| Скачать .docx |
Дипломная работа: Анализ уровня суицидального риска у людей с аддиктивным поведением
Министерство образования и науки
Гуманитарный университет
Факультет социальной психологии
Дипломная работа по социальной психологии
Анализ уровня суицидального риска у людей с аддиктивным поведением
Студентка 5 курса ,
специальности психология:
Петрова Евгения Олеговна.
Научный руководитель ,
доктор медицинских наук:
Яворский Анатолий Анатольевич
Екатеринбург 2009
Оглавление
Введение
Глава I.
1.1 Исторический аспект суицидологии
1.2 Суицид, как социальный феномен
1.3 Классификация самоубийств
1.4 Концепции суицидального поведения
1.5 Роль аддикции в формировании суицидального поведения
Глава 2.
2.1 Суицид как следствие социально-психологической дезадаптации личности
2.2 Психология переживаний
2.3 Депрессия и суицид
2.4 Аномалии личности и суицид
Выводы по теоретической части
Глава 3.
3.1 Организация и выбор методик исследования
3.2 Анализ результатов исследования
Выводы по эмпирической главе
Заключение
Список литературы
Введение
По выражению Альберта Камю "есть только одна по настоящему серьезная философская проблема - проблема самоубийства. Решить, стоит или не стоит жизнь того, чтобы ее прожить, - значит ответить на фундаментальный вопрос философии". Серен Кьеркегор проблему самоубийства относил к вершинам жизненной мудрости. "Самоубийце свойственно то, что он смотрит на свое "я" как на какое-то опасное, ненадежное и незащищенное порождение природы, кажется себе чрезвычайно незащищенным, словно стоит на узкой вершине скалы, где достаточно маленького внешнего толчка или крошечной внутренней слабости, чтобы упасть в пустоту" (Г. Гессе). [15]
Суицид - это самодеструктивное поведение человека, направленное на намеренное лишение себя жизни. От самоубийства погибают лица разного возраста, профессий, культурного уровня. Исходя из того, что самоубийство это деяние умышленное, а значит, человек намеренно хочет лишить себя жизни, у него есть цель. Цель совершения акта самоубийства. В качестве мотивов выступают осознанные побуждения, которые создают решимость человеку реализовать указанную цель. Мотивы и поводы самоубийства: лично-семейные конфликты, состояние здоровья, конфликты, связанные с антисоциальным поведением суицидента, конфликты, связанные с работой или учебой, материально-бытовые конфликты. [31]
За дебрями всевозможной статистики, часто упускается главное - это личностный, неповторимый характер сознательного сведения счетов с жизнью.
Среди мотивов объясняющих суицид, среди молодежи и подростков многие психологи указывают на различные способы оказать влияние на других людей. Дать человеку понять в каком ты отчаяние около 40% случаев, заставить человека, сожалеть, который плохо с тобой обращался 30%, показать, как ты любишь человека 25%, повлиять на другого, чтобы он изменил свое решение 25%, и только 18% призыв помощи. [36]
В настоящее время существуют достаточно противоречивые точки зрения различных исследователей на феномен суицида и вызывающие его причины. Тем не менее, большинством суицидологов признается, что суицидальное поведение имеет многофакторную природу, в которой социально-психологические факторы играют достаточно значимую роль.
За последние годы резко повысился уровень самоубийств, что многие причинно связывают с увеличением употребления, особенно молодежью, алкоголя и различных наркотических веществ. По данным ряда авторов уровни суицидов среди наркоманов и алкоголиков приблизительно одинаковы и составляют в среднем 7% пациентов с алкогольной или наркоманической зависимостью. У многих людей риск суицида не обязательно возникает как итог тяжелой зависимости. У многих при чрезмерном употреблении алкоголя и состоянии опьянения повышается риск несчастных случаев, агрессии и суицида в силу снижения способности к контролю своих побуждений и конструктивному мышлению. [13]
Слово "суицид" обычно произносится шепотом, оно не подходит для любой компании. Семья и друзья часто притворяются, что не слышат этого ужасного слова, даже когда оно произнесено. Дело в том, что суицид - это предмет табу, которым отмечена не только жертва, но и оставшиеся в живых.
Е. Эскироль однозначно считал, что только в состоянии безумия человек способен покончить с собой и все самоубийцы - душевнобольные. Известный суицидолог Г. Гордон в предисловии к первому изданию книги Э. Дюркгейма "Самоубийство" писал: "Мы допускаем, стало быть, что при известных условиях каждый из нас может стать самоубийцей независимо от состояния своего здоровья, умственных способностей, окружающих условий жизни и т.д. К реакциям в форме самоубийства способны не только больные и болезненные, но и здоровые души, совершенно нормальные по своим качествам и эмоциям". [16]
С точки зрения К. Ясперса, психиатры, обозначая самоубийство термином "суицид", относят тем самым этот поступок к сфере чистой объективности. Вся наша жизнедеятельность опосредована понятийными характеристиками и субъективное представление о самоубийстве - страшно, тогда как суицид - объективированное понятие - предстает как медицинский диагноз. Только слово "самоубийство" с необходимостью требует вместе с осознанием его объективности как факта представить весь ужас заключенного в данном поступке вопроса. [10]
Широко известны факты единичных и массовых самоубийств в животном мире. Например, самоуничтожение китов и дельфинов, когда некоторое их количество выбрасывается на берег. Часто встречаются случаи отказа от пищи диких животных, попавших в неволю, или броски в пропасть парнокопытных, преследуемых хищниками. Известно аутоагрессия у скорпионов при крайней опасности. Безусловно, такое поведение животных нельзя рассматривать как осознанное, преднамеренное действие, скорее оно диктуется на уровне инстинкта при неблагоприятных, угрожающих виду, изменениях в среде обитания. По мнению А.А. Горбовского, самоубийства у животных происходит тогда, когда плотность особей данного вида превышает некоторое критическое число на определенной территории. [22]
Сознательное прекращение собственной жизни присуще исключительно человеку. Принятие решения о самоубийстве зависит от того, насколько жизненная ситуация является критичной для индивида и личностно значимой, а также от степени его включенности в социум. Виды и способы самоубийств находятся в прямой зависимости от смысла придаваемого суициду в различных этнокультурах, особенностей религии, доминирующего мировоззрения, культуры, степени следования общества своим обычаям и традициям, распространенности определенных поведенческих моделей в обществе и уровня их социальной оценки. По мнению Э. Гроллман суицид является чем-то большим, чем частное, личное решение: это болезнь цивилизации. [43]
Суицидология как специфическая область знаний и как наука со своеобразным направлением исследований является общепризнанной и имеет собственный объект и предмет исследования, теоретический, терминологический и методический аппарат, а также свои достаточно четко определенные концептуальные положения и принципы.
Термин "суицидология" возник в 20-е годы прошлого столетия и отражает многоплановую сферу теоретических и практических исследований феномена самоубийств. Начало научного подхода к проблеме суицидов датируется 80-90 годами XIX века, когда впервые стали появляться объективные сведения статистико-социологического плана. Этому способствовал неуклонный рост самоубийств во многих странах Европы и Америки. Было установлено и в дальнейшем фактически подтверждено соотношение числа душевнобольных и практически здоровых самоубийц как 1: 3-1: 4, а также более высокий, чем в популяции, процент суицидов среди служащих армии и полиции. Этот первоначальный этап получил завершение в капитальном труде Э. Дюркгейма, который впервые стал рассматривать самоубийства в социальном контексте с соответствующей классификацией, создав по существу теорию суицидального поведения, не потерявшей свое значение и по настоящее время. [2]
Цель: исследовать степень угрозы суицида и уровень депрессии в особенности у лиц с деструктивной формой поведения.
Задачи:
· Изучить научную литературу по суицидологи.
· Сформировать выборку.
· Исследовать условия формирования суицида.
· Исследовать уровень депрессии.
· Исследовать степень угрозы суицида.
Глава I.
1.1 Исторический аспект суицидологии
Самоубийство - одна из вечных проблем общества, поскольку существует как явление практически столько же, сколько существует на земле человек. В ходе исторического развития взгляды на сущность добровольного ухода из жизни существенно менялись, как и его моральная оценка. Попытки осмысления этого явления с философских и научных позиций проводились постоянно с древних времен и по настоящее время. Повышенный интерес к многообразным аспектам суицидального поведения со стороны различных специалистов сменялся затем периодами запрета и умалчивания этой проблемы. В основном, это обусловлено противоречивым отношением к сущности самоубийства (понятию "жизни - смерти") со стороны различных философских течений, религиозных постулатов, политических убеждений, а также принятием некоторых законодательных законов.
Термин "суицид" впервые был употреблен в книге сэра Томаса Брауна, написанной в 1635 году и опубликованной в 1642 году. В Оксфордском словаре термин "суицид" впервые появился в 1651 году, однако употреблялся он редко. Чаще использовалось понятие "самоуничтожение", определявшее ситуацию, при которой смерть человека наступала в результате "убийства самого себя", что заведомо вызывало осуждение, а порой и наказание, со стороны церкви и общества. [25]
В русском языке конкретный термин "самоубийство" появился в 1704 году в "Лексиконе треязычном". Однако задолго до этого термина упоминание о факте "убийства самого себя" существовало в Кормчей книге - сборнике правил православной церкви. [26]
Законодательная оценка самоубийства и покушения на самоубийство в России была предпринята в первом нормативном документе "Запись о душегубстве", появившейся в 1456-1462 годах. В ней самоубийство приравнивалось к убийству и влекло за собой существенные ограничения - лишение церковного обряда погребения, захоронение за пределами кладбища и т.д. В первом своде систематизированных законов, получившем название "Уложение царя Алексея Михайловича" (1649), самоубийство вообще не рассматривалось и не подлежало правовой оценки. Ситуация кардинально изменилась во времена правления Петра I. Самоубийство и покушение на него не наказывались только тогда, когда их причиной служил те или иные "смягчающие обстоятельства": голод, физические или психические болезни и др. Во всех остальных случаях попытка самоубийств каралась смертной казнью, а лица, покончившие с собой, лишались традиционных обрядов отпевания и погребения. Аналогичные меры предусматривались и во Врачебном уставе Свода законов Российской империи, в котором до 1857 года сохранялась статья гласившая, что "тело умышленного самоубийцы надлежало палачу в бесчестное место направить и там закопать". [12]
В России упоминание о мерах по предупреждению самоубийств впервые встречается в 1716 году. Так, в Воинском и Морском уставах Петра I содержаться следующие указания: "Ежели кто сам себя убьет, - то подлежит палачу мертвое его тело за ноги повесить; привязав к лошади, волоча по улице, в бесчестное место отволочь и закопать, дабы, смотря на то, другие такого беззакония над собой чинить, не отваживались".
На территории России вплоть до 1917 года действовало Уложение в редакции 1885г., предусматривавшее суровые меры наказания, заключающиеся, в частности, в непризнании права "сознательных самоубийц" делать предсмертные распоряжения, отчего их завещания лишались законной силы. При этом, покушавшемуся полагалось тюремное заключение сроком от полугода до года, на него накладывалось церковное покаяние, а погибший лишался церковного отпевания и соответствующего погребения. По статье 1474 Российских законов не подвергались наказанию за самоубийство только лица, лишившие себя жизни 2по великодушному патриотизму, для сохранения государственной тайны", а также женщины, покончившие с жизнью "ради сохранения целомудрия и своей чести". [38]
Несмотря на то, что в последующем варианте Уложения (1903) отношение к самоубийству и покушению на него оставалось неизменным, все же обсуждался вопрос о признании подобных ситуаций ненаказуемым деянием и "смягчения" наказания в отношении лиц, покушавшихся на самоубийство. Более "демократичное" отношение к таким лицам имело место в ряде стран Европы. Так, во Франции (в 1804г.) Наполеон отменил судебное преследование покушавшихся на жизнь. [42]
С начала XIX века самоубийства вошли в свод законов Российской империи и расценивались в них как уголовное преступление. В 1922 году в первом отечественном Уголовном кодексе самоубийства и попытка самоубийства были исключены из состава преступления. В последующих кодексах включалась статья "За доведение до самоубийства", предусматривавшая лишение свободы сроком на 5 лет, однако на практике она применялась весьма редко. [30]
Определение самоубийства с научных позиций впервые было дано в классическом труде французского социолога Э. Дюркгейма: "Самоубийством называется каждый смертный случай, который непосредственно или посредственно является результатом положительного или отрицательного поступка, совершенного самим пострадавшим, если этот последний знал об ожидавших его результатах". Более простое определение в дальнейшем дал М. Фарбер (1968): "Самоубийство - это сознательное, намеренное и быстрое лишение себя жизни".
