| Скачать .docx |
Курсовая работа: Вимірювання вологості газу в трубопроводі
Вступ
1. Огляд і аналіз методів вимірювання вологості газу
1.1 Аналізатор, що вимірює температуру конденсації пари води на охолоджуваному дзеркалі
1.2 Ємкісні аналізатори
1.3 Електролітичні аналізатори на основі п'ятиокису фосфору
1.4 Аналізатори вологості на основі кварцевого кристалу
1.5 Порівняння методів вимірювання вологості газу в потоці
2. Розробка принципової та структурної схем приладу для вимірювання вологості газу
3. Визначення та дослідження основних елементів і вузлів приладу для вимірювання вологості газу
3.1 Термоперетворювач опору
3.2 Ємнісний перетворювач вологості
3.3 Тенорезисторний перетворювач тиску
4. Розрахунок основних елементів вузлів приладу для вимірювання вологості газу
4.1 Розрахунок термоперетворювача опору
4.2 Розрахунок ємнісного перетворювача вологості
4.3 Розрахунок габаритно-монтажних параметрів приладу
5. Розрахунок метрологічних характеристик
5.1 Абсолютна вологість (a)
5.2 Точка роси (ТD )
5.3 Вимірювання точки роси вище 20°С
5.4 Об'ємний вологовміст (x).
6. Розрахунок швидкодії і точності вимірюваних параметрів
6.1 Оцінка характеристики ВК по точності і швидкодії
6.2 Вибір апаратури обробки (ЕОМ)
Висновок
Список літератури та посилань
р - тиск, МПа;
ε - діелектрична проникність середовища;
φ - відносна вологість, %;
а - абсолютна вологість, г/м3 ;
V
- об’єм,
;
G - сила, Н;
С - ємність, пФ;
h - товщина, м;
R - опір, Ом;
U - напруга, В;
l - довжина, м;
b - ширина, м;
Т - температура, ºС;
ТD - температура точки роси, ºС
Вступ
Вологість газу є одним з основних параметрів при добуванні, транспортуванню і переробці природного газу. Надійне і точне вимірювання цього параметра потрібний на всіх етапах - від свердловини до газопереробного заводу, істотно впливає на економічність і ефективність процесів. Завдання вимірювання вологості можна розділити на три великі групи по різних процесах газової промисловості, а саме:
у процесах осушення газу на родовищах і газопереробних заводів;
при транспортуванні газу;
у комерційному обліку газу.
Серед численних аналізаторів, використовуваних для лабораторного аналізу вологості газу, лише лічені одиниці здатні працювати в потоці. Можна виділити чотири основних типів таких аналізаторів.
Аналізатор, що вимірює температуру конденсації пари води на охолоджуваному дзеркалі. Це аналізатор що здійснює вимірювання в одиницях температури точки роси.
Аналізатор з електролітичним осердям на основі п'ятиокису фосфору, також реалізовуючий перший принцип - закон електролізу Фарадея (що зв'язує кількість електрики з масою поглиненої Р2 О5 води). Вимірювання здійснюється в абсолютних одиницях, перерахунок в одиниці температури точки роси проводиться по таблицям ASTM або ГОСТ.
Ємнісні аналізатори, що реалізують принцип зміни ємності конденсатора за рахунок зміни діелектричної проникності, яка залежить від вмісту вологи.
Аналізатор, що реалізовує принцип мікровагів на основі п'єзокристала з спеціальним покриттям. Вода, поглинаючись в порах полімерного покриття кварцевого резонатора, змінює його масу, а, отже, і його частоту. Аналізатор вимірює абсолютну вологість, і для перетворення в температуру точки роси використовуються таблиці ASTM або ГОСТ.
1. Огляд і аналіз методів вимірювання вологості газу
1.1 Аналізатор, що вимірює температуру конденсації пари води на охолоджуваному дзеркалі
Призначення
Аналізатор "КОНГ-ПРИМА-10" рисунок 1 застосовується для вимірювання точки роси по волозі і вуглеводням в природному газі, повітрі і в інших газах. Аналізатор може бути використаний в газовій, нафтовій промисловості і інших галузях народного господарства для контролю якості технологічних процесів по параметру - точка роси вологи (вологість) і точка роси вуглеводнів.

