| Похожие рефераты | Скачать .docx |
Курсовая работа: Газотурбинный двигатель для привода аппарата
МІНІСТЕРСТВО ОСВІТИ І НАУКИ УКРАЇНИ
Національний аерокосмічний університет імені М.Є. Жуковського „ХАІ”
кафедра 201
ГАЗОТУРБІННИЙ ДВИГУН ДЛЯ ПРИВОДА ГАЗОПЕРЕКАЧУВАЛЬНОГО АГРЕГАТУ
Пояснювальна записка до курсового проекту
з дісциплини: „Теорія та розрахунок лопастних машин”
ХАІ 201.231.06В.090522.05002012
Виконавець: студент xxx групи
____________ _____________
Керівник: стар. викладач
____________ _____________
Нормоконтролер: доцент
____________ _____________
2008
СОДЕРЖАНИЕ
Введение
Задание на курсовой проект
1. Термогазодинамический расчёт
1.1 Выбор и обоснование параметров
1.1.1 Температура газа перед турбиной
1.1.2 Степень повышения давления в компрессоре
1.1.3 КПД компрессора и турбины
1.1.4 Потери в элементах проточной части двигателя
1.2 Термогазодинамический расчет двигателя
1.3 Термогазодинамический расчет на ЭВМ
2 .Формирование облика ГТД
2.1 Подготовка исходных данных
2.2 Расчет на ЭВМ
2.3 Вывод
3. Газодинамический расчет компрессора
3.1 Подготовка исходных данных
3.2 Газодинамический расчет компрессора на ЭВМ
3.3 Газодинамический расчет 1-й ступени КВД на rср
3.4 Вывод
4. Профилирование рабочего колеса 1-й ступени КВД на 3-х радиусах
4.1 Метод профилирования
4.2 Вывод
5. Газодинамический расчет газовой турбины
5.1 Подготовка исходных данных
5.2 Газодинамический расчет газовой турбины на ЭВМ
Вывод
Перечень ссылок
ВВЕДЕНИЕ
Техническое развитие авиационных двигателей в значительной степени предопределяет завоевание авиацией качественно новых показателей и областей применения. Таковы, например, революционные преобразования в авиационной технике, связанные с внедрением газотурбинных и реактивных двигателей, появления самолетов вертикального взлета и посадки и т. п. В то же время уже в сложившихся классах авиационных систем логика развития летательных аппаратов, изменение объективных требований к ним оказывают значительное встречное влияние на двигатели, определяют направления их совершенствования.
В наиболее четкой форме влияние действующих факторов проявляется в сфере пассажирской и транспортной авиации. Ведущая тенденция в транспортной авиации заключается в объективной потребности непрерывного и прогрессивного роста пассажирских перевозок. В ближайшее время ожидается также быстрое возрастание грузовых перевозок в авиации. Основная масса транспортных самолётов рассчитана на дозвуковую скорость полета. Полагают, что после 2010 – 2015 гг. заметная часть перевозок будет выполняться сверхзвуковыми пассажирскими самолётами. В целом роль авиации как вида транспорта непрерывно увеличивается.
Можно выделить два главных управляющих фактора, которые воздействуют на формирование облика самолетов и двигателей: экономический и социально-психологический.
Экономический фактор определяет стремление к снижению себестоимости перевозок, росту эффективности использования самолетов, уменьшению эксплуатационных затрат и т. п. Роль двигателей здесь весьма велика. По оценкам фирмы «Боинг», доля расходов на эксплуатацию широкофюзеляжных самолетов, прямо или косвенно связанная с двигателями, составляет 40-50%.
Социально-психологический фактор объединяет такие требования, как сокращение времени передвижения, комфорт, гарантия безопасности полетов, минимальное воздействие на окружающую среду.
Оба эти фактора выдвигают конкретные требования к самолетам и двигателям и определяют основные направления их развития. В частности, указанные факторы способствовали внедрению скоростных и экономичных ТРДД вместо ТРД и ТВД в дозвуковой авиации, определили тенденцию роста взлетной тяги, полного коэффициента полезного действия двигателей в полете и уменьшения их удельного веса, привели к разработке двигателей для СПС и самолетов вертикального или укороченного взлета, к созданию малошумных двигателей с низким уровнем вредных выделений, имеющих модульную конструкцию и широкую систему диагностики. Надежность, ресурс, срок службы двигателей существенно увеличились. В то же время стремление ограничить растущую стоимость разработки и производства новых двигателей проявилось в методологии их конструирования (быстрый рост окружных скоростей роторов, сокращение числа ступеней и деталей, использование базовых газогенераторов и т. п.). Все эти тенденции, видимо, сохраняться и в будущем.
В связи с непрерывным ростом потребления углеводородных топлив и ограниченностью их природных запасов сильно возросло требование максимальной экономии топлива при воздушных перевозах. Это требование удовлетворяется различными путями – совершенствованием эксплуатации самолетов, использованием оптимальных высот и скоростей полета, разработкой новых самолетов, а также новых экономичных двигателей (двухконтурных или скоростных винто-вентиляторных). В перспективе ожидается освоение нового вида авиационного топлива – жидкого водорода. Водородные двигатели должны значительно отличатся низким расходом топлива, а также сниженным уровнем вредных выделений.
Даже краткий обзор факторов, формирующих облик двигателей на современном этапе развития авиации, показывает, что для выбора рациональной схемы и параметров силовой установки необходим комплексный анализ ее как тепловой машины (эффективный КПД цикла), как движителя (полетный и полный КПД), как механической конструкции (облик газогенератора, геометрическое и кинематическое согласование компрессоров и турбин, ограниченная сложность, малая масса), как источника вредного воздействия на окружающую среду и др. Этот анализ должен учитывать конкретное назначение и условия применения двигателя в системе силовой установки самолета.
Проведение подобного анализа в достаточном объеме невозможно без широкого использования ЭВМ, без разработки математических моделей двигателей и их элементов, без перехода в дальнейшем к методам оптимального автоматизированного проектирования на всех этапах разработки и создания двигателей.
Анализировать свойства и характеристики двигателей (в особенности перспективных) целесообразно при реальных сочетаниях их различных параметров, соответствующих определенному уровню газодинамического и конструкторско-технологического совершенства элементов. Поэтому выбор параметров анализируемого двигателя должен быть ориентирован на определенное или предполагаемое время появление его в эксплуатации и должен производиться на основе прогнозных оценок развития главных показателей совершенства авиадвигателей во времени.
ЗАДАНИЕ НА КУРСОВОЙ ПРОЕКТ
Разработать на базе газотурбинного двигателя ДН-80 газотурбинный двигатель для привода газоперекачивающего агрегата мощностью Nе=26,7 МВт.
Рекомендуемые параметры:
Тг*=1525К, pк*=20,8
Параметры прототипа:
Тг*=1513К, pк*=20,5
Gв=88 кг/с, Nе=26,7 МВт
nст=3700 об/мин.

