| Скачать .docx |
Реферат: Машини та обладнання для переробки молока
Реферат на тему
Машини та обладнання для переробки молока
Зміст
1. Особливості технології переробки молочної продукції
2. Машини для охолодження молока
2.1 Циліндричний охолодник
2.2 Пластинчастий охолодник молока
3. Обладнання для теплової обробки молока
3.1 Пастеризатори
4. Машини для сепарування молока та молочних продуктів
4.1 Сепаратор
5. Машини для виготовлення масла
5.1 Масловиготівник періодичної дії
5.2 Масловиготівник безперервної дії
6. Обладнання для виробництва сирів і казеїну
7. Машини для гомогенізації молока
7.1 Гомогенізатор клапанного типу
Використана література
1. Особливості технології переробки молочної продукції
Сировиною для всіх молочних виробів є натуральне молоко. Його можна споживати свіжим або готувати з нього такі продукти, як молоко пастеризоване, молоко стерилізоване, вершки, кефір, сметану, різні види сирів, вершкове масло, молоко згущене і сухе та багато інших продуктів. Водночас молоко є сприятливим середовищем для розвитку найрізноманітніших мікроорганізмів.
Для збереження молока і молочної продукції у свіжому вигляді застосовують різні технологічні операції та обладнання.
2. Машини для охолодження молока
Для короткочасного зберігання та охолодження молока використовують баки і ванни без теплоізоляції, для тривалого — вертикальні й горизонтальні резервуари, а також танки-охолодники, баки і ванни, що мають теплоізоляцію, та зрошувальні охолодники. Зрошувальні охолодники класифікують на одно- і багатосекційні. Односекційні охолодники мають трубки круглого профілю, тому їх називають круглотрубчастими, а багатосекційні охолодники — фасонного профілю. Як холодоносій використовують воду, крижану воду, розсіл або аміак. Широко застосовують пластинчасті й трубчасті закриті охолодники, які за конструкцією і принципом дії аналогічні комбінованим (універсальним) пластинчастим, трубчастим апаратам, або трубчастим пастеризаторам.
Охолодники поділяють на одно- і двоступінчасті. В одноступінчастих охолодниках застосовують тільки один холодоагент (найчастіше воду, крижану воду або розсіл), а в двоступінчастих — на першому етапі продукт охолоджується водою, а на другому — розсолом або аміаком.
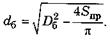
2.1 Циліндричний охолодник
Продуктивність циліндричного охолодника, м3 /год,
![]()
де V— об'єм резервуара, м3 ; k = 0,80...0,85 — коефіцієнт використання робочого об'єму; τц — тривалість відповідно повного циклу роботи резервуарів, хв:
![]()
де τ1 τ2 — тривалість завантаження і вивантаження, хв; т3 — тривалість охолодження продукту, хв.
Ефективність перемішування продукту забезпечується лопатевою мішалкою ідосягається при таких співвідношенняхпараметрівd= (0,3...0,4)D; Δh= (0,5...1,0)h; h= (0,1...0,5)d.
Об'єм резервуара, м3 ,
![]()
Згідно з конструктивними параметрами об'єм резервуара становить:
![]()
де D— діаметр резервуара, м; Н — висота резервуара, м; kk = 0,80...3,0 — коефіцієнт співвідношення висоти резервуара до його діаметра.
Діаметр резервуара, м,
![]()
Енергетичний розрахунок мішалок. Потужність для приведення мішалки в рух, кВт,
![]()
де А — стала, яка залежить від типу мішалки (табд. 3.1); d— діаметр мішалки, м; п — частота обертання мішалки, хв.-1 ; μ — динамічна в'язкість продукту, Па. с (табл. 3.2); р — густина продукту, кг/м3 .
Таблиця 1. Стала А, яка залежить від типу мішалки
| Мішалка | А | Мішалка | А |
Дволопатева Дволопатева з кутом нахилу лопаті 45° |
8,3 5,13 |
Пропелерна Чотирилопатева | 1,66 10,1 |
Таблиця 2. Динамічна в'язкість молочних продуктів
| Продукт | μ, Па. с | Продукт | μ, Па. с |
Молоко незбиране: за t = 5…20 o C за t = 30…80 o C Молоко знежирене за t = 15 o C |
(3,0…1,8)10-3 (1,3…0,6)10-3 1,7. 10-3 |
Вершки: за t = 15…70 o C та Ж* = 25% за t = 15…70 o C та Ж* = 30% Кефір за t = 10…30 o C |
(5,6…1,5)10-3 (8,1…1,8)10-3 (13,9…4,5)10-3 |
Ж*— жирність продукту.
2.2 Пластинчастий охолодник молока
Загальна площа поверхні пластин охолодника, м2 ,
![]()
де Qт.л — продуктивність технологічної лінії, кг/год; с = 3,86...3,96 — теплоємність молока, кДж/(кг. К); k= 1745...2326 - коефіцієнт теплопередачі, Вт/(кг. К); t1 = 32...35 — початкова температура молока, яке подається в охолодник, °С; t2 = 8...15 — кінцева температура молока після охолодження, °С; Δtср — середня логарифмічна різниця температур, °С:

де Δtmax = t1 - to . p — різниця температур між молоком і охолоджувальною рідиною на початку процесу, °С; Δtmin = t2 -to . p — різниця температур між молоком і охолоджувальною рідиною в кінці процесу, °С; to . p — початкова температура охолоджувальної рідини, °С (для води to . p = 4...12).
