| Похожие рефераты | Скачать .docx |
Курсовая работа: Взаимосвязь уровня самооценки и личностной тревожности у продавцов-консультантов
РЕФЕРАТ
В данной курсовой работе дано общее понятие о самооценке, представлены её виды. Также раскрыто понятие тревожность, ее виды и формы. Представлена взаимосвязь уровня самооценки и личностной тревожности у продавцов консультантов.
ВВЕДЕНИЕ
Как в зарубежной, так и в отечественной психологической литературе информации о самооценке и ее связи с различными свойствами личности (в нашем случае тревожности) очень мало. Поэтому мы считаем, что исследование связи самооценки и уровня личностной тревожности актуально.
В результате многочисленных теоретических и эмпирических исследований, проведенных в отечественной и зарубежной психологии по проблемам самооценки, возникло представление, что самооценка своим влиянием пронизывает все аспекты человеческого существования.
Значимый вклад в изучение самооценки внесли С.Л. Рубинштейн, Л.И. Божович, А.И. Липкина и др., А.Н. Леонтьев, И.И. Чеснокова, В.В. Столин, И.С. Кон, Р. Бернс, К. Роджерс, Л.В. Бороздина, О.Н. Молчанова и многие другие.
Наиболее перспективной представляется модель самооценки, предложенная Л.В. Бороздиной, где самооценка включена в структуру самосознания и определяется как оценка человеком себя по определенному свойству или оценки собственного потенциала в целом.
Изучение проблемы самооценки, является очень важной с точки зрения практической психологии – как в области психотерапии, так и в области психологического консультирования.
Что касается проблемы тревожности, то ни одна психологическая проблема не претерпела таких спадов и подъемов в своем изучении, как проблема тревожности. Если в 1927г. по данной проблеме приводилось всего 3 статьи, то в 1960-м - уже 222, а в 1995-м - более 600.В отечественной психологии период активных исследований тревожности приходился на 1970-е начало 1990-х годов. Несмотря на большое количество исследований, мы сталкиваемся с большим разбросом мнений в определении тревожности. Неопределенность термина «тревожность» в психологии является следствием его использования в различных значениях. Это и временное психическое состояние, возникшее под воздействием стрессовых факторов; и фрустрация социальных потребностей; и свойство личности, и мотивационный конфликт.
Наиболее приемлемой является точка зрения предлагаемой Спилбергером различать тревогу как состояние и как свойство. Его разделение тревоги на ситуативную и личностную тревогу, повторенную и дополненную Н.Д. Левитовым о тревоге как о хронической черте характера, стало удобным в теории, а также в экспериментальной и диагностической практике.
Очень важен вопрос этиологии тревожности. В настоящее время выделяются два типа источников устойчивой тревожности, это и длительная внешняя стрессовая ситуация, возникшая в результате частого переживания состояний тревоги (Ханин, Спилбергер), и внутренние–психологические и (или) психофизиологические причины.
Проблема тревожности широко рассматривается в работах как зарубежных: Ч.Д. Спилбергер, А. Адлер, О. Ранк, З. Фрейд и др., так и отечественных авторов: Н.Д. Левитов, Ф.Б. Березин, Л.В. Бороздина, В.М. Астапов, А.М. Прихожан, К.Р. Сидоров, и др.
Проблема тревожности касается возрастной, педагогической, медицинской, клинической, социальной психологии.
Изучение самооценки, как и поиск путей возникновения и преодоления тревожности является одной из важнейших задач практической и научной психологии и психиатрии.
Одним из направлений исследования самооценки является ее связь с различными личностными свойствами, в частности, с личностной тревожностью.
Цель - изучить взаимосвязь уровня самооценки и личностной тревожности у продавцов-консультантов.
Предмет -взаимосвязь уровня самооценки и личностной тревожности.
Объект – самооценка как свойства личности.
Задачи:
1) Теоретический анализ понятий самооценки и личностной тревожности в психологии.
2) Изучение уровня самооценки и его взаимосвязи с личностной тревожностью.
3) Обработка и интерпретация результатов исследования.
Гипотеза: чем выше самооценка, тем ниже уровень личностной тревожности и чем выше уровень личностной тревожности тем ниже самооценка.
Методы: анализ литературы, тестирование, метод математической обработки.
База исследования: ОАО «Амурская ярмарка».
Выборка: 10 человек.
1. ТЕОРЕТИЧЕСКИЙ АНАЛИЗ ПОНЯТИЙ САМООЦЕНКА И ТРЕВОЖНОСТЬ
1.1 Понятие самооценки и ее виды
Самооценка – оценка личностью самой себя, своих возможностей, собственных качеств, достоинств, недостатков и места среди других людей; также это степень восприятия себя хорошим, компетентным, достойным уважения. Самооценка является важным регулятором поведения человека, от нее зависят взаимоотношения с окружающими, критичность и требовательность к себе, отношение к своим успехам и неудачам. Самооценка влияет на эффективность деятельности человека и дальнейшее развитие его личности, тесно связана с уровнем притязаний человека, то есть с трудностью целей, которые он ставит перед собой. Расхождение между притязаниями и возможностями человека ведет к тому, что он начинает неправильно себя оценивать, вследствие чего его поведение становится неадекватным: возникают эмоциональные срывы, повышается тревожность.
Вид самооценки – это соответствие самооценки реальному положению дел. Выделяют самооценку адекватную и неадекватную. Неадекватная самооценка подразделяется на завышенную и заниженную. Человек с адекватной самооценкой реально воспринимает свои способности, особенности и возможности. Он трезво осознает как свои недостатки, так и достоинства. При завышенной самооценке человек склонен себя переоценивать, при заниженной же, напротив, недооценивать. Склонность к определенному виду самооценки является достаточно устойчивым личностным качеством.
Многое из того, что человек делает или отказывается делать, зависит от его уровня самооценки. Те, кто сам не считает себя очень талантливым, не стремится к очень высоким целям и не проявляет огорчения, когда ему не удается что-нибудь хорошо сделать. Человек, который думает о себе как о никчемном, ничего не стоящем объекте, часто неохотно прилагает усилия, чтобы улучшить свою судьбу. С другой стороны, те, кто высоко себя ценит, часто склонны работать с большим напряжением. Они считают ниже своего достоинства работать недостаточно хорошо.
Человек с высоким уровнем самооценки воспринимает себя как более способную и достойную личность, чем человек с низким уровнем самооценки. Интересно также, что отрицательное самовосприятие приводит к более предсказуемому поведению, чем положительное.
Психиатры часто говорят о том, адекватна или неадекватна самооценка человека, но всегда возникает вопрос о границах этой адекватности. Считается, что самооценка измеряется по континууму, по одномерной шкале от высокой к низкой. В действительности, вопрос этот гораздо сложнее, так как самооценка человека складывается из чувств, которые он испытывает к самому себе. Любая ориентация, возможная в отношении других людей, может быть обращена на самого себя. Точно так же, как другой человек может быть объектом бескорыстной любви, человек может подходить к себе как к объекту безусловно ценному. Точно так же, как на других можно обижаться или ненавидеть, человек может относиться к себе, как к опасному объекту. Тщеславие может рассматриваться как форма героепочитания, когда сам субъект выступает в качестве героя. Точно так же как к другим людям можно относиться с презрением, человек может унижать самого себя.
Завышенная и заниженная самооценки являются в равной мере нежелательными потому, что в первом случае имеется опасность формирования и сохранения многих отрицательных качеств, таких как нетерпимость к мнениям других, высокомерие, во втором – безынициативность, трудность общения с другими.
