| Скачать .docx |
Курсовая работа: Межличностные отношения в ученической группе
Содержание
Введение
1. Теоретические аспекты по проблеме межличностных отношений в ученической группе
1.1 Понятия о группах и коллективах
1.2 Социально-психологический климат как показатель взаимоотношений в ученической группе
Выводы по главе 1
2. Экспериментальное исследование межличностных отношений в структуре социально психологического климата учебной группы
2.1 Методы диагностики по изучению межличностных отношений в учебной группе
2.2 Практические рекомендации по сплочению классного коллектива
Выводы по главе 2
Заключение
Список литературы
Сегодня, когда постепенно учебно-дисциплинарная модель образования все же уступает свои позиции модели личностно ориентированной, учащиеся начинают приобретать, конечно, в соответствии со своими возрастными особенностями, статус более или менее полноценного субъекта образовательного процесса. В этих условиях система отношений "учащийся — учащиеся" становится особо значимой, а характер межличностного взаимодействия в ее рамках нередко оказывается решающим фактором, влияющим на протекание процесса личностного развития формирующегося человека, на его дальнейшую профессионализацию и в целом на весь жизненный путь, поэтому тема "Межличностные отношения в структуре социально психологического климата учебной группы", является актуальной.
Коллектив — устойчивая во времени организационная группа взаимодействующих людей со специфическими органами управления, объединенных целями совместной общественно-полезной деятельности и сложной динамикой формальных (деловых) и неформальных взаимоотношений между членами группы. Учебный коллектив имеет двойственную структуру: во-первых, он является объектом и результатом сознательных и целенаправленных воздействий педагогов, кураторов, которые определяют многие его особенности (виды и характер деятельности, число членов, организационную структуру и т. д.); во-вторых, учебный коллектив — это относительно самостоятельное развивающееся явление, которое подчиняется особым социально-психологическим закономерностям. Учебный коллектив, образно говоря, социально-психологический организм, требующий индивидуального подхода. То, что "срабатывает" по отношению к одной учебной группе, оказывается совершенно неприемлемым к другой. Опытные педагоги хорошо знают это "таинственное явление": две или несколько параллельных учебных групп постепенно как бы индивидуализируются, приобретают свое лицо, в результате появляется довольно резкое отличие между ними. В качестве причины этих различий педагоги указывают, что "погоду" в учебной группе делают определенные студенты, которые едва ли являются официальными руководителями учебного самоуправления.
Очень важно руководителю, педагогу, куратору ясно видеть структуру межличностных взаимоотношений в коллективе, чтобы уметь найти индивидуальный подход к членам коллектива и влиять на формирование и развитие сплоченного коллектива. Настоящий сплоченный коллектив не возникает сразу, а формируется постепенно, проходя ряд этапов.
Знание структуры неформальных взаимоотношений, того, на чем они основываются, облегчает понимание внутригрупповой атмосферы и позволяет находить наиболее рациональные пути воздействия на эффективность групповой работы. В этой связи большое значение приобретают специальные методы исследования, позволяющие выявлять структуру межличностных взаимоотношений в группе, выделять ее лидеров.
Исходя из вышесказанного, возникает противоречие между необходимостью помощи педагогу-психологу в работе с детьми с нарушением интеллекта и недостаточной разработанностью форм и методов для работы по сплочению коллектива.
Научная разработанность темы. Большое значение для педагогической практики имеет проблема отношения человека к членам своего коллектива (дружелюбное, безразличное, пренебрежительное, формальное), оставляющая широкий простор для психолого-педагогических исследований.
В разработку вопросов изучения межличностных отношений наибольший вклад внесли Б.Г. Ананьев, А.А. Бодалев, Л.И. Божович, Л.П. Буева, В.И. Зацепин, А.Б. Добрович, А.И. Донцов, В.А. Кан-Калик, Я.Л. Коломинский, И.С. Кон, В.Н. Куницина, А.Н. Леонтьев, М.И. Лисина, Б.Ф. Ломов, А. Маслоу, В.Н, Мясищев, Н.Н. Обозов, А.А. Оганесян, Б.Д. Парыгин, А.В. Петровский, С.Л. Рубинштейн и др.
Проблеме детерминации положения детей в группе уделяли внимание О.Я. Коломинская, Я.Л. Коломинский, А.С. Морозов, Ю.М. Плюснин и др.
Проблема аттрактивности (привлекательности), силы и активности в межличностных отношениях, разрабатываемая Л.Я. Гозманом, Е.И. Кульчицкой, Н.Н. Обозовым, Н.Л. Селивановой, тесно связана с направлением экспериментальных исследований, рассматривающих отношения, базирующиеся на чувствах "симпатии-антипатии". В рамках данного направления исследование значимых отношений предопределены развитием социометрического метода (Я.Л. Коломинский, И.П. Волков и др.).
Традиционная педагогика всегда ставила задачу изучения межличностных отношений, в связи с чем был разработан ряд методических средств, предполагающих использование определенных, не интегральных, методик для оценки отношения учащегося к своим одноклассникам, эмоциональных симпатий, зрелости детского коллектива и построение на их основе программ воспитания.
К проблеме диагностики межличностных отношений в группе обращались Н.В. Бахарева, А.С. Горбатенко, Р. Игнятович, Н.Н. Луковников, Е.А. Михайлычев, Дж. Морено, М.Е. Павлова, Л.Н. Собчик, П. Фюрстер, В.В. Шпалинский, У. Эссер, Ю.В. Янотовская, Е. Аркин, П. Блонский, А. Залужный, С. Ривес, Г. Фортунатов, Н. Шульман, А.С. Макаренко, С.Г. Шацкий, А.Н. Леонтьев, В.И. Слабодчиков, Е.И. Исаев и др.
Объектом исследования является учебная группа детей младшего подросткового возраста с нарушением интеллекта.
Предмет исследования – межличностные отношения в структуре социально психологического климата учебной группы.
Цель: выявить особенности межличностных отношений в структуре социально психологического климата учебной группы.
Задачи:
1. Провести теоретический анализ литературы по проблеме межличностных отношений в ученической группе младших подростков
2. Подобрать и провести методики диагностики отношений в структуре социально психологического климата учебной группы
3. Проанализировать полученные результаты исследования и сформулировать выводы
4. Дать практические рекомендации по сплочению классного коллектива
1. Теоретические аспекты по проблеме межличностных отношений в ученической группе
1.1 Понятия о группах и коллективах
Человек в течение жизни постоянно общается с другими людьми. В результате такого взаимодействия у него весьма значительно меняются настроение, восприятие окружающей действительности.
Основным микроэлементом общества многие социальные психологи считают малую группу. Именно здесь разыгрываются те социально-психологические процессы, от которых зависит эмоциональное самочувствие каждого отдельного человека. Что же такое группа?
В социальной психологии различают разные типы групп, их классифицируют по разным основаниям.
Условная и реальная группы. Условная группа - это общность людей, существующая номинально. Люди, входящие в эту группу, могут не только не встречаться, но и не знать ничего друг о друге. Они выделяются в группу по определенному признаку, например, команда лучших футболистов мира, символическая команда самых интересных журналистов года и пр.
Реальная группа - это фактически существующая группа, общность людей, объединенная реальными отношениями. Как только несколько человек вступают между собой в общение, между ними возникают связи, которые объединяют их в группу. Даже мимолетные общения людей порождают определенные отношения между ними.
Каждый человек входит не только в такие кратковременные объединения, но и в более постоянные группы: член семьи, спортивной команды, студенческой группы, бригады и пр. Число групп огромно. Они различаются между собой и по значению для человека, и по длительности существования, и по способу возникновения [4, c. 135-136].
Группы, специально кем-то организованные для выполнения определенной деятельности, называют формальными, а возникшие стихийно - неформальными.
Формальные группы создаются на основе официальных документов. Например, класс в школе, студенческая группа в вузе, штат сотрудников отдела, лаборатории, бригада рабочих и пр. Между членами такой группы устанавливаются деловые контакты, предусмотренные документами. Они предполагают соподчинение или равноправие, большую или меньшую ответственность за выполнение задачи. Обычно деловые отношения дополняются личными, не предусмотренными инструкциями. Психологическая близость членов группы - симпатии, уважение, дружба - помогает в работе, отрицательные отношения - антипатия, неуважение, вражда, зависть - вредят успеху дела.
Неформальная (неофициальная) группа возникает на основе симпатии, близости взглядов, убеждений, вкусов и пр. Официальные документы в этом случае не имеют значения. Так складываются группы товарищей, единомышленников. Когда симпатии и привязанности членов группы исчезают, группа распадается.
В реальной жизни не всегда бывает легко поставить группе точный диагноз - формальная она или неформальная.
Малая группа насчитывает до 30-40 человек.
Референтная группа выделяется по признаку отношения личности к нормам группы. Это реально существующая или воображаемая группа, взгляды, нормы которой служат образцом. Каждый человек имеет свою референтную группу, в которой он формирует свои идеалы, убеждения, с мнением которой он считается, чьей оценкой он дорожит [7, c. 50].
Человек может входить в группу, ценности которой он признает, поддерживает и считает самыми лучшими. Тогда он отстаивает, защищает эти нормы. Иногда человек, являясь членом одной группы, считает идеалом ценности, взгляды другой группы.
Каждый из нас принадлежит к нескольким группам, но своей группой, которая составляет для нас наибольшую ценность, мы считаем далеко не все. Именно в референтной группе мы черпаем нормы, ценности и установки своего поведения.
Может быть так, что человек фактически живет и действует в группе, которую он не считает своей. Он тянется к иной группе, нередко к такой, куда он никогда принят не будет.
Структура реальной группы. Каждая социальная общность имеет свою историю: зарождается, проходит определенные этапы развития, достигает высшего уровня и иногда прекращает существование. Это относится и к формальным группам, и к неформальным [1, c. 75-77].