Визначення параметрів охолодника. Кількість пластин охолодника, шт.,
![]()
де S— площа поверхні пластин охолодника, м2 ; b, h— відповідно ширина і висота пластини, м; f = 0,0043 — площа робочої поверхні пластини, м2 .
Зазор між пластинами, м,
![]()
де Re— число Рейнольдса (для води Re> 10 000); μ — динамічна в'язкість рідини, Па. с; g— прискорення вільного падіння, м/с2 ; v— швидкість руху рідини, м/с (для води v= 0,3...1,5); р — густина рідини, кг/м3 (для води р = 998...1000). Витрати охолоджувальної рідини, кг/год,
![]()
де kB — коефіцієнт кратності витрати рідини (для води kB = 3...5).
Кількість холоду, потрібна для охолодження молока, Вт,
![]()
де с = 3,86...3,96 — питома теплоємність молока, кДж/(кг. К); t1 , t2 — відповідно початкова і кінцева температура молока, °С.
3. Обладнання для теплової обробки молока
Обладнання для теплової обробки молока і рідких молочних продуктів забезпечує процеси підігрівання, пастеризації, стерилізації тощо.
У більшості апаратів відбувається теплообмін між гарячими і холодними середовищами, розділеними перегородками.
Для економії тепла і холоду, а отже, і зниження собівартості продукту при пастеризації та охолодженні застосовують регенератори. Розрізняють регенератори прямо-потокові, проти-потокові та з проміжним агентом.
Найширше застосовують пластинчасті апарати з гофрованими поверхнями (пластинами), водяним обігріванням у секції пастеризації і повною автоматизацією процесу.
Комбіновані (універсальні) пластинчасті установки бувають чотири-, п'яти- і шестисекційними. Кожна секція складається з пакетів пластин. Молоко, надходячи в ту чи іншу секцію, послідовно проходить пакет за пакетом і по всіх пластинах. Комбіновані апарати мають витримувачі.
Під час виробництва деяких молочних продуктів (згущеного молока без цукру, стерилізованого незбираного молока і вершків) для повного знищення мікроорганізмів проводять стерилізацію. Найпростішими стерилізаторами є автоклави.
3.1 Пастеризатори
Пастеризатори поділяють: за способом теплової обробки — на термічні та холодні; за джерелом використання енергії — на парові, електричні з нагрівом, інфрачервоною радіацією, ультрафіолетовим опроміненням і високочастотні вібратори; за характером виконання процесу — безперервної та періодичної дії. За термічними режимами найпоширенішими є тривала, короткотривала та миттєва пастеризації молока.
Ефективність пастеризації залежить від температури нагрівання молока і тривалості витримування його за цієї температури. Досягають її тільки тоді, коли продукт перебуває за певної температури впродовж достатнього і необхідного часу:
![]()
де τ — час перебування продукту за певної температури пастеризації, необхідний для завершення пастеризації,с; t- задана температура молока,°С.
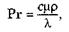
Пастеризацію вважають завершеною, якщо τ дорівнює дійсному часу τд перебування продукту за заданої температури. Для оцінювання завершеності процесу застосовують критерій Пастера:
![]()
Ефективність пастеризації залежить також від кількісного і якісного складу мікрофлори сирого молока.
При заданих режимах залежність ефективності пастеризації від кількості мікроорганізмів оцінюється коефіцієнтом швидкості їхньої загибелі:
![]()
де N0 — початкова кількість бактерій у 1 мл молока; NK — кінцева кількість бактерій у 1 мл молока.
У пастеризаторах із безпосереднім паровим обігрівом визначають витрату пари, кг/с,
![]()
де Q— продуктивність пастеризатора, м3 /с; сп — питома теплоємність продукту, Дж/(кг. К); рп — густина продукту, кг/м3 ; tn — температура пастеризації продукту, °С; tK — температура продукту після пастеризації, °С; і — питома ентальпія пари, Дж/кг; ск — питома теплоємність конденсату, Дж/(кг. К).
Коефіцієнт регенерації
![]()
де tp — температура сирого молока після нагрівання його пастеризованим (температура регенерації), °С.
Кількість теплоти, що витрачається на пастеризацію молока, попередньо нагрітого в регенераторі, Дж,
![]()
де W1 — кількість теплоти, яка потрібна для пастеризації продукту без використання регенераторів, Дж.
Кількість холоду, яка потрібна для охолодження пастеризованого молока після регенерації, Дж,
![]()
де W1 ` — кількість холоду, яка потрібна для охолодження пастеризованого, але не регенерованого молока, Дж; tпр — температура пастеризованого молока після регенерації, °С; t0 - температура охолодження пастеризованого молока, °С.