Рисунок 1 - Аналізатор температури точки роси "КОНГ-ПРИМА-10"
Метод вимірювання
У інтерференційному аналізаторі точки роси "КОНГ-ПРИМА-10" рисунок 2, як і в попередніх моделях приладів серії "КОНГ-ПРИМА", реалізований конденсаційний принцип вимірювання з реєстрацією процесів конденсації оптичним методом. Суть методу полягає у вимірюванні температури, до якої необхідно охолодити прилеглий до охолоджуваної поверхні шар вологого газу, для того, щоб довести його до стану насичення при робочому тиску. Метод визначення точки роси, використовуваний в аналізаторі, відповідає ГОСТ 20060-83 і ГОСТ 20061-84.
Опис і принцип роботи
Джерелом випромінювання є лазерний світлодіод 10, поляризоване світло від якого через систему оптичних лінз 4,11 під певним (спеціально заданим) кутом потрапляє на кремнієву пластину 9 (дзеркало або ЧЕ).
Дзеркало 9 охолоджується трьохкаскадною термоелектронною батареєю 8. Відбите від дзеркала світло реєструється по трьом каналам: основному 6, такому, що працює по віддзеркаленню світла і двом додатковим 5 і 7, таким, що працює по розсіянню світла.

Рисунок 2 - Аналізатор температури точки роси "КОНГ-ПРИМА-10"
По різній реакції кожного інформаційного каналу на освіту на дзеркалі при його охолоджуванні конденсату, відбувається диференціювання компонентного складу конденсату (вода, лід, гідрати, вуглеводні і ін.) Принцип реєстрації освітлення на дзеркалі плівки конденсату заснований на використанні ефекту Брюстера рисунок 1.3, що є новим моментом в гігрометрії. При падінні поляризованого світла на плоску поверхню під певним кутом ("кутом Брюстера"), на межі розділу середовищ "газ - кремнієва пластина" все світло стає заломленим і поглинається пластиною аморфного кремнію. При зміні властивостей межі розділу середовищ (при появі нової межі розділу: "газ - плівка конденсату") частина світу відбивається. Зміни інтенсивності відбитого променя фіксується фотоприймачем 5, сигнал якого є основним інтерференційним каналом.

Рисунок 3 - Ілюстрація ефекту Брюстера
Для фіксації утворення неоднородностей розподілу водного конденсату ("капіж") або кристалів льоду і гідратів на ЧЕ призначені фотоприймачі 6 і 7. Вони фіксують зміну розсіяного світла і тому розташовані збоку від направляючої призми і від фотоприймача того, що фіксує прямий відбитий сигнал. Фотоприймач 6 фіксує зміну інтенсивності розсіюваного світла по ходу світлового потоку лазера (пряме розсіювання), а фотоприймач 7 - в протилежному напрямі (зворотне розсіювання).
Перетворювач точки роси (ПТР), що входить до складу аналізатора, може мати різних конструктивних виконань, які визначаються при замовленні аналізатора:
ПТР у виконанні КРАУ2.848.004, з погружним газопідведенням, призначений для монтажу безпосередньо на трубопроводі
ПТР у виконанні КРАУ.848.004-01, з проточним газопідведенням, призначений для підключення до трубопроводу по проточній схемі, наприклад, через систему підготовки газу КРАУ2.848.002 або КРАУ2.848.003 (див. СПГ)
ПТР у виконанні КРАУ2.848.004-02, на відміну від ПТР КРАУ2.848.001-01 має підвищену міцність елементів конструкції ПТР, що дозволяє використовувати його при максимальному робочому тиску до 25 Мпа. Окрім цього, датчик ПТР теплоізольований від корпусу - це дозволяє ефективніше охолоджувати датчик ПТР при використанні його в комплекті із СПГ КРАУ2.848.003.
1.2 Ємкісні аналізатори
Широкого поширення серед вимірювачів вологості газів набули прилади сорбційно-ємкісні датчики, що мають як первинні перетворювачі
відносній вологості рисунок 4. Такі прилади оснащені також датчиками температури, в результаті чого не представляє праці за допомогою вбудованого мікроконтролера на основі зміряних значень відносної вологості і температури набути значень інших вологісних характеристик газу, таких як температура точки роси (далі - точка роси), абсолютна вологість і вологовміст. Прилади, що використовують такий спосіб набуття значень вологості, відносно прості і недорогі. Проте, при всій привабливості даного методу, у нього є ряд моментів, що обмежують його застосування. Відволікаючись від фізико-хімічних особливостей сорбційно-ємкісних датчиків, зупинимося на метрологічній стороні їх застосування.

