| Похожие рефераты | Скачать .docx |
Реферат: Обезжелезивание природных вод
Подземные воды многих регионов земного шара часто характеризуются повышенным содержанием железа. Например, в Индокитае подземные воды с содержанием железа выше нормативов составляют около 60%. Железосодержащие воды широко распространены в Северной и Центральной Европе, в Сибири и на Дальнем Востоке, в Северной Америке, на Юге Африки.
Повышенное содержание железа в воде придает ей буроватую окраску, неприятный металлический привкус, вызывает зарастание водопроводных сетей и водоразборной арматуры, является причиной брака в текстильной, пищевой, бумажной, химической и других отраслях промышленности. Повышенное содержание железа в питьевой воде вредно для здоровья человека. При продолжительном введении в организм железа избыток его накапливается в печени в коллоидной форме оксида железа, получившей название гемосидерина, который вредно действует на клетки печени, вызывая их разрушение. Поэтому воду с повышенным содержанием железа необходимо обезжелезивать.
Многообразие форм и концентраций железа, встречающихся в природных и сточных водах, вызвало необходимость разработки целого ряда методов, технологических схем и сооружений обезжелезивания воды. Большой вклад в решение проблемы обезжелезивания природных и оборотных вод внесли российские ученые И.Э. Апельцин, В.А. Клячко, Г.И. Николадзе, Л.А. Кульский, А.М. Перлина, К.А. Мамонтов, Г.Ю. Асс.
В поверхностных водах железо обычно встречается в виде органических и минеральных комплексных соединений, либо коллоидных или тонкодисперсных взвесей. Преобладающей формой существования железа в подземных водах является бикарбонат железа (II), который устойчив только при наличии значительных количеств углекислоты и отсутствии растворенного кислорода. Наряду с этим железо встречается в видесульфида, карбоната и сульфата железа (II), комплексных соединений с гуматами и фульвокислотами.
Гидроксид железа может присутствовать в воде в коллоидном состоянии, которое является одной из основных форм существования. Оно в значительной степени повышается благодаря защитному действию гумусовых веществ в результате того, что частицы неустойчивого в воде (гидрофобного) коллоида адсорбируют на своей поверхности частицы другого коллоида, который имеет более сильную связь с молекулами воды, т. е. обладает гидрофильным характером. Железо может быть переведено ,из этого комплекса в осадок двумя путями: естественным — при участии бактерий, разрушающих органическое вещество, и искусственным — с помощью сильных окислителей, уничтожающих защитные коллоиды. Вместе с тем выпадению гидроксида железа из коллоидного состояния в осадок способствует наличие противоположно заряженных золей кремниевой кислоты (коагуляции).


Рис. 1. Диаграммы Пурбе для железа (а) и марганца (б).
На рис. 1, а представлена диаграмма Пурбе, отражающая состояние системы железо — вода в координатах окислительно-восстановительный потенциал — значение рН. Вертикальными прямыми показаны значения рН гидратообразования при реально устанавливающемся равновесии в системе. Как следует из диаграммы, при значениях рН<4,5 железо находится в воде в виде ионов Fe3+, Fe2+ и Fe(OH)2+. Повышение значения рН приводит к окислению железа(II) в железо(III), которое выпадает в осадок. В этих же условиях при Е<0,2 В и наличии в воде сульфидов может выделяться черный осадок FeS. В восстановительной среде в присутствии карбонатов и при рН>8,4 возможно выделение карбоната, а при рН> 10,3 — гидроксида железа (II).