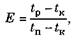
Економію тепла і холоду в процесі регенерації оцінюють за показниками економічності витрати теплоти Ет і холоду Ех , %:
![]()
![]()
При проведенні багатьох технологічних процесів пастеризацію, регенерацію та охолодження здійснюють послідовно на різних апаратах (як мінімум на трьох), а також на комбінованих (трубчастих і пластинчастих).
Вихідне молоко надходить у секцію регенерації, звідки воно спочатку спрямовується у молокоочисник, а потім у секцію пастеризації (за наявності двох секцій пастеризації молоко проходить їх послідовно). Після цього молоко надходить у витримувач, звідки через зворотний клапан направляється в секцію регенерації. Із секції регенерації молоко потрапляє в секцію охолодження водою і секцію охолодження розсолом або крижаною водою. Оскільки молоко послідовно проходить усі секції універсального апарата, продуктивність кожної з них має бути однаковою.
Пластинчастий пастеризатор. Продуктивність кожної секції пластинчастого пастеризатора визначають за формулою
![]()
де S— площа поверхні охолодження, м2 ; a = 2907...3372 — коефіцієнт тепловіддачі, кВт/(м2. К); t2 , t1 — відповідно вища та нижча температура молока, °С.
Тепловий баланс для кожної секції пластинчастого пастеризатора
![]()
де QГ — витрата нагрівальної чи охолоджувальної рідини, м3 /с; сг — питома теплоємність нагрівальної чи охолоджувальної рідини, Дж/(кг-К); рг — густина нагрівальної чи охолоджувальної рідини, кг/м3 ; t1г , t2 r — вища та нижча температура нагрівальної чи охолоджувальної рідини, °С.
Для універсальних апаратів, у яких продукт нагрівається в секціїпастеризації паром, рівняння теплового балансу має вигляд
![]()
де WП — витрата пари, кг/с; іп — питома ентальпія пари, кДж/кг; ск — питома теплоємність конденсату, Дж/(кг. К); tK — температура конденсату, °С.
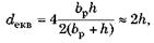
Площа поверхні нагрівання кожної секції, м2 ,
![]()
де Sp — площа поверхні одного рифля з одного боку, м2 ; т — кількість пластин у секції; f — площа поверхні пластини з одного боку, м2 ; zp — кількість рифлів на пластині, шт.; lp — довжина одного рифля по вертикалі, м; bр — ширина одного рифля по горизонталі, м.
Коефіцієнт теплопередачі в пластинчастих апаратах можна визначити за формулою
![]()
де a1
— коефіцієнт тепловіддачі від гарячої рідини до стінки, Вт/(м2.
К); а2
- коефіцієнт тепловіддачі від стінки до холоднішої рідини, Вт/(м2
-К);
термічний опір стінки, м2.
К/Вт.
Якщо рідина рухається по обидва боки пластини, то природа а1 та а2 є цілком однаковою, критерій Нуссельта дорівнює
![]()
де А — експериментальний коефіцієнт; Re— критерій Рейнольдса; Рr — критерій Прандтля для середньої температури рідини; Рrг . ш — критерій Прандтля для температури граничного шару; п, т, р — показники степеня.
Коефіцієнт А та показники степеня п, т, р для кожного типупластин визначають експериментально. У більшості випадків длясучасних типів комбінованих пластинчастих апаратів відношенняРr/Рrгш =1. Тому в технічних розрахунках нимможна знехтувати. Критерій Нуссельта
![]()
де а — коефіцієнт тепловіддачі, Вт/(м2 . К); dEKB — еквівалентний діаметр, м:
![]()
h— відстань між пластинами, м; λ— коефіцієнт теплопровідності, Вт/(м. К).
Критерій Прандтля
![]()
де с — питома теплоємність продукту, Дж/(кг. К); μ — кінематична в'язкість, м2 /с; р — густина продукту, кг/м3 .
Швидкість руху рідини в зазорі між пластинами, м/с,
![]()
де z — кількість зазорів між пластинами, в яких рухається рідина;
; т — кількість пластин; zn
— кількість пакетів у секції.
Важливим показником роботи пластинчастого пастеризатора є тривалість перебування молока в кожній секції, с,
![]()
де L— довжина шляху руху молока в секції, м.
При послідовному переході молока з одного пакета пластин в інший Lє добутком довжини шляху руху по одній пластині на кількість пакетів:
![]()
Тривалість перебування продукту в секції витримування, с,
![]()
де LB — довжина витримувача, м; dB — діаметр витримувача (якщо витримувач круглотрубчастий), м; vв — швидкість руху продукту у витримувачі, м/с.
Ефект пастеризації можна гарантувати за умови
![]()
Потрібно також, щоб критерій Ра становив не менше ніж одиниця.
Щоб установити бактерицидну ефективність пластинчастого пастеризатора, треба визначити загальний критерій Пастера Разаг , тобто для секцій регенерації, пастеризації і витримування,
![]()
де Рар1 , Рар2 — відповідно критерії Пастера в секції пастеризації на лінії холодного молока і на лінії пастеризованого молока; Рап , Рав — критерій Пастера відповідно в секції пастеризації й у витримувачі.