Рисунок 1.1 – Кинематическая схема двигателя
1 ТЕРМОГАЗОДИНАМИЧЕСКИЙ РАСЧЕТ
Выбору основных параметров двигателя предшествует определение расчетного режима, т.е, режима, при котором необходимо рассчитать двигатель.
В зависимости от назначения двигателя выбираются параметры цикла (
и
), а также узлов (
,
,
,
,
,
,
) и соответствующие им режимы работы на характеристиках. В основу оптимизации параметров закладываются разные критерии (целевые функции): минимумы удельного расхода топлива, максимум мощности; обеспечение надежности и т.п. Выбор параметров двигателя в конечном итоге оказывает влияние на эффективность всей силовой установки.
Основными параметрами рабочего процесса двигателя, существенно влияющими на его удельные параметры, являются температура газа перед турбиной
и степень повышения давления в компрессоре![]()
При расчете зависимостей удельной мощности
и удельного расхода топлива
от
и
при Н=0, Мн=0 по программе, описанной ниже, принимали следующие значения коэффициентов, характеризующих потери в элементах проточной части двигателя:
,
,
,
, ![]()
,
. Значения
в зависимости от
определяли по формуле (1.1) при
,
, а
в зависимости от
- по соотношению
.
.
Скорость истечения из выходного устройства ГТД принимаем ![]()
1.1 Выбор и обоснование параметров
1.1.1 Температура газа пред турбиной
Увеличение температуры газа перед турбиной
позволяет значительно увеличить удельную мощность двигателя и, следовательно, уменьшить габаритные размеры и массу двигателя. Повышение температуры газа перед турбиной улучшает также экономичность двигателя. Это явилось главной причиной непрерывного роста
. Для обеспечения надежной работы турбины при высоких значениях температуры газа (
> .l250 К) необходимо применять охлаждаемые лопатки. Потребное количество охлаждающего воздуха зависит от температуры газа
, способа охлаждения (рисунок 1.2). Увеличение отбора воздуха на охлаждение турбины при повышении
приводит к снижению темпа роста удельной мощности и темпа уменьшения удельного расхода топлива.

Рисунок 1.2 – Относительное количество воздуха необходимое для охлаждения турбины

Рисунок 1.3 – Влияние температуры газа и способа охлаждения свободную работу двигателя
На рис. 1.3 показана зависимость свободной работы двигателя
от
и способа воздушного охлаждения, из которой следует, что назначение более высоких
требует применения более сложных систем охлаждения. Лучшие ГТД, находящиеся в эксплуатации, имеют
=1300...1600 К. Вновь разрабатываемые двигатели проектируются с учетом более высоких значений температур.
При использовании конструкционных материалов прототипа принимаем Тг*=1525К.
1.1.2 Степень повышения давления в компрессоре
При
=1200...1600К оптимальные значения степени повышения давления в компрессоре
, соответствующие максимуму удельной мощности составляют 18...22. При этом экономические значения
, соответствующие минимуму удельного расхода топлива, находятся в интервале 18...40.Более высоким значениям температуры
соответствуют большие значения
и
. В настоящее время на мощных ГТД достигнуты значения
=20...25.
Несмотря на благоприятное влияние повышения
на удельные параметры двигателя применение больших значений
ограничивается усложнением конструкции и увеличением массы и габаритов двигателя.
Выбор высоких значений
при проектировании двигателей малой мощности приводит к получению малых высот лопаток последних ступеней компрессора и первых ступеней турбины. Это в свою очередь приводит к росту потерь энергии из-за увеличения относительных радиальных зазоров, уменьшения значении чисел Рейнольдса и понижения относительной точности изготовления пера лопаток.
С учетом вышесказанного принимаем pк*=20,8.
1.1.3 КПД компрессора и турбины
КПД компрессора, определяемый по ГОСТ 23851-79 как отношение изоэнтропической работы по параметрам заторможенного потока к работе компрессора
![]()
может быть представлен как, произведение
![]()
где
- КПД компрессора по параметрам заторможенного потока, определяемый по формуле
при
;
- механический КПД компрессора, учитывающий потери в его опорах, обычно составляющий,
. Принимаем ![]()
Величина изоэнтропического КПД многоступенчатого компрессора по параметрам заторможенного потока зависит от степени повышения в компрессоре и КПД его ступени [9];
(1.1)
где
-среднее значение КПД ступеней
На расчетном режиме среднее значение КПД ступеней в многоступенчатых осевых компрессорах современных газотурбинных двигателей лежит в пределах
. В компрессорах с высоконагруженными дозвуковыми ступенями или сверхзвуковыми (трансзвуковыми) входными ступенями значение среднего КПД ступеней несколько ниже (
). Принимаем ![]()
Значения КПД неохлаждаемых газовых турбин по параметрам заторможенного потока обычно лежат в пределах
. Охлаждение турбин приводит к снижению их КПД. Для предварительного расчета охлаждаемой турбины значение
можно принимать на 1,5…3%ниже, чем для неохлаждаемой:
![]()
Большему количеству отбираемого воздуха на охлаждение лопаток турбины соответствует и больше снижение КПД турбины. Для предварительного учета влияния охлаждения на КПД турбины рекомендуется приближенное соотношение:
(1.2)
где
- суммарный относительный расход охлаждающего воздуха. На основании формулы (1.2) может быть рекомендовано соотношение для определения КПД охлаждаемой турбины в зависимости от выбранного значения
:
при ![]()
при ![]()
![]()
1.1.4 Потери в элементах проточной части двигателя
Входные устройства рассматриваемых двигателей являются криволинейными или прямолинейными каналами. Коэффициент восстановления полного давления для таких устройств составляет
. При наличии на входе в двигатель пылезащитных устройств потери полного давления существенно возрастают
. Принимаем ![]()
В современных ГТД в основном применяются кольцевые камеры сгорания различных типов: прямоточные и противоточные, с центробежными и вращающимися дисковыми форсунками а также с испарительными форсунками.
Потери полного давления в камерах сгорания вызываются гидравлическим и тепловым сопротивлением. Гидравлическое сопротивление определяется в основном потерями в диффузоре, фронтовом устройстве при смешении струй при повороте потока (
). Тепловое сопротивление возникает вследствие подвода тепла к движущемуся газу. На рис. 1.5 показана зависимость коэффициента теплового сопротивления
от степени подогрева газа
и приведенной скорости
- на входе в камеру сгорания (на выходе из диффузора). Линия
- соответствует «тепловому запиранию» камеры, т.е. определяет предельные значения степени подогрева воздуха в камере сгорания постоянной площади, превышение которых при заданных значениях
физически невозможно. Обычно
и
. Принимаем
.
Суммарные потери полного давления в камерах сгорания подсчитываются по формуле
![]()
Более точные значения
определяются в газодинамических расчетах камеры сгорания.