Общепризнанным в России является определение, данное основоположником отечественной суицидологии А.Г. Амбрумовой (1974): "Суицидальное поведение - это следствие социально-психологической дезадаптации личности в условиях переживаемого микроконфликта". [12]
В 2005 году исполнилось 30 лет отечественной суицидологической науке. В 1975 году А.Г. Амбрумовой совместно с ВНИИ МВД СССР под руководством С.В. Бородина был организован отдел суицидологи, а затем и Федеральный научно-методический центр суицидологи при Московском НИИ психиатрии МЗРСФСР. Все приходилось начинать с нуля, начиная от получения доступа к закрытой служебной информации по уровню суицидов в стране, планирования исследовательской работы в совершенно новой области знаний, организационных мероприятиях. Приходится поражаться тому объему знаний, который был накоплен за первые 14 лет. Была создана оригинальная теоретическая база, которая намного превосходила зарубежные теории, и которая не потеряла свою ценность и по настоящее время. Более того, современные научные находки вполне согласуются с концепцией социально-психологической дезадаптации как одной из причин суицида. Большое внимание уделялось изучению особенностей личности. Кажется, нет такой области суицидологи, в которой бы не проводились углубленные исследования. Это касалось почти всех отделов психиатрии и наркологии в возрастном аспекте, начиная от пограничной. Была разработана типология и динамика суицидального поведения. Много внимания уделялось суицидам у практически здоровых, что в то время встречало не только не понимание, но и определенное сопротивление. Впервые в стране А.Г. Амбрумовой были описаны непатологические ситуационные реакции в суицидологии. Была разработана и создана уникальная суицидологическая служба первичной и вторичной превенции суицидов, не имеющая аналогов за рубежом. О деятельности центра суицидологии моно писать очень много, включая его научную и организационную активность по оказанию помощи регионам и созданию суицидологической службы в стране. За годы существования суицидологического центра в нем работали более полусотни сотрудников, не считая тех, кто прошел обучение на базе центра. Многие разъехались по всему миру от Канады до Новой Зеландии. Некоторых уже нет в живых. [42]
1.2 Суицид, как социальный феномен
Определение суицида, их существует множество. Я приведу лишь малую часть из них. Суицид - это самодеструктивное поведение человека, направленное на намеренное лишение себя жизни. Самоубийство - это намеренное, осознанное, целенаправленное лишение себя жизни, тогда можно выделить внутренние и внешние формы психических актов, направляемые представлениями о лишении себя жизни:
1) Внутреннее суицидальное поведение: а) пассивно-суицидальные мысли, б) суицидальные замыслы, в) суицидальные намерения.
2) Внешние формы суицидального поведения: а) суицидальная попытка, б) завершенный суицид.
3) По цели: а) истинное самоубийство, покушение и тенденции; б) демонстративно-шантажное суицидальное поведение.
4) По личному замыслу: а) протест - месть, б) призыв, в) избегание (нападение и страдание), г) самонаказание, д) отказ.
5) Постсуицидальное состояние: а) критическое, б) манипулятивное, в) аналитическое, г) суицидально-фиксированное.
6) По течению: а) ближайший постсуицид (в течение первой недели после совершенной попытки), б) ранний постсуицид (от первой недели до 30 дней), в) поздний постсуицид (последующие 4-5 месяцев). [20]
От самоубийства погибают лица разного возраста, профессий, культурного уровня. Исходя из того, что самоубийство это деяние умышленное, а значит, человек намеренно хочет лишить себя жизни, у него есть цель. Цель совершения акта самоубийства. В качестве мотивов выступают осознанные побуждения, которые создают решимость человеку реализовать указанную цель. Мотивы и поводы самоубийства имеют следующие группировки:
I. Лично-семейные конфликты:
II. 1) развод, семейные конфликты,
III. 2) болезнь, и смерть близких,
IV. 3) одиночество,
V. 4) неудачная любовь,
VI. 5) оскорбление со стороны окружающих,
VII. 6) половая несостоятельность.
У этой группы характерным является возраст 16-45 лет, а по мере возрастания роль лично-семейного конфликта становится меньше.
II. Состояние здоровья:
1) психические заболевания,
2) соматические заболевания,
3) уродства. Суициденты, страдающие соматическими заболеваниями (чаще это старшего возраста). Удельный вес самоубийц старшего возраста в 17 раз больше, чем суицидентов 20-25 лет. Суициденты страдающие психическими заболеваниями - люди среднего и старшего возраста, т.е. больше 30 лет. Неблагоприятный возраст 40-45 лет имеющие уродства чаще молодежь от 16 до 25 лет.
III. Конфликты, связанные с антисоциальным поведением суицидента:
1) Опасение уголовной ответственности,
2) боязнь иного наказания или позора. Особенности не установлены. Однако суициденты этой группы имеют в анамнезе (прошлой жизни) девиацию поведения. Удельный вес завершенных суицидов в 2 раза выше, чем покушений.
IV. Конфликты связанные с работой или учебой:
1) конфликты на работе,
2) неуспехи в учебе. Эта группа представлена суицидентами молодого возраста. Удельный вес покушений превышает долю завершенных суицидов, что дает основание предположить о демонстративно-шантажном характере покушений.
V. Материально-бытовые конфликты. В этой группе суициденты представлены субъектами морально-нравственной деградацией.
VI. Другие конфликты. [ 1]
Выделяют два вида самоубийств, прямым образом связанных с социальными причинами:
1) общество в определенной ситуации требует от своих членов самопожертвования. И это заложено в общественных нормах. Человеческая жизнь считалась лучшей гарантией успешности многих мероприятий. В Индии обычай "сати" практически до 19 века являлся обязательным ритуалом, самоубийство женщин ради сохранения своей чести. Самоубийство в истории общества также рассматривалось как способ выражения гнева, протеста против оскорблений, средством восстановления своей чести.
2) К другим видам самоубийства связанными с социальными причинами является тот случай, когда общественное положение какой-либо группе людей по независимым от них причинам настолько тяжело и невыносимо, что суицид кажется единственным выходом. Могут быть очевидными в следующих вариантах: а) протестанты более склонны к суициду, нежели католики, б) одинокие люди, чаще женатых добровольно расстаются с жизнью, в) процент велик в странах с неустойчивой экономикой и политическим устройством, г) репрессивные политические системы создают в стране суицидальную обстановку. [23]
За дебрями всевозможной статистики, часто упускается главное - это личностный, неповторимый характер сознательного сведения счетов с жизнью.
Среди мотивов объясняющих суицид, среди молодежи и подростков многие психологи указывают на различные способы оказать влияние на других людей. Дать человеку понять в каком ты отчаянии около 40% случаев, заставить человека, сожалеть, который плохо с тобой обращался 30%, показать, как ты любишь человека 25%, повлиять на другого, чтобы он изменил свое решение 25%, и только 18% призыв помощи. [38]
У суицидентов имеет место несколько мотивов одновременно.
Выделены пять наиболее часто встречающихся типов личностных реакций, которые обладают потенциальной суицидоопасностью:
1) эгоцентрическое переключение характеризуется острым началом в ответ на острый конфликт, кратковременным течением, внезапным появлением идеи суицида, в структуре аффектов переживаний охватом всей психической деятельности, отсутствие борьбы мотивов, критическим выходом из этого состояния, полным восстановлением критики. Такие реакции чаще возникают у личности с чертами астеничности, агрессивности и могут трансформироваться в синдром измененного состояния сознания.
2) душевные боли или психология характеризуется: - преобладают аффективные реакции, соответствующие модальности тоски, имеет место тревога, с ощущением душевной боли и раздражительностью, - борьба за избавление от страданий, - нет симптоматики. Реакция психологии крайне суицидоопасна, когда возникает у личности с эмоциональной неустойчивостью, могут переходить в депрессивное состояние.
3) негативные интерперсональные отношения. Переживание негативных отношений это такие состояния, которые сопровождаются мучительной сосредоточенностью на представлении с отрицательным отношением к субъекту высоко значимых для него лиц. Характеризуется: интерперсональной фиксацией, ценностным сужением, т.е. ярким доминированием сознания выбранного объекта отношений, возникновение порочного круга, когда человек стремясь оторваться от источника боли, еще сильнее привязывается к нему, длительным пресуицидальным периодом, возникновении тенденции гетероагрессии, с последующей трансформацией в аутоагрессию, встречаются как истинные, так и демонстративно-шонтажные покушения, при разрушении конфликта суицидальные намерения прекращаются.
4) реакция отрицательного баланса характеризуется: - рациональным подведением жизненных итогов оценкой пройденного пути, определением реальных перспектив существования, - подведение баланса предполагает высокий уровень критичности, четкость и реальность личностного ядра, а поведение в пресуициде свидетельствует аффективной напряженности, - подготовка к суициду носит тщательный и скрытый характер, выбираются наиболее летальные способы суицида, такое поведение наблюдается у лиц с неизлечимой болезнью у одиноких престарелых.
5) реакции смешанные или переходные, которые доказывают принципиальную общность типов и наличие для них единых, базисных механизмов. [13]
Развитие суицидальных тенденций и реализация суицидальных намерений, возможны при совпадении в жизни человека следующих категорий:
1) Высокого уровня психологической готовности.
2) "Горячей точки" или западения в профиле биографии.
3) Стрессовой, конфликтной, ситуационной нагрузки.
В центре профилактики суицида предложили три категории причин смерти:
1) ненамеренная смерть, индивид не играет активной роли.
2) преднамеренная, в которой жертва играет активную роль, совершая импульсивные действия.
3) полунамеренная это смерть, которой жертва играет частично бессознательно.
1.3 Классификация самоубийств
Ш. Радо известный психоаналитик ввел термин фаркомотимия - для своеобразного расстройства психики при котором наркотики употребляются с целью утомления физической боли. Наркотикам приписываются магические свойства. Токсические эффекты наркотиков также как и алкоголя предрасполагают к широкому кругу болезней (гепатит, эндокардит и т.д.). У наркоманов эти заболевания возникают из-за приемов таблеток и инъекций. Наркоманы страдают от общего стиля жизни, который характеризуется недостаточным питанием. Они имеют: 17% риска заразится СПИДом. Многие наркоманы и другие потенциальные самоубийцы чувствуют себя нелюбимыми окружающими. Установлено, что те, кто не оставил надежду на любовь не совершают самоубийство. Для некоторых людей есть два выхода либо наркотики, либо суицид. Суицид по своей сути является убийством на изнанку и не должно быть оправдано, оно должно быть предотвращено. [46]
Э. Росс , изучая психологию этапов переживания, приближения смерти выделила, следующие этапы:
1) Отрицание - "это не может случиться со мной" - форма защиты.
2) Гнев направлено группе или отдельному человеку. Проявляется в ярости, зависти или возмущении.
3) Сделка этот этап является сделкой, в которой ставкой становится человек либо жизнь.
4) Депрессия, она моет быть формой предсмертного горя. Все вокруг кажется мрачным, человек становится пророком собственной обреченности.
5) Принятие - индивид, скорбя о грядущей потере, начинает думать о смерти с Олей тихого ожидания. Установлено, что 2% населения переживают эту стадию. [16]
Категории тяжело больных, обдумывающих самоубийство:
1) испытывают интенсивную потребность контролировать всех и вся.
2) Им прямо сообщают о том, что у них неизлечимое заболевание (пересадка органов и т.д.).
Э. Дюркгейм классификация:
1) маниакальное самоубийство бывает у людей с галлюцинациями.
2) самоубийство меланхоликов (высшие упадки духа)
3) самоубийство, одержимое навязчивыми идеями (мысль о смерти)
4) самоубийство автоматическое или импульсивное от внезапного импульса. [31]
Среди современных суицидологов признание получает представление о том, что суицид является сложным биосоциальным феноменом результатом воздействия на индивида социально-культурных, патопсихологических факторов.
К саморазрушительному поведению наряду с суицидом Фром в ряде случаев относит:
1) злоупотребление алкоголем, наркотическими средствами.
2) намеренная рабочая перегрузка.
3) упорное нежелание лечится.
4) рискованный стиль вождения транспортных средств, особенно в нетрезвом состоянии.
5) упорное стремление к поездкам в зону боевых действий.
6) неоправданный риск (спортивный).
В более широком смысле аутодеструктивные действия считаются некоторые религиозные обряды, которые сопровождаются самоистязанием и жертвами. Все осознанные гетеро и аутоагрессивные действия, которые приводят к массовому или индивидуальному разрушению и самоуничтожению людей. [2]
В нашей стране распространена концепция А.Г. Амбрумовой, суть ее: суицид это социально-психологическая дезодаптация личности в условиях переживаемого микросоциального конфликта.
