| Скачать .docx |
Реферат: Элементы конструирования печатных плат
Элементы конструирования печатных плат
Введение
Конструирование печатных плат – отдельная тема, не раскрываемая полностью в этой книге. Процесс конструирования нормирован всевозможными стандартами настолько, что писать о нем – повторять эти многочисленные стандарты. Поскольку технолог при общении с разработчиком должен представлять интересы производства, ему нужно иметь свою точку зрения на выбор конструктивно-технологических решений при проектировании печатных плат. Конечно, он должен считаться с тем, что выбор решений по конструкциям и методам изготовления печатных плат продиктован функциями, выполняемыми электронной аппаратурой и используемыми в ней компонентами, и такими рабочими характеристиками разрабатываемой системы, как производительность, энергопотребление, методы теплоотвода, характеристики окружающей среды, в которой система будет работать.
С другой стороны, разработчик должен учитывать производственные требования к технологичности конструкции: выбору доступных и опробованных материалов конструкций, серийнопригодности, контролепригодности, себестоимости и т.д., что определяет время и издержки освоения новых изделий в производстве, их производственную надежность и себестоимость. Технолог должен быть вооружен такими аргументами и терминами, которые позволят ему разговаривать на одном языке с конструкторами и с пониманием воспринимать его контраргументы и обоснования выбранных решений.
Этот раздел о выборе конструктивно-технологических решений рассчитан на технологов для общения с конструктором.
1. Корпуса микросхем
Наиболее важными факторами, влияющими на разработку конструкций печатных плат и их топологий, являются конфигурации выводов активных компонентов и шаг между ними, особенно для тех микросхем и их корпусов, конструкция которых определяется необходимой плотностью компоновки и, соответственно, плотностью монтажа. Эти факторы определяют облик конструкции печатной платы и печатного узла.
Развитие микроэлектронных компонентов постоянно идет в направлении увеличения интеграции, производительности и функциональности. Данный процесс характеризуется увеличением плотности активных элементов на кристалле примерно на 75% в год, а это, в свою очередь, вызывает необходимость в увеличении количества их выводов на корпусе на 40% в год. Вышеизложенные факты обуславливают постоянно растущий спрос на новые методы корпусиро-вания, позволяющие увеличить плотность межсоединений на печатной плате.
В результате общих тенденций, площадь монтажных подложек уменьшается примерно на 7%, а физические размеры электронной аппаратуры на 10–20% в год. Эта тенденция поддерживается непрерывным увеличением плотности межсоединений за счет уменьшения элементов печатного монтажа, пространственного распределения межслойных переходов за счет использования сквозных, глухих, слепых отверстий. Все это серьезно влияет на облик производства печатных плат, – увеличивается стоимость основных фондов, объем прямых издержек, цикл производства. В конечном итоге, все это приводит к увеличению себестоимости плат.
1.1 Конструкции корпусов микросхем
С самого начала кристаллы микросхем помешали внутрь керамических или пластмассовых корпусов. Примерно до 1980 г. все корпуса микросхем имели выводы, предназначенные для монтажа в металлизированные отверстия печатной платы и последующей пайки. Позднее, с увеличением интеграции, их выводы стали делать в форме, пригодной для технологии поверхностного монтажа, ставшей преобладающей технологией монтажа электронных компонентов.
На промежуточном этапе развития технологий монтажа, получили распространение корпуса микросхем, пригодные как для монтажа в отверстие, так и для поверхностного монтажа.
Основными типами корпусов микросхем, в зависимости от расположения их выводов, являются:
• корпуса с периферийным расположением выводов, когда выводы расположены по краям кристалла или корпуса микросхемы;
• корпуса с матричным расположением выводов.
Большинство типов микросхем имеют периферийное расположение выводов. Практически, шаг периферийных выводов ограничен 0,3 мм, что позволяет микросхемам с корпусами больших размеров иметь до 500 выводов. Но нужно принять во внимание, что при шаге выводов меньше 0,5 мм выход годных изделий резко снижается.
Компоненты с матричным расположением выводов имеют большое разнообразие:
• CSP,
• PBGA,
• CBGA,
• PPGA,
• CCGA.
Предполагается, что микросхемы с количеством выводов от 150 до 200 будут выполняться в корпусах с периферийным расположением выводов. Для микросхем с количеством выводов более ISO-ZOO предпочтительнее матричная система выводов, так как она делает возможным размещение большого количества выводов на ограниченной площади.
Конструкции выводов в матричной системе:
• столбиковые выводы из припоя, армированного «путанкой» из тонкого провода, для корпусов микросхем и многокристальных модулей МСМ, часто называемых также как матрица контактных площадок, матрица выводов
• матрица шариковых выводов с шагом выводов 1,50 мм, 1,27 мм, 1 мм, 0,8 мм и менее.
Матричная система выводов обеспечивает ряд очевидных преимуществ. Наиболее важными являются:
• минимальная площадь монтажного поля подложки;
• лучшие условия обеспечения функциональной производительности электронных модулей за счет меньших паразитных эффектов на быстродействующих операциях;
• упрощение технологии поверхностного монтажа на печатную плату;
• больший выход готовой продукции вопреки опасениям потери качества, из-за невозможности прямого визуального контроля соединений.
С уменьшением шага выводов особенно важно, чтобы разработчики печатных плат считались с необходимостью обеспечения технологичности их конструкций, правильно с этих позиций оценивали не только сборочные, но и производственные характеристики печатных плат, чтобы разработанные конструкции гарантировали наибольший выход и наименьшую себестоимость готовой продукции.
1.2 Непосредственный монтаж кристаллов на подложку
Потребности в уменьшении массы и габаритов конструкций электронной аппаратуры обусловили интерес к методам непосредственного монтажа кристаллов микросхем на плату: «кристалл на плате» – СОВ или многокристальные модули.
Кристаллы микросхем монтируют на подложку одним из четырех методов:
1. Термокомпрессионная микросварка – наиболее старый, наиболее гибкий и широко применяемый метод. Этим методом до сих пор изготавливают более 96% всех микросхем.
Присоединение кристаллов к выводам ленточного носителя или TAB. Этот метод используется для автоматического монтажа кристаллов с малым шагом выводов на промежуточный носитель. Кроме возможности автоматизации монтажа, он обеспечивает возможность предварительного тестирования кристаллов перед окончательной установкой его на монтажную подложку.
3. Присоединение перевернутого кристалла через шариковые выводы. Компактность и улучшенные электрические характеристики этого метода межсоединений способствуют его расширяющемуся применению.

4. Присоединение кристалла балочными выводами. В этом методе используют технологии термокомпрессионной и ультразвуковой микросварки балочных выводов к периферийным контактным площадкам на кристалле и, затем, – балочных выводов к монтажной подложке.

