| Скачать .zip |
Реферат: Постановка лабораторной работы по курсу волоконно-оптические системы связи
Abstract
Object of study are principles of compaction of optical signals, presenting itself shaping several stems of issue of optical channels formed on different lengths of waves.
Purpose of work - an experimental characteristic study of спектрального division systems on frequency direct couplers. Stating a laboratory work: model development and methodical instructions.
Calculated loss when using a method of division on frequency неселективных direct couplers and are taken into account mutual influences.
In the process of work is designed principle and structured model schemes of laboratory installation, are determined its composition, requirements to safety, when working in the labs., requirements to reliability and the others.
Введение
Цифровая связь по оптическим кабелям (ОК), приобретающая всё большую актуальность, является одним из главных направлений научно-технического прогресса (НТП).
На сегодняшний день наметились две основных тенденции в развитии НТП:
снижение себестоимости услуг связи и повышение её качества.
Преимущества цифровых потоков в их относительно лёгкой обрабатываемости
с помощью ЭВМ, возможности повышения отношения сигнал/шум и увеличения плотности потока информации.
Преимущества оптических систем передачи (СП) перед СП работающими по металлическому кабелю заключается в:
-возможности получения световодов с малым затуханием и дисперсией, а значит увеличение дальности связи;
-широкая полоса пропускания (ПП),значит большая информационная ёмкость;
-ОК не обладает электропроводностью и индуктивностью, то есть кабели не подвергаются электромагнитным воздействием;
-пренебрежимо малые перекрестные помехи;
-низкая стоимость материла ОК, его малый диаметр и масса;
-высокая скрытность связи;
-возможность усовершенствования системы при полном сохранении совместимости с другими СП.
Линейные тракты волоконно-оптических систем передачи (ВОСП) строятся как двухволоконные однополосные однокабельные, одноволоконные однополосные однокабельные, одноволоконные многополосные однокабельные (со спектраль-ным уплотнением).
Учитывая, что доля затрат на кабельное оборудование составляет значитель-ную часть стоимости связи, а цены на ОК в настоящее время остаются
достаточно высокими, возникает задача повышения эффективности исполь-зования пропускной способности ОВ за счёт одновременной передачи по нему
большего объёма информации.
Этого можно добиться, например, передачей информации во встречных нап-равлениях по одному ОВ.
Такая работа в нашей стране была практически проведена в 1990-ом году [1]
на одной из ВОЛС Ленинградской ГТС между АТС-298 и АТС-126.Линия была организована на основе отечественного оборудования-аппаратуры “Соната-2”
(скорость 8 Мбит/с, длина волны-0,85 мкм, энергетический потенциал-50 дб)
и ИКМ-120-4/5 (волна излучения-1,3 мкм, энергетический потенциал-40 дб).
При создании спектрального уплотнения ВОЛС были применены устройства
спектрального объединения и деления УСОД-0,85/1,3. Позже было предложено
использование для этих целей направленных ответвителей [2].
Настоящая дипломная работа посвящена постановке лабораторной работы,
направленной на изучение принципов спектрального уплотнения, на примере
встречной передачи сигналов по одному ОВ на длинах волн 0,85 мкм и 1,3 мкм
с использованием направленных ответвителей.
Заключение
В дипломном проекте были выполнены практическая и теоретическая части.
В теоретической части были последовательно рассмотрены принципы спектрального уплотнения, учтены взаимные влияния стволов. Приведены классификация и теоретические сведения об используемых в постановке лабораторной работы компоненты ВОСП на волоконной оптике (преимущества и недостатки волоконной оптики, а так же сочетаемость элементов полосковой оптики с волоконной в данной работе не затрагивались). Такие как оптические волокна, направленные ответвители, лазеры. Изучение их пригодности, возможность использования, сочетаемость элементов для данной лабораторной работы.
На практике были подобраны, проверены, отъюстированы и настроены приборы. Также был создан макет для лабораторной установки. Имитирующий тракт ВОСП и позволяющий изучить процессы, происходящие при передаче основанной на принципах спектрального разделения. Были проведены экспериментальные исследования макета лабораторной установки. По практически полученным данным проведены расчёты и сопоставления с теоретическими и паспортными данными. Сопоставления как не имеющие теоретической ценности не были отдельно сведены и оформлены. Данные можно найти в главе “Экспериментальные исследования к лабораторной работе” и теоретической части данной дипломной работы. Макет также позволяет изучить на практике свойства некоторых компонентов ВОСП, в частности направленные ответвители. В макете применены два направленных ответвителя различной конструкции: УК-1 – разветвитель звездообразного типа с ветвящейся структурой, трёхволоконный, российского производства и ОР-СЕО1-2-2-В-0,8м-50/50 – разветвитель звездообразного типа, биконический со связью через затухающее поле, английского производства. На стенде лабораторного макета также присутствуют: приёмник оптической мощности ПрОМ-361, позволяющий наблюдать осциллограммы сигналов разных кодовых последовательностей и производить замеры мощности шумов и собственно сигнала в различных точках тракта (вольтметр поглощаемой оптической мощности не позволяет этого делать).
Были разработаны подробные методические указания под данную лабораторную работу, где приведены: задание, порядок выполнения работы, теоретические сведения и указана учебная литература.
Данная лабораторная работа предназначена для практического курса “оптические системы передачи” (ОСП), студентов факультетов АЭС, МЭС, РРТ, 4х…5х курсов. С наилучшими пожеланиями, автор Штанюк М. А.
5 Методические указания к лабораторной работе
Тема: Изучение принципов спектрального уплотнения.
Цель работы: целью работы является изучение и экспериментальное исследование принципов спектрального разделения в ВОСП.
5.1 Подготовка к работе
Изучить структурную схему лабораторного макета. Принцыпы работы направленных ответвителей и полупроводниковых лазеров по приведённой методической литературе.
Литература: 1 И.И.Гроднев.
Волоконно - оптические линии связи.
М: Радио и связь. 1990г. -224с.
с 84-88
2 Волоконно - оптические системы передачи.
М.М.Бутусов, С.М.Верник, С.Л.Галкин и другие.
М: Радио и связь. 1992г.- 416с.
c 141-159
Дополнительная литература:
1 Журнал “электросвязь” №1, 1990г.
М: Электросвязь
Спектральное уплотнение волоконно - оптических линии ГТС.
А.С.Брискер, Ю.М.Гусев, В.В.Ильин и другие.
С 41-42
2 Журнал “Электросвязь” №4, 1991г.
М: Электросвязь
Способы увеличения пропускной способности волоконно - оптических линии ГТС.
А.С.Брискер, Ю.М.Гусев и другие.
с 28-31
Используемые приборы
1 Лабораторный макет.
2 Оптические генераторы ОГ 5 - 87 диапазонов А и Б.
3 Вольтметр поглощаемой оптической мощности ОМЗ - 66 с двумя преобразователями оптической мощности в электрическую, на длины волн 1,3мкм и 0,85мкм.
4 Осциллограф С-67.
Теоретические сведения
В данной лабораторной работе имметируется усовершенствованный способ уплотнения ВОЛС ГТС впервые применённый на Ленинградской ГТС между АТС -298 и АТС - 126.
5.3.1Способ передачи информации
В лабораторной работе используется дуплексный способ передачи информации по одноволоконному оптическому тракту. С каждой из сторон оптического тракта, состоящего из одного волокна, находится приёмник и передатчик оптического сигнала. В линии такого типа обязательно должен присутствовать узел объединения и разделения каналов приёма и передачи (УОРК). Он может быть трёх типов:
оптическим - с помощью пассивных оптических разветвителей, селективных (мультиплексоры и демультиплексоры) и неселективных (делители оптической мощности) кдлине волны. В данной лабораторной работе используется неселективные направленные ответвители (НО) оптической мощности.
электронно - оптическими - оптические выходы приёмника и передатчика объединяются с помощью НО, третий вывод которого через электронно - оптические вентили (ЭОВ) подключён к тракту. ЭОВ по определённому алгоритму подсоединяют приёмник и передатчик.
электронным - в приёмопередатчике используется полупроводниковый прибор, способный принимать и излучать оптический сигнал в зависимости от приложенного к нему управляющего напряжения. Электрический вывод этого прибора подключается к электронному распределительному устройству.
В данной лабораторной работе используется оптический способ на неселективных (не чувствительных) к длине волны НО.
Направленные ответвители
В данной лабораторной работе используются два неселективных направленных ответвителя звездообразного типа. Потери при распределении мощности излучения в системе со звездообразными ответвителями пропорционально логарифму числа оконечных устройств. По конструкции НО делят на два основных типа - биконические, в которых излучение передаётся через боковую поверхность, и торцевые, в которых излучение передаётся через торец.
В лабораторной работе используются два НО: четырёхволоконный биконический и трёхволоконный с ветвящейся структурой.
В звездообразных ответвителях: Pei (i=1,2,...,n) - мощность, поступающая в
i-ый входной световод. Paj (j=1,2,...,m) - мощность, поступающая в j-ый выходной световод. При равномерном распределении входной мощности между выходным выходными волоконными световодами (ВС) ответвитель характеризуют следующие величины:
- потери на расшепление an=10 lg m;
- осимые потери ai,1= - 10 lg (Pe,i /(Pa,1+Pa,2+...+Pa,m));
- ослабление в обратном направлении ar,1= - 10 lg (Pe / Pe,i), где l=1,2,...,n.
Источники оптического излучения
В лабораторной работе используется генератор оптических и электрических импульсов комбинированный ОГ5 - 87 диапазонов А и Б. В них использованы полупроводниковые лазеры генерирующие на длинах волн 0,85мкм, 1,3мкм соответственно. Приборы генерируют оптические импульсы на центральных длинах волн не более 0,88мкм и 1,20...1,35мкм соответственно. Средняя мощность излучения на оптических выходах в бифазном и CMI кодах равна 0,1...1,0мВт. Используется прямая модуляция интенсивности. Лазеры на основе полупроводниковых двойных гетероструктур (ДГС). Глубина модуляции импульсного излучения соответствует глубине модуляции импульсного оптического излучения (А), определяется по формуле
A=(4*(P1 – P2) / (3*P1 - 2*P2))*100%, (5.3.3.1)
где P1 - значение средней мощности при длительности импульсов T/2, мвт
P2 - измеренное значение средней мощности при длительности импульсов
T/4, мвт.
Описание лабораторной установки
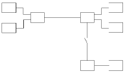
Структурная схема лабораторного макета изображена на рисунке 5.4.1.