Э. Дюркгейм в 1897 году в своей классической работе выделял четыре типа суицида: аномический, фаталистический, эгоистический и альтруистический. Первые два относятся к регуляции социальной жизни общества. Аномический суицид (аномия - нарушение закона) имеет место в обществах с внезапным снижением/нарушением регуляции социальной жизни, взаимоотношения индивида и общества. Эти самоубийства характерны для лиц, потерявших связи с референтной группой, привычным укладом жизни, ценностными установками, соответствующей религией. Типичными примерами таких суицидов являются внезапная безработица, разводы, вынужденная миграция, экономические потрясения. Рост аномических суицидов увеличивается при социальной нестабильности, нарушении общественных ценностей. Фаталистические суициды имеют место в автократических обществах, общественных структурах с повышенной регуляцией поведения личности. Это относится к тюрьмам, армии, военизированным организациям. Эгоистические суициды характерны при недостаточной интеграции общества, референтной группы, семьи. Общественные формации перестают регулировать, определять поведение человека. Индивид не связанный с ними, оказавшись в одиночестве, больше подвержен суицидальному поведению. Типичными примерами эгоистических суицидов бывают среди разведенных, стариков и больных людей с чувством утраты своего "Я" как части общества. Альтруистические суициды имеют место, когда социальная интеграция является излишней и индивид плотно интегрирован в обществе, референтной группе. Альтруистические суициды совершаются тогда, когда индивид в соответствии с общественными нормами, правилами, регламентом исполняет суицидальный акт. Это может быть ритуалом, например, сати среди вдов в Индии, харакири среди потерпевших поражение мужчин в Японии, героические поступки с самопожертвованием. К ним моно отнести и суициды ради благополучия семьи. Классификация лиц, совершающих суицидальные попытки, включает и серьезность намерений жертвы, и степень физического ущерба вследствие попытки. [24]
1.4 Концепции суицидального поведения
В настоящее время существуют достаточно противоречивые точки зрения различных исследователей на феномен суицида и вызывающие его причины. Тем не менее, большинством суицидологов признается, что суицидальное поведение имеет многофакторную природу, в которой социально-психологические факторы играют достаточно значимую роль.
Социологическая концепция.
Известный французский исследователь Э. Дюркгейм (1999) впервые связал экономические критические ситуации, разобщенность в обществе с ростом числа самоубийств. Теория самоубийств Эмиля Дюркгейма зиждется на социальной организации и культурных традициях общества. Смысл его теории заключен в целостном рассмотрении соответствующего общества и его культуры в качестве причин самоубийств. Когда вся сеть социальных отношений хорошо интегрирована, то тогда существует высокая степень социального сцепления; люди ощущают себя жизненными и необходимыми частями общества, к которому они принадлежат; они свободны от чувств психосоциальной изоляции, одиночества или забытости. Такой тип организации оказывает мощный ингибирующий эффект на тенденцию самоубийств. Культура такого общества действует в том же направлении. Поскольку общество интегрировано и поскольку это единство ощущается его членами, его культура также является единой. Ее ценности принимают и разделяются всеми его членами, рассматриваются как надындивидуальные, бесспорные и священные. Такая культура не поощряет самоубийства, и становятся мощным антисуицидальным фактором. Напротив, общество с низкой степенью сцепления, члены которого слабо связаны меду собой и с референтной группой; общество с запутанной сетью социальных норм, с "атомизированными" и "релятивизированными" культурными ценностями, не пользуются всеобщим признанием и являются делом простого личностного предпочтения, - относится к мощному генератору самоубийств, независимо от климатических или экономических условий и состояния психического и физического здоровья его членов. [10]
Другим обществом, при котором растет число суицидов, является общество диктаторского направления с ограничением свобод личности, жесткой регламентацией его поведения.
Эмиль Дюркгейм утверждал, что самоубийство, которое в то время считалось личностным феноменом, может быть лучше объяснено как реакция человека на особенности, в котором он живет. Частоту саморазрушения можно четко связать с определенными социальными условиями. Он установил взаимосвязь суицида - поступка конкретного индивида - с окружением, в котором он существует. Согласно теории Дюркгейма существует три основных вида суицидов. Большинство суицидов эгоистичны. Саморазрушение в этом случае объясняется тем, что индивид чувствует себя отчужденным и разъединенным с обществом, семьей и друзьями. Существует также аномическое (от аномия - "бесправие") самоубийство, которое возникает, если человек терпит неудачу в адаптации к социальным изменениям. Такие суициды часты во времена общественных кризисов, таких как экономическая депрессия, или, наоборот, во времена процветания, когда суициды совершают нувориши, которые не могут приспособиться к новым для них стандартам жизни. Последним типом является альтруистическое самоубийство, при котором авторитет группы на индивидом является столь большим, что он теряет свою идентичность и в силу этого жертвует собой на благо общества. [9]
Не отрицая роли психологических, психопатических, генетических и других факторов в генезе суицидального поведения при индивидуальных суицидах, он полагал, что в масштабах социума действует преимущественно социальные закономерности. Их сформулировал следующим образом:
количество и уровень самоубийств зависят от степени сплоченности, интегрированности общества;
суициды неравномерно, но закономерно различно распределяются в различных социальных группах (слоях общества);
количество, уровень и динамика самоубийств коррелируют с иными социальными процессами - числом несчастных браков, разорений, банкротств преступлений;
суицидальная активность имеет сезонных характер и, так или иначе, совпадает с сезонными колебаниями иных социальных процессов;
эгоизм, альтруизм, аномия, фатализм, как причины и условия суицидов, обусловлены социальными факторами и положены Э. Дюркгеймом в основу классификации;
суицидальная активность остаточно тесно связана и зависит от экономических кризисов, "брачной аномии", конфессиональной принадлежности, службы в армии, политический кризисов.
Биологическая концепция.
Многие авторы, хотя и признавали роль средовых воздействий, высказывали мнение, что психически здоровый человек не может отвечать аутоагрессивными действиями на жизненные трудности. Эту точку зрения поддерживают в первую очередь исследователи биологической концепции суицидального поведения, которые считают, что вследствие биологических или психических нарушений некоторые индивиды имеют особую уязвимость к суициду. В последние годы большое внимание уделяется нейробиологическим механизмам суицидального поведения, причем эта форма поведения рассматривается как самостоятельный паттерн, присущий человеческому индивиду, и, очевидно, имеющий некий более или менее специфические механизмы. Основными объектами исследований являются серотонинергическая и моноаминергическая системы мозга, в последнее время - система ГАМК, а также системы нейрогуморальной регуляции, отвечающие за реагирование на стрессовые воздействия и адаптацию, иммунная система и общебиохимические механизмы, связанные с обменом холестерола и высших жирных кислот. Были выделены, так называемые, биологические корреляты суицидального поведения, такие как снижение 5-HIAA, который является основным продуктом распада серотонина, что особенно характерно для так называемых импульсивных и жестокий суицидальных актов. В патогенез суицидального поведения включают также гормональный ответ на высвобождение серотонина, в частности пролактина. [3]
Интерес к проблеме самоубийства, которая в основе своей является многофакторной, междисциплинарной, резко усилился в связи с прогрессом молекулярной генетики и достижениями в области нейробиологии суицидального поведения. Появилась реальная перспектива, с одной стороны, в ходе доказательных исследований выявить, какие генные аллели ассоциируются с аутоагрессивным поведением в разных его проявления и построить новые нейробиологические гипотезы. С другой стороны, стала реальной перспектива получить для практического использования предикторы суицидального поведения путем выявления генетических маркеров, что сегодня технически уже является рутинной процедурой. Однако полученные результаты в области генетических коррелятов являются предварительными и нуждаются в дальнейших исследованиях. Следует отметить, что во многом биологические находки зиждются на психиатрическом материале, в частности на депрессиях.
А.Г. Амбрумова, Л.И. Постовалова считают, что следует ставить вопрос не о генетической предрасположенности к суициду, а о поиске социальных и психологических причин повторяемости суицидального поведения в нескольких поколениях. На их взгляд, истинной суицидальной наследственности не существует. Наследуется не склонность к суициду, а психопатологическая и социально-психологическая основа или почва для возникновения условий дезадаптации личности к социальной среде. Если в семье нет лиц, страдающих психическими заболеваниями, то повторяемость из рода в род самоубийств сочетается обычно с личностным своеобразием, с акцентуацией характера, и с другими проявлениями нервной неустойчивости, относящимися к пограничным расстройствам. В частности, наиболее часто встречаются суициды в семьях, имеющих в своем составе лиц с циклотимическими расстройствами - не в плане маний, а с преобладанием дистимических и депрессивных фаз. Воспроизводится семейная среда и неадекватные формы поведения и в семьях больных, чему способствует не только генетическая наследственность, но и характер воспитания детей эмоционально холодными материями, или людьми, ощущающими себя в другой действительности, подчиняющимися другим нормам и находящими в событиях и вещах особый символический смысл. [8]
Психологическая концепция.
З. Фрейд первый пытался объяснить суицид как выражение неосознанных интрапсихических конфликтов, например, неосознанной враждебности по отношению к внутренне любимому объекту. С этой точки зрения суицид моет рассматриваться как 2убийство на 180 градусов". В качестве психологической причины суицида З. Фрейд рассматривал отца, но он никогда не писал специальных работ о суициде. Многие из его ранних взглядов содержатся в знаменитой работе 1917г. "Печаль и меланхолия", в которой он приводит психодинамическое объяснение депрессии. В частности, Фрейд сравнил тяжелую депрессию с нормальным чувством горя вследствие утраты. Он предположил, что большинство индивидов справляются с потерей любимого человека посредством переживания горя. Однако Фрейд считал, что существуют отдельные восприимчивые индивиды, для которых чувство утраты непереносимо и вызывает чрезмерный гнев. Данные индивиды испытывают амбивалентное ощущение. С помощью интернализации они сохраняют ментальный образ любимого человека, и он становится частью Эго. Гнев, направленный на любимый объект, невозможно выразить и, вследствие этого, они трансформируют его в самоосуждение и хотят наказать себя. Когда данные ощущения достигают критического уровня, они могут привести к позыву на самоуничтожение. В более поздних работах он вновь затрагивал тему суицида. Фрейд представлял индивидов в виде закрытой энергосистемы, количество психической энергии (либидо) в которой в каждый отдельный момент времени ограничено. Он предполагал наличие двух основных сил - Эроса и Танатоса, находящихся в динамическом равновесии. Эрос является жизненной силой, направленной на выживание, а Танатос, инстинкт смерти, побуждает нас к прекращению существования. В течение жизни индивида между данными силами существует постоянное взаимодействие. Фрейд считал, что угрожающие мысли и переживания таятся в подсознании, питаясь энергией либидо. В результате использования данной энергии подобным образом, равновесие системы может нарушаться в направлении недостатка доступной энергии для роста и развития. В такой ситуации возникает риск, что жизненные силы личности могут оказаться вытесненными силами смерти. Эрос со временем стареет, вечный же Танатос остается в высшей степени напористым "до самого конца, на всем протяжении жизни человека, достигая своей цели лишь приводя его к смерти". [33]
По существу, Фрейд рассматривал суицид как возможность выхода из этой интрапсихической борьбы. Хотя, по его мнению, суицид и убийство представляют собой проявления импульсивного и разрушительного влияния Танатоса, но убийство - это агрессия, устремленная на других, а суицид - это агрессия, направленная на себя. Однако очень важно, подчеркивал Фрейд, что убийство нельзя оправдать, и оно моет быть предотвращено. Суицид также, по сути, является убийством наизнанку, но должен быть оправдан и может быть предотвращен.
Последователь школы психоанализа, американский ученый Карл Меннингер развил представления З. Фрейда о суициде, исследовав их глубинные мотивы. Он выделил три основные части суицидального поведения:
1) желание убить; суициденты, будучи в большинстве случаев инфантильными личностями, реагируют яростью на помехи или препятствия, стоящие на пути реализации их желаний;
2) желание быть убитым; если убийство является крайней формой агрессии, то суицид представляет собой высшую степень подчинения: человек не может выдержать укоров совести и страданий из-за нарушения моральных норм и потому видит искупление вины лишь в прекращении жизни;
3) желание умереть; оно является распространенным среди людей, склонных подвергать свою жизнь необоснованному риску, а также среди больных, считающих смерть единственным лекарством от телесных и душевных мучений. [13]
Таким образом, если у человека возникают сразу три опасных К. Меннингером желания, то суицид превращается в неотвратимую реальность.
К. Юнг считал, что самоубийство представляет собой процесс внутреннего конфликта, который производит "напряженность". Эта напряженность ведет к эквивалентности альтернативного пути, одним из которых является самоубийство. "Суицидальное поведение есть результат следования по разрешающему пути сопряженных решений, каждое решение, определяется порогами напряженности или аффектом". Он отмечал, что бессознательное стремление человека к духовному перерождению может стать важной причиной смерти от собственных рук. Люди не только желают уйти от невыносимых условий настоящей жизни, совершая самоубийство, они торопятся со своим метафорическим возвращением во чрево матери. Только после того, как они превратятся в вновь рожденных детей, появится чувство безопасности. Это стремление обусловлено актуализацией архетипа коллективного бессознательного, принимающего различные формы.
Адлер рассматривает суицидальное поведение как намеренное в процессе борьбы за успех лиц с чувством собственной неполноценности. Суицид в его понимании предстает, как акт сохранения своей индивидуальности в стремлении преодолеть жизненные проблемы и покорить значимых других. Смысл суицида сводится к желанию с одной стороны уничтожить значимых других, якобы ответственных за его сниженную самооценку, а с другой - вызвать у них сочувствие и осуждение их окружающими.