При наличии катализаторов — растворенных в обрабатываемой воде ионов меди, марганца и фосфат-ионов, а также при контакте ее с оксидами марганца или с ранее выпавшим гидроксидом железа(III) скорость окисления железа(II) кислородом значительно возрастает (рис. 2.2, а). С повышением значения рН среды время, затрачиваемое на окисление соединений железа (II), значительно сокращается. Окисление железа (И) кислородом воздуха происходит по реакции
4Fe2+ + 02 + 8НСО3- + 2Н2О = 4Fe(ОН)3 + 8С02


Рис. 2. Графики оксидации железа (И) кислородом в присутствии катализаторов (а) и кинетика его оксидации кислородом, хлорамином и хлором (б) при различных рН воды. 1 — без катализатора; 2, 3 — в присутствии меди и диоксида марганца (дозы по 0,02 мг/л); 4 — в присутствии гексаметафосфата (доза 2 мг/л);
По стехиометрии на окисление 1 мг железа (II) расходуется 0,143 мг растворенного в воде кислорода; щелочность воды при этом снижается на 0,036 мг-экв/л. Скорость окисления соединений железа(II) значительно возрастает при хлорирование воды (нормальный окислительно-восстановительный потенциал хлора Е=1,36 В). Соединения железа(II) в присутствии гидрокарбонатов природных вод полностью гидролизуют по реакции:
2Fe2+ + С12 + 6НСО3- = 2Fe(ОН)3 + 2Сl+ 6С02
По стехиометрии на окисление 1 мг железа (II) расходуется 0,64 мг хлора; щелочность воды при этом снижается на 0,018 мг-экв/л. Как видно из рис. 2.2, б, при замене свободного хлора дихлорамином (Е=0,66В при рН 5) время, необходимое для окисления соединений железа (II), значительно возрастает.
При обработке воды перманганатом калия реакция окисления и последующего гидролиза протекает по уравнению
4Fe2+ + МnО4- + 8НСО3- + 2Н20 = 4Fe(ОН)3 + МnО2 + 8С02
По стехиометрии на окисление 1 мг железа (II) расходуется 0,71 мг перманганата калия; щелочность воды при этом уменьшается на 0,036 мг-экв/л.
Для деферризации воды следует использовать несколько методов адекватно формам, количеству железа и буферным свойствам исходной воды. Все многообразие методов, применяемых в технологии обезжелезивания воды, можно свести к двум основным типам, реагентные и безреагентные. Из применяемых в настоящее время безреагентных методов обезжелезивания воды перспективными являются: вакуумно-эжекционная аэрация и фильтрование (рис. 2.3, а); упрощенная аэрация и фильтрование; «сухая фильтрация»; фильтрование на каркасных фильтрах; фильтрование в подземных условиях с предварительной подачей в пласт окисленной воды или воздуха (рис. 2.4); аэрация й двухступенчатое фильтрование; ультрафильтрация.
К реагентным относятся следующие методы: упрощенная аэрация, окисление, фильтрование, напорная флотация с известкованием и последующим фильтрованием; известкование, отстаивание в тонкослойном отстойнике и фильтрование-, фильтрование через модифицированную загрузку; электрокоагуляция, катионирование; озонирование и фильтрование.

Многообразие методов обезжелезивания воды исключает их равноценность в отношении надежности, технологичности, экономической целесообразности, простоты, области применения и т. п. Обезжелезивание поверхностных вод можно осуществить лишь реагентными методами, а для удаления железа из подземных вод наибольшее распространение получили безреагентные методы.
Безреагентные методы обезжелезивания могут быть применены, когда исходная вода характеризуется: рН — не менее 6,7; Щелочностью — не менее 1 мг-экв/л; перманганатная окисляемость — не более 7 мг 02/л. При этом при содержании железa(III) не более 10% от общего и концентрации железа(П) в бикарбонатной или карбонатной форме до 3 мг/л рекомендуется метод фильтрования на каркасных фильтрах без вспомогательных фильтрующих средств, до 5 мг/л предпочтительно применять метод сухой фильтрации от 5 до 10 мг/л следует использовать метод упрощенной аэрации с одноступенным фильтрованием; от 10 до 20 — аэрация и двухступенчатое фильтрование; от 10 до 30 мг/л — рекомендуется вакуумно-эжекционная аэрация с фильтрованием через загрузку большой грязеемкости.

При концентрации углекислого или карбонатного железа(П) более 20 мг/л или при содержании сероводорода 1...5 мг/л, рН 6,4 рекомендуется метод вакуумно-эжекционной аэрации с последующим отстаиванием в тонком слое воды или обработкой в слое взвешенного осадка и фильтрование.