Рисунок 5.4.1 - Структурная схема макета
1 - генератор оптических импульсов на длину волны 0,85мкм;
2 - приёмник оптического сигнала на 1,3мкм;
3,4 - направленный ответвитель;
5 - приёмник оптического сигнала на 0,85мкм;
6 - генератор оптических импульсов на длину волны 1,3мкм;
7 - приёмный оптически модуль на длину волны 1,3мкм;
8 - осциллограф
Задание к лабораторной работе
Исследовать свойства направленных ответвителей на длинах волн 1,3мкм и 0,85мкм. Рассчитать затухание в прямом, обратном направлении и переходное каждого из двух НО на каждой длине волны.
Исследовать свойства системы дуплексной передачи информации по одноволоконному оптическому тракту. Рассчитать затухания тракта на длинах волн 0,85мкм и 1,3мкм.
проанализировать прохождение цифрового сигнала по оптическому тракту. Сравнить уровень сигнала в различных точках тракта и сравнить с исходным электрическим.
Методические указания к выполнению работы
1)Включить ОГ5-87 диапазона А, ОГ5-87 диапазона Б и осциллограф, дать им прогреться в течении пятнадцати минут.
Ознакомится с расположением органов управления на передней панели приборов ОГ5-87. После чего установить полную мощность (кнопка P нажата). Режим: все коды отключить (все кнопки отжаты), то есть модуляция отсутствует. Кнопка T/2 // T/4 - нажата; ТТЛ / ЭСЛ - отжата; переключатель ВНУТР./ ВНЕШ. На внутренний кварц (вторая кнопка сверху). Установить частоту 2,048Мгц, - кнопка “2,048” - нажата. Кнопки кодовой последовательности и ПСП - отжаты.
Замерить выходную оптическую мощность вольтметром поглащаемой оптической мощности, подав сигнал с оптического выхода ОГ5-87 через преобразователь оптической мощности (0,85 или 1,3) на ОМЗ-66.
Исследовать НО.
Замерить мощности проходящие через НО. Для этого подать оптический сигнал через переходное устройство на один из выходов НО другой подсоединить через преобразователь оптической мощности к ОМЗ-66. На длине волны 0,85мкм произвести измерения поочерёдно подавая сигнал на входы 1,2 и 3 каждый раз производя измерение на двух других.
Повторить измерения на другом НО.
Повторить измерения на длине волны 1,3мкм. Рассчитать затухания:
Ai= 10 lg (P/Pi), дБ, (5.6.1)
где Pi - измеряемая мощность на выходе НО
P - мощность ОГ5-87, измеренная в пункте 3)
5)Измерение затухании тракта.
Для этого выходы 1 двух НО соединить между собой с помощью переходного соединителя. К входам 2 обоих НО подсоединить ОГ5-87. Включить лазер
ОГ5-87 диапазона А (длина волны 1,3мкм), на выход 3 противоположного НО включить ОМЗ-66 через преобразователь 1,3. Замеряем, выключаем лазер.
Включаем лазер ОГ5-87 диапазона Б (длина волны 0,85мкм). На выход 3 противоположного НО подключаем ОМЗ-66 через преобразователь 0,85. Замеряем мощность, выключаем лазер. Рассчитать затухание по формуле 5.6.1.
6)Наблюдение прохождения цифрового сигнала. Измерение отношения сигнал / шум.
На ОГ5-87 с длиной волны 1,3мкм включить код БИН. Поставить длительность кодовой последовательности 16 и выставить комбинацию, заданную преподавателем, нажать “ПУСК”. Подключить ОГ5-87 к оптическому входу приёмника оптических сигналов (ПрОМ), включить питание ПрОМа. Зарисовать осциллограмму сигнала с экрана осциллографа, определить отношение сигнал /шум. После этого оптический сигнал на вход 2 НО, с помощью ПрОМа определить уровень мощности сигнала и отношение сигнал / шум на выходе 1 НО. Так же замерить уровень мощности сигнала и отношение сигнал / шум на выходе тракта, то есть на выходе 3 противоположного НО, выходы 1 двух НО должны быть соединены.
3 Оптические разветвители
Разветвители (ответвители) сигнала играют важную роль в, ВОЛС. Различают разветвители чувствительные (селективные) к длине волны и нечувствительные (неселективные). Первые применяются для объединения (или разъединения) сигналов с различными оптическими несущими и называются мультиплексорами (и демультиплексорами соответственно). Вторые используются для разветвления оптической мощности при наличии большого числа оконечных устройств в линии связи, подключения шины данных в ЭВМ, приема контрольного сигнала или сигнала обратной связи, предназначенного для управления мощности источника излучения.
Мультиплексоры и демультиплексоры
Мультиплексирование позволяет увеличить информационную емкость ВОЛС. Применяемые в линиях устройства для объединения сигналов с различными несущими длинами волн (мультиплексоры) и разъединения (демультиплексоры) должны иметь малые вносимые потери. Мультиплексоры должны, кроме того, обеспечивать высокую степень изоляции между каналами. В зависимости от длины волны используют четыре различных способа получения устройств связи . В основу работы устройств положены три чувствительных к длине волны эффекта — угловая дисперсия, интерференция и поглощение. Демультиплексоры, используют угловую дисперсию решетки или призмы. Конструкция для разделения каналов с помощью интерференционного фильтра, структура поглощающего типа, используемая как демультиплексор. Каждый поглотитель состоит из чувствительного к длине волны фотодиода. Устройства с решеткой и призмой являются делителями с параллельным разделением каналов, а использующие фильтры и селективные фотодетекторы с последовательным.
Последовательное разделение применяется при небольшом числе каналов, так как с ростом числа каналов пропорционально увеличивается число элементов схемы (светофильтров, делительных пластин, зеркал, фокусирующих элементов) и соответственно растут потери на излучение.

Рисунок 3.1.0 - Принцип работы устройств связи, селективных к длине волны:
а - с решёткой; б - с призмой; в - с интерференционным фильтром; г - с поглощающим фильтром;
1 - градиентная цилиндрическая линза; 2 - дифракционная решётка; 3 - хроматическии фильтр; 4 - призма; 5 - отражающее покрытие; 6 - селективные фотодетекторы
Наиболее широко используются устройства с интерференционным фильтром. Демультиплексоры такого типа выполнимы и в полностью волоконном исполнении без использования цилиндрических линз. Их устройство подобно устройству торцевых делителей мощности, в разрезе передающего ВС которых вместо полупрозрачной пластины расположен фильтр, чувствительный к длине волны [7].
Параллельное разделение, возможно осуществить как для малого, так и для большого (несколько десятков) числа спектрально уплотненных несущих в одном волоконном световоде (ВС). Параллельные детали представляют собой миниспектрометры. Как и спектрометр, делитель имеет диспергирующий элемент (решетку или призму), коллимирующий элемент (объектив или вогнутое зеркало), а также входную и выходную щели (роль которых выполняют сердцевины излучающего и приемных ВС). Схема с призмой не получила широкого распространения, так как призма ограничивает возможность миниатюризации устройства и характеризуется низкой дисперсией в диапазоне длин волн 1,1 ... 1,6мкм. Материалы для изготовления призм со значительной угловой дисперсией имеют большие потери. Кроме того, дисперсия призм не постоянна по спектру. Наибольшее распространение получили устройства с дифракционной решеткой. Угловая дисперсия первого порядка для решетки определяется ее пространственным периодом — постоянной решетки
и описывается выражением:
![]()
![]()
,
где
— длина волны излучения. Если оптическая мощность в каждом канале практически монохроматична, разделение каналов определяется соотношением
, где f — фокусная длина линзы; D — пространственное разделение выходов ВС. Конечная ширина спектральной линии источника излучения ВОЛС приводит к перекрытию соседних каналов.
На рисунке 3.1.1 представлены зависимости вносимых потерь Li и переходного затухания La для полупроводникового лазера с шириной спектральной линии
=2 нм и светодиода с
=40 нм. Из рисунков видно, что с ростом
уменьшается переходное затухание. Его можно увеличить, уменьшая плотность упаковки ВС (увеличивая параметр Df2a, где а — радиус сердцевины ВС). Однако при этом растут вносимые потери. Мультиплексоры и демультиплексоры с решетками мало пригодны для использования в ВОЛС, в которых источниками излучения являются светодиоды.
Примером устройства демультиплексора с решеткой является пятиканальный демультиплексор, изображенный на рисунке 3.1.2. Излучающий и пять приемных ВС объединены в линейку, расположенную в фокальной плоскости объектива (фокусное расстояние 23,8 мм, диаметр 14 мм).


Рисунок 3.1.1 - Зависимость вносимых потерь Li (штриховые кривые) и переходного затухания L, (сплошные кривые) от спектрального разделения каналов для полупроводникового лазера с шириной спектральной линии
=2 нм (а) и све-тодиода
=40 нм (б).
Примечание. Цифры на кривых показывают отношение пространственного разделения D/2a, где D— диаметр ВС, гa—диаметр сердцевины.
Излучение из передающего ВС коллимируется объективом, диафрагмирует на решетке и снова попадает в объектив, который в зависимости от длины волны фокусирует излучение на тот или другой приемный ВС. Вместо объектива может использоваться фокусирующий (градиентный) стержень или прозрачная среда с оптическим элементом на поверхности. Дифракционную решетку изготовляют анизотропным травлением кристаллической подложки по кристаллическим осям сквозь предварительно нанесенную маску. Решетка имеет несимметричные канавки. Параметры решетки (постоянная решетка
=4 мкм, угол в = 6,2°) выбраны так, чтобы ее максимальная дифракционная эффективность достигалась на центральной длине волны
=0,86 мкм рабочего диапазона 0,82...0,88 мкм. Спектральный интервал между каналами равен 25 нм. Во всем диапазоне дифракционная эффективность составляет величину, не превышающую 90%, вносимые потери в каналах не превышают 1,4 дБ, переходное затухание —30 дБ.
Большое внимание уделяется разработке малогабаритных делителей в интегрально-оптическом исполнении, а также различных делителей с вогнутыми решетками.
Делители оптической мощности
Неселективные разветвители подразделяют на два основных типа: Т-образные, построенные по принципу ответвления оконечных устройств от главного ствола линии, и звездообразные.