В результате проведенного исследования Бороздиной был выявлен элемент неадекватности завышенной самооценки у мужчин и неадекватности заниженной самооценки у женщин. Как пишет И.С.Кон, мужчины и в старости остаются менее самокритичными, чем женщины. Однако по комплексу полученных результатов не только не исключена, но и вполне вероятна в каждой из субвыборок частичная неадекватность обратного знака - завышение самооценки у женщин и занижение у мужчин. Эти данные указывают на выраженную индивидуальную дифференциацию самооценки, что может означать ее зависимость от многих факторов - личностных особенностей человека, общего стиля его жизни, воспитания и др.
«Установлено, что субъекты с промежуточными показателями оценки себя характеризуются более оптимальными, устойчивыми психическими состояниями, чем лица с высокими и низкими ее значениями».
Самооценка может быть высокой и низкой, различаться по степени устойчивости, самостоятельности, критичности. Высота считается очень важным параметром для самооценки.Существуют различные варианты ее измерения.
Наиболее распространенной в отечественной психологии является техника Дембо-Рубинштейн. В методике Дембо-Рубинштейн обследуемые проставляют три отметки на графических шкалах, соответствующие реальной, идеальной и достижимойсамооценки.
Анализ полученных данных выявляет совершенно очевидное отличие позиций реальной самооценки в разных возрастных группах. Реальная самооценка с возрастом имеет очевидную тенденцию к снижению. Что же касается идеальной самооценки по параметру высоты, то она также характеризуется падением с увеличением возраста испытуемых. Достижимая самооценка тоже имеет возрастную динамику. В пожилом и старческом возрасте достижимая самооценка почти не различается с реальной, иногда полностью сливаясь с ней. Отставание реальной самооценки от достижимой и идеальной имеет линейную зависимость: оно уменьшается с возрастом. Это означает, что отдельные элементы общей структуры самооценки с ранней молодости до поздней старости постепенно сближаются. В результате вся самооценочная конструкция снижается по мере увеличения возраста, нередко до полного слияния образующих ее элементов: реальной, достижимой и идеальной. В результате исследования самооценки, проведенного Бороздиной в разных возрастных группах была выявлена следующая закономерность: обследуемые первой зрелости ориентированы, главным образом, на идеальную самооценку; лица второй зрелости – на достижимую; пожилые определенно начинают склоняться к реальной самооценке; у престарелых она становится ведущим элементом. Интересен специфический механизм самооценивания в разных возрастных группах. У лиц первой зрелости базовым механизмом служит «социальное сравнение», то есть сопоставление себя с другими; у испытуемых второй зрелости - установка на личные представления и свои реальные достижения; пожилые, сохраняя подобную установку, обращаются к социальному сравнению и вводят «временное», к чему преимущественно тяготеют и престарелые, ориентируюсь на собственное «Я» в цикле жизни и выполняя это сравнение в диаде «Я есть - Я был».
Самооценка сильно влияет на наше восприятие окружающих. Человек, в глубине души не уважающий себя, считающий, что он не способен вызвать к себе серьезное отношение других, едва ли сможет сам кого-то уважать. Тот, кто думает, что недостоин любви, никогда не научится любить. Человек, низко себя ставящий, едва ли будет когда-либо счастлив. С другой стороны, в традициях воспитания стран постсоветского пространства уже с самого детства внушали человеку, что хорошего человека отличает самокритичность. Но самокритичность подразумевает конкретные недостатки, с которыми нужно бороться. Низкая самооценка отличает не отдельные недостатки, она отрицает ценность личности в целом. Поэтому является скорее препятствием к борьбе с отдельными недостатками, так как если человек считает себя плохим в целом, то не видит смысла в искоренении отдельных недостатков. Эта позиция вредна и опасна не только для самого человека, но и для окружающих, так как тот, кто не ценит собственной личности, не посчитается и с чужой.
Полноценный человек, деятельный и полезный для общества, реализующий свои творческие возможности, способный прийти на помощь близким – это человек с несколько завышенной или адекватной самооценкой. К такому тянутся, с таким дружат, такому скорее повезет в любви.
1.2 Тревожность - ее виды и формы
Проблема тревожности занимает особое место в современном научном знании. С одной стороны, это «центральная проблема современной цивилизации», важнейшая характеристика нашего времени, с другой - это психическое состояние, вызываемое специальными условиями эксперимента или ситуации.
Поэтому не удивительно, что этой проблеме посвящено большое количество исследований, причем не только в психологии и психиатрии, но и биохимии, физиологии, философии, социологии.
В «Психологическом словаре» под тревожностью понимается «индивидуальная психологическая особенность, проявляющаяся в склонности человека к частым и интенсивным переживаниям состояния тревоги, а также в низком пороге его возникновения».
Согласно концепции Спилбергера, следует различать тревогу как состояние и тревожность как свойство личности. С точки зрения автора, существует возможность измерения различий между двумя упомянутыми видами психических проявлений, которые обозначаются A-state (тревога-состояние) и A-trait (тревога-черта), то есть между временными, преходящими особенностями и относительно постоянным предрасположением.
Спилбергер считает что, тревога – реакция на грозящую опасность, реальную или воображаемую, а тревожность - индивидуальная психологическая особенность, состоящая в повышенной склонности испытывать беспокойство в различных жизненных ситуациях, в том числе и тех, объективные характеристики которых к этому не предрасполагают. Понимание тревоги в теории Спилбергера определяется следующими положениями:
1. Ситуации, представляющие для человека определенную угрозу или личностно значимые, переживается как неприятное эмоциональное состояние различной интенсивности;
2. Интенсивность переживания тревоги пропорциональна степени угрозы или значимости причины переживаний. От этих факторов зависит длительность переживания состояния тревоги;
3. Высокотревожные индивиды воспринимают ситуации или обстоятельства, которые потенциально содержат возможность неудачи или угрозы, более интенсивно;
4. Ситуация тревоги сопровождается изменениями в поведении или же мобилизует защитные механизмы личности. Часто повторяющиеся стрессовые ситуации приводят к выработке типичных механизмов защиты.
Сидоров отмечает, что деление тревожности на ситуативную и личностную тревожность прочно вошло в психологический обиход и стало весьма удобным не только в теории, но и в диагностической и экспериментальной практике.
Относительно соотношения двух названных форм тревожности, генетически первичной следует считать ситуативную тревожность, вторичной – личностную тревожность. Жизненный опыт человека, фиксирующий частоту и интенсивность испытываемых состояний тревоги, непосредственно влияет на формирование тревожности как черты личности; личностная тревожность же определяет особенности функционирования ситуативной тревожности при ее актуализации и, значит, выступает базовой в подобном случае.
Мэй определял тревогу как «субъективное состояние личности, понимающей, что ее существование может быть разрушено, что она может превратиться в «ничто». Человек испытывает тревогу, когда осознает, что его существование или какие – то ценности, отождествляемые с ним, могут быть уничтожены. Позднее Мэй выдвинул другое определение тревоги – как ощущение угрозы, направленной на важные для человека ценности. Значит, тревога может происходить как из осознания возможности нашего небытия, так и из угрозы жизненно важным для человека ценностям и стать причиной застоя и упадка. Тревога может возникнуть при встрече с препятствиями. Свобода не может существовать без тревоги, становясь более свободным, человек неизбежно испытывает тревогу.
Важным результатом исследований Кэттела и его коллег явилось выделение собственно феномена тревожности, в отличие от сходных явлений депрессии, склонности пессимистическому восприятию жизни, невротизма. Был также выделен ряд типичных для состояния тревоги физиологических и биохимических показателей.
