| Похожие рефераты | Скачать .docx |
Реферат: Применение нанотехнологий в автомобилестроении
Содержание
Введение
1. История развития нанотехнологий
2. Свойства наностуктур
3. Нанотехнологии в автомобилестроении
3.1 Применение нанотехнологий в автомобильной промышленности
3.2 Перспективы нанотехнологии в автомобильной промышленности
3.3 Автомобили будущего
4. Автомобилестроение и нанокомпозиты
5. Наноиндустрия в России
6. Будущее нанотехнологий: проблемы и перспективы
6.1. Нано на стыке наук
Заключение
Приложения
Список использованной литературы
Введение
Нанотехнология _ высокотехнологичная отрасль, направленная на изучение и работу с атомами и молекулами. Разработки в этой области ведут к революционным успехам в медицине, электронике, машиностроении и создании искусственного интеллекта. Если 10 лет назад единицы людей представляли себе, что такое нанотехнологии, то, через 5 лет, по оценкам экспертов, вся промышленность будет развиваться, используя технологии работы с атомами и молекулами. С помощью нанотехнологий можно очищать нефть и победить многие вирусные заболевания, можно создать микроскопических роботов и продлить человеческую жизнь, можно победить СПИД и контролировать экологическую обстановку на планете, можно построить в миллион раз более быстрые компьютеры и освоить Солнечную систему.
Целью данной работы является изучение нанотехнологий в автомобилестроении. Задачами курсовой работы являются: 1) изучить историю и свойства нанотехнологий и наноструктур; 2) рассказать о применении нанотехнологий в автомобилестроении; 3) исследовать проблемы и перспективы нанотехнологий.
Нанотехнологии качественно отличаются от традиционных дисциплин, поскольку на таких масштабах привычные, макроскопические, технологии обращения с материей часто неприменимы, а микроскопические явления, пренебрежительно слабые на привычных масштабах, становятся намного значительнее: свойства и взаимодействия отдельных атомов и молекул, квантовые эффекты.
Теоретик Э. Дрекслер предложил слово "нанотехнология" в 1980 году, описывая им теоретический (в то время) молекулярный производственный процесс с использованием компонентов и устройств размерами от 1 до 100 нм (этот диапазон получил название наномасштаб - nanoscale).
В некоторых книгах можно встретить следующее определение: нанотехнология - это совокупность методов производства продуктов с заданной атомарной структурой путем манипулирования атомами и молекулами.
нанонехнология атом молекула автомобиль
1. История развития нанотехнологий
Нанонаука основана на изучении объектов, которые включают компоненты размерами менее 100 нм хотя бы в одном измерении и в результате получают принципиально новые качества. Эта отрасль знаний относительно молода и насчитывает не более столетия.
Дедушкой нанотехнологий можно считать греческого философа Демокрита. 2400 лет назад он впервые использовал слово “атом” для описания самой малой частицы вещества. 1905 Швейцарский физик Альберт Эйнштейн опубликовал работу, в которой доказал, что размер молекулы сахара составляет примерно 1 нанометр.
1931 Немецкие физики Макс Кнолл и Эрнст Руска создали электронный микроскоп, который впервые позволил исследовать нанообъекты.
1959 Американский физик Ричард Фейнман впервые опубликовал работу, где оценивались перспективы миниатюризации. Основные положения нанотехнологий были намечены в его легендарной лекции “Там внизу – много места” (“There’s Plenty of Room at the Bottom”), произнесенной им в Калифорнийском Технологическом Институте. Фейнман научно доказал, что с точки зрения фундаментальных законов физики нет никаких препятствий к тому, чтобы создавать вещи прямо из атомов. Тогда его слова казались фантастикой только лишь по одной причине: еще не существовало технологии, позволяющей оперировать отдельными атомами (то есть опознать атом, взять его и поставить на другое место).Чтобы стимулировать интерес к этой области, Фейнман назначил приз в $1000, тому, кто впервые запишет страницу из книги на булавочной головке, что, кстати, осуществилось уже в 1964 году.
1968 Альфред Чо и Джон Артур, сотрудники научного подразделения американской компании Bell, разработали теоретические основы нанообработки поверхностей.
1974 Японский физик Норио Танигучи ввел в научный оборот слово “нанотехника”, предложив называть так механизмы размером менее 1 микрона.
1981 Германские физики Герд Бинниг и Генрих Рорер создали сканирующий туннельный микроскоп _ прибор, позволяющий осуществлять воздействие на вещество на атомарном уровне. Через четыре года они получили Нобелевскую премию.
1985 Американский физики Роберт Керл, Хэрольд Крото и Ричард Смолли создали технологию, позволяющую точно измерять предметы диаметром в один нанометр.
1986 Создан атомно_силовой микроскоп, позволяющий, в отличие от туннельного микроскопа, осуществлять взаимодействие с любыми материалами, а не только с проводящими.
1986 Нанотехнология стала известна широкой публике. Американский футуролог Эрик Дрекслер опубликовал книгу, в которой предсказал, что нанотехнология в скором времени начнет активно развиваться.
Введение в нанотехнологии
1989 Дональд Эйглер, сотрудник компании IBM, выложил название своей фирмы атомами ксенона.
1998 Голландский физик Сеез Деккер создал нанотранзистор.
2000 Администрация США объявила “Национальную
нанотехнологическую инициативу” (National Nanotechnology Initiative). Тогда из федерального бюджета США было выделено $500 млн. В 2002 сумма ассигнований была увеличена до $604 млн. На 2003 год “Инициатива” запросила $710 млн., а в 2004 году правительство США приняло решение увеличить финансирование научных исследований в этой области до $3,7 млрд. в течение четырех лет. В целом, мировые инвестиции в нано в 2004 году составили около $12 млрд.
2004 Администрация США поддержала “Национальную наномедицинскую инициативу” как часть National Nanotechnology Initiative Стремительное развитие нанотехнологий вызвано еще и потребностями общества в быстрой переработке огромных массивов информации. Современные кремниевые чипы могут при всевозможных технических ухищрениях уменьшаться ещё примерно до 2012 года. Но при ширине дорожки в 40-50 нанометров возрастут квантовомеханические помехи: электроны начнут пробивать переходы в транзисторах за счет туннельного эффекта (о нем речь пойдет ниже), что равнозначно короткому замыканию. Выходом могли бы послужить наночипы, в которых вместо кремния используются различные углеродные соединения размером в несколько нанометров. В настоящее время ведутся самые интенсивные разработки в этом направлении.
Нанотехнологии - ключевое понятие начала XXI века, символ новой, третьей, научно-технической революции. Это "самые высокие" технологии, на развитие которых ведущие экономические державы тратят сегодня миллиарды долларов. По прогнозам ученых нанотехнологии в XXI веке произведут такую же революцию в манипулировании материей, какую в ХХ веке произвели компьютеры в манипулировании информацией. Их развитие открывает большие перспективы при разработке новых материалов, совершенствовании связи, развитии биотехнологии, микроэлектроники, энергетики, здравоохранения и вооружения. Среди наиболее вероятных научных прорывов эксперты называют значительное увеличение производительности компьютеров, восстановление человеческих органов с использованием вновь воссозданной ткани, получение новых материалов, созданных напрямую из заданных атомов и молекул, а также новые открытия в химии и физике.
Нанотехнологии уже так или иначе затрагивают нашу жизнь. Нанопродукты можно обнаружить в автомобилях и в краске на стенах домов. По прогнозам отраслевой ассоциации NanoBusiness Alliance, к 2010 году мировой рынок нанопродуктов и услуг вырастет до 1 трлн. долларов.
Одна из причин трудного "характера" нанотехнологии заключается в том, что ее сфера - непостижимо малые по своим масштабам элементы. Нанометр - единица измерения, которая дала название нанотехнологии, - составляет одну миллиардную часть метра. Атом водорода, наименьший из существующих в природе, имеет диаметр около 1/10 нм; диаметр человеческого волоса - около 75 тыс. нм.
Нанотехнологии качественно отличаются от традиционных дисциплин, поскольку на таких масштабах привычные, макроскопические, технологии обращения с материей часто неприменимы, а микроскопические явления, пренебрежительно слабые на привычных масштабах, становятся намного значительнее: свойства и взаимодействия отдельных атомов и молекул, квантовые эффекты.
В немалой степени определение нанотехнологии зависит от специалиста, которому задан вопрос.
Теоретик Э. Дрекслер предложил слово "нанотехнология" в 1980 году, описывая им теоретический (в то время) молекулярный производственный процесс с использованием компонентов и устройств размерами от 1 до 100 нм (этот диапазон получил название наномасштаб - nanoscale). Дрекслер выдвинул концепцию универсальных молекулярных роботов, работающих по заданной программе и собирающих любые объекты (в том числе и себе подобные) из подручных молекул. Все это также сначала воспринималось как научная фантастика. Ученый уже тогда довольно точно предсказал немало грядущих достижений нанотехнологии, которые с 1989 года сбываются, причем часто со значительным опережением даже его прогнозов.
Однако, как часто бывает, задолго до работ Дрекслера идею о возможности существования искусственных автоматов-самосборщиков выдвинул математик Джон фон Нейман ( John Von Neumann) — ученый, разработавший теоретическую модель устройства компьютера (компьютер фон Неймана) — первое устройство с клавишным вводом данных.
2. Свойства наноструктур
Первым и самым главным признаком наночастиц является их геометрический размер - протяженность не более 100 нм хотя бы в одном измерении. Именно с таких размеров может наблюдаться качественное изменение свойств частиц по сравнению с макрочастицами того же самого вещества. Например, нанонить паутины способна надежно удерживать огромных по сравнению с ее толщиной насекомых.