Рисунок 3.2.1 - Устройство пятиканального демультиплексора: 1—входной ВС; 2—выходные ВС; 3— объектив; 4—дифракционная решетка
Потери при распределении мощности излучения в системе с Т-образными соединителями возрастают пропорционально числу абонентов, а в системе со звездообразными ответвителями — пропорционально логарифму числа оконечных устройств N. Так, в системе с 20 оконечными устройствами общие потери составляют в первом случае 130 дБ, а во втором — 28 дБ. Поэтому в системах с большим числом абонентов целесообразно применение звездообразных соединительных устройств.
Деление мощности с помощью Т-образного разветвителя характеризуют следующими величинами затухания:
в прямом направлении a1= - 10lg (P1/P2), P4=0;
вносимым a2= - 10 lg (P2+P3), P4=0;
при ответвлении а3= - 10 Ig (P1/Р3);
связи a4= - 10 lg (P4/P2), P1=0;
в обратном направлении а5= - 10 lg (P4/P1).
В звездообразном ответвителе к каждому из входных ВС подведена мощность Pе, (i=l, 2, ..., п), которая передается выходным ВС. Пусть Pа, (j=1, 2, ..., т) — мощность, поступающая в j-и выходной ВС. При равномерном распределении входной мощности между выходными ВС ответвитель характеризуют следующие величины:
потери на расщепление an=10 lg m;
вносимые потери a.i,i= - 10 Ig Pe / (Pa1+Pa2+...+Pam);
ослабление в обратном направлении a r,l= - 10 lg Pei=l / Pei, где l=1, 2, ..., п.
При конструировании оптического разветвителя желательно достичь малых вносимых потерь, малой модовой зависимости конструкции, хорошей воспроизводимости параметров, простоты конструкции, малых размеров и массы. Конструкция разветвителя зависит от типа ВС, приемного угла, отношения радиуса сердцевины к толщине оболочки, возбуждаемого медового распределения на вводе ВС.
По своей конструкции разветвители разделяют на две основные группы — биконические, в которых излучение передается через боковую поверхность, и торцевые, в которых излучение передается через торец. В обеих группах передача излучения может осуществляться либо при непосредственном контакте ВС, либо через вспомогательные элементы — зеркала, линзы, смесители. В биконических разветвителях свет может быть извлечен через боковую поверхность при преобразовании направляемой моды в моду излучения или при связи со вторым ВС через исчезающее поле (рисунок 3.2.1). Преобразование распространяющейся волны в моды излучения получают при изгибе ВС, при снятии оболочки или коническом сужении сердцевины. Биконические разветвители легко - изготовить, однако они обладают плохой воспроизводимостью параметров. Вносимые потери 0,2...1 дБ.
Из разветвителей торцевого типа наиболее распространены такие, в которых торцы выходных ВС непосредственно состыковываются с торцом входного ВС и ническим способом или заливаются каплей клея. Изменяя взаимное положение закрепляются каким-либо механическим способом или заливая каплей клея [3].

Рисунок 3.2.1 - Биконический разветвитель со связью через затухающее поле

Рисунок 3.2.2 - Разветвители торцевого типа:
1—входной ВС; 2,3,4 —выходные ВС
Изменяя взаимное положение торцов ВС и подбирая их поперечное сечение (рисунок 3.2.2), можно изменять в широких пределах отношение мощностей в разных выходных каналах. Вносимые потери составляют 0,3...1,2 дБ. Для их уменьшения, а также для снижения возбуждения мод оболочки стравливают или сошлифовывают. На рисунке 3.2.3 изображен разветвитель с ветвящейся структурой, сформированный путем склеивания или оплавления выходных ВС вдоль сошлифованных под малым углом сердцевины и соединения с торцом входного ВС. Хотя принцип разветвителя простой, изготовление затруднительно, вносимые потери составляют 0,5...1,2 дБ. Эта конструкция подходит .как для градиентных, так и для ступенчатых ВС. Разделение мод и потери растут с ростом угла
, под которым соединены ВС.
Разветвитель с расщеплением пучка показан на рисунке 3.2.4. ВС разрезан под углом 45° к оси, торцы его отполированы и покрыты частично отражающими металлическими и диэлектрическими зеркалами.

Рисунок 3.2.3 - Разветвитель с ветвящейся структурой: 1 — входной ВС; 2,3 - выходные ВС

Рисунок 3.2.4 - Разветвитель с расщеплением пучка
Теоретическая величина потерь 0,5 дБ. Практически для всех типов ВС вносимые потери равны 1...1,5 дБ в зависимости от коэффициента разделения.
Для разветвления мощности также применяют:
формирование на конце входного ВС, очищенного от оболочки, шариковой линзы с отражающим пятном на полюсе и двумя “окнами” в местах вывода отраженного излучения в боковые выходные ВС, введение бокового ВС в V-образную канавку, сформированную в основном ВС (потери 0,5... 1,2 дБ);
формирование глубокого надреза в основном ВС, благодаря которому часть сигнала ответвляется в боковые ВС, закрепленные над надрезом перпендикулярно основному.
В разветвителях со вспомогательными элементами широко используют диэлектрические цилиндрические линзы, представляющие собой отрезок градиентного ВС с параболическим профилем показателя преломления.

Рисунок 3.2.5 - Разветвители с градиентными диэлектрическими линзами: L1, L2, L3 —линзы: 1—входной ВС; 2,3 — выходные ВС; f— фокусное расстояние линзы

Рисунок 3.2.6 - Звездообразный разветвитель со сферическим зеркалом
Лучи периодически фокусируются на оси линзы в точках, расстояние между которыми определяется длиной волны сигнала. Некоторые типы разветвителей с линзами показаны на рисунке 3.2.5. На торцы линз наносятся частично (рисунок 3.2.5, в) или полностью (рисунок 3.2.5,а) отражающие покрытия, которые на рисунке показаны утолщенными линиями. Измеренные вносимые потери, например, для разветвителя составляют 0,99 дБ для Рз/Ра= 0,03.
На рисунке 3.2.6 изображен звездообразный ответвитель. Он состоит из цилиндрического корпуса со стеклянным смесительным стержнем . Один из концов смесительного стержня представляет собой сферическое зеркало 2, на другой конец нанесено просветляющее покрытие 3. Излучение, выходящее из какого-либо ВС пучка 4, отражается от зеркала и равномерно распределяется по всем ВС. Это дает возможность каждому терминалу в системе передавать и .принимать данные от любого другого терминала.
Выводы по главе
В современных ВОСП и данной лабораторной работе целесообразнее использовать селективные ответвители (мультиплексоры и демультиплексоры).
За неимением использованы неселективные направленные ответвители оптической мощности. Звездообразного типа,биконической конструкции.
OP-CEO1-2-2 - биконический разветвитель со связью через затухающее поле, теоретически вносимые потери 0,2...1дБ. УК-1 разветвитель с ветвящейся структурой, теоретически вносимые потери 1...1,5дБ.
1 Основные параметры и характеристики оптического волокна
Качество ОК проверяется с использованием общепринятых методов измерений. Требуется установить стандарты на параметры ОВ и соответствующие методы измерения. На европейском уровне за разработку таких стандартов отвечает Рабочая группа 28 Комитета по электронным компонентам CENELEC, на всемирном уровне - Технический комитет 86 Международной электротехнической комиссии.
Апертура волоконного световода
Апертура – это угол между оптической осью и одной из образующих светового конуса, попадающего в торец волоконного световода, при котором выполняется условие полного внутреннего отражения [3].
Учитывая, что в световоде границей раздела сред сердцевина – оболочка являются прозрачные стёкла, возможно, не только отражение оптического луча, но и проникновение его в оболочку. Для предотвращения перехода энергии в оболочку и излучения в окружающее пространство необходимо соблюдать условие полного внутреннего отражения и апертуру.
Известно, что при переходе из среды с большей плотностью в среду с меньшей плотностью, то есть при n1>n2, волна при определённом угле падения полностью отражается и не переходит в другую среду. Угол падения начиная с которого вся энергия отражается от границы раздела сред, при wp=
в, называется углом полного внутреннего отражения:
, (1.1.1)
где m и e - соответственно магнитная и диэлектрическая проницаемости сердечника(m1,e1) и оболочки (m2,e2).При
wp>
преломлённый луч проходит вдоль границы раздела сердцевина - оболочка и не излучается в окружающее пространство.
При wp>
в энергия, поступившая в сердечник, полностью отражается и распространяется по световоду. Чем больше угол падения волны, wp>
в в пределах от
в до 90 градусов, тем лучше условия распространения и тем быстрее волна придёт к приёмному концу. В этом случае вся энергия концентрируется в сердечнике световода и практически не излучается в окружающую среду. При падении луча под углом, меньшим угла полного отражения, wp<
в , энергия проникает в оболочку, излучается во внешнее пространство и передача по световоду неэффективна.
Режим полного внутреннего отражения предопределяет условие подачи света на входной торец волоконного световода. Световод пропускает лишь свет, заключённый в пределах телесного угла
а, величина которого обусловлена углом полного внутреннего отражения
в. Этот телесный угол
а характеризуется числовой апертурой:
NA=sin
а=(n12 - n22)1/2, (1.1.2)
Между углами полного внутреннего отражения
в и апертурным углом падения луча
а имеется взаимосвязь. Чем больше угол
в , тем меньше апертура волокна
а . Следует стремится к тому, чтобы угол падения луча на границу сердечник - оболочка wp был больше угла полного внутреннего отражения
в и находился в пределах от
в до 90 градусов, а угол ввода луча в торец световода w укладывался и апертурный угол
а (w<
а).
В действующих технических условиях NA=0,2.
1.2 Критические длины волн и частоты
Световоды, как и волноводы, имеют частоту отсечки (критическую частоту f0), и по ним возможна передача лишь волн длиной меньше диаметра сердцевины световода (
<d ).
Суммируя значения поперечных состовляющих g сердцевины и оболочки, получаем:
g12+g22=k12 - k22=k0(n12 - n22), (1.2.1)
где k0=2 pi/
=2 pi f/c; g12=k12 -b2 -поперечная составляющая волнового числа сердцевины;
k1=2 pi/
- волновое число сердцевины;
b - коэффициент распространения в световоде
Для определения критической частоты f0 надо принять g2=0, т.к. при значениях g2>0 поле концентрируется в сердцевине световода, а при g2=0 оно выходит из сердцевины и процесс распространения по световоду прекращается. Тогда:
g12=k0(n12 - n22), (1.2.2)
f0=
pi(n12 - n22)1/2, (1.2.3)
Умножив числитель и знаменатель на радиус сердцевины r1,получим:
F0=g1 c r1/pi d(n12 - n22)1/2 , (1.2.4)
где d - диаметр сердцевины волокна
0=v1/f0=
(n12 -n22)1/2, (1.2.5)
где g1=Pnm - параметр, характеризующий тип волны (моду)
Значения Pnm для различных типов волн
0 можно найти в специализированной литературе по ОК, например в [3].
Из формулы видно, что чем толще сердцевина световода и чем больше отличаются n1 и n2 , тем больше критическая длина волны и ниже критическая частота световода f0 .
Критические частоты f0 для различных типов волн Pnm и диаметра сердцевины d приведены в таблице 1.2.1 ( n1=1.51 и n2=1.50 ).
Таблица 1.2.1 - Критические частоты
Критическая частоста,10 13 Гц, для d ,мкм
| Pnm | 8 | 10 | 40 | 50 | 100 |
| 2,405 | 18,4 | 14,7 | 3,32 | 2,66 | 1,33 |
| 3,83 | 26,8 | 21,1 | 5,29 | 4,23 | 2,12 |
При определённой длине волны наступает такой режим, когда q=0 градусов, волна падает на оболочку световода и отражается перпендикулярно. В световоде устанавливается режим стоячей волны, и энергия вдоль световода не распространяется. Это соответствует случаю критической длины волны
0 =d. Поэтому по ОВ возможна передача лишь волн длиной меньше диаметра световода (
<d ).