Я. Рейковский рассматривая влияние тревоги на уровень притязаний (его занижение или завышение), концептуирует тревогу и тревожность как проявление дефектов в структуре личности и, прежде всего, в нарушении механизмов саморегуляции, проявляющихся в переживании незащищенности, в снижении чувства безопасности.
В работах Березина, оценивается роль тревоги в процессе психической адаптации человека. Тревога изменяет характер поведения, ведет к усилению поведенческой активности, побуждает к более интенсивным и целенаправленным усилиям и тем самым выполняет адаптивную функцию. Однако в случае, если интенсивность и длительность тревоги неадекватны ситуации, это препятствует формированию адаптивного поведения и ведет к нарушениям поведенческой интеграции, а иногда и к клинически выраженным нарушениям психики и поведения.
Березин основываясь на экспериментальных исследованиях и клинических наблюдениях, развивает представление о существовании тревожного ряда: 1. Ощущение внутренней напряженности (включает механизмы адаптации). 2. Гиперестезические реакции (множество событий внешней среды становятся значимыми для субъекта, что способствует появлению ощущения неопределенной угрозы). 3. Собственно тревога характеризуется чувством неясной опасности (признаком тревоги является невозможность определить характер угрозы и неосознаваемость причин. 4.Страх. Неосознаваемость причин тревоги, делают невозможным организацию деятельности по устранению или предотвращению угрозы. 5.Ощущение неотвратимости надвигающейся катастрофы, нарастание интенсивности тревоги приводит субъекта к представлению о невозможности избегания угрозы. 6.Тревожно-боязливое возбуждение (дезорганизация поведения достигает максимума, возможность целенаправленной деятельности исчезает).
Все эти феномены проявляются по-разному, в зависимости от стабильности психического состояния.
Таким образом, на современном этапе развития психологии, большинство авторов считают, что тревога – реакция на грозящую опасность, реальную или воображаемую, а тревожность - индивидуальная психологическая особенность, состоящая в повышенной склонности испытывать беспокойство в различных жизненных ситуациях.
Астапов говорит о необходимости функционального подхода к изучению тревоги, на основании которого можно определить это состояние как результат сложного процесса, включающего когнитивные, аффективные и поведенческие реакции на уровне целостной личности. Этот процесс развертывается в ситуации, субъективно оцениваемой как потенциально опасная. Тревога ориентирована на поиск источника опасности и оценку средств для её преодоления.
Он рассматривает следующие психические функции тревоги:
1. Функция сигнала – имеет приспособительное значение – сигнализирует о неопределенной опасности и побуждает к ее поиску.
2. Функция поиска – человек пытается найти источник угрозы, так как соприкосновение с опасностью разряжает беспокойство (нормальная тревожность), при постоянном поиске источника угрозы можно говорить о патопсихологических нарушениях личности.
3. Функция оценки – анализ сложившейся ситуации. Имеет сложный характер, включающий не только перцептивные функции, но и процессы памяти, способность к абстрактному мышлению, актуализации прошлого опыта и умений человека и т. д. Особенность этой функции заключается в том, что она включает защитные и приспособительные функции, помогающие организму адаптироваться.
На основании функционального подхода можно определить тревогу как результат сложного процесса, включающего когнитивные, аффективные и поведенческие реакции на уровне целостной личности. Тревога ориентирована на поиск источника опасности и оценку средств для ее преодоления.
Прихожан выделяет такие разновидности тревожности, как:
- устойчивая тревожность в какой-либо сфере (тестовая, межличностная, экологическая и др.) - ее принято обозначать как специфическую, частную, парциальную;
- общая, генерализованная тревожность, свободно меняющая объекты в зависимости от изменения их значимости для человека. В этих случаях частная тревожность является лишь формой выражения общей.
Различают также нормальную и невротическую тревожность. Нормальная тревожность - это реакция человека на угрозу его ценностям, которые он считает для себя единственно важными и возможными для существования себя как личности. Нормальная тревожность адекватна реальной угрозе, она не таит в себе депрессию или меланхолию. Ранк подчеркивал, что нормальная тревожность сопровождает переживания индивида на протяжении всей его жизни и если потенциально формирующие тревожность переживания преодолены успешно, то это ведет к большей независимости и к восстановлению новых уровней отношений с другими людьми.
Мэй отмечал, что нормальная тревожность, как и любая тревожность, есть реакция индивида на угрозу ценностям, которые он считает единственно возможными для его существования как личности. Но нормальной тревожностью может быть призвана реакция, которая:
- адекватна реальной угрозе;
- не включает подавление или другие механизмы разрешения внутреннего психического конфликта, а в результате этого - и внешнего;
- не требует невротических защитных механизмов для управления собою, но может быть изменена конструктивно на уровне произвольного осознания или ослаблена при объективном изменении ситуации.
Большое внимание в литературе уделяется также конкретным, частным видам тревожности, например, школьной тревожности у детей (Костина, 2004; Дмитриева, 2005; Никитина, 2006; Сушков, 2006 и др. авторы).
Прихожан изучала формы тревожности в процессе индивидуальной и групповой работы с детьми и подростками. Под формой тревожности понимается особое сочетание характера переживания, осознания, вербального и невербального выражения в характеристиках поведения, общения и деятельности. Форма тревожности проявляется в стихийно складывающихся способах ее преодоления и компенсации, а также в отношении человека к этому переживанию.
Проведенная работа подтвердила наличие двух основных категорий тревожности: 1) открытая - сознательно переживаемая и проявляемая в поведении и деятельности в виде состояния тревоги; 2) скрытая - в разной степени не осознаваемая, проявляющаяся либо чрезмерным спокойствием, нечувствительностью к реальному неблагополучию и даже отрицанием его, либо косвенным путем через специфические способы поведения.
Внутри этих категорий были выявлены и подверглись специальному анализу различные формы тревожности. Выделены три формы открытой тревожности. 1.Острая, нерегулируемая - самостоятельно справиться с ней индивид не может. 2.Регулируемая и компенсируемая тревожность. Внутри этой формы выделились две субформы: а) снижение уровня тревожности; б) использование ее для стимуляции собственной деятельности, повышения активности. 3.Культивируемая тревожность - в этом случае тревожность осознается и переживается как ценное для личности качество, позволяющее добиваться желаемого.
Скрытая тревожность встречается существенно реже, чем открытая. Одна из ее форм - «неадекватное спокойствие». В этих случаях индивид, скрывая тревогу как от окружающих, так и от самого себя, вырабатывает сильные и негибкие способы защиты от нее, препятствующие осознанию как определенных угроз в окружающем мире, так и собственных переживаний. Вторая форма скрытой тревожности - «уход от ситуации».
Исследования тревожности у детей и подростков, проводимые Прихожан (1991, 1998, 2000, 2007), привели к предположению о том, что тревожность все же не является собственно личностным образованием. Она пока своего рода функция неблагоприятных особенностей общения. В тех случаях, когда удается изменить отношение родителей к ребенку (например, уговорить родителей снизить уровень требований, более выражено проявлять эмоциональную поддержку) тревожность исчезает.
Таким образом, анализ видов и параметров самооценки показывает, что существует множество точек зрения на разделение самооценки на какие-либо определенные виды, а также на выделение конкретных параметров данного конструкта.