Рисунок 4 - Прилад для вимірювання вологості газу "РОСА-10"
Вимірювачі з ємкісними датчиками мають діапазон вимірювання відносної вологості 0-100% і похибка 2-3%. Стандартна похибка вимірювання температури складає 0,3-0,5°с. Про похибку вимірювання інших величин в паспортах приладів зазвичай нічого не мовиться. В результаті споживач не має не тільки гарантованого значення похибки, але навіть якого-небудь уявлення про її можливому значенні. Тим часом, похибка вимірювання різна для різних параметрів і неочевидним чином пов'язана з похибкою вимірювання початкових величин - відносної вологості і температури. Проте, її значення досить просто виходить шляхом нескладних математичних викладень.
Слід наголосити, що існує "похибка вимірювання температури" та "додаткова температурна похибка датчика вологості". Перша приводить до того, що при обчисленнях в приладі використовується неправильне значення температури. Ця похибка присутня при всіх температурах, зокрема і при кімнатній. Тому вона впливає на значення основної похибка всіх величин, що отримуються шляхом розрахунку із заміряних значень відносної вологості і температури. Сенс другої похибки виражається її назвою "додаткова", тобто ця похибка виявляється тільки при температурах відмінних від кімнатної. Вона обумовлена залежністю параметрів самого датчика вологості від температури.
1.3 Електролітичні аналізатори на основі п'ятиокису фосфору
Електролітичні аналізатори (рисунок 5) були розроблені компанією Dupont Instruments. На території колишнього СРСР широко поширені аналізатори "Байкал", що використовують цей же принцип. Аналізатори цього типу вимірюють масу води, поглиненим п'ятиокисом фосфору. Як і в аналізаторі температури точки роси, принцип вимірювання - рівноважний. Отже, час відгуку в діапазоні малих концентрацій достатній велике. Проте, електролітичні прилади достатньо швидко "відгукуються" на збільшення вологості і украй поволі - на її зменшення. Ці датчики мають обмеження по діапазону як зверху, так і знизу. Реальний діапазон таких аналізаторів - від 20 ppm до 2000 ppm - в цілому цілком прийнятний для вимірювання вологості природного газу.

Рисунок 5 - Електролітичний аналізатор AMETEK 303b
Обмеження зверху пов'язане з тим, що при рівні вологості понад 2000 ppm п'ятиокис фосфору дуже швидко насищається водою, що приводить до освіти і зростання дендритних структур, закорочуючих вимірника осередок. Знизу діапазон обмежений із-за висушування п'ятиокису фосфору і безперервного віднесення частини порошку. Інше обмеження - існування невеликих струмів витоку зіставних при малих концентраціях із струмом, викликаним дисоціацією води. Фундаментальним недоліком цих аналізаторів є нездатність відрізнити воду від метанолу або Дега. Сигнал такого приладу буде пропорційний сумарному вмісту цих компонентів в потоці, а не концентрації води. З цієї причини такі аналізатори не підходять для управління роботою установок осушення газу Дегом. Для установок осушення молекулярними ситами ці аналізатори також непридатні в силу обмеженості діапазону. Калібрування таких аналізаторів, по суті, розрахункове. Приймається, що достатньо повірити тільки електричну частину. У більшості приладів не можна змінити параметри калібрування чутливого елементу, навіть якщо виявлена розбіжність свідчень аналізатора з еталоном вологості. Звичайна така розбіжність усувається з допомогою очищення осередку і нанесення нового шару п'ятиокису фосфору. Єдине завдання, для вирішення якої використовуються ці аналізатори, - періодичний моніторинг вологості в трубопроводах. Для стаціонарного вимірювання в потоці газу такий прилад мало придатний хоч би із-за забруднення капілярних каналів чутливого елементу мехдомішками.
1.4 Аналізатори вологості на основі кварцевого кристалу
Аналізатори вологості на основі кварцевого кристалу рисунок 6, іноді називають кварцевими мікровагами виготовляються тільки компанією AMETEK Process Instruments. Конструкція, а також принцип вимірювання цих приладів детально описані в різних статтях.