Рисунок 1.2.1 - Распространение волны в волоконном световоде для частот:
а - очень высоких; б - менее высоких; в - критических
1.3 Нормированная частота
Важнейшим обобщённым параметром волоконного световода, используемым для оценки его свойств, является нормированная частота V .Она получается суммированием аргументов цилиндрических функций [3] для сердцевины (g1 a) и оболочки (g2 a):
V=((g1 a)2 - (g2 a)2)1/2=((k12 - b2)+(b2 - k22))2=(k12- k22)1/2=2 pi a(n12 - n22)1/2/
, (1.3.1)
где a - радиус сердцевины оболочки;
n1 - показатель преломления сердцевины;
n2 - то же, оболочки
В таблице 1.3.1 приведены значения нормированной частоты V при различных радиусах сердцевины волокна a, длины волн
(n1=1,51). Из таблицы видно, что с увеличением радиуса сердцевины волокна величина V растёт, а с
увеличением
уменьшается.
Таблица 1.3.1- Нормированная частота
Значения V, при a, мкм
| | 4 | 5 | 25 | 50 |
n2
| 1,49 | 1,5 | 1,49 | 1,5 | 1,49 | 1,5 | 1,49 | 1,5 |
| 0,85 | 7,24 | 5,1 | 9,05 | 6,2 | 45,2 | 32,1 | 90,5 | 63,09 |
1,55 | 3,97 | 2,7 | 4,96 | 3,4 | 25,2 | 17,6 | 49,6 | 35,1 |
Выше показано, что при критической частоте g22=b2 - k22=0. Тогда b=0 для b/k=n2 ,где k=2 pi/
.
Значение нормированной частоты отсечки соответствует точке пересечения каждой кривой с осью V. В этом случае b/k=n2 поле излучается из световода и процесс распространения прекращается. Из рисунка видно, что только одна одномодовая волна HE11 не имеет критической частоты. Для неё нормированная частота находится в пределах 0 <V < 2,405 или V=2 pi a(n12 - n22)1/2<2,405. Из формулы видно, что чем меньше разность dn=n1 - n2, тем при большем радиусе световода обеспечивается одномодовый режим. Так если n1=1,46, то при dn=0,01 радиус a=2,24
, а при dn=0.003 получим a<4,09
. То есть в последнем случае одномодовая передача реализуется при диаметре сердцевины d=8,2
, что соответствует для длины волны 1,3 нм диаметру 10,7 мкм.
Число мод
Существующие конструкции ВС с диаметром сердцевины 50 мкм являются многомодовыми системами, и по ним распространяется большое число волн. В общем виде число мод в ВС определяется по формуле:
N=V2(1+2/n)/2, (1.4.1)
где n - показатель степени изменения профиля показателя преломления. Тогда для ступенчатого ВС n равно бесконечности:
N=V2/2, (1.4.2)
а для градиентного ВС (n=2):
N=V2/4, (1.4.3)
Из формулы видно, что чем больше диаметр сердцевины ВС и меньше длина волны, тем больше возникает мод. Причём в градиентных световодах число мод в два раза меньше, чем в ступенчатых.
Затухание
ОК характеризуются двумя важнейшими параметрами: затуханием и дисперсией.
Затухание a определяет длину регенерационных участков (расстояние между регенераторами) и для трактов оптических кабелей обусловлено собственными потерями в волоконных световодах ac и дополнительными потерями вызываемыми кабельными ak, обусловленные скруткой, а также изгибами сиетоводов при наложении покрытий и защитных покрытии в процессе изготовления оптического кабеля.
Собственные потери ВС состоят в первую очередь из потерь поглощения ap и потерь рассеяния ar. Механизм потерь, возникающих при распространении по волоконному световоду электромагнитной энергии объясняется так: часть мощности, поступающей на вход световода рассеивается вследствие изменения направления распространения лучей на нерегулярностях и их высвечивания в окружающее пространство ( ap ), а другая часть мощности поглощается посторонними примесями, выделяясь в виде джоулева тепла ( ap +apr ). Такими примесями являются ионы металлов (никель, железо, кобальт и др.) и гидроксильные группы (ОН), приводящие к появлению резонансных всплесков затухания.
Потери на поглощение зависят от чистоты материала и при наличии посторонних примесей ( apr ) могут достигать значительной величины (ap+apr ).
Потери на рассеяние лимитируют предел минимально допустимых значений потерь в волоконных световодах. В результате a=ap+ar+apr+ak.
Затухание за счёт поглощения, дБ/км, связано с потерями на диэлектрическую поляризацию, линейно растёт с частотой, существенно зависит от свойств материала световода ( tg q ) и рассчитывается по формуле
ap=8.69 pi n tg q/
, (1.5.1)
где n - показатель преломления;
tg q - тангенс угла диэлектрических потерь в световоде
Потери рассеяния обусловлены неоднородностями материала ВС, расстояния между которыми меньше длины волны, и тепловой флуктуацией показателя преломления. Величина потерь на рассеяние, дБ/км, называемое рэлеевским,определяется по формуле:
ap=Kp/
2, (1.5.2)
Kp - коэффициент рассеяния, для кварца равный 0,8 (мкм4дБ)/км .
Потери на рэлеевское рассеяние определяют нижний предел потерь, присущих ВС. Этот предел различен для различных волн и с увеличением длины волны уменьшается.
На рисунке 1.5.1 представлены частотные зависимости коэффициента затухания световода. Из рисунка видно, что потери на поглощение растут линейно с увеличением частоты, а потери на рассеяние существенно быстрее - по закону f 4.
При
>2 мкм начинаются проявляться потери на поглощение передаваемой мощности. Это явление проявляется с ростом длин волн и углублением в инфракрасную область оптического спектра. Величина этих потерь пропорциональна показательной функции и уменьшается с ростом частоты по закону (дБ/км) ank=Ce-h/
, где C и k - постоянные коэффициенты (для кварца k =(0,7 - 0,9)*10-6 м, C =0,9).
На рисунке 1.5.2 приведены графики рэлеевского рассеяния 1, инфракрасного поглощения 2, коэффициента затухания 3 реальных световодов с учётом потерь на поглощение и за счёт примесей. Релеевское рассеяние ar ограничивает нижний предел потерь в левой части графика, а инфракрасное поглощение в правой. На графике явно видны три окна прозрачности световода. Наименьшее затухание ( a= 0.3 дБ/км ) имеется в третьем окне прозрачности при
=1,55 мкм. Причём с увеличением длины волны затухание снижается.

Рисунок 1.5.1 - Частотная зависимость затухания
Рисунок 1.5.2 - Затухание энергии в волоконном световоде при различных длинах волн
Дисперсия
Наряду с затуханием пропускная способность dF является важнейшим параметром ВОСП. Она определяет полосу пропускаемую световодом, и соответственно объём информации, который можно передавать по оптическому кабелю. Теоретически по волоконному световоду можно организовать огромное количество каналов для передачи информации на большие расстояния. Однако имеются значительные ограничения, обусловленные тем, что сигнал на вход приёмного устройства приходит искажённым, чем длиннее линия тем больше искажение. Данное явление носит название дисперсии и обусловлено различием времени распространения различных мод в световоде и наличием частотной зависимости показателя преломления.
Дисперсия - это рассеяние во времени спектральных или модовых составляющих оптического сигнала. Дисперсия приводит к увеличению длительности импульса при прохождении по ОК.