А.Г. Амбрумова полагала, что категория жизненного смысла - одна из наиболее общих интегральных характеристик жизнепонимания и жизнеощущения личности на индивидуально-психологическом уровне. В обыденных нормальных условиях проблема жизненного смысла не встает, перекрываясь обычно интересами бытия и его запросами. При этом, как правило, имеется негативное отношение к смерти, неприятие ее, отнесение ее в разряд трагических свершений. Смысл жизни представляет большое содержательное разнообразие, индивидуализированное в сознании конкретных лиц, с широким диапазоном оценок жизненного смысла соответственно личностной оптимистической или пессимистической установке. Наиболее уязвимыми в этом плане жизненными периодами, когда личность обращается к смыслу жизни и пересматривает ее ценность, являются юношеский и пожилой возраст. Обычно события и ситуации, заставляющие человека пересматривать свое отношение к прошлому и настоящему, совпадают с понятием психологического кризиса, характеризующегося блокадой жизненных целей. Небезынтересно, что для истинного суицида характерно не только выраженное негативное отношение к жизни, но, как ни парадоксально, и своеобразное позитивное ценностное отношение к смерти. [12]
1.5 Роль аддикции в формировании суицидального поведения
За последние годы резко повысился уровень самоубийств, что многие причинно связывают с увеличением употребления, особенно молодежью, алкоголя и различных наркотических веществ. По данным ряда авторов уровни суицидов среди наркоманов и алкоголиков приблизительно одинаковы и составляют в среднем 7% пациентов с алкогольной или наркоманической зависимостью. В США среди лиц, страдающих алкоголизмом, на 5% больше самоубийств, чем в общей популяции. В США, по крайней мере, у ¼ всех самоубийц наблюдалось злоупотребление алкоголем, причем риск совершения в течение жизни суицида у людей с алкогольной зависимостью не намного ниже, чем у страдающих депрессией. Факт, что около 60% самоубийств совершаются в состоянии алкогольного опьянения. [17]
У многих людей риск суицида не обязательно возникает как итог тяжелой зависимости. У многих при чрезмерном употреблении алкоголя и состоянии опьянения повышается риск несчастных случаев, агрессии и суицида в силу снижения способности к контролю своих побуждений и конструктивному мышлению. Алкоголь способствует краху когнитивных способностей, утрате гибкости мышления и возможности принимать альтернативные решения. Алкоголики, как правило, совершают самоубийство, если находятся в состоянии опьянения при наличии множества накопившихся проблем. Аутоагрессивные проявления у больных алкоголизмом, наркоманиями и токсикоманиями представлены тремя основными формами: суицидальным поведением, включающим тенденции, завершенные суициды и попытки, а также несуицидальными формами аутоагрессий - самоповреждениями и аутоагрессивными передозировками. По данным ВОЗ это имеет отношение к 40-60% всех суицидальных проявлений. В России 7-15% самоубийств приходятся на долю больных алкоголизмом. [24]
Суицидальные попытки больных алкоголизмом и токсикоманиями являются истинными или демонстративно-шантажными. Особое положение занимает вариант истинных суицидальных попыток, протекающих по типу импульсивного поведения, возникающего на высоте аффекта. Острые аффективно обусловленные суицидальные попытки причинно связаны с обострением компульсивного влечения и провоцируются часто объективно несущественным микросоциальным конфликтом.
Суицидальное поведение определяется триадой взаимодействующих суицидальных факторов: особенностью наркотической психопатизации личности, выраженностью патологического влечения к наркотику и личностной значимостью микросоциального конфликта. От степени выраженности каждого из названных факторов зависит вид суицидальной попытки. [10] По уровню летальности суициды при самоотравлениях находятся на втором-третьем месте, уступая самоповешениям. При этом доля лекарственных препаратов составляет более 65% всех случаев и такая тенденция скорее объясняется доступностью различных химических веществ, в частности лекарственных препаратов. Большинство авторов отмечают преобладание психотропных препаратов при реализации суицидальных тенденций, в частности транквилизаторов бензодиазепиного ряда.
Особенности суицидальных отравлений привлекают внимание не только психиатров, но и врачей других специальностей, оказывающих ургентную помощь суицидентам, которых в первую очередь интересуют влияние психопатологических расстройств на клинико-токсикологическую структуру и динамику отравлений. Психопатологическая симптоматика, в основном синдромы выключения и помрачения сознания, часто рассматриваются как критерии степени тяжести суицидальных отравлений.
Клинико-токсикологическая картина острых умышленных отравлений обуславливается дозой принятого вещества, временем экспозиции, преморбидным фоном, а чаще всего, ведущими медиаторными синдромами, которые являются результатом стимуляции или угнетения симпатической и парасимпатической систем. Определение медиаторного синдрома и степени его тяжести имеет важное значение для установления этиологии суицидальных отравлений при невозможности получить объективные сведения об употребленном веществе.
Достоверно выросло за последние годы число самоотравлений, особенно среди молодых мужчин (до 19 лет). Увеличение числа отравлений можно связать не только с легкой доступностью различных, в частности лекарственных средств, но и с изменением представлений о так называемой эстетической стороне самоубийства. Следует отметить, что за последние годы резко вырос (в 2,5 раза) удельный вес самоотравлений при снижении числа самопорезов и колото-рубленых ранений.
Выбор средств для совершения суицидальных попыток в зависимости от возраста неоднороден. Так, у лиц 15-19 лет преобладают микстные отравления с преимущественным использованием препаратов из "домашней аптечки" (35,6%), или приёмом антигистаминных средств (21,9%). Удельный вес психотропных препаратов в общей структуре самоотравлений относительно стабилен и наиболее значим в более старших возрастных группах (20-59 лет). С возрастом увеличивается частота использования с суицидальной целью уксусной кислоты и гипотензивных препаратов, достигая максимума у лиц 60 лет и старше. [39]
Глава 2.
2.1 Суицид как следствие социально-психологической дезадаптации личности
Концепция суицидального поведения, выдвинутая А.Г. Амбрумовой, В.А. Тихоненко, основана на результатах обширных наблюдений, экспериментов и теоретических поисков. Следует сказать, что понятия социально-психологической адаптации и дезадаптации в применении к суициду как единичного явления, остаются незыблемыми. Эта концепция вобрала в себя социальные и личностные категории, факторы внутренней и внешней среды, их ролевое значение в формировании суицидального поведения. Под адаптацией авторы понимают приспособление - соответствие между живой системой и внешними условиями, причем адаптация - это и процесс, и его результат, то есть определенная организация. Понятие дезадаптации отражает различную степень и качество несоответствия организма и среды. Полное соответствие способствовать развитию, полное не соответствие - несовместимо с жизнедеятельностью. К системам, занимающим промежуточное положение между этими двумя полюсами, в одинаковой мере применима и адаптация и дезадаптации. В первом случае происходят позитивные приспособительные и компенсаторные процессы, во втором - компенсаторные процессы оказываются несостоятельными, что может привести к дезорганизованному поведению. Эти положения применимы и к специфически человеческой форме адаптации-социально-психологической. [35]
Процесс социально-психологической адаптации развертывается по четырем основным направлениям человеческой деятельности: преобразовательному, познавательному, ценностно-ориентационному и коммуникативному. В условиях экстремальной ситуации разные личности не одинаково перестраивают свою приспособительную тактику. Наиболее устойчивые из них за счет пластичности и резервов сохраняет прежний общий уровень адаптации. Другая часть характеризуется временным снижением этого уровня, вплоть до его минимизации, но без "полома" основных четырех направлений и их качественной трансформации. Когда экстремальные нагрузки падают на почву, измененную конституционально, или в процессе онтогенеза, тогда вероятность полома, парциального выпадения одного или нескольких направлений адаптационного процесса значительно возрастает. В таких случаях социально-психологическая дезадаптация влечет за собой качественную трансформацию приспособительного процесса, появление патологических форм адаптации и компенсаторных образований за счет сохранившихся направлений. Авторы считают необходимым различать объективную и субъективную стороны дезадаптации. Объективно дезадаптация проявляется в поведении; субъективное же ее выражение - широкая гамма психоэмоциональных сдвигов. В результате теоретического анализа авторы пришли к заключению, что социально-психологическая дезадаптация является общей предпосылкой суицидального поведения. Выделяются две фазы: предиспозициионная и суицидальная. Решающее значение для перехода этой фазы в суицидальную имеет конфликт, который занимает центральное, стратегическое положение в структуре рассматриваемого акта. Конфликт, переживаемый личностью, образуется из двух или нескольких разнонаправленных тенденций, одну из которых составляет основная, актуальная в данный момент потребность человека, а другую - тенденция, препятствующая ее удовлетворению. Конфликт может быть как внутренним, так и внешним в зависимости от стрессора. Самым опасным, не находящим своего разрешения и приобретающим черты экстремальности, является конфликт равносильных тенденций. Предиспозициионная фаза является предпосылкой суицидального акта и может быть обусловлена разными причинами. Конфликт сопровождается крайне тягостным переживанием напряжения и стремлением его ликвидировать. Суицидальная фаза представляет собой процесс устранения конфликта за счет саморазрушения субъекта. По определению А.Г. Амбрумовой "суицид есть следствие социально-психологической дезадаптации личности в условиях переживаемого и неразрешенного микросоциального конфликта". Суицидальное поведение рассматривается как один из видов общеповеденческих реакций человека в экстремальных ситуациях по всему континууму индивидуальных вариаций - от безусловной психической нормы до выраженной патологии. Наиболее существенным моментом социально-психологической адаптации человека является социализация, содержание которой составляют морально-нравственные представления, социально значимые оценки и формы поведения, определяемые включенностью в ту или иную социальную среду. Предиспозициионная дезадаптация личности приводит к тому, что количество известных ему вариантов разрешения конфликта резко ограничивается или сведено к нолю, а знаемые варианты решений субъективно оцениваются как неэффективные или неприемлемые. Вследствие этого конфликт приобретает характер неразрешимости и сопровождается крайне тягостными переживаниями. В этой критической точке дезадаптация и конфликт с высокой вероятностью могут перейти в суицидальную фазу, т.е. принимается решение о суициде, как единственном способе ликвидировать конфликт путем самоуничтожения. [29]. Если представить эту концепцию в виде схемы, то она будет выглядеть следующим образом:
Социально-ситуационные факторы конфликт Социально-психологическая дезадаптация
Крах ценностных установок Личностные факторы
Провоцирующие факторы.
Мотивационная готовность. Суицид.
Предрасполагающие внешние факторы.
2.2 Психология переживаний
Предметом нашего анализа являются процессы, которые в обыденном языке удачно выражаются словом "переживание" (в том значении, в котором "пережить" значит перенести какие-либо, обычно тягостные, события, преодолеть какое-нибудь тяжелое чувство или состояние, вытерпеть, выдержать и т.д.) и в то же время не нашли своего отражения в научном психологическом понятии переживания.
Когда мы обеспокоены тем, как небезразличный нам человек переживет постигшую его утрату, это тревога не о его способности чувствовать страдание" испытывать его (т.е. не о способности переживать в традиционном психологическом смысле термина), а совсем о другом - о том, как ему удастся преодолеть страдание, выдержать испытание, выйти из кризиса и восстановить душевное равновесие, словом, психологически справиться с ситуацией. Речь идет о некотором активном, результативном внутреннем процессе, реально преобразующем психологическую ситуацию, о переживании - деятельности.
Достаточно взглянуть на традиционное психологическое понятие переживания, чтобы убедиться, что оно имеет мало общего с идеей переживания-деятельности. Это традиционное понятие задается через категорию психического явления. Всякое психическое явление характеризуется своей отнесенностью к той или иной "модальности" (чувству, воле, представлению, памяти, мышлению и т.д.), а со стороны внутренней структуры, во-первых, наличием "имманентной предметности", или предметного содержания [18], и, во-вторых, тем, что оно непосредственно испытывается субъектом, дано ему. Последний аспект психического явления и зафиксирован в понятии переживания. Таким образом, переживание в психологии понимается как непосредственная внутренняя субъективная данность психического явления в отличие от его содержания и "модальности". С этой точки зрения теоретически осмысленны, хотя и режут слух, такие изредка употребляемые выражения, как "мыслительное переживание", "зрительное переживание" и т.п. [5].
Типология режимов функционирования сознания.

В зарубежной психологии проблема переживания активно изучается в рамках исследования процессов психологической защиты, компенсации, совпадающего поведения. Здесь описана масса фактов, создана развитая техника теоретической работы с ними, накоплен большой методический опыт практической работы с личностью, находящейся в критической жизненной ситуации. В последние годы эта область стала предметом пристального внимания многих советских психологов и психиатров. Теория же деятельности оставалась несколько в стороне от этой проблематики.
