| Скачать .docx |
Реферат: Определение механических характеристик титановых сплавов при обработке резанием
Определение механических характеристик титановых сплавов при обработке резанием
Андреева С.А., Полтавец В.В.
Донецкий национальный технический университет
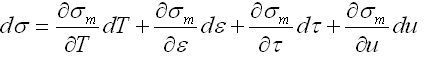
Сопротивление металлов деформации описывается уравнением вида[1]

σ где mпредел текучести; —
относительная деформация; — ε
время деформации; — τ
скорость деформации. — u
В порядке написания члены уравнения учитывают влияние на сопротивление деформации температуры, наклепа, разупрочнения во времени, изменения напряжений в зависимости от скорости деформации с учетом вязкости металла.
До настоящего времени общие закономерности, необходимые для решения уравнения, недостаточно изучены. Поэтому на практике для определения сопротивления деформации σ используют экспериментальные данные в виде конкретных дискретных значений для определенных условий воздействия на обрабатываемый материал или зависимости, аппроксимирующие экспериментальные данные [2].
Характер зависимости существенно зависит от вида деформации, которой подвергается обрабатываемый материал. Согласно классической теории обработки металлов давлением, разница между холодной и горячей деформацией заключается в том, что в первом случае рекристаллизация не происходит и возникает существенное деформационное упрочнение, во втором случае деформация происходит при температуре выше температуры рекристаллизации и упрочнение металла не наблюдается. Однако такое разделение в настоящее время недостаточно точно [2]. Тем не менее, по характеру наиболее значимых процессов в металлах к обработке резанием ближе холодная деформация.
Как достоверная характеристика деформируемого металла может быть использовано сопротивление деформации при линейном напряженном состоянии, определенное экспериментально испытанием образцов на растяжение или сжатие при термомеханических параметрах, соответствующих реальным процессам обработки давлением или резанием.
Исследования по определению сопротивления деформации сталей и сплавов проводят с применением специальных машин. Наибольшее распространение нашли пластометры различного типа. При испытаниях на них можно воспроизвести закон деформации во времени, менять степень и скорость деформации в исследуемом интервале этих параметров, производить испытания при высоких температурах, измерять усилия и деформации в функции времени с помощью тензометрической аппаратуры и т.п.
Несмотря на широкие возможности экспериментальных исследований, остается ряд проблем при использовании их результатов:
• невозможность проведения испытаний для всех сочетаний значений степеней скоростей и температур деформации;
• принципиальная недостижимость в лабораторных условиях высоких скоростей деформации (при лезвийной обработке в зоне резания скорость деформации достигает 106с-1, а при 10 — шлифовании7 с-1);
• сложность использования экспериментальных данных при автоматизированном определении механических характеристик материала.
Исходя из перечисленных проблем, проанализируем возможность использования известных из теории резания и теории обработки давлением методов определения механических характеристик материалов для расчёта параметров процесса обработки в системах автоматизации технологической подготовки производства.
При использовании графических и графоаналитических методов определения характеристик материалов при обработке давлением сопротивление деформации σ представляют в виде графиков σ=f(υ) с указанием у соответствующих линий температуры или температуры и степени деформации; показатель σ также описывают с помощью кривых упрочнения σ=f(ε) с указанием у линий скорости деформации для фиксированных значений температур.
Графические (включая номографические) и графоаналитические методы имеют существенные недостатки и неудобства использования, которые можно свести в три группы:
При автоматизации нахождения механических характеристик материалов с применением ЭВМ использовать графическую информацию чрезвычайно затруднительно;
Необходимость проведения минимум для одного из трех факторов (температуры, степени и скорости деформации) трудоемких пластометрических испытаний;
Вынужденное распространение данных пластометрии на область значений термомеханических факторов, в которой в настоящее время измерительные машины не работают.
Наиболее перспективными для автоматизации определения физико–механических характеристик конструкционных титановых сплавов в в различных температурно–скоростных условиях, по нашему мнению, являются метод, основанного на применении модификации К.Макгрегора и И.Фишера, [3], и метод термомеханических коэффициентов в различных его разновидностях [4].
Сущность метода, основанного на применении модификации К.Макгрегора и И.Фишера, состоит в том, что механические характеристики материалов определяют в зависимости от единственной переменной величины — температуры, но при этом температура, формируемая в данных условиях обработки, модифицируется по соответствующей скорости деформации [5].
Сущность метода термомеханических коэффициентов состоит в том, что сопротивление деформации определяют при средних значениях термомеханических параметров в области динамических испытаний, а затем при помощи термомеханических коэффициентов, учитывающих в отдельности температуру, степень деформации и скорость деформации, распространяют на всю исследуемую область динамических испытаний или же область реальных условий обработки. Существуют также способы определения сопротивления деформации сталей и сплавов в зависимости от их химического состава при помощи аналогичных коэффициентов. Однако для титановых сплавов такая разновидность метода термомеханических коэффициентов не рекомендуется, так как влияние легирующих элементов наиболее точно может быть учтено для высоколегированных сталей и сплавов, в отличие от низколегированных сталей и цветных сплавов.
Рассмотренные методы даю результаты, которые представляются в виде линейных, степенных и показательных зависимостей, и достаточно удобны при расчёте физико–механических параметров обрабатываемого металла на ЭВМ.
Список литературы
Надаи А. Пластичность и разрушение твердых тел / Под ред. Шапиро Г.С. Пер. с англ. — Т. 2. — М.: Мир, 1969. — 863 с.
Коновалов Ю.К., Остапенко А.Л., Пономарев В.И. Расчёт параметров листовой прокатки: Справочник. — М.: Металлургия, 1986. — 430 с.
Лоладзе Т.Н. Прочность и износостойкость режущего инструмента. — М.: Машиностроение, 1983. — 352 с.
Матюха П.Г., Полтавец В.В. Определение напряжений сдвига в условиях резания с помощью модификации Макгрегора–Фишера// Прогрессивные технологии и системы машиностроения: Сб. научн. трудов. — Донецк: ДонГТУ, 1997. — Вып. 4. — С.91–93.
Полтавец В.В. Определение сопротивления деформации хромоникелевых сталей в условиях шлифования с помощью термомеханических коэффициентов/ Наукові праці ДонНТУ.Серія машинобудування і машинознавство. — Вип.92. Донецк: ДонНТУ, 2005. — С.92–98