схожи между собой, чем необразованный и образованный представители одной и той же культуры.
В рамках культурно-исторической теории высших психических функций Л.С. Выготского проблема интеллекта рассматривается как проблема умственного развития ребенка. Отстаивая формулу «выведение индивидуального из социального», Выготский писал: «Все высшие психические функции суть интериоризованные отношения социального порядка...Их состав, генетическая структура, способ действия - одним словом, вся их природа социально, даже превращаясь в психические процессы, она остается квазисоциальной». [6, с. 146]
Развитие интеллекта ребенка осуществляется под влиянием таких ведущих факторов, как употребление орудий (материальных средств организации интеллектуального контакта с миром в виде счетных палочек, книг, микроскопа и т.п.), овладение знаками (в виде усвоения значений слов родного языка, а также разнообразных средств буквенной и визуальной символики), включение в социальное взаимодействие с другими людьми (в виде различных форм помощи и поддержки со стороны взрослых).
По мнению Выготского, существует принципиальная разница между натуральным интеллектом как продуктом биологической эволюции и исторически возникшей формой человеческого интеллекта, строение которого основано на функциональном употреблении слова. Поэтому механизм интеллектуального развития ребенка связан с формированием в его сознании системы словесных значений, перестройка которой и характеризует направление роста его интеллектуальных возможностей.
Основной путь развития детских понятий складывается, по Выготскому, из трех ступеней в зависимости от изменений характера оболщения значения слова.
1. Мышление в синкретических образах. Первоначально ребенок склонен связывать и подводить под значение слова любые предметы в любых сочетаниях. Предметы объединяются на основе субъективных представлений самого ребенка по принципу «все связано со всем». Синкретизм мышления на этом этапе развития проявляется, в частности, в феномене «всевластия мысли», т.е. готовности маленького ребенка «объяснить» все что угодно на основе сиюминутного случайного впечатления.
2. Мышление в комплексах. Ребенок, пользуясь словом, объединяет предметы уже на основании объективных, действительно существующих между ними связей, но связей конкретных, наглядно-образных и фактических, открываемых ребенком в своем непосредственном опыте. Слово, таким образом, обобщает предметы с точки зрения их соучастия в какой-либо практической ситуации. На этой стадии признаки значений слов еще диффузны, они «скользят и колеблются», незаметно переходя один в другой.
В своей завершающей фазе эта стадия заканчивается формированием так называемых псевдопонятий, внешне очень похожих на настоящие понятия: ребенок при этом опирается на устойчивые, постоянные значения слов, которые он в готовом виде получает при общении со взрослыми. Однако,
проводить собственно понятийные мыслительные операции при их употреблении он еще не способен
3. Мышление в понятиях. На этой стадии развития ребенок может достаточно легко выделять, абстрагировать отдельные признаки предметов, а также комбинировать их, пользуясь значением слова в разных ситуация. Отдельные понятия при этом образуют своего рода «пирамиду» понятий, поскольку мысль ребенка движется от частного к общему и от общего к частному. Любое отдельное понятие находится в системе связей с другими понятиями, поэтому анализ одного и того же предмета ребенок может осуществлять разными путями, выстраивая относительно этого предмета множество разнообразных суждений.
Начиная с раннего онтогенеза, слово вмешивается в детское восприятие, вычленяя отдельные элементы и преодолевая натуральную структуру сенсорного поля. Фактически ребенок начинает воспринимать мир не только через свои глаза, но и через свою речь. Уже позже такое «вербализованное восприятие», в котором реализуется расчленяющая функция речи, перерастает в более сложные формы «познающего восприятия», обеспечивающего аналитико-синтетический характер чувственного отображения происходящего.
Однако, только на этапе появления понятийного мышления происходит радикальная перестройка всех элементарных познавательных функций на основе их синтеза с функцией образования понятий: восприятие фактически становится частью наглядного мышления, запоминание превращается в осмысленный логический процесс, внимание приобретает качество произвольности. Интеллект, следовательно, возникает как эффект изменения межфункциональных связей, как результат особого рода «сплава» (синтеза, интеграции) познавательных процессов, перестроенных категориальным аппаратом понятийного мышления.
На основе анализа закономерностей становления понятийного мышления Выготский сформулировал важнейший, с его точки зрения, для
всей психологии понятий закон единства структуры и функции мышления: «что функционирует, до известной степени определяет, как функционирует». [6, с. 289] Иными словами, функции мышления производны, зависимы от структуры самой мысли.
В целом же, по его словам, «в развитии мышления мы имеем дело с некоторыми очень сложными процессами внутреннего характера, изменяющими внутреннюю структуру самой ткани мысли». [6, с. 289]
Итак, вербализация - категоризация - рационализация - таков теоретический ракурс осмысления Выготским природы интеллекта.
4.Процессуально-деятельностный подход.
Существенные изменения в развитии представлений о природе интеллекта привнесли отечественные экспериментально-психологические исследования, выполненные в русле трактовки психического явления как процесса. Основы этих теоретических представлений были заложены в работах С.Л. Рубинштейна, который подчеркивал, что психическое как живая реальная деятельность характеризуется процессуальностью, динамичностью, непрерывностью. Соответственно, механизмы любой психической активности складываются не до начала деятельности. А именно в процессе самой деятельности.
Довольно резко критикуя взгляд на интериоризацию внешних воздействий как на основной механизм умственного развития, Рубинштейн в своих исследованиях исходил из теоретической формулы: «внешние влияния всегда преломляются через внутренние условия». Иными словами, возможность освоения извне любых знаний, способов поведения и т.п. предполагает наличие некоторых внутренних психологических предпосылок (в том числе, некоторый исходный уровень умственного развития). Таким образом, умственные (интеллектуальные) способности -это, с одной стороны, результат обучения, а с другой стороны, предпосылка обучения. По словам Рубинштейна, «одаренность человека определяетсядиапазоном новых возможностей, которые открывает реализация наличных возможностей» [24, с. 52]
Рубинштейн выдвигает весьма актуальное положения о том, что «...нельзя определять умственные способности, интеллект человека по одному лишь результату его деятельности, не вскрывая процесса мышления, который к нему приводит. В попытке так подойти к определению интеллекта, т.е. умственных способностей людей, и заключается коренной дефект обычных тестовых определений интеллекта. [24, с. 52]
Пониманием роли мыслительного процесса как внутреннего условия, опосредующего любые виды внешних воздействий, было продиктовано решение вопроса о составе и структуре умственных способностей. По мнению Рубинштейна, ядром, или общим, главным компонентом любой умственной способности является свойственное данному человеку качество процессов анализа синтеза и обобщения. Особую роль играет обобщение отношений в том или ином предметном материале (математическом, лингвистическом, визуальном). Итак, индивидуальный интеллект складывается по мере того, как образуются, генерализуются и закрепляются основные мыслительные операции - анализ, синтез, обобщение. Другим производным компонентом способностей является более или менее слаженная и отработанная совокупность операций (умственных действий, с помощью которых может осуществляться соответствующая деятельность).
Рубинштейн вводит понятие «мышление - способность», противопоставляя его «мышлению - навыку» и подчеркивая тем самым, что к объяснению механизмов интеллекта нужно идти через изучение внутренних закономерностей операционально-процессуальной динамики мышления. Следовательно, суть интеллектуального воспитания личности заключается в формировании культуры тех внутренних процессов, которые лежат в основе способности к постоянному возникновению у человекановых мыслей, что, собственно, и служит самым очевидным критерием уровня интеллектуального развития.
Результаты исследований, связанные с анализом процессуально-динамической основы интеллектуальной деятельности в детском возрасте, представлены в работах Л.А Венгера. Так, согласно Венгеру, единицей интеллектуальной деятельности является познавательное ориентировочное действие. Следовательно, референтным показателем наличного уровня интеллектуального развития ребенка-дошкольника следует считать степень овладения им основными видами перцептивных, мыслительных и мнемических действий, важных для данного возрастного периода и связанных с ведущим видом деятельности.
В частности, важно учитывать:
а) показатели сформированности перцептивных действий - идентификация с эталоном (по форме, цвету, деталям), перцептивное моделирование (создание копий, образов объектов);
б) показатели сформированности образно-наглядного мышления - овладение схематизированными представлениями (например, в виде планов-схем движения к цели);
в) показатели сформированности логического мышления – выделение существенных признаков объектов (например, в виде построения сериальных радов из бумажных квадратиков, различающихся по насыщенности цветового тона). [24, с. 53]
При этом особо подчеркивается, что от «средовых» показателей наличного уровня умственного развития в принципе нельзя переходить к определению уровня интеллектуального потенциала ребенка, поскольку его реальные интеллектуальные возможности могут проявиться только в ходе последующего обучения и воспитания.
Интересной представляется позиция В.Ю.Крамаренко. Он разграничивает интеллект как умственную способность и мышление как умственную активность, отмечая, что между реальной основой, которая
выступает в форме интеллекта, и ее актуализацией, проявляющейся в форме конкретного мыслительного процесса, нет однозначного соответствия. Более того, поверхностная структура мышления, по его мнению, часто обманчива и неинформативна, в ней не содержится всей информации об умственных возможностях субъекта. Поэтому для научно-теоретического анализа, по мнению Крамаренко, необходимо выйти за границы простой регистрации и описания мышления и перейти к изучению глубинных структур и процессов, позволяющих объяснить закономерности наблюдаемой мыслительной деятельности. [24, с. 54]
5. Образовательный подход.
Проблема соотношения обучения и умственного развития ребенка на протяжении многих лет являлась основополагающей для отечественной педагогической психологии. Характерно, однако, что термин «интеллект» в этих исследованиях практически не использовался. Тем не менее на определенном этапе эта проблема приобрела некоторый новый акцент, чрезвычайно существенный для выхода в сферу общепсихологического исследования интеллекта, и выступила как проблема обучаемости.
Ключевое значение в данном случае имел тот факт, что разные учащиеся испытывают разные трудности при усвоении учебного материала. Одни легко схватывают содержание понятий, другие нуждаются в дополнительных объяснительных приемах; одни легко объединяют знания из разных областей, тогда как у других знания сосуществуют параллельно, не соприкасаясь; одни легко применяют свои знания в практической ситуации, другие «не видят» практической возможности их применения; у одних легко образовываются новые связи, у других - с трудом. Выяснилось, что интеллект - это не только продукт, но и предпосылка обучения.
З.И. Калмыкова, основываясь на длительных экспериментально-психологических исследованиях интеллектуальной деятельности учащихся в ходе обучения, предлагает определять природу интеллекта через «продуктивное мышление», сущность которого заключается в способностик приобретению новых знаний (способности к учению, или обучаемости). Показателями обучаемости являются уровень обобщенности знаний, широта их применения, быстрота усвоения, темп продвижения в учебе. Соответственно «ядро» индивидуального интеллекта, по ее мнению составляют возможности человека к самостоятельному открытию новых знаний и применению их в нестандартных проблемных ситуациях. Именно характеристики обучаемости предопределяют успешность школьного обучения, выступая тем самым, в качестве критерия интеллектуального развития ребенка. [24, с. 58]
Аналогичной точки зрения придерживается Г.А. Берулова ,отмечая, что при оценке умственного развития ребенка следует принимать во внимание как «уровень актуального развития» ( в виде показателей сформированности понятий, умственных действий и общих умственных способностей), так и особенности его «зоны ближайшего развития» ( в виде показателей обучаемости). В свою очередь, в зоне ближайшего развития следует выделять две линии обучения: во-первых, зону активного обучения (процесс усвоения и воспроизведения новых знаний с учетом различных форм учебной помощи со стороны учителя) и, во-вторых, зону творческой самостоятельности ребенка (процесс его самодеятельности и самообучаемости).
В целом представляется ясным то обстоятельство, что практически любая форма обучения в той или иной мере способствует увеличению индивидуальных возможностей.
В частности, основной системообразующий фактор школьного обучения применительно к развитию интеллекта - это активное использование детьми языка: расширения словаря, умение словестно излагать свои впечатления, вести дискуссию и т.п. В итоге непосредственный опыт ребенка проходит символическую обработку, и как следствие, мы наблюдаем мощный толчок в направлении развития способности к абстрагированию и роста вариативности познавательных
реакций (в виде разнообразия способов рассмотрения того или иного объекта, смены контекстов его анализа и т.д.)
Весьма характерным является отмеченный многими исследователями факт ранней остановки процесса интеллектуального развития у детей, не посещавших школу. Подобного рода ранняя стабилизация интеллекта, означающая, что человек не достиг наивысшего для него уровня развития своих познавательных возможностей, также свидетельствует о тесной связи механизмов становления индивидуального интеллекта с образовательными влияниями.
6. Информационный подход.
Х.Айзенк подчеркивал, что корреляционный и факторный подходы традиционной тестологии явно недостаточны для объяснения механизмов интеллекта. По его мнению, путь доказательства существования интеллекта — это доказательство его нейрофизиологической детерминации. В качестве аргументов в пользу такой интерпретации механизмов интеллекта Айзенк рассматривает факты корреляционных зависимостей показателей IQ с характеристиками вызванных потенциалов коры головного мозга (мерой их слаженности и синхронности), а также со временем простых двигательных реакций и временем опознания объектов в условиях их кратко временного зрительного предъявления.
В качестве основного проводится положение о том, что индивидуальные IQ-различия непосредственно обусловлены особенностями функционирования центральной нервной системы, отвечающими за точность передачи информации, закодированной в виде последовательности нервных импульсов в коре головного мозга. Если такого рода передача в процессе переработки информации с момента воздействия стимула до момента формирования ответа осуществляется медленно, со сбоями и искажениями, то успешность в решении тестовых задач будет низкой.
В целом смысл идеи сведения сущности интеллекта и соответственно критерия его развития к скоростным характеристикам процесса переработкиинформации, обусловленным нейрофизиологическими факторами, Айзенк видит в том, что только с помощью некогнитивных по своей направленности объяснений проблема интеллекта может быть выведена из «болота ментализма» и сам интеллект может приобрести статус реальной психической способности.
Для теоретических воззрений Э. Ханта и Р. Стернберга весьма характерным является критическое отношение к традиционной тестовой модели интеллекта. Этих исследователей объединяет убежденность в том, что интеллектуальные возможности человека не могут быть описаны единственным показателем в виде IQ (подобно росту или весу) и что IQ как сумма оценок на некотором множестве тестов скорее суть статистическая условность, чем показатель индивидуального интеллекта. В качестве основного проводится положение о том, что альтернативной психическому подходу должно стать изучение базовых информационных процессов, лежащих в основе решения задач. При этом, однако, сохраняется представление об IQ как показателе уровня развития интеллекта, исследовательские усилия сосредотачиваются на анализе тех когнитивных процессов, которые обуславливают и позволяют объяснить индивидуальные различия в успешности выполнения традиционных интеллектуальных тестов.
Интерес к механизмам преобразования информации, стоящим за конечным результатом интеллектуальной деятельности, в значительной мере сложился под влиянием так называемой компьютерной метафоры, а именно представления о возможности анализа процессов работы человеческого интеллекта по аналогии с процессами работы компьютера.
Элементарные информационные процессы – этомикрооперациональные когнитивные акты, связанные с оперативной переработкой текущей информации. Например, в какой форме и насколько избирательно кодируется информация о внешнем воздействии, как реорганизуется информация при ее прохождении через оперативнуюпамять, каков характер хранения новой информации при ее поступлении в долговременную память и т.п.
Прием, разработанный Э.Хантом, для изучения механизмов интеллекта, был назван им когнитивным корреляционным методом. Суть его заключается в том, что показатели отдельных элементарных когнитивных процессов относятся на уровне корреляционного анализа с показателем психометрического теста в виде IQK) с тем, чтобы определить, как эффективность этого базового информационного процесса сказывается на индивидуальных различиях в исполнении определенного вербального теста.
Таким образом, уровневые свойства интеллекта оказываются обусловленными такими элементарными когнитивными процессами, которые отвечают за «вербальность - образность» на уровне первичного кодирования информации. Хант подчеркивает, что интеллектуально одаренные испытуемые - студенты легко проходили от одной формы представления информации к другой, если их об этом просили. [24, с. 62]
Р. Стернберг проводил свои экспериментальные исследования в рамках когнитивного компонентного метода, ориентированного на тщательный анализ непосредственно самого процесса выполнения определенного интеллектуального теста, с тем, чтобы определить, как различия в выраженности каждого из выделенных компонентов процесса переработки информации сказываются на индивидуальной успешности выполнения данного вербального теста.
По данным Стернберга, процесс поиска правильного ответа включает пять более элементарных информационных микропроцессов: декодирование (перевод задания во внутреннюю ментальную репрезентацию в виде развертывания значения основных слов), умозаключение (нахождение возможной связи между первым и вторым элементами первой половины аналогии), сравнение (нахождение правила, связывающего две половины аналогии), проверка (оценка соответствияобнаруженных связей применительно ко второй половине аналогии), построение ответа.
Выделение этих пяти микропроцессов позволило Стернбергу установить два любопытных факта. Во-первых, время, затрачиваемое испытуемыми на процесс решения, распределялось следующим образом: 54% - декодирование, 12% - умозаключение, 10% - сравнение, 7% -проверка и 17% - ответ. То есть фаза построение ментальной репрезентации, судя по объему затраченного времени, явно играла особую роль в организации процесса поиска решения. Во-вторых, испытуемые, имевшие более высокие оценки по тестам интеллекта, были более быстрыми на последних четырех фазах, но более медленными на фазе декодирования информации.
Нельзя не заметить, что в работах Ханта и Стернберга фактически предпринята попытка вернуть интеллекту статус психической реальности, т.к., по их мнению, природа общего фактора человеческого интеллекта тождественна небольшому числу базовых когнитивных процессов.
В целом, высоких интеллектуальный потенциал действительно предполагает иной тип организации когнитивных процессов. Однако высокоинтеллектуальные люди, по-видимому, имеют не столько более сформированные механизмы переработки информации, сколько более совершенные механизмы регуляции наличных интеллектуальных ресурсов.
7, Функционально-уровневый подход.
Целый ряд существенных положений относительно природы интеллектуальных возможностей человека сформулирован в рамках теории интеллекта, разработанной под руководством Б.Г. Ананьева. В качестве исходной выступала идея о том, что интеллект - это сложная умственная деятельность, представляющая собой единство познавательных функций разного уровня. Вслед за положением Л.С. Выготского о том, что преобразование связей между различными психологическими функциями составляет основу психического развития, в рамках данной теории получилразвитие тезис об интеллекте как эффекте межфункциональных связей основных познавательных процессов на разных уровнях познавательного отражения. В частности, в рамках эмпирического исследования изучались такие познавательные функции, как психомоторика, внимание, память и мышление, которые и рассматривались как компоненты интеллектуальной системы.
В соответствии с исходной теоретической концепцией структура интеллекта описывалась на основе выявления с помощью процедур корреляционного и факторного анализа характера связей как между различными свойствами отдельной познавательной функции, например, объемом, распределением, переключением, избирательностью и устойчивостью внимания («внутрифункциональные связи»), так и между познавательными функциями разного уровня, например, вниманием и памятью, памятью и мышление и т.д. («межфункциональные связи»).
В итоге, был сделан вывод, что общая направленность интеллектуального развития в зависимости от возраста характеризуется единством процессов когнитивной дифференциации (возрастанием выраженности свойств отдельных познавательных функций) и процессов когнитивной интегрированности (усилением межфункциональных связей между познавательными функциями разного уровня), задающих архитектонику целостной структуры интеллекта. [24, с. 64]
Экспериментальные исследования Ананьева его сотрудников позволили им сделать ряд важных заключений, касающихся функционально-уровневого устройства интеллекта.
Во-первых, существует система влияний высших уровней познавательного отражения на низшие и низших на высшие, т.е. можно говорить о складывающейся системе когнитивных синтезов «сверху» и «снизу», которые и характеризуют строение и закономерности развития человеческого интеллекта.
Во-вторых, интеллектуальное развитие сопровождается тенденцией роста количества и величины корреляционных связей как между разными свойствами одной познавательной функцией, так и между познавательными функциями разных уровней. Этот факт интерпретировался как проявление эффекта интеграции разных форм интеллектуальной активности и, соответственно, как показатель становления целостной струкруты интеллекта на этапе взрослости (18-35 лет).
В-третьих, с возрастанием происходит перестановка основных компонентов в структуре интеллекта. В частности, в 18-25 лет самым мощным по данным корреляционного анализа является показатель долговременной памяти, за ним следует показатель словесно-логического мышления. Однако в 26-35 лет на первое место выходят показатели словесно-логического мышления, за ними идут показатели внимания и только потом - показатели долговременной памяти.
В-четвертых, существуют сквозные свойства, присущие всем уровням познавательного отражение:
1) объемные возможности;
2) единство чувственного (образного) и логического как основа
организации любой познавательной функции;
3) ориентировочная регуляция в виде выраженности свойств
внимания.
В целом можно сказать, что критерием развития интеллекта является характер внутри- и межфунциональных связей различных познавательных функций и, в частности, мера их интегрированности.
Б.Г. Ананьев постоянно подчеркивал глубокое единство теории интеллекта и теории личности. С одной стороны, потребности, интересы, установки и другие личностные качества определяют активность интеллекта. С другой стороны, характерологические свойства личности и структура мотивов зависят от степени объективности ее отношений кдействительности, опыта познания мира и общего развития интеллекта [24, с. 65]
Интеллект, согласно Б.М.Величковскому, может быть описан как иерархия познавательных процессов, включающая шесть уровней познавательного отражения.
Так, нижние «этажи» интеллекта имеют отношение к регуляции движений в предметной среде, начиная с простейших двигательных реакций и локализации объектов в пространстве (уровни А и В), вплоть до развернутых предметных действий в условиях построения предметного образа ситуации (уровни С и Д). Для понимания природы интеллекта наибольшей интерес представляют два последних высших его «этажа» - это «высшие символические координации», отвечающие за представление и хранение знаний (уровень Е), и «стратегии преобразования знаний» (уровень F).
Уровень Е представлен концептуальными структурами в виде протолексикона (наглядно-типических образов объектов), а также в виде когнитивных схем (обобщенных, стереотипизированных представлений о различных предметных областях). Уровень F представлен роцедурами изменения наличного знания в виде операций воображения, пропозициональных операций, особого рода метаоператиров типа языковых связок «если, то...», «допустим, что...» и т.д. Благодаря этим процедурам создаются условия для порождения новых смысловых контекстов, которые могут заполняться новыми действующими лицами и объектами, могут видоизменяться, приобретая гипотетический или контрафактический характер.
Согласно модели Величковского, традиционно выделяемые познавательные процессы в действительности оказываются сложными образованиями. Так, ощущения связаны с работой трех базовых уровней (А, В, С), восприятие - двух (С, Д), память и мышление - трех (Д,Е,Бквоображение и понимание - двух (Е, F), внимание - это результат управляющего влияния уровня F на Е и Е на D.
В отличие от структурно-уровневой теории Б.Г. Ананьева, в рамках теории функциональной организации познавательных процессов отрицается существование общего фактора интеллекта или каких-либо единых, сквозных механизмов его развития. Величковский придерживается представления о гетерархическом (полифоническом) принципе координации познавательных процессов, означающем, что каждый познавательный уровень формируется и работает по своим особым законам в условиях отсутствия каких-либо «верхних», либо «нижних» централизованных влияний.
Итак, оба варианта функционально-уровневого подхода, несмотря на значительые различия ряда позиций их представителей, продемонстрировали одно и тоже явление. Независимо от того, что именно подвергалось экспериментальному исследованию - результативные характеристики познавательных функций (Ананьев) либо уровни познавательного отражения (Величковский), - эмпирические границы между отдельными «функциями» или «уровнями» оказывались размытыми вплоть до их полного исчезновения. Действительно, при изучении понятийного мышления в какой-то момент обнаруживается, что, по сути дела, описываются особенности долговременной семантической памяти. При анализе восприятия на первом плане вдруг оказываются характеристики сканирования видимого поля и селективность перцептивного процесса, (т.е. собственно внимание). Исследование логических умозаключений неожиданно предстает как исследование операций воображения и т.д. «Эффект перевертыша» - так можно было бы назвать этот необычный феномен. [24, с. 67]
7. Регуляционный подход
Положение о том, что интеллект является не только механизмом переработки информации, но и механизмом регуляции психической иповеденческой активности, одним из первых сформулировал и обосновал в 1924 году Л.Л. Терстоун в своей монографии «Природа интеллекта». Различие между ранним Терстоуном и его теоретическим анализом интеллекта и более поздним Терстоуном как одним из основателей тестологического подхода, опубликовавшим в 1938 году свою знаменитую работу «Первичные умственные способности», настолько разительно, что остается только удивляться хитросплетениям его профессиональной биографии.
Ранний Терстоун говорил о различии между рассудком, или смышленостью (аналитическими способностями), и разумом, или мудростью (контролирующими, регулирующими способностями). Интеллект в качестве проявления разумности рассматривался им как способность тормозить импульсивные побуждения либо приостанавливать их реализацию до того момента, пока исходная ситуация не будет осмыслена в контексте наиболее приемлемого для личности способа поведения.
Итак неинтеллектуальное (импульсивное) поведение характеризуется ориентацией на любое решение, которое имеется под рукой. Интеллектуальное (разумное) поведение предполагает:
1) возможность задерживать собственную психическую активность на разных стадиях подготовке поведенческого акта;
2) возможность думать в разных направлениях, осуществляя мысленный выбор среди множества более или менее подходящих вариантов адаптивного поведения;
3) возможность осмысливать ситуацию и собственные побуждения на обобщенном уровне на основе подключения понятийного мышления. Интеллект, следовательно, - это «...способность к абстракции, которая по своей сути является тормозящим процессом»
Среди условий, благоприятствующих применению интеллекта, Терстоун выделял, во-первых, отсутствие безотлагательного, сиюминутного давления ситуации и, во-вторых, отсутствие чрезмерного желания. В целом, главный критерий интеллектуального развития в контексте данной теории -это мера контроля потребностей.
Факт «единства аффекта и интеллекта» (Л.С.Выготский) не нуждается в особом обосновании в силу своей очевидности. Вопрос заключается в том, что это единство может выражаться в двух качественно разных формах: интеллект может контролировать влечения, высвобождая сознание из плена страстей, и интеллект может обслуживать влечения, погружая сознание в иллюзорный, желаемый мир. Очевидно, что критерием интеллектуальной зрелости будет выступать готовность субъекта принимать любое событие таким, каковым оно является в своей объективной действительности, а также его готовность изменять исходные мотивы, создавая производные потребности, превращая цели в средства с учетом объективных требований деятельности, и т.д. Напротив, низкий уровень интеллектуальной зрелости (как в случае явных когнитивных дефицитов, так и в случае функциональной блокады интеллектуальной деятельности под влиянием стресса, депрессии и т.д.), видимо, будет инициировать те или варианты защитного поведения на фоне бурной, хотя и весьма своеобразной интеллектуальной активности.
По мнению Р. Стернберга, проблема интеллекта должна решаться в контексте более широкой проблемы, а именно: как субъект управляет собой. Соответственно следует искать ответ одновременно на три вопроса: 1) каково отношение интеллекта к внутреннему миру; 2) каково отношение интеллекта к внешнему миру; 3) каково отношение интеллекта к опыту человека. Эти вопросы и легли в основу «триархической теории интеллекта», в рамках которой интеллект определялся как форма ментального самоуправления и которая включала три взаимосвязанных субтеории: компонентов, контекста и опыта. [24, с. 70]
Субтеория компонентов рассматривает внутреннюю деятельность ментального самоуправления как некоторую систему элементарных информационных процессов, отвечающих за текущую переработку информации в ходе ее получения, преобразования, хранения и использования. К числу таких компонентов относятся:
1) метакомпоненты - процессы регуляции интеллектуальной деятельности, предполагающиепланирование, прослеживание хода решения, выбор формы презентации задачи, сознательное распределения внимания, организацию обратной связи и т.д.;
2) компоненты исполнения - процессы преобразования информации и процессы формирования ответной реакции (связывание, дополнение, сравнение, селекция, группирование, иерархизация, кодирование и т.д.);
3) компоненты усвоения и использования знаний (процессы приобретения знаний, начиная с подражания и заканчивая инсайтом,оперативность применения в нужный момент и т.д.
Субтеория контекста позволяет проанализировать внешние проявления ментального самоуправления, которые характеризуют функции интеллекта в его соотношении к естественной среде: адаптацию к требованиям реальной ситуации, выстраивание избирательного отношения к происходящему, структурирование окружения (придание ему формы). Учет внешнего контекста, в котором проявляет себя интеллект, позволяет говорить о роли социо-культурных стандартов в оценке интеллектуального поведения, доминирующих целей деятельности, невербальной культурной информации как основы социального и практического интеллекта и т.п.
Субтеория опыта описывает возможности интеллекта на шкале «новизна-стереотипность»». В частности, выделяются два вида способностей субъекта: способность справляться с новой ситуацией испособность действовать быстро, без усилий на основе автоматизированных когнитивных навыков в стандартных, повторяющихся ситуациях.
Стернберг подчеркивал, что понятие «ментального самоуправления» акцентирует внимание на возможности различных альтернативных способов организации интеллектуальной активности человека и адресуется не столько к интеллекту как таковому, сколько к тому, как люди используют свой интеллект.
Нельзя не заметить, что, создавая свою теорию, Стернберг пошел по пути объединения уже существующих направлений исследования интеллетка - информационного (субтеория компонентов), социокультурного и генетического (субтеория контекста), образовательного (субтеория опыта), - сосредоточив внимание на таких критериях интеллектуального развития, как сформированность базовых когнитивных процессов, адаптированность к требованиям среды и обученность.
1.3 Интеллектуальные способности .
Успешность деятельности принято соотносить по способностям. Соответственно интеллектуальная способность определяется кК индивидуально-своеобразное свойство личности, являющееся условием успешности решения определенной задачи: способность раскрывать значения слов, выстраивать пространственную фигуру из заданных элементов, выявлять закономерность в ряду чисел и геометрических изображений, предлагать множество вариантов использования заданного объекта, находить противоречие в проблемной ситуации, формулировать новый подход в изучении какое-либо предметной области и т.д.
Психолог интеллекта ориентируется главным образом на изучение свойств интеллекта и описывает интеллект с точки зрения достижения определенной цели в конкретном виде познавательной деятельности.
Выделяют четыре основных аспекта функционирования интеллекта, характеризующих четыре типа интеллектуальных способностей: конвергентые способности, дивергентные способности (или креативность), обучаемость и познавательные стили. Каждая из интеллектуальных способностей рассматривается как свойство интеллекта, производное по отношению к особенностям состава и строения индивидуального ментального опыта. [24, с. 138-139]
1. Конвергентные способности.
Конвергентные способности обнаруживают себя в показателях эффективности процесса переработки информации, в первую очередь, в показателях правильности и скорости нахождения единственно возможного ответа в соответствии с требованиями заданной ситуации. Конвергентные способности характеризуют, таким образом, адаптивные возможности индивидуального интеллекта с точки зрения успешности индивидуальногоинтеллектуального поведения в регламентированных условиях деятельности.
Конвергентные способности представлены тремя свойствами интеллекта.
Уровневые свойства интеллекта характеризуют достигнутый уровень развития познавательных психических функций (вербальных и невербальных), выступая в качестве основы процессов познавательного отображения (такие, как сенсорное различение, скорость восприятия, оперирование пространственными представлениями, объем оперативной и долговременной памяти, концентрация и распределение внимания, осведомленность в определенной предметной области, словарный запас, категориально-логические способности и т.д.)
Уровневые свойства изучались главным образом в рамках тестологического подхода. Степень их выраженности позволяла оценить конвергентные способности репродуктивного типа. Типичным примером уровневых свойств интеллекта являются те способности интеллектуальной деятельности, которые диагностируются с помощью интеллектуальных шкал Векслера или Амтхауэра.
Комбинаторные свойства интеллекта характеризуют способность к выявлению разного рода связей, соотношений и закономерностей. В широком смысле слова - это способность комбинировать в различных сочетаниях элементы проблемной ситуации и собственных знаний.
Идея существования продуктивных форм интеллектуальной деятельности впервые зародилось в рамках тестологического подхода. К этому типу методик относятся тесты вербальных аналогий, тест «Прогрессивные матрицы» Ровена, тесты на понимание текста, а также тесты, требующие от испытуемого умения выявлять основания сходства объектов.
Процессуальные свойства интеллекта характеризуют элементарные процессы переработки информации, а также операции, приемы и стратегии интеллектуальной деятельности.
В тестологии этот тип свойств вообще не принимался во внимание, поскольку тестовая диагностика ориентировалась исключительно на оценку результативной стороны интеллектуальной деятельности. Благодаря исследованиям в области когнитивной психологии оформилось представление о том, что интеллект не является статической чертой, но скорее выступает как динамическая система переработки информации.
Таким образом, в диагностике интеллекта акцент стал смещаться на оценку того, как человек выполняет то или иное задание, как он решает ту или иную задачу. При этом сохранялся взгляд на интеллект как конвергентную способность.
В теории Ж. Пиаже оценка уровня развития интеллектуальных возможностей ребенка строилась с учетом степени сформированности мыслительных операций, психологическим пределом развития которых объявлялись формально-логические способы познания. [18, с. 21]
В отечественной психологии в качестве процессуальных свойств интеллекта рассматривались мыслительные операции и умственные действия. Оценка уровня интеллектуального развития личности связывалась со сформированностью операций анализа, синтеза и обобщения в процессе решения задачи, а также со сформированностью основных умственных действий (перцептивных, мнемических, мыслительных) в связи с достижением определенных познавательных целей.
2. Дивергентные способности.
Дивергентные способности (или креативность) - это способность порождать множество разнообразных оригинальных идей в нерегламентированных условиях деятельности. Креативность в узком значении слова - это дивергентное мышление, отличительной особенностью которого является готовность выдвигать множество в равноймере правильных идей относительно одного и того же объекта. Креативность в широком смысле слова - это творческие интеллектуальные способности, в том числе способность привносить нечто новое в опыт, способность порождать оригинальные идеи в условиях разрешения или постановки новых проблем, способность сознавать пробелы и противоречия, а также формулировать гипотезы относительно недостающих элементов ситуации, способность отказываться от стереотипных способов мышления.
В качестве критерия креативности рассматривают комплекс определенных свойств интеллектуальной деятельности.
1) беглость (количество идей, возникающих в единицу времени);
2) оригинальность (способность производить «редкие» идеи, отличающиеся от общепринятых, типичных ответов);
3) восприимчивость (чувствительность к необычным деталям, противоречиям и неопределенности, а также готовность гибко и быстро переключаться с одной идеи на другую);
4) метафоричность (готовность работать в фантастическом, «невозможном» контексте, склонность использовать символические, ассоциативные средства для выражения своих мыслей, а также умение в простом видеть сложное и, напротив, в сложном - простое),
Типичными для диагностики креативности являются задания следующего плана: назвать все возможные способы использования знакомого предмета, назвать все предметы, которые могут принадлежать определенному классу (в частности, перечислить примеры жидкостей, которые горят), продолжить метафору (в частности, «женская красота подобна осени, она...»), сделать законченное изображение на основе простой графической формы (например, круга) и т.д. [7, с. 125]
В большинстве исследований при оценке креативность во внимание принимаются, как правило, первые два показателя: количество сформулированных испытуемым идей и степень их редкости по сравнениюс ответами других испытуемых. Со временем, однако, выяснилось, что указанные показатели дивергентного мышления отнюдь на являются однозначным свидетельством наличия креативности как творческой интеллектуальной способности. Так, за нестандартностью, или «редкостью» ответа могут стоять совершенно разные психологические явления: собственно оригинальность как проявление творчески-продуктивных возможностей испытуемого, оригинальничание как проявление личностной гиперкомпенсации интеллектуальной несостоятельности либо психическая неадекватность.
Следует подчеркнуть, что традиционные показатели дивергентных способностей (креативности), как правило, весьма слабо предсказывают реальные творческие достижения человека в его обыденной и профессиональной деятельности.
2. Обучаемость.
Представление об обучаемости как проявлении уровня интеллектуального (умственного) развития возникло в контексте понятия «зона ближайшего развития». Под зоной ближайшего развития понимается процесс психологического развития ребенка который он проходит под руководством взрослого (в первую очередь учителя, оказывающего ему индивидуализированную педагогическую помощь). [6, с. 16]
Понимание ведущей роли обучения в умственном развитии детей позволило отечественным психологам сформулировать четкую позицию: оценка «уровня актуального развития» интеллекта ребенка недостаточна для оценки его интеллектуальных возможностей, ибо последние могут проявляться в совершенно других качественных и количественных показателях в зоне ближайшего развития». Формирование в зоне ближайшего развития новых интеллектуальных механизмов зависит и от характера обучения, и от творческой самостоятельности самого ребенка. [24, с. 142]
При широкой трактовке обучаемость рассматривается как общая способность к усвоению новых знаний и способов деятельности. Основным критерием обучаемости является «экономичность» мышления: краткость пути в самостоятельном выявлении и формулировании ребенком некоторых закономерностей в новом учебном материале в ходе его усвоения.