Начало формирования группы - ассоциация - объединение людей на основе временного и пространственного признаков. Это, например, 1-й класс, группа I курса, туристическая группа и пр. Здесь еще нет общей цели, не налажены контакты деловые и личные. Но эти контакты постепенно устанавливаются. И тогда ассоциация перерастает в качественно иную и более сложную группу - группу-кооперацию (корпорация) - замкнутое в самом себе объединение людей. Здесь уже есть единство цели и единство деятельности по ее достижению. Но эта цель и деятельность обособлены, нередко противопоставляются целям других общностей, групп, общества в целом. Нет в такой группе и высокого уровня психологической коммуникативности.
Высшей формой развития социальной общности людей является коллектив. Вслед за А.С. Макаренко, который подчеркивал, что коллективом может быть признана лишь группа, объединенная деятельностью, явно полезной для общества, в определении коллектива всегда подчеркивается "вынесенность" целей за рамки данной группы. В коллективе люди: а) объединены общими целями совместной деятельности, б) эти цели обусловлены общественно-полезными мотивами, в) люди объединены на задачах деятельности, явно полезной для общества, г) взаимоотношения людей устойчивы, носят характер взаимопомощи, д) межличностные отношения опосредуются общественно ценным и личностно значимым содержанием совместной деятельности [13, c. 60-63].
В социальной психологии существуют разные подходы к классификации групп, будучи в той или иной мере условными, все они пытаются представить виды групп как результат их внутреннего развития, наметить ступени формирования группы-коллектива.
Всякий коллектив представляет собой малую группу, но не всякая группа может быть признана коллективом. Чтобы стать коллективом, группе надо пройти непростой путь развития от "группы-ассоциации" (или "диффузной группы") до группы-коллектива, а воспитание коллектива представляет собой управление этим процессом.
Группа, коллектив занимают существеннейшее место в процессе развития личности. Человек становится личностью в обществе других людей, он не может жить без общества себе подобных. Личностью, как мы знаем, человек не рождается, а становится, и становится именно благодаря общению с другими людьми. Не случайно Л.Н. Толстой писал, что "человек немыслим вне общества" [2, c. 40-43].
Мы постоянно находимся среди людей; очень близких, родных - дома, в кругу друзей хорошо знакомых или мало знакомых - на работе, учебе, в гостях, в различного рода клубах, кружках и секциях; совсем незнакомых - на улице, в автобусе и трамвае, театре и кино, в музее и магазине, в столовой и ресторане, в больнице и доме отдыха, в ателье и в химчистке, на катке и на пляже, в поезде и самолете - везде и всегда. Еще Марк Аврелий говорил: "Если бы ты хотел этого, ты не можешь отделить твою жизнь от человечества. Ты живешь в нем, им и для него. Мы все сотворены для взаимодействия, как ноги, руки, глаза." Лишение возможности общаться с другими людьми - одиночное заключение - во всех странах считается самым суровым (после смертной казни) наказанием [10, c. 63-65].
Психиатрические исследования показывают, к каким глубоким личностным расстройствам ведет лишение эмоциональных контактов, особенно в раннем детстве. В одном исследовании установлено: "Восстановление прерванных эмоциональных контактов возможно не более четырех раз, после чего ребенок перестает стремиться к такого рода контактам, и в общем, остается к ним равнодушным... вырастая, он оказывается „бездушным", бессовестным в том смысле, что отношения с другими людьми строит только лишь на холодном, сухом расчете" [5, c. 138-539].
В эмоциональных контактах с другими людьми у человека вырабатывается ощущение собственного достоинства, чувство защищенности, формируется уважение к людям, понимание их желаний, мыслей, чувств.
Взаимоотношения коллектива и личности сложные. С одной стороны, коллектив, безусловно, влияет на личность, он в состоянии не только формировать, но и перестраивать, перевоспитывать ее. С другой стороны, личность влияет на коллектив: каждый человек привносит в коллектив свой ум, эмоциональность, характер, способности.
Коллектив создается не ради коллектива, его значение в том, что он дает возможность личности реализовать свою индивидуальность и творческий потенциал в совместной деятельности с другими членами коллектива, направленной на достижение цели, значимой как для личности, так lля коллектива и общества в целом.
Взаимоотношения людей в группах. Человек в группе, коллективе вступает в отношения Двоякого рода: деловые (официальные) и личные (неофициальные). Деловые и личные отношения составляют систему межличностных отношений. Взаимоотношения между людьми на работе (учебе) подчинены двум видам правил: нормам юридическим (формальным) и нормам моральным (неформальным).
Администраторы (руководители, начальники) склонны ценить первые, сотрудники - вторые правила. А как должно быть? Обе крайние позиции ущербны. При выполнении любой работы присутствуют и единые правила, и человеческие отношения. Иногда неформальные группы несут в себе некоторое социальное зло: круговая порука, преступный сговор с целью хищений и злоупотреблений. Однако все неформальные нормы, связи и группы ставить под подозрение нельзя. Неофициальные контакты между совместно работающими людьми естественны и неизбежны. Формальные и неформальные отношения тесно переплетены. От того, насколько это понимает руководитель, в значительной степени зависит психологический климат в любом трудовом коллективе. Уровень управленческой культуры включает не только умение рационально организовывать работу, но и культуру межличностного общения. Безличность в отношениях с подчиненными - "психологическая глухота" руководителя.
Итак, что определяет психологический климат в коллективе?
1. Тип межличностных отношений - соотношение демократизма (коллегиальность в обсуждении и решении вопросов) и авторитарности (господство воли руководителя при решении всех вопросов). Тип отношений определяет и стиль отношений в коллективе (группе) - от максимально личностно насыщенного до предельно обезличенного, формального, бюрократического. Исследования стиля руководства зародились в США в школе Курта Левина. Под стилем понималась та сторона взаимодействия лидера с группой, которая преимущественно связана с принятием решений и инструктированием. Решающим и единственным параметром стиля считалась степень разделения руководителем этих функций с членами группы. К. Левин и его сотрудники выделили три стиля: демократический, авторитарный и нейтральный (попустительский, либеральный). Многие авторы стремятся расширить традиционную схему стилей за счет введения в нее большего числа разновидностей стиля руководства, соотнося их с характеристиками групповой эффективности и подчеркивая необходимость умения руководителя использовать различные стили руководства в зависимости от конкретной обстановки.
2.Степень личной независимости каждого члена коллектива, т.е. широта сферы, в пределах которой сотрудник (работник) имеет возможность действовать и принимать решения самостоятельно.
3.Взаимопомощь и доброжелательность в отношениях.
4.Степень терпимости к разным точках зрения и мнениям по вопросам служебного, а тем более непроизводственного характера.
5.Справедливость и гибкость реально применяемой шкалы поощрения и порицания.
6.Сознание справедливости оценки нашего вклада, уверенность, что с нашим мнением считаются при решении производственных вопросов служат стимулом трудовой деятельности и способствуют созданию благоприятного психологического климата. Административные санкции являются антистимулами.
7.Умение руководителя выявлять, развивать и использовать индивидуальные способности каждого человека, его заинтересованность. Умение доверять людям, контролировать не по мелочам, а по конечным результатам, попусту не дергать и не нервировать их - это умение создать "командный дух" [8, c. 175-177].
Взаимоотношения людей в группах в значительной степени зависят от того, как они воспринимают друг друга. Мы уже знаем, что восприятие - это не пассивное отражение реальности, а активный творческий процесс. Личностные особенности воспринимающего оказывают на восприятие существенное влияние. Учеными выделены некоторые типичные искажения представлений о другом человеке, которые они назвали психологическими эффектами. Эти психологические эффекты могут в той или иной степени влиять на ход общения.
Таким образом, восприятие другого человека всегда связано с эмоциональным переживанием складывающихся взаимоотношений. И представление каждого человека о самом себе поддерживается преимущественно реакциями людей, которых он знает лично. Каждый участник первичной группы оценивает других и оценивается ими. Поэтому отношения между членами группы или коллектива не одинаковы: может возникнуть обоюдная или односторонняя привязанность или неприязнь, а также равнодушие. Все это определяет положение члена коллектива в системе межличностных взаимоотношений. Одни люди пользуются большей популярностью, авторитетом, чем другие. Первые с большим желанием и чаще избираются для контактов.
1.2 Социально-психологический климат как показатель взаимоотношений в ученической группе
Комплексным показателем взаимоотношений в коллективе является его социально-психологический климат — совокупность отношений членов группы: 1) к условиям и характеру совместной деятельности; 2) к коллегам, членам коллектива; 3) к руководителю коллектива.
Успешное выполнение педагогом своих профессиональных функций - необходимое условие формирования ученической группы высокого уровня развития (подлинного детского коллектива), становления личности школьников, подготовки их к последующей полноценной самостоятельной взрослой жизни. При этом, как показывают психологические исследования и сама педагогическая практика, решение этого комплекса как дидактических, так и важнейших воспитательных задач во многом зависит от форм организации учебно-воспитательного процесса в школе.
Психологические аспекты организации совместной учебной деятельности. Основная деятельность учащихся в школе учение - традиционно планировалась и организовывалась педагогом в форме индивидуальной и фронтальной работы.
Результаты индивидуальной деятельности (например, сочинения, диктанты, самостоятельные работы, экзамены) полностью зависят от усилий лишь данного конкретного школьника. Более того, в условиях традиционных форм обучения нередко неудачи одних учеников невольно создают благоприятный фон для проявления успехов других. Такая деятельность учащихся является коактивной, т.е. построенной по принципу "рядом, но не вместе", и не предполагает совместных усилий и взаимопомощи, даже если цели и задачи работы всех исполнителей идентичны. Скорее наоборот, возможности сотрудничества здесь резко ограничиваются самим педагогом.
В условиях фронтальной работы на уроке (работа со всем классом одновременно), так же, как и в ситуации индивидуальной деятельности, успех каждого школьника не предполагает в качестве обязательного условия успех его товарищей. По существу фронтальная работа представляет собой один из вариантов индивидуальной деятельности школьников, лишь тиражированной по числу учеников в классе.
Наиболее эффективна учебная деятельность, организованная по групповому принципу, или групповая работа на уроке.