Существуют четыре ключевых понятия, которыми в современной психологии описываются критические жизненные ситуации. Это понятия стресса, фрустрации, конфликта и кризиса. Положение таково, что исследователи, которые изучают одну из этих тем, любую критическую ситуацию подводят под излюбленную категорию, так что для психоаналитика всякая такая ситуация является ситуацией конфликта, для последователей Г. Селье - ситуацией стресса и т.д., а авторы, чьи интересы специально не связаны с этой проблематикой, при выборе понятия стресса, конфликта, фрустрации или кризиса исходят в основном из интуитивных или стилистических соображений. Все это приводит к большой терминологической путанице.
Типология "состояний" поведения.

В затруднительной для субъекта ситуации мы можем наблюдать формы поведения, соответствующие каждому из этих четырех типов.
Поведение первого типа, мотивосообразное и подчиненное организующей цели, заведомо не является фрустрационным. Причем здесь важны именно эти внутренние его характеристики, ибо сам по себе внешний вид поведения (будь то наблюдаемое безразличие субъекта к только что манившей его цели, деструктивные действия или агрессия) не может однозначно свидетельствовать о наличии у субъекта состояния фрустрации: ведь мы можем иметь дело с произвольным использованием той же агрессии (или любых других, обычно автоматически относящихся к фрустрационному поведению актов), использованием, сопровождающимся, как правило, самоэкзальтацией с разыгрыванием соответствующего эмоционального состояния (ярости) и исходящим из сознательного расчета таким путем достичь цели. [31]
Такое псевдофрустрационное поведение может перейти в форму поведения второго типа: умышленно "закатив истерику" в надежде добиться своего, человек теряет контроль над своим поведением, он уже не волен остановиться, вообще регулировать свои действия. Произвольность, т.е. контроль со стороны воли, утрачен, однако это не значит, что полностью утрачен контроль со стороны сознания. Поскольку это поведение более не организуется целью, оно теряет психологический статус целенаправленного действия, но, тем не менее, сохраняет еще статус средства реализации исходного мотива ситуации, иначе говоря, в сознании сохраняется смысловая связь между поведением и мотивом, надежда на разрешение ситуации. Хорошей иллюстрацией этого типа поведения могут служить рентные истерические реакции, которые образовались в результате "добровольного усиления рефлексов" [19], но впоследствии стали непроизвольными. При этом, как показывают, например, наблюдения военных врачей, солдаты, страдавшие истерическими гиперкинезами, хорошо осознавали связь усиленного дрожания с возможностью избежать возвращения на поле боя.
Для поведения третьего тира характерна как раз утрата связи, через которую от мотива передается действию смысл. Человек лишается сознательного контроля над связью своего поведения с исходным мотивом: хотя отдельные действия его остаются еще целенаправленными, он действует уже не "ради чего-то", а "вследствие чего-то". Таково упоминавшееся поведение человека, целенаправленно дерущегося у кассы со своим конкурентом в то время, как поезд отходит от станции. "Мотивация здесь, - говорит Н. Майер, - отделяется от причинения как объясняющее понятие" [19].
Поведение четвертого типа, пользуясь термином К. Гольдштейна, можно назвать "катастрофическим". Это поведение не контролируется ни волей, ни сознанием субъекта, оно и дезорганизовано, и не стоит в содержательно-смысловой связи с мотивом ситуации. Последнее, важно заметить, не означает, что прерваны и другие возможные виды связей между мотивом и поведением (в первую очередь "энергетические"), поскольку, будь это так, не было бы никаких оснований рассматривать это поведение в отношении фрустрированного мотива и квалифицировать как "мотивонесообразное". Предположение, что психологическая ситуация продолжает определяться фрустрированным мотивом, является необходимым условием рассмотрения поведения как следствия фрустрации.
Итак, каждому из понятий, фиксирующих идею критической ситуации, соответствует особое категориальное поле, задающее нормы функционирования этого понятия, которые необходимо учитывать для его критического употребления. Такое категориальное поле в плане онтологии отражает особое измерение жизнедеятельности человека, обладающее собственными закономерностями и характеризуемое присущими ему условиями жизнедеятельности, типом активности и специфической внутренней необходимостью. Сведем все эти характеристики в табл.1. [11]
Таблица 1. Типология критических ситуаций
| Онтологическое поле |
Тип активности |
Внутренняя необходимость |
Нормальные условия |
Тип критической ситуации |
| "Витальность" |
Жизнедеятельность организма |
Здесь-и-теперь удовлетворение |
Непосредственная данность жизненных благ |
Стресс |
| Отдельное жизненное отношение |
Деятельность |
Реализация мотива |
Трудность |
Фрустрация |
| Внутренний мир |
Сознание |
Внутренняя согласованность |
Сложность |
Конфликт |
| Жизнь как целое |
Воля |
Реализация жизненного замысла |
Трудность и сложность |
Кризис |
Каково значение этих различении для анализа критических ситуаций и для теории переживания вообще? Данная типология дает возможность более дифференцирование описывать экстремальные жизненные ситуации.
Разумеется, конкретное событие может затронуть сразу все "измерения" жизни, вызвав одновременно и стресс, и фрустрацию, и конфликт, и кризис, но именно эта эмпирическая интерференция разных критических ситуаций и создает необходимость их строгого различения.
Конкретная критическая ситуация не застывшее образование, она имеет сложную внутреннюю динамику, в которой различные типы ситуаций невозможности взаимовлияют друг на друга через внутренние состояния, внешнее поведение и его объективные следствия. Скажем, затруднения при попытке достичь некоторой цели в силу продолжительного неудовлетворения потребности могут вызвать нарастание стресса, которое, в свою очередь, отрицательно окажется на осуществляемой деятельности и приведет к фрустрации; далее агрессивные побуждения или реакции, порожденные фрустрацией, могут вступить в конфликт с моральными установками субъекта, конфликт вновь вызовет увеличение стресса и т.д. Основная проблематичность критической ситуации может при этом смещаться из одного "измерения" в другое. [1]
Хотя переживание, в каком бы виде оно ни представало в различных концепциях, - в виде ли психологической защиты, компенсации или совладения, редко рассматривается как процесс, направляемый осознанной целью, оно считается всеми авторами процессом, в том или ином виде подчиняющимся целевой детерминации. Анализ литературы показывает, что целевые детерминанты, приписываемые процессам переживания, совпадают с основными "внутренними необходимостями" жизнедеятельности, которые были обнаружены нами при обсуждении проблемы критической ситуации:
1. Здесь-и-теперь удовлетворение.
2. Реализация мотива (удовлетворение потребности).
3. Упорядочение внутреннего мира.
4. Самоактуализация.
Итак, в психологической литературе более или менее подробно проанализированы два типа переживаний, глобально оцениваемых как негативные и позитивные, "удачные" и "неудачные". Приняв, хотя и не общепринятое, но наиболее распространенное созначение их соответственно с психологической защитой и совладением, приводим в табл.2 их основные характеристики. [1]
Таблица 2. Характеристики "удачных" и "неудачных" процессов в переживании
| Характеристики |
Защита |
Совладение |
| Основные цели |
Устранение, предотвращение или смягчение неудовольствия |
Приспособление к действительности, позволяющее удовлетворять потребности |
| Характер протекания: произвольность, сознательность |
Вынужденные, автоматические, большей частью неосознаваемые и ригидные процессы |
Целенаправленные, во многом осознаваемые и гибкие процессы |
| отношение к внешней и внутренней реальности |
Отрицание, искажение, сокрытие от себя реальности, бегство от нее, самообман |
Ориентация на признание и принятие реальности, активное исследование реальной ситуации |
| дифференцированность |
Формы поведения, не учитывающие целостной ситуации, действующие "напролом" |
Реалистический учет целостной ситуации, умение пожертвовать частным и сиюминутным. Способность разбивать всю проблему на мелкие потенциально разрешимые задачи |
| отношение к помощи в ходе переживания |
Либо отсутствие поиска помощи и отвержение предлагаемой, либо стремление все возложить на помогающего, самоустранившись от решения собственных проблем |
Активный поиск и принятие помощи |
| Результаты, следствия и функции |
Иногда невроз. Частное улучшение (например, локальное снижение напряжения, субъективная интеграция поведения, устранение неприятных или болезненных ощущений) ценой ухудшения всей ситуации, регресса, объективной дезинтеграции поведения. Спасают от потрясения, предоставляя субъекту время для подготовки других, более эффективных способов переживания |
Обеспечивают упорядоченное, контролируемое удовлетворение потребностей и импульсов. Удерживают субъекта от регресса, ведут к накоплению индивидуального опыта совладения с жизненными проблемами |
2.3 Депрессия и суицид
Взаимоотношение между депрессией и суицидом является часто упоминаемым аспектом, при которой риск суицида оценивается примерно в 10-15% в сравнении с 1-2% в основной популяции. Показаны различия уровня суицидальности в зависимости от типа депрессии. Так, риск самоубийства при тяжелых униполярных депрессиях составляет 15%, при биполярных аффективных расстройствах - 20%. При этом надо помнить, что цифры у различных авторов колеблются в очень больших пределах. По мнению ряда авторов, наивысший уровень депрессий среди женщин и молодежи. [15]
Большое значение при депрессивных переживаниях играют сверхценные бредовые переживания. Целесообразно разделять мотивы, возникающие на почве страха от мотивов, порождаемых чувством вины. Суицидальное поведение при этом имеет для больного различное смысловое значение. В первом случае суицид становится средством избежания: боязни "еще худшего", как наказания за бредовую виновность; неминуемых мучительных страданий и ужасной гибели при первичной бредовой ипохондрии, или тяжкой нужды при бреде обнищания. Во втором случае суицид является средством самонаказания не из страха перед неумолимой судьбой, а по безжалостному приговору собственной совести, не оставляющей никаких возможностей для дальнейшего существования. При бреде самоуничтожения резко снижается чувство собственной значимости, могут появляться суицидальные тенденции, порождаемые желанием больного освободить близких от своего присутствия. У депрессивных пациентов без бредовых переживаний мотивы суицидального поведения, обусловлены ощущением самоизмененности и своеобразной сверхценной трактовкой этого ощущения. Ощущение измененности связано с рядом депрессивных симптомов, значимость которых для больных определяется актуальностью для личности уровня психического функционирования. Одним из таких симптомов является психическая анестезия, которая выражается в невозможность испытывать чувства радости, печали, сочувствия. Утрачивается интерес ко всему, что раньше любил и цени, доминирует представление о себе как о "тупом и безжизненном". Эти переживания нередко мотивируют суицидальные действия. Больные говорят, что жить в состоянии эмоциональной выхолощенности, уподобляясь роботу, становится невозможным. Собственная жизнь оценивается больным как вегетативное существование, смерть представляется желанным выходом и избавлением. [3]
Можно выделить также депрессивных больных, мотивы суицидального поведения которых относятся скорее к объективно измененной внешней ситуации, нежели к проявлениям депрессивного заболевания как такового. Мотивы суицидальных действий лежат в области интерперсональных отношений и конфликтов со значимыми для больного лицами. Здесь суицидальное поведение чаще носит манипулятивный характер, т.е. речь в этих случаях идет об использовании его с целью изменения ситуации в благоприятном для себя направлении. Суицидальные высказывания и действия диктуются желанием наказать окружающих, вызвать у них чувство вины, изменить отношение к больному и т.п. [40]
2.4 Аномалии личности и суицид
При основном диагнозе расстройство личности суициды отмечаются около 9% и почти до 30% у лиц с акцентуацией характера.
Наиболее суицидальны лица с пограничными, антисоциальными расстройствами и при нарциссизме. [15]
Согласно МКБ-10 в плане высокого суицидального риска выделяют пограничное расстройство личности, антисоциальную личность, личность с выраженным нарциссизмом, истерическую и ананкастную личности. Для пограничных личностей характерно существенное нарушение Я - идентичности, чувство одиночества, трудности в сохранении стабильных межличностных отношений, постоянные внутренние противоречия. В качестве психологической защиты чаще всего используется механизм диссоциации, результатом чего все делится на хорошее или плохое. Для такой личности характерна алекситимия, трудности в различении своих эмоций и эмоций окружающих, реального и воображаемого. Самооценка резко колеблется от низкой до переоценки своей личности в соответствии с эмоциональной лабильностью. Суицид развивается в ярости и отчаянии стереотипа жизни. [36]
Антисоциальная личность подобна пограничной, включая, кроме того, дефекты в развитии моральных и этических ценностей. Им свойственны недостаток эмпатии, выраженный эгоцентризм, презрение к окружающим. Они агрессивны, склонны к импульсивности, эмоционально неустойчивы. Суициды совершаются в состоянии ярости при угрозе наказания.