Рисунок 6 - Аналізатори вологості природного газу AMETEK 3050
Нижче стисло перераховані унікальні рішення, які забезпечили можливість використання таких аналізаторів в різних процесах газової промисловості.
Широкий динамічний діапазон вимірювання від 0.1 ppm до 10000 ppm дозволяє використовувати аналізатор для автоматизації роботи установок осушення і Дегом, і молекулярними ситами.
Асиметричний цикл вимірювання (30 з аналіз, 570 з порівняння з нульовим газом) при аналізі природного газу вирішує проблему пари Дега, домішок компресорного масла і гідратів. Такий цикл зменшує час контакту проби з датчиком і, тим самим значно скорочує вірогідність його забруднення. З іншого боку, під час циклу порівняння датчик продувається очищеним сухим газом. При цьому із-за високої температури у вимірювальному осередку (60°с) і великій різниці в парціальних тиску будь-які висококиплячі домішки випаровуються. У циклі порівняння вимірювальний осередок повністю відновлює свої властивості. - Використання як порівняльний (нульового) газ того ж аналізованого природного газ, такого, що пройшов через систему осушення, забезпечує незалежність вимірювання від складу газу.
Через нерівноважний принцип вимірювання, аналізатор практично нечутливий до наявності домішок метанолу в природному газі. Мабуть, це єдиний аналізатор вологості природного газу, що володіє цією властивістю.
Поріг чутливості аналізатора знаходиться в діапазоні одиниць ppb. Таким чином його можна використовувати для вимірювання вологості на установках газорозділу методом глибокого охолоджування (турбоекспандер). При цьому аналізатор необхідно обладнати спеціалізованою системою, здатною забезпечити відбір проби газу і доставити таку малу кількість води до аналізатора.
Аналізатор оснащений вбудованим генератором вологості, який дозволяє миттєво оцінити правильність свідчень, якщо у постачальника і покупця виникнуть яких-небудь розбіжності за якістю газу, причому без зупинки вимірювання, демонтажу датчика і яких-небудь додаткових засобів. Аналізатор вимірює абсолютне значення вологості (ppm або мг/м3), а відображення результатів в одиницях температури точки роси здійснюється при необхідності по "зашитим" в ППЗУ таблицям ASTM або ГОСТ. Перерахунок з абсолютних величин в одиниці температури точки роси здійснюється з високою точністю навіть в припущенні про ідеальності газу і приводить до похибки в межах ±1°С. Таким чином, принцип вимірювання, реалізований в аналізаторах на основі кварцевого кристала, представляється якнайкращим для визначення вологості природного газу на всіх стадіях. Найбільшу економічну вигоду використання цього аналізатора дає при автоматизації роботи установок осушення і на вузлах комерційного обліку газу.
Існуючі моделі аналізаторів AMETEK охоплюють всі можливі застосування в газовій промисловості. В сукупності з іншими аналізаторами якості (газовим хроматографом для визначення складу газу і його теплотворної здатності аналізатором H2 S і аналізатором точки роси вуглеводнів) ці прилади успішно вирішують комплекс завдань, що виникають в процесах здобичі, переробки, транспортування і розподіли природного газу.
1.5 Порівняння методів вимірювання вологості газу в потоці
Розглянувши методи визначення вологості газу, та проаналізувавши технічні характеристики приладів, побудовано порівняльну таблицю 1 в якій наведені технічні характеристики, та умови використання перерахованих методів
Таблиця 1 - Порівняння характеристик приладів
Метод Вимірювальна величина |
Ємнісний метод вимірювання вологості газу | Метод вимірювання температури конденсації пари води | Метод мікровагів, вимірювання вологості газу | Метод з використання електролітичного осердя на основі п'ятиокису фосфору |
| Робочий тиск | 1…15 МПа | 1…10Мпа | 1-3МПа | 0,07…0,7МПа |
| Робоча температура | 40…110ºС | 40…50ºС | До 50ºС | 0…50ºС |
| Відносна вологість | 0…100% | 0…98% | 0…100% | 0…100% |
| Абсолютна вологість | 0…18г/м3 | 0…20г/м3 | 0…30 г/м3 | 0…30г/м3 |
| Похибка вимірювання відносної вологості | +/-2…3% | +/-1% | +/-10% | +/-5% |
| Чутливість | 6-8г/м3 | 6-8г/м3 | 6-8г/м3 | 6-8г/м3 |
Проаналізувавши табличні дані, обираємо метод, який більше задовольняє умові завдання, а саме робочий тиск 0-10МПа, робоча температура приладу - 45…50ºС, та похибка не більше 0,2-0,5ºС. Ці умови задовольняє лише метод вимірювання вологості за допомогою емнісного аналізатора. Але для повної оцінки вологості газу в трубопроводі, а саме для визначення відносної вологості, абсолютної вологості, об’ємного вологовмісту, температури точки роси необхідно знати зміну тиску в трубопроводі. Навіть не значна зміна тиску призводить до появи непередбачуваних похибок, тому обраний метод необхідно удосконалити. Для цього використовуємо перетворювач тиску АИР - 20 ДА, НПП "Элемер", який призначений для використання в системах автоматичного контролю, регулювання і управління технологічними процесами і призначений для безперервного перетворення в уніфікований вихідний струмовий сигнал 4.20мА абсолютного тиску.
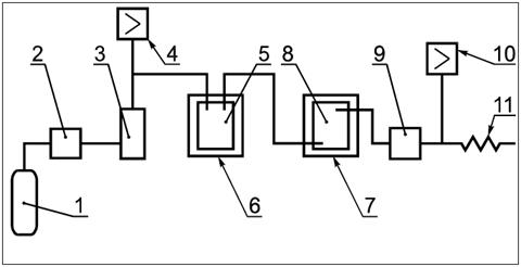
2. Розробка принципової та структурної схем приладу для вимірювання вологості газу
Принципова схема рисунок 7 та структурна схема приладу рисунок 8 показує принцип роботи розроблюваного приладу. Розроблюваний прилад складається з чотирьох основних частин: датчика вологості поз.3, датчика температури поз.4, датчика тиску поз.7 та обчислюваного пристрою поз.5.