Рисунок 1.5 – Зависимость теплового сопротивления камеры сгорания от степени подогрева и приведенной скорости потока.
Потери тепла в камерах сгорания, главным образом, связаны с неполным сгоранием топлива и оценивается коэффициентом полноты сгорания
.Этот коэффициент на расчетном режиме достигает значений
. Принимаем ![]()
При наличии переходного патрубка между турбинами компрессора коэффициент восстановления полного давления выбирается в зависимости от формы канала. Принимаем ![]()
Выходное устройство ГТД, как правило, выполняется диффузорным. Коэффициент восстановления полного давления принимаем ![]()
1.2 Термогазодинамический расчет двигателя
Целью теплового расчета двигателя является определение основных удельных параметров (
- удельной мощности,
- удельного расхода топлива). При этом вычисляют значения параметров рабочего тела в характерных сечениях двигателя. Эти данные используют при согласовании параметров компрессора и турбины и при общей компоновке проточной части двигателя.
Таблица 1.1 - Исходные данные для теплового расчета
| Величина | Размерность | Значение | Величина | Размерность | Значение |
| Н | км | 0 | sпт | - | 0,99 |
| Мн | - | 0 | sрн | - | 0,985 |
| Gв | кг/с | 88 | hт | - | 0,985 |
| Т*Г | К | 1525 | hред | - | 1 |
| p*К | - | 20,8 | hВ | - | 1 |
| h*К | - | 0,842 | СС | м/с | 90 |
| h*ТК | - | 0,89 | НU | кДж/кг | 51000 |
| sвх | - | 0,96 | CP | Дж/(кгК) | 1005 |
| sкс | - | 0,926 | CpГ | Дж/(кгК) | 1160 |
| hГ | - | 0,98 |
1.2.1 Вход в двигатель (сечение Н-Н). По таблице параметров стандартной атмосферы для Н=0 находим ТН=288,15К и РН=101325 Па. Так как МН=0, то Т(МН)=1, Р(МН)=1 и следовательно
=288,15К и
=101325 Па.
1.2.2 Вход в компрессор (сечение В-В). Температура и давление воздуха на входе в компрессор равны:

1.2.3 Выход из компрессора (сечение К-К)

1.2.4 Выход из камеры сгорания (сечение Г-Г). При заданной температуре газа
=1525 К, степень подогрева воздуха в камере сгорания составляет:

Относительный расход топлива вычислим по формуле Ильичёва:

![]()
1.2.5 Выход из турбины компрессора (сечение ТК-ТК). Принимаем n=1, тогда
. Работа турбины компрессора, степень повышения давления в ней, параметры газа на входе равны:
1.2.6 Выход из турбины (сечение Т-Т)
Принимаем
1.2.7 Параметры двигателя. Удельная мощность и удельный расход топлива турбовального двигателя находим из соотношений:

Таблица 1.2 – Результаты теплового расчета
| Величина | Размерность | Значение | Величина | Размерность | Значение |
| Lк | Дж/кг | 4,960х105 | - | 3,98 | |
| Lтк | Дж/кг | 5,035х105 | кВтс/кг | 365,63 | |
| Lсв | Дж/кг | 3,77х105 | кг/(Квтч) | 0,1870 | |
| Lтв | Дж/кг | 3,656х105 | - | 0,019 | |
| - | 4,7 |
Таблица 1.3 - Результаты теплового расчета
| Сечение | Параметры газа | Примечания | |
| Т*,К | Р*,Пах105 | ||
| Н-Н | 288,15 | 1,01325 | |
| В-В | 288,15 | 0,972 | |
| К-К | 774,32 | 21,39 | |
| Г-Г | 1525 | 19,81 | |
| ТК-ТК | 1085,86 | 4,174 | |
| Т-Т | 771,29 | 1,047 | |
| С-С | 769,79 | 1,023 | Тс=767,79 |
1.3 Термогазодинамический расчет на ЭВМ.
Таблица1.4 - Исходные данные
2 . ФОРМИРОВАНИЕ ОБЛИКА ГТД
2.1. Подготовка исходных данных
Формирование облика (проточной части) ГТД и ГТУ является одним из наиболее важных начальных этапов проектирования ГТД и ГТУ, непосредственно следующим за выполнением теплового расчета и предшествующим газодинамическим расчетам элементов проточной части (каскадов компрессоров и турбин). При выполнении расчетов по формированию облика ГТД (ГТУ) определяются: форма проточной части, частоты вращения роторов и число ступеней каскадов лопаточных машин. Исходными данными для этих расчетов являются значения заторможенных параметров рабочего тела (воздуха и продуктов сгорания) в характерных (расчетных) сечениях проточной части, основные геометрические (диаметральные) соотношения каскадов лопаточных машин и принимаемые значения коэффициентов аэродинамической загрузки компрессорных и турбинных ступеней. В учебном проектировании обычно (для облегчения задачи) задается прототип проектируемого ГТД или ГТУ. В этом случае начальный выбор геометрических соотношений элементов проточной части и числа ступеней каскадов лопаточных машин заметно упрощается.
Ne – мощность в кВт
Lкнд/Lк – распределение общей работы повышения полного давления
КПДкнд* - коэффициент полезного действия КНД
Sнв – коэффициента восстановления полного давления в переходном канале между КНД и КВД
kfко - целочисленный идентификатор формы проточной части ОК
Zок - число ступеней ОК
Dвто/Dко - относительный диаметр втулки
D1цбк/Dкко - отношение наружного диаметра на входе в ЦБК к наружному диаметру на выходе из ОК
D2/Dко - отношение наружного диаметра РК ЦБК к наружному диаметру ОК на входе
D4/D2 - отношение диаметра ЦБК к наружному диаметру РК ЦБК
kfтвд - целочисленный идентификатор формы проточной части ТВД
Zтвд - число ступеней ТВД
Dсртвд - средний диаметр ТВД на входе
Dко - наружный диаметр КВД на входе
q(lг) - расходная газодинамическая функция на входе в ТВД
Сттвд - расходная скорость на выходе из ТВД, в м/с
kfкнд - целочисленный идентификатор формы проточной части КНД,
Zкнд - число ступеней КНД
Dвткнд/Dк - относительный диаметр втулки на входе в РК 1-ой ступени КНД
Св, Сккнд - расходная скорость на входе и на выходе из КНД, в м/с
Uк - окружная скорость на наружном диаметре РК 1-ой ступени КНД, в м/с
kfтнд - целочисленный идентификатор формы проточной части ТНД
Zтнд - число ступеней ТНД
Dсртнд - средний диаметр ТНД на входе
Dк - наружный диаметр КНД на входе
Сгтнд, Сттнд - расходная скорость на входе и на выходе из ТНД, в м/с
Sтпвн - коэффициент восстановления полного давления в переходном канале от ТВД к ТНД
kfтс - целочисленный идентификатор формы проточной части свободной турбины
Zтс - число ступеней свободной турбины
Dсртс/Dк - отношение среднего диаметра свободной турбины к наружному диаметру КНД на входе
Mzтс - суммарное значение коэффициента загрузки свободной турбины
Mzтс=Lтс*/(Uсртс**2)
Сгтс, Ст - расходная скорость на входе и на выходе из свободной турбины, в м/с ,
Sтпнс - коэффициент восстановления полного давления в переходном канале от ТНД к свободной турбине
Кохл=1.25 -охлаждаемая турбина,
Кохл=1.-неохлаждаемая
Результаты расчета сведены в табл. 2.1.
Схема проточной части двигателя представлена на рисунке 2.1
2.2 Расчет на ЭВМ
Таблица 2.1