Реагентные методы обезжелезивания воды следует применять при низких значениях рН, высокой окисляемости, нестабильности воды. При этом при содержании сернокислого или карбонатного железа, либо комплексных железоорганических соединений: до 10 мг/л и перманганатной окисляемости до 15 мг O2/л рекомендуется применять фильтрование через модифицированную загрузку, до 15 мг/л и перманганатной окисляемости до 15 мг 02/л предпочтителен метод, предусматривающий упрощенную аэрацию, обработку сильным окислителем и фильтрование через зернистую загрузку большой грязеемкости; свыше № мг/л и перманганатной окисляемости более 15 мг/л следует применять напорную флотацию с предварительным известкованием и последующим фильтрованием или метод, предусматривающий аэрацию, известкование, отстаивание в тонком слое и фильтрование; свыше 10 мг/л, перманганатной окисляемости более 15 мг 02/л при производительности установок до 200 м3/сут можно рекомендовать электрокоагуляцию с барботированием, отстаиванием в тонком слое и фильтрование.

Рис. 2.3. Технологические схемы установок обезжелезивания воды.
а — вакуумно-эжекциоииой аэрации и фильтрования; б — упрощенной аэрации с одноступенчатым фильтрованием; в — упрощенной аэрации с двухступенчатым фильтрованием; г — сухой фильтрации; д — известкования; е — фильтрованием через намывной слой; 1 я 8— подача исходной и отвод обезжелезенной воды; 2 — вакуумно-эжекционный аппарат; 3 — каркасно-засыпные фильтры; 4 — резервуар промывной воды; 5 — повысительный насос; 6 и 11 — установка для фторирования и обеззараживания воды; 7 — водонапорный бак; 9 — воздуходувка; 10 — скорый осветлительный фильтр; 12 — аэрационное устройство; 13 — осветлительный фильтр II ступени; 14 — сброс воздуха; 15 — скорый фильтр с «сухой загрузкой»; 16 — смеситель; 17 — вихревая камера хлопьеобразования; 18 — тонкослойный отстойник; 19 — намывной фильтр



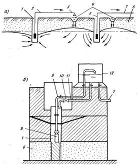
Рис. 17.4. Схемы очистки подземных вод в пласте.
а — система «Гидрооксиринг», б — односкважинная установка; в — многоскважинная. 1 — вспомогательная скважина, 2 — трубопровод, 3 — устройство для аэрации воды, 4 — кольцевой инфильтрационный бассейн, 5 — эксплуатационная скважина, 6 —зона аэрации, 7 — отвод воды потребителю, 8 — насос, 9 — трубопровод подачи воды в сборную емкость, 10 — эжектор, 11 — трубопровод подачи воды из сборной емкости в скважину, 12 — сборная емкость
Обезжелезивание воды катионированием целесообразно лишь в тех случаях, когда одновременно с обезжелезиванием требуется умягчение воды, при этом ионным обменом могут быть лишь извлечены ионы железа (II).
Метод упрощенной аэрации (см. рис. 17.3, б) применим как в гравитационном, так и в напорном варианте в зависимости от производительности установки. Помимо вышеуказанных, показателями применимости этого метода являются условия, когда Е воды после аэрации будет не менее +100 мВ и индекс стабильности воды (J) не менее +0,05. Метод упрощенной аэрации основан на способности воды, содержащей двухвалентное железо и растворенный кислород, при фильтровании через зернистый слой выделять железо на поверхности зерен, образуя каталитическую пленку из ионов и оксидов двух- и трехвалентного железа. Эта пленка активно интенсифицирует процесс окисления и выделения железа из воды. Обезжелезивание воды в загрузке, покрытой пленкой, является гетерогенным автокаталитическим процессом, в результате чего обеспечивается непрерывное обновление пленки как катализатора непосредственно при работе фильтра.
При этом методе не требуется окисление двухвалентного железа в трехвалентное и перевод его в гидроксид в связи с чем отпадает необходимость в устройстве дорогостоящих аэрационных сооружений. Упрощенная аэрация осуществляется с помощью несложных приспособлений путем излива воды с небольшой высоты в карман или центральный канал фильтра, либо путем вдувания воздуха в обрабатываемую воду. Отсутствие специальных аэрационных устройств и контактных емкостей упрощает эксплуатацию и снижает стоимость очистки.
Для расчета фильтрующей загрузки при обезжелезивании додземных бикарбонатных и карбонатных вод по методу упрощенной аэрации рекомендуется эмпирическая формула Г.И. Николадзе
(17.1)
где L — толщина слоя фильтрующей загрузки: м; и —скорость фильтрования, м/ч; d3 — эквивалентный диаметр фильтрующей загрузки, мм; Л=СИ/СФ (здесь СИ и Сф — содержание железа (II) соответственно в исходной воде и в фильтрате, мг/л); К— константа реакции окисления железа (II), определяемая эмпирическим путем; а и n — соответственно коэффициент формы зерен и пористость фильтрующей загрузки; t1 — температура исходной воды, °С; [02]—содержание в воде растворенного кислорода, мг/л.