У загальному вигляді для секцій регенерації та пастеризації:

Для секцій регенерації і пастеризації критерій Ра визначити дуже важко, тому на практиці обмежуються розрахунком Рав .
Сумарні, або загальні, гідравлічні опори руху продукту в універсальному апараті, м,
![]()
де Нр , Нр1 — гідравлічний опір на лінії холодного і гарячого продукту в секції регенерації, м; Нп - гідравлічні опори в секції пастеризації, м; Нов , Нор - гідравлічні опори в секціях охолодження відповідно водою і розсолом, м;Нв - гідравлічні опори у витримувачі, м; Нт - гідравлічні опори в трубопроводах установки, м.
Гідравлічні опори в кожній секції Нс можна визначити за формулою
![]()
У суму коефіцієнтів місцевих опорів входять усі коефіцієнти, зумовлені поворотами рідини в зазорі між двома пластинами і між пакетами однієї секції. Коефіцієнт опору ξоп у рифлених пластинах, незважаючи на невелике значення критерію Re, визначають, як для турбулентного режиму. Це пояснюється тим, що за рахунок рифлів, які є штучними турбулізаторами, критичне число ReKp у зазорах між пластинами становить не більше ніж 150...300.
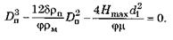
Пастеризатор молока миттєвої дії. Площа нагрівання пастеризатора, м3 ,
![]()
де Q— продуктивність пастеризатора, кг/год; с = 3,86...3,96 — теплоємність молока, кДж/(кг. К); a = 2,90...3,37 — коефіцієнт тепловіддачі, кВт/(м2. К); tк = 85 — кінцева температура молока, °С;
tп — початкова температура молока, °С (з ємкості — tп = 5, після доїння — tп = 37); Δеср — середня логарифмічна різниця температур, °С:

Визначення діаметра і висоти пастеризатора. Діаметр пастеризатора визначають із залежності D/hn = 0,9...1,2, звідки
![]()
Годинну витрату пари на роботу пастеризатора обчислюють з виразу балансу теплообміну:
![]()
де Wп — витрата пари, кг/год:
![]()
іп = 2679 — питома ентальпія пари, кДж/кг; ік = 376 — питома ентальпія конденсату, кДж/кг; ηм - 0,85...0,90 — тепловий ККД пастеризатора.
Теплова продуктивність пастеризатора, Вт/год,
![]()
Частота обертання витіснювального барабана, хв-1 ,
![]()
де Н— висота підйому молока витіснювальним барабаном, мм; rл —радіус лопатей барабана, мм: rд =D/2 + (50...60).
4. Машини для сепарування молока та молочних продуктів
Швидке отримання молочних вершків та очищення молока від механічних домішок і нормалізацію його за жирністю здійснюють на відцентрових сепараторах. За призначенням сепаратори поділяють на вершковідокремлювачі, очисники, нормалізатори, гомогенізатори та універсальні сепаратори і центрифуги (для виділення білкового згустку). Найширше застосовують вершковідокремлювачі, очисники і нормалізатори.
За конструкцією барабана розрізняють безтарілчасті і тарілчасті сепаратори, за конструкцією пристроїв для підведення молока і відведення фракцій — відкриті, напівзакриті (напівгерметичні) і закриті (герметичні).
Принципові схеми барабанів, які використовують у сепараторах для розділення молочних продуктів.
Безтарілчасті сепаратори (центрифуги) застосовують для зневоднення сирного зерна при виробництві сиру та казеїну.
Продукт, який подається в безтарілчастий барабан, починає обертатися разом із барабаном. Відцентрові сили діють на кожну часточку продукту і створюють тиск, який збільшується в радіальному напрямку. Цей тиск у тисячі разів більший від гідростатичного тиску і гравітаційних сил. Тому вільна поверхня продукту, що сепарується, є циліндричною. Важка фракція (осад) концентрується на внутрішній стінці барабана, легка — біля вільної поверхні продукту. Ширина кришки 2 визначає максимальну товщину шару продукту, що може оброблятися в центрифузі. Оскільки вплив сили тяжіння в барабані незначний, його можна обертати навколо довільно розміщеної осі в просторі. Це спрощує конструкцію машини, пристроїв для вивантаження фільтрату іосаду із барабана.
Конструктивна схема тарілчастого барабана дещо складніша. Молоко подають у порожнистий вал 6, на тарілкотрамачі 5 якого розміщено пакет конічних тарілок 3 з отворами на робочих поверхнях. З порожнистого вала молоко потрапляє в канали, що утворюються завдяки отворам у пакеті тарілок, і розділяється у міжтарілковому просторі на легку фракцію (вершки) та знежирене молоко. Вершки витискаються важчою фракцією до осі обертання і по щілинах, що є у з'єднаннях тарілок з тарілкотримачем, рухаються вгору до вихідного отвору для вершків з регулювальним гвинтом 7. Знежирене молоко створюваним відцентровими силами тиском витискується до периферії барабана і звідти рухається в просторі між кришкою 2 і пакетом тарілок до вихідного отвору. Часточки бруду, які зазвичай мають густину більшу, ніж густина знежиреного молока, осідають на стінках кожуха. Барабан очисного сепаратора відрізняється конструкцією тарілок, які зроблені без отворів на бічній поверхні. Молоко підводиться на периферію тарілок, звідки видаляється бруд, що осів на стінках барабана.
