| Скачать .docx |
Реферат: Определение пентозанов
РЕФЕРАТ
«Определение пентозанов»
Казань, 2009
Введение
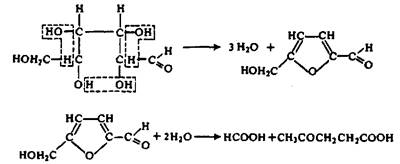
Содержание пентозанов в древесине и другом растительном сырье находят косвенными способами. Индивидуальные пентозаны определяют гидролизом их до пентоз с последующим хроматографическим анализом моносахаридов. Суммарное содержание пентозанов устанавливают превращенном их в фурфурол с количественным определением последнего различными методами.
1. Определение суммарного содержания пентозанов по фурфуролу
По методу Толленса древесину обрабатывают соляной кислотой с массовой долей HCI в растворе от 12 до 20%. Пентозаны гидролизуются до пентоз
![]()
Пентозы в результате реакции дегидратации превращаются в фурфурол, который отгоняется с паром

Условия перегонки в различных методиках различны, и окончательные оптимальные условия еще не установлены. Скорее всего, они не одинаковы для древесины разных пород. Например, при одном и том же количестве кислоты для хвойных пород рекомендуют использовать навеску опилок в 2 раза больше по сравнению с лиственными породами умеренной климатической зоны.
По мнению большинства исследователей, наилучшие результаты получаются при использовании 12...13%-ной HCl, скорости отгонки дистиллята 25..30 см'! за 10 мин и при использовании для нагрева глицериновой или масляной бани с постоянной температурой 164...166°С. Увеличение или уменьшение концентрации кислоты приводит к снижению выхода фурфурола. Уменьшение скорости отгонки фурфурола приводит к увеличению его разложения, а слишком большая скорость — к недостаточно полному удалению фурфурола из реакционной смеси. Для навески древесины массой 1...2 г обычно рекомендуют отгонять 300...360 см1 дистиллята, но лучше всего определять конец отгонки по исчезновению цветной реакции с анилинацетатом.
Выход фурфурола снижается не только при его разложении, но также в результате «осмоления», конденсации с лигнином и таннинами, содержащимися в исходном материале.
Определение пентозанов по фурфуролу нельзя считать абсолютно точным, так как при вычислении массовой доли пентозанов в растительном сырье приходится пользоваться эмпирическим коэффициентом пересчета фурфурола на пентозаны. Теоретический выход фурфурола из пентоз равен 64%. Практический выход при перегонке древесины с соляной кислотой ниже теоретического и зависит от вида сахара и, таким образом, от исследуемой древесины. Однако данные о практическом выходе фурфурола, сообщаемые различными исследователями, противоречивы, и вследствие этого мнения о значении коэффициента пересчета фурфурола на пентозаны неоднозначны. Теоретический коэффициент пересчета составляет 1,375. Практический коэффициент пересчета должен зависеть от соотношения звеньев ксилозы и арабинозы в пентозанах анализируемого сырья. Если принять, что пентозаны в основном состоят из ксилана, который дает практический выход фурфурола 88%, эмпирический коэффициент пересчета составит 1,375· 100/88=1,563. Учитывая более низкий выход фурфурола из арабинозы, рекомендуют использовать более высокий коэффициент пересчета — от 1,71 до 1,88. Однако последние значения, по-видимому, слишком завышены.
Для получения сопоставимых результатов анализа рекомендуют (28] в каждом отдельном случае учитывать соотношение ксилозы и арабинозы в полисахаридах конкретного растительного сырья и для пересчета на пентозаны количество фурфурола умножать на коэффициент /Сф = 1,375 · 100//, где / — практический выход фурфурола,% от теоретического, Значения коэффициента /Сф для некоторых видов древесины и другого растительного сырья приведены в табл. 2.1.
Исходя из данных табл. 2.1, можно принять коэффициент /Сф для древесины хвойных пород равным в среднем 1,56, а для древесины лиственных пород— 1,52. Отсутствие постоянного коэффициента пересчета при возможных колебаниях химического состава сырья одного и того же вида делает анализ недостаточно точным.