Прихожан отмечает, что с подросткового возраста тревожность все более опосредуется самооценкой, приобретая черты собственно личностного образования. Изменяется ее мотивирующая функция – вместо функции «сигнала» об опасности, она приобретает функцию защиты привычного отношения к себе, привычной самооценки. В дальнейшем при осознании и обобщении индивидом опыта своей жизни тревожность может как бы «окрасить» систему ценностей, повлиять на мировоззрение. Тревожность, возникнув первоначально на базе одной потребности (потребности в межличностной надежности), затем как бы «укореняется» в личности и начинает обслуживать одну из ее центральных потребностей - потребность в удовлетворяющей, привычной самооценке, которая приобретает ненасыщаемый характер. В этих условиях тревожность может становиться переживанием, имеющим для человека самостоятельную ценность, и может стать предметом потребности.
В работах, выполненных под руководством Бороздиной, при исследовании людей среднего возраста, было установлено, что особенности самооценки и уровня притязаний в отдельности не связаны с повышением тревожности. Тревожность вызывается конфликтом, выражающимся в рассогласовании уровней самооценки субъекта и его притязаний.
В работе Сидорова подтверждается этот факт на материале юности, где экспериментально доказано, что «расхождение высоты самооценки и притязаний сопряжено с ростом личностной тревожности».
Представление о том, что тревожность может быть вызвана любым внутренним конфликтом и основой является не содержание, а личностный смысл наиболее распространено».
Существуют подходы к изучению тревожности в связи с другими личностными конструктами, например, самооценкой.
По данным Прихожан, обследовавшей тревожных детей Москвы, выявилось, что характерной чертой таких детей является снижение самооценки. Они не способны уважать себя, ценить себя, что проявляется в неверии в свои способности, в свои силы.
Спилберге были установлены устойчивые корреляции между подшкалой реактивной тревожности и показателями самооценки.
Роджерс указывает на то, что конфликт личности между Я – идеальным и Я – реальным приводит к возникновению эмоционального напряжения и тревожности.
По мнению Прихожан, современное состояние исследований проблемы тревожности характеризуется определенной двойственностью, сочетанием общепринятых положений и недостаточной экспериментальной и клинической доказанностью, что во многом обусловлено недостаточностью онтогенетического аспекта изучения проблемы.
Причины, вызывающие тревожность и влияющие на изменение ее уровня, очень разнообразны и могут лежать во всех сферах жизнедеятельности человека.
Обнаруживается связь тревожности с характеристиками семьи и особенностями семейного воспитания; школьной успешностью; взаимоотношением с учителями и сверстниками; посттравматическим стрессом; экологией; природными предпосылками; социальными причинами – восприятие человеком окружающей его действительности как угрожающей и нестабильной.
В качестве важнейшего источника тревожности выделяется внутриличностный источник тревожности - внутренний конфликт, связанный с отношением к себе, самооценкой, Я – концепцией.
В результате исследований Сафина и его сотрудников выявилась следующая закономерность. Устойчивая, неадекватно завышенная самооценка коррелирует с низкой тревожностью и экстраверсией, а устойчивая, неадекватно низкая самооценка – с высокой тревожностью и интроверсией.
По данным Бороздиной была выявлена определенная зависимость: формирование личностной тревожности как следствия внутриличностного конфликта.
В настоящее время выделяются два типа источников устойчивой тревожности, это и длительная внешняя стрессовая ситуация, возникшая в результате частого переживания состояний тревоги (Ханин, Спилбергер, 1983), и внутренние–психологические и /или/ психофизиологические причины.
Вопрос о причинах устойчивой тревожности принадлежит к числу наиболее значимых, наиболее изучаемых и наиболее спорных.
2. ИССЛЕДОВАНИЕ ВЗАИМОСВЯЗИ САМООЦЕНКИ И МЕЖЛИЧНОСТНЫХ ОТНОШЕНИЙ
2.1 Организация и методы исследования
Цель данного исследования - выявить взаимосвязь самооценки и личностной тревожности у продавцов-консультантов.
Объект исследования – продавцы-консультанты.
Предметом исследования - является взаимосвязь самооценки и личностной тревожности у продавцов - консультантов.
Задачи исследования:
- выявить степень самооценки и уровень тревожности.
- определить взаимосвязь самооценки и уровня личностной тревожности.
- сделать выводы о результатах проведенного исследования.
База исследования: исследование проводилось ОАО «Амурская ярмарка». В исследовании приняли участие 10 человек (мужчины и женщины в возрасте 20-50 лет, работающие продавцами-консультантами).
Для проведения исследования были использованы:
методика диагностики самооценки эмоциональных состояний Ч.Д. Спилберга, Ю.Л. Ханина (личностной тревожности), методика Т. Дембо – С. Рубенштейна в модификации Бороздиной, метод ранговой корреляции Спирмена.
Методика диагностики самооценки эмоциональных состояний.
Ч.Д. Спилберга, Ю.Л. Ханина.
Данный текст является надежным и информативным способом самооценки уровня тревожности в данный момент (реактивная тревожность как состояние) и личностной тревожности (как устойчивая характеристика человека).
Реактивная тревожность - характеризуется напряжением, беспокойством, нервозностью. Очень высокая реактивная тревожность вызывает нарушение внимания, иногда нарушение тонкой координации.
Личностная тревожность - характеризует устойчивую склонность воспринимать большой круг ситуаций как угрожающие, реагировать на такие ситуации состоянием тревоги. Очень высокая личностная тревожность прямо коррелирует с наличием невротического конфликта, с эмоциональными и невротическими срывами и с психосоматическими заболеваниями.
Но тревожность не является изначально негативной чертой. Определенный уровень тревожности – естественная и обязательная особенность активной личности. При этом существует оптимальный индивидуальный уровень «полезной тревоги».
Шкала самооценки состоит из 2-х частей, раздельно оценивающих реактивную и личностную тревожность.(см. Приложение А).
Показатели личностной тревожности (ЛТ) подсчитываются по формуле:
ЛТ= S 1- S 2 +35 ,
где S1 – сумма зачеркнутых цифр на бланке по пунктам шкалы 22, 23, 24, 25, 28, 29, 31, 32, 34, 35, 37, 38, 40;
S2 – сумма остальных зачеркнутых цифр по пунктам 21, 26, 27, 30, 33, 36, 39.
При интерпретации результат можно оценивать так:
до 30- низкая тревожность;
31-45 – умеренная тревожность;
46 и более – высокая тревожность.
Методика Дембо- Рубеншейн в модификации Бороздиной.
Данная методика использовалась с целью определения уровня самооценки (см. Приложение Б).
Обследуемому предъявляется набор шкал в виде буклета бланков, на каждом бланке обозначена вертикальная линия длиной 120 мм. Участнику обследования говорят, что она обозначает почерк (пилотажная шкала), причем верхний полюс шкалы соответствует идеальному почерку, а нижний полюс занимают люди с самым плохим почерком (на середине отмечается середин в для глазомер). Обследуемого просят обозначить на этой линии чертой своё место. Затем на этой шкале его просят обозначить свои идеальные и достижимые позиции. Всего 10 шкал: здоровье, ум, характер, счастье, профессиональное мастерство, социальные контакты, внешность, общая оценка себя, будущее (определяется по одному параметру). По данной процедуре определяется реальная и достижимая самооценка, затем составляется график
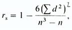
Метод коэффициента рангов Спирмена.
Коэффициент корреляции рангов Спирмена (rs ) - это непараметрический показатель, с помощью которого пытаются выявить связь между рангами соответственных величин в двух рядах измерений.
Этот коэффициент рассчитывать проще, однако результаты получаются менее точными, чем при использовании r. Это связано с тем, что при вычислении коэффициента Спирмена используют порядок следования данных, а не их количественные характеристики и интервалы между классами.