Сущность метода «сухой фильтрации» (см. рис. 17.3, г) заключается в фильтровании воздушно-водяной эмульсии через «сухую» (незатопленную) зернистую фильтрующую загрузку путем образования в ней вакуума или нагнетания больших количеств воздуха с последующим отсосом из поддонного пространства. В обоих случаях в поровых каналах фильтрующей загрузки образуется турбулентный режим движения смеси, характеризующийся завихрениями и противотоками, что способствует молекулярному контакту воды с поверхностью зерен контактной массы. При этом на зернах фильтрующей загрузки формируется адсорбционно-каталитическая пленка из соединений железа (и марганца, если он присутствует в воде), повышая эффективность процессов деманганации и обезжелезивания.
Особенностью процесса является образование дегидратированной пленки на зернах загрузки (песок, керамзит, антрацит, винипласт, полистирол, полиметилметакрилат и др.), состоящей, как показали рентгенографические определения, из магнетита, сидерита, гетита и гематита. Указанные соединения имеют плотную структуру, а объем их и 4...5 раз меньше, чем гидроксида железа. Поэтому темп прироста потерь напора в фильтрующей загрузке при напорном фильтровании по методу «сухой фильтрации» чрезвычайно мал, а продолжительность фильтроцикла — велика (от нескольких месяцев до года и более). Характерными особенностями процесса являются: минимальный период «зарядки» фильтрующей загрузки (т. е. образование на поверхности зерен активной адсорбционной пленки), составляющий от 0,3 до 2 ч, повышение рН и некоторое снижение жесткости фильтрата, высокая грязеемкость загрузки и отсутствие промывных вод (загрузка отмывается от соединений железа 0,5...1 %-ным раствором дитианита или заменяется на новую, можно отмывать 5...10°/о-ным раствором ингибированной соляной кислоты). В фильтрате обычно наблюдается железо(II) и следы Fe (III). Продолжительность, сут. фильтроцикла, фильтра работающего по схеме «сухой фильтрации», по Г. И. Николадзе равна

где К1 — воздушно-водяное отношение. Остальные обозначения см. к формуле (17.1).
Метод упрощенной аэрации с двухступенчатым фильтрованием (рис. 17.3, в) предпочтительно применять в напорном варианте. Сущность процесса аналогичная описанной выше. В самом начале процесса обезжелезивания при поступлении на фильтр первых порций воды, когда загрузка еще чистая, адсорбция соединений железа на ее поверхности происходит в мономолекулярном слое, т. е. имеет место физическая адсорбция, обусловленная силами притяжения между молекулами адсорбата и адсорбента (поверхность твердого тела — адсорбента насыщается молекулами адсорбата). После образования мономолекулярного слоя процесс выделения соединений железа на зернах песка не прекращается, а наоборот, усиливается вследствие того, что образовавшийся монослой химически более активен, чем чистая поверхность песка. Электронно-микроскопические исследования пленки показали, что она состоит из шаровых молекул гидроксида железа и других соединений, как железа(III), так и железа(II). Количество связанной воды в пленке достигает 20%. Величина истинной поверхности пленки составляет не менее 200 м2/г.
Адсорбционные свойства пленки из соединений железа на зернах фильтрующей загрузки, высокая ее удельная поверхность и наличие большого количества связанной воды позволяют сделать вывод, что пленка представляет собой очень сильный адсорбент губчатой структуры. Одновременно, пленка является катализатором окисления поступающего в загрузку железа(II). В связи с этим эффект очистки воды зернистым слоем несравненно выше, чем это могло быть в гомогенной среде.
Для катализатора такого типа некоторые вещества, находящиеся в воде (аммиак, сероводород, свободная углекислота, коллоидная кремнекислота), являются «ядами». Молекулы этих веществ имеют по паре свободных электронов, которые могут участвовать в образовании ковалентных связей с поверхностью катализатора, что при значительных концентрациях этих соединений приводит к понижению его активности.