Рисунок 1.6.1 - Уширение импульсов за счёт дисперсии
Уширение импульса dt определяется как квадратичная разность длительности импульса импульсов на выходе и входе кабеля по формуле:
dt= (t вых 2- t вх 2)1/2, (1.6.1)
причём значения t вых и t вх берутся на уровне половины амплитуды импульсов. Связь между величиной уширения импульсов и полосой частот приближённо выражается выражением dF=1/dt. Так, если dt =20 нс/км, то dF =50 Мгц*км.
Рисунок 1.6.2 - Зависимость длины взаимодействия мод
Дисперсия не только ограничивает частотный диапазон использования световодов, но и снижает дальность передачи по ОК, так как чем длиннее линия, тем больше проявляется дисперсия и больше уширение импульса.
Пропускная способность ОК существенно зависит от типа ВС
(одномодовые, многомодовые - ступенчатые, градиентные ) и излучателей ( лазер, светодиод ).
Дисперсия возникает из - за не когерентности источников излучения и появления спектра, а также существования большого числа мод N. Дисперсия, возникающая из-за первой причины, называется хроматической.(частотной) и делится на материальную и волноводную.
Материальная дисперсия обусловлена зависимостью показателя преломления от длины волны [n=y2(
)]. Волноводная дисперсия обусловлена процессами внутри моды и характеризуется зависимостью коэффициента распространения моды от длины волны [Y=y2(
)].
Дисперсия, возникающая из-за второй причины, называется модовой дисперсией и обусловлена наличием большого числа мод, время распространения которых различно [t=y3(N)]. В геометрической интерпретации соответствующие модам лучи идут под разными углами, проходят различный путь в сердцевине волокна и, следовательно, поступают на вход приёмника с различной задержкой.
Дисперсионные свойства тракта передачи зависят также от источника излучения. При лазерных источниках благодаря узкой полосе излучаемых частот дисперсия сказывается не существенно. В не когерентных источниках (светодиодах) полоса изучения значительно шире и дисперсия проявляется довольно значительно. Так, основной параметр, который характеризует уширение импульса (
) для лазеров составляет 0,001 нс/км, а для светодиода - 0,1 нс/км.
Результирующие значение уширения импульсов за счёт модовой dtмод , материальной dtмат и волноводной tвв дисперсий определяется по формуле:
dt=(dtмод 2+(tмат +tвв)2)1/2, (1.6.2)
С учётом реального соотношения вкладов отдельных видов дисперсий в уширение импульсов для многомодовых волокон dt=dtмод, а для одномодовых волокон dt=dtмат+dtвв.
Величина уширения импульса в многомодовых волокнах за счёт модовой дисперсии, характеризуемая временем нарастания сигнала и определяемая как разность между самым большим и самым малым временем на расстоянии Lст может быть рассчитана по формулам:
dt=dn1(L *Lc)1/2c, (1.6.3)
- для ступенчатого световода,
dt=dn12(L *Lc)1/4c, (1.6.4)
- для градиентного световода,
где n1 - показатель преломления сердцевины;
L - длина линии;
c - скорость света;
Lc - длина связи мод, при которой наступает установившийся режим (5 - 7 км для ступенчатого волокна и 10 - 15 км - для градиентного).
Соответственно пропускная способность градиентного световода в 2 раза лучше, чем у ступенчатого, при одинаковом значении. Учитывая что, как правило, различие пропускной способности указанных световодов может достигать двух порядков.
При определении модовой дисперсии следует иметь в виду, что до определённой длины Lc межмодовой связи нет, а затем при L>Lc происходит процесс взаимного преобразования мод и наступает установившийся режим. Поэтому, вначале при L<Lc дисперсия увеличивается по линейному закону, а затем при L>Lc - по квадратичному [12].
Уширение импульсов при распространении по одномодовому волокну световоду волны длиной с учётом источников излучения может быть определено по формулам:
за счёт материальной дисперсии:
dtмат=(d
2/(
c))(d2n/d
2)L, (1.6.5)
за счёт волноводной дисперсии:
dtвв=(
)(2n12dl/c), (1.6.6)
где
- относительная ширина спектра излучения источника. По данным формулам не всегда удаётся выполнить расчёт, так как неизвестен закон изменения n от f и
. Поэтому для расчёта dtмат и dtвв часто пользуются экспериментальными данными и упрощёнными формулами:
dtмат=d
L*B(
), (1.6.7)
dtвв=d
*L*M(
), (1.6.8)
где
- ширина спектральной линии источника излучения, равная 0,1...4,0 нм для лазера и 15...80 нм для светодиода;
L - длина линии, км;
M(
) и B(
) - удельные материальная и волноводные дисперсии соответственно
Удельные дисперсии выражаются в пикосекундах на километр длины световода и на метр ширины спектра. Величины и для кварцевого стекла приведены в [3].
Соответственно с увеличением длины волны dtмат уменьшается и проходит через нуль, а вв несколько растёт. Причём вблизи
=1,35 мкм происходит их взаимная компенсация ( dtмат=-dtвв ) и результирующая дисперсия приближается к нулевому значению, поэтому волна 1,3 мкм получает широкое распространение в одномодовых системах передачи. Однако по затуханию предпочтительнее волна 1,55 мкм и для достижения минимума дисперсии в этом случае приходиться варировать профилем показателя преломления и диаметром сердцевины. При сложном профиле и трёхслойном световоде можно и на волне 1,55 мкм получить минимум дисперсионных искажении.
Отметим, что лучшими в этом плане являются одномодовые световоды. Из многомодовых световодов лучшие данные у градиентных. Наиболее резко дисперсия проявляется у ступенчатых световодов. Соответственно пропускная способность одномодовых световодов - тысячи, градиентных - сотни и ступенчатых - десятки мегагерц.
В ступенчатых световодах при многомодовой передаче доминирует модовая дисперсия 10...20 нс/км.
В одномодовых ступенчатых световодах отсутствует модовая дисперсия и в целом дисперсия сказывается существенно меньше. Здесь проявляются волноводная и материальная дисперсия. Но при определённых длинах волн (мкм ) происходит их взаимная компенсация ( мат=- вв) и результирующая дисперсия не превышает нескольких пикосекунд [11].
В градиентных световодах происходит выравнивание времни распространения различных мод и определяющей является материальная дисперсия, которая уменьшается с увеличением длины волны. По аьсолютной величине дисперсия колеблется в пределах 1...2 нс/км.


Рисунок 1.6.3 - Зависимость пропускной Рисунок 1.6.4 - Влияние дисперсии на
способности световода от длины волны характеристики световода