Дело в том, что при использовании коэффициента корреляции рангов Спирмена (rs ) проверяют только, будет ли ранжирование данных для какой-либо выборки таким же, как и в ряду других данных для этой выборки, попарно связанных с первыми. Если коэффициент близок к +1, то это означает, что оба ряда практически совпадают, а если этот коэффициент близок к -1, можно говорить о полной обратной зависимости.
Коэффициент rs вычисляют по формуле

где d - разность между рангами сопряженных значений признаков (независимо от ее знака), а - число пар.
Корреляционный анализ
При изучении корреляцийстараются установить, существует ли какая-то связь между двумя показателями в одной выборке либо между двумя различными выборками и если эта связь существует, то сопровождается ли увеличение одного показателя или уменьшением другого.
2.2 Анализ результатов исследования
В результате проведенного исследования по методике самооценки эмоциональных состояний Ч.Д. Спилберга, Ю.Л. Ханина мы получили следующие результаты, таблица 1.
Таблица 1 - Результаты изучения уровня личностной тревожности
| участники | пол | возраст | Уровень личностной тревожности | |
| баллы | Уровень | |||
| 1 | М | 23 | 41 | Умеренный |
| 2 | М | 25 | 23 | Низкий |
| 3 | Ж | 50 | 36 | Умеренный |
| 4 | Ж | 35 | 42 | Умеренный |
| 5 | М | 41 | 33 | Умеренный |
| 6 | Ж | 22 | 54 | Высокий |
| 7 | Ж | 38 | 61 | Высокий |
| 8 | М | 29 | 33 | Умеренный |
| 9 | М | 31 | 43 | Умеренный |
| 10 | Ж | 33 | 39 | Умеренный |
Анализ таблицы 1 показал, что уровень личностной тревожности среди испытуемых распределился следующим образом:
- низкий – 1 человек (7%);
- умеренный – 7 человек (73%);
- высокий – 2 человека (20%).

Рис. 1 – Уровни личностной тревожности
Все испытуемые с высоким или близким к высокому (42-43 балла) уровнем тревожности, оказались неудовлетворенными своей профессиональной состоятельностью. Они часто испытывают состояние дискомфорта на работе, внутреннего конфликта; они испытывают повышенную утомляемость и раздражительность; у них занижена самооценка.
Диагностика самооценки по методике Дембо-Рубинштейн в модификации Бороздиной.
В ходе проведения данной методики мы получили следующие результаты, и отразили их в таблице 2.
Таблица 2 - Результаты изучения уровня самооценки
| участники | пол | возраст | Самооценка | ||
| реальная | идеальная | достижимая | |||
| 1 | М | 23 | средневысокая | высокая | высокая |
| 2 | М | 25 | средняя | высокая | средневысокая |
| 3 | Ж | 50 | средняя | высокая | высокая |
| 4 | Ж | 35 | средневысокая | высокая | средневысокая |
| 5 | М | 41 | средняя | высокая | высокая |
| 6 | Ж | 22 | средняя | высокая | средневысокая |
| 7 | Ж | 38 | средняя | средневысокая | средневысокая |
| 8 | М | 29 | средняя | высокая | средняя |
| 9 | М | 31 | средняя | высокая | средневысокая |
| 10 | Ж | 33 | средняя | высокая | средняя |
Анализ таблицы 2 показал.
уровень реальной самооценки среди испытуемых:
- средняя – 7 человек (60%);
- средневысокая – 2 человек (27%);
- высокая – 1человека (13%).
уровень идеальной самооценки среди испытуемых:
- средняя – 1 человек (7%);
- средневысокая – 2 человека (14%);
- высокая – 12 человека (79%).
уровень достижимой самооценки среди испытуемых:
- средняя – 2 человека (20%);
- средневысокая – 5 человек (33%);
- высокая – 3 человек (47%).
|

Рис. 2 – Уровни самооценки
Ниже рассмотрим различные варианты связей уровня самооценки и личностной тревожности, полученные в результате проведения данных методик.
Для верификации гипотезы нами был проведен корреляционный анализ методом ранговой корреляции Спирмена.(см. Приложение Г). Для проведения анализа была подсчитана разница между реальной и идеальной самооценкой - один ряд наблюдений, а второй ряд личностная тревожность. По результатам проведения анализа по параметрам разницы идеальной и реальной самооценки здоровья, ума, счастья и т.д. (мы рассмотрим только 6 из 10 уровней) и их связями с уровнем личностной тревожности, мы получили следующие статистически значимые результаты.
1.Обнаружена корреляция между разницей идеальной и реальной самооценки здоровья и уровнем личностной тревожности ( r = 0,471, р = 0,006).
Эти данные говорят о том, что чем больше расхождение параметров реальной и идеальной самооценки по шкале здоровье, тем выше уровень личностной тревожности.
Испытуемый № 1:

Рис. 3 - Самооценка: реальная – средневысокая, неустойчивая; идеальная – высокая, устойчивая; достижимая – высокая, устойчивая; уровень личностной тревожности: умеренный (41 б) с тенденцией к высокому)
На графике (рис. 3), построенном нашим испытуемым видно, что по шкале здоровья наиболее значима разница между реальной и идеальной самооценкой. Корреляция нам доказывает наши предположения и показывает позиции, по которым умеренный уровень личностной тревожности увеличивается для индивидуума и определяется нами как умеренный уровень личностной тревожности с тенденцией к высокому.
2. Прямая корреляция обнаружена по показателям между разницей идеальной и реальной самооценки ума и уровнем личностной тревожности ( r = 0,426, р =0,015). Эти данные говорят о том, что чем больше расхождение параметров реальной и идеальной самооценки по шкале ум, тем выше уровень личностной тревожности.
Испытуемый № 2

Рис. 4 - Самооценка: реальная – высокая, устойчивая; идеальная – высокая, устойчивая; достижимая – средневысокая, устойчивая; уровень личностной тревожности: низкий (23 б)
У данного обследуемого расхождение между реальной и идеальной самооценкой по шкале ум достаточно большое. Несмотря на это обследуемый подчеркивает, что он «устроился хорошо в жизни», что «идеальный ум – это патология», очевидно, что обследуемый пытается снизить тревожность по этой шкале, убеждая себя, что и так все хорошо.
3. Прямая корреляция по показателям между разницей идеальной и реальной самооценкой по шкале счастье и уровнем личностной тревожности ( r = 0,491, р = 0,004). Можно сказать, что чем больше разница между показателями реального и идеального счастья, тем выше уровень личностной тревожности.
Испытуемый № 3

Рис. 5 - Самооценка: реальная – средняя, устойчивая; идеальная – высокая, устойчивая; достижимая – высокая, устойчивая; уровень личностной тревожности: умеренный (36 б)
Обследуемая именно по параметрам шкалы счастье имеет самое большое расхождение между реальной и идеальной самооценкой. С ней необходимо дополнительное проговаривание всех шкал, с выяснением и уточнениями обозначенных отметок. Возможно, что у обследуемой высокие требования к себе. Возможно, что она желает больше, чем может достичь, что и вызывает высокий уровень тревожности. Устойчивость самооценки говорит о том, что обследуемая надеется на себя и верит себе, но возможно, что она еще не разобралась во многом.
Испытуемый №4

Рис. 6 - Самооценка: реальная - средневысокая, неустойчивая; идеальная - средневысокая, устойчивая; достижимое – средневысокая, устойчивая; уровень личностной тревожности – умеренный с тенденцией к высокому (42б.)
Здесь мы тоже можем наблюдать большое расхождение между реальной и достижимой самооценкой на шкале счастье. Если мы обратимся к графику и внимательно посмотрим, то заметим, что чуть меньшее расхождение обследуемый имеет по шкале характер. Возможно, что именно не очень хороший характер, по мнению обследуемого, является одной из причин таких обозначений на шкале счастье.