При оценке возможности использования этих методов, необходимо принимать во внимание разные температурные коэффициенты расширения кристаллов из кремния и монтажной подложки. Кроме прямого решения этой проблемы выбором соответствующего материала подложки, она может быть эффективно решена заливкой эпоксидной смолой, разделяющей кристалл и плату. Подобный прием позволяет выровнять деформации кристалла и подложки и, за счет этого, существенно улучшить надежность таких сборок.
1.3 Микрокорпуса
При непосредственной установке кристаллов на монтажные подложки не всегда представляется возможность предварительно убедиться в их правильной работе до их монтажа на подложку. К настоящему времени существует несколько технологий для решения этой проблемы. В зарубежной терминологии эта проблема имеет название – «заведомо исправный кристалл». Один из путей ее решения – использование микрокорпусов, размеры которых лишь ненамного превышают размеры кристалла, но выполняют функции защиты от внешней среды и перераспределяют выводы кристалла на матрицу выводов микрокорпуса. Применение микрокорпусов позволяет тестировать микросхему до установки ее на монтажную подложку. На микросхемах с программируемой логикой создается возможность программировать их пережиганием перемычек в соответствии с задуманной схемой. Типовой пример микрокорпусов – CSP-корпус.
Поскольку для некоторых CSP-корпусов шаг матричных выводов составляет 0,5 мм и менее, требуется использование специальных технологий производства печатных плат, позволяющих обеспечить разводку сигнальных цепей в узких пространствах между элементами монтажного поля.
Существующие технологии производства печатных плат способны обеспечить монтаж выводов бескорпусных микросхем, если он выполняется по технологии термокомпрессионной сварки или с использованием ленточных носителей. И, хотя такое решение переносит трудности защиты открытых кристаллов микросхем на корпусирование электронных модулей, оно все еще остается одним из наиболее эффективных методов монтажа бескорпусных микросхем.
При использовании корпусов с малым шагом матричных выводов ситуация усложняется тем, что сигнальные связи от внутренних выводов матрицы необходимо вывести между контактными площадками матрицы. При этом имеется возможность провести между контактными площадками один, максимум, два проводника. Поэтому, в большинстве случаев, проводники от внутренних выводов матрицы выводятся по внутренним слоям многослойных печатных плат.
Многослойные печатные платы, изготовленные традиционным методами маталлизиции сквозных отверстий, плохо приспособлены к монтажу микросхем с матричными выводами с шагом менее 8,0 мм. И, в то же время, уже созданы корпуса микросхем типа CSP с шагом матричных выводов 0,508 мм и 0,254 мм. Для монтажа таких компонентов к МПП добавляются специальные слои с глухими металлизированными отверстиями, на которых реализуется разводка цепей из-под микрокорпусов или из-под бескорпусных кристаллов микросхем.
Такие тонкие дополнительные специализированные слои, напрессовываются на МПП, после чего в них выполняются глухие металлизированные отверстия. Поэтому этот метод за рубежом получил названием «напрессованная на поверхность схема». И, хотя в России для этого метода пока нет установившегося термина, можно видеть, что в нем соединены метод металлизации сквозных отверстий и метод послойного наращивания. Значит, ему можно присвоить длинное название – «МПП с послойным наращиванием внешних слоев» или «МПП с глухими отверстиями», пока в русской среде специалистов не установится более лаконичное название.
1.4 Количество выводов и степень интеграции микросхем
При монтаже кристаллов на подложку корпуса и корпуса на монтажную подложку или при непосредственном монтаже кристалла на плату неизбежно увеличиваются используемые для этого площади. Это вызвано необходимостью выделения определенного физического пространства для размещения выводов. А число выводов подчиняется общей тенденцией их увеличения с увеличением интеграции микросхем:
![]()
где я – количество выводов, q – коэффициент связности микроэлементов в структуре микросхемы, N – степень интеграции микросхемы, R – показатель Рента.
В противоположность степени интеграции, этот эффект называют степенью дезинтеграции, которая оценивается отношением плотности микроэлементов, отнесенной к монтажной площади на плате с их плотностью размещения на кристалле. Например, если кристалл процессора имеет размер 10x10 мм, а монтажное поле его корпуса на плате занимает площадь 4000 мм, такое конструктивное исполнение системы межсоединений характеризуется дезинтеграцией с числом 10. Эта цифрой оценивается матрица из 800 выводов. Периферийное расположение такого количества выводов с шагом 0,4 мм занимает монтажное поле площадью 8000 мм, значит степень дезинтеграции такого конструктивного исполнения – 100.
Нужно заметить, что степень дезинтеграции растет по мере возрастания иерархического уровня конструкции: кристалл – микросхема – печатный узел – модуль – блок – … Например, дезинтеграция в блоке может достигать цифры 100 тыс.
Очевидно, что степени интеграции и дезинтеграции должны соответствовать техническому уровню развития производства. При стремлении выполнить конструкцию на предельных возможностях производства, стоимость изделия станет неоправданно высокой из-за большого объема отходов на брак. Надежность таких конструкций также не будет гарантирована. Если же в производство поступит изделие, спроектированное по низким проектным нормам, т.е. с большой степенью дезинтеграции, его большая материалоемкость, низкая фондоотдача также пагубно скажется на его себестоимости.
2. Координатная сетка
Положение печатного рисунка на плате регламентируется условной координатной сеткой – ортогональной сеткой, состоящей из параллельных осям X-Y линий, условно или фактически нанесенных на чертеж печатной платы. Расстояние между двумя ближайшими параллельными линиями называют шагом координатной сетки. Точки пересечения линий координатной сетки называют узлами. Узлы координатной сетки предназначены для определения местоположения монтажных и переходных отверстий, контактных площадок для монтажа поверхностно-монтируемых компонентов. Поэтому шаг координатной сетки печатной платы должен строго соответствовать шагу выводов радиоэлементов.

В отечественной практике используют шаг основной координатной сетки 2,5 мм. По мере уплотнения печатного монтажа используют вспомогательные координатные сетки, шаг которых получают делением или умножением шага основной координатной сетки на 2». Таким образом, получают ряд мелких шагов вспомогательных сеток: 0,625; 0,3125 мм и дополнительных шагов, получаемых путем сложения разных шагов, например: 2,5+0,625=3,125 или 0,625+0,31,25=0,9375 мм.
Иногда возникает необходимость назначения координатной сетки печатных проводников с шагами, отличающимися от шага основной или вспомогательной координатной сетки. Например, в отдельных случаях для уравнивания изоляционных зазоров удобно принять шаг проводников, равный 0,5 мм.
Сейчас, при преимущественном использовании импортных компонентов с дюймовой метрической системой, повсеместно перешли на, так называемую, дюймовую сетку с шагом основной координатной сетки 2,54 мм. Однако и современные импортные компоненты с матричной системой выводов начинают приобретать шаги в метрической системе измерений. Поэтому нужно быть готовым к смешению систем измерений и простановки размеров. В этом случае, при переходе от дюймовой системы к метрической нужно проставлять размеры с округлением до знака, соответствующего допуску на проставляемый размер. Неправомерно, например, переводить дюймовый размер 1/8» в метрический, как 3,175 мм, если допуск на этот размер проставляется ±0,1 мм. Значение этого метрического размера нужно округлить до 3,2 мм.
3. Элементы проводящего рисунка
3.1 Печатные проводники
Размеры печатных проводников по длине и ширине выбираются с позиций обеспечения электрических требований по плотности тока, омическому сопротивлению, реализации специальных электрических параметров и механической устойчивости. С другой стороны, эти требования должны соответствовать разрешающей способности печатного рисунка. Последнее обстоятельство определяется принятым методом изготовления печатной платы и адгезионными свойствами базового материала.
Современные фоторезисты имеют достаточно высокую разрешающую способность, соизмеримую с толщиной фоторезиста. Лучшую разрешающую способность имеют жидкие позитивные фоторезисты: 25 линий на миллиметр. Сухие пленочные фоторезисты – 10…20 линий на миллиметр. Поэтому ограничения по минимальной ширине проводников возникают не на этапе получения фоторезистивного рисунка, а на технологических операциях изготовления металлического рисунка печатной схемы.
Негативному способу получения рисунка печатной схемы свойственно незначительное уменьшение ширины проводника в результате бокового подтравливания меди. Величина подтравливания обычно соизмерима с толщиной фольги и зависит от характера травящего раствора, способа и времени травления. При использовании тентинг-метода глубина травления складывается из толщин фольги и гальванического осаждения, поэтому воспроизводимость рисунка оказывается не лучше, чем 0,15/0,15 мм.
При позитивном методе изготовления печатных плат разрешающая способность несколько ухудшается за счет наличия гальванической пары: медь – металлорезист. Но глубина травления здесь меньше чем при тентинг-методе, но несколько больше, чем при химическом методе на толщину гальванической затяжки.
3.2 Металлизированные отверстия
Металлизированные отверстия выполняют роль монтажного элемента или межслойного соединения. Диаметры сквозных монтажных отверстий для выполнения нормальных условий пайки должны быть на 0,2…0,4 мм больше диаметра вывода радиоэлемента. Вместе с этим гальваническое покрытие получается удовлетворительным при определенном соотношении между диаметром отверстия и толщиной платы. Это соотношение связано с рассеивающей способностью электролитов и, отчасти, с режимами гальванического осаждения.