Еще одним источником ошибок служат побочные реакции, приводящие к образованию других летучих соединений, определяемых вместе с фурфуролом. Так, гексозаны в условиях анализа гидролизуются до гексоз, которые, отщепляя воду, превращаются в гидроксиметилфурфурол. Реакция его образования идет значительно медленнее, чем фурфурола, и начинается практически к концу отгонки фурфурола. Кроме того, гидроксиметилфурфурол нестоек и большей частью разлагается с образованием муравьиной и левулиновой кислот
Значения коэффициента k4 для пересчета фурфурола на пентозаны
| Растительная ткань | Массовая доля, % к абсолютно сухой тканн | Выход фурфурола, % от теоретического | ||
| кснлоэа | арабииоэа | |||
| Древесина: | ||||
| ели | 5,00 | 0,79 | 89,5 | 1,53 |
| сосны обыкновенной | 5,05 | 1,62 | 88,4 | 1,55 |
| лиственницы | 2,92 | 2,94 | 86,5 | 1,59 |
| кедра | 7,42 | 1.37 | 89,3 | 1,54 |
| пихты | 4,36 | 1.52 | 88,1 | 1.56 |
| березы | 24,15 | 0.88 | 90,5 | 1,52 |
| осины | 12,83 | 0,73 | 90,3 | 1,52 |
| дуба | 17,58 | 0,98 | 89.8 | 1,53 |
| бука | 18,10 | 0,72 | 90.5 | 1,52 |
| Кора: | ||||
| осины | 10,40 | 3,70 | 91.1 | 1.51 |
| ивы | 7,68 | 0,84 | 89.9 | 1,53 |
| березы | 13,40 | 4,00 | 88.4 | 1,55 |
| Луб: | 1.90 | |||
| сосны | 12,60 | 81.4 | 1,69 | |
| ели | 1,80 | 5,80 | 82,7 | 1,66 |
| Тростник | 21,02 | 2,08 | 90.0 | 1,53 |
| Хлопчатник | 14,22 | 1,22 | 89,2 | 1,54 |
| Кукурузная кочерыжка | 34,51 | 4,02 | 89.8 | 1,53 |
| Подсолнечная лузга | 15,79 | 4,17 | 88,7 | 1,55 |
| Шелуха: | ||||
| овсяная | 32,77 | 3,24 | 90.0 | 1,53 |
| рисовая | 15,60 | 2,04 | 89,7 | 1,53 |
| хлопковая | 22.43 | 0,76 | 90,6 | 1,51 |

Поэтому поправки на гидроксимстилфурфурол обычно не вводят. Звенья метилпентоз, входящих в состав макромолекул пентозанов, превращаются в метилфурфурол, который определяется вместе с фурфуролом.

Фурфурол, кроме пентоз, образуется также из звеньев уроновых кислот, входящих в состав ксиланов и полиуронидов. Однако выход фурфурола из них намного меньше теоретического и при небольшом содержании полиуронидов в анализируемом материале поправку не вносят. При большом содержании полиуронидов следует уже вычитать поправку на фурфурол, образующийся из уроновых кислот. Для расчета поправки, %, массовую долю уроновых кислот, %, умножают на коэффициент, который, по данным различных исследователей, колеблется от 0,151 до 0,197.
Дистиллят, получаемый при определении пентозанов, кроме того, содержит формальдегид, образующийся из лигнина, и другие карбонильные соединения, которые также могут вносить ошибки в результате определения.
2. Методы определения фурфурола
Содержание фурфурола в дистилляте при определении пентозанов в растительном сырье и с целью характеристики сырья в фурфурольном производстве можно определять гравиметрическими, титриметрическими, фот'околориметрическими, спектрофотометрическими и хроматографическими методами.
Сначала в анализе древесины для определения фурфурола были предложены гравиметрические методы, основанные на осаждении фурфурола в виде его производных. Для осаждения применяли флороглюцин, барбитуровую и тиобарбитуровую кислоты, фенилгидразин, 2,4-динитрофенилгидразин и др. Гравиметрические методы несколько точнее титриметрических методов, но точность их также довольно относительна, так как применяемые для осаждения фурфурола реагенты дают осадки с другими альдегидами, осадки частично растворяются в воде, масса и состав осадков зависят от условий осаждения. Реакции не всегда идут стехиометрически. Все это требует внесения соответствующих поправок и использования для расчетов эмпирических таблиц или формул, которые для смесей моносахаридов становятся менее точными. Из всех испытанных реагентов для осаждения фурфурола наилучшим признали 2,4-динитрофенилгидразин. Реакция с фурфуролом при действии избытка реагента идет стехиометрически с образованием красного кристаллического осадка фурил-2,4-динитрофенилгидразона

При расчете вносят поправку на растворимость осадка. Однако этот метод, как все остальные гравиметрические методы, требует длительного времени анализа. Поэтому гравиметрические методы постепенно были вытеснены титриметрическими методами, которые, хотя и являются несколько менее точными, значительно проще и выполняются быстрее.