4. Прямая корреляция обнаружена по показателям между разницей идеальной и реальной самооценки по шкале профессиональное мастерство и уровнем личностной тревожности ( r = 0,421, р =0,016). Чем больше разница между показателями реального и идеального профессионального мастерства, тем выше уровень личностной тревожности.
Испытуемый № 5

Рис. 7 - Самооценка: реальная – средняя, устойчивая; идеальная – высокая, устойчивая; достижимая – высокая, устойчивая; уровень личностной тревожности: умеренный тенденцией к высокому (33 б)
У этого обследуемого прослеживается достаточно сильное расхождение между показателями реальной и идеальной самооценки именно по шкале профессиональное мастерство. Также необходимо обратить внимание на шкалы счастье и социальные контакты, так как по этим шкалам имеется тоже значительное расхождение.
Испытуемый № 6

Рис. 8 - Самооценка: реальная – средняя, устойчивая; идеальная – высокая, устойчивая; достижимая – средневысокая, уровень личностной тревожности: высокий (54 б)
У этой обследуемой три наиболее значимых расхождения между показателями реальной и идеальной самооценки по шкалам ум, профессиональное мастерство и внешность. Все эти параметры корреляции обсуждаются в нашей работе. Возможно, что это наиболее уязвимые места для обследуемой? Такое расхождение между показателями реальной и идеальной самооценки дает не тенденцию к высокой личностной тревожности, а высокую личностную тревожность, что напрямую доказывает нашу гипотезу. Устойчивая самооценка и отметки на шкале общая оценка себя говорят о том, что обследуемая несмотря на высокие предъявляемые требования к себе принимает себя и хорошо относится к себе.
Испытуемый №7

Рис. 9 - Самооценка: реальная - средняя, неустойчивая; идеальная - средневысокая неустойчивая; достижимое – средневысокая, неустойчивая; уровень личностной тревожности – высокая (61б.)
На данном графике расхождение между показателями реальной и идеальной самооценки по шкале профессиональное мастерство у обследуемой самое значимое. Возможно, что есть связь или зависимость этого параметра от социальных контактов.
5. Прямая корреляция по показателям между разницей идеальной и реальной самооценки социальных контактов и уровнем личностной тревожности ( r = 0,483, р = 0,005). Чем больше разница между показателями реального и идеального по шкале социальные контакты, тем выше уровень личностной тревожности.
Испытуемый № 8

Рис. 10 - Самооценка: реальная – средняя, устойчивая; идеальная – высокая, устойчивая; достижимая – средняя, устойчивая; уровень личностной тревожности: умеренный с тенденцией к высокому (33б)
На данном графике расхождение между показателями реальной и идеальной самооценки по шкале социальные контакты у обследуемой достаточно значимое. «Идеал не достижим», «неуверенность в себе, хочу уменьшить контакты, больше заниматься собой, узнать и понять себя». У обследуемой возникает внутриличностный конфликт из–за незнания и непонимания себя. Самооценка устойчивая, это говорит о том, что обследуемая принимает себя и у нее есть силы и возможности помочь себе.
6. Прямая корреляция показана по показателям между разницей идеальной и реальной самооценки по шкале общая оценка себя и уровнем личностной тревожности ( r = 0,383, р =0,031). Чем больше разница между показателями реального и идеального общая оценка себя, тем выше уровень личностной тревожности.
Испытуемый № 9

Рис. 11 - Самооценка: реальная – средняя, устойчивая; идеальная – высокая, устойчивая; достижимое – средневысокая, устойчивая; уровень личностной тревожности – умеренный (43б.)
На данном графике видно, что у обследуемого достаточно большое расхождение между реальной и идеальной СО по шкале общая оценка себя, а также по шкалам: внешность, ум, счастье, профессиональное мастерство.
Испытуемый № 10

Рис. 12 - Самооценка: реальная – средняя, устойчивая; идеальная – высокая, устойчивая; достижимая – средняя, устойчивая; уровень личностной тревожности: умеренный с тенденцией к высокому (39б)
На графике мы можем проследить достаточное расхождение реальной и идеальной самооценки почти по всем параметрам, кроме шкалы общая оценка себя. Можно предполагать, что обследуемая имеет свою оценку себя, достаточно сильно отличающуюся от оценок окружающих ее людей. Необходимо особое внимание обратить на шкалу социальные контакты, так как на графике мы можем увидеть, что именно на данной шкале у обследуемой низкая реальная самооценка, что говорит нам о том, что она мало общается. Не хочет знать и принимать мнение других. Если посмотреть на линию достижимой самооценки, то именно только по шкале социальные контакты она имеет также низкий уровень, что предполагает нежелание обследуемой развитие социальных контактов. Если проследить линии реальной и достижимой самооценки далее, то мы можем предполагать, что причиной нежелания общения является оценка обследуемой своей внешности. Так как именно на шкале внешность у обследуемой самые низкие показатели, после социальных контактов. Самооценка устойчивая – обследуемый принимает себя.
Таким образом, можно сделать следующий вывод:
Обследуемые, у которых прослеживается сильное расхождение между реальной и идеальной самооценкой, имеют более высокий уровень тревожности. Обследуемые, имеющие приблизительно одинаковые уровни реальной и идеальной самооценки - менее тревожны. Следовательно, те обследуемые, которые больше довольны собой, принимают себя, не требуют от себя невозможного, характеризуются устойчивой самооценкой - имеют более низкий уровень тревожности. У них нет внутренних конфликтов или они не столь значимы, а также нет большего напряжения и противоречий.
ЗАКЛЮЧЕНИЕ
Изучение самооценки дает возможность узнать о том, как человек оценивает себя, какими критериями он при этом пользуется и каких социально нравственных ориентиров придерживается.
Изучение уровня личностной тревожности позволяет узнать насколько тревожность является личностным свойством и является ли стабильным индивидуальным качеством для данного человека.
Уровень тревожности может повышаться при неприятии себя, нелюбви к себе, непонимании себя по каким - то определенным параметрам самооценки, в этом случае можно говорить также о неустойчивости самооценки. Устойчивость самооценки помогает принять и понять себя, придает уверенности и силы. Тревожность также может быть сильной, когда реальная и идеальная самооценка имеют большое расхождение
Определение самооценки и уровня личностной тревожности и их параметров, а затем еще и проведенный анализ взаимосвязей, очень важны для диагностики личности. Это позволит при проведении консультационной и коррекционной работы оказывать соответствующую профессиональную помощь. Коррекционная работа должна быть направлена на понижение тревожности. Для этого необходима работа, направленная на выяснение ее причин. В работе над самооценкой необходимо уменьшить расхождение между реальной и идеальной самооценкой, помогая человеку научиться принимать себя и любить, а также больше доверять себе.
С помощью выстроенных графиков и проведенного корреляционного анализа мы смогли подтвердить выдвинутую нами гипотезу.
Самооценка и уровень личностной тревожности связаны между собой, по таким шкалам как: реальное здоровье, реальное счастье, реальные социальные контакты, реальная и достижимая внешность, реальная общая оценка себя. Корреляционной анализ выявил наличие отрицательной связи, а также подтвердил выдвинутую нами гипотезу о том, что высокая самооценка связана с низким уровнем личностной тревожности. А также существование двусторонней связи. Это доказывает нам, что не только самооценка влияет на уровень личностной тревожности, но и личностная тревожность влияет на самооценку.
С помощью корреляционного анализа мы доказали, что при сильном расхождении реальной и идеальной самооценки увеличивается уровень личностной тревожности.