Процесс описывается следующим уравнением:

где Feости FeH— соответственно содержание железа в фильтрате фильтра II ступени и в обрабатываемой воде, мг/л; h1 и h2 — соответственно высоты слоев фильтрующей загрузки на фильтрах I и II ступеней; v1 и i>2 — соответственно скорости фильтрования на фильтрах I и II ступеней.
Метод фильтрования на каркасных фильтрах следует применять для обезжелезивания воды на установках производительностью до 1000 м3/сут. Сущность обезжелезивания воды по рассматриваемому методу заключается в том, что железо (II) после окисления переходит в осаждающееся железо(III). Гидроксид железа, формирующийся в нижней части аппарата, намывается на патрон. При этом в начале процесса решающую роль играет различие в зарядах керамического патрона, хлопьев гидроксида железа и ионов железа (II). Нарастающий на патроне слой гидроксида железа служит контактным материалом для новых постоянно намываемых агрегатов, при этом происходят как физические, так и химические процессы. Патрон служит только опорным каскадом для фильтрующего слоя гидроксида железа.
При обезжелезивании природных вод на патронных фильтрах .первой стадии процесса является фильтрование с постепенным закупориванием пор фильтрующей перегородки. Эта стадия заканчивается по достижении определенного соотношения объема твердых частиц, задержанных в порах, к объему самих пор, после чего наступает вторая стадия — фильтрование с образованием первоначального слоя осадка. На этом заканчивается процесс зарядки фильтра и начинается фильтрование с целью обезжелезивания воды.
Формулы (17.4) и (17.5) позволяют определять количество фильтрата Q,м3/ч, получаемого с 1 м2 фильтрующей поверхности и скорость фильтрования v,м/ч:
Q= 100(37,3—4,8υ—3,5) [FeH] + 0,27 [FeH]2 — l,67υ[Fe]; (17.4)
υ=1 — 0,062[FeB] — 0,003[FeH]2 (17.5)
По Г.И. Николадзе продолжительность фильтроцикла можно определить из выражения
![]()
где Δр — перепад давления при фильтровании; mт — масса твердой фазы, задерживаемой фильтрующим каркасом при получении единицы объема фильтрата; [FeH] — содержание железа в обрабатываемой воде.
Сущность метода аэрации с использованием вакуумно-эжекционных аппаратов (рис. 17,5) заключается в окислении кислородом воздуха железа(II) в окисное с образованием коллоида гидроксида железа, его коагулировании при рН=6,8...7 и выделении в осадок в виде бурых хлопьев. При контакте воды, содержащей железо(II), с воздухом кислород растворяется в воде, окислительный потенциал системы повышается, и если при этом создать условия для удаления части растворенной углекислоты, то рН системы возрастет до значения, обеспечивающего при данном окислительном потенциале выпадение в осадок гидроксида железа(III).

Рис. 17.5. Вакуумно-эжекционное устройство.
а — общий вид; б — разрез по оси аппарата; I — конический сходящийся иасадок; 2 — вакуумная камера; 3 — окна для подсоса воздуха и удаления диоксида углерода;4 — эжекционные камеры; 5 — отражательная пластина (вариант)
При использовании в этой схеме осветлителей со слоем взвешенного осадка процесс по Г.И. Николадзе описывается следующим уравнением:
![]()
где Fe0 и FeH— соответственно содержание железа в воде после осветлителя и в обрабатываемой воде, мг/л; b— экспериментальный коэффициент, зависящий от свойств воды, ч-1; Я — Высота взвешенного слоя, м; v— скорость восходящего движения воды во взвешенном слое, м/ч; n — экспонента, учитывающая влияние окисления железа(II) на эффект обезжелезивания воды.
Обезжелезивание воды фильтрованием через модифицированную загрузку основано на увеличении сил адгезии путем воздействия на молекулярную структуру поверхности зерен фильтрующей загрузки. Для увеличения сил адгезии, как показали исследования, необходимо на поверхности зерен фильтрующей загрузки образовать пленку из соединений, имеющих более высокое значение константы Ван-дер-Ваальса. Кроме того, электростатические свойства этих соединений должны обеспечить изменение дзета-потенциала поверхности зерен в нужном направлении. При этом силы адгезии соприкасающихся тем больше, чем' больше молекулярные массы.