Рисунок 2.1 – Схема проточной части двигателя
2.3 Выводы
По результатам согласования параметров компрессора и турбин получены параметры в КНД:
= 5,765 и частота вращения nкнд=7608 об/мин, в КВД:
=3,894 и частота вращения nквд=9567 об/мин. Относительные диаметральные размеры ТВД (h/D)г =0.0659 не меньше значения допустимого (h/D)г =0.06 и ТВД (h/D)т =0.0883 не больше значения допустимого (h/D)т =0.3 ;ТНД (h/D)г =0.0893 не меньше значения допустимого (h/D)г =0.06 и ТНД (h/D)т =0.1382 не больше значения допустимого (h/D)т =0.3 ; ТС (h/D)г =0.1056 не меньше значения допустимого (h/D)г =0.06 и ТС (h/D)т =0.2029 не больше значения допустимого (h/D)т =0.3. Коэффициенты нагрузки для ТВД
=1.469 , что не превышает допустимого коэффициента нагрузки
=1,8, а
=1.556 в ТНД, что не превышает допустимого коэффициента нагрузки
=1,8.
Схема двигателя с двухвальным газогенератором и свободной турбиной : zтвд=1, zтнд=1, zтс=4. Схему ГТД принимаем трёхвальную, аналогично прототипу- турбовальному двигателю ДН-80. Такая схема конструктивно сложна, но она позволяет оптимизировать работу компрессора на нерасчетных режимах. Двухвальный газогенератор позволяет уменьшить мощность пускового устройства, так как при запуске ПУ раскручивает только каскад высокого давления.
3 ГАЗОДИНАМИЧЕСКИЙ РАСЧЕТ КОМПРЕССОРА
3.1 Подготовка исходных данных
Описываемая в этом разделе программа gdrok предназначена для газодинамического расчета многоступенчатого осевого компрессора на среднем радиусе. Исходные данные расчета заносятся в файл gdrok.dat, а результаты, получаемые с помощью исполняемого файла gdrok.exe - в файл gdrok.rez . Программа gdrok имеет и программу графического сопровождения gfk.exe, файл исходных данных которой gfk.dat формируется при работе файла gdrok.exe. Использование файла gfk.exe при выполнении расчетов обеспечивает возможность наглядного графического контроля как исходного распределения параметров по ступеням так и получаемых результатов расчета (формы проточной части компрессора, изменения параметров потока по ступеням и треугольников скоростей ступеней на среднегеометрическом радиусе).
Исходными данными для газодинамического расчета многоступенчатого осевого компрессора на ЭВМ являются следующие .величины:
GВ - расход рабочего тела (воздуха) через компрессор, кг/с;
TB*,PB* - заторможенные температура и давление потока на входе в компрессор, К; Па;
К, R - физические константы рабочего тела
Πк* - общая степень повышения полного давления а компрессоре;
Uк- окружная скорость на наружном диаметре рабочего колеса первой ступени компрессора, м/с;
Ск - скорость потока на выходе из компрессора» м/с;
zк - число ступеней компрессора;
- относительный диаметр втулки на входе в рабочее колесо первой ступени компрессора
KG1 - коэффициент а уравнении расхода, учитывающий загромождение проходного сечения канала пограничным слоем на стенках
- коэффициент восстановления полного давления в направляющем аппарате ступени;
- коэффициент восстановления полного давления во входном направляющем аппарате компрессора
В виде массивов значений для всех ступеней задают величины:
Са- расходную скорость на входе в рабочее колесо ступени, м/с
Нz - затраченный напор (работу) ступени, кДж/кг;
. - изоэнтропический КПД ступени по параметрам заторможенного потока;
- кинематическую степень реактивности ступени;
i - угол атаки на рабочие лопатки ступени на среднем радиусе, град.
При расчете двухкаскадного компрессора дополнительно задают следующие величины
- степень повышения полного давления в первом каскаде компрессора;
,- окружную скорость на наружном диаметре рабочего колеса первой ступени второго каскада компрессора (КЭД), м/с;
z1- число ступеней в первом 'каскаде компрессора;
- отношение среднего диаметра первой ступени второго каскада компрессора к среднему диаметру последней ступени первого каскада компрессора;
- коэффициент восстановления, полного давления в переходном канале между каскадами компрессора;
Таблица 3.1 - Исходные данные
| Величина, размерность | № ступени | |||||||
| 1 | 2 | 3 | 4 | 5 | 6 | 7 | 8 | |
| С, м/с | 160 | 159 | 158 | 157 | 156 | 155 | 154 | 153 |
| Hz | 22 | 22,5 | 24,5 | 25,5 | 26,5 | 25,5 | 24 | 23 |
| КПД | 0,88 | 0,885 | 0,89 | 0,895 | 0,9 | 0,9 | 0,895 | 0,89 |
| rК | 0,5 | 0,5 | 0,55 | 0,55 | 0,55 | 0,55 | 0,55 | 0,55 |
Продолжение таблицы 3.1
| Величина, размер ность | № ступени | |||||||||
| 9 | 10 | 11 | 12 | 13 | 14 | 15 | 16 | 17 | 18 | |
| С, м/с | 152 | 160 | 155 | 150 | 145 | 140 | 135 | 130 | 125 | 120 |
| Hz | 22,5 | 27,3 | 28 | 29 | 31,5 | 32,5 | 31,2 | 29,5 | 28 | 27 |
| КПД | 0,885 | 0,89 | 0,897 | 0,9 | 0,9 | 0,898 | 0,897 | 0,896 | 0,895 | 0,894 |
rК |
0,55 | 0,55 | 0,55 | 0,55 | 0,55 | 0,55 | 0,55 | 0,55 | 0,55 | 0,55 |
3.2 Газодинамический расчет компрессора на ЭВМ
В современных газотурбинных двигателях для осуществления процесса сжатия используются в основном многоступенчатые осевые компрессоры. Это обусловлено их высокими коэффициентами полезного действия и возможностью изменения производительности напорности этих компрессоров в очень широких пределах за счет изменения числа ступеней и их диаметральных размеров.
Компрессор проектируемого двигателя двухкаскадный. Состоит из компрессора низкого и высокого давления. Это сделано для повышения газодинамической устойчивости и для достижения максимальной эффективной загрузки всех его ступеней. Каскад низкого давления имеет Dк=const- наилучшие условия энергообмена и эксплуатационные преимущества. Компрессор высокого давления- Dвт=const- позволяет уменьшить габариты.
Основной частью газодинамического расчета осевого компрессора является окончательное получение геометрических размеров и количества ступеней, при сохранении
к* полученного при формировании облика. Этому может помочь эффективное распределение
к*, работ и КПД по ступеням компрессора.
Газодинамический расчет осевого компрессора представляет собой последовательный расчет всех его ступеней на среднем радиусе, в предположении постоянства параметров потока и равенства параметров на среднем радиусе осреднённым по ступени.
Изменение коэффициента затраченного напора Hz по ступеням принимаем таким, чтобы наиболее загруженные были средние ступени, а к входу и выходу из компрессора значение Hz уменьшалось. Учитывая допустимую нагрузку первых ступеней и принимая во внимание необходимость более сильной разгрузки последних ступеней из-за высокого значения dвтотн.
Распределение остальных параметров выполнено в соответствии с рекомендациями, изложенными в [4].
Исходные данные и результаты расчета представлены в табл. 3.1 и табл. 3.2 соответственно.
Схема проточной части компрессора рис. 3.1
Изменение параметров по ступеням рис.3.2
Треугольники скоростей для 18ти ступеней компрессора рисунок 3.3, - рисунок 3.7
Таблица 3.2
![]() |
Продолжение таблицы 3.2
![]() |
Продолжение таблицы 3.2
![]() |
![]() |
Рисунок 3.1 – Схема проточной части компрессора

Рисунок 3.2 – Изменение параметров по ступеням

Рисунок 3.3 – Треугольники скоростей ступени 1-4

Рисунок 3.4 – Треугольники скоростей ступени 5-8

Рисунок 3.5 – Треугольники скоростей ступени 9-12

Рисунок 3.6 – Треугольники скоростей ступени 13-16

Рисунок 3.7 – Треугольники скоростей ступени 17-18
3.3 Газодинамический расчет 1-й ступени КВД на rср
Исходные данные:



Параметры заторможенного потока воздуха на входе в РК

Параметры заторможенного потока на выходе из первой ступени:

Окружная скорость и коэффициент теоретического напора на среднем диаметре:

Выбор кинематической степени реактивности:

Скорость и направление потока на входе в РК:

Площадь проходного сечения и геометрические размеры входа в РК:

Действительные параметры потока на входе в РК, скорость и направление в относительном движении:


Параметры потока воздуха на выходе из РК:


Частота вращения ротора компрессора:
![]()
3.4 Вывод
В результате расчета компрессора на ЭВМ были получены геометрические параметры по ступеням, изменение Р, Р*, Т, Т* на среднем радиусе каждой ступени КНД и КВД (Dн.1КНД=0.909м, Dвт1.КНД=0.3366м, Dн.1КВД=0.829м, Dвт1.КВД=0.6930м) и степень повышения давления
:
=5,765 и частота вращения nкнд=7608 об/мин,
=3,894, частота вращения nквд=9523,28 об/мин,
=20,8 число ступеней zкнд=9, zквд=9, L*к кнд=216000 Дж/кг, L*к квд=264000 Дж/кг, Значения
не превышают 0.73.
Так как угол
последней ступени компрессора равен 30,97, то требуется применение сдоенного спрямляющего аппарата. В следствии того, что КПД каскада низкого давления выше(из-за большей высоты лопаток, а как следствие меньшего влияния потерь в пограничном слое) рекомендовано перераспределить работу, увеличив её на КНД.
На применяемых дозвуковых ступенях заложено
=0,83…0,9. Это приемлемые значения и дальнейшая работа по доводке этих ступеней не вызовет больших затруднений. При этом ступени являются перегруженными, поэтому требуют регулирования.
4 ПРОФИЛИРОВАНИЕ РАБОЧЕГО КОЛЕСА 1-Й СТУПЕНИ КВД НА ТРЁХ РАДИУСАХ
Исходным для определения параметров потока по радиусу является расчёт ступени по радиусам. Для достижения высоких КПД ступени необходимо установить взаимосвязь кинематических параметров потока в элементе ступени, расположенных на различных радиусах, т.е. рассчитать поток в решетках по радиусу.
Реальное течение воздуха в компрессоре является пространственным, периодически неустановившемся течением вязкого сжимаемого газа, математические исследование которого в строгой постановке задачи в настоящее время практически невозможно. Для получения инженерных результатов, реальное течение обычно рассматривается как установившееся, осисимметричное, при постоянстве гидравлических потерь.
4.1 Метод профилирования
Закон постоянства степени реактивности и теоретического напора.
Для получения более высоких окружных скоростей в ступени осевого компрессора при обеспечении до звукового обтекания лопаток может быть применена закрутка потока, обеспечивающая постоянство
и
по радиусу.
Из совместного решения уравнения для степени реактивности и теоретического напора:
![]()
![]()
при постоянстве их по радиусу получают выражения для окружных составляющих скорости воздуха и за колесом:
![]()
![]()
Уравнение для осевой скорости:
![]()
![]()
В связи с малым различаем между
и
в реальной ступени в расчетах можно принять осевые скорости перед и за колесом равным среднему из указанных выше значений.
В соответствии осевая скорость в ступени уменьшается к периферии и увеличивается к втулке лопатки.
С ростом U, уменьшением Ca и увеличением Cu по радиусу уменьшаются абсолютные и относительные скорости и углы потока в ступени с
,
. Лопатки РК ступени с
,
закручены по высоте несколько меньше, чем при Cu*r=const. Лопатки ВНА ступени с
,
сильнее изогнуты в периферийной части и почти не отклоняют поток у втулки. Преимуществом этого закона является возможность использовать более высокие значения окружных скоростей. Ступени с постоянной степенью реактивностью и теоретическим напором широко применяются в авиации.
Расчет ступени приведен в таблицах. 4-4.7
Таблица 4 - Исходные данные
| Параметры | Размерность | Сечение | ||
| Втулками | Средний | Периферия | ||
| м | 0,67 | 0,746 | 0,812 | |
| - | 0,82 | 0,91 | 1 | |
| - | 362,9 | - | ||
| 325,92 | 362,9 | 395 | ||
| - | 160 | - | ||
| - | 160 | - | ||
| - | 74,33 | - | ||
| - | 157,83 | - | ||
| - | - | 0,68 | - | |
| - | 303332,31 | - | ||
| К | 496 | 496 | 496 | |
| К | 522,16 | 522,16 | 522,16 | |
Таблица 4.1 - Расчет
и
при
.![]()
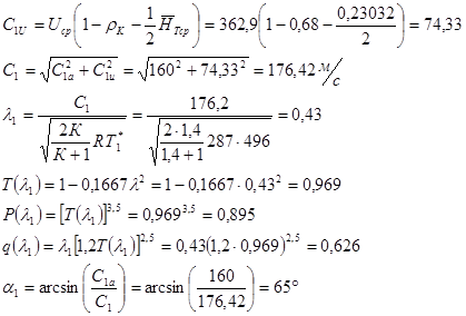
Параметры |
Размер - ность |
Сечение | ||
| Втулка | Средний | Периферия | ||
| 175,54 | 160 | 143,58 | ||
| 0,68 | 0,68 | 0,68 | ||
| 30332,31 | 30332,31 | 30332,31 | ||
| 57,76 | 74,33 | 88 | ||
| 150,82 | 157,91 | 164,79 | ||
Таблица 4.2 - Расчет некоторых параметров планов скоростей
| Параметры | Размерность | |||
| Сечение | ||||
| втулка | средний | периферия | ||
| 325,61 | 329,95 | 338,91 | ||
| 184,80 | 176,42 | 168,4 | ||
| 438,7 | 439,39 | 440,024 | ||
| - | 0,73 | 0,75 | 0,77 | |
| 247,93 | 260,03 | 271,31 | ||
| 231,43 | 224,8 | 218,56 | ||
| 446,19 | 446,87 | 447,49 | ||
| - | 0,518 | 0,503 | 0,488 | |
| Град. | 71,7 | 65 | 58,49 | |
| Град. | 49,33 | 45,37 | 41,06 | |
| Град. | 32,6 | 29 | 25,06 | |
| Град. | 45,07 | 37,97 | 31,95 | |
| Град. | 22,37 | 19,63 | 17,43 | |
| Град. | 12,47 | 8,97 | 6,89 | |
Таблица 4.3 - Расчет параметров решетки на среднем радиусе.
| Параметры | Размерность | Величины |
| м | 0,812 | |
| м | 0,746 | |
| м | 0,67 | |
| м | 0,071 | |
| - | 2,5 | |
| м | 0,0284 | |
| Град. | 8,97 | |
| - | 0,85 | |
![]() |
Град. | 10,55 |
| Град. | 37,97 | |
| Град. | 11,5 | |
![]() |
- | 0,917 |
| - | 0,82 | |
| м | 2,5 | |
| шт. | 0,0284 | |
| z | шт. | 8,97 |
![]() |
м | 0,85 |
| м | 10,55 | |
| - | 37,97 |
Таблица 4.4 - Расчет параметров лопаток и профилей по радиусу
| Параметры | Размерность | Сечение | ||
| Втулка | Среднее | Периферия | ||
| м | 0,0282 | 0,0282 | 0,0282 | |
| м | 0,0309 | 0,0344 | 0,03749 | |
| - | 0,912 | 0,819 | 0,752 | |
| i | Град. | 0 | 0 | 0 |
| Град. | 45,07 | 37,97 | 31,95 | |
| - | 0.5 | 0.5 | 0.5 | |
| - | 0,319 | 0,334 | 0,346 | |
| Град. | 12,47 | 8,97 | 6,89 | |
![]() |
Град. | 18,72 | 14,21 | 11,46 |
| Град. | 6,25 | 5,24 | 4,57 | |
| Град. | 32,6 | 29 | 25,06 | |
| Град. | 32,6 | 29 | 25,06 | |
| Град. | 51,32 | 43,21 | 36,52 | |
| K выбераем | - | 0.5 | 0.5 | 0.5 |
| Град. | 9,36 | 7,105 | 5,73 | |
| Град. | 9,36 | 7,105 | 5,73 | |
| м | 0,171 | 0,226 | 0,281 | |
| м | 0,0866 | 0,1139 | 0,1412 | |
| м | 0,02828 | 0,02824 | 0,02823 | |
| Град. | 41,96 | 36,105 | 30,79 | |
| м | 0,0188 | 0,0166 | 0,0144 | |
| C | - | 0,075 | 0,05 | 0,035 |
| м | 0,0021 | 0,00141 | 0,000987 | |
Построение средней линии профиля осуществляется на основе выбранной дуги в виде дуги окружности. Хорду разбивают на равное количество участков (10), которые совпадают с осью абсцисс. Ординаты средней линии вычисляются по приближённой зависимости:
![]()
Таблица 4.5 - Результаты расчётов средней линии
| 0 | 10 | 20 | 30 | 40 | 50 | 60 | 70 | 80 | 90 | 100 | |
| 0 | 2,8 | 5,6 | 8,4 | 11,2 | 14,1 | 16,9 | 19,7 | 22,5 | 25,3 | 28,2 | |
| 0 | 0,41 | 0,74 | 0,97 | 1,11 | 1,16 | 1,11 | 0,97 | 0,75 | 0,42 | 0 | |
| 0 | 0,31 | 0,56 | 0,73 | 0,84 | 0,87 | 0,84 | 0,74 | 0,56 | 0,32 | 0 | |
| 0 | 0,25 | 0,45 | 0,59 | 0,67 | 0,70 | 0,67 | 0,59 | 0,45 | 0,26 | 0 |
Далее следует построение аэродинамического профиля решетки. В качестве исходного аэродинамического профиля используется симметричный профиль
, рассчитан на работу при до звуковых скоростях.
Таблица 4.6 - Относительные координаты аэродинамического профиля
| 0 | 0 |
| 1.0 | 114 |
| 1.5 | 143 |
| 2.5 | 185 |
| 5 | 255 |
| 7.5 | 309 |
| 10 | 352,5 |
| 15 | 416 |
| 20 | 455 |
| 25 | 478.8 |
| 30 | 492.7 |
| 35 | 498.6 |
| 40 | 500 |
| 50 | 485.8 |
| 60 | 444.2 |
| 70 | 378.3 |
| 80 | 285 |
| 90 | 172.2 |
| 95 | 100.3 |
| 100 | 0 |
Для ординат рассчитанного профиля используется зависимость:
![]()
Результаты пересчета координат исходного профиля в координаты рассчитанного профиля сводятся в таблицу:
Таблица 4.7 - Координаты рассчитанного профиля
| Х, мм | Сечение | ||
| втулка | средний | Периферия | |
| 0 | 0,00 | 0,00 | 0,00 |
| 0,282 | 0,2394 | 0,16 | 0,112 |
| 0,423 | 0,3 | 0,201 | 0,141 |
| 0,705 | 0,388 | 0,260 | 0,182 |
| 1,41 | 0,5355 | 0,359 | 0,251 |
| 2,115 | 0,648 | 0,435 | 0,304 |
| 2,82 | 0,74 | 0,497 | 0,347 |
| 4,23 | 0,873 | 0,586 | 0,410 |
| 5,64 | 0,955 | 0,641 | 0,449 |
| 7,05 | 1,005 | 0,675 | 0,472 |
| 8,46 | 1,034 | 0,694 | 0,486 |
| 9,87 | 1,047 | 0,703 | 0,492 |
| 11,28 | 1,05 | 0,705 | 0,493 |
| 14,1 | 1,020 | 0,684 | 0,479 |
| 16,92 | 0,932 | 0,626 | 0,438 |
| 19,74 | 0,794 | 0,533 | 0,373 |
| 22,56 | 0,598 | 0,401 | 0,281 |
| 25,38 | 0,361 | 0,242 | 0,169 |
| 26,79 | 0,2106 | 0,1 | 0,0989 |
| 28,2 | 0 | 0 | 0 |
Используя полученные в результате расчетов данные строим аэродинамические решетки профилей, изображенные на рисунке 4.1.