Для личностей с нарциссическими наклонностями характерно постоянное раздвоение между стремлением доказать свою неординарность и превосходство и переживанием стыда, ненависти и страха при угрозе срыва своих устремлений. В соответствии с этим и окружающие разделены на индивидов, которые способствуют их возвышению, и индивидов, которые не разделяют его точку зрения. Вспышки гнева и агрессии возникают в тех случаях, если ситуация позволяет. Суицидальное поведение формируется при утрате социальных позиций, внешней привлекательности в связи с болезнью, постарение, падением престижа и прочее, т.е. тех факторов, которые создавали иллюзию его необыкновенности.
Истерической личности свойственны преувеличенная эмоциональность и стремление привлекать к себе внимание. Недостаточная способность и желание разбираться в эмоциях и потребностях окружающих часто приводит их к конфликтам и разочарованиям. Неудачи переживаются очень остро, а напряжение и разочарование легко приводят такую личность в депрессию. Истерические личности совершают суицид после глубоких разочарованиях, при переживании своей ненужности (одиночество, смерть любимого человека, падение социального престижа и прочее). [4]
Как показывает статистика, в экономически развитых странах эпидемические болезни в 20 веке уступили место росту хронических заболеваний, особенно тех, которые обусловлены воздействием среды на нервно-эмоциональную сферу. Риск суицида достаточно велик при многих соматических заболеваниях. Выделяется целая группа тяжелых соматических заболеваний с очень высоким риском суицида. Частота суицидов колеблется в диапазоне от 16 до 70%. Установлено, что среди всех суицидентов с соматическим заболеванием 46% составляют больные с сосудистыми расстройствами. [4]
По мнению П.К. Анохина при психосоматических заболеваниях мотивационное возбуждение не может обеспечить афферентный синтез, принятие решения, формирования аппарата "цели" и всего поведенческого акта, смену мотиваций. Психосоматическое заболевание есть адаптивный процесс, протекающий во времени, имеющий периоды адаптации и срыва адаптационного процесса, включающий физиологический и психологический компоненты, и поведенческий. [16]
Имеется мнение об особой роли агрессивности в происхождении психосоматических расстройств. Широко обсуждается соотношение понятий агрессивности и фрустрации. Под фрустрацией многие авторы понимают состояние дискомфорта индивида и попытки его совладать с ним в случаях блокировки достижений жизненных целей. Ряд авторов подчеркивали обязательность соматовегетативных расстройств в структуре эмоционального стресса, депрессивных состояний и невротической депрессии, в частности.
В рамках психоцентрического подхода формулируется концепция соматизации как "базисного механизма" реакции человека на стресс. Соматизация определяется как "выражение личностного или социального дистресса в идиоме телесных жалоб с требованием медицинской помощи". Выделяются три основных компонента соматизации: собственно телесных ощущений, когнитивный (осмысление интерпретация симптомов пациентами в аспекте угрозы собственному здоровью) и поведенческий (действия и социальные связи субъекта, которые вытекают из интерпретации собственных ощущений). В числе факторов, предрасполагающих к соматизированным реакциям, указывается выраженность истерических (гистрионных) черт. В рамках таких представлений все функциональные нарушения и алгические синдромы интерпретируются как соматические проявления личностных, тревожно-фобических, аффективных расстройств. Соматизация часто развивается как результат физиологического сопровождения эмоционального раздражителя, существенной части первичного психического расстройства, внимание пациента фиксируется на типичных соматовегетативных проявлениях тревоги, таких как нарушение функции дыхания (гипервентиляция), боль грудной клетке, сердцебиение, расстройства желудочно-кишечного тракта. [29]
Выводы по теоретической части
Оценивая результаты многолетних исследований различными специалистами самоубийств и, особенно, мер по их предупреждению, вряд ли можно быть удовлетворенным. Печален тот факт, что наиболее подвержены суицидальным действиям молодежь и люди пожилого возраста. По прежнему сохраняется рост самоубийств во многих странах мира. Самоубийства встречаются почти во всех нациях, народностях и любых слоях населения. Гибель любого человека вызывает отрицательный резонанс среди близких и окружающих. Гибнет большое количество людей трудоспособного возраста, которые могли бы приносить пользу другим людям и обществу.
Имеются ли какие-либо перспективы в разрешении этой сложной, трудной для исследователей проблемы. Вызывают определенный интерес работы по оценке самосознания у суицидентов, попытки количественного определения изменений психики с помощью психологических и психофизиологических методик (внимания, памяти, эмоций, мышления). Затрудняют эту работу отсутствие специфичности у суицидальности; способность любого обыденного события вызвать реализацию суицидальных мыслей. К тому же определяемые на современном этапе изменения в психической сфере суицидентов, присущи им только в периоды эмоционального напряжения в условиях конфликтных ситуаций. В благоприятные периоды их показатели не отличаются от показателей психически здоровых (не суицидентов).
В настоящее время определена структура суицидального процесса, который охватывает период времени от появления усталости от жизни и желания умереть до суицидальных мыслей, суицидальных попыток и завершенных самоубийств. Продолжительность суицидального процесса может быть различной - от нескольких часов и дней до нескольких месяцев и лет, а иногда, и на протяжении всей жизни. Суицидальный процесс может быть подавлен за счет произвольного контроля и регуляции своего поведения, прерван в результате лечения, потерять актуальность спонтанно или завершиться в связи с самоубийством. Динамика развития суицидального процесса определяется взаимодействием факторов суицидального риска и защитных факторов. Как ранее, так и в настоящее время внимание исследователей фокусировалось на изучении факторов суицидального риска.
Выявление на каждом этапе суицидального процесса факторов суицидального риска т факторов защиты, а также причин приостанавливающих развитие процесса на любом этапе или осуществляющих переход на следующий этап, возможно и позволят получить новые данные о суицидальных механизмах. В практической деятельности задачей суицидолога является уменьшение и предотвращение действия факторов суицидального риска, развитие и укрепление защитных (антисуицидальных) факторов. Я убеждена, что при соответствующей суицидальной настороженности, современном начале оказания кризисной помощи, по крайней мере, половину суицидентов можно удержать от совершения суицидальных актов, сохранить им жизнь.
Глава 3.
3.1 Организация и выбор методик исследования
Объект исследования : люди, находящиеся в состоянии гипотимии, страдающие аддективным поведением.
Предмет исследования : уровень депрессии и степени угрозы суицида.
Гипотеза исследования : уровень депрессивного состояния не всегда является фактором суицидального риска.
Цель исследования : исследовать степень угрозы суицида и уровень депрессии в особенности у лиц с деструктивной формой поведения.
Задачи:
1. Определить уровень депрессивного состояния у людей аддиктивным поведением.
2. Исследовать степень угрозы суицидального риска у людей с разным уровнем депрессивного состояния.
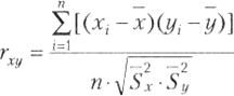
3. Установить корреляционную связь между степенью депрессии и степенью угрозу суицида.
Выборка исследования : Выборку исследования составили следующие респонденты. Было исследовано три группы людей, в возрасте 20-50 лет:
1. Люди, страдающие наркотической зависимостью (20 человек)
2. Люди, страдающие алкогольной зависимостью (26 человек)
3. Контрольная группа: люди, не страдающие психическими заболеваниями и не страдающие никакими зависимостями. (28 человек)
Методики исследования :
1. Анкетный опрос респондентов, предоставляет информацию о социальных характеристиках респондентов.
2. Тест изучения суицидального риска (П.И. Юнацкевич), оценивает склонность человека к суицидальному поведению.
3. Шкала Цунга для самооценки депрессии, позволяет оценить уровень депрессивности человека.
4. Шкала безнадежности А. Бека, позволяет оценить состояние безнадежности респондентов.
Карта риска суицидальности
Данные анамнеза:
1. Возраст первой суицидальной попытки - до 20 лет.
2. Ранее имела место суицидная попытка.
3. Суицидные попытки у родственников.
4. Развод или смерть одного из родителей (до 18 лет).
5. Недостача тепла в семье в детстве или юношестве.
6. Полная или частичная безнадзорность в детстве.
7. Начала половой жизни - 20 лет и ранее.
8. Ведущее место любовных ценностей в системе ценностей.
9. Незначительная роль производственной сферы в системе ценностей.
10. Развод в анамнезе.
Актуальная конфликтная ситуация:
11. Ситуация неопределенности, ожидания.
12. Конфликт в области любовных или дружеских отношений.
13. Продолжительный конфликт.
14. Подобный конфликт имел место раннее.
15. Конфликт, отягощенный неприятностями в других сферах жизни.
16. Субъективное чувство непреодолимости конфликтной ситуации.
17. Чувство обиды, жалости к себе.
18. Чувство усталости, бессилия.
19. Суицидальные высказывания, угрозы суицида.
Характеристика личности:
20. Эмоциональная лабильность.
21. Импульсивность.
22. Эмоциональная зависимость, потребность в симбиотических отношениях.
23. Доверчивость.
24. Эмоциональная вязкость, ригидность аффекта.
25. Болезненное самолюбие.
26. Самостоятельность, отсутствие зависимости в принятии решений.
27. Напряженность потребностей.
28. Настойчивость.
29. Решительность.
30. Бескомпромиссность.
31. Низкая способность к образованию компенсаторных механизмов, вытеснению фрустрирующих факторов.
3.2 Анализ результатов исследования
В ходе анкетного опроса респондентов были выявлены следующие данные, представленные по таблично.
Таблица 3.1. Результаты анкетного опроса респондентов, страдающих наркотической зависимостью
| № респондента |
Пол |
Возраст |
Семейное положение |
Образование |
| 1 |
Ж |
31 |
- |
Ср. техн. |
| 2 |
М |
23 |
- |
Ср. |
| 3 |
М |
34 |
- |
Ср. |
| 4 |
М |
25 |
+ |
Высшее |
| 5 |
М |
28 |
- |
Ср. |
| 6 |
М |
20 |
- |
Неп. ср. |
| 7 |
Ж |
31 |
+ |
Высшее |
| 8 |
Ж |
32 |
- |
Ср. спец. |
| 9 |
Ж |
35 |
+ |
Высшее |
| 10 |
М |
33 |
- |
Ср. техн. |
| 11 |
М |
38 |
- |
Ср. |
| 12 |
М |
36 |
+ |
Неп. ср. |
| 13 |
М |
27 |
- |
- |
| 14 |
М |
27 |
- |
Ср. |
| 15 |
Ж |
36 |
+ |
Ср. |
| 16 |
Ж |
28 |
+ |
Ср. спец. /не. высш. |
| 17 |
Ж |
21 |
- |
Высшее |
| 18 |
Ж |
21 |
- |
Неп. высшее |
| 19 |
Ж |
25 |
+ |
Ср. спец. |
| 20 |
Ж |
24 |
- |
высшее |
Анкетный опрос данной группы респондентов выявил, что соотношение мужчин и женщин одинаково, средний возраст которых составил 28 лет, лишь 35% имеют семью. У большинства респондентов образование среднее или среднее специальное, лишь 25% респондентов имеют высшее образование.
Таблица 3.2. Результаты анкетного опроса респондентов, страдающих алкогольной зависимостью
| № респондента |
Пол |
Возраст |
Семейное положение |
Образование |
| 1 |
Ж |
45 |
- |
ср. спец. |
| 2 |
Ж |
50 |
- |
ср. спец. |
| 3 |
М |
47 |
+ |
ср. техн. |
| 4 |
М |
50 |
+ |
ср. спц. |
| 5 |
М |
48 |
- |
ср. |
| 6 |
М |
44 |
- |
Высшее |
| 7 |
Ж |
56 |
+ |
Ср. спец. |
| 8 |
М |
46 |
- |
Высшее |
| 9 |
М |
37 |
- |
ср. ср. |
| 10 |
М |
32 |
- |
ср. техн. |
| 11 |
М |
35 |
- |
ср. спец. |
| 12 |
Ж |
28 |
- |
Высшее |
| 13 |
Ж |
47 |
- |
Высшее |
| 14 |
М |
27 |
- |
Высшее |
| 15 |
М |
25 |
- |
Неп. высшее |
| 16 |
Ж |
25 |
- |
Высшее |
| 17 |
Ж |
21 |
+ |
ср. |
| 18 |
М |
23 |
- |
Высшее |
| 19 |
М |
29 |
+ |
Неп. высшее |
| 20 |
М |
25 |
- |
ср. техн. |
| 21 |
М |
27 |
- |
ср. |
| 22 |
М |
36 |
+ |
ср. |
| 23 |
Ж |
38 |
+ |
ср. проф. |
| 24 |
Ж |
35 |
- |
Неп. высшее |
| 25 |
Ж |
22 |
- |
Неп. высшее |
| 26 |
М |
21 |
- |
Неп. высшее |
Анкетный опрос данной группы респондентов выявил, что соотношение мужчин и женщин не одинаково, преобладают, в большей степени мужчины, женщин лишь 39%, средний возраст респондентов составил 35 лет, лишь 26% имеют семью. У большинства респондентов образование среднее или среднее специальное, лишь 46% респондентов имеют высшее или неполное высшее образование.