По сравнению с традиционной индивидуальной и фронтальной формой обучения групповая деятельность учащихся на уроке в качестве необходимого условия предполагает повышение роли педагога в организации всего учебно-воспитательного процесса. Это определяет и резко возрастающий объем работы учителя, и качественное ее усложнение. С одной стороны, необходима специальная подготовка учебного материала и разработка оригинальных методик проведения урока, а с другой - важна и собственно психологическая сторона проблемы, т.е. организация взаимодействия учащихся. В связи с этим при формировании учебных групп и непосредственной работе с ними педагог вынужден учитывать целый ряд самых разнообразных факторов.
Одним из них, например, является такой важный в школьных условиях показатель, как успеваемость каждого ученика и уровень его внепрограммных знаний. Общепринятым до самого недавнего времени было представление о том, что оптимальным для совместной деятельности является однородный по этим признакам состав учебной группы. Именно поэтому применяемое порой в школьной практике прикрепление "отличников" и хорошо успевающих учеников к неуспевающим, как правило, рассматривается в качестве вынужденной меры, от использования которой выигрывает якобы только слабый, а сильный не только ничего не приобретает, но и существенно проигрывает. Однако проведенное психологическое исследование показывает, что на самом деле подобная точка зрения ошибочна и отражает хоть и прочно устоявшийся, но ложный по своей содержательной сути стереотип.
В ходе специально организованного эксперимента выяснилось, что один и тот же человек по-разному и с разной степенью эффективности решает интеллектуальные задачи в зависимости не только, а может быть и не столько, от того, работает он в одиночестве или в присутствии кого-то (это явление известно психологам еще с конца XIX века и достаточно подробно описано в понятиях фасилитации и ингибиции), сколько от того, сходен с ним или противоположен ему этот второй по значимому критерию. Так как в рассматриваемом случае в качестве такого критерия выступает успеваемость, были подобраны два типа пар - гомогенные (оба партнера хорошо успевающие или оба партнера неуспевающие ученики) и гетерогенные (один из партнеров хорошо успевающий ученик, а второй - неуспевающий). В результате оказалось, что в условиях гомогенного взаимодействия каждый из испытуемых-старшеклассников идентифицирует, невольно уподобляет свой уровень возможностей уровню возможностей партнера, в связи с чем неудача одного не только не стимулирует мыслительную активность его товарищей, а наоборот, как бы присваивается им, воспринимается как своя собственная, что нередко проявляется в отказе от дальнейшего поиска путей решения задачи. В условиях же гетерогенного взаимодействия неудача одного из них чаще всего выступает в качестве своеобразного стимула, подстегивающего мыслительную активность другого, мобилизующего его на поиск оригинальных, самостоятельных решений. При этом, как однозначно показывают экспериментальные данные, столь положительное воздействие оказывает не только сильный ученик на слабого, но и слабый на сильного (эффект "сила слабости") [3, c. 40-43].
Таким образом, совершенно очевидно, что подбор состава учебной группы целесообразно осуществлять с учетом уровня реальных знаний школьников и их успеваемости, зафиксированной не только в журналах и дневниках, но и в сознании их одноклассников. В то же время не вызывает сомнений факт, что даже таких важных данных, какими являются данные об успеваемости того или иного учащегося, явно недостаточно для решения вопросов, связанных с персональным комплектованием конкретной учебной группы. Психологически обоснованное решение этой задачи напрямую зависит от того, учтены ли педагогом характер взаимоотношений учащихся, их симпатии и антипатии, мотивы межличностных предпочтений, готовность к сотрудничеству. К тому же в педагогической среде до сих пор бытует давно сложившееся представление, что наиболее благоприятную позицию в данном случае в системе межличностных отношений занимают отличники. Это достаточно распространенное мнение на самом деле отражает по меньшей мере упрощенное видение ситуации, особенно если иметь в виду средние и старшие классы.
Специально проведенное психологическое исследование показывает, что в условиях традиционного обучения отношение одноклассников к отличникам неоднозначно. В большинстве случаев, давая характеристику последним, школьники отмечают их способность к самоорганизации, констатируют высокий уровень их знаний, отмечают сформированность и устойчивость учебных мотивов, но одновременно подчеркивают их склонность к обособлению, стремление ограничить контакты с менее успевающими учениками. Результаты этого исследования, кроме того, позволили сделать вывод и о том, что ни собственно индивидуально-психологические характеристики отличников, ни сам факт их высокой успеваемости определяющим образом не влияют на характер взаимоотношений в ученической группе. Решающим здесь оказывается специфика организации учебной деятельности, которая в ее традиционной форме, в отличие от формы групповой, нередко выступает в роли своеобразного барьера, препятствующего раскрытию личности хорошо успевающих школьников.
В связи с этим особое значение приобретает способность педагога при формировании учебных групп прогнозировать развитие межличностных отношений учащихся, которые могут сложиться в создаваемом сообществе. При этом педагог руководствуется реальной и субъективно осознаваемой школьниками картиной взаимоотношений в классе и не подменяет действительный "расклад сил" в нем желаемым.
Как показывают многочисленные психологические исследования, особое значение в плане активизации учебной деятельности в группе и повышения эффективности ее работы имеет степень взаимной значимости входящих в ее состав
учащихся. Так, в ходе одного из специально организованных экспериментов была выявлена четкая зависимость между степенью взаимной авторитетности старшеклассников, участвующих в совместной учебной деятельности, и ее продуктивностью. Оказалось, что авторитетный партнер повышает учебную активность одноклассника, если последний в свою очередь считает себя значимым в его глазах. Интересно, что подобная закономерность прослеживается даже и в том случае, когда реально этот учащийся нереферентен для авторитетного в его глазах партнера. В то же время авторитетный партнер несущественно повышает, а порой и вообще не стимулирует учебную активность одноклассника, если последний считает себя незначимым в его глазах. При этом подобная ситуация не меняется и в том случае, когда реально этот учащийся референтен для авторитетного в его глазах партнера.
Несмотря на видимые достоинства групповой учебной работы, возможности ее применения имеют и свои ограничения. Так, показано, что подобным образом организованные уроки наиболее эффективны в средних и старших классах и в том случае, если их количество не превышает двух в один день.
Согласно полученным опытным путем данным считается, что оптимальная величина таких групп - 5-7 человек. В то же время некоторые исследования показали, что в группах высокого уровня развития, в отличие от диффузных сообществ, интенсивность и продуктивность совместной деятельности не определяется численностью группы. В связи с этим достаточно обоснованным выглядит вывод о возможности варьирования численности учебной группы школьников в зависимости от уровня ее социально-психологического развития и способа организации взаимодействия в ней учащихся [8, c. 150-153].
Неформальные ученические группы. В то же время педагогу в рамках его собственно профессиональной деятельности приходится работать не столько с теми официальными группами, которые он сам формирует, для выполнения учебных и других социально заданных задач, сколько со стихийно складывающимися в детской и подростковой среде сообществами, представляющими собой явно неформальные объединения сверстников.
Как показывают и специальные психологические исследования, и сама педагогическая практика, неформальные сообщества учащихся, нередко складываясь и развиваясь в рамках официальных групп, оказывают порой определяющее влияние на становление не только отдельных школьников, но и всего класса в целом. Недооценка значимости таких неформальных объединений в условиях школы не может не привести к потере учителем контроля за реальной динамикой межличностных взаимоотношений учащихся и, в конечном счете, к существенному ограничению его воспитательных возможностей [1, c. 153-154].
Понятно, что и интенсивность формирования неофициальных группировок школьников, и сама острота проблемы их неформальных взаимоотношений оказываются принципиально различными в зависимости от того, о ком идет речь - о младших школьниках, подростках или старшеклассниках.
Так, в младшем школьном возрасте официальная структура класса фактически совпадает с его неформальной структурой. Более того, так как по большому счету группа одноклассников не является для младшего школьника высокореферентной группой членства, его взаимоотношения с соучениками, как правило, не несут решающую личностнообразующую нагрузку. Специально проведенные психологические исследования показывают, что определяющим в младшем школьном возрасте оказывается тип взаимоотношений "ребенок - значимый взрослый" (в первую очередь, эту роль, наряду с родителями, играют педагоги), а зависимым - "ребенок - значимый ровесник". По сути дела речь здесь может идти о том, что в начальных классах значимость учителя, который к тому же располагает возможностями посредством отметок существенно влиять на характер внутрисемейных связей ребенка, настолько высока, что оценка соучеников, а значит, и характер взаимоотношений одноклассников, определяющим образом зависят от того, каковы взаимоотношения учителя и конкретных учащихся. Другими словами, в данном случае мы сталкиваемся с ситуацией, при которой решающим основанием оценки одного ученика другим выступает их оценка педагогом. В связи с этим становится понятным и легко объяснимым неоднократно экспериментально зафиксированный факт господства в начальных (а особенно в первом) классах функционально-ролевых взаимоотношений между учащимися и склонности последних описывать и оценивать друг друга как бы через призму роли учителя, используя при этом по преимуществу не собственно личностные характеристики, а скорее особенности ролевого поведения ("хорошо учится", "не списывает", "послушный", "невнимательный", "озорничает на уроках" и т.п.) [16, c. 135-137].
В сущности ту же психологическую природу имеет и проявляющаяся в младшем возрасте и на первый взгляд труднообъяснимая тяга к ябедничеству ("Сидоров списывает", "А Петров толкается", "А Иванов подсказывает" и т.п.). Конечно, подобная "активность" не должна поддерживаться, а тем более стимулироваться педагогом, но и не может однозначно оцениваться как стремление досадить однокласснику, донести на него и добиться его наказания. Мотивы такого поведения младших школьников обычно носят совершенно иной характер. Оказавшись в новой социальной ситуации развития и будучи поставлен перед необходимостью адаптироваться к незнакомым условиям, вчерашний дошкольник, обращаясь к наиболее референтному для него лицу - учителю, как бы еще и еще раз проверяет "на прочность" осваиваемые им нормы и ценности школьной жизни и одновременно демонстрирует педагогу свои успехи в их усвоении.