Частота обертання барабанів сучасних сепараторів становить 6000...9000 хв- 1 , продуктивність по молоку — 0,25...3,50 л/с. Кількість тарілок — 40...120. Відстань між тарілками у сепараторах-вершковідокремлювачах дорівнює 0,35...0,50 мм, у сепараторах-очисниках — 1...2 мм. Вона фіксується спеціально передбаченими виступами 8, що є на поверхні тарілок. Кут нахилу твірних конусів тарілок до більшої основи a = 50...60°.
На продуктивність і металомісткість тарілчастого сепаратора найбільше впливають частота обертання барабана, великий і малий радіуси тарілок та їх кількість.
4.1 Сепаратор
Молоко та інші рідкі продукти розділяються на фракції під дією відцентрових сил, які виникають під час обертання барабана сепаратора.
Розрахунок барабана сепаратора. В основу технологічного розрахунку відцентрових сепараторів покладено формулу Стокса для швидкості осадження дисперсної фази при ламінарному русі рідини у відцентровому полі.
Швидкість руху часточки, м/с,
![]()
де ω — кутова швидкість барабана, рад/с; r— відстань від часточки до осі обертання, м; d— діаметр часточки, м; р1 , р2 — густина відповідно суцільної і дисперсної фаз, кг/м3 ; μ — динамічна в'язкість рідини, Па. с.
Тривалість осадження дисперсної фази в безтарілчастому барабані центрифуги циліндричної форми, с
![]()
де Rmax — максимальний радіус внутрішньої поверхні барабана, м; R0 — радіус вільної поверхні рідини, м.
Продуктивність центрифуги, кг/год,
![]()
де Н — висота барабана, м.
З виразу при заданій продуктивності центрифуги визначають висоту барабана, м,
![]()
Продуктивність тарілчастого сепаратора, кг/год,
![]()
де β = 0,4...0,6 — технологічний КПД; п — частота обертання сепаратора, хв.-1 ; d= (2...3)10-6 — граничний найменший діаметр жирової кульки, яка вилучатиметься при сепаруванні, м; z— кількість тарілок, шт.; t= 35...40 — температура сепарування молока, °С; Rmax , Rmin — найбільший і найменший радіуси тарілки, м (Rmin = 0,015...0,030; Rmax =(2,6...4,5) Rmin ); a = 40...60 — кут нахилу твірної тарілки, град.
При проектуванні сепаратора відкритого типу з подачею молока самопливом найменший радіус тарілки Rmin визначають за даними розрахунку живильного патрубка.
Кількість тарілок сепаратора-вершковідокремлювача при заданій продуктивності, шт.,
![]()
Кількість тарілок сепаратора-очисника, шт.,
![]()
Висота тарілки, м,
![]()
Висота барабана сепаратора, м,
![]()
де δ — зазор між тарілками, мм (для сепаратора-вершковідокремлювача — 0,35...0,50, для сепаратора-очисника — 1,00...1,50); δ1 = 0,5 — товщина тарілки, мм.
Об'єм грязьової камери, м3 ,
![]()
де τ — тривалість сепарування, год (для сепаратора-вершковідокремлювача — 2,0...2,5; для очисника — 3,5...4,0). Внутрішній радіус барабана, м,
![]()
Зовнішній радіус барабана R- (1,05...1,08) RB , м. Радіус центрів отворів R0 = 1,3 Дтіп . Діаметр отворів у тарілках, м,
![]()
де vм = 1,2...1,8 — швидкість руху молока в барабані, м/с; z0 = 3...4 — кількість отворів, шт.
Потужність, потрібна для розгону барабана сепаратора під час його пуску, кВт,
![]()
де J— момент інерції барабана, кг/м2 :
![]()
де γ= 0,6 — коефіцієнт, який враховує пустоти в барабані; рс = 7850 — щільність сталі, кг/м3 ; τр = 250...300 — тривалість розгону сепаратора, с.
Потужність, яка витрачається на придання швидкості продукту і подолання гідравлічного опору при усталеному режимі роботи сепаратора, кВт,
![]()
де k= 0,7 — коефіцієнт, який ураховує відставання продукту від барабана; ηг = 0,8 — гідравлічний ККД сепаратора.
Електродвигун підбирають за більшою потужністю з урахуванням втрат у приводі барабана. Пускову потужність можна дещо зменшувати збільшенням часу розгону.
Розрахунок молокоприймача. В сепараторах відкритого типу застосовують молокоприймачі відкритого типу.
Місткість молокоприймача, м3 ,
![]()
де Q- продуктивність сепаратора, кг/год; τ =15...25 - тривалість перебування молока в молокоприймачі, с; р = 1020 — густина молока, кг/м3 .
Діаметр DM і висоту Нмолокоприймача визначають із формули
![]()
У розрахунках рекомендується брати Н = 0,5DM , тоді
![]()
Мінімальна висота молока в молокоприймачі, м,
![]()
Діаметр отвору для виходу молока із молокоприймача, м,
![]()
де g— прискорення вільного падіння, м/с2 ; μ = 0,78 — коефіцієнт витрати молока із молокоприймача.