Рисунок 4.1 – Аэродинамические решетки профилей
4.2 Вывод
Рассчитанная и построенная решетка профилей первой ступени осевой части компрессора удовлетворяет требованиям и сможет обеспечить требуемые параметры. В результате профилирования рабочей лопатки первой ступени осевого компрессора были произведены расчеты параметров заторможенного потока на выходе из ступени, параметры заторможенного потока на входе в Р.К., окружной скорости на среднем радиусе и коэфициэнт теоретического напора, рассчитана скорость и направление потока на входе в РК, площадь проходного сечения и геометрические размеры входа РК, параметры воздушного потока на выходе из РК. Был также предварительный выбор удлинений, расчет густоты решеток профилей , расчет и уточнение числа лопаток в венце, хорд и удлинений лопаток , расчет углов изгиба профиля пера . расчет углов отставания потока в лопаточном венце на номинальном режиме расчет углов средней линии профиля, углов наклона кромок пера и угла установки профиля в решетке, расчет и выбор относительной толщины профиля.
Исходными данными является газодинамический расчет осевой части компрессора. Полученные профили и планы скоростей решеток изображены на рисунках.
5 ГАЗОДИНАМИЧЕСКИЙ РАСЧЕТ ТУРБИНЫ
5.1 Подготовка исходных данных
Осевые газовые турбины обладают высокой энергоёмкостью и экономичностью. Именно благодаря этому, а также сравнительной простоте и надёжности позволили газовым турбинам получить широкое распространение, а значит и газотурбинным двигателям в целом.
Современное развитие теории и методик проектирования осевых газовых турбин достигло уровня и можно с большой надёжностью определить параметры турбины на расчетном режиме с учётом всех видов потерь механической энергии в её проточной части. Однако расчёт становится довольно сложным, а значит, увеличивается объём вычислений. Поэтому в учебном проектировании такой расчёт можно произвести только с помощью ЭВМ.
Одним из основных средств повышения мощности ГТД является повышение температуры газа перед турбиной Тг*, но её повышение значительно понижает ресурс и надёжность турбины без применения специальных методов охлаждения лопаток и дисков турбин, а также новых более жаропрочных материалов.
В данном курсовом проекте расчёт поводится при помощи программы, описание которой содержится в [5]. В программе использован алгоритм газодинамического расчёта на среднем диаметре.
Часть исходных данных берётся из термогазодинамического расчёта двигателя и согласования параметров, поэтому проточная часть турбины уже известна.
Современное состояние теории и практики проектирования осевых газовых турбин обеспечивает возможность надежного определения параметров турбины на расчетном режиме с достоверным учетом всех видов потерь механической энергии в ее проточной части. При этом газодинамический расчет турбины усложняется, что приводит к значительному увеличению объема вычислений.