Методика модификации загрузки предусматривает ее последовательную обработку 1,5%-ным раствором серно-кислого железа (II), а затем 0,5%-ным раствором перманганата калия. Суммарная продолжительность контакта 30 мин. Спустя 20 мин после начала работы фильтрат отвечает лимитам ГОСТ 2874—82. «Вода питьевая».
Обезжелезивание воды упрощенной аэрацией, хлорированием и фильтрованием заключается в удалении избытка углекислоты и обогащении воды кислородом при аэрации, что способствует повышению рН и первичному окислению железоорганических соединений. Окончательное разрушение комплексных соединений железа (II) и частичное его окисление достигаются путем введения в обрабатываемую воду окислителя (хлора, озона, перманганата калия и т. п.). Соединения закисного и окисного железа извлекаются из воды при фильтровании ее через зернистую загрузку.
Хлор вводится в водяную подушку через специальную распределительную трубчатую систему; при этом требуется обеспечить необходимое время контакта окислителя с обрабатываемой водой. В качестве фильтровального аппарата рекомендуются контактные фильтры КФ-5 с повышенной грязеемкостью. В контактном фильтре КФ-5 фильтрующая загрузка состоит из трех слоев толщиной по 0,6 м: верхний слой — керамзит или полимеры с крупностью зерен 2,3...3,3 мм, средний слой — антрацит или доменный шлак с крупностью зерен 1,25...2,3 мм, нижний слой — кварцевый песок или горелые породы с зернами крупностью 0,8...1,25 мм. Скорость фильтрования 7 м/ч, промывка водяная.
Обезжелезивание методом напорной флотации основано на действии молекулярных сил, способствующих слипанию отдельных частиц гидроксида железа с пузырьками тонкодиспергированного в воде воздуха и всплывании образующихся при этом агрегатов на поверхность воды. Метод флотационного выделения дисперсных и коллоидных примесей природных вод весьма перспективен вследствие резкого сокращения продолжительности процесса (в 3...4 раза) по сравнению с осаждением или обработкой в слое взвешенного осадка.
Процесс напорно-флотационного разделения хлопьев гидроксида железа можно подразделить на следующие стадии: окисление закисного железа в окисное, растворение воздуха в воде и образование пузырьков; образование комплексов «пузырек воздуха — хлопья гидроксида железаподъем этих комплексов на поверхность воды. Каждая стадия оказывает существенное влияние на эффективность и экономичность процесса.
На эффективность процесса всплывания хлопьев при флотационном разделении оказывают влияние концентрация взвешенных веществ (исходная концентрация железа, доза извести), .количество и размер пузырьков, продолжительность флотации, а также гидродинамические условия. Эффект флотации можно определить по формуле
(17.8)
где uп — скорость подъема пузырьков; Т — продолжительность пребывания воды во флотаторе; П — количество пузырьков воздуха в единице объема воды; Н0 — высота слоя воды во флотаторе; а —коэффициент вероятности закрепления пузырьков на хлопке гидроксида железа при подъеме его на 1 см.
При увеличении продолжительности флотации, давления в напорном баке, дозы извести, а также исходного содержания железа, эффект обезжелезивания повышается, а при увеличении количества дисперсионной воды — понижается. Другие факторы, как показывают уравнения регрессии, существенного влияния не оказывают.
![]()
где Т — продолжительность пребывания воды во флотаторе, мин; (/ — количество воды, подвергаемое насыщению воздухом, л; Ди —доза извести, мг/'л; р — давление насыщения, МПа; Fe„ — исходная концентрация железа, мг/л; Э — эффект обезжелезивания; Оk — окисляемость.
Снижение окисляемости зависит в основном от количества воды, подвергаемой насыщению воздухом, дозы извести и давления насыщения.
Удаление высококонцентрированных устойчивых форм железа из воды аэрацией, известкованием, отстаиванием в тонком слое и фильтрованием достигается после полного окисления Железа (II) и деструкции комплексных железоорганических соединений при pH≥7,l. Процесс выделения соединений железа в тонкослойном отстойнике носит циклический характер и при этом эффект обезжелезивания воды зависит главным образом от скорости потока в тонкослойных модулях, исходной концентрации железа и дозы щелочного реагента. Для агломерации хлопьев гидроксида железа, седиментирующихся в отстойнике, объем камеры хлопьеобразования вихревого типа, совмещенной с отстойником, должен обеспечивать продолжительность пребывания обрабатываемой воды не менее 15 мин.