Розрахунок поплавкової камери. Розміри поплавка визначають із рівняння його рівноваги:
![]()
або
![]()
де т — маса поплавка, кг; Рс — результуючий тиск молока в молокоприймачі, Па; Р — піднімальна сила поплавка, Н; S— площа поверхні поплавка, м2 ; δ = 0,6 — товщина стінок поплавка, мм; рп = 7860 — щільність матеріалу поплавка, кг/м3 ; рм = 1020 — густина молока, кг/м3 ; Нтях — максимальна висота молока в молокоприймачі, м; Vп — об'єм поплавка, м3 ; φ = 0,75...0,80 — коефіцієнт занурювання поплавка.
Площа поверхні поплавка, м2 ,
![]()
де Dп — діаметр поплавка, м; hп — висота поплавка, м.
Якщо
= 0,25, то площа поплавка S= 0,75
.
Конструктивно об'єм поплавка становить
![]()
тоді
![]()
![]()
Діаметр поплавкової камери, мм,
![]()
Висоту поплавкової камери беруть із розрахунку h = 2hп .
Діаметр патрубка поплавкової камери, в якій Нmi п заміняють на Н1 , де H1 = l+h1 — висота напору молока, м.
5. Машини для виготовлення масла
Масло виготовляють двома способами: збиванням та перетворенням високожирних вершків. До основного обладнання, яке застосовують для виготовлення масла, належать масловиготівники періодичної і безперервної дії та маслоутворювачі.
5.1 Масловиготівник періодичної дії
Під час роботи масловиготівники періодичної дії основними показниками, які потрібно визначати як емпіричним, так і розрахунковим методами, є робоча частота обертання «бочки», підвищення температури вершків при сколочуванні й необхідна для цього потужність.
Частота обертання циліндричної ємкості п.б , хв.-1 , для масловиготівників:
♦ вальцьових
![]()
♦ безвальцьових
![]()
За цієї частоти обертання ємкості відцентрова сила, яка діє на вершки, не перевищує їхньої сили тяжіння. Якщо вони однакові, то таку частоту називають критичною:
![]()
Продуктивність масловигівника по вершках, кг/год,
![]()
де V - об'єм ємкості, м3 ; р = 1005...1008 - густина вершків, кг/м3 ; k = 0,25...0,50 — коефіцієнт використання робочого об'єму бочки; τц ≈45 — тривалість циклу роботи масловиготівника, хв.
Тривалість циклу: підготовка до збивання — 10...15 хв; заповнення ємкості вершками — 3...10; збивання вершків — 35...45; випуск сколотин, наповнення промивною водою і її видалення — 3...15; обробка масла, враховуючи час на визначення його вологості — 20...30; розвантаження ємкості — 3...10 хв.
Повний цикл роботи масловиготівника триває 2,0...2,5 год.
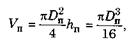
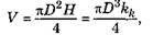
Об'єм ємкості, м3 ,
![]()
де К =
= 1,2...1,4 — коефіцієнт відношення висоти до діаметра ємкості.
Діаметр і довжину ємкості
![]()
Частота обертання вальців, хв.- 1 ,
![]()
де Q— продуктивність масловиготівника по готовому продукту; a = 0,3...0,4 — робоча частота періоду роботи однієї пари вальців; Р =0,8...0,9 — коефіцієнт заповнення зазору між вальцями; р = 935...955 — густина масла, кг/м3 ; l— довжина вальців, мм; d— діаметр вальців, м; δ = l,ld— зазор між вальцями, м. Потужність приводу, кВт,
![]()
5.2 Масловиготівник безперервної дії
Масловиготівник безперервної дії має два основні вузли: збивальний барабан і гвинтовий текстуратор, які приводяться в рух від електродвигуна через клинопасові передачі.
Збивальний барабан складається з робочого циліндра з водяною сорочкою, призначеною для підтримування теплового режиму підчас збивання. В барабані обертається вал, на якому закріплено чотири била. Під час збивання вершки заповнюють простір між циліндром і би лами.
Гвинтовий текстуратор складається з таких елементів: двох гвинтів, шиберної плити, гвинтової камери віджиму, решіток, лопатевої мішалки, конічної насадки та системи охолодження.
Розрахунок збивального барабана. Продуктивність масловиготівника за об'ємом вершків, кг/год,
![]()
де VB — об'єм вершків, які заповнили збивальний барабан, м3 :
![]()
де Sпр — площа перерізу шару вершків, м2 :
![]()
L— довжина барабана масловиготівника, м:
![]()
де DБ — діаметр барабана масловиготівника, м (вибирають з конструктивних міркувань); р = 1005... 1008 — густина вершків, кг/м3 ; τ = 5 — час збивання вершків, за який утворюється масляне зерно, с.
Із конструктивних особливостей масловиготівника визначають площу перерізу шару вершків, м2 ,
![]()
де d6 — діаметр била, м.