БИБЛИОГРАФИЧЕСКИЙ СПИСОК
1. Аронсон Э. Социальная психология: Психологические законы поведения человека в социуме – М., 2004 - 558 с.
2. Астапов В.М. Функциональный подход к изучению состояния тревоги // Тревога и тревожность. – СПб., 2001, 156 – 165 с.
3. Березин Ф.Б. Психическая и психофизиологическая адаптация человека. – Л., 1998, 270 с.
4. Бернс Р. Развитие Я- концепции и воспитание. - М., 1996, 421 с.
5. Бороздина Л.В., Молчанова О.Н. Самооценка в первой зрелости // Вестник МГУ. Сер.14, Психология, 1990, №2, с.24 – 48.
6. Бороздина Л.В. Что такое самооценка? // Психологический журнал, 1992, Т.13, №4 с. 99 – 100.
7. Бороздина Л.В., Залученова Е.А. Увеличение индекса тревожности при расхождении уровней самооценки и притязаний // Вопросы психологии, 1993, №1, с.104-113.
8. Бороздина Л.В., Молчанова О.Н. Самооценка в возрасте второй зрелости // Вестник МГУ. Сер. 14., Психология, 1997, №1 с. 27 – 42.
9. Бороздина Л.В. Теоретико–экспериментальное исследование самооценки. - М., 1999.
10. Бороздина Л.В., Молчанова О.Н. Самооценка в разных возрастных группах: от подростков до престарелых. – М., 2001, 204 с.
11. Бурлачук Л.Ф., Морозов С.М. Словарь-справочник по психодиагностике. – СПб., 2006, 528 с.
12. Бэрон Р. Социальная психология: ключевые идеи – СПб., 2003.
13. Зинько Е.В. Соотношение характеристик самооценки и уровня притязаний. Часть 1. Самооценка и ее параметры // Психологический журнал, 2006, Т. 27, № 3, с. 18 – 30
14. Коллектив. Личность. Общение: Словарь социально-психологических понятий под редакцией Кузьмина Е. С. И Семенова В. Е. - М., 2002.
15. Кон И. С. Открытие «Я». - М., 1987, 367 с.
16. Лисина М. И. Общение, личность и психология ребенка. – Воронеж, 1997.
17. Молчанова О.Н. Самооценка: Стабильность или изменчивость? //Психология. Журнал Высшей школы экономики, 2006, Т. 3, №2, с. 23 - 51.
18. Мэй Р. Краткое изложение и синтез теорий тревожности // Тревога и тревожность. – СПб., 2001, 215 – 223 с.
19. Немов Р. С. Психология. Книга 1. –М., 2003.
20. Прихожан А.М. Изучение личностной тревожности в контексте теории Л.И. Божович // Формирование личности в онтогенезе. Сб. науч. тр. – М.:, 1991.
21. Прихожан А.М. Тревожность у детей и подростков: психологическая природа и возрастная динамика. – М., 2000, 304 с.
22. Прихожан А.М. Психология тревожности: дошкольный и школьный возраст. – СПб., 2007, 192 с.
23. Психологический словарь / Под ред. В.П. Зинченко. – М., 2006, 479 с.
24. Ранк О. Родовой травматизм // Тревога и тревожность. СПб., 2001, 23–30 с.
25. Реан А.А. Психология и психодиагностика личности. Теория, методы исследования, практикум. – СПб., 2006, 255 с.
26. Рейковский Я. Экспериментальная психология эмоций. – М., 1999, 392 с.
27. Сидоров К.Р. Самооценка в психологии // Мир психологии, 2006, №2.
28. Сидоров К.Р. «Триада риска» и ее связь с состоянием психосоматического здоровья в юности // Психологический журнал, 2006, Т.27, №6, с. 81-89.
29. Спилбергер Ч.Д. Концептуальные и методологические проблемы исследования тревоги // Стресс и тревога в спорте. – М., 1983, 12 – 24 с.
30. Тревога и тревожность / Сост. и общ. ред. В.М. Астапова. – СПб., 2001.
31. Фрейджер Р. Гуманистическая, трансперсональная и экзистенциональная психология К. Роджерс, А. Маслоу, Р. Мэй. – СПб., 2007, 221 с.
32. Хьелл Л., Зиглер Д. Теории личности. – СПб., 2007, 607 с.
33. Шибутани Т. Социальная психология – М., 1999 - 539 с.
34. http://www.psychol-ok.ru/statistics/spearman/
ПРИЛОЖЕНИЕ А
Методика диагностики самооценки эмоциональных состояний Ч.Д. Спилберга, Ю.Л. Ханина
самооценка тревожность личностная эмоциональная
Шкала самооценки (реактивная тревожность)
Фамилия И.О.__________________Дата________________
Инструкция: «Прочитайте внимательно каждое из приведенных ниже предложений и зачеркните соответствующую цифру справа в зависимости от того, как вы себя чувствуете в данный момент. Над вопросами долго не задумывайтесь, поскольку правильных или неправильных ответов нет».
№ п/п |
Высказывание | Нет, это не так | Пожалуй, так | Верно | Совершен-но верно |
| 1 | Я спокоен | 1 | 2 | 3 | 4 |
| 2 | Мне ничто не угрожает | 1 | 2 | 3 | 4 |
| 3 | Я нахожусь в напряжении | 1 | 2 | 3 | 4 |
| 4 | Я испытываю сожаление | 1 | 2 | 3 | 4 |
| 5 | Я чувствую себя свободно | 1 | 2 | 3 | 4 |
| 6 | Я расстроен | 1 | 2 | 3 | 4 |
| 7 | Меня волнуют возможные неудачи | 1 | 2 | 3 | 4 |
| 8 | Я чувствую себя отдохнувшим | 1 | 2 | 3 | 4 |
| 9 | Я встревожен | 1 | 2 | 3 | 4 |
| 10 | Я испытываю чувство внутреннего удовлетворения | 1 | 2 | 3 | 4 |
| 11 | Я уверен в себе | 1 | 2 | 3 | 4 |
| 12 | Я нервничаю | 1 | 2 | 3 | 4 |
| 13 | Я не нахожу себе места | 1 | 2 | 3 | 4 |
| 14 | Я взвинчен | 1 | 2 | 3 | 4 |
| 15 | Я не чувствую скованности, напряженности | 1 | 2 | 3 | 4 |
| 16 | Я доволен | 1 | 2 | 3 | 4 |
| 17 | Я озабочен | 1 | 2 | 3 | 4 |
| 18 | Я слишком возбужден и мне не по себе | 1 | 2 | 3 | 4 |
| 19 | Мне радостно | 1 | 2 | 3 | 4 |
| 20 | Мне приятно | 1 | 2 | 3 | 4 |
Шкала самооценки (личностная тревожность)
Фамилия И.О.__________________Дата________________
Инструкция: «Прочитайте внимательно каждое из приведенных ниже предложений и зачеркните соответствующую цифру справа в зависимости от того, как вы себя чувствуете в данный момент. Над вопросами долго не задумывайтесь, поскольку правильных или неправильных ответов нет».