Рисунок 1.6.6 - Взаимосвязь дисперсии
Рисунок 1.6.5 - Частотная зависимость и пропускной способности от длины
затухания волны
Выводы по главе
Основными характеристиками ОВ являются:
Апертура и аппертурный угол.
По действующим техническим условиям NA=0,2.
Необходимо, что бы угол ввода луча в торец световода укладывался в апертурный угол
а ( y<
а). (
а=arcsin NA)
Критические частоты.
По световодам возможна передача волн длиной меньше диаметра сердцевины световода.
В разрабатываемой лабораторной работе целесообразно использовать стандартные ОВ рассчитанные на длину волны 1,3 мкм. По ним возможна передача на длине волны 0,85 мкм, потери мощности при этом, по сравнению со стандартным ОВ на 0.85 мкм, составят около 20%.
Нормированная частота.
Нормированная частота V - обобщённый параметр ВС. Используется в основном в расчётах для обеспечения одномодового режима.
Число мод в световоде.
Существующие конструкции ВС с диаметром сердцевины 50 мкм являются многомодовыми системами. N=V2/4 - для градиентного ОВ. Для ОВ с диаметром сердцевины 50 мкм при прохождении волны с длиной 0,85 мкм число мод 1021, а для волны с длиной 1,3 мкм - 436.
Затухание.
В разрабатываемой лабораторной работе предполагается использовать ОВ из стекла типа CG - 1980 с затухание 3 дБ/км.
Дисперсия.
Значение дисперсии в ОС используемом в разрабатываемой лабораторной работе 1...2 нс/км.
2 Принципы спектрального уплотнения
Один из наиболее перспективных методов увеличения коэффициента использования пропускной способности ОВ - спектральное уплотнение. Спектральное уплотнение в первую очередь является альтернативой метода пространственного уплотнения. При этом достигается значительной альтернативой метода пространственного уплотнения. При этом достигается значительный экономический эффект за счёт сокращения стоимости используемого волокна в линейном кабеле. Кроме того, этот метод позволяет обеспечивать развитие сети без проведения дополнительных строительных работ. При этом расширяются возможности передачи сигналов с различными скоростями и типами модуляции - цифровой и аналоговой, что обеспечивает создание экономических многофункциональных систем связи.
Одним из важнейших преимуществ данного метода является наиболее полное использование сверхширокой спектральной полосы пропускания ОВ. В настоящее время осваивается диапазон 0,8...1,8 мкм. Если принять, что ширина спектрального канала составляет 10 нм, что уже достигнуто, то в указанном диапазоне можно разместить до 100 спектральных каналов. Например, в диапазоне волн 1,55 мкм при десяти спектральных каналах удалось создать ВОСП с информационной ёмкостью 1,37 Тбит/км*1/с, что эквивалентно организации по одному волокну 300000 телефонных каналов.
В ВОСП со спектральным разделением целесообразно использовать одномодовые ОВ с малым затуханием и лазерные источники с повышенной мощностью излучения. Для обеспечения большего энергетического потенциала оптические каналы следует располагать в одном окне прозрачности, где потери в ОВ минимальны. Такому требованию, например, для ООВ, выполненные на основе кварцевого стекла, отвечает диапазон длин волн 1,5...1,6 мкм.
Относительно высокие плотности оптической энергии в ООВ вызывают заметное проявление нелинейных эффектов. В ВОСП - СР наиболее заметным из них является эффект усиления в следствии комбинационного рассеяния (УВКР), который обусловлен резонансным взаимодействием оптических несущих с оптическими фотонами вещества ОВ. В результате эффекта УВКР в ООВ наблюдается взаимодействие между оптическими сигналами различных оптических каналов. Оно выражается в уменьшении мощности оптических несущих с большими длинами волн.
Рассмотрим случай параллельной передачи сигналов в ВОСП - СР. Изменение мощности оптического сигнала в ОВ вследствие УВКР в произвольном j-м оптическом канале описывается дифференциальным уравнением:
(2.1)
где Pjj- мощность j-й спектральной несущей в точке длины волны ОВ (на входе ОВ z =0); aj - коэффициент потерь излучения на j-й несущей; Pai -приращение мощности излучения в i-м канале вследствие УВКР от i-го источника; n -число оптических несущих; Pri -переданная в i-й канал доля излучения j-го источника.
В n-канальной ВОСП - СР распределение Pi(z) (i=1..n) мощности спектральных несущих при учёте УВКР может быть описано системой уравнении:
(2.2)
где q0-максимальное значение УВКР; k - коэффициент поляризации ОВ;
-нормированное значение коэффициента УВКР для i -ой несущей в j -ом канале;
=
i/
j Коэффициент
может быть введён в уравнении на основе экспериментальных данных либо при использовании удобной аппроксимации функции профиля спектральной кривой УВКР распределением Лоренца:
(2.3)
где fij - разность частот i-го и j-го каналов;
fsi - частота сдвига максимума спектральной кривой УВКР относительно частоты i-го канала; fsi=440 1/см;
f - ширина профиля спектральной кривой УВКР по уровню 0,5 (в кварцевых ОВ
f=240 1/см).
Количественную оценку изменения мощности оптических несущих, обусловленного эффектом УВКР, удобно характеризовать параметром относительного приращения мощности в каждом оптическом канале:
P=10lg(P’(z)/Pj(z)), (2.4)
где P’(z), Pj(z) - значение мощностей оптической несущей соответственно с учётом и без учёта влияния УВКР
Кривые зависимости
p(z) вследствие УВКР в шестиканальной ВОСП - СР при Pi(0)=1мВт, полученные решением системы уравнений с учётом
p. Hаблюдается увеличение мощности оптических несущих, характер изменения
p(z) достаточно монотонный, переходящий в насыщение, абсолютное значение dp мало при Pi(0) =1мВт. При увеличении значение
p возрастает. В 1-, 2-, 3-м каналах приращения носят отрицательный характер.
Перекрёстные помехи, вызванные эффектом УВКР в ВОСП - СР, можно характеризовать условным отношением сигнал - шум (С - Ш):
С -Ш=10 lg(P10(z)/(P10(z) - P1(z))), (2.5)
где P10(z) - мощность оптического сигнала в ОВ на первой несущей при отсутствии УВКР. Kривые зависимости отношения С - Ш для двухканальной ВОСП - СР протяжённостью 50 км от мощности подводимого излучения Pi(0)=P2(0) при
1=1.55 мкм, a1=a2=0,2 дБ/км и различных значениях мощности подводимого излучения Pi(0).
Анализируя кривые зависимости, можно отметить, что заметное (более 20 дБ) подавление УВКР в ВОСП - СР может быть обеспечено даже при сравнительно больших (несколько милливатт) мощностях излучения в ОВ, если разнос спектральных несущих не превышает 10 нм. Это указывает на целесообразность использования в ВОСП - СР устройств спектрального разделения, а также излучателей с высокой разрешающей способностью подлине волны. Данное условие согласуется с рекомендациями по построению ВОСП - СР с минимальным разносом несущих, основанным на оценке энергетического потенциала и широкополосности таких систем.
В целом можно отметить, что:
в одномодовых ВОСП - СР влияние УВКР усиливается по мере возрастания длины ОВ, мощности излучения, числа несущих и их спектрального разноса. Если разнос несущих очень велик (более 100 нм) и превышает эффективную ширину профиля спектральной кривой УВКР, уровень перекрёстных помех в ВОСП - СР падает;
в многоканальных ВОСП - СР мощность передаваемого непрерывного сигнала в области коротковолновых несущих уменьшается, а в области длинноволновых несущих увеличивается. Практически с учётом АМ несущих эффекты УВКР обуславливают флуктуации амплитуды передаваемого сигнала, преимущественные знаки которых различаются в коротко- и длинноволновой областях рабочего спектра ВОСП - СР;
изменение отношения С - Ш, обусловленное УВКР, наиболее заметно на начальном участке ОВ и практически не зависит от уровня мощности передаваемых сигналов. При длине ОВ более 15 км влияние эффектов УВКР стабилизируется;
наиболее эффективным средством подавления перекрёстных помех и флуктуации сигналов, обусловленных УВКР, является уменьшение спектрального разноса несущих в ВОСП - СР (10...15 нм). Отсюда следует целесообразность разработки излучателей и устройств спектрального разделения с высокой (около 0,1 нм ) избирательной способностью по длинам волн.
Рассмотрим второй случай, когда передача оптических сигналов в ВОСП - СР осуществляется во встречном направлении. Процесс распространения и взаимодействия двух встречно распространяющихся оптических несущих можно описать в виде системы нелинейных дифференциальных уравнении:
, (2.6)
где L - длина ООВ;
P1 и P2 - мощности встречно распространяющихся оптически несущих в точке z ООВ
Начальные условия при встречном распространении оптических несущих имеют вид:
P1(z=0)=P1(0),
(2.7)
P2(z=L)=P2(L),
где P1(0) и P2(0) - мощности оптических несущих на противоположных входах ООВ
В качестве исходного (нулевого ) приближения принимается состояние процесса распространения оптических несущих, когда взаимодействие между ними отсутствует, а значения их мощности убывают по экспоненциальному закону:
, (2.8)
Проведя математические преобразования, получим функции P1(z), P2(L-z)в виде:
, (2.9)
Расчёты проводились для одного регенерационного участка при встречном распространении оптических несущих для одноволоконной ВОСП - СР со следующими параметрами: a1=a2=0,2 дБ/км; A=0,000308 м2; k=2;
q0=60.32*10-14мВт;
1=1.5 мкм;
2=1.6 мкм ; L=50 км; z=25 км;
p=0,05;0,20;0,26;0,80 Дб, при мощности оптического излучения 1;10;20;50 мВт соответственно. При z=L и при z=0
p=0,1;0,7;1,0;2,0 Дб.
Для макета лабораторной работы:
K=2; q0=6,32 10 –14мВт;
=0,85мкм;
2=1,3 мкм;
1 =0,24 Дб/км;
2=0,20 Дб/км; L=0,006 км; А=0,308 10 –4 м2;
=0,85/1,30=0,654.
при z=L/2=0,006/2=0,003:


, это значение пренебрежимо мало.
При z=L:
![]()
При z=0:
![]()
Анализ полученных результатов показывает, что взаимодействие между оптическими несущими увеличивается при увеличении мощностей на входах ООВ и уменьшении коэффициента затухания. К увеличению взаимодействия между оптическими несущими приводят, кроме того, такие факторы, как уменьшение диаметра сердцевины ООВ, применение ООВ с более высоким, чем использовался в расчётах, коэффициентом УВКР, а так же ООВ, которые сохраняют поляризацию.
Величина взаимодействия, обусловленного эффектом УВКР, между встречно распространяющимися оптическими несущими в большей мере зависит от длины ООВ. Так, при увеличении длины ООВ до определённого расстояния увеличивается время и, следовательно, интенсивность взаимодействия оптических несущих. Однако при дальнейшем росте длины ООВ dp практически не нарастает, так как оптические несущие испытывают большее затухание.
Приведённые результаты соответствуют результатам взаимодействия оптических несущих, распространяющихся по ООВ в одном направлении. Однако характер изменения величины спектрального приращения мощности dp несколько различен. При однонаправленном распространении оптических несущих происходит до определённой длины, а в дальнейшем плотность оптической энергии становится малой и взаимодействия практически не наблюдается. В случае распространения встречных оптических несущих величина dp возрастает по мере распространения несущей по волокну. Причём наибольшее изменение величины относительного приращения мощности для каждой оптической несущей будет перед фотоприёмным устройством [14].
Выводы по главе
Влияние УВКР усиливается по мере возрастания длины ОВ, мощности излучения, числа несущих и их спектрального разноса. Но если разнос несущих очень велик (более 100 нм) и превышает эффективную ширину профиля спектральной кривой УВКР, уровень перекрёстных помех в ВОСП-СР падает. В разрабатываемой лабораторной работе спектральный разнос несущих 450 нм, более того несущие находятся в разных окнах прозрачности, поэтому эффектом УВКР можно пренебречь.
7 Оценка эффективности постановки лабораторной работы на основе разработанного макета
![]()
Расчёт стоимости лабораторного макета
В стоимость разработанного устройства закладываются следующие затраты:
- прямые - покупные изделия, полуфабрикаты, основные и вспомогательные материалы;
- основная заработная плата разработчиков[10].
Полная себестоимость изготовленного устройства (С) исчисляется по формуле 7.1.1.
С=(М+ПИ+ЗП(1+НА)), (1.7.1)
где М - стоимость основных и вспомогательных материалов;
ПИ - стоимость покупных изделий;
ЗП - основная заработная плата изготовителей аппаратуры;
НА - коэффициент учитывающий величину накладных расходов (50% от заработной платы)
Таблица 7.1.1 - Стоимость покупных комплектующих
| Наименование | единица измерения | Количество | Цена за единицу, рублей | Сумма, рублей |
| 1 | 2 | 3 | 4 | 5 |
Итого | 1369,6 |
Используя типовую структуру прямых затрат для производства аппаратуры элетронно-оптического типа рассчитываем затраты на материалы и заработную плату по следующим формулам[10]:
М=(ПИ dм)/dпи=(1369,6 0,1)/0,45=304,4руб, (7.12)
ЗП=(ПИ dзп)/dпи=(1369,6 0,45)/0,45=1369,6руб, (7.13)
где dм=10% - удельный вес материалов;
dпи=45% - удельный вес покупных изделий;
dзп=45% - удельный вес затрат на заработную плату
С=(304,4+1369,6+1369,6*1,5)=3728,4руб
Повышение эффективности рабочего процесса
Внедрение разработанного устройства в учебный процесс, в качестве лабораторной работы для студентов 4х - 5х курсов факультетов МЭС, АЭС, РРТ позволяет углубить знания в области передачи информации по ОВ.
Данный макет для лабораторной работы позволяет рассмотреть принципы спектрального уплотнения. Макет моделирует передачу и приём оптического сигнала на разных длинах волн во встречных направлениях по одному волокну.
Постановка лабораторной работы затрагивает разделы ВОСП такие как:
- принципы спектрального уплотнения ВОСП;
- оптический сигнал и его обработка;
- управление параметрами сред;
- взаимодействие света и вещества;
- модуляция света;
-оптимизация приёма сигналов в цифровых ВОСП.
В связи с широким распространением ВОСП и возрастающей потребности в специалистах. Данная лабораторная работа предназначена для углубления представлений о принципах работы ВОСП. При изучении предметов курса “Оптические системы передачи”.
Реферат
Отчёт 77 страниц, 4 таблицы, 33 рисунка, 14 источников.
Спектральное уплотнение, длина волны, направленный ответвитель, лазер, оптическое волокно.
Объектом исследования являются принципы спектрального уплотнения оптических сигналов, представляющие собой формирование нескольких стволов передачи оптических каналов сформированных на разных длинах волн.
Цель работы – экспериментальное исследование свойств систем спектрального разделения на частотно неселективных направленных ответвителях. Постановка лабораторной работы: разработка макета и методических указаний.
Рассчитаны потери при использовании метода спектрального разделения на частотно неселективных направленных ответвителях и учтены взаимные влияния.
В процессе работы разработаны принципиальная и структурные схемы макета лабораторной установки, определены её состав, требования к безопасности, при работе в лаборатории, требования к надёжности и другие.
Содержание
страница
Введение………………………………………………………………………………5
1 Параметры и характеристики оптического волокна……………………………. 7
1.1 Апертура волоконного световода………………………………………...7
1.2 Критические длины волн и частоты……………………………………...8
1.3 Нормированная частота…………………………………………………...10
1.3 Число мод……………………………………………………………….….11
1.4 Затухание…………………………………………………………………...11
1.5 Дисперсия……………………………………………………………… .…13
2 Принципы спектрального уплотнения…………………………………………….19
3 Оптические разветвители…………………………………………………………..25
3.1 Мультиплексоры и демультиплексоры…………………………………..25
3.2 Делители оптической мощности………………………………………….28
4.Источники оптического излучения………………………………………………..35
4.1 Требования к источникам излучения……………………………………..35
4.2 Полупроводниковые источники излучения………………………………36
5 Методические указания к лабораторной работе………………………………….56
5.1 Подготовка к работе………………………………………………………..56
5.2 Используемые приборы……………………………………………………56
5.3 Теоретические сведения…………………………………………………...57
5.3.1 Способ передачи информации……………………………………57
5.3.2 Направленные ответвители……………………………………….58
5.3.3 Источники оптического излучения………………………………58
5.4 Описание лабораторной установки……………………………………….59
5.5 Задание к лабораторной работе………………………………………….. 59
5.6 Методические указания к лабораторной работе…………………………60
6.Экспериментальные исследования к лабораторной работе…………………….. 62
7 Оценка эффективности постановки лабораторной работы
на основе разработанного макета……………………………………………………66
7.1 Расчёт стоимости лабораторного макета…………………………………66
7.2 Повышение эффективности рабочего процесса…………………………67
8 Условия безопасной работы с макетом……………………………………………69
8.1 Требования безопасности при эксплутации лазерных изделий……….. 69
8.1.1 Требования к размещению лазерных изделий…………………..70
8.1.2 Классификация условий и характера труда……………………..70
8.1.3 Требования безопасности при эксплуатации
и обслуживании лазерных изделий……………………………………71
8.1.4 Контроль лазерного излучения…………………………………..71
8.1.5 Требования по электробезопасности…………………………….73
Заключение……………………………………………………………………………75
Список используемой литературы…………………………………………………..76
Список используемой литературы
Брискер А.С., Гусев Ю.М., Ильин В.В. и другие.
Спектральное уплотнение волоконно- оптических линий ГТС//
Электросвязь, 1990, №1, с41-42.
Брискер А.С., Быстров В.В., Ильино В.В..
Способы увеличения пропускной способности волоконно-оптических линий ГТС//
Электросвязь, 1991, ,№4, с28-29.
Гроднев И.И..
Оптические системы передачи.
-М.: Радио и связь, 1993 –319с.
Гроднев И.И..
Волоконно-оптические линии связи.
-М.: Радио и связь, 1990 –224с.
М.М. Бутусов, С.М. Верник, С.Л. Балкин и другие.
Волоконно-оптические системы передачи.
-М.: Радио и связь, 1992 –416с.
Лазерная безопасность.
Общие требования безопасности при разработке и эксплуатации лазерных изделий.
-М.: Издательство стандартов, 1995 –20с.
Заславский К.Е..
Учебное пособие.
Волоконно-оптические системы передачи.
Часть 3.
-Н.: СибГАТИ, 1997 –61с.
Дж. Гауэр.
Оптические системы связи.
-М.: Радио и связь, 1989 –504с.
Гроднев И.И., Верник С.М..
Линии связи.
-М.: Радио и связь, 1988 –544с.
Есимов П.И..
Теория и практика оценки экономической эффективности в технике связи.
-М.: Связь, 1993 –210с.
Бутусов М.М., Галкин С.Л., Орбинский С.С. и другие.
Волоконная оптика и приборостроение.
-М.: Машиностроение, 1987 –328с.
Хансперджер Р..
Интегральная оптика.
Теория и технология.
-М.: Мир, 1985 –384с.
Окоси Т. и другие.
-М.: Энергоиздат, 1990 –256с.
Бобров Е.С., Давидовский С.В., Тафеев О.А..
О дуплексной передаче информации по одноволоконным оптическим трактам//
Радиотехника, 1982, №2, с57-60.
8 Условия безопасной работы с макетом
Разработанный лабораторный макет предназначен для наглядного изучения принципов спектрального разделения.
В состав оборудования лабораторной работы входят:
макет (два НО и ПрОМ);
два генератора оптических сигналов;
осциллограф;
вольтметр.
Питание генераторов, осциллографа и вольтметра производится от сети переменного тока с напряжением 220 В и частотой 50 Гц. Питание ПрОМа производится от сети постоянного тока с напряжением +5,2 В.
Возможные воздействия на организм человека могут быть следующие:
оптическое излучение непосредственно из лазера, а так же из ОВ;
возможность поражения электрическим током.
8.1 Требования безопасности при эксплотации лазерных изделий
Под лазерными изделиями в последующем понимаем электронно-оптические и оптические элементы, допускающие возможность выхода лазерного излучения наружу.
Используемые лазерные изделия, по классификации, приведенной в [6], относятся к классу 3А.
Класс 3А – лазерные изделия безопасные для наблюдения незащищённым глазом. Для лазерных изделий, излучающих в диапазоне длин волн от 0,4 до 0,7 мкм, защита обеспечивается естественными реакциями, включая рефлекс мигания. Для других длин волн опасность для незащищенного глаза не более чем для класса 1.
Непосредственное наблюдение пучка испускаемого лазерными изделиями класса 3А (при помощи оптических инструментов) может быть опасным.
Нормы для класса 3А при длительности излучения t=103…3 104 с:
Таблица 8.1.1 – Нормы излучения
| Длина волны, мкм | Мощность излучения | |
| Вт | Вт м -2 | |
| 1,3 | 5 10 -2 | 103 |
| 0,85 | 6 10 -3 | 32 |
8.1.1 Требования к размещению лазерных изделий
ГОСТ 12.3.002.
Размещение лазерных изделий в каждом конкретном случае производится с учётом класса опасности изделий, условий и режима труда персонала, особенностей технологического процесса, подводка коммуникаций.
Расстояние между лазерными изделиями должно обеспечивать безопасные условия труда и удобство эксплуатации, ремонта и обслуживания. Рекомендуется для класса 3А:
Со стороны органов управления: при однорядном расположении – 1,5 м;
при двухрядном не менее - 2,0 м.
С других сторон не менее – 1,0 м.
Траектория прохождения лазерного пучка должна быть заключена в оболочку из несгораемого материала или иметь ограждение, снижающие уровень лазерного излучения до ДПИ и исключающие попадание лазерного пучка на зеркальную поверхность. Открытые траектории в зоне возможного нахождения человека должны располагаться значительно выше уровня глаз. Минимальная высота траектории 2,2 м.