Переходные сквозные отверстия должны быть отделены от монтажных контактных площадок, чтобы предотвратить вытекание припоя с монтажных поверхностей.
Неглубокие глухие отверстия и тем более металлонаполненные глухие отверстия могут выполняться в монтажных контактных площадках.
В процессе эксплуатации ПП, в составе аппаратуры металлизация отверстий постоянно испытывает переменные во времени термомеханические напряжения, вызванные разностью в термическом расширении меди и диэлектрического основания. Устойчивость к термомеханическим нагрузкам обеспечивается соответствующей толщиной и пластичностью металлизации отверстий. ГОСТ 23752 устанавливает среднее значение толщины медной металлизации в отверстии 25 мкм при возможном минимальном значении 20 мкм. Это значение толщины металлизации установилось в процессе многолетней практики изготовления и эксплуатации ПП с отношением толщины ПП к диаметру отверстия 1…3. Действительно, анализ отказов металлизированных переходных отверстий, не заполненных припоем, показывает, что при толщине металлизации около 7 мкм отказ соединения неизбежно возникает, при толщине 15 мкм вероятность отказа примерно 0,9. И только толщина 20 мкм обеспечивает надежность соединений в течение длительного периода эксплуатации аппаратуры. Поэтому основное условие гарантий надежности соединений по металлизированному отверстию состоит в том, что толщина медного гальванопокрытия без дефектов не должна быть менее 20…25 мкм. Чтобы не допустить дефектов металлизации в виде незначительных не металлизированных участков, создающих очаги повышенной концентрации напряжений, толщину металлизации увеличивают до 30…35 мкм.
Металлизация монтажных отверстий участвует в теплопередаче в процессе пайки. Поэтому для удовлетворительного пропая, желательно, чтобы толщина металлизации была тем больше, чем глубже сквозное отверстие. Дефекты металлизации в виде кольцевых утончений или трещин неизбежно приводят к непропаю, так как создают заметные препятствия для теплопереноса.
Увеличение толщины печатной платы сверх отношения толщины к диаметру 4:1 приводит к значительным осложнениям в обеспечении надежности металлизированных отверстий, так как они менее устойчивы к воздействию термомеханических напряжений.
3.3 Монтажные контактные площадки. Финишные покрытия
Разнообразие финишных покрытий настолько велико, что приходится говорить о том, что ни одно из них не удовлетворяет всему комплексу требований к пайке и длительному сохранению способности к пайке.
В технологии печатных плат финишные покрытия формируются одним из двух методов: из металлорезиста, используемого при травлении рисунка, и специальным осаждением покрытия под пайку на монтажные поверхности. Гальванические покрытия металлорезистами при травлении окисляются настолько, что приходится применять для них специальные процессы дезоксидации. Для легкоплавких металлорезистов можно использовать оплавление, и тем самым, значительно улучшать способность к пайке. Поскольку медь проводников образует с оловом интерметаллиды, из-за которых исчезает способность к пайке, под металлорезистом формируют барьерный подслой, например, никеля. Тогда способность к пайке сохраняется достаточно длительный срок, даже без оплавления олова-свинца. Поскольку, кроме способности к пайке, приходится считаться и с устойчивостью металлорезистов к травящим растворам. Выбор финишных покрытий имеет вариантность.
Вариант 1. Если предпочтение отдано схеме процесса, по которой для защиты при травлении рисунка используется металлорезист, в выборку попадают сплав олово-свинец, олово, никель, палладий и серебро. Из них, по паяемости без оплавления, лучшими могут быть олово, палладий и серебро. По устойчивости к электрохимическим отказам выгодно отличаются палладий и олово. По стоимости – предпочтительней олово.
Травление меди по оловянному металлорезисту осуществляется в аммиачном комплексе хлорной меди – универсальном травящем растворе, пригодном, в том числе, для травления меди по фоторезисту.
Таким образом, для первого варианта в качестве металлорезиста и покрытия под пайку целесообразно использовать олово и, соответственно, в качестве травителя – аммиачный комплекс хлорной меди.
Вариант 2. Если требуется изготавливать платы не выше 4 класса точности по тентинг-процессу, в качестве финишного покрытия, как правило, используют горячее облуживание по паяльной маске. Но горячее облуживание неизбежно оставляет на поверхности монтажных площадок наплывы с неопределенной высотой от 0 до 0,3 мм. При установке чипов и компонентов в корпусе, типа BGA, эта разновысотность не позволяет реализовать установку таких компонентов. Горячее облуживание плат становится неприемлемой.
Альтернативой облуживанию являются иммерсионные покрытия оловом и золотом. Поскольку эти покрытия принципиально тонкие, они требуют использования барьерных подстоев, что несколько удорожает процесс. Тем не менее, он остается и надежней, и дешевле процесса горячего облуживания.
В последнее время начинают использовать покрытия органическими ингибиторами, сохраняющими способность плат к пайке в течение длительного времени.
3.4 Контактные покрытия
Разъемные электрические соединения, образованные концевыми печатными контактами с розетками соединителей, в соответствии со своим назначением должны иметь высокую поверхностную
проводимость в условиях воздействия агрессивных компонентов промышленной атмосферы и среды обитания людей, отличающейся относительно высоким содержанием аммиака и его соединений, сернистых соединений, жировой аэрозоли и других, обладать устойчивостью к многократным сочленениям-расчленениям, паяемостью. Основные проблемы в выборе контактных покрытий состоят в обеспечении надежности контактов, которые должны одинаково хорошо работать в условиях как малых, так и больших токовых нагрузок.
Развитие электронной техники привело к снижению коммутируемых контактами нагрузок; а миниатюризация – к уменьшению контактных давлений, к переходу от притирающихся разъемных соединений к нажимным, коммутирующим нагрузки от «сухих» до долей ампера, при напряжениях от микровольт до нескольких вольт, при малых усилиях нажатия, приходящихся на один контакт. Характерными особенностями режима работы концевых печатных контактов являются длительное замкнутое состояние с кратковременными перерывами и единичные включения с длительными перерывами.
Электрическое сопротивление контакта при очень малых нагрузках значительно больше, чем при больших, и более критично к изменению тока в контактной цепи. Кроме того, при малых нагрузках всегда имеется вероятность сбоев, т.е. самовосстанавливающихся отказов, возникающих по случайным причинам.
Цепи с малыми токами, как правило, являются высокоомными и не критичны к величине электрического сопротивления контакта, однако устойчивые тенденции к увеличению этого сопротивления могут служить признаком наступающего отказа.
Нагрузки в цепи контактов определяют механизм контактирования. Пассивные нагрузки характеризуются такими уровнями тока и напряжения, что не могут создать условия пробоя поверхностных пленок. Проводимость контакта, в таком случае, может осуществляться только через контактные пятна, созданные силой, прижимающей контакты друг к другу. Механизм проводимости контакта при этом металлический или туннельный.
Активные нагрузки характеризуются такими уровнями токов и напряжений, которые создают проводящие участки контакта. При этих нагрузках основным механизмом образования контакта является электрический пробой – фриттинг, благодаря которому пробиваются загрязняюшие слои и расширяются уже имеющиеся проводящие.
Границей между пассивными и активными нагрузками является напряжение фриттинга, минимальное значение которого равно долям вольта при напряженности поля более 107 В/м.
Основное влияние на надежность слаботочных контактов оказывает состояние их поверхности. Поэтому, при выборе покрытия контактов, следует принимать во внимание способность к образованию окисных, сульфидных и сульфатных пленок, обусловленных наличием в атмосфере городов и помещений с людьми относительно больших концентраций окислов серы, сероводорода, аммиачных соединений и влаги. Свойства материалов для контактных покрытий приведены в табл. 2.4.
Благодаря особым свойствам в качестве контактных материалов чаще всего используются золото, палладий, серебро, олово и всевозможные сплавы этих металлов.
Золочение контактов – самый надежный способ обеспечения надежности разъемного соединения. Износостойкость золотого покрытия прямо зависит от толщины слоя золота и твердости материалов, из которых состоят контакты ответной части соединителя. Наибольший срок службы сопряженных контактов разъема обычно достигается выбором двух материалов, имеющих различную твердость. Так как контакты разъема покрываются твердым золотом, концевые печатные контакты должны быть покрыты относительно мягким золотом. Другим аргументом в пользу мягкого золота является то, что оно более стойко к атмосферным воздействиям, видимо, потому, что оно не загрязнено никакими присадочными металлами. Опасения относительно повышенного мягкого контактного покрытия не оправданы, поскольку плата сочленяется внешними соединителями аппаратуры и извлекается из него всего лишь несколько раз за весь период эксплуатации. Для покрытия контактов разъема целесообразно использовать твердое золото улучшения износостойкости их поверхности.
Твердое золото представляет собой сплав с такими металлами, как кобальт, никель, индий. Твердость по Виккерсу для твердого золота лежит в пределах 1400…2400 Н/мм2 , в то время, как твердость мягкого золота составляет 600…800 Н/мм2 .
Палладиевые покрытия имеют меньшую пористость и большую износостойкость, по сравнению с золотыми, что позволяет снизить толщину покрытия. Недостатками их являются способность катализировать деструкцию органических соединений и малая стойкость в средах, загрязненных газообразными выделениями полимерных материалов. Продукты полимеризации представляют собой тонкие, прозрачные пленки на контактной поверхности.
Серебряные покрытия со временем тускнеют, а затем чернеют из-за образования пленок – продуктов окисления и сульфидизации. При длительном хранении контактные поверхности из серебра пассивируются. Эти пленки при контактировании могут быть разрушены только в цепях с большими напряжениями и токами. Поэтому для переключения малых токов использование серебра нецелесообразно.
Олово относится к дешевым материалам, но из-за низкой износостойкости применяется в аппаратуре, где число сочленений-расчленений не превышает 50. Следует учитывать способность олова к образованию нитевидных кристаллов, способных вызвать короткое замыкание.
В высоконадежной микроэлектронной аппаратуре в качестве контактных покрытий начинают применять гальванический сплав палладий-никель, имеющий заметные преимущества перед покрытиями чистыми золотом и палладием. В табл. 2.5 и 2.6 приведены характеристики покрытий из указанных материалов.
Таблица 2.5. Контактное сопротивление
| Электрическое сопротивление контакта, мОм. |
|
| Вид покрытия |
После 50 ч пребывания Свежеосажденное на воздухе при покрытие температуре4, 125° С |
| Палладий |
1,6 ±0,5 2,3 ±0,5 |
| Палладий-никель |
1,6 ±0,5 2,2 ±0,4 |
| Палладий-никель+ + ЗОЛОТО |
1,4 ±0,5 1,8 ±0,5 |
| Таблица 2.6. |
Пористость контактных покрытий. |
| Видпокрытия |
Пористость покрытия толщиной 1 мкм на 1 см2 |
| Чистый палладий (с микро-трещинами) |
90+30 |
| Твердое золото |
23±17 |
| Чистый палладий |
10±6 |
| Палладий-никель |
2±2 |
| Палладий-никель+ +золото |
0,6 |
Надежность концевых печатных контактов ограничивается коррозией основы, через поры контактных покрытий, и диффузией основного металла, через тонкий слой контактного покрытия. Если подслоем контактного покрытия из золота или палладия служат медь или серебро, коррозия начинается в порах покрытия при воздействии сульфатов, сульфидов и оксидов; ее продукты расползаются по поверхности контактного покрытия и вызывают повышение контактного электрического сопротивления, т.е. ухудшение контакта вплоть до полного разрыва электрической цепи. Поэтому между медью и контактным покрытием наносят барьерный слой никеля, устойчивого к воздействию сероводорода. Нанесение подслоя никеля способствует выглаживанию поверхности, что тоже способствует снижению пористости контактного покрытия. Замечено, что при прочих равных условиях пористость твердого золочения приблизительно в два раза больше, чем мягкого.
Практикой установлены следующие сочетания контактных покрытий:
- твердое золочение: 1…3 мкм по подслою никеля или 2…4 мкм по меди;
- мягкое золочение: 0.5…2 мкм по подслою никеля или 1,5..А мкм по меди;
- палладирование: 2…3 мкм по подслою никеля.
3.5 Топология токопроводящего рисунка
Характер проводящего рисунка во многом определяет технологичность конструкции, надежность производства печатных плат. Анализ практики производства позволяет сформулировать ряд правил для конструирования печатного рисунка.
При трассировке проводников следует избегать острых углов. Во внутреннем пространстве такого угла образуется своеобразный карман, в котором часто наблюдаются недотравленные места, где при пайке скапливаются наплывы и сосульки припоя. При незначительных напряжениях сжатия в гальванических осадках, в результате термических воздействий пайки, острый угол может отслоиться от основания. Если проводник находится под высоким потенциалом, острие угла приобретает высокий градиент электрического поля, здесь сосредоточиваются загрязнения, в результате электростатического осаждения пыли. Создается опасность электрического пробоя.
Целесообразно размеры контактных площадок со стороны монтажа выполнять меньшими или, по крайней мере, такими же, как и со стороны пайки, чтобы в общем балансе теплопереноса уменьшить теплоотвод со стороны монтажа. Для качественного формирования припоя, когда не используется паяльная маска, печатные проводники со стороны пайки следует располагать параллельно длинной стороне платы; в этом направлении наиболее вероятно движение платы при пайке волной припоя. Экраны и цепи питания, выполненные в виде массивов фольги, должны иметь вырезы и освобождения вокруг монтажных отверстий, чтобы предотвратить непропаи, отслоения фольги из-за напора газовыделений из материала основания и обеспечить возможность демонтажа выводов элементов.
Чтобы обеспечить равномерность распределения гальванопокрытия, предотвратить зарастание и подгар одиночных элементов печатного рисунка, следует сбалансировать площади, занимаемые рисунками на обеих сторонах платы и выровнять его распределение по поверхности рабочего поля платы. Это осуществляется путем введения избыточных металлических поверхностей так, чтобы добиться равномерной плотности рисунка по всей плате. Заполнение свободных площадей может производиться либо непрерывными линиями сетки, либо отдельными изолированными элементами печати. При выборе того или другого типа рисунка для балансировки следует иметь в виду, что при нагревах ПП сбалансированность рисунка двух сторон существенно сказывается на короблении платы из-за разницы в механических напряжениях. Широко используемый принцип ортогональности топологии рисунка двух сторон приводит к скручиванию ПП. Несимметричность рисунка слоев в МПП относительно условного центра симметрии структуры слоев неизбежно приводит к заметному короблению.
Шириналамелей концевых печатных контактов должна выбираться с учетом компенсации небольших боковых перемещений платы, имеющих место, вследствие люфтов в направляющих и некоторого бокового смешения контактов в ответной части разъема. Так как контактное покрытие на ламели наносится на завершающей стадии, т.е. после вытравливания рисунка, печатный рисунок должен иметь технологические проводники, соединяющие каждую ламель с шиной металлизации. Край платы, входящий в разъем, имеет фаску, выполняемую после нанесения контактных покрытий, поэтому, чтобы предотвратить его повреждение, край ламели должен немного отступать от края фаски, как показано на рис. 2.8. Край ламели скруглен, чтобы предотвратить отслоение фольги при сочленении ламелей концевых концевого печатного контакта с ответной частью.
3.6 Избирательная лаковая защита
Ряд элементов, монтируемых на ПП, не допускает возможности общей лакировки в составе печатного узла или блока. Например, лаковая защита плат с соединителями, регулировочными элементами требует трудоемких и малонадежных приемов использования антиадгезионных паст и лаков, предусматривающих отделение лака от поверхности и деталей, не подлежащих лакировке. Крепление некоторых элементов связано с необходимостью их установки непосредственно на ПП, что требует создания изолирующей прослойки между металлическими элементами на ПП и корпусом элемента.
При групповой пайке печатных узлов и блоков между печатными проводниками образуются перемычки припоя. Их визуальное выявление и устранение ручным инструментом вносят дополнительную трудоемкость, до 15 мин, к тому же, случаи необнаружения тонких малозаметных закорачивающих перемычек могут приводить к выходу из строя элементов.
Эффективным средством повышения надежности печатных узлов и блоков, снижения трудоемкости производства является селективная лаковая защита, наносимая на ПП до монтажа элементов, методом трафаретной печати или фотохимии. Она представляет собой пленку нагревостойкой эмали или термостойкого сухого пленочного фоторезиста, которая наносится на ПП так, что открытыми остаются только монтажные элементы и незначительная зона вокруг них, обусловленная погрешностями технологического процесса трафаретной печати или фотохимии.
Трудности точного нанесения избирательной лаковой защиты связаны с наличием рельефа печатных проводников на диэлектрическом основании, растеканием краев рисунка, образованного жидкой эмалью, растяжением сетчатого трафарета при продавливании через него краски движущимся ракелем. Гарантировать точность совмещения сетчатого трафарета с платой лучше, чем 0,15 мм – нереально, поэтому современная практика производства должна быть ориентирована на жидкие композиции, поддающиеся фотолитографической обработке, или на термостойкие сухие пленочные фоторезисты, формируемые на плате также методами фотолитографии.
Наслаивание сухого пленочного фоторезиста на рельеф печатного рисунка требует использования специального вакуумного ламинатора, чтобы гарантировать отсутствие газовых полостей по кромкам проводников. Остальные процессы не имеют принципиальных отличий от обычных процессов, связанных с использованием фоторезистов.
Жидкой композиции присуши высокие точности позиционирования и воспроизведения прецизионного рисунка, обеспечивающие заполнение зазоров между монтажными контактными площадками с малыми шагами. Следует, однако, учитывать, что процессы трафаретной печати дешевле и производительнее. Если используются эмали с ультрафиолетовым отверждением, когда время отверждения не превышает 30 с, время, затрачиваемое на нанесение избирательной лаковой зашиты, не превышает 1 мин.
3.7 Деформация печатных плат
Вообще говоря, деформация – естественное явление, свойственное композиционным материалам. Поэтому возможность и ограничение деформации предусматривается ГОСТ 23752. Тем не менее, отклонение формы ПП от плоской не удовлетворяют современным требованиям процессов сборки и монтажа печатных узлов и блоков. Если не будут приняты меры по принудительному выправлению ПП в плоскость, их искривленное состояние будет механически зафиксировано впаянными в них элементами. Особенно жестко фиксируют ПП длинные многовыводные контактные элементы: колодки, разъемы, трансформаторы и т.п. При установке ПП в блоки они вынужденно выпрямляются в плоскость за счет механического крепления или движения в направляющие блока. При этом могут возникать значительные напряжения, завершающиеся разрывом соединений. Характерно, что эти отказы не проявляются немедленно, их возникновение маскируется релаксационными явлениями в связующем диэлектрического основания ПП.
Деформация ПП происходит по многим причинам. Главные из них – это асимметрия структуры слоев МПП, неравномерные усадочные явления в стеклопластиках, из-за разной ориентировки переплетений ткани, неравномерное распределение температуры и момента затвердевания смолы при прессовании, неравномерный нагрев ПП в процессе пайки.
Асимметрия МПП – результат неправильного проектирования: используются односторонние слои, положение печатного рисунка которых относительно основания одинаково по всей структуре МПП, не уравновешен баланс двусторонних слоев, с ортогональной трассировкой проводников, применены разнотолщинные материалы, слои с различной насыщенностью печатного рисунка и разное количество прокладочной стеклоткани, несимметрично распределенные в структуре слоев МПП. В большинстве случаев причиной скручивания ПП является несбалансированность слоев с ортогональной трассировкой проводников.
Такая же асимметрия в структуре слоев МПП может возникать в результате использования материалов из разных партий, отличающихся температурой стеклования, текучестью и содержанием связующего и т.д. Неравномерность усадки эпоксидной смолы, взятой из разных партий материалов, используемых в МПП, – наиболее вероятная причина коробления, когда все другие причины ликвидированы.
В ряде случаев, плату можно попытаться выпрямить, терморихтовкой, т.е. нагревом и охлаждением плат под металлической ретиной. Но, если ее коробление вызвано несимметричностью конструкции, плата все равно вернется к деформированному состоянию.
Значительные деформации ПП могут возникать в процессе пайки, если не использовать приспособления, предотвращающие их искривление. Термомеханические напряжения, зарождающиеся в ПП из-за температурных градиентов, вызывают непредсказуемые коробления, которые не всегда обратимы. Особенно большие градиенты возникают при групповых методах пайки, если в процессе предварительного подогрева ПП не приобрела температуры, равной или немного более температуры стеклования связующего. Резкий перепад температур от стороны пайки в направлении монтажа сопровождается значительными напряжениями сдвига, которые могут вызвать не только коробление ПП, но и ее разрушение.
4. Плотность межсоединений
4.1 Методы увеличения плотности монтажа ПП
Существует четыре пути повышения плотности межсоединений и монтажа компонентов на печатных платах:
• уменьшение размера отверстий и контактных площадок, чтобы высвободить пространство для трассировки проводников;
• увеличение количества трасс между отверстиями за счет уменьшения ширины проводников и зазоров;
• введение многоуровневых межсоединений: отказ от сквозных отверстий в пользу глухих и слепых межслойных переходов;
• увеличение количества слоев.
Следует отметить, что большая часть аппаратуры выполнена с использованием двусторонних печатных плат. Если возникает необходимость в особо плотном монтаже, современные технологии и средства проектирования позволяют обойтись 6… 10 слоями.
4.2 Влияние размеров и форм контактных площадок на плотность трассировки
Существенным сдерживающим фактором увеличения трассировочной способности является большой диаметр контактных площадок вокруг сквозных металлизированных отверстий. По существу, контактная площадка является той мишенью, в которую должно попасть отверстие при сверлении. Для выполнения предназначенных ей функций контактная площадка должна охватывать металлизированное отверстие или, по крайней мере, должна исключать торцевую связь проводника с металлизированным отверстием на ограниченном участке, как показано на рис. 2.9. Надежность торцевой связи гораздо меньше, чем прочность связи контактной площадки с отверстием по окружности, большей 180е.


Поэтому считается, что надежное соединение обеспечивается лишь при наличии гарантированного пояска охвата отверстия контактной площадкой. Его минимальные размеры обычно принимаются равными толщине фольги. Расчет минимального размера контактных площадок производят из условий обеспечения минимальной ширины гарантированного пояска охвата, с учетом всех неизбежных погрешностей производства. Рис. 2.10 показывает соотношение геометрических и позиционных погрешностей, принимаемые в расчете. Грубый расчет размера контактных площадок на твердых основаниях производят, ориентировочно, по формуле:
![]()
где J – минимальный размер контактной площадки наружного слоя; М–диаметр сверления; К – позиционная точность сверления; N – позиционная точность рисунка; АВ – отрицательный допуск на размер контактной площадки; С – минимальная ширина пояска охвата металлизированного отверстия контактной площадкой наружного слоя.
При расчете контактных площадок тонких оснований – учитывают дополнительные погрешности совмещения: погрешности базирования величин деформаций пленочных фотошаблонов и слоев после травления и прессования.
Некоторый выигрыш в уменьшении размера контактной площадки и соответсвующем увеличении трассировочного пространства можно получить за счет удлинения ее формы в сторону подхода проводника к контактной площадке, как показано на рис. 2.11.

Вообще говоря, контактная площадка, это геометрическое место точек, куда может попасть сверление. Поэтому ее размер должен поглотить это геометрическое место с какой-то вероятностью. Подробно об этом в соответствующем разделе.
Размеры контактных площадок существенно сказываются на трассировочной способности печатных плат. Например, в одном проекте уменьшение диаметра площадок с 1,4 до 1,0 мм позволяет более, чем втрое, увеличить плотность межсоединений, в то время, как уменьшение ширины проводников и зазоров с 0,3 до 0,15 мм позволяет увеличить ее лишь вдвое. Очевидно, что уменьшение диаметра контактных площадок или исключение их вообще может быть более действенным способом увеличения плотности межсоединений, чем уменьшение ширины проводников.
4.3 Уменьшение ширины проводников и зазоров
Очевидно, что уменьшение ширины проводников и зазоров позволяет увеличить количество трасс на каждом слое платы. К такому решению стремятся в производстве интегральных микросхем и печатных плат в течение многих лет. Но, все же, уменьшать ширину проводников бесконечно невозможно. Такое уменьшение ограничено токонесущими свойствами и омическим сопротивлением проводников. Омическое сопротивление, в еще большей мере, сказывается на работоспособности схем, когда они имеют большую длину, что для печатных плат не редкость. Существуют и технологические ограничения на ширину проводников, связанные непосредственно с производственным процессом выход готовой продукции резко падает, если требования к производственным процессам не укладываются в рамки нормальных допусков, определяемых применяемым оборудованием, материалами и параметрами климатической зоны производственных помещений.
Имеются также ограничения и на уменьшение расстояний между проводниками. Их размер определяется, исходя из требований к электрическим характеристикам, например, необходимостью снижения уровня перекрестных помех, минимизацией шумов, создания условий для безыскаженной передачи сигналов и формирования требуемого волнового сопротивления. Для силовой электроники следует считаться с ограничениями по электрической прочности изоляционных зазоров. Напряжение пробоя лакированных плат определяется электрической прочностью лакового покрытия, зазоры между открытыми проводниками на диэлектрическом основании пробиваются по поверхности платы. Электрохимическая форма пробоя не зависит от ширины зазора и не поддается прямому расчету.
Тем не менее, если удалось достичь уменьшения ширины проводников с учетом описанных ограничений, то это позволит эффективно повлиять на плотность и снижение себестоимости производства печатных плат, как показано на примере анализа одного из реальных производств. Видно, что уменьшение ширины дорожек со 150 мкм до 80 мкм позволяет вдвое уменьшить число сигнальных слоев и существенно снизить себестоимость производства печатных плат.
Снижение себестоимости осуществляется за счет снижения материалоемкости печатных плат. Было уже отмечено, что в составляющих себестоимости стоимость материалов стоит в первой строчке. Но эта мера снижения стоимости плат оправдана лишь в том случае, если созданы соответствующие производственные условия для уменьшения размеров проводников и зазоров. Для этого недостаточно иметь хорошее оборудование и материалы, нужны еще особые климатические условия в производственных помещениях, ответственных за этот процесс.
Тогда можно рассчитывать на приемлемый выход годной продукции. В противном случае уменьшение размеров проводников и зазоров или увеличит объем брака, или увеличит объем трудозатрат на исправление дефектов, уменьшит надежность печатных плат. То и другое увеличит себестоимость и, значит, не приведет к желаемому результату.
4.4 Увеличение количества слоев
Сегодня многие производства, желая показать свои достижения, говорят о возможностях изготовления МПП с большим количеством слоев и, соответственно, большой толщины. Действительно, раньше, когда использовались несовершенные САПР, всегда принимались волюнтаристские решения, ведущее прямо к достижению цели: когда на существующих слоях печатной платы не достатовало места для разводки всех необходимых внутрисхемных соединений, добаатяли еще один слой. Теперь, когда вопрос себестоимости приобрел первостепенную важность, при разработке многослойных ПП процесс проектирования направлен на минимизацию числа слоев, потому что каждый новый слой существенно увеличивает себестоимость печатной платы. Табл. 2.5 также демонстрирует, что любое увеличение количества сигнальных слоев в платах, работающих в составе высокопроизводительной или высокочастотной аппаратуры, когда требуется выдержать характеристики линий передач, будет вдвое больше, т. к. для них необходимо экранирование слоями земли и питания, прокладываемые между сигнальными слоями.
4.5 Оценка плотности межсоединений
Растущие конструктивно-технологические требования к печатному монтажу особенно четко установились в области вычислительной техники, поскольку увеличение производительности ЭВМ наряду с увеличением быстродействия элементной базы находится в непосредственной зависимости от возможностей сокращения длины связей между логическими элементами, так называемой конструктивной задержки передаваемого сигнала. Достаточно сопоставить значение времени переключения логических элементов, не превышающее в современных ИС, СИС и БИС единиц наносекунд, с временем распространения сигнала в печатных линиях связи, составляющем 6…7 нс/м, чтобы показать, что главной составляющей временных задержек в электронных устройствах современного и перспективного типов являются задержки в межсоединениях. Отсюда следует, что повышение быстродействия логических элементов должно сопровождаться максимально возможным снижением задержек в межсоединениях, т.е. сокращением их длины. Это достигается повышением степени интеграции логических элементов и более плотной компоновкой микросхем на платах.
В свою очередь, увеличение степени интеграции вызывает рост числа входных контактов микросхем п, подчиняющийся соотношению Рента:
![]()
где к – среднее число межсоединений, приходящееся на один логический элемент в ИС, например, для двухвходового вентиля к = 3…4; ^-показатель Рента, зависящий от структуры логических схем. Например, для произвольной логики высокопроизводительных процессоров р = 0,5…0,75, для микропроцессорной логики р< 0,5.
Число межсоединений ЛГ определяется суммарным числом выводов п всех М микросхем, устанавливаемых на печатную плату:
![]()
где г – коэффициент разветвления соединений, зависящий от числа нагрузок т в цепях межэлементных связей: г=т/, так что 0,5 <г<1.
Суммарная длина соединений в печатных платах 2? определяется числом соединений N и средней дайной одного соединения 1с :
![]()
Статистические исследования показывают, что при произвольном размещении микросхем на плате средняя длина одного соединения определяется размером платы:
![]()
где i – коэффициент использования монтажного поля платы выводами микросхем.
Положив / = 0,5, оценим суммарную длину соединений в платах
![]()
Отношения к площади платы L2 суммарного числа выводов микросхем Мп и суммарной длины соединений Л в ней будем называть соответственно плотностью монтажа и плотностью соединений:
![]()
Используя и, получаем соотношение между плотностями соединений и монтажа
![]()
Таким образом, увеличение плотности размещения монтажных элементов и линейных размеров плат требует пропорционального увеличения плотности соединений. С другой стороны, плотность соединений определяется плотностью трассировки, т.е. числом проводников п, прокладываемых между отверстиями и коэффициентом использования трасс •, а в МПП – еще и числом сигнальных слоев т:
с![]()
где Т – шаг сквозных отверстий, между которыми трассируется п проводников.
В односторонних печатных платах единственный слой проводящего рисунка используется для размещения монтажного поля, цепей питания и межсхемных соединений. Поэтому на этих платах невозможно удовлетворить противоречивые требования увеличения плотности монтажа и плотности соединений. Частично эти противоречия разрешаются в двусторонних печатных платах. И только применение МПП позволяет обеспечить специализацию слоев. МПП имеют наружные монтажные слои, которых, естественно, не может быть больше двух, тс сигнальных слоев с ортогональным принципом трассировки проводников в преимущественных направлениях А'или Y слои тэ с цепями земли и питания, выполняющие одновременно роль электрических экранов, заземленных по высокой частоте. Экранные слои размещаются между сигнальными, поэтому
![]()
Коэффициент использования трасс принимает значения в пределах 0 <з< 1 в зависимости от степени взаимной независимости направлений трассировки соединений. Значения ■ приближаются к единице с увеличением числа переходных отверстий, создающих возможность обхода пересечений трасс. В МПП особенно эффективны межслойные переходы в шаге трасс двусторонних внутренних слоев со строго ортогональной трассировкой.
Таблица 2.9. Коэффициент использования трассировочного пространства
| п ч> |
Внутренние слои без межслоиных переходов |
Двусторонние слои с межслойными переходами в шаге трасс |
| 1 |
0,6 |
0,9 |
| 2 |
0,52 |
0,82 |
| 3 |
0,45 |
0,80 |
| 4 |
0,38 |
0,75 |
В табл. 2.9 даны значения коэффициента з для сигнальных слоев МПП с различным числом трасс проводников птр между сквозными отверстиями. Из этих данных видно, что без межслоиных переходов увеличение плотности трасс не дает пропорционального эффекта.
Дефицит межслойных переходов проявляется в досадном для технологов явлении: первая пара слоев заполнена проводниками на 80%, вторая только на 30%, третья на 7% и четвертая на 2%. Т.е. усилия производства в увеличении плотности трасс и слойности МПП не вознаграждаются соответствующим увеличением плотности межсоединений при дефиците межслойных соединений. Гораздо эффективнее увеличивать количество межслойных соединений.
5. Быстродействие
Производительность, на которую рассчитана система, является ее важным техническим параметром, который следует учитывать при выборе принципа межсоединений. Многие цифровые системы работают на тактовых частотах, приближающихся к 100 МГц, а другие уже давно перешагнули этот порог. Повышение быстродействия систем требует от разработчиков правильного выбора структур межсоединений в печатных платах и материалов, используемых в качестве подложки печатных плат.
5.1 Задержка сигналов
Скорость распространения сигнала обратно пропорциональна квадратному корню диэлектрической проницаемости материала подложки. Время распространения сигнала, так называемая конструктивная задержка, прямо пропорционально длине проводников и должно быть как можно меньше, чтобы оптимально обеспечить электрическую производительность системы. Задержка в линиях связи:
![]()
где г – конструктивная задержка времени распространения сигнала на единицу длины, L и С – индуктивность и емкость на единицу длины, тд – задержка на единицу длины при передаче сигналов в вакууме, е – диэлектрическая проницаемость среды, в которой распространяется сигнал, /и – магнитная проницаемость среды. Поскольку в цепях передачи сигналов используются в большинстве случаев немагнитные материалы, скорость распространения сигналов зависит главным образом от относительной диэлектрической проницаемости, значения которой у современных диэлектриков печатных плат лежат в диапазоне 2,5…6. Следовательно, задержка сигналов в линии может превышать 6 нс/м.
Емкостные нагрузки, создающиеся ответвлением трасс, вносят дополнительные задержки сигналов. Поэтому соединения нескольких приемников сигналов, как правило, выполняют не разветвлениями, а последовательным обходом, чтобы предотвратить это рассогласование.
Использование диэлектриков с улучшенными характеристиками дает незначительный выигрыш в задержке. Поэтому в общем случае конструктивная задержка сигналов зависит от длины сигнальных трасс.
5.2 Погонная емкость
Емкость проводников, отнесенных к единице длины:
![]()
Для проводников, располагаемых в одной плоскости:
![]()
где В-ширина проводника, см; Н – толщина межслойной изоляции, см; S – расстояние между краями проводников, см.
Если толщина печатной платы составляет больше 10% ширины проводника, необходимо вводить поправку на краевой эффект добавлением к вычисленному значению погонной емкости значение краевой емкости, значение которой может составлять до 20%.

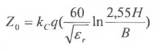
5.3 Волновое сопротивление
Для систем, работающих при частоте выше 25 МГц, межсоединения должны иметь такие характеристики линий передачи, чтобы потери сигналов и искажения были минимальны. Правильный расчет линий передачи требует внимательного учета расстояния между проводниками и экранами и соблюдения точности их размеров, чтобы предотвратить рассогласование линий передач и в, конечном итоге, обеспечить быстродействие системы. Существует два основных типа линий передачи:
• открытые линии, когда сигнальная трасса находится над единственным экраном;
• закрытые линии, когда сигнальные трассы располагаются между экранами.

И та и другая линии могут быть реализованы только в многослойных структурах, и уже только это определяет необходимость их использования.
Волновое сопротивление линии (Ом) рассчитывается, исходя из следующих выражений:
![]()
для открытой линии:

где В-ширина проводника, см; Н – толщина межслойной изоляции, см; Л – толщина проводника, см; кс и кн – коэффициенты, учитывающие особенности конструкции экранов открытых и закрытых линий; q – коэффициент, учитывающий эксцентриситет положения печатного проводника относительно экранных слоев в закрытых линиях.
Задача согласования линий связи решается технологическим обеспечением воспроизведения заданного значения их волнового сопротивления, т.е. нормированием всех дестабилизирующих факторов, свойственных производству печатных плат. По результатам анализа влияния этих факторов можно сделать заключение о приемлемости дисперсий волнового сопротивления печатных проводников, реализуемых в производстве печатных плат, или принять решение о необходимости дополнительного контроля всех или отдельных конструктивных параметров печатных плат, оказывающих наибольшее влияние на разброс волнового сопротивления, если эта величина больше приемлемого допуска. По результатам дисперсионного анализа реального производства можно сделать заключение, что при соблюдении обычных норм контроля за технологическим процессом обеспечивается погрешность воспроизведения волнового сопротивления линий связи в МПП в пределах + 15%, при управлении процессом воспроизводства ширины проводников и толщины межслойной изоляции – 8… 10%.
6. Энергопотребление
Увеличение производительности электронных устройств и интеграции микросхем приводит к соответствующему увеличению энергопотребления. Некоторые микросхемы потребляют до 30 Вт. Такая мощность потребления в сочетании с низким напряжением питания делает узлы и блоки электронных систем чувствительными к, так называемым, перекосам напряжения в пределах одной платы. Это обуславливает задачу обеспечения равномерного распределения питания и заземления в платах за счет низкого сопротивления этих цепей, работающих при напряжениях 5; 3,3; 2,8 В.
6.1 Цепи питания
Очевидно, что цепи питания должны иметь низкоомное сопротивление, чтобы распределение потенциалов было равномерным по всей плоскости платы. В некоторых случаях требуются даже отдельные навесные шины, чтобы избежать заметного падения напряжения питания в схемах с мощным энергопотреблением.
Но кроме низкого сопротивления от цепей питания и заземления требуется еще и низкая индуктивность для ослабления импульсных помех, определяемых скоростью переключения в схемах с высоким быстродействием. В двусторонних платах цепи питания неизбежно имеют большой контур потокосцепления, а значит и большую индуктивность.
Наиболее удачно эти проблемы решаются в МПП, изготавливаемых методом металлизации сквозных отверстий, где есть возможность выделить для цепей земли и питания отдельные слои, играющие одновременно роль электрических экранов, заземленных по высокой частоте. Вместе с тем, экраны, выполненные в виде параллельных металлических плоскостей, имеют хорошую развязывающую емкость и низкую индуктивность за счет ничтожно малой площади контура, сосредоточенного между слоями земли и питания.
6.2 Сопротивление цепей
Расчет сопротивления печатных проводников при проектировании печатных плат требуется в основном для того, чтобы избежать недопустимо большого падения напряжения в сигнальных и потенциальных цепях, которое может приводить к потере мощности сигнала и к неравномерному распределению напряжения питания по рабочему полю платы, перегреву слабых элементов соединений. При тестировании печатных плат омическое сопротивление элементов соединений может служить критерием их качества.
Расчет сопротивления элементов соединений производится, исходя из общеизвестных соотношений. Применительно к плоским проводникам печатных плат и размерностям, используемым в технике печатного монтажа, можно использовать соотношение:
г= 17,5/5/1,
где г – погонное сопротивление, мОм/мм; В-ширина проводника, мм; А – толщина фольги, мкм.
Таблица 2.10 Реальные значения металлической толщины проводников
| Масса единицы площади |
Номинальная толщина, |
Толщина на внутренних слоях (без металлизации). |
Толщина на внешних слоях после металлизации. |
|
| Унция/ кв. фут |
г/ кв. м |
мкм |
мкм |
мкм |
| 0,5 OZ |
152,5 |
17,2 |
12 |
45 |
| 1 OZ |
305 |
34,3 |
28 |
60 |
| 2oz |
610 |
68,6 |
64 |
100 |
| 3 oz |
915 |
103,0 |
98 |
130 |
| 4 oz |
1220 |
137,0 |
130 |
170 |
Исследования показывают, что в ряде случаев результаты расчетов сопротивлений элементов соединений по их геометрии и стандартным удельным характеристикам материалов не полностью соответствуют реальным значениям. Это объясняется наличием множества побочных факторов. Основными из них являются значительные разбросы геометрических характеристик элементов соединений, отличие удельных сопротивлений химической и гальванической металлизации в отверстиях и на проводниках от известного значения для натуральной металлической меди, Омсм: чистая отожженная медь – 1,72–106 , медная фольга – 1,75–106 , медное гальванопокрытие – -106 , химически осажденная медь – -106 . Поэтому поиски точных расчетных соотношений для определения активного сопротивления элементов соединений печатных плат не оправданы. В табл. 2.10 показано, например, как отличается толщина реальных проводников от номинальных значений толщины фольги.
6.3 Токонесущая способность проводников
Для надежной работы необходимо, чтобы нагрев проводников под действием тока не приводил к физико-химическим изменениям, как в элементах соединений, так и в окружающем их диэлектрике. Сами печатные проводники, благодаря своей плоской форме, хорошо отдают тепло и допускают большие плотности тока без каких-либо для них последствий. Поэтому площади поперечного сечения проводников определяются, в первую очередь, необходимостью обеспечить низкое сопротивление цепей. И если это обеспечено, токонесущая способность проводников будет обеспечена с большим запасом. Чаще всего с ограниченной токонесущей способностью проводников приходится считаться в точках ввода питания в плату, откуда большие токи распределяются по соответствующим цепям. Если этих точек мало, и они не распределены по периметру платы, могут возникнуть локальные температурные перегрузки, вызывающие термодеструкцию диэлектрика. С другой стороны, большие сечения проводников в местах токоподвода затрудняют пайку. Поэтому лучше иметь много маломощных вводов, чем один мощный.
О токонесущей способности проводников чаще приходится говорить при тестировании плат когда для диагностики надежности используют нагрузку тестируемых цепей большими токами.
Чтобы учесть все факторы, влияющие на кинетику нагрева проводников током, представим физическую модель, условно показанную на рис. 2.14.

Условно выделенный элемент проводника с массой т и удельной теплоемкостью с имеет в исходном состоянии при температуре окружающей среды Тв сопротивление го . При прохождении через проводник тока / на сопротивлении го выделяется мощность Р. Температура проводника повышается на Т. Условия теплоотдачи проводника определяется тепловым сопротивлением F. Нагрев проводника вызывает дополнительное увеличение сопротивления, соответствующее температурному коэффициенту сопротивления.
Взаимосвязи термодинамического процесса нагрева проводника можно описать системой уравнений:
![]()
мощность, выделяемая на сопротивлении проводника R, зависящим от температуры перегрева T относительно первоначальной температуры окружающей среды; T = T – То
– перегрев проводника относительно первоначальной температуры окружающей среды То
\ T = Q/c – температура проводника, где
– количество тепла, накапливаемое в элементе проводника;
P = P – Р – разность между выделяемой P и отводимой Р 0) мощностями, обуславливающая изменение температуры элемента проводника T\ Р = T/F – мощность, отводимая от элемента проводника через тепловое сопротивление F.
Уравнение, связывающее выделяемую мощность с накапливаемой в теплоемкости элемента и отводимой через тепловое сопротивление, можно представить следующим образом:
![]()
Решение дифференциального уравнения имеет вид:

где Fm – тепловое сопротивление в установившемся режиме; г – постоянная времени термодинамического процесса нагрева, равная
![]()
Начальная скорость нарастания температуры

т.е. в начальной стадии нагрев проводника током – процесс адиабатический, не зависящий от характеристик внешней среды, окружающей проводник. Характер дальнейшего развития процесса нагрева зависит от знака корня уравнения р = PRgFa: при р>0 процесс сводится к установившемуся значению, а изменение температуры во времени

при р<0 температура проводника неограниченно растет, пока не будет выключен ток или не перегорит проводник; при р = 0 процесс нагрева характеризуется линейным во времени возрастанием температуры:
![]()
Линейный режим является граничным между устойчивым и неустойчивым режимами нагрева. Поэтому он определяет критическое значение тока:
![]()
Если ток не ограничивается во времени и превышает значение /, то происходит разрушение соединения. Процесс остывания проводника при 1 = 0 характеризуется постоянной времени
![]()
и определяется выражением:
![]()
где AT – температура, на которую был нагрет проводник в момент выключения тока.
Тепловое сопротивление Fw теплоемкость тс связаны с геометрией проводника, характеристикой окружающей его среды и характером процесса нагрева проводника. В установившемся процессе нагрева, когда тепловыделение и теплоотдача уравновешиваются, тепловое сопротивление теплоотдачи связано, в основном, с сопротивлением от поверхности платы в окружающую среду, так как тепловое сопротивление диэлектрика в этой теплопередаче составляет доли градуса.

В переходном режиме тепловое сопротивление и теплоемкость меняются во времени. В начальный момент времени, после включения тока, тепловое сопротивление теплоотвода определяется сопротивлением теплопередачи от нагревающегося проводника в область диэлектрика, находящуюся в непосредственной близости от его поверхности. В этот момент нагревается преимущественно тело элемента проводника, т.е. процесс нагрева близок к адиабатическому. С течением времени нагреваются все большие и большие массы материала вокруг проводника, границы теплоотвода отодвигаются, следовательно, меняются значения теплоемкости C = mc и теплового сопротивления F. Стадии нагрева проводника током показаны на рис. 2.16.
Для удобства расчетов максимальной температуры перегрева можно воспользоваться упрощенным соотношением:
![]()
где J – плотность тока. А/мм2 ; В-ширина проводника, мм; / коэффициент теплопередачи, средние значения которого:
• для двусторонних печатных плат и наружных слоев МПП составляет Ш…200 А2 /;
• для проводников внутренних слоев МПП – 250…320А2 /.
7. Элементы кондуктивного теплоотвода
Вся энергия, подводимая для питания интегральных микросхем, должна быть эффективно выведена из системы, чтобы обеспечить ее работоспособность в течение длительного времени. Отвод тепла от системы является одной из самых трудных задач при разработке конструкций электронных устройств. В большинстве из них для отвода тепла используют огромные по сравнению с размерами микросхем радиаторы, часто снабженные дополнительным вентилятором, а в некоторых применяют гигантские системы с жидкостным охлаждением. Реально существуют даже системы с погружным охлаждением. И чем меньше по объему электронные устройства, тем большие плотности энергии в них сосредотачиваются и тем сложнее вывести это тепло во внешнюю среду, иначе устройство просто сгорит. Поэтому наряду с электрическим конструированием приходится считаться с проблемами теплового конструирования электронной аппаратуры.

Хотя сами по себе печатные платы не являются источником нагрева, компоненты, смонтированные на них нуждаются в отводе тепла. Конечно, если используется воздушное или погружное охлаждение, печатные платы выполняют пассивную роль. От них требуется лишь устойчивость к воздействию внешней среды, которую несет внутрь аппаратуры воздушный поток или среда погружения. Конструкция печатной платы становится активной в теплопередаче, если в нее введены элементы кондуктивного теплоотвода: сквозные технологические отверстия или навесные металлические шины, на которые устанавливаются теплонагруженные компоненты, теплоотводящие слои с выходом на периферию платы с тепловыми клиньями для теплопередачи на корпус устройства. Тогда платы можно физически изолировать от внешней среды и избежать тем самым ее вредного воздействия на надежность печатных узлов или ослабить защиту плат от внешних воздействий.

8. Себестоимость
Себестоимость конечного продукта стала наиболее важным критерием при разработке любых электронных систем. Независимо оттого, что при разработке следует учитывать все функциональные и эксплуатационные требования, все же определяющим критерием для инженера-разработчика должна оставаться себестоимость, и он должен анализировать все возможные компромиссы в целях достижения наилучшего соотношения цена / качество конечного продукта.
Учет требований процессов производства печатных плат и сборки печатных узлов в процессе разработки изделия может обеспечить снижение расходов на сборку на 35%, а себестоимости печатных плат – на 25%.
Структура прямых расходов на производство печатных плат, определяющая их себестоимость, показана в табл. 2.11. Наиболее большие затраты приходятся на базовые материалы и инструмент. Тем более, что здесь приведены данные, связанные с импортом. Использование импортных поставок удорожает печатные платы на 50…60% относительно их себестоимости за рубежом, но создает устойчивость производства и качества, что всегда больше ценится производителем: меньше издержек на брак при изготовлении и сборке, большие гарантии надежности, возможность своевременного выполнения заказа и др.
Обозначения: ДПП – двухсторонние печатные платы, МПП, МПП и МПП – многослойные печатные платы сквозной металлизации 4-, 6 и 8-слойные, МПП – 8-слойные с 4 слоями послойного наращивания.
Из таблицы можно увидеть, что в первых строчках расходов стоят материалы и инструмент. Трудозатраты, энерго- и водообеспече-ние не занимают большой доли в себестоимости плат, что выгодно отличает отечественное производство от зарубежного. В табл. 2.12 показаны сравнительные характеристики этих статей расхода, чтобы видеть, как может позиционироваться Российская электронная индустрия в международном разделении труда. Из анализа этих данных становится очевидной актуальность организации высококачественного отечественного производства полуфабрикатов, инструмента и материалов для производства печатных плат.
![]()