| Похожие рефераты | Скачать .docx |
Реферат: Химико-технологический процесс и его содержание
. Критерии эффективности химико-технологического процесса
Химическая технология - это научная основа химической промышленности.
Под технологией в широком значении понимают научное описание методов и средств производства в какой-то отрасли промышленности. Т. е. - это обоснованная последовательность операций или действий, приводящих к достижению поставленной цели.
Химическая технология - это наука о наиболее экономичных и экологически обоснованных методах химической переработки исходного сырья в предмет потребления и средства производства.
Понятие о химико-технологическом процессе
Химическая промышленность дает народному хозяйству огромное количество продуктов, без которых невозможна жизнь современного общества. Сюда входят моторные топлива, масла, горючие газы, кислоты, смолы, волокна, лаки, краски и т.д.
Важнейшая задача химической технологии - отыскание оптимальных условий для экономически целесообразного осуществления химической реакции в виде технологического процесса.
Химико-технологический процесс - это процесс получения целевого продукта начиная с этапа подготовки сырья и заканчивая выделением этого целевого продукта.
Химико-технологический процесс складывается из трех стадий:
1) подвод реагентов в зону реакции при помощи абсорбции, адсорбции, конденсации паров, плавлением, растворением и др. (осуществляется, как правило, с использованием физических процессов (механических, гидромеханических, тепловых, массообменных));
2) химические реакции - основа процесса (в ходе этого происходит глубокое изменение структуры, состава и свойств веществ, участвующих в нем);
3) отвод продуктов из зоны реакции за счет диффузии или перевода вещества из одной фазы в другую. Стадия выделения целевого продукта для большинства химических производств является необходимой. Технологический процесс, в котором достигается абсолютная селективность и 100% -ный выход целевого продукта, просто экономически невыгоден. Возрастают расходные коэффициенты, энергетические затраты, вследствие чего стоимость продукта резко возрастает, и тогда товар теряет своего потребителя.
Классификация химико-технологических процессов
Основой классификации химико-технологических процессов является:
• способ организации процесса (т.е. по параметрам технологического режима);
По способу организации химико-технологические процессы могут быть периодическими, непрерывными и комбинированными. При этом комбинированные процессы могут характеризоваться непрерывным поступлением сырья и периодическим отводом продукта или наоборот.
• кратность обработки сырья (т.е. по методам обработки);
По кратности обработки сырья различают процессы с открытой, закрытой (циркуляционной) и комбинированной схемами. В процессах с закрытой схемой требуется неоднократный возврат непрореагировавшего сырья в зону химического взаимодействия до того момента, как оно превратится в конечный продукт.
• вид используемого сырья;
По виду используемого сырья химико-технологические процессы условно подразделяют на процессы, использующие минеральное сырье или сырье животного, растительного происхождения.
• агрегатное состояние веществ, участвующих в реакции (т.е. по фазовому состоянию реагентов);
По агрегатному состоянию веществ, участвующих в химической реакции, различают гомогенные и гетерогенные химико-технологические процессы.
Гомогенными процессами называют такие, в которых все реагирующие вещества находятся в одной какой-нибудь фазе: газовой (г), твердой (т), жидкой (ж). В этих процессах реакция обычно протекает быстрее. В целом, механизм всего технологического процесса в гомогенных системах проще, соответственно проще и управление процессом. По этой причине на практике часто стремятся к гомогенным процессам, т.е. переводят реагирующие компоненты в какую-либо одну фазу.
В гетерогенных процессах участвуют вещества, находящиеся в разных состояниях (фазах), т.е. в двух и трех фазах.
К гетерогенным процессам относятся, например, горение (окисление) твердых веществ и жидкостей, растворение металлов в кислотах и щелочах и др.
• по фазовому состоянию продуктов реакции
• тепловой эффект химической реакции;
По тепловому эффекту химической реакции различают экзотермические и эндотермические процессы.
Химические процессы, которые протекают с выделением теплоты, называются экзотермическими.
Химические процессы, протекающие с поглощением теплоты, называются эндотермическими. Количество выделяемой или поглощаемой при этом теплоты называют тепловым эффектом процесса (теплотой процесса).
• направление протекания;
По направлению протекания химико-технологические процессы подразделяют на обратимые и необратимые.
Теоретически все химические реакции обратимы. В зависимости от условий они могут протекать как в прямом, так и в обратном направлениях.
В необратимых процессах равновесие в реакциях полностью смещается в сторону продуктов реакции, а обратная реакция, как правило, не протекает.
Во всех обратимых процессах устанавливается равновесие, при котором скорости прямого и обратного процессов уравниваются, в результате чего соотношение между компонентами во взаимодействующих системах остаются неизменными до тех пор, пока не изменятся условия протекания процесса.
• тип основной химической реакции (т.е. по характеру химических реакций);
В зависимости от типа основной реакции химико-технологические процессы подразделяют на процессы разложения (диссоциации), нейтрализации, замещения, обмена, окисления, восстановления, присоединения (синтеза).
Процессы разложения, наиболее характерные для технологии органических веществ, сопровождаются образованием более простых, чем исходное сырье веществ. Процессы нейтрализации между веществом, имеющим свойства кислоты и веществом, имеющим свойства основания, приводят к образованию веществ, теряющих характерные свойства обоих соединений. Процессы присоединения сопровождаются синтезом более сложных по сравнению с исходными веществами.
• условия протекания.
По условиям протекания химико-технологические процессы подразделяют на электрохимические, каталитические, фотохимические, радиационно-химические.
Электрохимические процессы
Электролиз нашел широкое промышленное применение: извлечение и очистка металлов, нанесение гальванических покрытий, анодирование и получение многих веществ.
Электролизом получают алюминий, цинк, частично медь и другие металлы. Медь, цинк и другие металлы можно очистить с помощью электролиза. Такой процесс называется рафинированием.
Нанесение покрытия (электроосаждение) осуществляется на катоде. Катод в этом случае погружается в электролит, содержащий ионы электроосаждаемого металла. В качестве же анода используется электрод из того металла, которым наносят покрытие.
Анодирование или анодное оксидирование- это образование на поверхности металла слоя его оксида при электролизе. Этому процессу обычно подвергают сплавы на основе легких металлов. При этом, на одном и том же металле можно получать фазовые оксиды с разной структурой, а, следовательно, и с различными свойствами (твердость, окраска, электрическая проводимость т.д.).
Каталитические процессы
Основу каталитических процессов составляет катализ - наиболее эффективное и рациональное средство ускорения многих химических реакций.
Катализом называется увеличение скорости химических реакций или их возбуждение при действии веществ-катализаторов, которые участвуют в реакции, вступая в промежуточные химические взаимодействия с реагентами, но затем восстанавливают свой химический состав после окончания акта (действия) катализа.
В качестве катализаторов в промышленности чаще всего применяют платину, железо, никель, кобальт и их оксиды, оксид ванадия (V), алюмосиликаты, некоторые минеральные кислоты и соли. Все каталитические реакции относятся к самопроизвольным процессам. Со временем катализатор изменяется и после определенного срока может полностью необратимо потерять свою активность.
Прогрессивные химико-технологические процессы
Радиационно-химическую технология.
За последние два десятилетия сформировалась новая область химической технологии - радиационно-химическая технология (РХТ). Ее предшественницей следует считать ядерную технологию, интенсивное развитие которой (с начала 40-х годов) стимулировалось необходимостью срочного решения ряда задач, связанных с практическим использованием атомной энергии.
Целью радиационно-химической технологии является разработка методов и устройств для наиболее экономичного осуществления с помощью ядерного излучения физических, химических и биологических процессов, позволяющих получать новые материалы или придавать им улучшенные свойства, а также для решения экологических проблем. Выделение этого направления в отдельную область технологии обусловлено, прежде всего, особенностью действия ионизирующего излучения на вещество.
Основные преимущества радиационно-химической технологии можно сформулировать следующим образом:
• возможность получения уникальных материалов, производство которых другими способами невозможно;
• высокая чистота получаемых продуктов;
• смягчение условий проведения процесса (температуры, давления);
• возможность регулирования скорости процесса за счет изменения интенсивности излучения и, следовательно, легкость автоматизации процесса;
• возможность замены в некоторых случаях многостадийных процессов синтеза одностадийными.
Радиационно-химические процессы обуславливаются энергией возбужденных атомов, ионов, молекул.
Энергия ионизирующего излучения превышает в сотни тысяч раз энергию химических связей. Механизм радиационно-химических процессов объясняется особенностями взаимодействия излучений с реагирующими веществами.
В качестве источников ионизирующего излучения используются потоки заряженных частиц большой энергии (электроны, частицы, нейтроны, излучение).
Выделим достоинства ионизирующего излучения:
• высокая энергетическая эффективность излучения, приводящая к тому, что по сравнению с традиционными видами технологии радиационная технология является в целом энергосберегающей;
• высокая проникающая способность излучения, исходя их этого, излучение наиболее эффективно использовать для обработки блочных материалов и изделий, при стерилизации биомедицинских материалов в упаковке, получении древесно-пластмассовых и бетонополимерных композиций;
• излучение представляет собой легко дозируемое средство обработки материалов и не загрязняет продукцию.
В настоящее время разработаны и находятся в различных стадиях опытно-промышленной реализации более пятидесяти процессов радиационно-химической технологии, например:
• радиационная полимеризация и сополимеризация, включающая получение древесно-полимерных и бетон-полимерных материалов, радиационное отверждение покрытий;
• радиационное сшивание полимеров и радиационная вулканизация эластомеров;
• радиационно-химический синтез (радиационное хлорирование, сульфохлорирование углеводородов);