Рабочее место должно быть организовано таким образом, чтобы исключать возможность воздействия на персонал лазерного излучения или чтобы его величина не превышала ДПИ для первого класса.
Рабочее место обслуживающего персонала, взаимное расположение всех элементов (органов управления, средств отображения информации и другое.)должна обеспечивать рациональность рабочих движений и максимально учитывать энергетические, скоростные, силовые и психофизические возможности человека.
Следует предусматривать наличие мест для размещения съемных деталей, переносной измерительной аппаратуры, хранения заготовок, готовых изделий.
Классификация условий и характера труда
По степени зашиты персонала от воздействия лазерного излучения условия и характер труда при эксплуатации лазерных изделий независимо от класса изделия подразделяются:
А) оптимальные – исключающие воздействие на персонал лазерного излучения;
Б) допустимые – уровень лазерного излучения, воздействующего на персонал, меньше ПДУ установленного СанПиН 5804;
В) вредные и опасные – уровень лазерного излучения, воздействующего на персонал, превышает ПДУ.
8.1.3Требования безопасности при эксплуатации и обслуживании
лазерных изделий
Выполнение требований безопасности должно обеспечивать исключение или максимальное уменьшение возможности облучения персонала лазерным излучением, а также воздействия на него других опасных факторов.
8.1.3.1 К ремонту, наладке и испытаниям лазерных изделий допускаются лица, имеющие соответствующую квалификацию и прошедшие инструктаж по технике безопасности в установленном порядке.
К работе с лазерными изделиями допускаются лица, достигшие восемнадцати лет, не имеющие медицинских противопоказаний, прошедшие курс специального обучения в соответствии с ГОСТ 12.0.004, обучение в установленном порядке работе с конкретными лазерными изделиями и аттестацию на группу по охране труда при работе на электроустановках с соответствующим напряжением.
При эксплуатации изделий выше класса 2 должно назначаться лицо, ответственное за охрану труда при их эксплуатации.
Лазерные изделия, находящиеся в эксплуатации, должны подвергаться регулярной профилактической проверке. При проведении профилактической проверки следует обращать особое внимание на безотказность работы всех защитных устройств, надёжность заземления.
Контроль лазерного излучения
Оценка степени опасности лазерного излучения осуществляется путём его дозиметрического контроля в соответствии с требованиями ГОСТ 12.1.031 и [6].
Измерение параметров лазерного излучения проводят на рабочих местах и в местах возможного нахождения людей.
Контроль параметров лазерного излучения следует проводить:
А) при приёме в эксплуатацию новых лазерных изделий классов 3А, 3В, 4;
Б) при внесении изменений в конструкцию лазерных изделий;
В) при изменении конструкции средств коллективной защиты;
Г) при организации рабочих мест;
Д) при сертификации лазерных изделий;
Е) при плановом контроле.
Проводятся два вида дозиметрического контроля:
предупредительный – определение значения энергетических параметров лазерных изделий в точках границы рабочей зоны, находящейся на минимально возможных расстояниях от источника излучения, проводятся во всех случаях перечисленных в 8.1.4.1.
индивидуальный – измерение величины энергетического излучения , воздействующего на глаза (кожу, рожу) конкретного работающего в течении рабочего дня; проводят в случаях перечисленных в пункте 8.1.4.1, при работе на открытых лазерных изделиях (экспериментальные стенды), а также в тех случаях, когда не исключено случайное воздействие лазерного излучения на глаза, кожу.
В зависимости от вида дозиметрического контроля измеряются следующие энергетические параметры лазерного излучения:
А) при предупредительном и индивидуальном контроле:
максимальное за время контроля значение одиночного импульса из серии импульсов излучения, проходящего через ограничивающую апертуру
, Дж.
максимальное за время за время контроля значение энергетической экспозиции от одиночного импульса или от импульса из серии импульсов излучения, проходящего через ограничивающую апертуру
, Дж м –2 или Дж см –2;
максимальное за время контроля значение средней мощности непрерывного излучения, проходящего через ограничивающую апертуру Pmax, Вт;
максимальное за время контроля значение облучённости от непрерывного излучения, проходящего через ограничивающую апертуру
, Вт см –2 или Вт м -2.
Б) при индивидуальном контроле:
суммарное значение энергии (энергетической экспозиции) всех импульсов в серии импульсов излучения, проходящего через ограничивающую апертуру
, Дж;
, Дж м –2 или Дж см –2;
- суммарное значение энергетической экспозиции за рабочий
день
(3 104с), Дж м –2.
Диаметр ограничивающей апертуры равен 7 мм при дозиметрическом контроле лазерного излучения с длинами волн 0,38…1,40 нм и1,1 мм для других диапазонов волн.
Индивидуальный дозиметрический контроль предусматривает также (при необходимости), измерение длительности воздействия непрерывного излучения
, а также количество импульсов в серии импульсно-модулированного излучения N и длительность серии tc, с.
8.1.4.4 При дозиметрическом контроле лазерного излучения в спектральном диапазоне 0,38…1,40 нм при необходимости в точке контроля дополнительно измеряется видимый угловой размер источника излучения
, радиан по ГОСТ 12.0.031 с целью определения ПДУ в соответствии с СаНПиП 5804.
8.1.4.5 Дозиметры лазерного излучения должны соответствовать требованиям ГОСТ 244–69 и отвечать следующим дополнительным требованиям:
- обеспечивать прямые измерения энергетических параметров излучения;
- иметь нормированные площадь и диаметр отверстий ограничивающей апертуру.
Дозиметры должны быть отградуированы в единицах энергии (Дж) и мощности (Вт); допускается также градуировка в единицах энергетической экспозиции (Дж м –2 или Дж см –2) и облучения (Вт м –2 или Вт см –2).
8.1.4.7 Аппаратура, применяемая для измерения энергетических
параметров лазерного излучения при дозиметрическом контроле, должна быть аттестована органами Госстандарта РФ, и проходить
государственную проверку в установленном порядке.
Методы проведения различных форм дозиметрического контроля лазерного излучения установленных ГОСТ 12.1.031.
Требования по электробезопаснсти
Требования и меры по электробезопасности в соответствии с ГОСТ 12.1.019 и [6].
Лазерные изделия должны быть сконструированы и изготовлены таким образом, чтобы гарантировать защиту персонала при эксплуатации, а также при возникновении неисправностей от поражения электрическим током.
Элементы конструкции, с которыми соприкасается оператор во время работы лазерного устройства, рекомендуется выполнять из диэлектрического материала или наносить на них защитное диэлектрическое покрытие.
Лазерное изделие в целом, а также отдельные блоки должны иметь специальные клеммы или другие приспособления для подсоединения заземляющих или зануляющих проводников.
Все токопроводящие части лазерного изделия должны быть ограждены и размещены таким образом, чтобы исключалась возможность прикосновения к ним при эксплуатации.
Изоляция лазерного изделия должна обладать достаточной диэлектрической прочностью, предотвращающей пробой, а так же достаточным электрическим сопротивлением, препятствующим появлению чрезмерных токов утечки и возникновению теплового пробоя.
Узлы и элементы, и элементы электросхем должны быть выполнены в соответствии с требованиями ГОСТ 2.701.
В случае неисправности должна быть предусмотрена возможность немедленного отключения лазерного изделия от первичного источника питания посредством устройства отключения питания. Если устройство отключения питания не удовлетворяет этому условию, следует предусмотреть устройство аварийной защиты.
В случае если в состав лазерного устройства не входит источник питания, необходимый для лазерной генерации, в технической документации (ТУ, паспорт) должны быть указаны требования, предъявляемые к источнику питания по его совместимости с лазерными изделиями в целях обеспечения безопасности.
Лазерное изделие, при необходимости, должно иметь предупреждающий знак возможности поражения электрическим током.
Выводы по главе
Лазерные изделия, применяемые в разрабатываемой лабораторной работе, по опасности поражения лазерным излучением относятся к классу 3А, рабочее место отвечает требованиям техники безопасности. Требования, предъявляемые к помещениям, где установлены лазерные изделия, для приборов данного класса не выходят за рамки требований предъявляемых к общеучебным помещениям.
По степени защиты от поражения электрическим током приборы, используемые в лабораторной работе, относится к 01 классу защиты в соответствии с требованиями ГОСТ 12.2.007.0-75. Все условия электробезопасности при подготовке лабораторной работы выполнены.
6 Экспериментальные исследования к лабораторной работе
В данной работе были исследованы следующие характеристики макета:
затухания НО в прямом и обратном направлении на длинах волн 1,3мкм и 0,85мкм;
затухания НО в обратном направлении на длинах волн 1,3мкм и 0,85мкм;
переходное затухание НО на длинах волн 1,3мкм и 0,85мкм;
потери на расщепление;
вносимые потери;
затухание тракта на длинах волн 1,3мкм и 0,85мкм, в кодах БИФ, БИН, CMI
осциллограммы сигналов:
а)на выходе лазера;
б)в тракте;
в)на приёмном конце
8)расчитано отношение сигнал / шум в тех же точках.
Затухание:
Ai-j= 10 lg (Pi/Pj),дБ, (6.1)
где Pi - мощность на входе, мкВт;
Pj - мощность на выходе, мкВт;
i,j - номера входов и выходов
Потери на расщепление:
An=10 lg m,дБ, (6.2)
где m - количество выходных ОВ
Вносимые потери:
A1,i= - 10 lg (Pei /(Pa1+Pa2+...+Pam)),дБ, (6.3)
где Pei - мощность на входе НО;
Paj - мощность на выходе НО
В макете использованы два НО: российского производства - УК-1 и английского ОР-СЕО-2-2.
Исследование:
УК-1
1.1)На длине волны 1,3мкм.
1.1.1)Затухание в прямом направлении.
A2-1=10 lg (124/47)=4.2,дБ
A3-1=10 lg (124/43)=4.6,дБ
1.1.2)Затухание в обратном направлении.
A1-2=10 lg (124/35)=5.5,дБ
A1-3=10 lg (124/39)=5.0,дБ
1.1.3)Переходное затухание.
A2-3=A3-2=10 lg (124/0.3)=26.2,дБ
1.2)На длине волны 0,85мкм.
1.2.1)Затухание в прямом направлении.
A2-1=10 lg (100/20)=7.0,дБ
A3-1=10 lg (100/18)=7.45,дБ
1.2.2)Затухание в обратном направлении.
A1-2=10 lg (100/14)=8.5,дБ
A1-3=10 lg (100/16)=8.0,дБ
1.2.3)Переходное затухание.
A3-2=A2-3=10 lg(100/0.1)=30.0,дБ
1.4)Потери на расщепление.
An=10 lg 2=3.01,дБ
1.5)Вносимые потери.
1.5.1)На длине волны 1,3мкм.
1.5.1.1)Ai,1= - 10 lg (124/(35+39))= - 2.2,дБ
1.5.1.2)Ai,2= - 10 lg (124/(47+0.3))= - 4.2,дБ
1.5.1.3)Ai,3= - 10 lg (124/(43+0.3))= - 4.6,дБ
1.5.2)На длине волны 0,85мкм.
1.5.2.1)Ai,1= - 10 lg (100/(14+16))= - 5.2,дБ
1.5.2.2)Ai,2= - 10 lg (100/(20+0.1))= - 7.0,дБ
1.5.2.3)Ai,3= - 10 lg (100/(18+0.1))= - 7.7,дБ
2)Исследование OP-CEO-2-2.
2.1)На длине волны 1,3мкм.
2.1.1)В прямом и обратном направлении.
A1-3=A1-4=A2-3=A2-4=A3-1=A3-2=A4-1=A4-2=10 lg (124/39)=5.0,дБ
2.1.2)Переходное затухание.
A1-2=A2-1=A3-4=A4-3=10 lg (124/0.7)=22.5,дБ
2.2)На длине волны 0,85мкм.
2.2.1)В прямом и обратном направлении.
A1-3=A1-4=A2-3=A2-4=A3-1=A3-2=A4-1=A4-2=10 lg (100/13)=8.9,дБ
2.2.2)Переходное затухание.
A1-2=A2-1=A3-4=A4-3=10 lg (100/0.1)=30.0,дБ
2.4)Потери на расщепление.
An=10 lg3=4.8,дБ
2.5)Вносимые потери.
2.5.1)На длине волны 1,3мкм.
Ai,1=Ai,2=Ai,3=Ai,4= - 10 lg (124/(39+39+0.7)= - 1.97,дБ
2.5.2)На длине волны 0,85мкм.
Ai,1=Ai,2=Ai,3=Ai,4= - 10 lg (100/(13+13+0.1))= - 5.8,дБ
6)Затухание тракта.
6.1)На длине волны 1,3мкм.
Aтр1=10 lg (124/10.1)=10.9,дБ
6.2)На длине волны 0,85мкм.
Aтр2=10 lg (100/3.8)=14.2,дБ
7)Осциллограммы сигналов.
7.1)На выходе лазера:

7.2)В тракте:

7.3)На выходе системы:
