| Скачать .docx |
Реферат: Гидродинамика сталеплавильной ванны
| Q, m | P, атм | D0 , мм | n | I |
| 170 | 10 | 35 | 45 | 3 |
Расчет скорости истечения струи кислорода
Принять Р2 =0.1 Мн/м2
Принять Р1 =1 Мн/м2
Wкр =298 м/с
Максимальная скорость струи на выходе из сопла
W0 =Wось.макс =Wrh *(1.715-1.353*0.1/P1 )=470.751 м/с
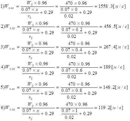
Скорость кислородной струи по оси

![]() |
Диаметр газовой струи в месте встречи с поверхностью ванны

Радиус газовой струи

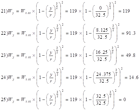
Распределение скорости газа по сечению потока



| Х,мм | Wx.os , м/с | Dx , мм | Rx ,мм | Wy , м/с | ||||
| Y1 =0 | Y2 =0.25rx | Y3 =0.5rx | Y4 =0.75rx | Y5 =rx | ||||
| 200 | 456 | 35 | 20 | 0 | 5 | 10 | 15 | 20 |
| 400 | 267 | 40 | 22,5 | 0 | 5,625 | 11,25 | 16,875 | 22,5 |
| 600 | 189 | 45 | 25 | 0 | 6,25 | 12,5 | 18,875 | 25 |
| 800 | 146 | 50 | 27,5 | 0 | 6,875 | 13,75 | 20,625 | 27,5 |
| 1000 | 119 | 55 | 30 | 0 | 7,5 | 15 | 22,5 | 30 |
Определение глубины проникновения кислородной струи в жидкую ванну


Принимаем фурму с 5 соплами и углом наклона оси сопла к вертикали 180
1) h’=h*cosa=0.41*0.95=0.351
2) h’=h*cosa=0.26*0.95=0.218
3) h’=h*cosa=0.19*0.95=0.163
4) h’=h*cosa=0.156*0.95=0.132
5) h’=h*cosa=0.133*0.95=0.112
Расчет мощности перемешивания ванны при продувке кислородом
1) t=10% Vc=0.1 %/мин
2) t=30% Vc=0.2 %/мин
3) t=50% Vc=0.4 %/мин
4) t=70% Vc=0.3 %/мин
5) t=90% Vc=0.15 %/мин
1) Кислорода 100*1,33=133 всего 133+100=233
тогда: итого V0 =233*0.8=186.4
V0 =233*0.8/170=1,09 м3 /т.мин = 0,018 м3 /т.сек
2) Кислорода 200*1,33=266 всего 266+200=466
тогда: итого V0 =466*0.8=372.8
V0 =466*0.8/170=2,19 м3 /т.мин = 0,036 м3 /т.сек
3) Кислорода 400*1,33=532 всего 532+400=932
тогда: итого V0 =932*0.8=745.6
V0 =932*0.8/170=4,38 м3 /т.мин = 0,073 м3 /т.сек
4) Кислорода 300*1,33=399 всего 399+300=699
тогда: итого V0 =699*0.8=559.5
V0 =699*0.8/170=3,29 м3 /т.мин = 0,055 м3 /т.сек
5) Кислорода 150*1,33=199.5 всего 199.5+150=349.5
тогда: итого V0 =349.5*0.8=279.6
V0 =349.5*0.8/170=1,64 м3 /т.мин = 0,027 м3 /т.сек
Определяем глубину слоя металла над образованным пузырем

Мощность перемешивания ванны газовым пузырем.


№ п/п |
T,% | Vc | T,C | T,k | V0 | Npuz | Nstr | SN | Npuz otn |
| 1 | 10 | 0.1 | 1300 | 1573 | 0.0183 | 4.67 | 1.869 | 6.54 | 71.43% |
| 2 | 30 | 0.2 | 1400 | 1673 | 0.0365 | 9.94 | 1.869 | 11.81 | 84.17% |
| 3 | 50 | 0.4 | 1500 | 1773 | 0.0731 | 21.07 | 1.869 | 22.94 | 91.85% |
| 4 | 70 | 0.3 | 1550 | 1823 | 0.0548 | 16.25 | 1.869 | 18.12 | 89.68% |
| 5 | 90 | 0.15 | 1600 | 1873 | 0.0274 | 8.35 | 1.869 | 10.22 | 81.71% |
![]() |