Достигаемый в тонкослойных модулях эффект деферизации воды Э, %', зависит от скорости движения потока — v,дозы щелочного реагента — Ди, содержания железа в обрабатываемой воде — FeHи описывается уравнением
Э = 32,23 + 0,33υ — 0,224υ2 + 1,28ДИ—0,007Д2 + 0,37FeH. (17.11)
Скорость движения воды в тонкослойных модулях по Г.И. Николадзе
![]()
где l — длина ячейки отстойника, м; υкр — критическая скорость потока в отстойнике, м/ч; А0 — параметр, характеризующий величину концентрации отложений, выпавших в отстойнике, г/л; F— функциональный параметр, зависящий в основном от продолжительности уплотнения осадка и цикла отстаивания, ч; К — содержание нерастворимой взвеси в составе щелочного реагента, мг/л; Fe0 — содержание железа в отстоенной воде.
Содержание железа, мг/л, в отстоенной воде можно найти из выражения
Fe0=FeH(1 — 0,01Э).(17.13)
обезжелезивание вода флотация
Для удаления сульфата железа (II) применяют известкование, при этом известь реагирует вначале с сульфатом железа (II):
FeS04 + Са (ОН)2 = CaS04 + Fe(ОН)2.
Образующийся гидроксид железа (II) окисляется в Fe(OH)3, при этом, если количество кислорода, содержащегося в воде, недостаточно для окисления, одновременно с известкованием проводят хлорирование или аэрирование воды.
Доза извести (при Ре2+/28>ЩИ), мг/л
![]()
где [СО2] — содержание в воде свободного оксида углерода (IV), мг/л; [Fe2+] — содержание в воде железа (II), мг/л; в\ — эквивалентная .масса безводного вещества коагулянта, мг/мг-экв; Щл — щелочность исходной воды, мг-экв/л.
Дозу хлора или хлорной извести определяет по формуле Дхл=0,7[Ре2+], мг/л, а дозу перманганата калия по формуле Дп.м =[Fe2+], мг/л.
В некоторых случаях для быстрого окисления железа(II), даже при низких значениях рН, применяют катализаторы. В качестве таких катализаторов обычно используют дробленый пиролюзит, «черный песок» (песок, покрытый пленкой оксидов марганца, которые образуются в результате разложения 1 %-ного раствора перманганата калия, подщелаченного до рН=8,5...9 водным раствором аммиака) и сульфоуголь, покрытый пленкой оксидов марганца. Для получения последнего сульфоуголь обрабатывают 10%-ным раствором МпС12, а затем через слой образовавшегося Mn-катионита фильтруют 1%-ный раствор КМnО4. Калий вытесняет марганец, который окисляется и осаждается на поверхности угля в виде пленки оксидов марганца. В этих случаях для окисления железа (II) вода должна фильтроваться со скоростью 10 м/ч через слой катализатора толщиной 1 м.
Процесс окисления железа (II) высшими оксидами марганца, которые при этом восстанавливаются до низших ступеней окисления, а затем вновь окисляются растворенным в воде кислородом, описывается уравнениями:
4Fe (HC03)2+3Mn02 + 2Н20 -> 4Fe(ОН)3 + MnO+ Mn203 + 8С02 , ЗМnО + 2KMn04 + Н20 -> 5Mn02 + 2КОН,
ЗМn203 + 2КМn04 + Н20 -> 8Мn02 + 2КОН.
Обезжелезивание воды катионированием допускается применять при необходимости одновременного удаления солей железа и солей, обусловливающих жесткость, и когда в обрабатываемой воде отсутствует кислород.
Обезжелезивание поверхностных вод осуществляют при одновременном осветлении и обесцвечивании. Железо, находящееся в воде в виде коллоидов, тонкодисперсных взвесей и комплексных соединений, удаляется обработкой воды коагулянтами [сульфатом алюминия, хлоридом железа (III) либо смешанным коагулянтом]. Для разрушения комплексных органических соединений железа воду обрабатывают хлором, озоном или перманганатом калия. При использовании железных коагулянтов обеспечивается более полное удаление железа из воды в результате интенсивной адсорбции ионов железа на хлопьях Fe(OH)3. Оптимум адсорбции ионов железа как в случае применения алюминиевых, так и железных коагулянтов лежит в интервале значений рН воды 5,7...7,5. Доза коагулянта устанавливается экспериментально. Технологическая схема обезжелезивания воды методом коагулирования включает реагентное хозяйство, смесители, осветлители и фильтры.