• радиационное модифицирование неорганических материалов (улучшение адсорбционных и каталитических характеристик, радиационное легирование);
• радиационная очистка сточных вод.
Сегодня наблюдается явное смещение интересов использования ионизирующих излучений: от получения продуктов с уникальными и улучшенными свойствами к экономии сырья и энергии.
Фотохимические процессы
Фотохимические процессы - это химические реакции, протекающие под действием светового излучения или вызываемые им.
Механизм фотохимических процессов основан на активизации молекул, реагирующих веществ при поглощении света.
В зависимости от роли и характера влияния светового луча фотохимические процессы разделяют на три группы:
1) Реакции, которые могут самопроизвольно протекать после поглощения реагентами светового импульса. Для этих процессов свет играет роль возбудителя и инициатора. При обычных условиях эти процессы протекают крайне медленно, но световое облучение их значительно интенсифицирует.
2) Процессы, для проведения которых необходим непрерывный подвод световой энергии к реагентам.
3) Процессы, в которых световой импульс, воздействуя на катализатор, активизирует его и способствует интенсификации химической реакции.
Основные достоинства фотохимических процессов по сравнению с традиционными химическими воздействиями можно сформулировать следующим образом:
• возможность получения уникальных материалов, производство которых другими способами невозможно или экономически нецелесообразно;
• стерильность светового излучения и высокая чистота получаемых продуктов;
• смягчение условий проведения процесса (температуры, давления);
• возможность регулирования скорости процесса за счет изменения интенсивности светового потока и, следовательно, легкость автоматизации процесса;
• возможность замены в некоторых случаях многостадийных процессов синтеза одностадийными.
Фотохимические процессы находят широкое применение в органической химической технологии при синтезе новых химических соединений.
Плазменные технологии
Плазменные технологии основаны на обработке сырья и полупродуктов концентрированными потоками энергии. Ныне известно более 50 таких технологий. Сформировалась и научная база этой группы технологий - плазмохимия, изучающая процессы, протекающие при среднемассовой температуре рабочего газа 8000 - 10000°С.
Техника плазменных технологий - это генераторы низкотемпературной плазмы - плазмотроны, единственные установки, позволяющие с высоким тепловым КПД (80 - 90%) осуществлять непрерывный регулируемый нагрев газа до столь высоких температур. Химия, металлургия, машиностроение - вот основные сферы применения плазменных технологии.
Плазменные технологии в металлургии. Традиционные процессы здесь давно себя исчерпали, и ни техническое совершенствование агрегатов, ни их дальнейшее укрупнение уже не приносят сколько-нибудь существенного экономического эффекта. Вместо доменных печей для процесса восстановления железа вполне можно использовать плазмотроны. Кстати, это будут и компактные, и весьма производительные агрегаты - ведь процесс там будет идти при температуре не 800°С, а при гораздо более высокой. Добавим, что плазменные технологические процессы а отличие от традиционных экологически чистых, не выделяют в окружающую среду сернистых и иных вредных газов.
На базе плазменных методов можно организовать эффективную разработку бедных, так называемых забалансовых месторождений минеральных удобрений, в частности фосфоритов. Речь идет о способе азотнокислотной экстракции фосфоритов, причем азотную кислоту предлагается получать плазменным способом непосредственно из воздуха.
Важная особенность плазменных процессов заключается в том, что при высоких температурах химические реакции идут иначе, чем обычно. А это значит, что в плазмотронах можно получать материалы с новыми свойствами, в том числе принципиально новые - композитные. В разных отраслях успешно используется метод плазменного напыления - нанесения на поверхность деталей упрочняющих, термостойких, антикоррозионных, защитных, декоративных и других покрытий. Такие покрытая позволяют улучшить качество, повысить ресурс и надежность машин. Методом плазменного напыления можно восстанавливать изношенные поверхности деталей.
Благодаря плазменному упрочнению винты, изготовленные из обычной углеродистой стали, служат в несколько раз дольше винтов, чьи лопасти сделаны из превосходной легированной стали.
На базе плазменной технологии можно организовать резку стальных плит толщиной до 25 см и плит из цветных металлов толщиной 10-15 см. В принципе можно резать плиты и больших толщин - для этого нужно существенно повысить величину тока электрической дуги в плазмотроне и ресурс катодного узла. Институт теплофизики СО АН СССР предложил способы решения этой проблемы и создал проект соответствующего плазмотрона.
Назовем еще несколько областей применения плазменных технологий.
Газификация каменных и бурых углей, сланцев и торфа позволяет не только перерабатывать малокалорийное топливо в высококалорийное, но и получать ацетилен - исходный продукт для производства полимеров.
При высокой температуре в струе плазмы происходит разложение отходов на элементы с последующим Синтезом новых продуктов. Так открывается путь к безотходным экологически чистым технологиям.
Розжиг и стабилизация горения пылеугольного топлива в топках электростанций,
Запуск с помощью плазменных установок газотурбинных двигателей на перекачивающих станциях трансконтинентальных нефтепроводов - также работа для плазмотронов.
Ультразвуковой техники и технологии.
Внедрение ультразвуковой техники и технологии позволяет автоматизировать и ускорить различные технологические процессы, повышать производительность труда улучшить качество продукции.
Ультразвук обладает способностью концентрировать колоссальную энергию, которая может преобразовываться в тепловую, химическую, механическую. Энергия ультразвуковых волн в миллиарды раз больше энергии слышимых звуков.
Широкое применение в современной технике и технологии приборов, основанных на использовании энергии ультразвуковых волн. Является одним из факторов технологического прогресса.
Ультразвук используется при сварке и пайке, закалке и отпуске, размеренной обработке твердых материалов, очистке металлических изделий от накипи и загрязнений, получении однородных горючих смесей, при сушке различных материалов, очистка воздушных потоков и сточных вод от загрязняющих примесей.
В исследовательской практике ультразвук используется для обнаружения внутренних дефектов металлов, определения концентрации различных веществ, непрерывного контроля за изменением их плотности и температуры.
В медицине с помощью ультразвука ставят диагнозы, лечат воспалительные процессы, очищают раны, режут ткани, скрепляют переломы костей, лечат зубы, сваривают сосуды и бронхи.
Ультразвуковой метод обработки относится к механическому воздействию на материал, и назван так потому, что частота ударов соответствует диапазону неслышимых звуков с частотой 16-105 кГц.
Физическая сущность. Звуковые волны являются упругими механическими колебаниями, которые могут распространятся только в упругой среде в отличия от электромагнитных колебаний. При распространении звуковой волны в упругой среде материальные частицы совершают упругие колебания около своих положений равновесия (со скоростью, называемой колебательной). Сгущение и разрежение среды в продольной волне характеризуется избыточным (звуковым) давлением.
Скорость распространения звуковой волны зависит от плотности среды, в которой движется волна, чем жестче и легче материал, тем больше скорость звуковой волны.
При распространении с материальной среде звуковая волна переносит определенную энергию, которая может использоваться в технологических процессах.
Преимущества ультразвуковой обработки:
• возможность получения акустической энергии различными технологическими приемами;
• широкий диапазон технологического применения - от размерной обработки до получения неразъемных соединений (сварка);
• простота эксплуатации и автоматизации промышленных установок.
К недостаткам относятся:
• высокая стоимость акустической энергии;
• необходимость изготовления спец. установок для генерации ультразвуковых колебаний, их передачи и распространения.
Ультразвуковые колебания сопровождаются рядом эффектов, которые могут быть использованы как базовые для разработки различных процессов.
Критерии эффективности химико-технологического процесса (ХТП)
Совершенствование химических производств.
Успехи химической промышленности, перспективы развития, ее роль в народном хозяйстве и обеспечении качества жизни населения зависят от уровня научных и технологических исследований.
Основные направления развития химической промышленности состоят:
в поиске новых соединений и материалов,
в повышении эффективности производства химической продукции.
Эффективность по существу определяется экономикой, и ее повышение обеспечивается:
А) снижением затрат:
на сырьё и материалы
на энергию,
на капитальные вложения
Б) повышением производительности труда.
В) разработкой вопросов охраны труда и окружающей среды
Для повышения эффективности ХТП:
А) инженерные приемы:
рекуперация энергии
использование тепла с помощью котлов-утилизаторов
оптимизация технологических схем разделения и выделения продуктов по минимуму затрат
улавливание и рекуперация отходов и др.
Б) открытие новых реакций и каталитических систем (наиболее кардинальная мера)
В) выяснение детального механизма протекающих реакций, позволяющее найти пути осуществления процесса с максимальной эффективностью.
Использование химических приемов при решении инженерных задач характерно для российской школы химиков-технологов. Это связано со сложившейся системой высшего химико-технологического образования, которое включает наряду с инженерной достаточно глубокую химическую подготовку. Этим российская система подготовки инженеров-технологов отличается от западноевропейской и американской, которые готовят отдельно химиков и инженеров-технологов. Поддержание традиций российской высшей инженерной школы, положительно влияющих на качество инженерных решений ее выпускников, во многом зависит от направленности школьного химического образования, которое должно в большей степени уделять внимание задачам химической технологии и путям их эффективного решения.
Рассмотрим некоторые удавшиеся подходы к решению задач повышения эффективности химической промышленности путем использования результатов исследований по установлению детального механизма протекания химических реакций и достижений в области химии и катализа.
А) кумольный метод получения фенола и ацетона [1] (создатели: советские химики-технологи П.Г. Сергеева, Б.Д. Кружалова и Р.Ю. Удриса, 1949 г).
Ранее основными источниками фенола (промежуточного продукта промышленного органического синтеза) были:
фенол, выделяемый из продуктов коксования каменного угля,
и синтетический фенол, получаемый из бензола через промежуточный синтез продуктов хлорирования или сульфирования:

Ни один из этих источников не мог обеспечить возрастающие потребности химической промышленности из-за ограниченности ресурсов каменноугольного фенола и неприемлемости приведенных выше путей синтеза для организации крупнотоннажных производств. Последнее связано с:
большим расходом сырья (хлор, щелочь, серная кислота), попадающего в конечном итоге в отходы (загрязненные фенолом смолы, разбавленная серная кислота со стадии сульфирования),
и жесткими условиями синтеза (до 3500 С и 100 атм при щелочном гидролизе). Другими словами, при промышленном использовании реакций (1) и (2) в себестоимости продукта неприемлемо высока доля стоимости сырья (хлор, щелочь, серная кислота не попадают в конечный продукт, а полностью оказываются в отходах), капитальных затрат (объемное, малопроизводительное и дорогостоящее оборудование) и энергетических затрат (высокие температуры и давление). Чрезмерно велико также вредное воздействие отходов на окружающую среду.
Новый химический путь совместного синтеза фенола и ацетона, разработанный П.Г. Сергеевым, Б.Д. Кружаловым и Р.Ю. Удрисом, оказался значительно более технологичным и экономически эффективным:

Он базируется на доступном нефтехимическом сырье (бензол, пропилен), характеризуется высокой селективностью каждой стадии, мягкими условиями их проведения (100-1200 С) и относительно небольшим количеством отходов по сравнению с рассмотренными выше путями синтеза (в отходы попадают катализатор (AlCl3 ), смолообразные продукты). При первой промышленной реализации (1949 год) выход фенола составил 92%. В последующем этот способ синтеза фенола и ацетона получил распространение во всем мире и инженерно-технологическое совершенствование каждой стадии позволило повысить общий выход фенола до 97%. Тем не менее проблема отходов в этом процессе до сих пор полностью не решена. Вместе с тем новый химический путь синтеза (3) позволил существенно повысить экономическую эффективность за счет значительного сокращения расходов на сырье, энергию и оборудование.
Б) синтез ацетальдегида и винилацетата (важный мономер) [2] (Дж. Смита (J. W. Smidt) и академика И.И. Моисеева, 1960 год) - пример кардинального решения технологической задачи путем открытия новой каталитической системы для осуществления новой реакции
Ранее эти важные продукты органического синтеза получали в промышленности из ацетилена.
Ацетальдегид - по реакции Кучерова:
С2 Н2 + Н2 О - Hg → CH3 CHO (4)
а винилацетат - по гетерогенно-каталитической реакции (Zn (OAc) 2 на активированном угле) ацетилена с уксусной кислотой:
C2 H2 + CH3 COOH → CH3 COOCH=CH2
Недостатком этих процессов является:
использование в качестве исходного сырья ацетилена, получаемого электрокрекингом или пиролизом метана (1200-1500о С) или из карбида кальция.
Все эти процессы отличаются высокой энергоемкостью, что существенно повышает стоимость ацетилена.
наличие экологических проблем (отходы карбидного ацетилена, соединения ртути в реакции Кучерова).
В новой схеме (по Смиту и Моисееву) базировались на более дешевом нефтехимическом этилене и основаны на следующих суммарных стехиометрических реакциях:
C2 H4 + 0,5O2 → CH3 CHO (6); C2 H4 + 0,5O2 + CH3 COОН → CH3 COОСН=СН2 + Н2 О (7)
Эти неизвестные ранее реакции были реализованы Смитом и Моисеевым с помощью специально разработанной новой каталитической системы на основе соединений палладия и меди. Научно обоснованный выбор каталитической системы (а не случайный, что было характерно для многих открытых ранее катализаторов) стал возможен благодаря имевшимся к тому времени достижениям в химии комплексных соединений и металлокомплексном катализе. В основе каталитических превращений этилена в ацетальдегид и винилацетат лежат следующие превращения этилена в координационной сфере катализирующего реакцию комплекса палладия.
В водной среде образуется ацетальдегид:

В среде уксусной кислоты в результате аналогичных превращений получается винилацетат:

Для перевода катализатора в исходную форму необходимо окислить палладий (Pd0 PdII ), что легко достигается с помощью солей CuII :
![]()
Однохлористая медь, в свою очередь, переводится обратно в CuII окислением кислородом воздуха:
2HCl + 2CuI Cl + 0,5O2 → H2 O + 2CuII Cl2 ( 11)
Сложение всех реакций дает написанные выше суммарные стехиометрические реакции окисления этилена до ацетальдегида и винилацетата. Обе реакции протекают в мягких условиях (100-180о С) и с высокой селективностью. Малое количество отходов и низкая цена этилена по сравнению с ацетиленом способствовали быстрому и масштабному внедрению этих процессов в промышленность.
Крупнотоннажный органический синтез
Благодаря достижениям каталитической химии в промышленности крупнотоннажного органического синтеза за последние десятилетия нашли применение многие новые реакции, существенно повышающие эффективность производства за счет использования дешевого сырья и высокой селективности этих реакций. Среди наиболее успешных примеров можно привести следующие.
Синтез уксусной кислоты карбонилированием метанола с использованием гомогенного родиевого катализатора с йодистым (CH3 I) промотором:
![]()
Селективность (или доля полезного использования израсходованного сырья) в этой реакции превышает 98% [1].
2. Совместное производство стирола и оксида пропилена с использованием трех последовательных реакций, включающих окисление этилбензола до его гидропероксида:
C6 H5 C2 H5 + O2 → C6 H5 CHOOHCH3, (13)
эпоксидирование пропилена гидропероксидом при катализе комплексами молибдена:

и каталитическую (Al2 O3 ) дегидратацию образующегося метилфенилкарбинола до стирола:
C6 H5 CHOHCH3 →C6 H5 CH=CH2 + H2 O (15)
Сложение реакций (13) - (15) дает суммарный процесс:

Селективность образования оксида из пропилена достигает в этом процессе 97%, а стирола из этилбензола - 90% [1].
В рассмотренных ниже реакциях (3-21) эффективность ХТП обеспечивается доступностью сырья, высокой селективностью, полным использованием атомов исходных реагентов в молекулах конечных продуктов (если не считать воды, образующейся в реакциях (7), (16), (17)
3. Синтез акрилонитрила окислительным аммонолизом пропилена на гетерогенном висмутфосформолибденовом катализаторе (Bi2 O3 ∙ 2MoO3 ∙ P2 O5 ):
CH2 =CHCH3 + 1,5O2 + NH3 → CH2 =CHCN + 3H2 O (17)
В этом процессе селективность образования акрилонитрила из пропилена - 85%. Однако побочно образующиеся из пропилена синильная кислота и ацетонитрил также являются товарными продуктами, что приближает полезное использование пропилена к 100% [1].
4. Синтез a-олефинов олигомеризацией этилена на металлокомплексном катализаторе:
(n + 2) CH2 =CH2 → CH3 CH2 (CH2 CH2 ) nCH=CH2 ( 18)
По этой реакции получают широкую фракцию α-олефинов С8 -С20 . Для получения пользующейся спросом в производстве моющих средств фракции С8 -С10 высокомолекулярные α-олефины подвергают каталитической изомеризации, в результате которой двойная связь смещается в среднюю часть молекулы (~CH=CH~). Из высших олефинов с внутренним расположением двойной связи необходимую фракцию α-олефинов (С8 -С10 ) получают по гетерогеннокаталитической (WO3/ Al2 O3 ) реакции метатезиса с этиленом:

Суммарная селективность получения необходимой фракции α - олефинов превышает 95% [3].
5. Новый промышленный синтез метилметакрилата из метилацетилена, являющегося отходом пиролизных производств:
CH3 C≡CH + CO + CH3 OH → C6 H5 CH2 =C (CH3 ) COOCH3 (20)
Реакция протекает при катализе гомогенными комплексами палладия с селективностью 99% [4].
6. Производство уксусного ангидрида по реакции карбонилирования метилацетата при катализе комплексами палладия:
CH3 COOCH3 + CO → (CH3 CO) 2 O (21)
Селективность образования ангидрида по этой реакции превышает 98% [3].
Использование именно таких реакций в промышленности является кардинальным методом решения проблемы создания безотходных и малоотходных химических производств. Проблемы рекуперации отходов, поиска путей их утилизации, очистки сточных вод, содержащих параллельно образующиеся при синтезе ненужные и вредные вещества (см. реакции (1) и (2)), при этом просто отпадают.
малотоннажная химия: производство
красителей,
вспомогательных веществ различного назначения,
лекарственных препаратов,
витаминов,
фотоматериалов
реактивов
всё это в настоящее время наиболее грязные химические производства (количество отходов составляет 100 кг на 1 кг продукции, при этом в выше рассмотренных многотоннажных - 0,01-0,05 кг на 1 кг продукции).
Это связано с:
многостадийностью синтезов;
применением в них избытка одного из реагентов без регенерации;
с широким использованием приемов введения различных групп (Cl, NO2 , SO3 и т.п.) только для того, чтобы заместить их потом на другие;
с применением методов очистки продуктов путем нейтрализации и подкисления с параллельным образованием солей;
с использованием стехиометрических количеств таких окислителей, как перманганат или бихромат калия и т.п.
Применение таких методов вполне допустимо в лабораторном синтезе, когда целью его является получение желаемого продукта в возможно более короткий срок.
Промышленной реализацией многостадийных малотоннажных процессов занимались инженеры-технологи совместно с химиками-синтетиками, получавшими требуемый продукт в лаборатории. В результате были созданы производства, похожие на укрупненные лабораторные установки с той же химической основой и теми же отходами. Специалисты в области катализа в большинстве своем не знают проблем тонкого органического синтеза, поскольку не сталкивались с ними ни во время своей творческой деятельности, ни в период обучения. Корректировка учебных планов подготовки специалистов с целью углубления инженерного образования у химиков и химического у инженеров, в том числе и более глубокое рассмотрение вопросов химической технологии в школьном курсе химии, несомненно, приведет в перспективе к прогрессивным сдвигам в области повышения эффективности химических производств. Какое огромное поле деятельности открывается здесь для совершенствования малотоннажных химических процессов, показывают немногочисленные, но эффектные примеры недавнего успешного применения последних достижений в катализе для совершенствования промышленного производства продуктов тонкого органического синтеза.
Среди них рассмотрим новые процессы синтезов алкиламиномеркаптобензотиазолов (компонентов резиновых смесей), п -фенилендиамина (полупродукта полимерной химии и химии красителей) и ибупрофена (препарата для лечения ревматизма) [4].
А) Синтез алкиламиномеркаптобензотиазолов
Традиционный многоотходный путь синтеза алкиламиномеркаптобензотиазолов (или R'SNHR), где R - алкильные радикалы различного строения

состоит в введении хлора в исходный реагент с последующим замещением и попаданием его в отходы:

Использование новой реакции, в которой в качестве катализатора применяют активированный уголь, позволяет синтезировать эти продукты с полным использованием всех атомов исходных реагентов в конечном продукте, высокой селективностью и как следствие без отходов:
R'SH + RNH2 + 0,5 O2 - С → R'SNHR + H2 O (23)
Фенилендиамин традиционно получали нитрованием хлорбензола с последующим замещением хлора аммиаком и восстановлением нитрогруппы:

Новая безотходная технология основана на использовании известной реакции окислительного ароматического замещения, в которой обычно применяемые неорганические окислители заменены на кислород:

Обработка продукта реакции (25) аммиаком в метанольном растворе приводит к образованию п -нитроанилина с регенерацией амида бензойной кислоты:

Сложение реакций (25) и (26) дает суммарный процесс безотходного синтеза п-нитроанилина, гидрированием которого получают требуемый фенилендиамин:
![]()
Б) синтез ибупрофена
Новый промышленный трехстадийный синтез ибупрофена с использованием известных каталитических реакций крупнотоннажной химии реализован недавно фирмой "Hoechst-Celanese". Первая стадия состоит в ацилировании изобутилбензола уксусным ангидридом в растворе жидкого фтористого водорода, который является растворителем и катализатором. Параллельно образующаяся при этом уксусная кислота представляет собой в этом процессе единственный побочный продукт:

Последующие реакции каталитического гидрирования и карбонилирования дают ибупрофен с высокой селективностью и полным использованием атомов исходных реагентов в конечном продукте:

Традиционный синтез ибупрофена исходит также из изобутилбензола, но состоит из шести стадий, включающих ацилирование со стехиометрическим количеством AlCl3 , получение хлор - и азотсодержащих промежуточных продуктов, параллельное образование хлористого натрия и сульфата аммония. Общее количество отходов превышает при этом количество конечного продукта более чем в 15 раз. После организации нового процесса по реакциям (28), (29) старое производство было немедленно закрыто.
В заключение рассмотрим пример, иллюстрирующий повышение эффективности производства, достигнутое благодаря результатам исследований по установлению детального механизма реализуемых в промышленности реакций. Этиленгликоль, используемый в качестве антифриза и сырья для волокна и пластмасс, производится в количестве нескольких миллионов тонн в год по реакции гидратации оксида этилена:

Наряду с этиленгликолем в результате последовательных реакций образуются ди-, три- и полигликоли, имеющие более ограниченное применение:

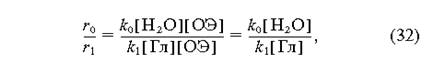
Реакции протекают при отсутствии катализаторов при 160-180о С. При этом константа скорости реакций гликолей (Гл) с оксидом этилена (ОЭ) (k1 в кинетическом уравнении r1 = k1 [Гл] [ОЭ]) в 2,3 раза превышает константу скорости основной реакции (k0 в кинетическом уравнении r0 = k0 [H2 O] [ОЭ]). Селективность образования гликоля определяется отношением скоростей основной и побочной реакций

которое, как видно из приведенного уравнения, зависит от отношения констант (k0/ k1 ) и отношения концентраций ([H2 O] / [Гл]). Последнее тем выше, чем выше исходное мольное отношение вода: оксид этилена. Для получения приемлемого выхода этиленгликоля (90%) в промышленном некаталитическом процессе приходится использовать большой избыток воды по отношению к оксиду этилена (исходное мольное отношение [H2 O] 0/ [ОЭ] 0 = 18, или не более 12 вес. % оксида этилена в исходном водном растворе). На стадии выделения гликолей вся избыточная вода (9 т на одну тонну гликолей) подлежит выпарке после реакции, что требует значительных энергетических затрат.
Уменьшить эти затраты можно путем применения селективного катализатора, существенно ускоряющего основную реакцию и не оказывающего влияния на скорость побочных реакций гликолей с оксидом этилена. При этом скорость основной реакции будет пропорциональна концентрации катализатора (Кат), а приведенное выше отношение скоростей основной и побочной реакций для каталитического процесса будет иметь вид

Как следует из этого выражения, отношение [H2 O] / [Гл] (или, что то же, [H2 O] 0/ [ОЭ] 0 ) можно уменьшить увеличив путем создания необходимой для этого концентрации катализатора. Так, если для некаталитической реакции при k0/ k1 = 1/2,3 = 0,435 90% -ный выход гликоля достигается при мольном отношении [H2 O] 0/ [ОЭ] 0 = 18, то для каталитической реакции при (k0 + k0 [Кат]) / k1 = 4,35 такой же выход гликоля будет получен при десятикратном снижении избытка воды и соответствующем снижении энергетических затрат на стадии выделения готового продукта.
Селективные катализаторы реакции гидратации оксида этилена удалось найти в результате недавно проведенных исследований детального механизма каталитических и некаталитических реакций оксида этилена в растворах [5]. Такими катализаторами оказались соли слабых кислот (CH3 COONa, HCOONa, NaHCO3 , Na2 CO3 , Na2 HPO4 и др.). Механизм катализа этими солями состоит в следующем. В водном растворе молекула оксида этилена активируется путем образования водородной связи с водой:

Смещение электронов связи C-O в образующемся комплексе к кислороду благоприятствует последующей нуклеофильной атаке молекулой воды на атом углерода с образованием этиленгликоля по некаталитической реакции:

Аналогичная нуклеофильная атака этиленгликолем приводит к образованию побочного диэтиленгликоля

Также образуются три-, тетра - и полигликоли.
В присутствии солей слабых кислот возможна нуклеофильная атака анионом, что приводит к промежуточному образованию соответствующего эфира этиленгликоля. Например:

Эти эфиры неустойчивы и быстро гидролизуются с образованием этиленгликоля и регенерацией аниона

Сложение двух последних реакций дает реакцию гидратации оксида этилена, селективно катализируемую анионом бикарбоната:

Поскольку скорость всего процесса лимитируется первой стадией, кинетическое уравнение каталитической реакции имеет вид или с учетом параллельно протекающей некаталитической реакции получаем уравнение, соответствующее приведенному выше уравнению (15):
![]()
или с учётом параллельно протекающей некаталитической реакции получаем уравнение, соответствующее приведённому выше уравнению (15):
![]()
На скорость побочных реакций (r1 ) нуклеофильный катализатор никакого влияния не оказывает, что создает условия для существенного повышения селективности.
Каждая соль слабой кислоты характеризуется своим значением каталитической константы, и, регулируя концентрацию катализатора [Кат], легко получить отношение, необходимое для требуемого выхода этиленгликоля при заданном исходном мольном отношении [H2 O] 0/ [ОЭ] 0 . Все эти данные позволяют найти условия осуществления промышленного процесса при низких мольных отношениях [H2 O] 0/ [ОЭ] 0 , обеспечивающих существенное снижение энергетических затрат (до десяти раз) на стадии выделения готового продукта. Успешная опытная проверка процесса позволила приступить к его промышленному осуществлению.
Валерий Федорович Швец, доктор химических наук, профессор Российского химико-технологического университета им.Д.И. Менделеева, зав. кафедрой технологии основного органического и нефтехимического синтеза. Область научных интересов: исследования в области кинетики, катализа и механизма органических реакций, моделирование и оптимизация на этой основе промышленных реакторов и технологических схем. Автор более 180 научных работ и трех учебников для вузов.
Биологические процессы, используемые в технологии
Биологические процессы, "подсмотренные" человеком в природе и реализованные в промышленном производстве, получили название биотехнологических.
Биотехнология представляет собой совокупность промышленных методов, в которых используются живые организмы и биологические процессы для производства различных продуктов.
Термин биотехнология возник еще в начале XX века, однако биотехнологические процессы человечество использует с глубокой древности. Можно выделить такие сферы практической деятельности человека, как хлебопечение, сыроварение, виноделие, силосование кормов, которые базируются на биотехнологических принципах. Выделяют две группы отраслей, которые охватывает биотехнология:
• отрасли, занятые производством промышленной продукции;
• производство продовольствия, выращивание дрожжей и бактерий для получения белков, аминокислот, витаминов; увеличение продуктивности сельского хозяйства; фармацевтическая промышленность, защита окружающей среды и уменьшение ее загрязненности (очистка сточных вод, переработка хозяйственных отходов, изготовление компоста).
Биотехнология - это новый этап современных биологических знаний и технологического опыта.
Возникнув на стыке различных направлений - микробиологии, биохимии, биофизики, генетики и других наук, базируясь на достижениях фундаментальных исследований, биотехнология стала одним из важнейших факторов развития общественного производства. Она создает возможность получения с помощью легкодоступных и возобновляемых ресурсов тех веществ и соединений, которые важны для жизни и благосостояния людей.
Биотехнология сегодня - это многопрофильная и комплексная отрасль производства. Она включает в себя:
• традиционную биотехнологию, основанную на реализации процессов брожения;
• современную биотехнологию, реализованную в процессах микробиологического синтеза, генетической и клеточной инженерии, инженерной энзимологии (белковой инженерии).
К достоинствам биологических процессов относится то, что они используют возобновляемое сырье (биомасса), протекают в мягких условиях (при комнатной температуре, нормальном давлении), с меньшим числом технологических стадий (этапов), их отходы доступны последующей переработке.
Особенно выгодно применение биотехнологических процессов (экономически и технологически) в случае производства относительно дорогих, но малотоннажных продуктов.
Брожение (ферментация) - процесс расщепления органических веществ, преимущественно углеводов, на более простые соединения под влиянием микроорганизмов или выделенных из них ферментов. Этот процесс может осуществляться как с участием кислорода (аэробный процесс), так и без участия кислорода (анаэробный процесс).
Известны различные типы брожения. Они классифицируются или по субстратам, которые подвергаются разложению (например, пектиновое брожение клетчатки и др.), или, чаще, по конечным продуктам: спиртовое, молочнокислое, пропионово-кислое, метановое брожение и др., протекающие в основном анаэробно.
Как сказано выше, одним из основных субстратов многих типов брожения служат углеводы, многостадийно расщепляющиеся в анаэробных условиях под действием ферментов.
Спиртовое брожение осуществляется в основном с помощью дрожжей ряда Saccharomyces и бактерий ряда Zimomonas и завершается образованием этилового спирта.
Этот вид брожения протекает в несколько стадий и используется для промышленного получения этанола (в основном из зерна ржи) - для алкогольных напитков, в виноделии, пивоварении и при подготовке теста в хлебопекарной промышленности.
В присутствии кислорода спиртовое брожение замедляется или вовсе прекращается.
Видоизмененным типом спиртового брожения является глицериновое брожение.
Молочнокислое брожение вызывается бактериями Lactobacillus и Streptococcus. Молочнокислое брожение имеет большое значение при получении различных молочных продуктов (кефир, простокваша и др.), квашении овощей (например, капусты), силосовании кормов для животных (в сельском хозяйстве). Пропионово-кислое брожение протекает под действием пропионово-кислых бактерий. Оно используется в молочной промышленности для изготовления многих твердых сыров.
Масляно-кислое брожение осуществляется бактерией ряда Clostridium и приводит к порче пищевых продуктов, вспучиванию сыра и банок с консервами. Раньше оно использовалось для получения масляной кислоты, бутилового спирта и ацетона.
Метановое брожение начинается с разложения сложных веществ, например целлюлозы, до одно - или двухуглеродных молекул (СО2, НСООН, СН3СООН и др.), которое осуществляют микроорганизмы, живущие в симбиозе (сожительство) с метанообразующими бактериями. Последние и синтезируют метан.
В природе метановое брожение встречается в заболоченных водоемах. Оно используется в промышленности и бытовых очистных сооружениях для обезвреживания органических веществ сточных вод. Образующиеся при этом метан в смеси с углекислым газом используется в качестве топлива.
Под действием некоторых аэробных микроорганизмов протекает брожение, при котором углеродный скелет исходного вещества (субстрата) не подвергается изменениям. К одному из таких видов брожения относится образование уксусной кислоты из этанола (уксуснокислое брожение) под действием т. н. уксуснокислых бактерий.
Микробиологический синтез (промышленная микробиология) - наука, изучающая промышленное получение веществ с помощью микроорганизмов.
Одна из важнейших проблем современности - восполнение дефицита белка на Земле. Чтобы получить необходимое количество белка, необходимо повысить продуктивность растениеводства и животноводства, организовать производство питательных веществ путем микробиологического синтеза. Эти задачи успешно решает промышленная микробиология.
Возможности микробиологической промышленности широко используются в медицине. Одним из мощных современных средств борьбы с инфекциями являются вакцины, производимые путем микробиологического синтеза.
В последнее время в мировой сельскохозяйственной практике все большее внимание уделяется биологическому методу защиты возделываемых культур от вредителей и болезней. Создаются новые бактериальные удобрения и безвредные для окружающей среды средства борьбы с насекомыми-вредителями.
Дальнейшее развитие промышленной микробиологии будет способствовать повышению эффективности общественного производства, и резервы у промышленной микробиологии есть: из 100000 видов микроорганизмов, которые известны человечеству, используется в настоящее время не более ста.
Основные задачи, решаемые промышленной микробиологией:
• обеспечение населения наиболее ценными продуктами питания;
• избавление человечества от опасных заболеваний;
• охрана окружающей среды и рациональное использование природных ресурсов;
• интенсификация производственных процессов в промышленности и сельском хозяйстве;
• разработка новых источников энергии.
Возможность использования микробиологических методов для решения проблем энергетики способствовало появлению и развитию такого направления как биоэнергетика. Уже в настоящее время микробиологическим путем удается получать необходимую энергию в виде газообразного топлива из биомассы (биогаз).
Все шире используются возможности промышленной микробиологии в горнорудной и металлургической промышленности. Наибольший практический опыт накоплен в области использования микроорганизмов для извлечения цветных металлов, урана и золота путем бактериального выщелачивания их из бедных или труднообогащаемых другими способами руд. Такой способ обеспечивает комплексное и более полное использование минерального сырья, повышает культуру производства, благоприятен для охраны окружающей среды.