Из титриметрических методов наибольшее распространение получил бромид-броматный метод. Этот метод основан на определении расхода брома на реакцию с фурфуролом при обработке дистиллята, содержащего фурфурол, избытком бромид-броматного раствора.
В кислой среде выделяется бром по реакции
![]()
Бром взаимодействует с фурфуролом, а избыток брома определяют иодометрическим титрованием, т. е, добавляют иодид калия и титруют выделившийся иод раствором тиосульфата натрия
![]()
Взаимодействие фурфурола с бромом зависит от продолжительности обработки. Экспериментально установлено, что в течение 1 ч при комнатной температуре одна молекула фурфурола реагирует с четырьмя атомами брома, тогда как в течение 5 мин расходуется только два атома брома. Таким образом, реакция фурфурола с бромом идет в две стадии с разной скоростью.
Как показали исследования, проведенные на кафедре химии древесины и целлюлозы ЛТА, более стабильные результаты получаются при продолжительности обработки дистиллята бромид-броматным раствором в течение 1 ч, причем в первой быстрой стадии происходит преимущественно окисление фурфурола бромом в 2-фуранкарбоновую кислоту
![]()
Во второй более медленной стадии происходит бромирование этой кислоты, причем, по-видимому, образуются и продукты присоединения брома и продукты замещения

Стабильность скорости реакции на первой стадии можно повысить, если проводить ее при пониженной температуре.
По расходу брома находят массу фурфурола в дистилляте и с помощью коэффициента Кф пересчитывают фурфурол на пентозаны. На ход реакции фурфурола с бромом, кроме температуры и продолжительности, влияет концентрация реагентов в реакционной смеси, присутствие катализатора и др.
В качестве катализатора рекомендовали добавлять молибдат аммония, но позднее показали, что он не оказывает влияния на ход реакции и от его применения отказались. В отношении оптимальной температуры проведения реакции и продолжительности обработки мнения исследователей, несмотря на многочисленные работы в этой области, до сих пор расходятся. Поэтому для получения сравнимых результатов необходимо строго соблюдать прописи методик.
Считают, что бромид-броматный метод дает удовлетворительные результатыпри массовой доле пентозанов в древесине не менее 5%.
В последнее время в практике анализа древесины и особенно технических целлюлоз с малым содержанием пентозанов широко применяют фотоколориметрические и спектрофотометрические методы определения фурфурола.
Фотоколориметрические методы основаны на цветных реакциях фурфурола. Из множества фенолов и ароматических аминов, дающих цветные реакции с фурфуролом, нашли применение анилинацетат и орсин. Анилинацетат дает с фурфуролом малиновое окрашивание, в результате образования окрашенного продукта по реакции

Однако анилинацетат недостаточно стоек, образующийся окрашенный продукт чувствителен к действию света, а интенсивность окраски зависит от продолжительности стояния раствора и температуры. Поэтому анилинацетат используют главным образом для качественной реакции на фурфурол при определении конца перегонки.
Орсиновый метод позволяет получать более точные и воспроизводимые результаты. Окрашенный продукт образуется при взаимодействии фурфурола с таутомерной кетонной формой 5-метилрезорцина по предлагаемой реакции

Интенсивность окраски раствора определяют на фотоэлектрическом колориметре с красным светофильтром или на спектрофотометре при длине волны 630 нм и по градуировочному графику находят содержание пентозанов. Градуировочный график строят по данным для чистого фурфурола или чистой ксилозы.
Гидроксиметилфурфурол, реагируя с орсином, дает комплекс с максимумом поглощения при длине волны 390 нм, но его присутствие несколько снижает интенсивность поглощения комплекса орсина с фурфуролом.
Спектрофотометрические методы основаны на способности фурфурола поглощать ультрафиолетовые лучи. На УФ-спектрофотометре определяют оптическую плотность дистиллята, содержащего фурфурол, при этой длине волны. Расчет производят по градуировочному графику, построенному по данным для чистого фурфурола или для чистой ксилозы. Применение этих методов наиболее целесообразно при анализе технических целлюлоз.
Хроматографические методы считаются наиболее точными. При хроматографическом анализе фурфурола используют методы колоночной хроматографии, хроматографии на бумаге и в тонких слоях, газовой и газожидкостной хроматографии
Эти методы применяют в основном при анализе продуктов гидролизных производств и в научных исследованиях.
3. Определение пентозанов бромид-броматным полумикрометодом
Этот метод является модификацией первоначального бромид-броматного метода. Перегонку фурфурола проводят в аппарате уменьшенных размеров, состоящем из круглодонной колбы / вместимостью 50 см3 , двухшарикового дефлегматора 2, градуированной капельной воронки 3 вместимостью 50 см3 , шарикового холодильника 4, расположенного вертикально, и градуированного приемника 5 вместимостью 100 см3 с гидравлическим затвором. Все части аппарата соединены шлифами.
Методика анализа. Навеску воздушно-сухих опилок массой 0,1 г помещают в колбу, добавляют пипеткой 20 см3 13%-ного раствора HCI1 присоединяют дефлегматор, капельную воронку, холодильник и приемник, в гидравлический затвор которого наливают несколько капель 13%-ного раствора HCI. Нагревание колбы проводят на воздушной бане таким образом, чтобы скорость перегонки составляла 1 см3 дистиллята в минуту. По мере отгонки 5 см3 дистиллята в колбу из капельной воронки добавляют 5 см' 13%-ного раствора HCl. Отгоняют примерно 50 см дистиллята, проверяя конец отгонки фурфурола по цветной реакции с анилинацетатом.
Выполнение цветной реакции. Каплю дистиллята наносят на фильтровальную бумагу. Из капельницы наносят каплю раствора анилинацетата так, чтобы две капли сомкнулись краями. При наличии фурфурола на границе капель появляется малиновое окрашивание. К концу перегонки для получения четкой цветной реакции бумагу с нанесенными каплями осторожно нагревают над плиткой. В отсутствие фурфурола не должно появляться розового окрашивания.
Отогнанный дистиллят переносят в мерную колбу на 100 см3 , доводят объем до метки 13%-ным раствором HCI, закрывают мерную колбу притертой пробкой и тщательно перемешивают. После этого определяют в дистилляте фурфурол бромид-броматным методом. Отбирают пипеткой 25 см3 дистиллята в коническую колбу вместимостью 250 см3 с притертой пробкой. Добавляют мерным цилиндром 75 см3 дистиллированной воды и из бюретки 5 см3 бромид-броматного раствора концентрацией 0,05 моль/дм3 , закрывают колбу пробкой, перемешивают содержимое и оставляют стоять 1 ч в темноте. Затем к реакционной смеси мерным цилиндром добавляют 5 см3 10%-ного раствора KI, закрывают колбу пробкой, перемешивают и через 10 мин оттитровывают выделившийся йод раствором тиосульфата натрия концентрацией 0,05 моль/дм3 с крахмалом в качестве индикатора. Сначала титруют без добавления крахмала до соломенно-желтого цвета, затем добавляют 1 см3 раствора крахмала и продолжают титровать по каплям до перехода раствора из темно-синего в бесцветный. Таким же образом проводят контрольное определение, используя вместо дистиллята 13%-ный раствор HCI.

Для дистиллята и контрольного раствора проводят по два параллельных титрования, результаты которых должны различаться не более чем на 0,05 см3 , и для расчета берут среднее значение.
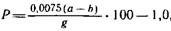
Выход фурфурола, % к абсолютно сухой древесине, рассчитывают по формуле
![]()
где а — расход на контрольное титрование раствора тиосульфата натрия концентрацией 0,05 моль/дм3 , см3 ; b — расход на титрование дистиллята раствора тиосульфата натрия концентрацией 0,05 моль/дм3 , см3 ; 0,0012 — масса фурфурола, соответствующая 1 см3 раствора тиосульфата натрия концентрацией 0,05 моль/дм3 , г; g — масса абсолютно сухой навески древесины, г.
Для пересчета фурфурола на пентозаны найденный результат для древесины хвойных пород умножают на коэффициент 1,56 и 1,52 для древесины лиственных пород.
Расхождение между двумя параллельными определениями не должно превышать 0,2%.
4. Определение пентозанов модифицированным бромид-броматным методом
Перегонку фурфурола ведут в стеклянном аппарате, состоящем из круглодонной колбы для перегонки / вместимостью 500 см3 , насадки с вмонтированной капельной воронкой 2, вертикально расположенного шарикового холодильника 3 для конденсации паров и градуированного приемника 4 для сбора дистиллята. Все части аппарата соединены шлифами.
Методика анализа. Навеску воздушно-сухих опилок массой около 1 г помещают в колбу для перегонки и добавляют 100 см3 12%-ного раствора HCl. На колбе должна быть метка, соответствующая указанному объему кислоты. Перегонную колбу соединяют с капельной воронкой и холодильником. Колбу нагревают электрическим колбонагревателем. Приемник дистиллята вместимостью 500 см3 помещают в баню со льдом. Ведут перегонку со скоростью 50 см3 за 15 мин. Во время перегонки кран капельной воронки устанавливают таким образом, чтобы при непрерывном добавлении кислоты в перегонной колбе сохранялся постоянный первоначальный уровень. Собирают 300 см4 дистиллята. Конец перегонки лучше проверить по цветной реакции с анилинацетатом, как указано выше.
Переносят дистиллят в колбу вместимостью I дм3 с притертой пробкой. Остатки дистиллята из приемника смывают 50 см3 дистиллированной воды. Добавляют в колбу 250 г толченого льда, приготовленного из дистиллированной воды. После снижения температуры содержимого колбы до Oc C добавляют из бюретки 20 см3 раствора бромид-бромата концентрацией 0,2 моль/дм3 , слегка перемешивают, закрывают колбу пробкой и оставляют реакционную смесь стоять точно 5 мин. Затем открывают пробку, добавляют мерным цилиндром 10 см3 10%-ного раствора Kl, снова закрывают колбу пробкой и встряхивают для поглощения паров брома. Выделившийся иод титруют раствором тиосульфата натрия концентрацией 0,1 моль/дм3 с крахмалом в качестве индикатора. Параллельно таким же образом проводят контрольное титрование, используя вместо дистиллята смесь, состоящую из 270 см3 12%-ного раствора HCl и 80 см3 дистиллированной воды.
Массовую долю пентозанов,% к абсолютно сухой древесине, рассчитывают по формуле
![]()
где а — расход раствора тиосульфата натрия концентрацией 0,1 моль/дм3 при контрольном титровании, см3 ; Ь — расход раствора тиосульфата натрия концентрацией 0,1 моль/дм3 на титрование дистиллята, см3 ; g — масса абсолютно сухой навески древесины, г; фактор 0,0075=0,0048-1,375/0,88, здесь 0,0048 — масса фурфурола в граммах, соответствующая 1 см3 раствора тиосульфата натрия концентрацией 0,1 моль/дм3 , 1,375 — теоретический коэффициент пересчета фурфурола на пентозаны, 0,88 — поправка на неполный выход фурфурола из пентозанов; из полученного результата вычитают 1.0% — поправку на образующийся гидроксиметилфурфурол.
Примечание. Поправку на гидроксиметилфурфурол, равную 1,0%, следует считать лишь приближенной, так как выход гидроксиметилфурфурола из гексозанов колеблется у разных видов растительного сырья.
5. Определение пентозанов фотоколориметрическим методом с орсиновым реагентом
Перегонку фурфурола проводят в аппарате, описанном выше.
Методика анализа. Навеску воздушно-сухих опилок помешают в колбу для перегонки. Вносят 20 г хлорида натрия и добавляют мерным цилиндром 100 см3 13%-ного раствора HCI. Колбу нагревают на электрическом колбо-нагревателе. Отгонка дистиллята должна происходить со скоростью 30 см3 в течение 10 мин. Дистиллят собирают в мензурку или мерный цилиндр, помещенный в баню с ледяной водой. После отгонки каждых 30 см3 дистиллята из капельной воронки в перегонную колбу добавляют по 30 см3 13%-ного раствора HCl. Собирают примерно 225 см3 дистиллята. Конец отгонки фурфурола следует проверить по цветной реакции с анилинацетатом.