Понятно, что столь высокая значимость педагога для младших школьников напрямую обусловливает характер внутригрупповой структуры класса. В подавляющем своем большинстве хорошо успевающие и дисциплинированные ученики, имея такую мощную поддержку, как позитивное отношение к ним педагога, занимают благоприятную позицию и в системе неформальных межличностных отношений. Представители именно этой категории учащихся являются в начальных классах социометрическими "звездами" и предпочитаемыми референтными лицами. Что же касается нарушителей дисциплины и отстающих в учебе школьников, то они чаще всего имеют низкий статус и нередко оказываются изолированными или отвергаемыми по эмоциональному и по деловому критериям. В целом эта закономерность отражает реальное положение дел на протяжении всего младшего школьного возраста [20, c. 20-25].
В то же время, как показывают многочисленные экспериментальные данные, уже к концу начальной школы начинает ослабевать и частично размываться столь жесткая и прямая зависимость взаимооценок учащихся от позиции педагога и его отношения к конкретным школьникам. В этот период наряду с функционально-ролевыми характеристиками одноклассников для младшего школьника все более значимыми становятся личностные свойства сверстников, заметно нарастает эмоциональная насыщенность их взаимоотношений. Такой существенный сдвиг в ориентациях не может не сказаться и на особенностях внутригрупповой структуры класса. Эти изменения неоднократно были зафиксированы в конкретных психологических исследованиях.
Так, в одном из них был проанализирован характер внутригрупповой неформальной структуры в первых и третьих классах обычных средних школ. В ходе эксперимента использовалась традиционная социометрическая процедура, в результате чего были выявлены социометрические "звезды", "отвергаемые", а также представители всех остальных промежуточных социометрических слоев. Кроме того, учителям, еще не знакомым с полученными в ходе опроса школьников данными, было предложено спрогнозировать результаты эксперимента: назвать предполагаемых социометрических "звезд" и "отвергаемых".
Оказалось, что учителя первых классов практически с предельной точностью воспроизвели реальный разброс социометрических выборов и отвержений и безошибочно определили как высокостатусных, так и низкостатусных учащихся. Прогноз же учителей третьих классов был хотя в целом и близок к реальной картине межличностных предпочтений учащихся, но все же не совсем точен. При этом группу "отвергаемых" учеников они обозначили исчерпывающе и совершенно верно назвали более 60% социометрических "звезд" [28, c. 50-53].
Неожиданным по сути дела для каждого из них оказалось наличие в руководимых ими классах как бы второй, скрытой от их глаз группы высокостатусных, значимых для одноклассников школьников. Нередко отношение к ним педагога было негативным, в то время как взаимоотношения учителя и названных им самим социометрических "звезд" в подавляющем большинстве случаев можно было однозначно определить как благоприятные. Легко увидеть, что источники высокой значимости для одноклассников этих двух категорий школьников принципиально различны. Если одни достигли своего положения в классе во многом благодаря сознательной или неосознанной поддержке педагога, то высокий статус других - их собственное, самостоятельное завоевание. По сути дела зарождение этой как бы "двуглавой" структуры класса на рубеже начальной и средней школы и есть показатель того, что на этом этапе начинает складываться собственно неформальная его структура, наиболее бурное формирование и развитие которой протекает в подростковых сообществах.
Мощный всплеск неформальных взаимоотношений школьников именно в подростковом возрасте и нередко избыточная эмоциональная насыщенность межличностных контактов чуть ли не первое, что отмечают все без исключения психологи, как только речь заходит об отрочестве. Стремление проявить себя как личность, индивидуализироваться в референтной группе требует от подростка поиска новых по сравнению с младшим школьным возрастом каналов трансляции своей личностности, обеспечивающих наибольшие, как ему кажется, возможности для самовыражения и самоутверждения. Взаимоотно
шения со значимыми сверстниками становятся для подростка на этом этапе поистине личностнообразующими, относительная же ценность для него взаимоотношений со взрослыми заметно снижается. Другими словами, определяющим в этот возрастной период оказывается тип взаимоотношений "ребенок - значимый ровесник", а зависимым - "ребенок - значимый взрослый".
Подобная качественная переориентация развивающейся личности в условиях школы совершенно закономерно приводит к не менее качественному переструктурированию класса. При этом бурно нарастающая значимость для учащихся их собственных неформальных взаимоотношений и отражающая характер этих связей столь же стремительно складывающаяся неформальная структура класса нередко не просто не совпадают с его официальной структурой, но порой напрямую ей противоречат. В этом случае, несмотря на иллюзию неизменности и кажущуюся стабильность ученической группы (как правило, на рубеже начальной и средней школы в классах не происходит существенной смены состава учащихся), в психологическом смысле она принципиально меняется и по сути дела превращается в новую общность школьников [30, c. 33-35].
Отношения с одноклассниками у подростков в отличие от младших школьников носят уже достаточно стабильный и избирательный характер. В реальности этой динамики легко убедиться на практике. Так, например, психологи, проводящие социометрические замеры в младших классах, выявили интересную закономерность: если перед началом эксперимента специально не напомнить школьникам, чтобы они не забывали отсутствующих в этот день учеников, последние обычно не упоминаются в экспериментальных бланках и попадают в категорию изолированных. Если же повторить эксперимент через несколько дней, когда эти якобы неизбираемые соучениками школьники будут присутствовать в классе, в категорию изолированных попадут уже другие ученики, не участвующие в опросе на этот раз.
Что касается подростков, то подобная проверка на стабильность межличностных связей со сверстниками дает принципиально иной результат: количество выборов и отвержений, которые конкретный школьник получает в ходе социометрического исследования, практически не зависит от того, находится он в классе или нет непосредственно в момент проведения опроса. Решающим здесь оказывается не сам по себе факт его реального присутствия или отсутствия, а степень и характер идеальной представленности его личности в сознании одноклассников, что в конечном счете и обеспечивает относительную стабильность взаимоотношений подростков.
Немаловажным показателем развивающейся у подростка избирательности в отношениях со сверстниками могут служить стихийно формирующиеся и относительно устойчивые дружеские диады и группировки. Как правило, в условиях школы складываются и параллельно существуют четыре типа таких дружеских сообществ [19, c. 150-155].
Первый из них представляют достаточно большие (от 4 и более человек) устойчивые группы школьников, которые формируются вокруг своеобразного центра. В качестве такового выступают либо один популярный в классе учащийся, либо сплоченная дружеская диада, в состав которой входят два популярных подростка. Одна из основных особенностей такой дружеской компании в том, что ее члены оказывают предпочтение своим взаимоотношениям с центром, а не связям между собой, которые носят скорее приятельский, чем дружеский характер. Другими словами, отличительной чертой такой неформальной группы является наличие ярко выраженного и признанного всеми лидера (или лидеров), степень близости с которым в значительной мере опосредствует взаимоотношения всех остальных.
Но подобный расклад сил далеко не всегда характеризует систему межличностных отношений в дружеских сообществах. Как показывают психологические исследования, нередко в большой устойчивой дружеской группировке, несмотря на наличие в ней наиболее популярного одноклассника, отсутствует сколько-нибудь выраженное стремление к преимущественному общению именно с ним. Группы этого, второго типа держатся не столько на лидере, сколько на значимости и привлекательности для подростков общения с группой в целом.
Третий и четвертый типы групп чаще всего состоят из новичков, аутсайдеров и школьников, друзья которых переменили место учебы. В этих случаях это либо устойчивые диады, реже триады, либо "осколочные" группы, образующиеся в связи с тем, что некоторые школьники лишены возможностей завязать дружеские отношения с другими одноклассниками [22, c. 15-17].
Несмотря на бесспорную активизацию неформальной жизни класса и резко возрастающую значимость соучеников для большинства школьников-подростков, было бы явно ошибочным априори приписывать ученической группе высокую референтность в глазах каждого подростка, а тем более рассматривать ее как единственно значимую для него группу членства. Является ли она в действительности таковой, в определяющей мере зависит от того, насколько широкие возможности открывает она для подростка в плане проявлениям его индивидуальности, насколько благоприятны в ней условия для расширения и углубления его межличностных связей, удовлетворения его статусных притязаний и в конечном счете для реализации потребности быть личностью и восприниматься другими как таковая.
Понятно, что ни одна реальная контактная группа не предоставляет всем своим членам совершенно одинаковые возможности и не создает совершенно одинаковые условия для развития личности. Не является исключением из этого правила и школьный класс. В действительности определенная часть учащихся оказывается как бы оттесненной на периферию группы: эти низкостатусные школьники не могут не только сколько-нибудь существенно влиять на своих соучеников, но и полноценно участвовать в жизни класса. Такой подросток по сути дела полностью лишается возможности в рамках школы удовлетворить свою потребность в самоутверждении, успешно индивидуализироваться, а затем и интегрироваться в классе и потому начинает активный поиск других сообществ, членство в которых позволило бы ему компенсировать свои личностные неудачи в ученической группе. Совершенно закономерно, что в этом случае происходит неуклонное повышение в его глазах референтности новой для него группы членства и падение значимости класса.
Кроме того, отмечают исследователи, если для подростка класс перестает быть референтной группой, то, как правило, у него резко снижается интерес и к общению с еще недавно значимыми для него взрослыми. При этом данный процесс, в целом естественный для периода отрочества, протекает в указанных обстоятельствах заметно быстрее, чем в ситуации, когда подросток занимает благоприятную позицию в системе межличностных отношений класса. Так, например, экспериментально зафиксировано, что "благополучные" школьники-подростки примерно в 3 раза чаще, чем низкостатусные члены класса, используют мнение взрослых (в первую очередь родителей и учителей) в качестве определенного ориентира при оценке морально-этической стороны своих поступков. Этому легко найти объяснение, если учесть тот факт, что нередко нормы и ценности новой значимой для подростка внешкольной референтной группы его членства не просто не совпадают с общепринятыми нормами и ценностями, а порой напрямую противоречат им, представляя собой более или менее жесткий подростковый "кодекс чести" ("кодекс подростничества"), опирающийся на представление о главенстве групповых норм над общечеловеческими, о второстепенности моральных принципов по сравнению с принципами приятельства [35, c. 20-21].
В раннем юношеском возрасте, в школьных условиях этот возрастной этап совпадает с временем обучения в старших классах, неформальные взаимоотношения учащихся не только не теряют для них своей значимости, но и приобретают особую ценность, так как играют роль своего рода испытательного "полигона", на котором юношами и девушками отрабатываются, апробируются, проверяются на верность стратегия и тактика будущей "взрослой" жизни. Именно с этим связано стремление старшеклассников расширить и углубить свое общение и взаимодействие с социальным окружением. При этом подобная активность носит ярко выраженный дифференцированный и избирательный характер. Так, если подросткам свойственно оценивать своих партнеров (и взрослых, и сверстников), как правило, однозначно, в целом, нередко располагая о них минимальной, порой чисто поверхностной информацией, опираясь, например, лишь на первое впечатление и как бы додумывая, достраивая образ ("эффект ореола"), то старшеклассники склонны, а главное, уже способны к детальному анализу личности другого. Более того, как показано в некоторых психологических исследованиях, список личностных свойств, которые попадают в поле зрения старшеклассников, когда они оценивают своих одноклассников, оказывается значительно более емким, чем тот набор качеств, которыми пользуется учитель, давая характеристику ученикам.
Такое подчеркнутое внимание к личности другого, а через нее и к собственной личности, и ярко выраженное стремление к самоопределению на фоне нарастающей потребности в интеграции в группе своего членства и в социуме в целом существенным образом сказываются на характере неформальных взаимоотношений в старших классах и на особенностях их неформальной внутригрупповой структуры. Дополнительным и притом порой определяющим фактором, влияющим на переструктурирование ученической группы, являются традиционно происходящие на рубеже IX и X годов обучения изменения в персональном составе классов, связанные с их перекомплектованием. При этом подавляющее большинство педагогов-практиков считает оптимальной ситуацию, когда состав X класса остается неизменным по сравнению с соответствующим IX классом, и в общем отрицательно относится к формированию классов, существенно обновляемых по своему составу за счет большого количества новичков. Основным аргументом здесь является будто бы имеющая место обратная зависимость между количеством новых учащихся и успеваемостью в старших классах. В то же время специально проведенное исследование показало, что подобная зависимость не прослеживается в действительности. Более того, ряд фактов указывает на то, что достаточно часто реальная картина прямо противоположна той, которая прогнозируется учителями [33, c. 50-55].
Кроме того, результаты экспериментальных психологических работ указывают на то, что попытки во что бы то ни стало сохранить в неприкосновенности состав класса на рубеже IX и X годов обучения в ряде случаев могут привести как к серьезным нарушениям в личностном развитии отдельных старшеклассников, так и к существенному снижению уровня развития класса как группы. Сохранение в неприкосновенности композиционной структуры класса на этом этапе было бы более чем целесообразно, если бы речь шла о подлинном коллективе. Но сама практика со всей очевидностью доказывает, что, к сожалению, классы общеобразовательной средней школы в подавляющем большинстве не достигают этого уровня социально-психологического развития. В подобных условиях целенаправленное поддержание неизменности их состава на протяжении всего времени обучения в школе может привести к некоторым негативным, "застойным" явлениям.
Конечно, сам по себе факт "перемешивания" состава классов еще не гарантирует немедленного положительного эффекта. Напротив, лишь частичное, не более чем на 25%, обновление состава класса порой приводит к нежелательным последствиям. В этом случае не происходит сколько-нибудь существенного нарушения расстановки сил в ученической группе, особенно если иметь в виду "старожилов", т.е. тех учащихся, у которых в новом, X классе остался тот же самый классный руководитель, что был и в IX. Порой наблюдается даже обратная тенденция. Появление в классе лишь небольшого количества новичков позволяет высокостатусным "старожилам" еще более укрепить свои позиции, самоутверждаясь за их счет, особенно если учитель, который был их классным руководителем на протяжении ряда лет, осознанно или неосознанно поддерживает в первую очередь "своих" учеников.
Как показало исследование, совершенно особая ситуация складывается в классах, претерпевших серьезные (не менее 75% новичков) изменения по сравнению с соответствующим IX классом. Это обусловлено тем, что в X классе интенсивно протекают группообразовательные процессы. При этом отсутствие в таких классах прямого противостояния "старожилы" - новички (в силу значительной "перемешанности" состава) позволяет каждому проявить себя в полной мере. Имеющиеся в такой ученической группе "старожилы", как правило, преуспевавшие в IX классе, вынуждены приложить все усилия для того, чтобы занять благоприятное положение в новой внутригрупповой структуре, а новички, даже если и занимали в своем бывшем классе низкостатусную позицию, получают реальную возможность завоевать достойное положение в системе межличностных отношений X класса. Немаловажен и тот факт, что работающие в таких классах учителя вынуждены в изменившихся условиях, хотят они того или не хотят, отказаться от сложившихся у них ложных стереотипов, пересмотреть точку отсчета, по-новому подойти к оценке каждого ученика [12, c. 65-67].
Понятно, что, несмотря на значимость такого фактора, как изменение состава ученической группы, специфический характер неформальной структуры старших классов определяется не только и не столько этим обстоятельством, сколько динамикой личностного развития школьников и его особенностями именно в период ранней юности. Так, например, если неформальные отношения у подростков преимущественно, а у младших школьников по сути дела исключительно строятся по принципу "мальчик - мальчик", "девочка - девочка", то в старших классах можно наблюдать формирование достаточно устойчивых разнополых компаний и диад.
Еще одним показателем усложнения неформальной структуры класса в этот период может служить появление такого нового основания для объединения учащихся в группы, как общность их профессиональных намерений. Психологические исследования показали, что если в подростковом возрасте межличностные взаимоотношения между соучениками во многом определяют выбор ими той или иной профессии, то к концу обучения в школе, когда планируемое профессиональное будущее оказывается максимально приближенным к настоящему, для многих старшеклассников именно их профессиональные намерения опосредствуют межличностные отношения с одноклассниками и способствуют формированию в рамках класса неформальных объединений учащихся по профессиональным интересам. Немаловажным является и то, что по уровню своего социально-психологического развития такие группировки, как правило (это было экспериментально зафиксировано), превосходят класс в целом.
Психологический контакт в педагогическом общении (от лат. contactus - соприкосновение) предполагает двустороннюю связь между общающимися. Условием поддержания и нормального развития его являются взаимное уважение и доверие лиц, вступивших в общение. Педагог в ходе учебно-воспитательной работы, вступая в контакт с учащимися, ожидает от них уважения, которое предполагает сама роль учителя. Эти обоснованные ролевые ожидания поддерживаются "Правилами для учащихся", традициями школы, единодушными требованиями учительского коллектива. Однако двусторонний характер контактов людей в общении, свою очередь, требует и от учителя уважения к учащимся и доверия к ним. Хорошо зная известную педагогическую формулу - "максимум требований к личности и максимум уважения и доверия к ней", некоторые учителя используют только первую часть, не считая для себя обязательным придерживаться второй, хотя это не две разные задачи, а одна и та же [17, c. 67].
В случае, если педагог проявляет, при всей принципиальности и требовательности, доверие и уважение к своим воспитанникам, действенным оказываются даже его скупые замечания, в то время как очень аргументированные и логичные нотации оставляют сплошь и рядом подростка равнодушным, если он не ощущает за словом учителя уважительного отношения к себе.
Взаимоотношения педагогов и учеников складываются не в вакууме. В большей или меньшей степени они являются производными от общей атмосферы школы, зависят от уровня понимания психологии школьников, характерного для педагогического коллектива, от его педагогической и психологической культуры. Эта объективная зависимость контактов обнаруживается при психологическом анализе любого происшествия школьной жизни - от мелкой провинности младшеклассника до ЧП, взволновавшего всю школу. Педагоги, умеющие сочетать требовательность с уважением к ученику, создают наиболее благоприятную психологическую атмосферу для осуществления целей воспитания. Обнаруживая в общении с учащимися уважение к ним, они формируют у подростков самоуважение, которое становится условием дальнейших контактов с ними. Опора в общении со школьниками, в особенности с подростками, на их самоуважение является надежным средством оказания на них продуктивного педагогического воздействия.
В отличие от взрослого у подростка, как правило, отсутствует устойчивая самооценка. Поэтому он вынужден ориентироваться на предполагаемые оценки своих поступков со стороны различных авторитетных для него лиц: родителей, педагогов, сверстников, старших ребят и т.д. При изменениях этих внешних оценок он стремится сохранить самоуважение как достаточно прочную опору для поддержания удовлетворяющего его общения с другими людьми, добиваясь того, чтобы они воспринимали его таким, каким он хотел бы выступить в их глазах. Опытные педагоги знают, как важно, налаживая успешное педагогическое общение с подростками, опираться на их самоуважение и с его помощью обеспечивать прочный психологический контакт.
Чувство самоуважения - инструмент точный, но хрупкий. И если взрослые по неосторожности, неведению или же намеренно разрушают у подростка чувство самоуважения, то они лишают его возможности противостоять дурным влияниям, делают невосприимчивым к хорошему примеру. Как бы ни был плох ребенок, но если у него сохранилось самоуважение, то это позволяет надеяться, что его удастся научить уважать и других людей, уважать общество, в котором он живет. А следовательно, в отношении него сохраняется оптимистическая перспектива. Разрушение же психологического контакта может привести к межличностному конфликту.
Межличностный конфликт. Нельзя представлять себе процессы общения всегда и при всех обстоятельствах гладко протекающими и лишенными внутренних противоречий. В некоторых ситуациях обнаруживается антагонизм позиций, отражающий наличие взаимоисключающих ценностей, задач и целей, что иногда оборачивается взаимной враждебностью - возникает межличностный конфликт. Социальная значимость конфликта различна и зависит от ценностей, которые лежат в основе межличностных отношений. Конфликтными становятся иногда взаимоотношения двух старшеклассниц, оказавшихся соперницами, равно претендующими на внимание юноши. Характер конфликта приобретает столкновение двух товарищей, один из которых совершил бесчестный поступок. Очевидно, что общественная оценка причин и характера этих конфликтов будет существенно различаться.
Это обстоятельство должно привлечь внимание к причинам возникновения межличностного конфликта, к его детерминации.
В процессе совместной деятельности в качестве причин конфликтов могут выступать два рода детерминант: предметно-деловые разногласия и расхождение личностно-прагматических интересов.
В том случае, если во взаимодействии людей, осуществляющих хорошо организованную, общественно ценную совместную деятельность, преобладают предметно-деловые противоречия, возникший конфликт, как правило, не ведет к разрыву межличностных отношений и не сопровождается нагнетанием эмоциональной напряженности и враждебности.
В то же время противоречия в сфере личностно-прагматических интересов легко переходят в неприязнь и вражду. Отсутствие общего дела ставит людей, преследующих свои узкоэгоистические цели, в ситуацию конкуренции, где выигрыш одного означает проигрыш другого. Это не может не обострять межличностные отношения.
Бывают и ситуации, когда расхождения в личностно-прагматических интересах прикрываются предметно-деловыми разногласиями или же когда длительные предметно-деловые разногласия постепенно приводят к личностной неприязни. При этом "задним числом" отыскиваются и фиксируются и расхождения в личностных интересах.
Причиной возникновения конфликтов являются также непреодоленные смысловые барьеры в общении, препятствующие налаживанию взаимодействия общающихся. Смысловой барьер в общении - это несовпадение смыслов происходящих событий для участников взаимодействия и в частности смыслов высказанного требования, просьбы, приказа для партнеров, создающее препятствие для их взаимопонимания и взаимодействия.
К примеру, смысловой барьер во взаимоотношениях взрослых и ребенка возникает вследствие того, что ребенок, понимая правильность требований взрослых, не принимает этих требований, потому что они чужды его опыту, взглядам и отношениям. Зачастую смысловой барьер появляется вследствие неверной тактики воспитательных воздействий по отношению к ребенку.
Преодоление смысловых барьеров оказывается возможным, если педагог знает и принимает во внимание психологию учащегося, учитывает его интересы и убеждения, возрастные особенности, прошлый опыт, считается с его перспективами и трудностями.
Главная задача, решение которой необходимо для налаживания должного взаимопонимания детей и взрослых, может быть сформулирована следующим образом: научить детей пользоваться языком взрослых и научить взрослых понимать язык детей. Здесь имеется в виду не задача развития речи ребенка, о чем говорилось выше, не увеличение его словарного запаса или усвоение норм произношения и правописания. Использование и развитие языка не ограничивается формированием значений. Помимо общепринятой системы значений, слова, как и другие факты сознания человека, имеют личностный смысл, некоторую особую значимость, индивидуальную для каждого. Соотношение значений и личностного смысла было глубоко исследовано в трудах А.Н.Леонтьева. "В отличие от значений личностные смыслы... не имеют своего "надындивидуального", своего "не психологического" существования. Если внешняя чувственность связывает в сознании субъекта значения с реальностью объективного мира, то личностный смысл связывает их с реальностью самой его жизни в этом мире, с ее мотивами. Личностный смысл и создает пристрастность человеческого сознания". Личностный смысл, т.е. особую значимость для человека приобретает то, что связывает цели деятельности с мотивами ее осуществления, то, в чем оказываются запечатленными его потребности.
Одно и то же слово, действие, обстоятельство может иметь различный смысл для разных людей. Замечание учителя школьнику: "Опять ты подрался с Петровым на перемене" имеет одно и то же значение для обоих. На уровне значений никаких затруднений во взаимопонимании общающихся нет: и тот, и другой понимают, о чем идет речь. Но личностный смысл их может быть разным. Для учителя драка в школе - нарушение дисциплины. Для ученика, быть может, это еще одна попытка пресечь издевательства Петрова над ним как более слабым.
У взрослых есть все основания добиваться, чтобы ребенок овладевал не только общеизвестными значениями слов, но и системой принятых ими личностных смыслов, ориентированных на соответствующие нравственные и мировоззренческие ценности. Это желание оправдано задачей найти общий язык с детьми, без чего трудно договориться и избежать конфликта. Не теряя из виду эту цель (усвоение детьми языка взрослого с проникновением в систему его личностных смыслов), взрослому следует пытаться проникнуть в глубины личностных смыслов ребенка. Важную роль при этом имеет умение поставить себя на место того, с кем общаешься, идентифицироваться с ним. Неумение и нежелание педагога проникать в систему личностных смыслов школьника - возможное основание межличностных конфликтов в сфере педагогического общения.
Влияние в условиях межличностного взаимодействия. Факт наличия наряду с общением первого рода (обменом информацией, установлением коммуникации для достижения цели деятельности) общения второго рода (как продолжения себя в других людях, как "трансляции" своей индивидуальности) привлекает внимание к влиянию, которое один человек оказывает на другого. Это влияние может осознаваться, а может и не осознаваться причем, как тем, на кого влияют, так и тем, кто влияет.
Проблема социального влияния приобретает особо важное значение при рассмотрении психологических аспектов обучения и воспитания. Обучение - это прежде всего информационный процесс. Учитель сообщает знания (дает необходимую информацию) ученику и в порядке обратной связи, в свою очередь, получает от него информацию (выслушивает ответ, проверяет контрольную и т.п.), дающую представление о том, как усвоены сообщенные знания. Взаимодействие осуществляется на уровне значений. Но, как было уже отмечено, педагог не только передает значения, формируя понятия, но и "транслирует" ученикам смысл, который имеют для него эти понятия. Рассказывая о Великой Отечественной войне, он не только сообщает учащимся, например, факты, относящиеся к защите Брестской крепости, и учит их делать выводы относительно этих фактов, но и стремится передать им свое личное отношение к этим событиям, смысл, который они имеют для него. Передача, "трансляция" смыслов от учителя к ученикам - важнейшая сторона воспитания. Разумеется, воспитание неотделимо от обучения, как неотторжим смысл от значения.
Влияние, которое оказывает педагог на учащихся, осуществляя задачи воспитания, предполагает определенную трансформацию смыслов того, что видят, слышат и делают воспитанники. Разные педагоги в различной степени оказывают на них весьма разнохарактерное влияние.
При предъявлении портрета одного воспитателя процент "нарушителей" уменьшается, второго - остается тем же, а третьего - заметно возрастает. Одно напоминание об учителе изменило смысл ситуации. "Присутствие" одного педагога увеличило "законопослушность" детей, другого - усилило тягу к нарушению запрета.
За различными эффектами влияния педагога лежат особенности его личности, способность его, хотя и по-разному, продолжить себя, передать свои личностные смыслы детям.
Дружеское общение. Особую форму общения людей представляет собой дружба как устойчивая индивидуально-избирательная система взаимоотношений и взаимодействия, характеризующаяся взаимной привязанностью общающихся, высокой степенью удовлетворенности общением друг с другом, взаимными ожиданиями ответных чувств и предпочтительности. Развитие дружбы предполагает следование ее неписанному кодексу, утверждающему необходимость взаимопонимания, откровенность и открытость, доверительность, активную взаимопомощь, взаимный интерес к делам другого, искренность и бескорыстие чувств. Серьезные нарушения кодекса дружбы ведут либо к ее прекращению, либо к сведению дружбы к поверхностным приятельским отношениям, либо даже к превращению в свою противоположность - вражду.
Проблема поиска дружеского общения и друга становится особенно актуальной в подростковом возрасте. Об этом свидетельствуют наблюдения педагогов, интимные дневники подростков, интерес, который они проявляют к беседам на тему "О дружбе и любви". Однако нет основания утверждать, что эти поиски оказываются успешными, так как подростки сталкиваются с реальными трудностями, возникающими при сопоставлении истинного характера их взаимоотношений с высоким стандартом кодекса дружбы. Иногда разочарования при выявлении несоответствия складывающихся отношений с идеалом дружбы порождают ссоры между подростками. Последнее более свойственно общению девочек друг с другом [34, c. 60-63].
Для подросткового возраста безусловно характерна потребность иметь друга. У подростка, как правило, складывается достаточно ясное представление об эталоне дружеского общения, однако наиболее типичным явлением этого возрастного периода является не столько сугубо парная дружба, к которой он стремится, сколько товарищество, предполагающее более широкое общение со сверстниками. Товарищеские отношения позволяют развертывать общение, в котором подросток обретает возможность продолжить себя значимыми для него чертами и качествами во многих сверстниках: с одним ему интересно обсуждать прочитанные книги, с другим - играть в настольный теннис, с третьим - говорить о будущей профессии или бизнесе.
Это отроческое товарищество не может быть отождествлено с поверхностными приятельскими отношениями, так как субъект товарищеского общения стремится быть представленным в жизнедеятельности сверстников значимыми для него сторонами своей индивидуальности, отыскивая возможности быть действенно продолженным в других тем, что не только для него самого, но и для них важно и ценно. Дружба подростков - это этап на пути развития дружеского общения, подлинная глубина которого раскрывается у взрослых людей, достигших социальной зрелости. Идеал парного дружеского общения подростки чаще всего, хотя и не исключительно, обретают в складывающихся интимных отношениях между полами, в первых проявлениях ранней юношеской любви.
Изучение природы межличностных отношений непростая задача. Особенно сложно она решаема в детских коллективах. В своей работе мы попытались решить одну достаточно важную задачу – процесс влияния взаимоотношений между детьми, в его повседневной, обыденной форме, а именно, те его аспекты, которые раскрываются в непосредственном общении между подростками, в совместной деятельности разнопланового характера, на формирование уровня самооценки школьника, а соответственно и на формирования уровня его притязаний.
На основании анализа литературных источников описаны основные аспекты межличностных отношений в группе детей младшего подросткового возраста, даны представления о психологическом климате у детей младшего подросткового возраста в учебной группе.
Учебный коллектив имеет двойственную структуру: во-первых, он является объектом и результатом сознательных и целенаправленных воздействий педагогов, кураторов, которые определяют многие его особенности (виды и характер деятельности, число членов, организационную структуру и т. д.); во-вторых, учебный коллектив — это относительно самостоятельное развивающееся явление, которое подчиняется особым социально-психологическим закономерностям. Учебный коллектив, образно говоря, социально-психологический организм, требующий индивидуального подхода.