Рисунок 7 - Принципова схема вологоміра
Датчик температури являє собою ємнісний перетворювач, діелектрична проникність якого залежить від вологості вимірювального середовища. Кріпиться до трубопроводу поз.1 та контактує безпосередньо з вимірювальним середовищем поз.2, в нашому випадку потоком газу. Більш детально принцип роботи перетворювача описано нижче.
Датчик температури являє собою термометр опору, опір якого залежить від температури навколишнього середовища, також монтується в трубопровід поз.1 та контактує безпосередньо з вимірювальним середовищем поз.2, в нашому випадку потоком газу. Більш детально принцип роботи описано нижче.
Обчислювальний пристрій являє собою мікросхему закриту у вологонепроникний корпус, виконує функції обробки сигналів з датчиків, температури та вологості середовища, обчислює температуру точки роси, абсолютну вологість та об’ємне вологотримання середовища, і видає їх на електронне табло.

Рисунок 8 - Структурна схема вологоміра
3. Визначення та дослідження основних елементів і вузлів приладу для вимірювання вологості газу
Основними елементами приладу можна вважати перетворювачі температури, тиску та вологості в електричний сигнал, та реєструючий пристрій. В нашому приладі використовуються наступні чутливі елементи. Для перетвореннятемператури потоку використовуємо термометр опору, опір якого залежить від зміни температури навколишнього середовища, в даному випадку температури потоку природного газу в трубопроводі. Для перетворення вологості в електричний сигнал використовуємо ємнісний перетворювач, ємність якого, за рахунок зміни діелектричної проникності ε, яка залежить від вмісту вологи в потоці. Для отримання значення тиску в трубопроводі використовуємо
3.1 Термоперетворювач опору
Термометр опору - датчик для вимірювання температури, чутливим елементом якого є резистор, що виконаний з металевого дроту або плівки і має відому залежність електричного опору від температури. Найбільш поширений тип термометрів опору - платинові термометри. Це пояснюється тим, що платина має високий температурний коефіцієнт опору і високу стійкість до окислення. Еталонні термометри виготовляються з платини високої чистоти з температурним коефіцієнтом не менше 0,003925. Як робочі засоби вимірювань застосовуються також мідні і нікелеві термометри.
Стандарт, що діє, на технічні вимоги до робочих термометрів опору: ГОСТ Р 8.625-2006 (Термометри опору з платини, міді і нікелю. Загальні технічні вимоги і методи випробувань). Опір виготовленого термометра може бути будь-яким. Промислові платинові термометри опору в більшості випадків використовуються із стандартною залежністю опір-температура (НСХ), що обумовлює похибку не краще 0,1°С (клас АА при 0°С). Термометри опору на основі напиленої на підкладку плівки відрізняються підвищеною віброміцністю, але меншим діапазоном температур. Максимальний діапазон, в якому встановлені класи допуску платинових термометрів для дротяних чутливих елементів складає 660°С (клас З), для плівкових 600°С (клас З). Термоперетворювачі опору виготовляються термочутливих елементів (ЧЕ) рисунок 9, в корпус з неіржавіючої сталі 08Х18Н10Т. Гнучкий вивід виготовлений з термостійкого екранованого дроту у фторопластовій ізоляції типу МСЕО-1511.