№ п/п |
Высказывание | Почти никогда | Иногда | Часто | Почти всегда |
| 21 | Я испытываю удовольствие | 1 | 2 | 3 | 4 |
| 22 | Я очень быстро устаю | 1 | 2 | 3 | 4 |
| 23 | Я легко могу заплакать | 1 | 2 | 3 | 4 |
| 24 | Я хотел бы быть таким же счастливым, как и другие | 1 | 2 | 3 | 4 |
| 25 | Нередко я проигрываю из-за того, что недостаточно быстро принимаю решения | 1 | 2 | 3 | 4 |
| 26 | Обычно я чувствую себя бодрым | 1 | 2 | 3 | 4 |
| 27 | Я спокоен, хладнокровен и собран | 1 | 2 | 3 | 4 |
| 28 | Ожидаемые трудности обычно очень тревожат меня | 1 | 2 | 3 | 4 |
| 29 | Я слишком переживаю из-за пустяков | 1 | 2 | 3 | 4 |
| 30 | Я вполне счастлив | 1 | 2 | 3 | 4 |
| 31 | Я принимаю все слишком близко к сердцу | 1 | 2 | 3 | 4 |
| 32 | Мне не хватает уверенности в себе | 1 | 2 | 3 | 4 |
| 33 | Обычно я чувствую себя в безопасности | 1 | 2 | 3 | 4 |
| 34 | Я стараюсь избегать критических ситуаций и трудностей | 1 | 2 | 3 | 4 |
| 35 | У меня бывает хандра | 1 | 2 | 3 | 4 |
| 36 | Я доволен | 1 | 2 | 3 | 4 |
| 37 | Я озабочен | 1 | 2 | 3 | 4 |
| 38 | Всякие пустяки отвлекают и волнуют меня | 1 | 2 | 3 | 4 |
| 39 | Я уравновешенный человек | 1 | 2 | 3 | 4 |
| 40 | Меня охватывает сильное беспокойство, когда я думаю о своих делах и заботах | 1 | 2 | 3 | 4 |
ПРИЛОЖЕНИЕ Б
Исследование самооценки по методике Дембо-Руденштейн
Данная методика основана на непосредственном оценивании (шкалировании) испытуемыми ряда личных качеств, таких как здоровье, способности, характер и т. д. Обследуемым предлагается на вертикальных линиях отметить определенными знаками уровень развития у них этих качеств (показатель самооценки) и уровень притязаний, т. е. уровень развития этих же качеств, который бы удовлетворял их. Каждому испытуемому предлагается бланк методики, содержащий инструкцию и задание.
Проведение исследования
Инструкция. «Любой человек оценивает свои способности, возможности, характер и др. Уровень развития каждого качества, стороны человеческой личности можно условно изобразить вертикальной линией, нижняя точка которой будет символизировать самое низкое развитие, а верхняя - наивысшее. Вам предлагаются девять таких линий. Они обозначают: здоровье; ум, способности; характер; счастье; проф. мастерство; соц. контакты; внешность; общая оценка себя и будущее.
На каждой линии чертой (-) отметьте, как вы оцениваете развитие у себя этого качества, стороны вашей личности в данный момент времени. После этого крестиком (х) отметьте, при каком уровне развития этих качеств, сторон вы были бы удовлетворены собой или почувствовали гордость за себя».
Испытуемому выдается бланк, на котором изображено девять линий, высота каждой - 100 мм, с указанием верхней, нижней точек и середины шкалы. При этом верхняя и нижняя точки отмечаются заметными чертами, середина - едва заметной точкой.
Методика может проводиться как фронтально - с целой группой, так и индивидуально. При фронтальной работе необходимо проверить, как каждый испытуемый заполнил первую шкалу. Надо убедиться, правильно ли применяются предложенные значки, ответить на вопросы. После этого испытуемый работает самостоятельно. Время, отводимое на заполнение шкалы вместе с чтением инструкции, 10-12 мин.
Обработка и интерпретация результатов
Обработка проводится по шести шкалам (первая, тренировочная - «здоровье» - не учитывается). Каждый ответ выражается в баллах. Как уже отмечалось ранее, длина каждой шкалы 100 мм, в соответствии с этим ответы испытуемых получают количественную характеристику (например, 54мм = 54 баллам).
По каждой из шести шкал определить:
уровень притязаний - расстояние в мм от нижней точки шкалы («v») до знака «х»;
высоту самооценки - от «v» до знака «-»;
значение расхождения между уровнем притязаний и самооценкой - расстояние от знака «х» до знака «-», если уровень притязаний ниже самооценки, он выражается отрицательным числом.
Рассчитать среднюю величину каждого показателя уровня притязаний и самооценки по всем шести шкалам.
Уровень притязаний
Норму, реалистический уровень притязаний, характеризует результат от 60 до 89 баллов. Оптимальный - сравнительно высокий уровень - от 75 до 89 баллов, подтверждающий оптимальное представление о своих возможностях, что является важным фактором личностного развития. Результат от 90 до 100 баллов обычно удостоверяет нереалистическое, некритическое отношение детей к собственным возможностям. Результат менее 60 баллов свидетельствует о заниженном уровне притязаний, он - индикатор неблагоприятного развития личности.
Высота самооценки
Количество баллов от 45 до 74 («средняя» и «высокая» самооценка) удостоверяют реалистическую (адекватную) самооценку.
Количество баллов от 75 до 100 и выше свидетельствует о завышенной самооценке и указывает на определенные отклонения в формировании личности. Завышенная самооценка может подтверждать личностную незрелость, неумение правильно оценить результаты своей деятельности, сравнивать себя с другими; такая самооценка может указывать на существенные искажения в формировании личности - «закрытости для опыта», нечувствительности к своим ошибкам, неудачам, замечаниям и оценкам окружающих. Количество баллов ниже 45 указывает на заниженную самооценку (недооценку себя) и свидетельствует о крайнем неблагополучии в развитии личности. Эти люди составляют «группу риска», их, как правило, мало. За низкой самооценкой могут скрываться два совершенно разных психологических явления: подлинная неуверенность в себе и «защитная», когда декларирование (самому себе) собственного неумения, отсутствия способности и тому подобного позволяет не прилагать никаких усилий.
ПРИЛОЖЕНИЕ В
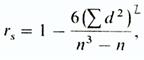
Коэффициент корреляции рангов Спирмена (rs ) - это непараметрический показатель, с помощью которого пытаются выявить связь между рангами соответственных величин в двух рядах измерений.
Этот коэффициент рассчитывать проще, однако результаты получаются менее точными, чем при использовании r. Это связано с тем, что при вычислении коэффициента Спирмена используют порядок следования данных, а не их количественные характеристики и интервалы между классами.
Дело в том, что при использовании коэффициента корреляции рангов Спирмена (rs ) проверяют только, будет ли ранжирование данных для какой-либо выборки таким же, как и в ряду других данных для этой выборки, попарно связанных с первыми. Если коэффициент близок к+1, то это означает, что оба ряда практически совпадают, а если этот коэффициент близок к -1, можно говорить о полной обратной зависимости.
Коэффициент rs вычисляют по формуле

где d - разность между рангами сопряженных значений признаков (независимо от ее знака), а - число пар.
Корреляционный анализ
При изучении корреляцийстараются установить, существует ли какая-то связь между двумя показателями в одной выборке либо между двумя различными выборками и если эта связь существует, то сопровождается ли увеличение одного показателя или уменьшением другого.
Похожие рефераты:
Связь самооценки и уровня личностной тревожности в среднем возрасте
Современные разработки в психологии
Ответы на госудаственные экзамены по психологии ЮУрГУ
Особенности структуры самосознания наркозависимых личностей
Роль телефона доверия в эффективном разрешении личностных проблем
Самооценка спортсменов и ее коррекция средствами самопознания
Когнитивное и личностное развитие старших подростков музыкальных школ
Особенности внимания младших школьников в зависимости от проявления тревожности
Изучение и коррекция личностной тревожности в младшем школьном возрасте
Я - концепция как фактор личностного самоопределения в ранней юности