В более узком смысле слова обучаемость - это величина и темп прироста эффективности интеллектуальной деятельности под влиянием тех или иных обучающих воздействий. При этом в качестве критериев обучаемости выступают:
1) количество дозированной помощи, в которой нуждается ребенок (со стороны экспериментатора или учителя);
2) возможность переноса усвоенных знаний или способов дейтсвия на выполнение аналогичного задания.
Разработка тестов обучаемости еще только начинается. В качестве примера можно привести «диагностически) программу», подготовленную Ю.Гутке и У.Волрабом. «Диагностическая программа» - это кратковременный тест обучаемости, в котором 6-8летнему ребенку предлагается серия задач с нарастающим уровнем сложности, выступающих в качестве средства тренировки в условиях постоянной обратной связи с испытуемым. Материалом являются геометрические фигуры, на которых ребенок должен освоить действие классификации и аналогии.
В качестве показателей обучаемости учитываются следующие характеристики интеллектуальной деятельности ребенка: 1) потребность в подсказке; 2) затраты времени на нахождение принципа аналогии фигур; 3) виды ошибок с анализом их источников; 4) количество необходимых ребенку упражнений.
Подсчет показателей обучаемости не должен, однако, заслонять их психологическую неоднозначность.
Некоторые исследователи считают возможным говорить о двух типах обучения, которые основаны на разных нейрофизиологических механизмах и которые связаны с разными способами приобретения знаний.
Это, во-первых, эксплицитная обучаемость - обучение осуществляется на основе произвольного, сознательного контроля процессов переработки информации, и, во-вторых, имплицитная обучаемость - обучение осуществляется непроизвольно, в условиях постепенного накопления информации и необходимых навыков по мере освоения новой деятельности. [7, с. 168]
Хотя механизмы индивидуальных различий в обучаемости пока остаются объяснения, следует зафиксировать важный вывод: реальный интеллектуальный потенциал ребенка можно оценить только после включения двух факторов - обучения (в виде преподавания, причем желательно качественного и индивидуализированного) и учения (в виде активной творческой самодеятельности самого ребенка). Из этого следует, что констатирующая психодиагностика по отношению к психологическому диагнозу и прогнозу индивидуальных интеллектуальных возможностей дошкольников, школьников и студентов в принципе недостаточна.
3. Познавательные стили
В последние десятилетия в психологии познания все более активно стал проявляться интерес к индивидуальной специфике интеллектуальной деятельности, которая в общем виде была обозначена термином «познавательные стили».
Понятие «познавательный стиль» акцентировало внимание исследователей на индивидуальных различных в способах изучения реальности. Весьма характерно, что изначально индивидуальные различия в предпочитаемых способах интеллектуальной деятельности (стилях) принципиально противопоставлялись индивидуальным различиям в успешности интеллектуальной деятельности (способностям).
Впервые критерии отличия стилей от способностей были сформулированы Г.Уиткином, которые затем в течение нескольких десятилетий безоговорочно были приняты большинством исследователей.
1) Способность характеризует уровень достижений с интеллектуальной деятельности (то есть является ее результативной характеристикой). Стиль выступает как способ выполнения интеллектуальной деятельности (т.е. является ее процессуальной характеристикой). Соответственно, разные стили могут обеспечивать одинаково высокую успешность решения определенной задачи.
2) Способность - униполярные измерения. Стиль -биполярное измерение.
3) Способности всегда имеют ценностный контекст (рост способностей - всегда хорошо). К стилевым феноменам не применимы оценочные суждения, поскольку любой полюс того или другого стиля равноценен с точки зрения возможности эффективной интеллектуальной адаптации.
4) Способность изменчива во времени (уровень способности изменяется в зависимости от возраста, образования и т.д.). Стиль - устойчивая характеристика человека, стабильно присущая ему на разных этапах онтогенеза и в различных условиях социализации.
5) Способность специфична по отношению к содержанию конкретной деятельности. Стиль проявляется генерализованно в различных видах психической деятельности.
Утверждение, что стили и способности суть альтернативные психические качества, может быть поставлено под вопрос и в связи с соображениями более общего плана: во-первых, способы переработки информации о своем окружении в виде тех или иных стилевых свойств интеллекта прямо либо косвенно влияют на продуктивность интеллектуального поведения, во-вторых, стили, контролируя базовые познавательные процессы (восприятие, память, мышление), тем самым выступают в качестве метакогнитивных способностей, обеспечивающих эффективность саморегуляции интеллектуальной деятельности, в, в-третьих, стили уже самим фактом своего наличия свидетельствуют о сформированности способности субъекта к индивидуализированной форме познавательного отражения (т.е. являются свидетельством достаточно высокого уровня его интеллектуального развития).
Последнее предположение перекликается с фактами, согласно которым типологически обусловленные различия в индивидуальном стиле деятельности наблюдаются только у испытуемых с достаточно высоким уровнем умственного развития.
Исследование познавательных стилей пошло в разных направлениях, поэтому сейчас можно констатировать наличие четырех типов стилевых свойств интеллекта, таких, как: стили кодирования информации, когнитивные стили, интеллектуальные стили и эпистемологические стили.
Стили кодирования информации - это индивидуально-свеобразные способы представления информации в зависимости от доминирования определенной модальности опыта (слуховой, зрительной, кинестической, чувственно-эмоциональной и др.).
В последнее время проблема существования разных способов восприятия информации активно разрабатывалась в русле нейролингвинистического программирования (НЛП). Были выделены три основные сферы «сенсорного опыта» человека: визуальная, аудиальная, кинестетическая. Соответственно, разные люди принимают иперерабатывают информацию о своем окружении, преимущественно опираясь либо на визуальный опыт (зрительно и с помощью мысленных образов), либо аудиальный опыт (посредством слуха), либо кинестетический опыт (через осязание, обоняние и другие чувственные впечатления). Поэтому для визуала типичная познавательная позиция -смотреть, представлять, наблюдать; для аудила - слушать, говорить,обсуждать; для кинестетика - действовать, чувствовать, ощущать.
Таким образом, мера выраженности в индивидуальной репрезентативной системе того либо другого способа представления информации - в зависимости от сформированное™ определенных структур его когнитивного опыта - характеризует присущий данному человеку стиль кодирования информации. Согласно Дж. Брунеру, мера интегрированности разных способов кодирования информации характеризует уровень интеллектуального развития. [7, с. 146]
Когнитивные стили - это индивидуально-своеобразные способы переработки информации об актуальной ситуации (способы ее восприятия, анализа, категоризации, оценивания и т.д.). В зарубежной и отечественной литература можно встретить описание от 15 до 20 различных когнитивных стилей. Приведем некоторые из них.
1. Полезависимостъ - поленизависимостъ. Представители полизависимого стиля больше доверяют наглядным зрительным впечатлениям при оценке происходящего и с трудом преодолевают видимое поле при необходимости детализации и структурирования ситуации. Представители полинезависимого стиля, напротив, полагаются на внутренний опыт и легко отстраиваются от влияния поля, быстро и точно выделяя деталь из целостной пространственной ситуации.
2. Импульсивность - рефлексивность. Люди с импульсивным стилем быстро выдвигают гипотезы в ситуацииальтернативного выбора, при этом они допускают много ошибочных решений в идентификации перцептивных объектов. Для людей с рефлексивным стилем, напротив, характерен более замедленный темп принятия решения в подобной ситуации, соответственно, они допускают мало ошибок при идентификации прецептивных объектов в силу их тщательного предварительного анализа.
Узкий широкий- диапазон эквивалентности (илианалитичность - синтетичность). Представители полюса узкого диапазона эквивалентности (аналитического стиля) склонны ориентироваться на различия объектов, обращая внимание главным образом, на их детали и отличительные признаки. Представители полюса широкого диапазона эквивалентности (синтетического стиля), напротив, склонны ориентироваться на сходстве объектов, классифицируя их с учетом некоторых обобщенных категориальных оснований.
Нетолерантность — толерантность к нереалистичекому опыту. Данный когнитивный стиль обнаруживает себя в неопределенных, двусмысленных ситуациях и характеризует меру принятия впечатлений, не соответствующих или даже противоречащих имеющимся у человека представлениям, которые он расценивает как правильные и очевидные. Толерантные субъекты оценивают опыт по их фактическим характеристикам, тогда как нетолерантные субъекты сопротивляются познавательному опыту, в котором исходные данные противоречат их наличным знаниям.
Когнитивная простота — сложность. Одни люди понимают и интерпретируют происходящее в упрощеннойформе на основе фиксации ограниченного набора сведений(полюс когнитивной простоты). Другие, напротив, склоннысоздавать многомерную модель реальности, выделяя в неймножество взаимосвязанных сторон (полюс когнитивнойсложности).
Таким образом, можно сделать некоторые общие выводаотносительно природы когнитивных стилей. Дело в том, что по меренакопления эмпирических данных стилевой подход оказался в достаточнонепростой ситуации. С одной стороны, противопоставление стилевых ипродуктивных аспектов интеллектуальной деятельности не выдерживалострогой эмпирической и теоретической проверки. С другой стороны,отождествление когнитивных стилей и конвергентных способностейоказывалось неправильным в силу очевидного различия процедур ихоперационализации.
В одной из работ М.А. Холодный была обоснована точка зрения, согласно которой когнитивные стили - это «другой» тип интеллектуальных способностей (сравнительно с традиционными конвергентными и дивергентными способностями), характеризующих, во-первых, особенности построения индивидуальных репрезентаций происходящего и, во-вторых, индивидуальные возможности метакогнитивной регуляцииинтеллектуальной деятельности. [7,с.147]
Интеллектуальные стили - это индивидуально-своеобразные способы постановки и решения проблем. Различают три интеллектуальных стиля, которые проявляются в выборе профессиональной деятельности и соответственно, в предпочитаемых способах решения профессиональных проблем.
Законодательный стиль. Его представители в своей интеллектуальной работе игнорируют типичные для большинства людей нормы и правила. Даже свои собственные принципы, касающиеся подхода к проблеме, они готовы в любой момент изменить в зависимости от требований самойпроблемы. Их не интересуют детали. Они чувствуют себя комфортно только тогда, когда имеют возможность работать внутри своей собственной системы идей и когда они могут сами разрабатывать новый подход к проблеме. Предпочитают такие профессии, как ученый, университетский профессор, писатель, артист, архитектор, предприниматель.
Исполнительный стиль Люди этого типа руководствуются общепринятыми нормами, склонны действовать по правилам, предпочитают решать заранее сформулированные, четко проставленные проблемы с использованием уже известных средств. Выбирают профессию адвоката, бухгалтера, военного, менеджера.
Оценочный стиль. Люди этого типа имеют некоторый минимум своих собственных правил, в правильность которых они искренне верят. Они ориентированы на работу с готовыми системами, которые, по их мнению, можно и нужно «приводить в порядок» (например, ставить правильный диагноз и осуществлять необходимые воздействия). В целом, склонны анализировать, критиковать, оценивать и усовершенствовать проблемы. Профессионально самоопределяются, как правило, в качестве литературного критика, психотерапевта, разработчика образовательных программ, консультанта, политика, судьи.
Все эти стили обнаруживают себя при одинаково высоком уровне интеллектуального развития и соотносятся с одинаково высокой профессиональной успешностью. Кроме того, надо иметь в виду, что для каждого человека характерен баланс всех трех стилей с учетом, естественно, специализации каждого из них.
По сравнению с когнитивными стилями, интеллектуальные стили, безусловно, являются более обобщенным стилевым свойством интеллекта. Об интеллектуальных стилях, как свойствах индивидуального интеллекта модно говорить только на фоне достаточно высокого уровня интеллектуальной зрелости субъекта.
Таким образом, интеллектуальнее стили - это особого рода интеллектуальные способности, связанные с возможностью индивидуализации интеллектуальной деятельности на основе приведения в соответствие индивидуальных ресурсов субъекта с определенным типом проблем.
Эпистемологические стили. Это индивидуально-своеобразные способы познавательного отношения человека к происходящему, проявляющиеся в особенностях индивидуальной «картины мира». Выделяют три эпистемологических стиля: эмпирический,рационалистический, метафорический.