Рисунок.9 - Термоперетворювач опору
3.2 Ємнісний перетворювач вологості
Ємнісні вимірювальні перетворювачі використовуються для перетворення лінійних або кутових переміщень, тисків, вібрацій, прискорень, рівнів рідини в електричний сигнал. Являє собою конденсатор що складається з двох чи більше пластин, відокремлених одна від одної шаром повітря або іншим діелектриком.
В розроблюваному приладі використано властивість ємнісних перетворювачів перетворювати зміну вологості середовища, яка змінює діелектричну проникність ε діелектрика.
Ємнісний перетворювач, який входить до складу розроблюваного приладу має дуже малі габаритні розміри, в якості діелектрика використано полімер чутливий до вологи, щоб забезпечити доступ вологи до діелектрика одну з пластин робимо пористою ширина пор від 1 до 10 мкм рисунок 10 [3].

Рисунок 10 - Ємнісний перетворювач вологості
3.3 Тенорезисторний перетворювач тиску
Використаний перетворювач тиску рисунок 11 складаються з первинного перетворювача і електронного пристрою. Середовище під тиском подається в камеру первинного перетворювача і деформує його мембрану, що приводить до зміни електричного опору розташованих на ній тензорезисторов, включених в електричне коло, внаслідок чого первинний перетворювач видає сигнал напруги. Електронний пристрій перетворить електричний сигнал в цифровий код значення вимірюваного тиску, який потім перетвориться в уніфікований струмовий вихідний сигнал.
Конструктивно датчик складається із сталевого циліндричного корпусу, в якому розміщений модуль аналогового пристрою. З одного торця корпусу угвинчений штуцер з тензоперетворювачем, на іншому кінці корпусу встановлена герметична вилка для підключення до струмової петлі 4…20мА. Вилка встановлюється через гумове кільце ущільнюється і закріплюється пластмасовою гайкою, яка нагвинчується на зовнішнє різьблення корпусу.

Рисунок 11 Тензорезисторний перетворювач тиску
Описані вище чутливі елементи найбільш підходять для їх використання в умовах, описаних в завданні, окрім того вони не дорогі, що робить розроблюваний прилад більш доступним.
Для захисту від механічних пошкоджень вище описані чутливі елементи помістимо в захисну гільзу, виконану з нержавіючої сталі, що забезпечить довгостроковість експлуатації приладу.
4. Розрахунок основних елементів вузлів приладу для вимірювання вологості газу
4.1 Розрахунок термоперетворювача опору
Для промислових платинових термометрів опору використовується рівняння Каллендара-Ван Дзюзена з відомими коефіцієнтами, які встановлені експериментально і нормовані в міжнародному стандарті МЕК 60751
RT =R0 [1+AT+BT2 +cT3 (T-100)] (-200ºC<T<0ºC)
RT =R0 [1+AT+BT2 ] (0ºC<T<850ºC)
де RT - опір при температурі Т, R0 - опір про 0ºC та константи (для платинового термоперетворювача):
А = 3,9083 х 10-3 ºC-1
В = - 5,775 х 10-7 ºC-2
с = - 4,183 х 10-12 ºC-4
Оскільки коефіцієнти В і С відносно малі, опір росте майже лінійно по мірі росту температури. Порахувавши опору перетворювача від температури вимірюваного середовища заповнимо таблицю 2.
Найпоширеніша конструкція - так звана "вільна від напруги спіраль". Ця конструкція випускається багатьма російськими підприємствами і вважається найнадійнішою. Варіації основного дизайну полягають в розмірах деталей і матеріалах, використовуваних для герметизації корпусу ЧЕ. Для різних діапазонів температур використовуються різні види глазурі. Ця конструкція ЧЕ також дуже поширена за кордоном [1].
ЧЕ проектуємо у вигляді платинової спіралі рисунок 12, три відрізки якої укладаються в канали трубки з оксиду алюмінію і засипаються порошком з оксиду алюмінію високої чистоти. Таким чином, забезпечується ізоляція витків спіралі один від одного, амортизація спіралі при термічному розширенні і віброміцність. Герметизація кінців ЧЕ проводиться за допомогою проводиться за допомогою цементу, приготованого на основі оксиду алюмінію, або спеціальної глазурі.

Рисунок 12 - Схема ЧЕ
Таблиця 2 Залежності опору від температури
| Температура, 0 С | Опір, Ом |
| -50 | 401,5 |
| -45 | 411,4 |
| -40 | 421,3 |
| -35 | 431,2 |
| -30 | 441,1 |
| -25 | 450,5 |
| -20 | 460,5 |
| -15 | 470,5 |
| -10 | 480,4 |
| -5 | 490,2 |
| 0 | 500 |
| 5 | 505,4 |
| 10 | 515,4 |
| 15 | 528,4 |
| 20 | 538,4 |
| 25 | 548,3 |
| 30 | 558,5 |
| 35 | 568,5 |
| 40 | 578,5 |
| 45 | 586,3 |
| 50 | 592,0 |
Відношення опору термоперетворювачів при 100ºС до опору при 0ºС повинне відповідати W100 = 1,3910. Статична характеристика рисунок 13 перетворювача повинна відповідати формулі (1):
Rt = Wt R0 ( 1)
де Rt - опір перетворювача Ом, при температурі t , Wt - значення відношення опору при температурі t до опору при 0ºС.

Рисунок 13 - Статична характеристика
4.2 Розрахунок ємнісного перетворювача вологості
Ємність будь-якого конденсатора залежить від трьох основних параметрів: площі пластин S, відстані δ між пластинами і діелектричної проникності середовища ε між пластинами конденсатора, формула 2.
. (2)
Із наведеної формули бачимо, що зміни ємності можна досягти, змінивши значення однієї з величин δ, ε або S. Для розроблюваного приладу використовуємо зміну діелектричної проникності середовища, тобто δ=const, S=const, тому використаємо формулу (3) [4]
(3)
Його характеристика С=f (ε) буде лінійною рисунок 14

Рисунок 14 - Характеристика ємнісного перетворювача
Для перевірки впливу тиску на ємнісний датчик використовується калібратор вологості, схема якого зображена на рисунку 15, який моделює умови трубопроводу.

Рисунок 15 - Схема калібратора вологості
1 - балон з якого в систему подається тиск до 17 МПа, редуктор 2 понижує тиск до значення р , через пристрій насищення 3 з температурою Т і вологістю близькою до 100%, газ потрапляє до камери генератора 5 , який знаходиться в термостаті 6 де проходить конденсація надлишку вологи і насичення пари в газі до 100%. У вимірювальній камері 8 термостату 7 вимірюється вологість.4,10 - перетворювачі тиску, 9 - редуктор, 11 - капіляр
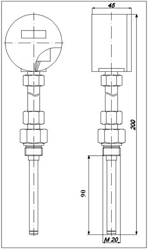
4.3 Розрахунок габаритно-монтажних параметрів приладу
Для правильного функціонування приладу необхідне точне визначення габаритно-монтажних розмірів розроблюваного приладу рисунок 16

Рисунок 16 - Габаритно-монтажні розміри приладу
Габаритні розміри приладу визначаються шляхом додавання розмірів складових елементів, деталей. Гільза з чутливим елементом занурються в вимірювальне середовище на 90мм. До трубопроводу прилад приєднується за допомогою різьбового з’єднання М20. Дані розміри вибрано з конструктивних міркувань.
Також для повноцінного функціонування приладу вимірювання вологості газу необхідний датчик тиску рисунок 17, використовуємо перетворювач тиску АИР - 20 ДА, який призначений для використання в системах автоматичного контролю, регулювання і управління технологічними процесами і призначений для безперервного перетворення в уніфікований вихідний струмовий сигнал 4.20 мА абсолютного тиску.