Діаметр кола, яке описують била, м,
![]()
Апарати для збивання масла безперервної дії мають високі швидкості. Колова швидкість збивального барабана досягає 18...22 м/с.
Розрахунок гвинтового текстуратора. Продуктивність гвинтового текстуратора за маслом, кг/год,
![]()
де Kпр — коефіцієнт проковзування масла шнеками; z— кількість гвинтів текстуратора; d — діаметр гвинта текстуратора, м; Ψ =1 — коефіцієнт наповнення гвинта; t — крок гвинта, м; п — частота обертання гвинта, хв-1 .
Залежність кроку гвинтової лінії від діаметра гвинта, м,
![]()
Мінімальний діаметр вала гвинта, м,
![]()
де φ — кут тертя.
Під дією гвинтової поверхні гвинта продукт рухається не паралельно її осі, а по гвинтовій лінії — зі змінною швидкістю в осьовому і радіальному напрямках.
Оскільки кути піднімання гвинтових ліній правильної гвинтової поверхні гвинта змінюються, збільшуючись від периферії до центра, то осьове переміщення часточок матеріалу, розміщених у радіальному напрямку, буде неоднаковим. Для практичних розрахунків достатньо використовувати середнє арифметичне значення кутів піднімання гвинтових ліній на периферії aD і в зоні вала гвинта ad :

Зменшення швидкості переміщення часточок продукту в осьовому напрямку враховують коефіцієнтом відставання К0 :
![]()
6. Обладнання для виробництва сирів і казеїну
Обладнання, яке застосовують для виробництва твердих і м'яких сирів, казеїну, можна поділити на такі основні групи: для сквашування молока, утворення й обробки білкового згустку (казани, сирні ванни, сировиготівники і апарати для виготовлення м'якого сиру); пресування сиру (преси та зневоднювачі); обробки сиру (парафінери, мийні машини); для виробництва сирних виробів (вовчки, вальцівки, місильні машини, охолодники); виробництва плавлених сирів (сирорізки, плавильні апарати).
У сироварінні для сквашування молока, утворення й обробки білкового згустку найширше застосовують ванни з мішалками і вертикальні сировиготівники періодичної дії. Принцип їх дії однаковий. Відмінність полягає лише в тому, що в сирній ванні процес завершується утворенням сирного шару, а в сировиготівниках — обробкою зерна, що разом із сироваткою виводиться з апарата в спеціальний пристрій для формування.
6.1 Механічний двоважільний прес для пресування твердого сиру
Двоважільний горизонтальний прес складається з таких основних вузлів: важільних механізмів, пресової платформи, піддона, корпусу та форм.
Важільний механізм має два важелі (довгий і короткий) і проміжну ланку. Короткий важіль одним кінцем шарнірно прикріплений до верхньої поперечної перемички рами, а через другий кінець за допомогою проміжної ланки з'єднаний з довгим важелем, який також шарнірно з'єднаний з гайкою пресового механізму.
Пресовий механізм складається з гвинта, гайки, регулювального механізму, двох напрямних та вилки.
Нижній довгий важіль одним кінцем шарнірно прикріплений до верхньої поздовжньої балки рами, а на другий за допомогою блока та троса підвішують вантаж.
Прес-форми поміщають у спеціальні заглиблення на платформі преса в два ряди по 28 форм у кожному ряду. Сироватка, яка відокремлюється під час пресування, стікає крізь прорізи у заглибленнях платформи та збирається в піддоні.
Об'єм та розміри циліндричної прес-форми визначають за формулою
![]()
де тп — маса сиру до пресування, кг; рп = 1020...1040 — густина не-віджатого сиру, кг/м3 ; D, Н— відповідно діаметр і висота форми, м. Вихід сироватки:
![]()
де тс — маса сироватки, кг; тк — маса сиру після пресування, кг; k— коефіцієнт, що враховує кількість видаленої сироватки. Сила пресування на пакет головок, кН,
![]()
де z— кількість головок сиру в пакеті; Sг — площа основи головки сиру, м2 ; р — тиск пресування, кПа.
Розрахунок двоважільного механізму преса. Рівновагу короткого і довгого важелів визначають за рівняннями
![]()
де а1 а2 та Ь1 Ь2 — довжини плечей важеля, м; Рпр — реакція в шарнірах тяги преса, яка з'єднує важелі; Рв — вага вантажу, кН.
Із рівнянь рівноваги визначають потрібну вагу вантажу, кН:
![]()
Оскільки сирна маса дорівнює добутку її об'єму на густину, приа1 = а2 і b1 = b2 дістанемо
![]()
![]()
або
![]()
де Vп — об'єм сирної маси до пресування, м3 ; Vк — об'єм сирної маси після пресування, м3 ; рп , рк - відповідно густина сирної маси до і післяпресування, кг/м3 (рп = 1027, рк = 1080).
Оскільки радіуси сиру до і після пресування однакові, то висота до пресування, м,
![]()
де Нк — висота пресованого сиру, м.
Посадка сиру, м,
![]()
Поверхня огороджувальних стінок прес-форм повинна мати перфорацію, достатню для безперебійного видалення рідкої фракції. Бажаний коефіцієнт перфорації живого перерізу форми Кпр = 0,6...0,8.