По окончании перегонки дистиллят из приемника переносят в мерную колбу на 250 см3 , ополаскивают приемник небольшим количеством 13%-ного раствора HCl и доводят объем дистиллята в колбе до метки той же кислотой. Колбу закрывают пробкой и тщательно перемешивают содержимое.
В отдельных случаях при очень высокой массовой доле пентозанов в растительном сырье требуется отгонять более 250 см3 дистиллята. Тогда для подготовки дистиллята к последующему анализу используют мерную колбу на 500 см3 .
Из полученного раствора отбирают пипеткой пробу 5 см3 в мерную колбу на 50 см3 с притертой пробкой; пипеткой с грушей добавляют 25 см3 орсинового реагента, закрывают колбу пробкой и тщательно перемешивают содержимое. Затем колбу с реакционной смесью выдерживают в термостате при температуре °С в течение 50 мин. Доливают до метки 95%-ный этанол, перемешивают, слегка охлаждают, выдерживают колбу в термостате при 0 C в течение 15 мин и после этого при необходимости добавляют до метки дополнительное небольшое количество этанола. Аналогичным образом готовят параллельную пробу и контрольную. В контрольной пробе вместо 5 см3 дистиллята используют отмеренные пипеткой 5 см3 13%-ного раствора HCl. Интервал между пробами должен составлять 3...4 мин, причем контрольную пробу готовят первой.
Раствор из подготовленной пробы заливают в кювету с толщиной поглощающего свет слоя 10 мм и закрывают ее крышкой. Определяют оптическую плотность раствора на фото-электроколориметре с красным светофильтром или на спектрофотометре при длине волны 630 нм. Контрольную пробу используют в качестве раствора сравнения. По полученному показателю оптической плотности D с помощью градуировочного графика находят массу пентозанов в каждой параллельной пробе и берут среднее значение.
Массовую долю пентозанов, % к абсолютно сухой навеске древесины, рассчитывают по формуле
![]()
где т — масса пентозанов в дистилляте, найденная по градуировочному графику, мг; g — масса абсолютно сухой навески древесины, г.
За результат определения принимается среднее арифметическое значение, полученное при фотометрировании двух параллельных проб. Расхождение между двумя параллельными определениями не должно превышать 0,5%.
Приготовление орсинового реагента. Навески орсина массой 0,400±0,025 г и хлорида железа массой 0,5 г
растворяют в мерной колбе на 1 дм3 в соляной кислоте концентрацией моль/дм3 доведением до метки. Срок хранения реагента в холодильнике в темной бутыли не более 3 нед.
Построение градуировочного графика. Готовят эталонный раствор ксилозы, содержащий г безводной чистой ксилозы в 1 дм3 13%-ного раствора HCl. Растворение проводят в мерной колбе доведением кислотой до метки. Безводную ксилозу получают высушиванием при 60°С в вакуумном сушильном шкафу.
Отбирают пипетками десять проб эталонного раствора ксилозы следующего объема: 5; 10; 15; 20; 25; 30; 35; 40; 45 и 50 см3 , что соответствует массе пентозанов для каждой пробы 10; 20; 30; 40; 50; 60; 70; 80; 90 и 100 мг. Так, для получения пробы, соответствующей 10 мг пентозанов, требуется отобрать 10 · 1000/0,88 · 2,2727 = 5 см3 эталонного раствора.
Из каждой отобранной пробы эталонного раствора отгоняют фурфурол и определяют его содержание в дистилляте. Отгонку и определение оптической плотности дистиллята производят в условиях проведения анализа древесины. На основании средних данных фотометрирования при нескольких параллельных определениях для каждой пробы строят градуировочный график, откладывая по оси абсцисс массу пентозанов в пробе, а по оси ординат — оптическую плотность. Градуировочный график проверяют при замене прибора или орсина.
При замене орсина для проверки графика достаточно проанализировать свежеприготовленный раствор ксилозы, масса которой соответствует 100 мг пентозанов. По полученному значению оптической плотности находят поправочный коэффициент k = D/Du где D — значение оптической плотности, соответствующее 100 мг пентозанов, по градуировочному графику; D, — значение оптической плотности вновь приготовленной пробы дистиллята, соответствующей 100 мг пентозанов, полученное с новым раствором орсинового реагента. Рассчитанную по вышеприведенной формуле массовую долю пентозанов в процентах умножают на поправочный коэффициент.