Таблица 3.3. Результаты анкетного опроса респондентов контрольной группы
| № респондента |
Пол |
Возраст |
Семейное положение |
Образование |
| 1 |
Ж |
42 |
+ |
Ср. спц. |
| 2 |
Ж |
36 |
- |
Высшее |
| 3 |
Ж |
44 |
- |
Высшее |
| 4 |
Ж |
25 |
- |
Высшее |
| 5 |
Ж |
23 |
- |
Высшее |
| 6 |
М |
44 |
+ |
Высшее |
| 7 |
Ж |
48 |
+ |
Высшее |
| 8 |
Ж |
21 |
+ |
Неп. высшее |
| 9 |
М |
37 |
- |
Ср. спкц. |
| 10 |
Ж |
24 |
+ |
Высшее |
| 11 |
Ж |
22 |
+ |
Неп. высшее |
| 12 |
Ж |
28 |
+ |
Высшее |
| 13 |
Ж |
47 |
- |
Ср. спец. |
| 14 |
Ж |
43 |
+ |
Ср. спц. |
| 15 |
Ж |
39 |
- |
Высшее |
| 16 |
Ж |
44 |
- |
Высшее |
| 17 |
Ж |
25 |
- |
Высшее |
| 18 |
Ж |
23 |
- |
Высшее |
| 19 |
М |
44 |
+ |
Высшее |
| 20 |
Ж |
48 |
+ |
Высшее |
| 21 |
Ж |
21 |
+ |
Неп. высшее |
| 22 |
М |
37 |
- |
Ср. спкц. |
| 23 |
Ж |
24 |
+ |
Высшее |
| 24 |
Ж |
22 |
+ |
Неп. высшее |
| 25 |
Ж |
28 |
+ |
Высшее |
| 26 |
Ж |
47 |
- |
Ср. спец. |
| 27 |
Ж |
43 |
+ |
Высшее |
| 28 |
М |
39 |
+ |
Высшее |
Анкетный опрос контрольной группы респондентов выявил, что соотношение мужчин и женщин не одинаково, преобладают, в большей степени женщины, мужчин лишь 18%, средний возраст респондентов составил 34 года, 57% имеют семью. У большинства респондентов образование высшее или неполное высшее, среднее или среднее специальное, лишь 46% респондентов имеют высшее или неполное высшее образование имеют лишь 21% испытуемых.
Подводя итог общему анкетному опросу, можно отметить, среди людей, страдающих алкогольной зависимостью, преобладают мужчины, в группе респондентов, страдающих наркотической зависимостью, преобладают мужчины. Самый молодой возраст респондентов был выявлен у группы испытуемых с наркотической зависимостью. Семью имеют, в большей степени, респонденты контрольной группы. Высшее образование, как преобладающее, также было выявлено у респондентов контрольной группы.
Изучение депрессивных состояний, безнадежности и суицидального риска у всех трех групп представлен ниже.
Таблица 3.4. Результаты исследования депрессивных состояний, безнадежности и суицидального риска у респондентов, страдающих наркотической зависимостью
| № респондента |
Депрессия |
Безнадежность |
Суицидальный риск |
| 1 |
25 |
8 |
0,2 |
| 2 |
27 |
9 |
0,3 |
| 3 |
36 |
10 |
0,3 |
| 4 |
44 |
11 |
0,2 |
| 5 |
45 |
7 |
0,1 |
| 6 |
27 |
8 |
0,4 |
| 7 |
28 |
9 |
0,2 |
| 8 |
35 |
7 |
0,2 |
| 9 |
36 |
10 |
0,3 |
| 10 |
38 |
11 |
0,3 |
| 11 |
34 |
14 |
0,2 |
| 12 |
25 |
18 |
0,1 |
| 13 |
28 |
7 |
0,2 |
| 14 |
38 |
9 |
0,3 |
| 15 |
44 |
8 |
0,3 |
| 16 |
40 |
7 |
0,2 |
| 17 |
42 |
8 |
0,1 |
| 18 |
35 |
7 |
0,3 |
| 19 |
37 |
7 |
0,3 |
| 20 |
29 |
7 |
0,2 |
| Ср. арифм. знач. |
34,6 |
9,1 |
0,2 |
Результаты исследования данной группы респондентов показал, что состояние депрессии находится на уровне ниже среднего, по шкале безнадежности было выявлено, что у данных респондентов есть склонность и возможность к совершению суицида, т.е. суицидальный риск присутствует. По тесту оценки суицидального риска средний показатель равен 0,2, что говорит в пользу того, что суицидальный риск у данной группы респондентов низкий.

Рис.3.1 Результаты исследования депрессивных состояний, безнадежности и суицидального риска у респондентов, страдающих наркотической зависимостью. Примечание: 1 - депрессия, 2 - безнадежность, 3 - суицидальный риск.
Таблица 3.5. Результаты исследования депрессивных состояний, безнадежности и суицидального риска у респондентов, страдающих алкогольной зависимостью
| № респондента |
Депрессия |
Безнадежность |
Суицидальный риск |
| 1 |
27 |
12 |
0,2 |
| 2 |
28 |
10 |
0,4 |
| 3 |
27 |
9 |
0,2 |
| 4 |
29 |
8 |
0,5 |
| 5 |
27 |
11 |
0,3 |
| 6 |
28 |
12 |
0,2 |
| 7 |
29 |
12 |
0,1 |
| 8 |
27 |
11 |
0,2 |
| 9 |
37 |
10 |
0,4 |
| 10 |
27 |
12 |
0,3 |
| 11 |
28 |
9 |
0,5 |
| 12 |
43 |
9 |
0,5 |
| 13 |
28 |
9 |
0,3 |
| 14 |
27 |
12 |
0,2 |
| 15 |
28 |
11 |
0,1 |
| 16 |
27 |
12 |
0,2 |
| 17 |
29 |
12 |
0,1 |
| 18 |
27 |
11 |
0,2 |
| 19 |
28 |
10 |
0,4 |
| 20 |
29 |
9 |
0,3 |
| 21 |
27 |
9 |
0,5 |
| 22 |
37 |
12 |
0,5 |
| 23 |
27 |
11 |
0,3 |
| 24 |
27 |
12 |
0,2 |
| 25 |
29 |
12 |
0,1 |
| 26 |
28 |
10 |
0,4 |
| Ср. арифм. знач. |
29 |
10,6 |
0,3 |
Результаты исследования данной группы респондентов показал, что состояние депрессии находится на уровне значительно ниже среднего, по шкале безнадежности было выявлено, что у данных респондентов есть риск совершения суицидальной попытки. По тесту оценки суицидального риска средний показатель равен 0,3, что говорит в пользу того, что суицидальный риск у данной группы респондентов ниже среднего.

Рис.3.2 Результаты исследования депрессивных состояний, безнадежности и суицидального риска у респондентов, страдающих алкогольной зависимостью. Примечание: 1 - депрессия, 2 - безнадежность, 3 - суицидальный риск.
Таблица 3.6. Результаты исследования депрессивных состояний, безнадежности и суицидального риска у респондентов контрольной группы
| № респондента |
Депрессия |
Безнадежность |
Суицидальный риск |
| 1 |
19 |
8 |
0 |
| 2 |
24 |
9 |
0 |
| 3 |
29 |
7 |
0 |
| 4 |
28 |
10 |
0,1 |
| 5 |
27 |
8 |
0,1 |
| 6 |
19 |
7 |
0,2 |
| 7 |
19 |
8 |
0,1 |
| 8 |
20 |
9 |
0 |
| 9 |
21 |
7 |
0 |
| 10 |
22 |
8 |
0,2 |
| 11 |
25 |
10 |
0,1 |
| 12 |
27 |
8 |
0,1 |
| 13 |
28 |
7 |
0 |
| 14 |
29 |
8 |
0 |
| 15 |
24 |
9 |
0,1 |
| 16 |
25 |
8 |
0,1 |
| 17 |
28 |
7 |
0,1 |
| 18 |
29 |
8 |
0,1 |
| 19 |
19 |
8 |
0 |
| 20 |
20 |
8 |
0 |
| 21 |
21 |
8 |
0,1 |
| 22 |
27 |
7 |
0,1 |
| 23 |
28 |
7 |
0,1 |
| 24 |
19 |
8 |
0,1 |
| 25 |
24 |
7 |
0 |
| 26 |
25 |
7 |
0 |
| 27 |
27 |
9 |
0,1 |
| 28 |
28 |
7 |
0,1 |
| Ср. арифм. знач. |
24,3 |
7,9 |
0,06 |
Результаты исследования данной группы респондентов показал, что состояние депрессии находится на уровне значительно ниже среднего, по шкале безнадежности было выявлено, что у данных респондентов риск совершения суицидальной попытки очень незначительный. По тесту оценки суицидального риска средний показатель равен 0,06, что говорит в пользу того, что суицидальный риск у данной группы респондентов низкий, практически равен нулю.

Рис.3.3 Результаты исследования депрессивных состояний, безнадежности и суицидального риска у респондентов контрольной группы. Примечание: 1 - депрессия, 2 - безнадежность, 3 - суицидальный риск.
Подводя итог общей диагностики трех групп по всей батарее тестов, можно сделать следующие выводы: по шкале самооценки депрессии, самые высокие показатели были диагностированы у группы респондентов, страдающих наркотической зависимостью. Самые низкие значения были выявлены у респондентов контрольной группы. Результаты представлены ниже на рисунке.

Рис.3.4 Результаты исследования депрессивных состояний у респондентов трех групп. Примечание: 1 - респонденты, страдающие наркотической зависимостью; 2 - респонденты, страдающие алкогольной зависимостью; 3 - респонденты контрольной группы.
Результаты исследования респондентов всех трех групп по шкале безнадежности, показали, что самые высокие значения были диагностированы у респондентов, страдающих алкогольной зависимостью, самые низкие значения - у респондентов контрольной группы. Результаты также представлены в виде диаграммы.

Рис.3.5 Результаты исследования состояния безнадежности у респондентов трех групп. Примечание: 1 - респонденты, страдающие наркотической зависимостью; 2 - респонденты, страдающие алкогольной зависимостью; 3 - респонденты контрольной группы.
Результаты исследования респондентов трех групп по тесту оценки суицидального риска, выявили, что самые высокие значения выявлены у респондентов, страдающих алкогольной зависимостью, а самые низкие значения у респондентов контрольной группы. Результаты представлены в идее диаграммы.

Рис.3.6 Результаты исследования суицидального риска у респондентов трех групп. Примечание: 1 - респонденты, страдающие наркотической зависимостью; 2 - респонденты, страдающие алкогольной зависимостью; 3 - респонденты контрольной группы.
Подводя итог нашей диагностики и нашему исследованию, можно сказать, что полученные результаты исследования явно показывают, что не всегда высокий уровень депрессии является тенденцией к суицидальному поведении. Данные результаты подтвердили нашу гипотезу на первичном уровне.
Дальнейшее наше исследование заключается в выявлении взаимосвязи между показателями тестов внутри каждой группы, с использованием математической обработки данных. Для этой цели нами была использована формула корреляции, которая показывает зависимость между параметрами, внутри одной экспериментальной группы.
Формула корреляции:

где xy - коэффициент линейной корреляции;
![]()
х, у -
средние выборочные значения сравниваемых величин,
Xi Yi - частные выборочные значения сравниваемых величин,
п - общее число величин в сравниваемых рядах показатели
![]()
![]()
![]()
Sx Sy - дисперсии, отклонения сравниваемых величин от средних значений
Таблица 3.7. Результаты исследования корреляционных связей депрессивных состояний, безнадежности и суицидального риска у респондентов, страдающих наркотической зависимостью (n = 20)
| Депрессия (1) |
Безнадежность (2) |
Суицидальный риск (3) |
| 1 |
0,54 (р ≤ 0,01) |
0,37 |
| 2 |
0,27 |
Результаты корреляционного анализа в данной группе показали, что значимые взаимосвязи были выявлены между параметрами депрессия и безнадежность. Значимых взаимосвязей между депрессией и суицидальным риском, а также между безнадежностью и суицидальным риском получено не было. Результаты представлены в идее рисунка.
Рис.3.7 Результаты корреляционного анализа у респондентов, страдающих наркотической зависимостью
Таблица 3.8. Результаты исследования корреляционных связей депрессивных состояний, безнадежности и суицидального риска у респондентов, страдающих алкогольной зависимостью (n = 26)
| Депрессия (1) |
Безнадежность (2) |
Суицидальный риск (3) |
| 1 |
3,78 (р ≤ 0,05) |
0,47 |
| 2 |
3,98 (р ≤ 0,05) |
Результаты корреляционного анализа в данной группе показали, что значимые взаимосвязи были выявлены между параметрами депрессия и безнадежность, а также между параметрами безнадежность и суицидальный риск. Значимых взаимосвязей между депрессией и суицидальным риском получено не было. Результаты представлены в идее рисунка.