Площа перфорованої поверхні, м2 ,
![]()
де z — кількість отворів; d = (0,75...1,00)10-3 — діаметр отворівперфорованої поверхні форми, м.
7. Машини для гомогенізації молока
Гомогенізація — це процес обробки молока та молочних продуктів дією на них зовнішніх зусиль з метою подрібнення жирових кульок і рівномірного їх розподілу по всьому об'єму для поліпшення однорідності консистенції. Найчастіше її застосовують у виробництві питного молока, кисломолочних продуктів, плавлених та вершкових сирів, морозива, вершкового масла, сухого молока та молочних консервів.
Для гомогенізації використовують гомогенізатори, відцентрові установки, ультразвукове та інше обладнання. Найбільше застосовують гомогенізатор клапанного типу.
7.1 Гомогенізатор клапанного типу
Гомогенізатор складається з корпусу, що містить кривошипно-шатунний механізм і систему змащування й охолодження; плунжерний блок із всмоктувальним та нагнітальним клапанами; гомогенізуючу головку, прилади контролю робочого тиску та навантаження електродвигуна; запобіжний клапан. Ці машини конструктивно поділяють на одно-, три- та п'ятиплунжерні; за типом гомогенізуючої головки — на одно-, дво-та багатоступінчасті.
Продуктивність гомогенізатора, м3 /год,
![]()
де z— кількість плунжерів; D— діаметр плунжера, м; L— хід плунжера, м; n— частота обертання колінчастого вала, хв-1 ; ηоб = 0,9 — об'ємний ККД.
Навантаження на шатун Рш , яке діє вздовж його осі, розраховують за формулою
![]()
де Р — С уМ а всіх сил, які діють на плунжер, кН:
![]()
Pp — сила від тиску рідини на плунжер, кН:
![]()
D- діаметр плунжера, м; р = (5...25)103 - тиск на плунжер, який приблизно дорівнює тиску гомогенізації, кПа; Рт — сила тертя в манжетному ущільненні, кН:
![]()
f =0,7 — коефіцієнт тертя; l = (6...10)S— довжина сальника, м; β - кут повороту кривошипу колінчастого вала; Рi — сила інерції при обернено-поступальному русі, кН:
![]()
т — маса плунжера, кг; w— прискорення плунжера, м/с2 .
Таблиця 3. Показники гомогенізації
| Тиск гомогенізації, МПа | 5 | 10 | 15 | 17,5 | 20 | 25 |
| Ступінь гомогенізації | 44 | 60 | 72 | 77 | 81 | 87 |
Плунжер випускають двох типорозмірів і діаметрів — 28 мм і 45 мм.
Конструкцію вузлів ущільнення плунжерного блока виконано так, що дає можливість використовувати набивні ущільнення. їх радіальна товщина для діаметра 28 мм має становити 1,5...4,0 мм.
У загальному вигляді її визначають за формулою
![]()
де b— мінімальна радіальна товщина ущільнення, мм; К = 1,5...2,5 — коефіцієнт ущільнення.
Хід плунжера для промислових гомогенізаторів становить 40 мм.
Частота обертання гомогенізатора, хв.- 1 ,
![]()
Якісна робота плунжерного блока та його роботоздатність залежать від геометричних розмірів всмоктувального та нагнітального клапанів, їх маси та параметрів роботи машини. З умови допустимих швидкостей визнача'ють діаметр клапанів.
Площа прохідного перерізу каналу, м2 ,
![]()
де dK — діаметр клапана, м; ΔS= 0,0001 — площа перерізу хвостовика клапана, м2 .
Площа прохідного перерізу сідла клапана, м2 ,
![]()
де vдоп — допустима швидкість у сідлі клапана, м/с (для всмоктувального vдо п2 < 2, для нагнітального vдоп1 < 5...8).
Згідно з нерозривністю струменя продукту слід дотримуватися таких умов:
![]()
Діаметр клапана, м,

Максимальна висота піднімання клапанів, мм,
![]()
де п — частота обертання колінчастого вала, хв.-1 . Потужність гомогенізатора, кВт,
![]()
де Q— продуктивність гомогенізатора, кг/год; Р — тиск гомогенізації, мПа; η = 0,75...0,85 — механічний ККД гомогенізатора.
Використана література
1. Зберігання і переробка продукції тваринництва Г.І. Подпрятов, Л.Ф. Скалецька, А.М. Сеньков, В.С. Хилевич. — К.: Мета, 2002. — 495 с
2. Технологія виробництва продукції тваринництва.О.Т. Бусенко, В.Д. Столюк, О.Й. Могильний. - К.: Вища освіта. – 2005р – 496 с.
3. Голуб Н.Д. Методичні рекомендації з «Технології виробництва продукції тваринництва та технології галузі тваринництва» для факультету економіки та менеджменту- Полтава 2008. - С.33
4. Машини та апарати для переробки молока і м'яса/Під загальною редакцією А.А. Курочкіна. - Пенза.: Пензенський технологічний інститут, 1999. - 454 с.