В институте общей и неорганической химии АН Украины разработан метод обезжелезивания воды с применением алюмината натрия и хлорида железа (III). Таким методом удаляется железо, находящееся в воде в виде неорганических и органических (гумусовых) соединений. Одновременно устраняется коллоидная кремниевая кислота, марганец, неорганическая взвесь и органические вещества. Оптимальное соотношение FeCl3 и NaA102 — 1:1. Остаточное содержание в воде железа не превышает установленных норм для питьевой воды. Кроме того, разработан метод удаления железа из воды фильтрованием через взвешенный слой тонкодисперсного мела и гидроксида алюминия. Соли железа переводятся мелом в карбонат железа (II), который гидролизуется в гидроксид железа (III). Гидроксид железа (III) задерживается взвешенным слоем. Весь комплекс происходящих реакций можно выразить уравнением
4СаС03+ 4FeS04 + 02 + 6Н20 = 4Fe(ОН)3 + 4CaS04 + 4С02
Оптимальное соотношение основных компонентов А1(0Н)з/ /СаС0з=0,16. Расчетная скорость восходящего потока через взвешенный слой мела достигает 0,48 мм/с. Концентрация мела во взвешенном слое составляет 0,02...0,03 г/см3. Этим методом удаляется до 95% общего железа, находящегося в воде.
Гидроксиды железа из воды наиболее эффективно извлекаются в осветлителях со слоем взвешенной контактной среды. Благодаря гетерогенно-каталитическому процессу железо(II) в слое взвешенной контактной среды окисляется быстрее. На эффект обезжелезивания влияют рН; температура, исходная концентрация железа, высота слоя осадка и скорость восходящего потока воды. При коагуляции без известкования эту скорость принимают равной 0,8 мм/с, с известкованием — 1,0 мм/с. Высоту слоя взвешенной контактной среды в осветлителе принимают равной 2 м, высоту защитного слоя воды над осадком — 1,5 м. Объем осадкоуплотнителя в осветлителе должен обеспечивать пребывание в нем осадка в течение 6 ч. Количество отсасываемой в осадкоуплотнитель воды составляет 20...30%.
В составе обезжелезивающих установок применяют скорые одно- и двухслойные фильтры. При размере зерен 0,6...1,2 мм толщину фильтрующего слоя принимают равной 1,0...1,5 м. Скорость фильтрования на скорых фильтрах 5 ... 7, а на двухслойных — до 10 м/ч. Для очистки фильтрующих слоев применяют водовоздушную промывку, дополняя ее верхней промывкой.
ЛИТЕРАТУРА
1. Алексеев Л.С., Гладков В.А. Улучшение качества мягких вод. М., Стройиздат, 1994 г.
2. Алферова Л.А., Нечаев А.П. Замкнутые системы водного хозяйства промышленных предприятий, комплексов и районов. М., 1984.
3. Аюкаев Р.И., Мельцер В.3. Производство и применение фильтрующих материалов для очистки воды. Л., 1985.
4. Вейцер Ю.М., Мииц Д.М. Высокомоллекуляриые флокулянты в процессах очистки воды. М., 1984.
5. Егоров А.И. Гидравлика напорных трубчатых систем в водопроводных очистных сооружениях. М., 1984.
6. Журба М.Г. Очистки воды на зернистых фильтрах. Львов, 1980.
Похожие рефераты:
Реконструкция участка обработки осадков очистной станции канализации г. Челябинска
Создание научных основ обеззараживания и очистки воды на основе нанотехнологии
Очистка нефтесодержащих сточных вод
Разработка стратегии модернизации производства пива на малом предприятии
Микроорганизмы, выделенные из различных природных жиров
Защита водного объекта от загрязнения промышленными сточными водами
Обезжелезивание оборотных и шахтных вод
Методические особенности изучения темы "Железо" на уроках химии в средней школе
Развитие, становление и основные аспекты фармации
Бурение и оборудование скважин при подземном выщелачивании полезных ископаемых