2.1 Методы диагностики по изучению межличностных отношений в учебной группе
В первой главе мы теоретически обосновали важность влияния межличностных отношений в структуре социально-психологического климата в учебной группе в условиях коррекционной школы VIII вида. Исходя из этого, нами было проведено исследование, в ходе которого необходимо осуществить диагностику, которая позволяет выявить проблему, существующую в исследуемой группе детей.
В эксперименте приняло участие 7 детей 11-12 лет. Обследование проводилось в коррекционной школе № 804 VIII вида г. Москва.
Многолетний опыт работы по психолого-педагогическому изучению детей школьного возраста с использованием представленных методик показывает, что показателями развития межличностных отношений в структуре социально психологического климата учебной группы детей являются различные виды деятельности и общение с родителями. При этом, педагоги, организуя на ранних этапах эту деятельность, помогают ребенку овладеть средствами осознавания себя и самооценивания, отношения к себе и к членам своего классного коллектива.
В соответствии с этим проведем диагностику детей данной учебной группы с целью выявления психологического климата в этой группе, ценностных ориентаций детей, а также родительского отношения к детям.
В ходе письменного опроса детей и проведения социометрической диагностики нами были получены следующие результаты (см. таблицу 1).
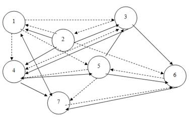
Методика 1. Выявление социометрического статуса личности и структуры межличностных связей в группе
Методика разработана Дж. Морено и направлена на изучение межличностных и межгрупповых отношений в целях их изменений, улучшения и совершенствования (см. Приложение 1)
Таблица 1 Социоматрица для ученической группы детей с нарушением интеллекта
| № п/п | Фамилия, имя ребенка | Кого выбирают | Всего | ||||||
| 1 | 2 | 3 | 4 | 5 | 6 | 7 | |||
| 1 | Баширов Р. | х | + 2 | -1 | -2 | +1 | |||
| 2 | Гатин Р. | -1 | х | +2 | +1 | -2 | |||
| 3 | Иванова Т. | -2 | -1 | х | +2 | +1 | |||
| 4 | Ильина К. | -1 | х | +1 | +2 | ||||
| 5 | Кручинин И. | +2 | -2 | х | +1 | -1 | |||
| 6 | Мужилина Д. | +2 | -2 | х | +1 | ||||
| 7 | Халитова Р. | +1 | -2 | х | |||||
| Кол-во "+" выборов | 1 | 2 | 2 | 2 | 1 | 2 | 3 | 13 | |
| Кол-во "+" баллов | 1 | 4 | 4 | 3 | 1 | 2 | 4 | ||
| Кол-во "-" выборов | 2 | 1 | 1 | 2 | 2 | 2 | 1 | 11 | |
| Кол-во "-" баллов | 3 | 1 | 1 | 3 | 4 | 4 | 1 | ||

|
|
Рассчитаем социометрический статус членов группы
,
где Сi – социометрический статус i-члена;
Ri – полученные i-членом выборы
N – число членов группы

Таким образом, в данной группе социометрический статус развит неравномерно. Члены группы разобщены, но есть один взаимовыбор 1 и 7.
Определим эмоциональную сплоченность группы по формуле:
,
где С – эмоциональная сплоченность группы;
Nв – количество взаимных выборов в группе;
N – количество участников группы;
N (N-1) – общее возможное число взаимных выборов в группе.
![]()
Полученный результат указывает на то, что эмоциональная сплоченность в группе на низком уровне, т.е. испытуемые очень мало общаются между собой.
Рассчитаем коэффициент психологической взаимности в группе (психологическая сплоченность группы):
,
где Gg – взаимность в группе по результатам положительных выборов;
Аij + – число положительных взаимных связей в группе;
N – число членов группы

Получив в результате Gg = 0,04 можно сделать вывод, что психологическая взаимность в группе на низком уровне.
Методика 2. "Каков ребенок во взаимоотношениях с членами своей группы"
Эта методика представляет собой опросник, предназначенный для экспертного оценивания коммуникативных качеств личности ребёнка. Межличностные отношения или функционально связанные с ними коммуникативные качества личности ребёнка в данном случае определяются небольшой группой независимых взрослых людей, хорошо знающих данного ребёнка. С помощью опросника оцениваются следующие коммуникативные качества и виды отношений ребёнка с людьми (см. Приложение 1).
Рассмотрим полученные нами в ходе исследования результаты (см Таблицу 2).
Таблица 2 Результаты методики диагностирующей коммуникативные качества личности "Каков ребенок во взаимоотношениях с членами своей группы"
№ п/п |
Имя ребенка | Вопросы опросника | Всего бал лов | Уро вень | |||||||||
| 1 | 2 | 3 | 4 | 5 | 6 | 7 | 8 | 9 | 10 | ||||
| 1 | Баширов Р. | 1 | 0 | 0,5 | 0 | 0,5 | 0 | 0,5 | 0 | 0 | 0 | 2,5 | н |
| 2 | Гатин Р. | 0,5 | 0 | 0 | 0,5 | 0 | 0,5 | 0 | 0 | 0 | 0 | 1,5 | н |
| 3 | Иванова Т. | 0,5 | 0 | 0 | 0,5 | 0 | 0 | 0 | 0 | 1 | 0 | 2 | н |
| 4 | Ильина К. | 1 | 0,5 | 0 | 0,5 | 0 | 0 | 0 | 0 | 0,5 | 0 | 2,5 | н |
| 5 | Кручинин И. | 0 | 0 | 0 | 0,5 | 0 | 0,5 | 0 | 0 | 0 | 0 | 1 | он |
| 6 | Мужилина Д. | 1 | 1 | 0 | 0,5 | 0,5 | 0 | 0 | 0 | 0 | 0 | 3 | н |
| 7 | Халитова Р. | 1 | 0 | 0,5 | 0,5 | 0,5 | 0 | 0,5 | 0 | 0,5 | 0 | 3,5 | н |
Проанализировав полученные результаты нами было выявлено, что:
очень высокий уровень коммуникативных качеств имеют – 0;
высокий уровень коммуникативных навыков – 0;
средний уровень коммуникативных навыков –0;
низкий уровень коммуникативных навыков – 6 детей (85,7%);
очень низкий уровень. коммуникативных навыков – 1 ребенок (14,3%)

Таким образом, согласно полученным данным можно сделать вывод о том, что межличностные отношения и функционально связанные с ними коммуникативные качества личности ребенка находятся на низком уровне. Дети в группе добрые, вежливые, но в тоже время у них не развито внимание, они не общительны, не щедры, не отзывчивы.
Для сопоставления результатов между межличностными отношениями в группе и психологическим климатом в группе, с целью оценки достоверности взаимосвязи между ними мы использовали коэффициент ранговой корелляции Спирмена. (При р £ 0,01)
Расчет d2 для рангового коэффициента корреляции Спирмена rs при сопоставлении показателей между межличностными отношениями в группе и психологическим климатом в группе (N =7)
| № п/п | Переменная А: межличностные отношения в группе | Ранги | Переменная В: психологический климат в группе | Ранги | d | d2 |
| 1 | 1 | 1,5 | 2,5 | 4,5 | -3 | 9 |
| 2 | 4 | 6 | 1,5 | 2 | 4 | 16 |
| 3 | 4 | 6 | 2 | 3 | 3 | 9 |
| 4 | 3 | 4 | 2,5 | 4,5 | -0,5 | 0,25 |
| 5 | 1 | 1,5 | 1 | 1 | 0,5 | 0,25 |
| 6 | 2 | 3 | 3 | 6 | -3 | 9 |
| 7 | 4 | 6 | 3,5 | 7 | -1 | 1 |
| Суммы | 28 | 28 | 0 | 44,5 |
Поскольку в обеих сопоставляемых ранговых рядах присутствуют группы одинаковых рангов, перед подсчетом коэффициента ранговой корреляции необходимо внести поправки на одинаковые ранги Та и Тb :

где a – объем каждой группы одинаковых рангов в ранговом ряду a;
b – объем каждой группы одинаковых рангов в ранговом ряду b;
В данном случае, в первом ряду а присутствуют две группы одинаковых рангов, следовательно а = 2.
![]()
Во втором ряду bприсутствует 1 группа одинаковых рангов, при этом b=1
![]()
Для расчета эмпирического значения rs : используем формулу

В данном случае

Определим критические значения rs при N = 7

rs эмп < rs кр (р £ 0,05)
Корреляция между межличностными отношениями в группе и психологическим климатом в группе статистически значима (р £ 0,05) и является положительной, т.е. межличностные отношения в коллективе влияют на психологический климат в группе, что подтверждает нашу гипотезу.
Методика 3. Тест-опросник родительского отношения
Тест-опросник родительского отношения (ОРО). Варга А.В, Столина В.В. представляет собой психодиагностический инструмент, ориентированный на выявление родительского отношения у лиц, обращающихся за психологической помощью по вопросам воспитания детей и общения с ними (см. Приложение 1).
Таблица 3 Результаты по Тесту-опроснику родительского отношения (А. В. Варга, В. В. Столин)
| № п/п | Критерии оценок ФИО родителей |
Отверже- ние max – 30 б. |
социальная желатель ность max – 8 б | Симбиоз max – 7 б |
гиперсоциализация max – 7 б | Инфантилиза ция (инвалидиза ция) max – 8 б |
| 1 | Баширов Р. | 28 | 2 | 3 | 1 | 6 |
| 2 | Гатин Р. | 10 | 6 | 6 | 6 | 5 |
| 3 | Иванова Т. | 16 | 7 | 5 | 2 | 8 |
| 4 | Ильина К. | 7 | 7 | 7 | 3 | 7 |
| 5 | Кручинин И. | 26 | 2 | 7 | 2 | 7 |
| 6 | Мужилина Д. | 14 | 3 | 5 | 4 | 6 |
| 7 | Халитова Р. | 12 | 6 | 6 | 3 | 8 |
| Итого: | 2 чел. | 4 чел. | 6 чел. | 1 чел | 7 чел. | |
Анализируя результаты, полученные в таблице, можно сделать вывод, что:
— как отвержение – 2 чел. (28,5%)
— социальная желательность – 4 чел. (57%)
— симбиоз – 6 чел. (85,7%)
— гиперсоциализация – 1 чел. (14,3%)
— инфантилизация (инвалидизация) – 7 чел.(100%)

У 57% детей определяется социально желательный образ родительского отношения, т.е. родитель заинтересован в делах и планах ребенка, старается во всем помочь ребенку сочувствует ему.