Рис.3.8 Результаты корреляционного анализа у респондентов, страдающих алкогольной зависимостью
Таблица 3.9. Результаты исследования корреляционных связей депрессивных состояний, безнадежности и суицидального риска у респондентов контрольной группы (n = 28)
| Депрессия (1) |
Безнадежность (2) |
Суицидальный риск (3) |
| 1 |
0,57 |
0,84 |
| 2 |
3,88 (р ≤ 0,05) |
Результаты корреляционного анализа в данной группе показали, что значимые взаимосвязи были выявлены между параметрами безнадежность и суицидальный риск, а между такими как, депрессия и суицидальный риск, а также между параметрами депрессия и безнадежность значимых взаимосвязей получено не было. Результаты представлены в идее рисунка.
Рис.3.8 Результаты корреляционного анализа у респондентов, страдающих алкогольной зависимостью
Выводы по эмпирической главе
1) При использовании шкалы самооценки депрессии, самые высокие показатели были диагностированы у группы респондентов, страдающих наркотической зависимостью. Самые низкие значения были выявлены у респондентов контрольной группы.
2) По шкале безнадежности, самые высокие значения выявлены у респондентов, страдающих алкогольной зависимостью, самые низкие у респондентов контрольной группы.
3) По диагностике суицидального риска наиболее высокие значения выявлены были у респондентов, страдающих алкогольной зависимостью, самые низкие - у респондентов контрольной группы.
4) Результаты корреляционного анализа в группе респондентов, страдающих наркотической зависимостью, показали, что значимые взаимосвязи были выявлены между параметрами депрессия и безнадежность. Значимых взаимосвязей между депрессией и суицидальным риском, а также между безнадежностью и суицидальным риском получено не было.
5) Результаты корреляционного анализа в группе респондентов с алкогольной зависимостью, показали, что значимые взаимосвязи были выявлены между параметрами депрессия и безнадежность, а также между параметрами безнадежность и суицидальный риск. Значимых взаимосвязей между депрессией и суицидальным риском получено не было.
6) Результаты корреляционного анализа в контрольной группе показали, что значимые взаимосвязи были выявлены между параметрами безнадежность и суицидальный риск, а между такими как, депрессия и суицидальный риск, а также между параметрами депрессия и безнадежность значимых взаимосвязей получено не было.
7) Гипотеза нашего исследования, которая заключалась в том, чтобы доказать, что уровень депрессивного состояния не всегда является фактором суицидального риска, полностью нашла свое подтверждение.
Заключение
Самоубийство - одна из вечных проблем общества, поскольку существует как явление практически столько же, сколько существует на земле человек. В ходе исторического развития взгляды на сущность добровольного ухода из жизни существенно менялись, как и его моральная оценка. Попытки осмысления этого явления с философских и научных позиций проводились постоянно с древних времен и по настоящее время. Повышенный интерес к многообразным аспектам суицидального поведения со стороны различных специалистов сменялся затем периодами запрета и умалчивания этой проблемы. В основном, это обусловлено противоречивым отношением к сущности самоубийства (понятию "жизни - смерти") со стороны различных философских течений, религиозных постулатов, политических убеждений, а также принятием некоторых законодательных законов.
Причинами суицида могут быть как внешние причины, так и внутренние противоречия и конфликты человека.
Существует три основных теории суицидального поведения.
Социологическая концепция. Известный французский исследователь Э. Дюркгейм (1999) впервые связал экономические критические ситуации, разобщенность в обществе с ростом числа самоубийств. Теория самоубийств Эмиля Дюркгейма зиждется на социальной организации и культурных традициях общества. Смысл его теории заключен в целостном рассмотрении соответствующего общества и его культуры в качестве причин самоубийств.
Биологическая концепция. Многие авторы, хотя и признавали роль средовых воздействий, высказывали мнение, что психически здоровый человек не может отвечать аутоагрессивными действиями на жизненные трудности. Эту точку зрения поддерживают в первую очередь исследователи биологической концепции суицидального поведения, которые считают, что вследствие биологических или психических нарушений некоторые индивиды имеют особую уязвимость к суициду.
Психоаналитическая концепция. З. Фрейд первый пытался объяснить суицид как выражение неосознанных интрапсихических конфликтов, например, неосознанной враждебности по отношению к самому себе.
За последние годы резко повысился уровень самоубийств, что многие причинно связывают с увеличением употребления, особенно молодежью, алкоголя и различных наркотических веществ. По данным ряда авторов уровни суицидов среди наркоманов и алкоголиков приблизительно одинаковы и составляют в среднем 7% пациентов с алкогольной или наркоманической зависимостью. В США среди лиц, страдающих алкоголизмом, на 5% больше самоубийств, чем в общей популяции. В США, по крайней мере, у ¼ всех самоубийц наблюдалось злоупотребление алкоголем, причем риск совершения в течение жизни суицида у людей с алкогольной зависимостью не намного ниже, чем у страдающих депрессией. Факт, что около 60% самоубийств совершаются в состоянии алкогольного или наркотического опьянения.
В соответствии с данными теоретического изучения литературы, нами были сформулированы цель и задачи нашего исследования.
Исследование проводилось на трех группах респондентов: лица, страдающие наркотической зависимостью, лица, страдающие алкогольной зависимостью и контрольная группа респондентов.
В качестве метолов исследования использовались следующие тесты:
1. самооценка депрессии Цунган.
2. шкала безнадежности А.Т. Бека
3. Оценка суицидального риска П.И. Юнацкевич
4. Анкетный опрос всех респондентов
Подводя итог общей диагностики трех групп по всей батарее тестов, можно сделать следующие выводы: по шкале самооценки депрессии, самые высокие показатели были диагностированы у группы респондентов, страдающих наркотической зависимостью. Самые низкие значения были выявлены у респондентов контрольной группы. По шкале безнадежности, самые высокие значения выявлены у респондентов, страдающих алкогольной зависимостью, самые низкие у респондентов контрольной группы. По диагностики суицидального риска наиболее высокие значения выявлены были у респондентов, страдающих алкогольной зависимостью, самые низкие - у респондентов контрольной группы.
Гипотеза нашего исследования, которая заключалась в том, чтобы доказать, что уровень депрессивного состояния не всегда является фактором суицидального риска, полностью нашла свое подтверждение.
Список литературы
1. Александровский Ю.А. Социально-стрессовые расстройства. // Русский медицинский журнал. - 1996. №2. - 339с.
2. Амбрумова А.Г. Диагностика суицидального поведения. // Методические рекомендации. - М., 1980. - 48с.
3. Амбрумова А.Г. Индивидуально-психологические аспекты суицидального поведения. // В сб. Актуальные проблемы суицидологии. М. 1978, с.44-59.
4. Амбрумова А.Г. Психология самоубийства. // Ж. Социальная и клиническая психиатрия. 1996,4, с.14-20.
5. Амбрумова А.Г., Тихоненко В.А. Суицид, как феномен социально-психологической дезадаптации личности. // Актуальные проблемы суицидологии. Тр. Московского НИИ психиатрии МЗ РФ. - М. 1978. - с.6-28.
6. Анискин Д.Б. Социально-психиатрические аспекты проблемы самоубийств в России. // Социальная и судебная психиатрия: история и современность. Сб. научных трудов. - М: РИО ГНЦС и СП им.В.П. Сербского, 1996. - с.13-16.
7. Биркин А.А., Войцех В.Ф., Закондырина В.А., Кучер А.А. Профилактика суицидального поведения. - Мурманск. - 2004 - 77с.
8. Василюк Ф. Е // Психология переживаний, М.: Издательство Московского университета, 1984. - 200 с.
9. Вассерман Л.И., Дюк В.А., Иовлев Б.В., Червинская К.Р. // Психологическая диагностика и новые информационные технологии - Спб.: ООО "СЛП", 1997 - 200с.
10. Вертоградова О.П. Психосоматические расстройства и депрессия (структурно-динамические соотношения) // Восьмой Всесоюз. Съезд невропат., психиатр. и наркол. - М., 1988. - Т.3. - с.226-228.
11. Войцех В.Ф. // Клиническая суицидология, М.: Миклош, 2007. - 280 с.
12. Войцех В.Ф. К проблеме суицидального поведения. // Матер.13 съезда психиатров России-М.,-2000 - с.312-313.
13. Войцех В.Ф. К проблеме деструктивного поведения молодежи и методам профилактики // Проблемы современной молодежи. Всероссийск конф.С. - Пб, - 2002. - с.25-26.
14. Газета "Вестник", все выпуски за декабрь 2007 года.
15. Гальцев Е.В. Критерии серьезности суицидальной попытки в плане прогнозирования суицидального риска. // Матер.14 съезда психиатров России - 2005, с.436-437.
16. Гаранян Н.Г., Холмогорова А.Б., Юдеева Т.Ю. Перфекционизм, депрессия и тревога // Моск. Психотерапевтический жкрнал 2001. №4. с.18-49.
17. Гольдштейн Р.И. Причины смертности боьных алкоголизмом.Ж. невр. и псих. им.С. С. Корсакова, 1985, 85,8, с.1235-1238.
18. Гордон Г.И. Современные самоубийства. /Русская мысль. - 1912. - N5. - 74-93.
19. Горячева Н.В. Модель потребления алкоголя в России. // Социологический журнал. 2003,4.
20. Гуревич П.С. // Клиническая психология, учебник для вузов - М.: NOTABENE, 2001 - 512с.
21. Данилова М.Б., Елисеев М.Б., Постовалова Л.И. Некоторые социально-клинические характеристики группы высокого суицидального риска. // В сб.: Актуальные проблемы суицидологии.М., 1978. с.171-184.
22. Дзедушицкий А. Самоубийство. - Киев, 1879.
23. Долгов В.И., Дроздов Э.С., Рылеев А.В. Законодательная оценка суицидов в разные исторические периоды развития России. // Матер.14съезда психиатров России - 2005, с.438.
24. Дюркгейм Э. Самоубийство. Социологический этюд. / Союз. С-Пб., 1998, 493с.
25. Ефремов В.С. Основы суицидологии. СПб-Диалект - 2004-479с.
26. Ефремов В.С., Точилин В.А. Депрессия и суицид // Современные подходы к диагностике и лечению нервных и психических заболеваний. Материалы конференции. - СПб., 2000. - с.158-162.
27. Журнал "За решеткой", выпуски декабрь и ноябрь 2007 года.
28. Журнал "Мир криминала", выпуски ноябрь и декабрь 2007 года.
29. Зимовец С. // Клиническая антропология - М.: Фонд "Прагматика культуры", 2003 - 136с.
30. Карамзин Н.М. История государства Российского С-Пб., 1816-1829. - Т.4-12.
31. Каплан Г.И., Сэдок Б. Дж. // Клиническая психиатрия М. 1994 - 212с.
32. Клейберг Ю.А. // Социальная психология девиантного поведения - М.: ТЦ Сфера, 2004 - 192с.
33. Конончук Н.В. О психологическом смысле суицидов // Психологический журнал. - 1989. - Т.10, №5. - с.95-102.
34. Конончук Н.В. О суицидальных попытках при депрессиях. // Журн. Невр. и псих. им.С. С. Корсакова. - 1990 - т.90, в.4 - с.76-80.
35. Краснов В.Н., Войцех В.Ф., Немцов А.В. Суицидальное поведение в России в 1980-90 годах: уровни и факторы. // European Psychiatry, - October, 2000-V.15-Suppl.2.
36. Лапицкий М.А., Ваулин С.В. Суицидальное поведение. Смоленск - 2000 - 155с.
37. Менделевич В.Д. // Клиническая и медицинская психология, практическое руководство - 4-е издание - М.: "МЕДпресс - информ", 2002 - 592с.
38. Меннингер К. Война с самим собой. - М.: "ЭКСПО-Пресс", 2000.480с.
39. Мифы народов мира. - М, 1982 - Т.1,2.
40. Моховиков А.Н. Суицидальный клиент: взгляд гештальт-терапевта. // Суицидология: прошлое и настоящее.М., 2001, с.453-462.
41. Немцов А. Алкогольная смертность в России, 1980-90-е годы.М., 2001.60с.
42. Нечипоренко В.В., Шамрей В.К. // Суицидология: вопросы клиники, диагностики и практики, Спб.: ВМедА, 2007. - 528с.
43. Ольхин П. Последние дни самоубийц. - С-Пб., 1863.
44. Положий Б.С. Культурные аспекты психического здоровья населения России. // Материалы XII съезда психиатров России. - Москва, 1995 - с.102-103.
45. Собрание научных трудов МНИИ // Научные и организационные проблемы суицидологии М. 1983 - 218с.
46. Труды Московского НИИ психиатрии // Актуальные проблемы Суицидологии М. 1978, Т.82 - 239с.
47. Эдуард Володарский // Дневник самоубийцы 2005 год.
48. Яворский А.А. // Введение в клиническую психологию: вопросы общей части клинической психологии, издательство Гуманитарный университет, Екатеринбург 2004г.