Именно размерными эффектами определяются многие уникальные свойства наноматериалов. Для различных характеристик (механических, электрических и др.) критический размер может быть различным, как и характер изменений (равномерный или неравномерный). Например, электропроводность начинает зависеть от размера частицы при уменьшении кристалла вещества до размеров 10-20 нм и менее.
Доля атомов, находящихся в поверхностном слое (толщиной около 1 нм), естественно, растет с уменьшением размера частиц вещества. Поверхностные атомы обладают свойствами, отличающимися от "внутренних" атомов, поскольку они связаны с соседями иначе, чем внутри вещества. В результате на поверхности велика вероятность протекания процессов изменения структурного расположения атомов и их свойств. В результате поверхность (или межфазная граница) рассматривается как некое новое состояние вещества.
Учитывая абсолютные размеры наночастиц, с определенными допущениями можно считать, что наночастица представляет собой вещество, близкое по свойствам к межфазной границе. Например, нанотрубки имеют высокую удельную плотность поверхности, поскольку вся масса сосредоточена в поверхностном слое.
Важнейшими свойствами наноструктур, отличающими их от обычных материалов, являются повышенная диффузионная и миграционная способность атомов, молекул веществ и электронов по поверхности твердых наноструктур, а для жидких наноструктур - ускоренная диффузия внутри них, повышенная прочность изолированных твердых наноструктур и способность твердых наноструктур к самоорганизации и самосборке.
1) Повышенная диффузионная и миграционная способность атомов и молекул веществ по поверхности и внутри наноструктур:
Жидкости внутри микротрещин и микропор нанометровой ширины являются жидкими наноструктурами, обладающими своеобразными особенностями, из которых важнейшей является ускоренная диффузия растворенных в них веществ под действием осмотической составляющей СРПС.
2) Повышенная миграционная способность атомов по поверхности твердых наноструктур:
Как известно, диффузия по поверхности твердых веществ осуществляется на несколько порядков быстрее, чем в их объеме.
3) Ускоренное движение электронов по поверхности твердых наноструктур - сверхпроводимость электрического тока:
Здесь, как и в предыдущем случае, можно выделить два уровня ускоренного движения частиц, в данном случае электронов, по поверхности веществ. Первый уровень - движение электронов вдоль поверхности обычного проводника при обычных температурах. Ускоренное движение электронов в этом случае хорошо известно и практически используется в ускорителях заряженных частиц Ван-дер-Граафа (Гершензон и др., 1980).
4) Ускоренное движение электронов по поверхности твердых наноструктур:
На поверхности обычных проводников Т-СРПС, создавая разуплотненный поверхностный слой, способствует образованию слоя с более редким расположением атомов в нем. Поэтому в нем электрический ток протекает с меньшим сопротивлением, а значит, и с большей скоростью, чем в глубине проводника, создавая первый уровень ускоренного движения электронов.
5) Ускоренное движение электронов по поверхности твердых наноструктур:
В научной литературе проводят аналогию между сверхпроводимостью тока и сверхтекучестью жидкого гелия, объясняя, что жидкий гелий также образует единую когерентную сверхтекучую систему - конденсат, который тоже течет через щели без какого-либо сопротивления.
6) Повышенная прочность на разрыв изолированных твердых наноструктур.:Известно, что прочность на разрыв, например углеродных нанотрубок, в несколько десятков раз больше самой прочной стали при плотности в 6 раз меньшей (Головин, 2007). Удовлетворительного объяснения этому в научных работах пока не дано.
7) Способность твердых наноструктур к самоорганизации и самосборке:
Наноструктуры, находящиеся в жидкой, газовой среде и в вакууме, обладают максимальными возможностями к самоорганизации и самосборке, так как эти среды не мешают им в полной мере проявить эти свои свойства.
3. Нанотехнологии в автомобилестроении
Автомобили будущего станут более комфортными и интеллектуальными, основанными на легких и прочных материалах, миниатюризации и новых энергетических установках. Практически каждая деталь автомобиля может быть усовершенствована при помощи нанотехнологий. Сегодня нанотехнологии внедряют несколько крупнейших производителей, но к 2010 году их будут использовать все автомобилестроители и большинство их поставщиков. 70 ведущих мировых автомобилестроителей, включая Renault, General Motors, BMW, Toyota, Audi, Ford, Volkswagen, Mercedes-Benz, Opel, Ferrari, MAN, FIAT, Volvo, Hyundai, Honda, Nissan, Chrysler, Jaguar, Porsche, Peugeot, Saab, Rover, Citroen, Huachangcar, Mazda, Alfa Romeo, Asia Motors, Mitsubishi, Vauxhall, Subaru и др., провели совместное исследование возможностей применения нанотехнологий в автомобилях с 2002 до 2015 года.
Мы предлагаем Вашему вниманию краткий обзор возможностей нанотехнологий в усовершенствовании автомобиля. Если Вы захотите использовать их на своем предприятии, пожалуйста свяжитесь с нами.
- Генерация и хранение энергии
- Топливные ячейки
- Солнечные батареи
- Хранение энергии
- Электричества
- Водородного топлива
- Углеводородного топлива
- Топливные катализаторы
Наноструктурированные материалы / нанокомпозиты / наночастицы
- Легкие каркасные материалы
- Огнеупорные и термостойкие материалы: Увеличение прочности, жесткости и долговечности
- Умные, сверхмягкие рессоры
- Антифрикционные и противоизносные покрытия
- Материалы со сверхмалым коэффицентом теплового расширения
- Стекла с управляемыми оптическими свойствами
- Долговечные шины с оптимальными свойствами
- Функциональные краски и покрытия
- Самоочищающиеся
- Самовосстанавливающиеся
- Нецарапающиеся
- Антикоррозионные
- Радиопоглощающие
- Цветовые эффекты
Со специальными оптическими свойствами
- Теплоотражающие
Программируемые материалы
- Другие функциональные материалы
- Наноэлектроника
- Сверхточные сенсоры и анализаторы
- Системы GPS-навигации на основе МЭМС-датчиков
- Сверхточные микроакселерометры
- Мониторинг перемещения
- Мониторинг давления
- Мониторинг заклинивания и повреждений
- Мониторинг износа
Биометрические системы
- Мониторинг климата
- Интеллектуальное управление двигателем
- Дисплеи, внешнее и внутреннее освещение
- Электроника, работающая в широком диапазоне температур
- Противоугонные системы
- Датчики контроля безопасности и окружения
- Акселерометры подушек безопасности
- Сверхъемкие аккумуляторы
Обработка и передача информации
- Обработка изображений
- Автомобильная телематика
- Дистанционное управление
- Мультимедиа-архитектура
- Элементы искусственного интеллекта
- Интеграция CMOS-микроэлектроники в системы управления
Биомедицинские приложения
- Гигиена
- Система эвакуации
- Интерактивный эргономичный дизайн
- Снижение вибрации и шума
Производство
- Измерение и контроль
- Инструменты, станки и машины
- Автоматизация и телеуправление
- Снижение стоимости сырья
- Снижение энергопотребления
- Анализ дефектов и структуры материалов
Экология
- Фильтрация и очистка выхлопных газов
- Экологичное производство
- Переработка старых автомобилей
- Биодеградируемые материалы
- Восстановление и ремонт
3.1 Применение нанотехнологий в автомобильной промышленности
Автомобильная промышленность Германии, являющаяся одной из наиболее важных отраслей производства, уже сейчас серьезно заинтересована в НТ и активно изучает возможности внедрения новых материалов и технологий, особенно в связи с экологией, безопасностью движения и обеспечением комфорта. НТ в автомобилестроении может быть связана с решением множества проблем и технических задач, относящихся к ходовой части, весу конструкции и динамике движения, кондиционированию и снижению выхлопа вредных веществ, уменьшению износа, возможностям вторичной переработки и т. п. Кроме этого, НТ имеют непосредственное отношение к развитию связанных с автомобилестроением информационных систем (например, контроль обстановки на дорогах, коммуникации и т. п.).
Очень большие перспективы коммерческого производства имеет внедрение прозрачных многослойных наноматериалов. В частности, наносимые на стекло металлические покрытия толщиной в несколько нанометров могут одновременно отражать инфракрасное излучение и придавать стеклу дополнительную термостойкость. Для затемненных внутренних стекол в автомобилях можно даже использовать так называемые электрохром-ные составы, которые автоматически настраиваются на соответствующую интенсивность света, а также способствуют уменьшению отражения в циферблатах приборов, что очень трудно осуществить обычными методами. Водоотталкивающие и противоударные покрытия могут наноситься на множество деталей, включая «дворники» и т. п. Еще один очень интересный пример связан с применением микроскопических частиц углерода. В начале 20 века было случайно обнаружено, что введение микрочастиц сажи в каучук приводит к очевидному улучшению качества автомобильных шин. Эффект связан с тем, что частицы сажи «склеивают» каучук и делают шины прочнее, обеспечивая их повышенную износостойкость. Сегодня уже предпринимаются целенаправленные попытки увеличения поверхности частиц сажи и уменьшения их возможного слипания, что позволяет снизить процессы рассеивания (диссипации) энергии в шинах и приводит в целом к повышению их характеристик и снижению расхода горючего в среднем на 4%.
Соответствующая оптимизация сопротивления воздуха, веса автомобиля и приводного устройства привела бы к снижению потребления горючего на 6%, 15% и 28%, в результате чего можно было бы уменьшить выбросы двуокиси углерода. Намеченное Евросоюзом снижение норм выброса угарного газа и частиц (программа Евро-5) к 2008 году может быть достигнуто только путем значительного понижения потребления горючего, для чего настоятельно требуется поиск альтернативных источников питания. Например, в качестве автомобильного топлива очень перспективен экологически почти безопасный метанол, и НТ может сыграть важную роль в производстве новых методик впрыскивания горючего, реформинге топлива, аккумуляции водорода, объединении клеточных электродов и мембран для обмена протонов при сгорании топлива и т. п.
Более конкретно, можно отметить, что эффективное использование метанола (и многих других видов топлива) требует обеспечения измельчения жидкого горючего и его микродисперсной пульверизации по заданным поверхностям, для чего весьма перспективными представляются матрицы из нанофор-сунок. Подобные «нанореактивные» двигатели можно производить, создавая микроскопические (и даже субмикроскопические) каналы в материалах типа кремния или его соединений. Аналогичные наноканалы могут применяться в перспективных технологиях получения водорода из твердых видов топлива, для чего внутренняя поверхность каналов может дополнительно покрываться слоем каталитического материала типа платины.
Нанопористые материалы могут применяться и для разложения многих соединений (например, воды на водород и кислород) при использовании мембран с очень развитой поверхностью. Кроме того, микропористые вещества с большой и активной поверхностью, очевидно, представляют собой прекрасную основу для создания новых типов фильтров, механически задерживающих требуемые типы частиц.
В будущем развитие энергетики, возможно, будет связано с массовой заменой твердых видов топлива и горючих веществ на водород, который необходимо будет аккумулировать в специально создаваемых устройствах, и именно в этом наноматериа-лы (например, сложные фуллерены) могут оказаться исключительно полезными. Уже сейчас эксперты планируют создание емкостей-хранилищ водорода на основе фуллеренов с 10% эффективностью.
Наноструктурные материалы позволяют изготавливать легкие и одновременно достаточно прочные конструкции для некоторых деталей массового производства. Например, конструкторы автомобилей много лет создают покрытия из стекла, которые были бы прочными, но которые можно было бы быстро разбить при необходимости (аварии, кражи и т. п.). Инновационный заменитель стекла можно создать на основе поликарбоната (ПК), то есть искусственного материала, из которого делают известные всем диски CD и DVD. Это «умное» устройство (изогнутое сложным образом в некоторых частях кузова, сзади и сбоку) можно изготовить из ПК таким образом, чтобы его нельзя было никак заменить стеклянным аналогом. Для этого к поликарбонату следует просто примешать различные отбеливающие пигменты (в виде наночастиц), которые, с одной стороны, остаются прозрачными, а с другой, — защищают стекло от разрушающего воздействия ультрафиолетового излучения. Повышенная прочность к механическим повреждениям в этом случае достигается использованием нанолаков на основе полиоксанов.
3.2 Перспективы нанотехнологии в автомобильной промышленности
Перспективы нанотехнологии в автомобильной промышленности сейчас во многом связываются с использованием наноструктурных (нанофазных) металлических материалов, обладающих огромной прочностью и другими высокими механическими характеристиками, а также с производством новейших типов металлокерамики. Разрабатывается большое число лаков на основе наносистем, обладающих не только высокой прочностью, но и даже способностью к «самозалечиванию» поверхности. Кроме того, изучаются возможности армирования керамических материалов наночастицами, а также развития новых методик создания стеклокерамики. При этом во многих случаях исследователи уже планируют осуществлять автономную или местную «регенерацию» вещества на основе наполненного наночастицами искусственного материала, а также придавать описанный выше эффект самоочищения «лотоса» всем используемым лакам и стеклам.
В лабораторных условиях уже изучаются сложные пигментные структуры, цвет которых может целенаправленно изменяться под воздействием прилагаемого электрического напряжения, что имеет огромные перспективы для оформления интерьера автомобилей. Упоминавшиеся выше ферромагнитные жидкости (взвеси магнитных частиц, феррофлюиды) также могут найти широкое применение в автомобильной промышленности. Такие вещества, меняющие вязкость в зависимости от прилагаемого извне магнитного поля, являются исключительно важными для создания «умных» амортизаторов в автомашинах следующих поколений, и уже созданы опытные образцы устройств такого типа.
3.3 Автомобили будущего
Автомобили будущего. Нанотехнологии определяют форму
Автопромышленность стала одной из первых отраслей, где быстро поняли выгоду нанотехнологий. В автомобиле сложно изобрести что-то принципиально новое; его основные элементы десятилетиями остаются все теми же — кузов, двигатель, подвеска, тормозная система, электрооборудование... приходится лишь совершенствовать каждый компонент. Концепт-кары ведущих мировых автодизайнеров поражают футуристичностью форм и технических решений. А воплощение в жизнь смелых идей уже невозможно без применения нанотехнологий.
Авто будущего — какое оно? Может, это машина, кузов которой запросто выдерживает столкновения на скорости 300 км/ч и практически не деформируется? Или автомобиль, самостоятельно «зализывающий» царапины, которыми его «наградили» при парковке? Либо… воплощение киношного фантастического прототипа — машина, которая использует в качестве топлива содержимое мусорных бачков. Точь-в-точь DeLorean из «Назад в будущее». Разве что не летает... Хотя...
Команда «На взлет!»
2007 Giugiaro VAD.HO (еду на водороде)
Раздайся на стенде компании Italdesign Giugiaro в Женеве команда: «На взлет!», никто бы не удивился. Концептуальный суперкар VAD.HO, конечно, рожден ездить, но и летать вполне мог бы. Салон здесь совсем не салон, а двухместный кокпит, накрытый прозрачным фонарем. О приборной начинке уместнее сказать «авионика»: информационные дисплеи EFIS (Electronic Flight Information Systems) взяты прямо из летного арсенала.

Генералы Aeronautica Militare Italiana (AMI), не раздумывая, приняли бы Giugiaro VAD.HO на «вооружение»
Сама по себе смещённая к борту кабина не новость – такими щеголяли еще гоночные монопосто середины прошлого века, но вот чтобы мотор располагался сбоку от кокпита, да не простой двигатель внутреннего сгорания, а экологически безопасный «водородный» V12 от спецверсии «семерки» BMW... Нет, такого еще не было ни на суперкарах, ни на самолетах.
Идем ко дну
Эта машина не летает. Зато плавает — точно!
Rinspeed sQuba
У швейцарской компании Rinspeed уже есть опыт разработки рабочих прототипов автомобилей-амфибий. Нашумевшая модель Splash на подводных крыльях установила мировой рекорд, переплыв Ла-Манш за 3 часа 13 минут 47 секунд.

Rinspeed sQuba не тонет. Автоподлодка от швейцарской тюнинговой компании Rinspeed
Насмотревшись фильмов про Джеймса Бонда, швейцарцы воодушевленно стали разрабатывать… «подводный» автомобиль. Опыт удался - концепт Rinspeed sQuba был представлен на Женевском автосалоне.

Автомобиль-подлодка, элементы которого выполнены на основе углеродных нанотрубок, а салон инкрустирован обыкновенными жемчугом и бриллиантами
Концепт представляет собой первый в мире двухместный родстер, способный передвигаться под водой. Движение осуществляется за счет двух водоструйных двигателей, расположенных в «кормовой части». Для удобства водителя и пассажира, которые с головой окунутся в воду (верх автомобиля — открытый), предусмотрено специальное устройство для дыхания, похожее на кислородную маску акваланга.
Morgan Lifecar
Нанотехнологии в автомобилестроении используются для усовершенствования практически каждого блока и даже каждой детали — от двигателя до самореза. А что касается автомобилей будущего, тех, на которых мы будем ездить всего-то через пару десятков лет, то здесь фантазия автопроизводителей, пожалуй, нуждается разве что в том, чтобы ее кто-нибудь утихомирил.

«Пришелец» из будущего: Morgan Lifecar от британской компании Morgan Motor Company. Сделан из самых современных материалов
Звезды трансформеров
С помощью нанотехнологий привычный автомобиль можно преобразить так, что его не узнали бы ни Готлиб Даймлер, ни Генри Форд, ни кто-то другой, стоявший «у истоков».
Audi Virtuea Quattro
Взять, например, концепт «автомобиля будущего» от Audi — Virtuea Quattrо, разработанный в центре дизайна Audi/VW в Калифорнии. Этот автомобиль работает, естественно, на водороде, и рассчитан на одного человека. Virtuea Quattro будет формировать свой внешний облик при помощи голографических изображений, программировать которые сможет сам водитель через многофункциональный интерфейс.

Наводящий галлюцинации концепт Audi — Virtuea Quattro. Запросто может прикинуться бетономешалкой
Миллионы схем, заложенных в память бортового компьютера Virtuea Quattro, позволят выбрать для машины любой «наряд» – от средневековой кареты или болида 1950-х до … пожалуй, до имитации «облика» соковыжималки. Или ракетного крейсера — это уж как ваша душа пожелает.
Автомобили будущего. Нанотехнологии определяют форму
Mercedes-Benz SilverFlow
Совсем скоро на смену целому «зоопарку» типов кузовов придет один, способный менять свою форму в зависимости от конкретного запроса водителя. Корпус «Мерседеса» — это магнитное соединение (металлические наночастицы удерживаются вместе магнитными полями), которое может восстанавливать свою форму по одному клику на брелоке сигнализации или внутри автомобиля. Водитель сможет выбирать тип корпуса авто из нескольких возможных «предустановленных» скинов. Выбор цвета машины просто неограничен — мечта для девушек, подбирающих себе автомобиль под цвет любимой губной помады.
Магнитные поля помогут концепту мгновенно регенерировать после удара. SilverFlow восстанавливает свою первоначальную форму простой «перезагрузкой».

SilverFlow — рождение формы. Появление золотых областей будет информировать о завершении «трансформации» и готовности автомобиля к поездке
Передача механической энергии к колёсам, по мыслям мерседесовцев, передаётся специальной жидкостью, молекулы которой приводятся в движение электростатическими наномоторами. Четыре поворотных колеса позволят автомобилю разворачиваться на месте и парковаться боком. Руля и привычных педалей в SilverFlow вы не найдёте, ускорение и направление движения будут задаваться двумя рычагами, установленными по бокам водительского места.

Mercedes-Benz SilverFlow —«серебряный поток». По команде «Слиться!» паркуется куда угодно. Например, в ведро
Автомобиль в исходном состоянии представляет собой небольшой эллипсоид из ферромагнетика — такая лужица жидкого металла, которую гораздо легче хранить, нежели полноразмерный автомобиль. Больше не придется впадать в отчаяние, в двадцать пятый раз нарезая круги вокруг офисной стоянки. Слил машину в ведерко для игры в песочек и бережно принес с собой в офис.
Вот только что будет, если по забывчивости дашь команду автомобилю «слиться», оставив внутри пассажиров, разработчик концепта почему-то молчит…
Toyota Biomobile Mecha
2057 год. Ограниченное пространство городских улиц и вертикальная архитектура требуют от автопрома создания новейших автомобилей, которые смогут выжить в городских джунглях и устраивать гонки по вертикали. Инновационные решения автопроизводители находят в биомимикрии.

«Мусороуборочная» Toyota Biomobile MECHA. Четыре нанолазерных колеса легко приспосабливаются к любой трассе
Да, это не DeLorean. Тем не менее «это» точно так же, как и культовый «киношный» DMC, работает на содержимом мусорных бачков. Так захотела Toyota. А еще ее концепт Mecha действительно исполняет функцию мусорщика, собирая и используя рассеянные в воздухе частицы вредных газов: двигаясь, авто попутно очищает атмосферу.
Колеса из практически нематериальных «нанолазеров» позволят автомобилю ездить в любом направлении и с любым наклоном, а корпус (внимание, на этот раз уже не облик, как у Audi, а корпус!) сможет трансформироваться в соответствии с дорожными условиями, увеличиваясь или сжимаясь в размерах и не снижая аэродинамических свойств автомобиля.
Можно и самому поуправлять внешним видом. Надо вам спорткар? Заберите. А если вам неожиданно приспичило перевезти комод и телевизор, то ваш спорткар превращается… превращается… ну, допустим, в фургончик. Хорошо постаравшись, можно даже обеспечить себе машину со спальным местом. Если скрестить разработку Toyota с идеями Audi,получится просто мечта — автомобиль-трансформер, меняющий не только форму, но и облик.
4. Автомобилестроение и нанокомпозиты
Автомобильная промышленность проявляет большой интерес к нанотехнологиям, обеспечивающими новые возможности значительного уменьшения веса, улучшения эксплуатационных качеств, внешнего вида и пригодности к переработке для вторичного использования. Также исследуются новые направления использования нанокомпозитных материалов. Как же развиваются эти тенденции?
Автопром лидирует в нанореволюции.
Изготовители комплексного оборудования и ряд поставщиков в сотрудничестве с академическими институтами, такими как Университет штата Мичиган (Michigan State University) и Университет Цинциннати (University of Cincinnati), стремятся найти перспективные области применения этих новых материалов. Нанотехнологии вызывают изменения во всей автомобильной отрасли, почти на каждом уровне использования материалов, комплектующих частей и систем. Буквально в каждом выпущенном в США автомобиле используются какие-либо из нанокомпозитных материалов, чаще всего это углеродные нанотрубки в сочетании с нейлоном, используемые в топливной системе для защиты от статического электричества. Компания Hyperion Catalysis планирует вводить нанотрубки в другие полимеры, применяющиеся в топливных системах автомобилей.
Новый компаунд фторполимера с нанотрубками применяется при изготовлении уплотнительных колец для топливной системы автомобилей. Более десяти лет назад компания Toyota впервые применила при производстве автомобилей коммерческие нанокомпозиты, разработав композит нейлона с наноглиной для жесткого и термостойкого покрытия нейлоновых зубчатых ремней.
Начиная с 2002 года, компания General Motors успешно применяет первые промышленные композиты с наноглинами и нанотальком при изготовлении накладок порогов для минивенов Safari и Astro; сейчас компания использует почти 250 тыс. кг нанокомпозитных материалов в год для изготовления различных наружных автомобильных частей и накладок, включая некоторые части автомобиля Hummer H2 SUT. Кроме композитов термопластичных эластомеров с наноглиной, компания исследует возможность применения углеродных нанотрубок для замены существующих термореактивных конструкционных композитов. Компания Dow Automotive развивает процесс реактивной экструзии для производства нанокомпозитов на основе наноглин и циклического бутилентерефталата (ЦБТ), производимого компанией Cyclics Corporation.
Компании Further, Sud-Chemie AG и Putsch Kunststoffe GmbH разрабатывают семейство нанокомпозитов ELAN XP для внутренней отделки автомобилей на основе смесей полипропилена (ПП) и полистирола (ПС). ПП и ПС в обычных условиях несовместимы, однако минеральный наполнитель Nanofil компании Sud-Chemie образует с ними устойчивые к царапинам компаунды с приятной на ощупь однородной матовой поверхностью. Специалисты компании Ford’s Research and Innovation Center также изучают ряд нанокомпозитных материалов, разрабатывая улучшенные покрытия и прочные материалы с повышенной износостойкостью. Компания образовала совместное предприятие с компанией Boeing и Северо-западным университетом США (Northwestern University) для исследования промышленного применения нанотехнологий.
В последние годы постепенно расширяется применение в автомобилях электропроводных полимеров. Область применения электропроводных полимеров простирается от наружных кузовных панелей, до оптических микропереключателей, наноразмерных интеллектуальных переключателей и датчиков. Термопластические нанокомпозиты, содержащие взвесь углеродных нанотрубок, стали основными композитными материалами для топливных трубопроводов, в которых полимеры заменяют традиционную сталь. Электропроводные полимеры разрабатываются также для использования в наружных панелях кузова, они могут быть окрашены на тех же электростатических окрасочных линиях, что и заменяемые ими стальные детали, позволяя значительно сократить капитальные вложения в монтаж нового оборудования по сравнению со специальными окрасочными линиями для окраски пластиковых панелей. Среди основных направлений применения нанокомпозитов в автомобилестроении в последующие 10 лет прогнозируется появление систем хранения водорода, топливных элементов и батарей суперконденсаторов. Эти направления окажут существенное влияние на создание новых устройств выработки и хранения электроэнергии, применяемых в автомобильной промышленности. Такое свойство нанокомпозитов, как огнестойкость, также обеспечит создание новой области применения — для оформления салона автомобиля, в то время как нанокомпозиты на основе биопластиков позволят пересмотреть отношение ко вторичному использованию и биоразложению материалов.
Нанокомпозиты General Motors
Компания General Motors постепенно расширяет использование нанокомпозитов в своей продукции, уменьшая вес транспортных средств при одновременном обеспечении требуемого качества, пригодности для повторного использования и умеренной стоимости. В 2002 году компания успешно внедрила первый промышленный нанокомпозитный материал для внешнего оформления автомобилей на своих минивенах GMC Safari и Chevrolet Astro.
Компания Blackhawk Automotive Plastics, Inc. выпускает деталь — порог-подножку из термопластического олефина с включением хлопьев наноглины размером 1 нанометр производства компании Southern Clay Products.
Рис. 1. Нанокомпозитная подножка.

Порог оказался более прочным и менее ломким при низких температурах, чем изготовляемые с применением обычного наполнителя — талька, и почти в десять раз легче. В 2004 году компания расширила применение нанокомпозитных материалов боковыми молдингами кузова для своих Chevrolet Impala, одного из самых крупногабаритных автомобилей компании GM, и Chevrolet Cavalier Coupe. Хотя и было достигнуто некоторое уменьшение веса, основным преимуществом внедрения нанокомпозитных материалов в эти части стало устранение тенденции деформации молдингов. Для достижения того же модуля изгиба требуется вчетверо меньше наноглины, чем традиционного талька. Нанокомпозит оказался также более устойчивым к царапинам и малым перегибам несущего листа кузова, эти преимущества были оценены большинством покупателей продукции компании GM.
Рис. 2. Зависимость модуля изгиба от количества минерального компонента.

Многофункциональный универсал Hummer GM H2 SUT (грузовой пикап) представляет собой новейший в линейке продукции компании автомобиль, в котором применяются легкие нанокомпозитные материалы с улучшенными характеристиками. В грузовой платформе каждого пикапа H2 SUT используется приблизительно 2,6 кг формованных окрашенных нанокомпозитных деталей: для центральной полки, панелей стоек, ограждения верхних кромок кузова и отделки. Прочные нанокомпозитные материалы имеют меньший вес, более устойчивы к царапинам, чем ранее используемые материалы, и лучше прилегают к кузову, поскольку не изменяют форму при колебаниях температуры, улучшая таким образом качество транспортного средства в целом.
Компания Basell USA производит нанокомпозитные материалы на основе термопластичных полиолефинов и при использовании формы SportRack для изготовления деталей автомобилей Hummer, собираемых компанией GM на заводе в Мишавоке, штат Индиана. В настоящее время компания GM использует ежегодно приблизительно 250 тыс. кг нанокомпозитных материалов, что, как полагают, является наибольшим в мире количеством используемых олефиновых нанокомпозитных материалов. Как заявил Вилл Родджерс, научный сотрудник Центра исследований и разработок компании GM, «В будущем наши нанокомпозитные материалы будут применяться в не несущих деталях наружной обшивки, для оформления салона и внешней отделки». Нанокомпозитный материал, используемый в транспортных средствах компании GM, был разработан Центром исследований и разработок компании GM в Уоррене, штат Мичиган, в сотрудничестве с компаниями Basell и Southern Clay Products, Inc.
Рис. 3. Нанотехнологии улучшают наружные детали Hummer

Инновационные покрытия с наночастицами
Инновационный лак nano-частицы Мерседесом-Benz предлагает существенно большее сопротивление царапины и улучшенный блеск относительно обычной автомобильной краски, позволяющей блеск демонстрационного зала Мерседеса быть поддержанным в течение многих лет дольше. Недавно развитый ясный nano-лак, который Мерседес Бенз использует как заключительное пальто, содержит nanosized керамические частицы. Нанотехнология позволяет nanosized керамическим частицам быть интегрированными в молекулярную структуру обязательного агента.
Применяемый компанией Mercedes-Benz инновационный лак с добавлением наночастиц по сравнению с обычной автомобильной краской имеет большую устойчивость к царапинам и улучшенный глянец, что позволит продлить блеск еще на многие годы, как будто машина только выехала из автосалона. Разработанный недавно прозрачный лак, который компания Mercedes-Benz использует в качестве внешнего покрытия, содержит наноразмерные керамические частицы. Нанотехнологии обеспечивают интеграцию наноразмерных керамических частиц в молекулярную структуру связующего агента. Термореактивный акрил служит первичной основой лака; используются также варианты с термореактивными алкидными смолами и полиуретаном. Система из керамических частиц и лака отверждается в сушильном шкафу, создавая выраженно сетевидную чрезвычайно плотную и равномерную пространственную структуру на поверхности покрытия. Прозрачное покрытие с наночастицами образует защитный слой, который отличается значительно большей устойчивостью к царапинам, например, наносимым в процессе контактного мытья. Компания Mercedes утверждает, что внедрение керамических наночастиц в это защитное наружное покрытие позволяет в 2—3 раза повысить устойчивость к царапинам, обеспечивая высокую стабильность глянца в течение длительного промежутка времени.
Эффективность новой технологии покрытия продемонстрирована как в экстремальных испытаниях, проводимых в лабораторной мойке согласно стандартам DIN, так и при обычных условиях. После десяти циклов в лабораторной мойке, эквивалентных разрушительному влиянию приблизительно 50 — 100 обычных моек, датчики блеска показали для обычной краски только 35% из 100% максимально возможных по шкале блеска, а для нанокраски — 72%.
Рис. 4. Новое прозрачное нанопокрытие (слева) в сравнении с традиционной окраской (справа) после 5 лет практических испытаний и 60 моек.
Перспективные разработки Volkswagen
Спрос потребителей на удобный, экономичный и безопасный автомобиль служит ориентиром для проведения изысканий в Группе исследования материалов компании Volkswagen. Ее коллектив выполняет многочисленные перспективные проекты в области применения наноматериалов. Необходимость придания привлекательного вида поверхностям внутри и снаружи автомобиля стимулирует изучение влияния различных химических групп, введенных в вещество из которого изготавливают поверхности, на свободную поверхностную энергию различных материалов. Разработки новых красок также могут привести к созданию покрытий, достаточно скользких (неадгезивных) для налипающих на поверхность загрязнений. В перспективе возможно создание самовосстанавливающихся покрытий, обеспечивающих устранение царапин по мере их появления. В этом направлении возможны и более фантастические перспективы создания красок, позволяющих изменять цвет автомобиля по желанию пользователя.
Компания исследует использование нанотехнологий для предотвращения запотевания ветровых стекол, окон и зеркал, а также создания активированных автомобильных стекол, фильтрующих тепловое излучение и устраняющих «эффект духовки» при парковке автомобиля под интенсивным солнечным облучением. Производитель автомобилей также разрабатывает наноматериалы для моторного отсека, уменьшающие трение в движущихся частях, снижающие расход масла, продлевающие срок службы механизмов. Нанотехнологии уже используются в популярных современных моделях транспортных средств компании Volkswagen. На приборной панели и панели управления используются антибликовые покрытия; нанотехнологические материалы, предотвращающие ослепление ночью, автоматически затемняют зеркала заднего вида, ослабляя свет фар обгоняющих автомобилей.
5. Наноиндустрия в России
Считается, что с 2000 года началась эра гибридной наноэлектроники. В настоящее время ежегодно проводятся сотни конференций, посвящённых различным аспектам нанотехнологии. Опубликованы сотни тысяч статей и монографий, созданы специальные сайты в Интернете, происходит интенсивная подготовка к созданию наноэлектронных элементов и различных функциональных устройств: от простейших до нанокомпьютеров. Кроме наноэлектроники, на основе нанотехнологии наиболее активно развиваются: микро- и наноробототехника, позволяющая создать миниатюрные исполнительные механизмы с быстродействием в миллионы раз выше существующих и более сложные робототехнические системы с распределёнными механическими устройствами: интегральная нанооптоэлектроника, позволяющая создать солнечные элементы с КПД в 4 раза больше существующих, светодиоды и лазеры с перестраиваемым от инфракрасного до ультрафиолетового спектром излучения, высокоэффективные транспаранты и функциональные оптические приборы.
Осознание стратегической важности нанотехнологий привело к тому, что в разных странах на уровне правительств и крупнейших фирм созданы и успешно выполняются программы работ по нанотехнологиям. В Японии программа работ по нанотехнологии получила высший государственный приоритет “Огато”. Данный проект спонсирует не только государство, но и дополнительно около 60 частных фирм. Кроме данного проекта, в Японии финансировалось около дюжины проектов, посвящённых различным аспектам нанотехнологии - квантовым волнам, флуктуациям в квантовых системах, и др. Крупнейшими проектами являлись “Atom Craft project” и “Aono project”. Внимание, уделяемое государством, было не случайным - ещё 10 лет назад в стране присуждались золотые медали за лучшие достижения в области нанотехнологии. Основные разработки проводились в центре перспективных технологий “Цукуба”. В Европе более чем в 40 лабораториях проводятся нанотехнологические исследования и разработки, финансируемые как по государственным, так и по международным программам (программа НАТО по нанотехнологии). Кроме того, программы работ по нанотехнологии приобрели статус государственных программ даже в сравнительно небольших странах типа Голландии и Финляндии. В США отставание от Японии в финансировании работ по нанотехнологии стало предметом государственного обсуждения, в результате которого объём финансирования одних только фундаментальных исследований каждый год стал удваиваться.
С целью форсирования работ именно в данном направлении в 2000 году по решению правительства США работы по нанотехнологии получили высший приоритет. В результате была создана Национальная нанотехнологическая инициатива, а при президенте организован специальный комитет, координирующий работы по нанотехнологии в 12 крупнейших отраслях промышленности и вооруженных силах.
Одной из целей программы является создание на основе нанотехнологии вычислительных устройств с производительностью в миллион раз выше существующих процессоров Pentium. Кроме того, в отличие от финансирования работ в области фундаментальных исследований, объём финансирования работ по нанотехнологии в фирмах многократно выше. Например, только в фирме Intel в прошлом году на разработки в области нанотехнологий было потрачено более 1 млрд. долл.
В 2005 году мы насчитываем уже более 50 стран, ведущих исследования и разработки в нанотехнологии, включая Южно-Африканскую Республику.
В России фундаментальные исследования по нанотехнологии проводятся по нескольким программам. Наиболее крупные из них: программа “Физика наноструктур”, руководимая академиком Ж.И. Алферовым, и “Перспективные технологии и устройства в микро_ и наноэлектронике”, руководимая академиком К.А. Валиевым. По последним данным, о состоянии российской наноиндустрии можно сказать следующее: Достигнуты высокие результаты в области создания нанотехнологических приборов и установок. Были развиты основы микромеханики и разработаны сканирующие зондовые, туннельные и атомно_силовые микроскопы (концерн “Наноиндустрия”, фирма НТ_МДТ, HTE, НИИФП им. Ф.В.Лукина и др.). Отечественные ученые создали собственные теоретические и экспериментальные заделы в области твердотельных элементов квантовых компьютеров, квантовой связи, квантовой криптографии. Технологии атомного масштаба (0,5_0,1 нм) открывают абсолютно новые перспективы в этой сфере. Разрабатываются новые методы получения наноматериалов: синтез и компактирование ультрадисперсных порошков, получение наноматериалов методами интенсивной пластической деформации, кристаллизация из аморфного состояния, пленочная нанотехнология. Проводятся материаловедческие работы в области “интеллектуальных материалов”, ультрадисперсного состояния и супрамолекулярной химии, коллоидных систем, а также разрабатываются теоретические принципы строения частиц с наноразмерами, учитывающие размер как физико_химический фактор. В области медицины, генетики и экологии также ведутся исследования и разработки наносистем. Созданы образцы так называемых “биочипов”, разработаны технологии выделения мономолекулярных кристаллических упорядоченных белковых структур бактериального происхождения и их использования в области микроэлектроники, микро_ и наномеханических устройств, биосенсоров, биотехнологии.
Результаты анализа свидетельствуют, что отечественные разработки находятся на уровне мировых достижений, но при очевидных успехах российской науки в области нанотехнологических исследований наша страна пока не может вплотную заняться их массовым промышленным внедрением. Главная проблема – традиционный недостаток финансирования: в настоящее время в России не существует целевой государственной программы финансирования работ в области нанотехнологий. Однако все же выдаются гранты на прикладные исследования в нанотехнологии по отдельным международным программам, а так_ же выделяются средства отдельными передовыми предприятиями. Положительным фактором в этом вопросе является высокий кадровый и научно-технологический потенциал России, базирующийся на её известных интеллектуальных преимуществах. Российское образование высоко оценивается зарубежными предприятиями, и много русских специалистов работает в нанотехнических лабораториях по всему миру.
6. Будущее нанотехнологий: проблемы и перспективы
Благодаря прорыву в области производства микроскопов современные ученые могут манипулировать атомами и располагать их так, как им заблагорассудится. Такого еще не было за всю историю развития человечества!
Идеальная техническая система – это система, масса, габариты и энергоемкость которой стремятся к нулю, а ее способность выполнять работу при этом не уменьшается. Предельный случай идеализации техники заключается в уменьшении её размеров (вплоть до полного “исчезновении”) при одновременном увеличении количества выполняемых ею функций. В идеале – технического устройства не должно быть видно, а функции, нужные человеку и обществу, должны выполняться. Закон увеличения степени идеальности гласит: развитие всех систем
идет в направлении увеличения степени идеальности. На практике хорошей иллюстрацией этого закона может служить постоянное стремление производителей микроэлектроники и бытовой техники к миниатюризации, созданию устройств всё меньших размеров со все большими функциональными возможностями. Взять, например, те же сотовые телефоны или ноутбуки: размер все уменьшается, в то время как функциональность только растет.
Таким образом, нанотехнологии и наноустройства являются закономерным шагом на пути совершенствования технических систем. И возможно, не последним: за областью нановеличин лежат области пико (10_12), фемто (10_15), атто (10_18) и т.д. величин с еще неизвестными и непредсказуемыми свойствами…
В настоящее время на рынке продаются только скромные достижения нанотехнологии, вроде самоочищающихся покрытий, "умной одежды" и упаковок, позволяющие дольше сохранять свежими продукты питания. Однако ученые предсказывают триумфальное шествие нанотехнологии в недалеком будущем, опираясь на факт её постепенного проникновении во все отрасли производства.
Нанотехнология станет основой новой промышленной революции, которая приведет к созданию устройств в 100 раз более прочных, чем сталь и не уступающих по сложности человеческим клеткам.
Уже создаются и будут создаваться устройства, функциональные возможности которых определяются необычными свойствами новейших материалов. Благодаря обработке на атомарном уровне, привычные материалы будут обладать улучшенными свойствами, постепенно становясь все легче, прочнее и меньше по объему. Согласно прогнозам большинства ученых, это произойдет уже через 10-15 лет. Как уже говорилось. возможности использования нанотехнологий неисчерпаемы - начиная от микроскопических компьютеров, убивающих раковые клетки, и заканчивая автомобильными двигателями, не загрязняющими окружающую среду, однако большие перспективы чаще всего несут с собой и большие опасности. Ученые всего мира сегодня должны четко представлять себе, что подобные “неудачные” опыты или халатность в будущем могут обернуться трагедией, ставящей под угрозу существование всего человечества и планеты в целом. В связи с этим становится понятно, почему с самого появления нанотехнологии её развитию мешают страхи, часть которых однозначно относится к разряду научной фантастики, но некоторые, однако ж, вовсе не лишены основания. К сожалению, обсуждение этих проблем выходит за рамки книги. Поэтому, дабы не вводить читателя в заблуждение и позволить ему самостоятельно сделать выводы, в этой главе мы отдельно расскажем о тех перспективах и возможностях, которых мы вправе ожидать от нанотехнологий, а затем кратко опишем возможные проблемы и опасности, связанные с их развитием.
Опасности, которыми не следует пренебрегать
Восторженно предвкушая те положительные изменения, которые принесет с собой промышленная революция, не будем столь наивны, чтобы не задуматься о возможных опасностях и проблемах. Многие крупные ученые современности не зря пытаются привлечь внимание не только к позитивным перспективам будущего, но и к возможным негативным последствиям. Билл Джой, сооснователь и ведущий ученый Sun Microsystems в Пало Альто, штат Калифорния, утверждает, что исследования в области нанотехнологий и других областях должны быть остановлены до того, как это навредит человечеству. Его опасения поддержала еще одна группа нанотехнологов, выпустив так называемый “Foresight Guidelines” – “руководящие линии Института предвидения”. Как и Джой, они считают, что стремительный рост нанотехнологий выходит из-под контроля. Но, вместо простого запрета исследований в этой области они предложили установить правительственный контроль над опасными исследованиями. Такой надзор, утверждают они, сможет предотвратить случайную катастрофу. Страхи перед нанотехнологиями начали появляться с 1986 года, после выхода в свет “Машин созидания” Дрекслера, где он не только нарисовал утопическую картину нанотехнологического будущего, но и затронул “обратную сторону” этой медали. Одну из проблем, которая представлялась ему наиболее серьезной, он назвал “проблемой серой слизи ” (“grey goo problem”). Опасность серой слизи в том, что нанометровые ассемблеры, вышедшие из-под контроля в результате случайной или намеренной порчи систем управления, могут начать реплицировать сами себя до бесконечности, потребляя в качестве строительного материала все на своем пути, включая леса, заводы, домашних животных и людей. Расчёт показывает, что теоретически такой ассемблер со своим потомством окажется в состоянии переработать всю биомассу Земли за считанные часы (правда, без учёта времени на перемещение по поверхности планеты). Предварительный анализ показывает, что ассемблер может быть сделан достаточно надёжным, чтобы вероятность появления самовоспроизводящейся ошибки оказалась пренебрежимо малой. Однако неразумно полностью исключить опасность преднамеренного программирования ассемблера террористом или хулиганом, подобным современным создателям компьютерных вирусов. В своих опасениях Джой опирается на то, что гипотетические части футуристических микромашин уже выпущены и встают на свои места. “Один из компонентов ассемблера – электронное устройство молекулярных размеров, – говорит Джой, – сейчас уже реализовано”. Далее он узнал, что саморепликация уже давно работает вне биологических систем: исследователи показали, что простые пептидные молекулы могут провоцировать свою собственную репродукцию. “Вот почему самореплицирующиеся машины становятся все более реальными, - заключил Джой. _ И от их реальности веет угрозой”. Другие ученые опровергают страхи перед “серой слизью”, говоря о принципиальной невозможности преодолеть все практические трудности в создании подобных механизмов. “Все это высосано из пальца”, - утверждает Блок. Будет ошибкой отталкиваться от того, что раз простые молекулы имеют способность к репродукции, то инженеры смогут построить сложные наномашины, умеющие делать то же самое. Что касается биологических систем, то они, конечно, способны к репликации, но, во-первых, они далеко не нанометровых размеров, а во-вторых, фантастически сложны по своей структуре, поскольку включают в себя отдельные системы для хранения и копирования генной ин_ формации, системы энергопроизводства, синтеза белков и др. “Даже природа не сделала нанометрической структуры, способной к репликации”, _ замечает Виола Вогель, наноученый Университета Вашингтона, штат Сиэтл. Тем не менее, возможны другие сферы злоупотребления достижениями нанотехнологий. На одной из встреч, посвященных обсуждению дальнейшего развития нанотехнологий, представители научного общества, исследовательских центров и государственных агентств были собраны для обсуждения проблем в этой области, вызывающих беспокойство. Особенно остро вставали вопросы следующего типа:
Способна ли образовательная система обучить достаточно нанотехнологических специалистов?
Может ли прогресс нанотехнологий подорвать традиционный бизнес и оставить тысячи людей без работы?
Может ли снижение стоимости продукции благодаря нанотехнологиям и молекулярной биологии сделать их легкодоступными для террористов, чтобы разработать опасные микроорганизмы?
Каким будет эффект от вдыхания некоторых веществ, которые в настоящее время формируются в молекулярном масштабе? Исследования показали, что та же нанотрубка, представляющая собой соединение сверхтонких игл, имеет структуру, похожую на асбест, а этот материал при вдыхании вызывает повреждение легких.
Что случится, если в окружающую среду будет выпущено большое количества наноматериала, начиная от компьютерных чипов и заканчивая краской для самолетов? Не будут ли наноматериалы вызывать аллергию?
Когда Майкл Фарадей создавал коллоидную суспензию золота, состоящую из крошечных частиц металла, он увидел, что ее цвет менялся на фиолетовый. Значение этого открытия очень важно для нанотехнологии. Не окажутся ли материалы, считавшиеся безопасными в обычной форме, опасными для здоровья, когда их используют в форме наночастиц? Теоретически они могут оказаться более химически активными.
Не приведет ли вторжение наночастиц в наши тела к непредсказуемым последствиям? Они могут быть меньше белков. Что случится, если наночастицы вызовут пересворачивание белка? Проблемы со сворачиванием белка могут вызвать, например, болезнь Альцгеймера.
Эти и другие вопросы, стоящие сегодня перед исследователями, действительно очень актуальны и важны. В бешеной гонке нанотехнологий ученые должны взять на себя всю полноту ответственности за жизнь и здоровье других людей, чтобы не оказаться беззаботными фанатиками, совершившими “революцию”
только лишь “во имя революции”, не утруждая себя размышлениями о возможных трагических последствиях и катастрофах.