У 87,5% детей родители ощущают себя с ребенком единым целым, стремятся удовлетворить все потребности ребенка, оградить его от трудностей и неприятностей жизни Родитель постоянно ощущает тревогу за ребенка, ребенок ему кажется маленьким и беззащитным. Тревога родителей повышается, когда ребенок начинает автономизироваться в силу обстоятельств, так как по своей воле родитель не предоставляет ребенку самостоятельности никогда
У 100% детей в родительском отношении данного родителя имеются стремление инфантилизи
ровать ребенка, приписать ему личную и социальную несостоятельность. Ребенок представляется неприспособленным, неуспешным, открытым для дурных влияний. Родитель не доверяет своему ребенку, досадует на его неуспешность и неумелость. В связи с этим родитель старается оградить ребенка от трудностей жизни и строго контролировать его действия.
2.2 Практические рекомендации по сплочению классного коллектива
| День недели | Содержание работы | Ответственные |
| Понедельник | Классный час Тема "Цветик-семицветик" (Праздничный огонек ко дню именинника) Цель: Привитие коммуникативных способностей учащимся Воспитание доброго отношения друг к другу, сплочение классного коллектива |
Классный руководитель |
| Вторник | Пескотерапия (игротерапия) Цель: Психокоррекция при замкнутости, необщительности, эмоциональных перегрузках |
Психолог |
| Среда | Спортивное мероприятие Цель: Сплочение классного коллектива |
Учитель физкультуры |
| Четверг | Классный час Тема "Планета друзей" (ролевая игра) Цель: развивать коммуникативные возможности учащихся, умения правильно общаться. |
Классный руководитель |
| Пятница | Музыкотерапия Цель: Лечение расстройства нервной системы (помочь детям расслабиться и зарядиться положительной энергией) |
Психолог |
После выводов, сделанных на основе результатов исследования можно дать следующие рекомендации:
Необходимо изучить систему личных отношений детей в группе, для того чтобы целенаправленно формировать эти отношения, чтобы создать для каждого ребенка в группе благоприятный эмоциональный климат, а также для большей продуктивности целенаправленной воспитательной деятельности учителя.
Нельзя оставлять без внимания непопулярных детей. Следует выявить и развить у них положительные качества, поднять заниженную самооценку, уровень притязаний, чтобы улучшить их положение в системе межличностных отношений. Также необходимо учителю пересмотреть свое личное отношение к этим детям.
Родителям необходимо принимать участие в учебно-воспитательном процессе: посещать открытые уроки и внеклассные мероприятия, помогать в проведении внеклассных дел, вместе с детьми принимать участие в мероприятиях, посещать родительские собрания.
Итак, после проведения экспериментальной работы можно сделать следующие выводы:
в исследуемой группе социометрический статус развит неравномерно. Члены группы разобщены, но есть один взаимовыбор 1 и 7, который можно определить как "взаимная симпатия" между мальчиком и девочкой, мотивация данного выбора определяется желанием общаться, иметь общее дело;
полученный результат указывает на то, что эмоциональная и психологическая сплоченность в группе на низком уровне, т.е. испытуемые очень мало общаются между собой;
согласно полученным данным межличностные отношения и функционально связанные с ними коммуникативные качества личности ребенка находятся на низком уровне. Дети в группе добрые, вежливые, но в тоже время у них не развито внимание, они не общительны, не щедры, не отзывчивы.
В процессе проведенного исследования влияния межличностных отношений в коллективе на психологический климат в группе можно сказать, что гипотеза подтвердилась, так как по полученным результатам видно, что чем хуже межличностные отношения детей в группе, тем ниже уровень психологической взаимности в группе (неблагоприятный психологический климат).
Заканчивая тему о межличностных отношениях, отметим следующее. Отношение и общение - взаимосвязанные, неразрывные явления. У нормального человека не может быть общения без отношения. Межличностные отношения происходят между мыслящими, думающими и чувствующими людьми. Можно сказать, что межличностные отношения - сущность общения, своеобразный результат его. Возникнув в процессе общения, межличностные отношения, в свою очередь, оказывают влияние на него, определяя содержание и тональность общения.
Межличностные отношения в группе и коллективе потому так и называются, что в отношения вступают личности, центральной характеристикой которых является их индивидуальность - то особенное, что отличает данного человека ото всех других. Каждый человек по-своему ощущает и воспринимает окружающий мир, у него есть свои особенности памяти, мышления, внимания, у него своеобразное воображение, свои интересы, потребности, симпатии, привязанности, особенности настроения, большая или меньшая сила эмоциональных переживаний, сильная или слабая воля, "легкий" или "трудный" характер, у него свой жизненный опыт, свои наблюдения, свои разочарования, печали и радости, привычки, наконец, своя судьба.
Проведенные исследования также дают материал для дальнейшего, более глубокого изучения межличностных отношений как в данном возрасте – младшего подростничества, так и в других возрастах, при условии дополнительного изучения особенностей соответствующего возраста предполагаемых испытуемых. Они так – же дают материал для работы как непосредственно в исследованной группе, так и в других, подобных группах школьников младшего подросткового возраста.
1. Андреева Г.М. Социальная психология. - М.: Издательство Московского Университета, 2007. – 195 с.
2. Байярд Р.Т. Ваш беспокойный подросток. – М.: Просвещение, 2007. – 63 с.
3. Битянова М.Р. Социальная психология. – М.: Просвещение, 2004. – 83с.
4. Божович Л.И. Проблемы формирования личности. – М.: Просвещение, 2005. – 352 с.
5. Бодалев А.А. Личность и общение: избранные труды. - М.: Просвещение, 2003. – 274с.
6. Бурлачук Л.Ф., Морозов С.М. Словарь – справочник по психодиагностике. – СПб.: Питер Ком, 2006. – 528 с.
7. Волков ИМ. Социометрические методы в социально-психологических исследованиях. – М.: Просвещение, 2005. - 88 с.
8. Выготский Л.С. Собрание сочинений: в 6 т. – М.: Просвещение, 2004. – 374с.
9. Драгунова Т.В., Эльконин Д.Б. Возрастные и индивидуальные особенности младших подростков. – М.: Просвещение, 2007. – 156 с.
10. Давыдов В. В., Драгунова Т. В., Ительсон Л. Б., Петровский А. В. Возрастная и педагогическая психология: учебник для студентов пед. институтов. - М.: Просвещение, 2006. – 288 с.
11. Дик Н.Ф. Классные часы и нетрадиционные уроки – Ростов н/Д: "Феникс", 2004. – 384 с.
12. Дик Н.Ф. Классные часы в школе. – Ростов н/Д: "Феникс", 2003. – 416 с.
13. Донцов А.И. Психология коллектива. - М.: Издательство Московского Университета, 2004. – 174 с.
14. Дубровина И.В., Лисина М.И. Возрастные особенности психического развития детей. – М.: ЮНИТИ, 2006. – 164 с.
15. Ежова Н.Н. Рабочая книга практического психолога. – Ростов н/Д: Феникс, 2007. – 315 с.
16. Коломенский Я.Л. Психология взаимоотношений в малых группах. М.: Академия, 2006. - 350 с.
17. Карпенко Л.А., Петровский А. В. Краткий психологический словарь. - М.: Просвещение, 2007. – 195 с.
18. Крылов А.А. Практикум по общей и экспериментальной психологии. – М.: Издательство Петербургского Университета, 2007. – 256 с.
19. Кондратьева С.В. Практическая психология: учебно-методическое пособие. – Минск: Университетское, 2007. – 212 с.
20. Крутецкий В.А. Психология. Учебник для учащихся пед. училищ. 2-е изд. - М.: Просвещение, 2006. – 147 с.
21. Кузьмин Е.С. Методы социальной психологии. - М.: ЛГУ, 2007. – 168 с.
22. Липкина А.И. Самооценка школьника. – М.: Знание, 2006. – 64 с.
23. Мадорский Л.Р. Глазами подростков. Книга для учителя. – М.: Просвещение, 2005. – 176с.
24. Методы социальной психологии / Под ред. Е.С.Кузьмина, В.Е.Семенова. М.: ЮНИТИ-ДАНА, 2006. - .247 с.
25. Немов Р. С. Психология. Учебник для студентов высш. пед. учеб. заведений. В 3-х кн-х. Кн. 1 Общие основы психологии- 2-е изд. - М.: Просвещение, ВЛАДОС, 2008. -688 с.
26. Овчарова Р.В. Справочная книга школьного психолога. – М.: Просвещение, 2003. – 256 с.
27. Петровский В.В., Шпалинский В.В. Социальная психология коллектива. Учебное пособие для студентов пед. институтов. - М.: Просвещение, 2007.- 117с.
28. Петровский А.В., Абраменкова В.В. Социальная психология: учебное пособие для студентов пед. Институтов. - М.: Просвещение, 2007. – 147 с.
29. Петровский А.В. Личность. Деятельность. Коллектив. – М.: Знание, 2007. – 179с.
30. Петровский А.В., Ярошевский М.Г. Психология: Учебник для студ. высш. пед. учеб. заведений. — М.: Издательский центр "Академия", 2006. - 512 с.
31. Рогов Е. И. Настольная книга практического психолога в образовании: учебное пособие. - М.: ВЛАДОС, 2007. – 529 с.
32. Столяренко Л.Д. Основы психологии. – Ростов на Дону: Феникс, 2007. – 671 с.
33. Шевандрин Н.И. Психодиагностика, коррекция и развитие личности. - М.: ВЛАДОС, 2007. -508 с.
34. Фельдштейн Д.И. Психология современного подростка М.: Педагогика, 2005. – 114с.
35. Фельдштейн Д.И. Психологические аспекты изучения современного подростка. М.: Вопросы психологии, 2005. – 32 с.
36. Фридман Л.И., Кулагина И.Ю. Психологический справочник учителя. - М.: Просвещение, 2007.- 161 с.