Генетическая инженерия - принципиально новое научное направление биотехнологии, позволяющее создавать искусственные генетические структуры путем целенаправленного воздействия на материальные носители наследственности (молекулы ДНК). Применяя генно-инженерные методы, в принципе, возможно конструировать совершенно новые организмы по заранее заданному “чертежу".
Прикладное использование генетической инженерии привело к возникновению так называемой индустрии ДНК, к примеру, производство физиологических активных веществ белковой природы для медицинских и сельскохозяйственных нужд.
Уже есть ряд уникальных достижений генетической инженерии - промышленное производство интерферона, инсулина, гормона роста человека и т.д.
Весьма перспективен синтез генно-инженерными методами специальных микроорганизмов, производящих в больших количествах такие важные вещества, как аминокислоты, ферменты, витамины, стимуляторы иммунитета. Методы генетической инженерии могут быть использованы при решении задач биологической фиксации азота, повышения эффективности биологических методов защиты растений, создания новых сортов растений и пород животных. С помощью методов генетической инженерии вполне можно исправлять наследственные заболевания у человека, создавать стимуляторы регенерации тканей, которые можно использовать при лечении ран, ожогов, переломов.
Клеточная инженерия. Благодаря методам клеточной инженерии, появилось возможность производить ценные продукты в искусственных условиях (вне организма).
Используя клеточную инженерию, ученым удается конструировать новые высокоурожайные и устойчивые к болезням, неблагоприятным условиям среды ценные для народного хозяйства растения.
Выведены гибридные сорта картофеля, винограда, сахарной свеклы, томатов. Используя данную технологию, можно получать даже межвидовые гибриды: яблони с вишней, картофеля с томатом и т.д.
Не менее значительны успехи клеточной инженерии и в работе с животными клетками. Создаются банки замороженных эмбрионов высокопородистых животных с последующей их пересадкой обычным животным для последующего их выведения. Уже сейчас отработана технология получения за сезон до 15-20 высокопородистых телят от одной элитной коровы, вживляя на основе ее клеточного материала искусственные эмбрионы низкопородистым коровам.
Клеточная инженерия позволяет нарабатывать биологически активные вещества на основе крупномасштабного культивирования клеток человека или животных и даже получать популяции клеток того или иного органа, которые можно использовать для пересадок. Таким путем выращивают искусственную кожу, клетки печени и даже клетки нервной системы.
В последнее время клеточная инженерия совершила поистине революционный прорыв в области иммунологии. Методами клеточной инженерии разработан метод, по которому клетки лимфоцитов (один из основных факторов иммунной защиты организма) соединяют с опухолевой клеткой. Создаются так называемые гибридомы, которые начинают производить противоопухолевые антитела.
По чувствительности и избирательности они не имеют себе равных. Гибридомная технология открывает новую эру в иммунологии.
Не менее значительны успехи клеточной инженерии и в работе с животными клетками. Клеточная инженерия позволяет нарабатывать биологически активные вещества на основе крупномасштабного культивирования клеток человека или животных и даже получать популяции клеток того или иного органа, которые можно использовать для пересадок. Таким путем выращивают искусственную кожу, клетки печени и даже клетки нервной системы.
Инженерная энзимология - наука, разрабатывающая основы создания высокоэффективных ферментов для промышленного использования, позволяющих многократно интенсифицировать технологические процессы при снижении их энергоемкости и материалоемкости.
Энзимы (ферменты) являются универсальными белками-катализаторами, с помощью которых осуществляются все процессы в живой клетке. Они проявляют исключительно высокую каталитическую активность, значительно превосходящую активность катализаторов небиологического происхождения.
Ферменты наиболее широко используются при производстве сахара для диабетиков, некоторых гормональных препаратов, используемых в медицине. Весьма перспективны ферменты в химической промышленности, при получении тканей, кож, бумаги, других синтетических материалов.
При этом использование ферментов не только позволит качественно усовершенствовать технологию, но и будет способствовать решению проблемы очистки окружающей среды.
Ферменты успешно используются в технологических процессах пищевой промышленности, в частности, для получения глюкозно-фруктозного сиропа, глюкозы из крахмала, улучшения качества молока и ряде других производств.
Химическое равновесие в химико-технологическом процессе
Равновесие в химико-технологическом процессе и оценка возможностей его смещения. Применение принципа Ле-Шателье и правила фаз для определения параметров технологического режима.
Теоретически все реакции обратимы и стремятся к равновесию, т.е. готовый продукт распадается на исходные вещества, поэтому необходимо сдвинуть равновесие вправо, в сторону образования продуктов. Это можно сделать, изменив температуру, давление, концентрации исходных веществ или продуктов, предпочтительнее откачка последних.
Скорость технологических процессов определяет производительность аппаратов и их количество. Скорость процесса можно увеличить за счет увеличения температуры, увеличения концентрации исходных веществ и давления, увеличением поверхности соприкосновения фаз и применения катализатора.
Гомогенные процессы протекают в однородной среде, но, практически, всегда есть примеси.
Гетерогенные процессы характеризуются наличием двух и более взаимодействующих фаз.
Абсорбция - поглощение газов жидкостями с образованием растворов (получение кислот, улавливание продуктов нефтепереработки), обратный процесс - десорбция.
Адсорбция - поглощение газов и жидкостей твердыми поглотителями - очистка газов, улавливание летучих растворителей.
Перегонка жидких смесей - дистилляция (простое разделение) и ректификация (многократный процесс) - основаны на испарении летучих жидкостей и конденсации. Разделение осуществляется за счет разных температур кипения компонентов смеси.
Широко применяется в нефтепереработке.
Пиролиз - термическая переработка горючих материалов для доступа воздуха (крекинга, коксование).
Полимеризация - химическое соединение молекул мономера в одну макромолекулу полимера.
Экстрагирование - избирательное растворение, применяется для очистки различных продуктов.
Диспергирование - рассеивание одного вещества в другом - производство паст.
Эмульгирование - получение эмульсий, т.е. систем, состоящих из двух несмешивающихся жидкостей.
Каталитические процессы повышают скорость в тысячи и миллионы раз, улучшают качество продукции. В качестве катализаторов применяется большинство элементов периодической системы и их соединений, для каждой реакции необходимо подбирать свои катализаторы. Суть ускоряющего действия катализаторов состоит в понижении энергии активизации химической реакции. Качество продукции повышается из-за селективного (избирательного) действия катализатора, ускоряющего основную реакцию и подавляющего побочные.
Контактные аппараты - реакторы, использующие катализатор (контактную массу).
Аппараты поверхностного контакта используют медь, серебро, платину в виде стружки, трубок, сеток. В аппаратах с фильтрующим (стационарным) слоем используют катализатор, способным длительное время не терять активность и не отравляться (платина).
В аппаратах с движущимся или кипящим слоем можно использовать более дешевый катализатор, который работает всего несколько минут (часов), но затем быстро восстанавливается (регенерируется). В таких аппаратах получают высокооктановые компоненты бензина, сырье для химической промышленности.
Литература
1. Лебедев Н.Н. Технология основного органического и нефтехимического синтеза. М.: Химия, 1988.
2. Хенрици-Оливэ Г., Оливэ С. Координация и катализ. М.: Мир, 1980.
3. Industrial Applications of Homogeneous Catalysis / Ed. A. Motreux, F. Petit. D. Reidel Publishing Co., 1988.
4. Sheldon R. A. // Chem. Tech. 1994. P.39-47.
5. Shvets V. F., Makarov M. G., Kustov A. V., Suchkov J. P. Selective Catalysts for Alkylene Oxide Hydration. Intern. Symp. Selectivity in Basic and Appl.org. Chem. Tel Aviv, 1995.
Похожие рефераты:
Концепции современного естествознания (химическая составляющая)
Программа для поступающих в вузы (ответы)
Развитие, становление и основные аспекты фармации
Технология пиролиза углеводородного сырья в трубчатых печах
Методика решения задач по теоретическим основам химической технологии
Межпредметные связи в курсе школьного предмета химии на предмете углерода и его соединений
Концепции современного естествознания
Современное развитие химической и нефтехимической отрасли