По всем этим причинам исследование наноэффектов новых технологий будет требовать принципиально новых методов и междисциплинарного подхода.
6.1. Нано на стыке наук
Если достижения ушедшего века позволяют говорить, что ХХ век был веком узкоспециализированных профессионалов, то сегодня, поступая в то или иное учебное заведение, молодой человек не может быть абсолютно уверен, что профиль, на который он собирается потратить 5 лет своей жизни, лет через 5_10 не окажется никому не нужным “старьем” в свете современных технологий.
“Так как же быть?”, - спросите вы. Неужели традиционное профессиональное образование может обесцениться настолько, что станет не актуальным на рынке труда? Конечно, нет, но на современном этапе профессионализма в какой-то узкоспециализированной профессии будет явно не хватать. Как вы, наверное, уже поняли, нанотехнологии - это не просто отдельная часть знаний, это масштабная, всесторонняя область исследований. Ее достижения касаются всех сфер жизнедеятельности человека. И поэтому лидирующее положение в будущем, естественно, будут занимать люди, обладающие фундаментальным образованием, основанным на междисциплинарном подходе. Вероятно, постепенно эта тенденция будет распространяться и на вузовское образование, побуждая составителей учебных программ объединять множество фундаментальных дисциплин в одном курсе. Но зачем же ждать, когда это сделают академики из Минобразования, когда у нас сегодня есть все возможности самим развиваться в разных направлениях, включая не только естественнонаучный профиль, но и гуманитарный?
К сожалению, современная система нацелена на формирование узкоспециализированных "винтиков", а не самостоятельно мыслящих и гармонично развитых людей. Нередко можно встретить человека, прекрасно разбирающегося, например, в программировании, но при этом совершенно не знакомого с достижениями современной биологии, или наоборот. Поэтому, надеюсь, читатель простит меня за небольшой "ликбез" по раз_ личным направлениям современной науки и техники. Ярким примером междисциплинарного мышления, достигшего выдающихся результатов в различных областях науки и искусства, являлся гений Леонардо да Винчи. Его нельзя называть только ученым, только художником, только архитектором или только инженером. Леонардо да Винчи своим примером показал возможность плодотворного сочетания различных знаний и умений в одном человеке, что бы там ни утверждали адепты “узкоспециализированного подхода”. Кстати, если говорить о связи нанотехнологий с фундаментальными науками, то можно сказать, что практически любой предмет, из тех, что изучаются в школе, так или иначе будет связан с технологиями будущего. Самой очевидной представляется связь “нано” с физикой, химией и биологией. По-видимому, именно эти науки получат наибольший толчок к развитию в связи с приближающейся нанотехнической революцией.
Но не только. Без развития информационных систем (особенно таких областей информатики, как искусственный интеллект, компьютерное моделирование, робототехника и т.д.), фундаментальной базой которых является математический аппарат, невозможно проектирование и создание ассемблеров и других устройств наноэлектроники. Эколог будущего также не останется без работы. Напротив, прогресс в сфере нанотехнологий, будет ставить перед ним все больше вопросов и задач: от автоматических наносистем охраны окружающей среды до сверхточного прогнозирования и борьбы с экологическим загрязнением и природными катаклизмами. Бурное освоение космоса может дать совершенно новый материал для астрономических исследований и гипотез. Историки и обществоведы будут изучать характерные черты и проблемы “нанотехнологического общества” как ледующего за “информационным” в цепочке общественно_ исторических формаций. Основы безопасности жизнедеятельности, возможно, станут одним из актуальнейших направлений будущих исследований. Психологи и социологи будут решать множество вопросов, связанных с адаптацией всех “неподготвленных” к неожиданным последствиям нанореволюции.
Возросшие требования к образованию, потребность в новых методах и концепциях обучения потребует от будущих учителей новаторства и активности. Перед философами, экономистами и политологами встанет множество новых вопросов, требующих нетрадиционных решений в условиях нанотехнического прогресса. Музыка, изобразительное искусство, литература, балет, театр и все, что относится к выражению творческого потенциала человека, всегда стояли несколько особняком от научно-технического прогресса. С одной стороны, это говорит о том, что стремление человека к прекрасному, возвышенному _ извечно и что ни_ какие достижения научно-технического прогресса не в силах уменьшить в глазах человека той ценности и притягательности, которой обладают такие нравственные категории, как доброта, красота, истина, благородство, честность, творчество, любовь.
С другой стороны, во все времена искусство пыталось отразить современное состояние общества, не отставая от научно-технического прогресса в своём индивидуальном поиске новых средств и форм выражения. Так, в Средние века отражение теологической морали, господствовавшей во всех сферах общественной жизни, можно увидеть во всех образцах культуры того времени, будь то живопись, музыка или литература. Эпоха Возрождения, провозгласившая человека венцом творения и воспевающая его божественное происхождение в проявлении чисто “человеческих” качеств, также оставила не_ мало свидетельств такого мировоззрения в произведениях искусства того времени. Кинематограф, литература и поэзия Советского периода нашей с вами истории также проникнуты идеями и лозунгами социализма и коммунизма. Опять же, современное искусство позиционирует себя как “искусство новых технологий” и использует все последние достижения компьютерной техники. Медиа-арт, веб-арт, компьютерная графика, голография – наиболее актуальные на сегодняшний день направления. Иными словами, искусство шествует вслед за прогрессом, не желая оставаться “за бортом” и стремясь всегда адекватно отражать окружающую нас действительность. Таким образом, перспективы развития науки и техники также определяют пути искусства. Кстати, в 2001 году японские учёные, используя передовые лазерные технологии, создали самую маленькую в мире скульптуру. Она изображает разъярённого быка, разворачивающегося для атаки.

Размеры “микробыка” впечатляют: 10 мкм в длину и 7 мкм в высоту– не больше, чем у красных кровяных телец человеческой крови. Увидеть его можно только в сверхмощный микроскоп. При “высечении” скульптуры использовались два лазера, которые работали в инфракрасном диапазоне и по специальной программе обрабатывали заготовку из полимера, затвердевавшего только под воздействием лазерного луча. Почему бы этому бычку не положить начало новому направлению в области наноскульптуры? И кто знает, может быть не за горами тот день, когда “Битлз” нового поколения поразят весь мир новым музыкальным “нано”-течением…
Заключение
Нанонаука основана на изучении, создании и модифицировании объектов, которые включают компоненты размерами менее 100 нм хотя бы в одном измерении и в результате получают принципиально новые качества. Эта отрасль знаний относительно молода и насчитывает не более столетия. Первым ученым, использовавшим измерения в нанометрах, принято считать Альберта Эйнштейна, который в 1905 году теоретически доказал, что размер молекулы сахара равен одному нанометру (10~9 м).
Идею же создания специальных приборов, способных проникнуть в глубину материи до границ наномира, выдвинул выдающийся американский инженер-электрик и изобретатель, физик, философ сербского происхождения Никола Тесла. Именно он предсказал создание электронного микроскопа.
Наноструктурные материалы могут найти самые разнообразные применения в автомобильной промышленности, прежде всего, в производстве лаков, легких конструкций, новых приводных устройств, амортизаторов и т. п.
Важнейшими свойствами наноструктур, отличающими их от обычных материалов, являются повышенная диффузионная и миграционная способность атомов, молекул веществ и электронов по поверхности твердых наноструктур, а для жидких наноструктур - ускоренная диффузия внутри них, повышенная прочность изолированных твердых наноструктур и способность твердых наноструктур к самоорганизации и самосборке.
Автопромышленность стала одной из первых отраслей, где быстро поняли выгоду нанотехнологий. В автомобиле сложно изобрести что-то принципиально новое; его основные элементы десятилетиями остаются все теми же — кузов, двигатель, подвеска, тормозная система, электрооборудование... приходится лишь совершенствовать каждый компонент. Концепт-кары ведущих мировых автодизайнеров поражают футуристичностью форм и технических решений. А воплощение в жизнь смелых идей уже невозможно без применения нанотехнологий.
Автомобильная промышленность проявляет большой интерес к нанотехнологиям, обеспечивающими новые возможности значительного уменьшения веса, улучшения эксплуатационных качеств, внешнего вида и пригодности к переработке для вторичного использования. Также исследуются новые направления использования нанокомпозитных материалов. Автопром лидирует в нанореволюции. Новый компаунд фторполимера с нанотрубками применяется при изготовлении уплотнительных колец для топливной системы автомобилей.
Осознание стратегической важности нанотехнологий привело к тому, что в разных странах на уровне правительств и крупнейших фирм созданы и успешно выполняются программы работ по нанотехнологиям. В России фундаментальные исследования по нанотехнологии проводятся по нескольким программам. Наиболее крупные из них: программа “Физика наноструктур”, руководимая академиком Ж.И. Алферовым, и “Перспективные технологии и устройства в микро- и наноэлектронике”, руководимая академиком К.А. Валиевым. По последним данным, о состоянии российской наноиндустрии можно сказать следующее: достигнуты высокие результаты в области создания нанотехнологических приборов и установок.
Благодаря прорыву в области производства микроскопов современные ученые могут манипулировать атомами и располагать их так, как им заблагорассудится. Нанотехнологии и наноустройства являются закономерным шагом на пути совершенствования технических систем. Нанотехнология станет основой новой промышленной революции, которая приведет к созданию устройств в 100 раз более прочных, чем сталь и не уступающих по сложности человеческим клеткам. Уже создаются и будут создаваться устройства, функциональные возможности которых определяются необычными свойствами новейших материалов. Благодаря обработке на атомарном уровне, привычные материалы будут обладать улучшенными свойствами, постепенно становясь все легче, прочнее и меньше по объему.
Нанотехнологии - это не просто отдельная часть знаний, это масштабная, всесторонняя область исследований. Возросшие требования к образованию, потребность в новых методах и концепциях обучения потребует от будущих учителей новаторства и активности. Перед философами, экономистами и политологами встанет множество новых вопросов, требующих нетрадиционных решений в условиях нанотехнического прогресса. Искусство шествует вслед за прогрессом, не желая оставаться “за бортом” и стремясь всегда адекватно отражать окружающую нас действительность. Таким образом, перспективы развития науки и техники также определяют пути искусства.
Приложения.
Задача 1.
Частицы с массой m и энергией E движутся слева на потенциальный барьер. Найти: а) коэффициент отражения R этого барьера при
; б) эффективную глубину проникновения частиц в область x>0, при
, т.е. расстояние от границы барьера до точки, где плотность вероятности нахождения частицы уменьшается в e раз.
| Дано: |
СИ |
Решение: |
| m E |
|
При x<0 решение уравнения Шредингера(рис.) имеет вид: Отношение квадрата модуля амплитуды отраженной волны При Ответ: а) |
| Найти: R=? |
Задача 2.
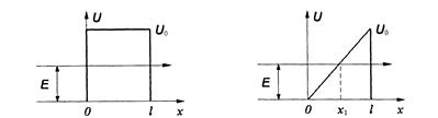
Найти для электрона с энергией E вероятность D прохождения потенциального барьера, ширина которого равна 1 и высота
, если барьер имеет форму, показанную: а) рисунок 1; б) рисунок 2.
| Дано: |
СИ |
Решение: |
| E |
|
Рис. 1. Рис. 2. Для потенциала, изображенного на рисунке 1, при
Для потенциала, изображенного на рисунке 2,
Ответ: а) |
| Найти: D=? |
Задача 3.
Короткий импульс света с энергией E=7.5 Дж, в виду узкого, почти параллельного пучка падает на зеркальную пластинку с коэффициентом отражения p=0.60. Угол падения
Определить с помощью корпускулярных представлений импульс, переданный пластинке.
| Дано: |
СИ |
Решение: |
|
|
Дж |
Пусть N-число фотонов в импульсе света с полной энергией E. Полный импульс налетающих фотонов равен Модуль импульса, переданного пластине, равен
Подставляя в это выражение численные значения величин, находим Ответ: |
| Найти:
|
нН*с |
Задача 4.
Частица движется слева направо в одномерном потенциальном поле, показанном на рисунке. Левее барьера, высота которого U=15эВ, кинетическая энергия частицы T=20эВ. Во сколько раз и как изменится дебройлевская длина волны частицы при переходе через барьер?
| Дано: |
СИ |
Решение: |
|
|
эВ эВ |
Получаем выражение для дебройлевской длины волны частицы в различных областях пространства:
В области, где
Справа от барьера, где потенциал имеет заданное значение
Таким образом, при прохождении барьера длина волны частицы возрастает в Ответ: длина волны возрастет в |
| Найти:
|
м/м |
Задача 5.
Частица массой m находится в одномерной потенциальной яме в основном состоянии. Найти энергию основного состояния, если на краях ямы ψ – функция вдвое меньше, чем в середине ямы.
| Дано: |
СИ |
Решение: |
| m |
кг |
Решение этого уравнения можно записать в виде:
Решение этого уравнения, соответствующее минимальному значению энергии, имеет вид:
В результате, для энергии частицы в основном состоянии получаем выражение:
Ответ: |
| Найти:
|
Дж |
Задача 6.
Излучение Солнца по своему спектральному составу близко к излучению абсолютно черного тела, для которого максимум испускательной способности приходится на длину волны 0.48 мкм. Найти массу, теряемую Солнцем ежесекундно за счет этого излучения. Оценить время, за которое масса Солнца уменьшится на 1%.
| Дано: |
СИ |
Решение: |
|
|
|
С помощью закона смещения Вина найдем температуру поверхности Солнца:
Энергия, теряемая Солнцем в виде излучения в единицу времени P, определяется произведением его энергетической светимости M на площадь излучающей поверхности:
Согласно теории относительности Эйнштейна, энергия покоя тела
Таким образом, время
Ответ: |
| Найти:
|
|
Задача 7.
Точечный изотропный источник испускает свет с λ=589нм. Световая мощность источника P=10Вт. Найти: а) среднюю плотность потока фотонов на расстоянии r=2.0 метра от источника;
б) расстояние от источника до точки, где средняя концентрация фотонов ![]()
| Дано: |
СИ |
Решение: |
|
|
|
Найдем число фотонов, испускаемых источником в единицу времени
Окружим точечный источник сферической поверхностью радиуса r. Очевидно, что число фотонов, пролетающих через эту поверхность в единицу времени, равно
Расстояние r, на котором имеется заданная концентрация фотонов, определяется выражением:
Ответ:
|
Задача 8.
Имеется два абсолютно черных источника теплового излучения. Температура одного из них
Найти температуру другого источника, если длина его волны, отвечающая максимуму его испускательной способности, на
больше длины волны, соответствующей максимуму испускательной способности первого источника.
| Дано: |
СИ |
Решение: |
|
|
Длина волны, на которую приходится максимум излучения первого источника, согласно закону смещения Вина, вычисляется по формуле:
По условию задачи максимум испускательной способности второго источника приходится на длину волны: Вновь применяя закон смещения Вина, и используя выражение
Ответ: |
|
| Найти:
|
Задача 9.
Найти длину волны коротковолновой границы сплошного рентгеновского спектра, если скорость электронов, подлетающих к антикатоду трубки, ν=0.85с, где c – скорость света.
| Дано: |
СИ |
Решение: |
|
|
Коротковолновая граница сплошного рентгеновского спектра
Поскольку, по условию задачи скорость электронов не мала по сравнению со скоростью света:
Ответ: |
|
| Найти:
|
|
Задача 10.
При поочередном освещении поверхности некоторого металла светом с длинами волн λ1= 0.35мкм и λ2=0.54мкм, обнаружили, что соответствующие максимальные скорости фотоэлектронов отличаются друг от друга в η =2.0 раза. Найти работу выхода с поверхности этого металла.
| Дано: |
СИ |
Решение: |
|
|
Ответ: |
|
| Найти:
|
|
Тест
1.Тело, относительно которого рассматривают движение, называют:
1) системой координат;
2) телом отсчета;
3) системой отсчета;
2.Кто сформулировал теорию относительности?
1) Больцман;
2) Лобачевский;
3) Эйнштейн;
3.Уравнение Клайперона - Менделеева – это уравнение, описывающее зависимость между давлением идеального газа, его объемом и:
1) количеством молекул идеального газа;
2) абсолютной температурой;
3) плотностью идеального газа;
4.Изменение направления распространения электромагнитных волн на границе раздела двух сред называется:
1) отражением волн;
2) преломлением волн;
3) дифракцией волн;
5.Сила, с которой тело вследствие его притяжения Землей действует на опору или растягивает подвес, называется:
1) весом тела;
2) массой тела;
3) силой тяжести;
6.Что наряду с работой является мерой изменения внутренней энергии системы?
1) потенциальная энергия;
2) теплопроводность;
3) количество теплоты;
7.Агрегатное состояние вещества, характеризующееся стабильностью формы и характером теплового движения атомов, совершающих малые колебания около положений равновесия – это:
1) твердое тело;
2) жидкость;
3) газ;
8.Иногда при полете самолета слышен сильный хлопок. Что это означает?
1) Что самолет идет на посадку;
2) Что самолет теперь летит со сверхзвуковой скоростью;
3) Что пилот решил катапультироваться;
9. Количественная мера различных форм движения материи и различных видов взаимодействий – это…
1) инерция;
2) энергия;
3) дивергенция;
10. Изопроцесс, при котором T = const :
1) изотермический процесс;
2) изохорный процесс;
3) изобарный процесс.
Список использованной литературы
1. Балабанов, В.И. Нанотехнологии. Наука будущего. /В.И. Балабанов. - М.: Эксмо, 2008. - 256 с.
2. Рыбалкина, М. Нанотехнологии для всех. /М. Рыбалкина. - М.: Nanotechnology News Network, 2006. - 444 с.
3. Кобаяси Н. Введение в нанотехнологию. / Н. Кобаяси, пер. с япон. - М.: БИНОМ. Лаборатория знаний, 2005. - 134 с.
4. http://www.volkswagen.ru/ru/ru.html
5. http://www.mercedes-benz.ru/
6. http://www.ntsr.info/
7. http://www.nanonewsnet.ru
Похожие рефераты:
Концепции современного естествознания
Программа для поступающих в вузы (ответы)
Моделирование в физике элементарных частиц
Устройства генерирования и канализации субмиллиметровых волн
Ответы к экзаменационным билетам по физике 11 класс (ответы к 29 билетам)
Владимира Иннокентьевича Бабецкого (3 семестр)
Русский космизм (Русский прорыв в сознании)
Исследование процессов испарения и конденсации жидких капель
Нанотехнологии в машиностроении России
Взаимодействие бета-частиц с веществом
История открытия элементарных частиц
Основные концепции физики ХХ века
Межпредметные связи в курсе школьного предмета химии на предмете углерода и его соединений
Исследование особенностей технической эксплуатации ходовой части автомобилей "Toyota"

. При
при 
.
Поскольку кинетическая энергия частицы по условию задачи мала по сравнению с энергией покоя, то в данном случае можно воспользоваться формулами нерелятивистской механики. Из закона сохранения энергии:
В области 
.