Gв - расход воздуха через двигатель, hm - механический КПД.
Мощность по ступеням свободной турбины распределяем таким образом, чтобы суммарная мощность по ступеням свободной турбины равнялась эффективной мощности нашего двигателя.
Таблица5.1 - Исходные данные
| Величина | № ступени | |||||
| 1 | 2 | 3 | 4 | 5 | 6 | |
| N, кВт | 23585,8 | 19297,5 | 6975 | 7241,6 | 7041,6 | 6541,6 |
| D1ср | 0,8951 | 0,9266 | 1,0731 | 1,0853 | 1,0980 | 1,1985 |
| D2ср | 0,8951 | 0,9266 | 1,0767 | 1,0940 | 1,1000 | 1,2011 |
| h1 | 0,062 | 0,1066 | 0,1362 | 0,1706 | 0,205 | 0,2394 |
| h2 | 0,0801 | 0,131 | 0,1534 | 0,1878 | 0,2222 | 0,2566 |
5.2 Газодинамический расчет турбины на ЭВМ
Исходные данные приведены в табл. 5.1, а результаты в табл. 5.2
На рисунок 5.1 изображена схема проточной части турбины
Треугольники скоростей представлены на рисунок 5.2
Таблица 5.2



Рисунок 5.1 - Схема проточной части турбины


Рисунок 5.2 – Треугольники скоростей

Рисунок 5.2 – Треугольники скоростей


Рисунок 5.3 – Изменение параметров по ступеням
ВЫВОДЫ
Спроектированный двигатель применяется для привода газоперекачивающего агрегата
Nст=26700кВт, pк*=20,8, Тг*=1525 К
В ходе проведения термогазодинамического расчета были получены следующие данные:
![]()
В результате газодинамического расчета компрессора определены значения параметров потока в каждой ступени, выполнено согласование по КПД ступеней hкнд=0,862, hквд=0,8880, hк=0,8399. Распределены работы по ступеням. Значения работ каскдов: Lкнд=216000Дж/кг, Lквд=264000 Дж/кг.
В результате расчета шестиступенчатой турбины получено распределение КПД по ступеням следующим образом:
т1=0,831,
т2=0,854,
т3=0,899
т4=0,905,
т5 =0,906,
т6 =0,906.
Угол потока в абсолютном движении на выходе из РК последней ступени свободной турбины лежит в требуемом диапазоне: 80<
<89,
=80,6
Для расчета и построения решетки профилей первой ступени КВД был выбран закон крутки «свободного вихря». Были получены геометрические параметры решетки профилей компрессора на трёх радиусах.
ПЕРЕЧЕНЬ ССЫЛОК
1 Павленко Г.В., Герасименко В.П. «Выбор параметров и термогазодинамичесикй расчет ТВД, ТВВД и ТВаД»: Учебное пособие. – Харьков: ХАИ, 1984.- 60с.
2 Анютин. «Согласование параметров и турбин авиационных ГТД»: Учебное пособие. Х.: ХАИ.
3 Павленко Г.В. «Газодинамический расчет осевого компрессора на ЭВМ». Учебное пособие. – Харьков: ХАИ, 1985.- 68с
4 Г.В.Павленко, В.А. Коваль. Газодинамический расчет авиационной турбины на ЭВМ: Учебное пособие.- Х.: ХАИ, 1985.
5 Инструкция по использованию программы ОСК. ХАИ каф.201.
Похожие рефераты:
Центробежные компрессоры Березанской КС
Расчет компрессора высокого давления
Оборудование летательных аппаратов
Энергоэкономическая эффективность применения авиационных двигателей на ТЭС
Испытательная станция турбовинтовых двигателей ТВ3–117 ВМА–СБМ1 серийного производства
Модернизация двигателя мощностью 440 квт с целью повышения их технико-экономических показателей
Научно-технический прогресс газотурбинных установок магистральных газопроводов
Автоматизированная система управления компрессорной установки
Разработка системы автоматического контроля технологических параметров газоперекачивающего агрегата
Проектирование цеха ремонта поршневых компрессоров
Анализ эффективности работы двигателя внутреннего сгорания
Расчет параметров рабочего процесса и выбор элементтов конструкции тепловозного двигателя
Эксплуатационные скважины для освоения месторождений Западной Сибири