Эмпирический стиль-это познавательный стиль, при котором личность строит свой познавательных контакт с миром на основе данных непосредственного восприятия и предметно-практического опыта. Люди этого типа склонны подтверждать истинность своих суждений ссылкой на факты, тщательность измерений, надежность и повторяемость наблюдений.
Рационалистический стиль - это познавательный стиль личности, чей взгляд на действительность определяется широкими понятийными схемами, категориями и «теориями». Адекватность индивидуальных суждений оценивается на основе логических выводов с использованием всего комплекса мыслительных операций. Основной критерий надежности познавательного образа - его логическая устойчивость.
Метафорический стиль - это познавательный стиль, который проявляется в склонности к максимальному разнообразию впечатлений и комбинированию отдельных областей знаний. Целостность взгляда на мир сочетается с его персонификацией (т.е. представлением действительности в терминах личных переживаний, оценок, убеждений). Проверка надежности познавательного образа осуществляется за счет ссылки на собственную интуицию.
Согласно Ройсу, познавательные стили - это психические качества высшего порядка в том смысле, что они определяют способ связиконвергентных способностей и аффективных личностных черт в актах индивидуального поведения. По сути дела, выраженность определенных эпистемологических стилей является следствием сформированности тех механизмов, которые обеспечивают взаимодействие интеллектуальных и аффективных возможностей субъекта. Например, рациональный стиль отвечает за интеграцию понятийных способностей и эмоциональной независимости, эмпирический стиль - перцептивных способностей и интраверсии / экстраверсии, метафорический стиль - символических способностей и эмоциональной стабильности. Следовательно, эпистемологические стили можно считать — сравнительно, например с конверсионными способностями - интеллектуальными способностями более высокого уровня, обнаруживающими себя в показателях индивидуализированной интеграции когнитивного и аффективного опыта субъекта. [24. с 148-149]
Таким образом, познавательные стили - в выраженности тех или иных форм представления информации (стили кодирования), сформированности механизмов непроизвольного интеллектуального контроля (когнитивные стили), меры индивидуализированности способов постановки и решения проблем (интеллектуальные стили) либо степени интеграции когнитивного и аффективного опыта (эпистемологические стили) - имеют, судя по всему, отношение к продуктивным возможностям интеллекта и могут рассматриваться в качестве особой разновидности интеллектуальных способностей.
Выводы
1. Интеллект - общая способность, определяющая успешность выполнения любых задач (когнитивных, социальных). Под способностью понимаются:
1) когнитивные способности, различающиеся разной степенью специфичности для конкретной деятельности;
2) способность к системной организации целого, с мгновенным выявлением основного проблемного противоречия исходной ситуации;
3) способность к самостоятельному приобретению новых знаний;
4) адаптационная способность.
2. В структуре интеллекта различают врожденные способности, независимые от степени приобщенности к культуре, и приобретенные в ходе социализации знания и умственные навыки. Врожденные способности сводятся к психофизиологическим свойствам центральной нервной системы. Приобретенные знания и умственные навыки являются мерой овладения культурой этого общества, к которому принадлежит индивид.
3. Трудность в разведении врожденных способностей и приобретенных знаний и умственных навыков может привести к их отождествлению. В этом случае интеллект отождествляется с умственным развитием.
4. Основная тенденция социо-культурных влияний на познавательные возможности человека заключается в появлении способности к категориальному мышлению. В контексте культурно-исторических исследований интеллект отождествляется с понятийным мышлением.
5. Под интеллектом понимается система познавательных процессов. Трактовка природы познавательных процессов различается: процессы, отвечающие за переработку информации; формы активного познавательного отражения действительности.
6. Включение в структуру интеллекта регуляторных и мотивационных
компонентов.
7. Операционально-процессуальный подход в анализе
интеллектуальной деятельности позволяет развести понятия мышления и
умственных способностей. Мышление - непрерывный процесс анализа,
синтеза, обобщения условий и требований решаемых задач и способов их
решения. Умственные способности - сформировавшаяся в процессе
мышления совокупность умственных операций, которые мышление
порождает, но к которым не сводится.
II . Особенности интеллектуального развития детей - олигофренов
2.1 Интеллект и биологическая адаптация детей в норме и патологии
Если интеллект является адаптацией, то ее можно охарактеризовать так, как то, что обеспечивает равновесие между воздействием организма на среду и обратным воздействием среды. [18, с. 11] Действие организма на окружающие его объекты можно назвать ассимиляцией, поскольку это действие зависит от предшествующего поведения, направленного на те же самые или на аналогичные объекты. Любая связь живого существа со средой обладает той характерной особенностью, что это существо, вместо того чтобы пассивно подчиняться среде, само активно ее преобразует, налагая на нее свою определенную структуру. Физиологически это означает, что организм, поглощая из среды вещества, перерабатывает их в соответствии со своей структурой. Психологически же происходит, по существу, то же самое, только в этом случае вместо изменений субстанционного порядка происходят изменения исключительно функционального порядка, обусловленные моторной деятельностью, восприятием и взаимовлиянием реальных и потенциальных действий. Таким образом, психическая ассимиляция есть включение объектов в схемы поведения, которые сами являются на чем иным, как канвой действий, обладающих способностью активно воспроизводиться.
С другой стороны, и среда оказывает на организм обратное действие, которое можно обозначить словом «аккомодация». Этот термин имеет в виду, что живое существо никогда не испытывает обратного действия как такового со стороны окружающих его тел, но что это действие просто изменяет ассимилятивный цикл, аккомодируя его в отношении к этим телам. В психологии обнаруживается аналогичный процесс: воздействие вещей на психику всегда завершается не пассивным подчинением, а представляет собой простую модификацию действия, направленного на эти
вещи. Итак, адаптацию можно определить как равновесие между ассимиляцией и аккомодацией. [18,с. 11-12] Большинство психологов интеллект рассматривают как способность индивидуума адаптироваться к окружающей среде.
Человеческое существо с самого своего рождения погружено в социальную среду, которая воздействует на него в той же мере, как и среда физическая. Более того, подобно тому, как это делает физическая среда, общество не просто воздействует на индивида, оно непрестанно трансформирует самую его структуру, ибо оно не только принуждает его к принятию фактов, но и представляет ему вполне установившиеся системы знаков, изменяющие мышление индивида, предлагает ему новые ценности и возлагает на него бесконечный ряд обязанностей.
Биологическая адаптация представляет собой особую сложную систему мероприятий, направленных на овладение новыми общественными формами деятельности, и связана, прежде всего, с изменением статуса индивида. В течение жизни человек много раз меняет его, попадая в определенные микросоциальные условия, и каждый раз ему необходимо вырабатывать для этих условий новые формы поведения. Влияние на организм факторов внешней среды, груз новых взаимоотношений изменяют в первую очередь состояние психической сферы человека. Это приводит к перестройке нейровисцеральных и эндокринно-метаболических связей, что нередко является патологической почвой формирующихся отклонений в нервно-психическом здоровье. Адаптация не устраняет биологических и физиологических форм приспособления, а видоизменяет и опосредует их, включая в себя как регулируемый и модифицируемый ею внутренний элемент.
Теоретическими и экспериментальными исследованиями было показано, что система, обеспечивающая адаптацию, как и любая другая функциональная система, представляет собой совокупность подсистем, соединенных жесткими связями.
Деятельность всей системы психологической адаптации обеспечивается синхронным функционированием разных отделов организма, соединенных сложными межфункциональными связями, формирование которых происходит в онтогенезе. Являясь динамическим процессом прогрессивной перестройки функциональных систем, адаптация к новым условиям жизни обеспечивает возрастное развитие.
Положительных эффект приспособления сказывается в достижении относительного соответствия поведения требованиям новой среды и обеспечивается психологической готовностью к выполнению стоящих перед ребенком задач. Важное значение в исследовании процесса адаптации придается анализу эмоциональных проявлений. Новые требования, подчас превосходящие возможности ребенка, изменяют состояние эмоциональной сферы, вызывая неспецифическую, стрессовую реакцию организма. Однако направленность только на эмоциональную сферу ребенка не обеспечивает надежного выявления критериев адаптации. Доминирующей функцией становится мышление. Учебная деятельность является ведущей, ее развитие обуславливает важнейшие изменения в психологических особенностях личности ребенка.
В первую очередь выделяется необходимость усвоения определенной суммы знаний. Непременное условие выполнения этого требования -достаточный уровень интеллектуального развития ребенка. Несоответствие его умственных возможностей и поступающей информации создает для него самые большие трудности, что осложняет адаптацию и тормозит общее психическое развитие.
Ребенок не испытывает состояние напряженности, и процесс адаптации проходит безболезненно в том случае, когда уровень развития интеллектуальных. Волевых и моральных качеств достаточно высок, что и обеспечивает возможность своевременно перестраивать поведение и деятельность согласно предъявляемым требованиям.
К нарушению адаптации и развитию нервно-психических отклонений приводит недоразвитие таких компонентов личности, как мотивационно -потребностная сфера, интеллект, дисгармоничное формирование личностных черт. Имеющиеся недостатки в развитии интеллекта в наибольшей степени затрудняют процесс адаптации и, особенно, школьной. Чем более дисгармонично психическое развитие ребенка, тем сложнее происходит его приспособление к новым микросоциальным условиям.
2.2 Олигофрения и ее влияние на развитие .
Умственно отсталым называют такого ребенка, у которого имеется стойкое нарушение познавательной деятельности вследствие органических повреждений головного мозга. Умственно отсталые дети - одна из наиболее многочисленных категорий детей, отклоняющихся в своем развитии от нормы. Они составляют около 2,5% от общей детской популяции. Понятие «умственно отсталый ребенок» включает весьма разнообразную по составу массу детей, которых объединяет наличие повреждения коры головного мозга, имеющие диффузный характер. Морфологические изменения, хотя и не с одинаковой интенсивностью, захватывают многие участки коры головного мозга ребенка, нарушая их строение и функции. Не исключены и такие случаи, когда диффузное поражение коры сочетается с отдельными, более выраженными локальными, иногда включающими и подкорковые системы. Все это обусловливает возникновение различных, с разной отчетливостью выраженных отклонений, обнаруживающихся во всех видах психической деятельности, особенно резко - в мыслительных процессах.
Преобладающее большинство умственно отсталых детей составляют те, у которых умственные отсталость возникла вследствие различных органических поражений, главным образом наиболее сложных и поздно формирующихся мозговых систем, в период до развития речи (до 2-3 лет). Это так называемые дети - олигофрены. Умственно отсталые дети различаются степенью выраженности дефекта. Выделяют три степени: дебильность, имбецильность, идиопатия.
Дебильность - наиболее легкая степень умственной отсталости. Сниженный интеллект и особенности эмоционально-волевой сферы детей-дебилов не позволяют им овладеть программой общеобразовательной школы. У них нередко отмечаются дефекты речи в виде шепелявости, сигматизма, аграмматизма. Недоразвитие аналитико-синтетической функции высшей нервной деятельности и нарушение фонетического слухавызывают большие трудности в овладении устной и письменной речью, навыками счета. Дифференцированная моторика развита недостаточно и в сочетании с физической ослабленностью и соматическими нарушениями, а также особенностями эмоционально-волевой сферы, все это значительно ограничивает круг их возможной трудовой деятельности.
Имбецилльность - средняя степень умственной отсталости. Дети -имбецилы обладают определенными возможностями к овладению речью, усвоению отдельных несложных трудовых навыков. Словарный запас у них крайне беден. Они понимают чужую речь, мимику и жестикуляцию в пределах их постоянного обихода. Наличие грубых дефектов памяти, восприятия, мышления, моторики и эмоционально-волевой сферы делает этих детей практически необучаемыми даже во вспомогательной школе. В правовом отношении они являются недееспособными, и над ними устанавливается опека родителей или заменяющих их лиц.
Идиопатия - самая глубокая степень умственной отсталости, при которой практически отсутствует речь. Умственно отсталые в степени идиопатии не узнают окружающих; их внимание почти ничем не привлекается, выражение лица бессмысленное. Отмечается резкое снижение всех видов чувствительности. Ходить эти дети начинают поздно, их движения плохо координированы. На чужую мимику и жестикуляцию не реагируют, неопрятны в своих естественных отправлениях, неспособны к самообслуживанию. В ряде случаев в моторике наблюдаются стереотипные движения - маятникообразные раскачивания головой или туловищем из стороны в сторону. При идиопатии средней и легкой степени отмечается умение смеяться и плакать, некоторое понимание чужой речи, мимики и жестикуляции. Словарный запас ограничен несколькими десятками слов. Дети-идиоты не обучаются и находятся с согласия родителей в специальных учреждениях, а по достижении 18-летнего возраста переходят в специальные интернаты для хронических больных.
Степень выраженности дефекта существенно зависит от тяжести постигшей ребенка вредности, от ее преимущественной локализации, а также от времени приобретения. Чем в более ранние сроки ребенка постигло заболевание, тем тяжелее оказываются его последствия. Наиболее глубокие степени олигофрении наблюдаются у детей, перенесших заболевания во внутриутробном периоде своего развития. В таком случае срок нормального развития головного мозга минимален.
Умственная отсталость, возникшая в более позднем возрасте, встречается относительно редко. Она входит в ряд понятий, среди которых определенное место занимает деменция (слабоумие). При деменции нарушения мозга возникают после довольно длительно протекавшего нормального развития ребенка (5-7 и более лет). Деменция может являться следствием органических заболеваний мозга или травм. Как правило, интеллектуальный дефект при деменции носит необратимый характер. При этом отмечается прогрессирование заболевания. В отдельных случаях с помощью лечения в благоприятных педагогических условиях можно добиться некоторой стабилизации состояния психических функций больного.
Причины, вызывающие у ребенка умственную отсталость многочисленны и разнообразны. Их принято разделять на внешние (экзогенные) и внутренние (эндогенные) причины. Они могут воздействовать в период внутриутробного развития плода, во время рождения ребенка и в первые месяцы (или годы) его жизни. Известен ряд внешних факторов, приводящих к резким нарушениям развития. Наиболее распространенными из них являются следующие:
- тяжелые инфекционные заболевания, которые женщина переносит во время беременности;
- различные интоксикации;
- тяжелые дистрофии женщины во время беременности;
- заражение плода различными паразитами, существующими в организме матери;
- при заболевании беременной женщины сифилисом нередко встречаются случаи заражения плода спирохетой;
- травматические поражения плода, являющиеся следствием удара или ушиба, также могут быть причиной умственной отсталости. Умственная отсталость может быть следствием родовых травм, возникающих в результате наложения щипцов, сдавливания головки ребенка при прохождении через родовые пути при затяжных или при чрезмерно быстрых родах. Длительная асфиксия во время родов также может иметь своим следствием умственную отсталость ребенка;
- среди внутренних причин выделяют фактор наследственности. Он проявляется в несовместимости крови матери и ребенка, в хромосомных заболеваниях;
- к числу внутренних причин относятся также нарушения белкового обмена в организме. Например, особой формой тяжелого слабоумия является фенилкетонурия, в основе которой лежит именно эта причина;
- воспалительные заболевания мозга и его оболочки (менингиты, менингоэнцефалиты), возникшие у младенца, нередко служат причинами умственной отсталости;
- в последние годы умственная отсталость детей все в большей мере оказывается обусловленной резко повышенной радиацией местности, неблагополучной экологической обстановкой, алкоголизмом или наркоманией родителей, особенно матери. Определенную роль играют также тяжелые материальные условия, в которых находятся некоторые семьи. В таких случаях ребенок с первых дней жизни, а затем - постоянно не получает полноценного питания, необходимого для физического и умственного развития.
Особенности развития познавательной сферы
Умственная отсталость влечет за собой неравномерное изменение у ребенка различных сторон психической деятельности. Структура психики умственно отсталого ребенка чрезвычайно сложна. Первичный дефект приводит к возникновению многих других вторичных и третичных отклонений. Нарушения познавательной деятельности и личности ребенка с общим психическим недоразвитием отчетливо обнаруживаются в самых различных его проявлениях. Дефекты познания и поведения невольно привлекают к себе внимание окружающих. Однако наряду с недостатками этим детям присущи и некоторые положительные возможности, наличие которых служит опорой, обеспечивающей процесс развития.
Развитие умственно отсталого ребенка определяется биологическими и социальными факторами. К первым из них относятся выраженность дефекта, качественное своеобразие его структуры, время его возникновения. Социальные факторы - это ближайшее окружение ребенка: семья, в которой он живет; взрослые и дети, с которыми он общается и проводит время; школа.
Внимание - это сосредоточенность и направленность психической деятельности на определенный объект, что предполагает повышение уровня сенсорной, интеллектуальной и двигательной активности.
Внимание - это чрезвычайно важный психический процесс. Внимание является базовым психическим процессом, «питающим» все другие психические функции и виды деятельности. Внимание обеспечивает организованный и целенаправленный отбор поступающей информации, избирательную и длительную сосредоточенность психической активности на объекте или деятельности, а также направленность и избирательность познавательных процессов. Вниманием определяется точность и детализация восприятия, прочность и избирательность памяти, направленность и продуктивность мышления и воображения. От вниманиязависят качество и результаты функционирования всей познавательной системы.
У умственно отсталых детей отмечается недостаточность внимания, особенно произвольного. Для них свойственно пассивное непроизвольное внимание, сопровождающееся чрезмерной отвлекаемостью. Причем у одних детей через 10-15 минут работы наблюдается двигательное беспокойство, подвижность. Другие становятся вялыми и пассивными.
Низкий уровень произвольного внимания связан с недоразвитием волевых качеств у умственно отсталых детей. Для них характерна также неспособность распределения внимания между различными объектами. Оно обнаруживается в таком поведении ребенка, как нетерпение, задавание не относящихся к теме урока вопросов, выкрикивание отдельных реплик.
У возбудимых олигофренов особенно резко проявляется отвлекаемость, двигательная расторможенность, в то время как у заторможенных детей эти черты выражены в меньшей мере.
С возрастом у учеников вспомогательной школы несколько возрастает объем произвольного внимания, его устойчивость и возможность распределения, однако по длительности активной концентрации они значительно уступают своим нормально развивающимся сверстникам.
Ощущение и восприятие. Существенную роль в познании ребенком окружающего мира играют его ощущения и восприятие. Они создают конкретную базу для знакомства с тем что находится вокруг него, для формирования мышления, являются необходимыми предпосылками практической деятельности. У умственно отсталых детей чаще, чем у нормально развивающихся, имеют место нарушения ощущений различной модальности и, соответственно, восприятия объектов и ситуаций.
Для умственно отсталых учеников свойственна узость зрительного восприятия, которая уменьшает их возможность ознакомления с окружающим миром, а также отрицательно влияет на овладение чтением.
Недостаточная дифференцированность зрительного восприятия учащихся обнаруживается в неточном распознавании или близких по спектру цветов и цветовых оттенков, присущих тем или иным объектам, в глобальном видении этих объектов, т.е в отсутствии выделения характерных для них частей, частиц, пропорций и других особенностей строения. Отмечается также снижение остроты зрения, что лишает образ объекта присущей ему специфичности.
Для умственно отсталых детей характерно своеобразное узнавание объектов и явлений. Они склонны отождествлять в некоторой мере сходные предметы.
Учащиеся недостаточно умеют приспосабливать свое зрительное восприятие к изменяющимся условиям. Если изображение предметов, твердо ориентированных в пространстве, т.е. с четко выраженным верхом и низом, предъявляются младшим школьникам перевернутыми на 180°, то они воспринимаются детьми как другие объекты, находящиеся в обычном положении.
Нарушения пространственной ориентировки - один из ярко выраженных дефектов, встречающихся при умственной отсталости. Эти нарушения отчетливо обнаруживаются во время школьного обучения - в процессе овладения грамотой, на уроках ручного и профессионального труда, географии, рисования, физкультуры.
Своеобразие зрительного восприятия умственно отсталых детей младших лет обучения отчетливо проявляется при рассматривании сюжетных картин, понимание которых оказывается неполным, поверхностным, а в ряде случаев и неадекватным. Восприятие бывает затруднено большим количеством объектов, отсутствием центрального объекта, присутствием недостаточно знакомых детям предметов, персонажей, новизной ситуации в целом и др. Существенное значение имеют также круг имеющихся у школьников знаний, умение пользоваться ими, возможность сосредоточить внимание на разглядывании картины.
Большую роль играет речевое развитие учащихся, обеспечивающее правильное понимание задания, точность и развернутость высказываний.
Одним из основных видов человеческого восприятия является осязание. Органом осязания служит рука. С помощью осязания расширяется, углубляется и уточняется информация, получаемая другими анализаторами. Кроме того, отдельные свойства объектов воспринимаются только осязанием.
У умственно отсталых детей, относительно осязательного восприятия обнаруживается пассивность и недостаточная целенаправленность осязательной деятельности школьников и младших и старших лет обучения, асинхронность и несогласованность движений их рук, импульсивность, поспешность, недостаточная сосредоточенность всей деятельности и, соответственно, большое количество ошибок при распознавании объектов. Установлено, что объемные изображения предметов ученики узнают с большим успехом, чем плоскостные. Умственно отсталые школьники обычно удовлетворяются первым распознаванием объекта, которое основано на одном - двух неспецифических признаках, и не делают дополнительных попыток проверить правильность своего решения.
Память. Обучение умственно отсталых детей в большей мере опирается на процессы памяти, которые обеспечивают им приобретение новых сведений, дают возможность овладевать различными областями знаний. Память заключается в запечатлении, сохранении и последующем узнавании или воспроизведении того, что было у человека в прошлом опыте. Обычно выделяют вербальную, зрительную и моторную память.
Процессы памяти умственно отсталых детей характеризуются многими особенностями. Объем запоминаемого учениками специальной школы материала существенно меньше, чем у их нормально развивающихся сверстников. У умственно отсталых учащихся младших классов он обычно равен 3 единицам, у нормально развивающихся - 7±2. Чем болееабстрактным является подлежащий запоминанию материал, тем меньшее его количество запоминают школьники.
Точность и прочность запоминания учащимися и словесного, и наглядного материала низкая. Воспроизводя его, они многое пропускают, переставляют местами элементы, составляющие единое целое, нарушая их логику, часто повторяются, привносят новые элементы, основываясь на различных, чаще всего случайных ассоциациях. При этом умственно отсталые дети, характеризующиеся преобладанием процессов возбуждения, обнаруживают особенно отчетливо выраженную склонность к привнесениям.
Учащиеся, которые относятся к числу заторможенных, запоминают меньший объем материала, но количество привнесений у них незначительно.
Умственно отсталые учащиеся обычно пользуются непреднамеренным (непроизвольным) запоминанием. Они запоминают то, что привлекает их внимание, кажется интересным. Продуктивность непроизвольного запоминания учащихся зависит от характера выполняемой ими работы. Если их деятельность носит активный характер, то результаты оказываются более высокими, чем при пассивном отношении к заданию.
Умственно отсталые ученики испытывают серьезные трудности при запоминании учебного материала. Определенную помощь при запоминании может оказать смысловая группировка материала, а также соотнесение слов с соответствующими картинками или другим наглядным материалом. Ученики успешнее запоминают стихотворные, чем прозаические, тексты.
Сохраняющиеся в памяти ребенка зрительные образы предметов называются представлениями. Представления зависят от особенностей восприятия, речи и мышления субъекта. У умственно отсталых детей представления о предметах окружающего мира бедны, неточны, а в ряде случаев являются искаженными. С течением времени они изменяются:теряют специфические черты, уподобляются друг другу или хорошо знакомым объектам.
Речь. Речь - это исторически сложившаяся форма общения посредством языка, обеспечивающая сохранение и передачу опыта и знаний, добытых предыдущими поколениями. Речь - орудие человеческого мышления, средство организации и контроля его деятельности, а также выражения эмоций.
Грубые недостатки речи умственно отсталых детей расцениваются как один из основных критериев аномалии умственного развития. Не имея ни повреждений слуха, ни отклонений в строении речевых органов, эти дети овладевают речью замедленно. Они позднее начинают понимать обращенную к ним речь и пользоваться активной речью.
Становление речи умственно отсталого ребенка осуществляется своеобразно и с большим запоздание. Он позднее и менее выражено вступает в эмоциональный контакт с матерью. В возрасте около года у него можно наблюдать патологическую реакцию на речь взрослого. Она проявляется в том, что звуковые комплексы, произносимые детьми, бедны и характеризуются сниженной эмоциональной окрашенностью. У них слабо выражено стремление подражать речи взрослого. Они не реагируют на простейшие ситуативные команды, улавливают лишь интонацию, но не содержание обращенной к ним речи.
Первые малочисленные слова, неточно произносимые, появляются у умственно отсталых дошкольников в 2-3 года или даже в 5 лет. Это преимущественно имена существительные - названия предметов ближайшего окружения и глаголы, обозначающие часто выполняемые действия. Отдельные дошкольники даже в 5 лет пользуются лепетными словами или произносят лишь первый слог нужного слова. Фонетический строй речи почти у всех детей к началу школьного обучения оказывается сформированным далеко не полностью. Исключения встречаются очень редко.
В речи учащихся младших классов можно встретить замены одних звуков другими, сходными по звучанию или артикуляции. В одних случаях эти замены носят постоянный характер, в других - произвольный. Отмечается также полное неумение произносить некоторые звуки.
Словарь учащихся младших классов беден. Он состоит преимущественно из имен существительных и глаголов. Среди существительных преобладают слова, обозначающие часто встречающиеся детям, знакомые им предметы. Глаголы используются преимущественно бесприставочные. Имена прилагательные занимают незначительное место в общем составе словаря. Они представляют собой неконкретные характеристики типа «большой», «маленький», «хороший», «плохой». Крайне редко встречаются прилагательные, характеризующие личностные свойства и качества человека.
Для речи умственно отсталых детей свойственно существенное преобладание пассивного словаря над активным.
К старшим классам словарный запас школьников значительно обогащается. Этому способствуют специальное обучение, расширение жизненного опыта, общение с взрослыми и детьми, просмотр телевизионных передач и др. Однако дефицит слов, определяющих внутренние свойства человека и других живых существ, сохраняется, а используемые предложения остаются преимущественно простыми и по своему построению не всегда соответствуют общепринятым нормам.
У умственно отсталых учащихся, особенно находящихся на младших годах обучения, недостаточно сформирована одна из основных функций речи - ее регулятивная функция. Указания взрослого воспринимаются детьми неточно и не всегда определяют содержание и последовательность выполняемой деятельности. Особенную трудность представляют сложные инструкции, состоящие из нескольких следующих друг за другом звеньев, а также содержащие в себе обобщения.
Дети медленно овладевают техникой чтения. Читая, они допускают много ошибок - не прочитывают окончания, пропускают и переставляют буквы, путают окончания, искажают и заменяют слова и с трудом понимают прочитанное. Основное содержание часто остается для детей неясным. Можно встретить учащихся, которые при беглом чтении совершенно не понимают простые тексты.
У начинающих обучаться умственно отсталых детей письмо по слуху вызывает большие затруднения. Ученики, особенно имеющие дефекты произношения, при письме пропускаю буквы, обозначающие гласные звуки, другие - смешивают буквы на основе акустического сходства звуков, изменяют их порядок. Школьники не всегда могут соотнести звуки с соответствующими буквами. К тому же графически сходные буквы слабо дифференцируются.
Дети долго не понимают сущности письма, того, что знание букв нужно для написания слов, которые затем сможет прочитать любой грамотный человека. Таким образом, у детей с общим психическим недоразвитием имеет место несформированность основных предпосылок письменной речи, с развития которых и необходимо начинать подготовку обучения умственно отсталых детей к овладению письменной речью.
Мышление.
Мышление представляет собой обобщенное,опосредованное отражение внешнего мира и его законов, общественно обусловленный процесс познания, наиболее высокий его уровень.
Мыслительная деятельность у умственно отсталых школьников формируется с особенно большими трудностями. Для них характерно использование наглядно-действенной формы мышления. Причем, решая ту или иную задачу, они прибегают преимущественно к методу проб и ошибок, повторяя пробы в неизменно виде и, соответственно, получая все время один и тот же неверный результат.
Знания, требующие наглядно-образного мышления, вызывают у дошкольников еще большие затруднения, поскольку дети не могут сохранить в своей памяти показанный им образец и действуют ошибочно.
Наиболее сложные для дошкольников оказываются задания, выполнение которых основывается на словесно-логическом мышлении. Многие из таких заданий, по существу достаточно простые, оказываются недоступными даже тем детям, которые 2-3 года посещали специальный детский сад. Если некоторые задания выполняются детьми, то их деятельность при этом представляет собой не столько процесс мышления, сколько припоминания. Дети запоминают некоторые словесные выражения и определения, а потом с большей или меньшей точностью воспроизводят их.
У умственно отсталых детей младшего школьного возраста отмечается недостаточность всех уровней мыслительной деятельности. Еще большие трудности вызывают у учащихся I-II классов задачи, предусматривающие использование наглядно-образного мышления. Наиболее сложными являются задания, требующие от детей словесно-логического мышления. Умственно отсталые ученики воспринимают материал упрощенно, опускают многие значимые его части, изменяют последовательность смысловых звеньев текста, не устанавливают необходимых взаимоотношений между ними. По мере специального обучения недостатки мышления учеников корригируются, но не преодолеваются полностью и вновь обнаруживаются при усложнении предъявляемых задач.
Особенности формирования личности.
Личность - это конкретный человек, занимающийся определенными видами деятельности, осознающий свое отношение к окружающей среде и имеющий свои индивидуальные особенности. Личность развивается в процессе деятельности и общения с другими людьми, во взаимодействие с которыми она включена социально необходимым образом.
Под развитой человеческой личностью подразумевают обычно личность, обладающую определенным мировоззрением, осознающую свое место в обществе, свои жизненные цели, умеющую самостоятельно действовать для реализации этих целей. Поэтому вопросы формирования мировоззрения, самосознания и самостоятельности имеют большое значение в воспитании личности.
Личность человека становится по мере того, как она начинает отдавать себе отчет в том, что делает, и может руководить своими действиями. Личность формируется постепенно.
Умственно отсталые дети в связи со свойственной им неразвитостью мышления, слабостью усвоения общих понятий и закономерностей сравнительно поздно начинают разбираться в вопросах общественного устройства, в понятиях морали и нравственности. Их представления о том, что хорошо, а что плохо, в младшем школьном возрасте носят поверхностный характер. Они узнают правила нашей морали от учителей, от родителей, из книг, но не всегда могут действовать в соответствии с этими нормами либо воспользоваться ими в привычной конкретной ситуации, основываясь на рассуждениях. Поэтому умственно отсталые дети по неразумению либо по неустойчивости нравственных понятий из-за внушаемости поддаются дурным влияниям и совершают неправильные действия.
Правильное воспитание и обучение умственно отсталых учащихся в благоприятных социальных условиях дает возможность не толькосформировать у них правильное мировоззрение, но и сделать его достаточно устойчивым.
Существенное влияние на развитие личности оказывает формирование ее направленности. Понятие «направленность личности» было введено известным советским психологом С.Л. Рубинштейном. Понятие это расшифровывается как характеристика основных интересов, потребностей, склонностей, устремлений человека. И, наконец, большое значение для формирования личности имеет коллектив, в котором она развивается.
Особенности волевых качеств
В совокупности психических черт личности важнейшей является воля, которая проявляется в сознательных, целенаправленных действиях. Воля формируется и проявляется в определенных конкретно-исторических условиях в процессе разнообразной деятельности. Воспитание воли у умственно отсталых детей представляется делом долгим и трудным, что объясняется особенностями их развития.
Л.С. Выготский писал, что «именно в дефекте овладения собственным поведением лежит главный источник всего недоразвития умственно отсталого ребенка».
Несамостоятельность, безынициативность, неумение руководить своими действиями, неумение преодолевать малейшие препятствия, противостоять любым искушениям или воздействиям сочетаются с признаками противоположного свойства. Например, оказывается, что, если умственно отсталому ребенку очень захотелось получить вопреки порядку какую-либо дополнительную порцию особенно вкусного сладкого блюда, он проявляет достаточную настойчивость и целеустремленность, обнаруживает умение преодолеть известные трудности и даже некоторую опосредованность, обдуманность поведения. Такая же обдуманность поведения может быть проявлена при необходимости скрыть поступок или добиться удовлетворения каких-либо эгоистических интересов. Слабость воли обнаруживается у умственно отсталых детей не всегда и не во всем. Она отчетливо выступает лишь в тех случаях, когда дети знают, как надо действовать, но при этом не испытывают в этом потребности.
Контрасты наблюдаются у умственно отсталого ребенка и в его отношении к воздействиям со стороны окружающих людей. На первый план выступает внушаемость, некритическое восприятие указаний и советов окружающих людей, отсутствие попытки проверить, сопоставить эти указания и советы с собственными интересами и склонностями. Умственно отсталого ребенка легко подговорить обидеть свою любимую младшую
сестренку, испортить, сломать какую-нибудь нужную в доме вещь. Нередко его подговаривают сказать какую-нибудь глупость или дерзость учителю, рассмешить класс во время урока и т.д. И наряду с этим те же дети и в отношении отдельных указаний со стороны окружающих могут проявить необычайное упрямство, длительное бессмысленное сопротивление разумным доводам, непреодолимое стремление сделать наперекор тому, о чем их просят.
Все эти мнимые контрасты проявлений воли (безынициативность и безудержность, внушаемость и упрямство и т.п.) есть выражение незрелости личности. Сущностью этой незрелости является недоразвитие духовных потребностей.
Незрелость личности, неразвитость самообладания и разумной переработки текущих внешних впечатлений приводят к обилию примитивных, непосредственных реакций на внешние впечатления. Например, ребенок импульсивно хватает привлекательную для него вещь, не задумываясь над тем, можно ли это сделать; импульсивно бросается бежать, испугавшись чего-либо, и при этом не отдает себе отчета в том, спасет ли его это бегство от опасности. Л.С. Выготский писал: «примитивная реакция есть реакция, обошедшая личность, следовательно, в ней проявляется недоразвитие личности».
С годами, по мере приобретения жизненного опыта, в особенности в процессе трудового обучения, происходит постепенное завершение процесса созревания, увеличение самостоятельности личности. Развитие волевых качеств детей, подчиненность их действий отдаленным и разумным мотивам находится в непосредственной зависимости от уровня развития потребностей.
Особенности эмоциональной сферы
Чувства, как и другие свойства личности, носят социальный характер, они опосредованы и обусловлены реальными общественнымиотношениями. В том, что радует и печалит человека, проявляется направленность чувств.
Чувства, являясь своеобразной формой отражения действительности в виде переживаний, находятся как бы в двойной зависимости. Они зависят от того, удовлетворены ли потребности, и потому обычно носят полюсный характер. Всякий объект, который удовлетворяет ту или иную потребность человека, вызывает положительные переживания. Объекты, препятствующие удовлетворению потребностей, вызывают соответственно, отрицательные переживания. В психологии принято деления чувств на высшие и низшие (эмоции). Высшие чувства вызываются удовлетворением духовных потребностей, низшие - органическими потребностями.
Однако, связь объекта, явления или события с потребностью должна еще быть осознана. Возникшее переживание может быть разумом подавлено или трансформировано, но оно может также стать источником, толчком для зарождения мысли.
Высшие чувства - чувство коллективизма, чувство дружбы и товарищества, чувство чести и др. - представляют собой сплав мысли и чувства. Таким образом, чувства находятся в тесной взаимозависимости с разумом.
Незрелость личности умственно отсталого ребенка, обусловленная в первую очередь особенностями развития его потребностей и интеллекта, проявляется в ряде особенностей его эмоциональной сферы.
Чувства умственно отсталого ребенка долгое время недостаточно дифференцированы. В этом отношении она несколько напоминает малыша. Известно, что у очень маленьких детей диапазон переживаний невелик: они либо чем-то очень довольны и радуются, либо, напротив, огорчаются и плачут. У нормального же ребенка более старшего возраста можно наблюдать множество различных оттенков переживаний. Например, получение хорошей отметки может вызвать у него смущение, радость, чувство удовлетворенного самолюбия и т.д. Переживания умственноотсталого школьника более примитивны, полюсны, он испытывает только или удовольствие, или неудовольствие, а дифференцированных тонких оттенков переживаний почти нет.
Чувства умственно отсталых детей часто бывают неадекватными, непропорциональными воздействиям внешнего мира по своей динамике. У одних детей можно наблюдать чрезмерную легкость и поверхностность переживаний серьезных жизненных событий, быстрые переходы от одного настроения к другому; у других детей наблюдается чрезмерная сила и инертность переживаний, возникающих по малосущественным поводам. Например, незначительная обида может вызывать очень сильную и длительную эмоциональную реакцию. Проникнувшись желанием куда-либо пойти, с кем-либо повидаться и т.д. умственно отсталый ребенок не может затем отказаться от своего желания, даже если это стало нецелесообразным.
Проявлением незрелости личности умственно отсталого ребенка является также и большое влияние эгоцентрических эмоций на оценочные суждения. Наиболее высоко ребенок оценивает тех, кто ему приятен, кто ближе к нему. Так он оценивает не только людей, но и события окружающей жизни - хорошо то, что приятно.
Слабость интеллектуальной регуляции чувств обнаруживается в том, что дети ничем не корригируют своих чувств сообразно ситуации, не могут найти удовлетворение какой-либо своей потребности в ином действии, замещающем первоначально задуманное. Они долго не могут найти утешение после какой-либо обиды, на могут удовлетвориться какой-либо, даже лучшей вещью, которую им подарили взамен похожей, разбитой или утерянной. Умственно отсталый ребенок может понять, что причинивший ему огорчение человека вовсе не хотел его обидеть, однако доводы рассудка не помогают ему подавить в себе чувство обиды.
Слабость интеллектуальной регуляции чувств приводит к тому, что у умственно отсталых детей с опозданием и с трудом формируются так называемые высшие духовные чувства: совесть, чувство долга,ответственность, самоотверженность и т.д. Формирование высших чувств предполагает слияние чувств и мысли. Слабость мысли тормозит формирование этих высших чувств. Такие чувства могут быть воспитаны у умственно отсталых детей. Однако для этого должна быть проведена специальная воспитательная работа. Пока не воспитаны высшие чувства, по мере роста ребенка стихийно все большее место занимают элементарные потребности и, следовательно, эмоции.
Лишь современная настойчивая работа, направленная на развитие интеллекта и формирование высших духовных потребностей, способствует формированию высших чувств и обеспечивает этим чувствам ведущую роль.
Формирование самооценки
Правильное формирование самооценки - один из важнейших факторов развития личности ребенка.
Устойчивая самооценка формируется под влиянием оценки со стороны окружающих (взрослых и детей), а также собственной деятельности ребенка и собственной оценки ее результатов. Если ребенок не умеет анализировать свою деятельность, а оценка со стороны окружающих меняется в отрицательном для него направлении, возникают острые аффективные переживания.
Самооценка умственно отсталого ребенка в обычных условиях воспитания беспрерывно подвергается резким и контрастным воздействиям. В семье, пока он мал, особенно в те периоды, когда обнаруживается та или иная болезнь нервной системы, его не только болезнь нервной системы, его не только жалеют, но и радуются малейшему успеху, малейшему достижению. Сам ребенок склонен также высоко себя оценивать. У него возникают повышенные притязания к вниманию со стороны взрослых, их одобрению и ласке. Но вот ребенок попадает в детский сад либо просто в детский коллектив соседей по двору, и сложившейся самооценке наностися серьезный удар.
Л.С. Выготский пишет, что повышенная самооценка, которая очень часто встречается у дебилов и имбецилов, является проявлением общей эмоциональной окрашенности оценок и самооценок маленького ребенка, общей незрелости личности.
Л.С. Выготский указывает, что возможен еще и иной механизм образования симптома повышенной самооценки. Она может возникать как псевдокомпенсаторное характерологическое образование в ответ на низкую оценку со стороны окружающих. Он считает, что именно на почве слабости, на почве чувства малоценности и возникает псевдокомпенсаторная переоценка своей личности.
Формирование характера
В путях формирования характера умственно отсталых детей есть много своеобразия. Кроме того, имеются неясные на первый взгляд особенности.
Прежде всего, привлекает внимание тот факт, что у детей, перенесших одно и тоже заболевание головного мозга, часто формируются сходные черты характера. Например, у эпилептиков часто наблюдаются такие черты, как аккуратность, доходящая до степени педантичности, скупость, злопамятность. У некоторых детей, перенесших энцефалит, наблюдаются такие черты, как внушаемость, легкомыслие, беззаботность, импульсивность, у других - назойливость, склонность к образованию привычек. У детей, перенесших травму, нередко отмечают такие черты, как болезненное самолюбие вспыльчивость, раздражительность и др. Все эти черты характера, свойственные детям, перенесшим то или иное заболевание головного мозга.
Болезнь способствует возникновению сходных шаблонов характера, своеобразных характерологических стандартов. Это наводит на мысль о том, что характер ребенка прямо обусловлен болезнью, что особенности характера сами по себе есть проявление его болезни.
Характер ребенка определяется его воспитанием, условиями жизнив конкретно-исторической обстановке. Болезнь не создает никакого склада характера, но создает, во-первых, определенные особенности динамики нервных процессов ребенка и, во-вторых, является сама по себе одним из важных условий жизни ребенка, к которому он как-то приспосабливается.
Один из важнейших приемов формирования характера - воспитание у умственно отсталых детей привычек. Хорошие и дурные привычки возникают у умственно отсталых детей в результате определенного образа жизни больного ребенка, как проявление его компенсаторных личностных тенденций.
Значение воспитания привычек для нравственного развития умственно отсталых детей особенно велико потому, что в связи с нарушениями в области познавательной деятельности, малой развитостью их сознания и самосознания воспитание нравственных убеждений, принципов и т.д. относительно затруднено. Наиболее действенным путем формирования нравственности, культурных потребностей и характера умственно отсталого ребенка является воспитание привычек. Из совокупности привычек постепенно складывается характер ребенка. Например, привычка учитывать интересы окружающих - необходимая предпосылка для возникновения такой черты характера, как чуткость и доброта. Отсутствие такой привычки - зародыш эгоизма. Совокупность привычек к самообслуживанию, к аккуратному, добросовестному выполнению трудовых поручений становится основой таких важных черт характера, как трудолюбие и чувство долга.
Большое значение привычек в воспитании умственно отсталых детей объясняется и тем, что привычки являются зародышами потребностей. Их правильное формирование способствует росту духовных потребностей и интересов детей, т.е. правильному развитию их личности.
2.3 Изучение интеллектуальных особенностей детей олигофренов и здоровых детей . Анализ результатов .
Целью данного диагностического исследования является изучение уровня сформированности основных интеллектуальных операций у детей -олигофренов и здоровых детей.
Для достижения данной цели было проведено сравнительное исследование детей - олигофренов и здоровых детей с помощью методики группового интеллектуального теста (ГИТ). Методика была выбрана не случайно, т.к. она дает наиболее надежный и информативный результат.
В диагностическом исследовании приняло участие 43 человека, из которых 23 человека - здоровые дети, учащиеся 4 класса средней школы № 4; дети - олигофрены 10-11 лет, учащиесяУЙсследование проводилось при дневном освещении, в проветриваемом помещении, в изолированной комнате, посторонние шумы отсутствовали, никто не отвлекал и не оказывал влияния на испытуемого.
Обследование интеллектуального уровня развития детей отражает наиболее существенные психолого-педагогические проблемы, характерные для конца периода младшего школьного возраста и начала подросткового периода. Тем позволяет выявить, насколько учащиеся владеют словами и понятиями, предлагаемыми им в заданиях теста, а также умением выполнять логические действия.
Данный тест содержит семь субтестов:
1. субтест - исполнение инструкций - характеристика восприятия, понимания, выполнения требований;
2. субтест - арифметические задачи - характеристика практического мышления, способности решать выраженные в числах проблемы;
3. субтест - дополнение предожений - характеристика понимания смысла, умения продолжить мысль, завершить ее, т.е. логическое мышление;
4. субтест - определение сходства и различия - словарь, развитость языка, сформированность логических операций сходства и различия на языковом материале;
5. субтест - числовые ряды - характеристика числового индуктивного мышления, вычислительных способностей, математическая логика;
6. субтест - установление аналогий - характеристика комбинаторности мыслительных процессов, подвижности мышления и понимания;
7. субтест - символы - характеристика памяти, внимания, ее распределения и устойчивости, операции перекодирования.
Обработка полученных данных производилась с помощью ключа. Результаты проведенного обследования интеллектуального развития здоровых детей представлены в таблице 1.
манипуляторного интеллекта олигофренов, роль которого в их умственном развитии выше, чем речевого.
Следует особое значение придавать и формированию их социальной зрелости, поскольку эта характеристика является ведущей в умственном развитии здоровых, а у олигофренов оказывает наименьшее влияние на развитие других сторон интеллекта.
В структуре интеллекта олигофренов развитие каждой психической характеристики более жестко зависит от того, насколько развиты все другие интеллектуальные функции. Чем глубже умственное недоразвитие, тем более выражена эта зависимость.
Подводя итог можно отметить, что тема дипломной работы, ее цели и задачи решены, и полученные данные позволили подтвердить гипотезу исследования.
Библиография
1. Акимова М.К., Борисова Е.М., Гуревич К.М., Козлова ВТ., Логинова Г.Т. Руководство к применению группового интеллектуального теста (ГИТ) для младших школьников. - Обнинск, 1993. - 40с.
2. Брунер Дж. Психология познания. -М.: Прогресс, 1977. - 197с.
3. Вайзман Н.Реабилитационная педагогика - М.: Аграф, 1996. - 160 с.
4. Венар Ч., Кериг П. Психология развития детского и подросткового возраста. - СПб.: ПРАЙМ-ЕРОЗНАК, 2004. - 384 с.
5. Власова Т.А., Певзнер М.С. О детях с отклонениями в развитии. - М.: просвещение, 1973, - 175 с.
6. Выготский Л.С. Психология подростка. - М.:Педагогика, 1982. - 361с.
7. Дружинин В.Н. Психология общих способностей - СПб.: Питер, 1999.-275с.
8. Дубровина И.В. Психическое здоровье детей и подростков в контексте психологической службы. - М.: Академия, 2000. -160с.
9. Замский Х.С. Умственно отсталые дети -НПО, Образование, 1999. -460с.
10.Катаева А.А, Стребелева Е.А. Дошкольная олигофренопедагогика. - М.: ВЛАДОС, 1998. - 208с.
11.Кузнецова Л.В. Основы специальной психологии - М.: Академия, 2002.-480с
12.Кулагина И.Ю., Колюцкий В.Н Возрастная психология. - М.:ТЦ Сфера, 2001.-464с
13.Максименко С.Д. Общая психология. - М.:Рефл-Бук, 2000. -528с
14. Мастюкова Е.М Лечебная педагогика. - М.:ВЛАДОС, 1997. - 304с
15.Менделевич В.Д. Клиническая и медицинская психология. - М:Медпресс-информ, 2002.-592с
16.Немов Р.С Психология. -М.:ВЛАДОС, 2001.-688с
17.Певзнер М.С. Дети-олигофрены. -М.: Просвещение, 1959.-356с
18.Пиаже Ж Психология интеллекта.-СПб. .Питер, 2003 .-192с
19.Пузанов Б.П. Коррекционная педагогика.-М. .Академия, 1999.-160с
20.Райгородский Д.Я. Практическая психодиагностика. Методики и тесты.-Самара:БАХРАХ-М, 2003с-672с
21.Рубинштейн С.Л. Проблемы общей психологии. -М.гПедагогика, 1973с-407с
22.Сидоров П.И, Парняков А.В. Введение в клиническую психологию.-М.:Академический проект, 2000.-416с
23.Столяренко Л.Д. Основы психологии: Практикум. -Ростов н/Д.:Феникс, 2002.-704с
24.Холодная М.А. Психология интеллекта. -СПб.:Питер, 2002.-272с
25.Шадриков В.Д. Деятельность и способность.-М.:ЛОГОС, 1994.-206с
26.Школа и психическое здоровье учащихся./Под ред. Громбаха С.М.-М.:Медицина, 1988.-272с.
Приложение

Приложение

Последний лист дипломной работы
Дипломная работа выполнена мной совершенно самостоятельно. Все использованные в работе материалы и концепции из опубликованной научной литературы и других источников имеют ссылки на них.
«»2005 год
Похожие рефераты:
Наличие креативности у детей старшего дошкольного возраста с СДВГ
Начальное образование мальчиков и девочек в России: гендерный подход
Взаимодействие психических состояний и когнитивных процессов в ходе учебной деятельности студентов
Формирование познавательных способностей старшеклассников на уроках истории таджикского народа
Коррекционная педагогика. Возрастная психология
Когнитивное и личностное развитие старших подростков музыкальных школ
Развитие логического мышления учащихся при решении задач на построение
Коррекция зрительного восприятия детей с нарушением зрения на занятиях по конструированию
Детская практическая психология
Психологический анализ особенностей личности учителей с разными стилями педагогического общения