Рисунок 17 - Габаритно-монтажні розміри датчику тиску
5. Розрахунок метрологічних характеристик
Вимірювачі з ємнісними датчиками мають діапазон вимірювання відносної вологості 0-100% і похибку 2-3%. Стандартна похибка вимірювання температури складає 0,3-0,5°с. Похибка вимірювання різна для різних параметрів вологості і неочевидним чином пов'язана з похибкою вимірювання початкових величин - відносної вологості і температури. Проте, її значення досить просто виходить шляхом нескладних математичних викладень. Оскільки такий аналіз може бути корисний споживачам, він проведений в даному розділі.
Щоб уникнути непорозумінь відразу ж підкреслимо, що " похибка вимірювання температури" це не "додаткова температурна похибка датчика вологості". Перша приводить до того, що при обчисленнях в приладі використовується неправильне значення температури. Ця похибка присутня при всіх температурах, зокрема і при кімнатній. Тому вона впливає на значення основної похибки всіх величин вологості, що отримуються шляхом розрахунку із зміряних значень відносної вологості і температури. Сенс другої похибки виражається її назвою "додаткова", тобто ця похибка виявляється тільки при температурах відмінних від кімнатної. Вона обумовлена залежністю параметрів самого датчика вологості від температури.
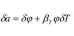
5.1 Абсолютна вологість (a)
Фактично це щільність водяної пари. Обчислюється за формулою:
(1.4)
φ - відносна вологість (%), E - тиск (кПа) насиченої пари при температурі
T (°С). Діапазон вимірювання рівний:
(1.5)
Видно, що абсолютна вологість залежить як від відносної вологості, так і від температури, в основному - через залежність E від температури. Тому приведена похибка вимірювання абсолютної вологості δа визначається похибкою, як датчика вологості, так і датчика температури:
(1.6)
Де δφ, δТ - похибки вимірювання відносної вологості і температури, а

У діапазоні від - 50°С до +20°С значення βТ змінюється від 0,11/°с до 0,06/°с. В (1.5) нехтує явною температурною залежністю а, рівною 0,003/°с. Аналіз формули (6) показує:
при низьких значеннях абсолютної вологості (φ~0%) δа ~δφ
при високих значеннях вологості (φ ~ 100 %)
![]()
внесок температурного датчика значний. Так, при похибці вимірювання температури 0,5°с він складає 3%, що рівне похибки, що вноситься датчиком відносній вологості.
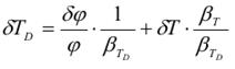
5.2 Точка роси (ТD )
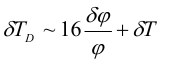
Одна з найважливіших величин, що характеризують вологість газу. Визначається як температура, при якій пара стає насиченою, тобто відносна вологість досягає значення 100%. Зрозуміло, що, чим нижче відносна вологість аналізованого газу, тим нижче його точка роси. Математичний опис абсолютної похибки δТD виражається формулою:
(1.7)
На рисунку 18 показана залежність точки роси від відносної вологості для газу, що має температуру 20°с. При зменшенні відносної вологості точка роси зменшується згідно із законом, близькому до логарифмічного. Видно, що поблизу φ=100% (в цьому випадку точка роси близька до температури аналізованого газу) похибка вимірювання відносної вологості в 1% приводить до похибки значення точки роси в 0,16°с, а при φ=2% (точка роси порядку мінус 30°с) похибка зростає до 5°с. Абсолютно очевидно, що розглядати похибки вимірювання відносної вологості 2% при значенні самої величини 2% не має сенсу.

Рисунок 18 - Значення точки роси при 200 С
Похибка вимірювання точки роси датчиками відносної вологості залежить не від самої точки роси, а від того, наскільки далеко вона стоїть від температури аналізованого газу, тобто від величини Т-ТD , званої дефіцитом точки роси. Це видно і з формули (7), де дефіцит точки роси - "сухість" газу - виявляється через відносну вологість. Це означає, зокрема, що похибка вимірювання такого високого значення точки роси, як +20°С, для газу з температурою +70°С, буде практично рівна похибці вимірювання такого малого значення, як мінус 30°с, але для газу з температурою +20°С. Адже в обох цих випадках дефіцит точки роси однаковий. Інша ситуація. Похибка вимірювання точки роси +10°С для газу з температурою +20°С значно менше, ніж похибка для газу з температурою +50°С, оскільки в першому випадку дефіцит точки роси багато менше, ніж в другому. Тому завжди розглядаючи похибку, треба брати до уваги не саму точку роси, а її дефіцит. Також коректним буде визначення параметрів для фіксованої температури аналізованого газу, наприклад для 20°с. Слід ще раз зазначити, що дані зауваження справедливі тільки для приладів з датчиками відносної вологості.
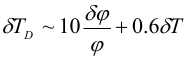
Аналіз формули (7) показує:
при малому дефіциті точки роси (φ ~100%)

що при стандартних похибках δϕ =3% и δT=0,5°С дає оцінку внесків
датчиків вологості і температури 0,5°с і 0,5°с відповідно.
- при великому дефіциті точки роси (φ ~0%)

тут внесок датчика температури менший (0,3°с), а внесок датчика вологості в загальну похибка вимірювання точки роси катастрофічно наростає з пониженням відносної вологості, що видно з графіків рисунку 18.
5.3 Вимірювання точки роси вище 20°С
Проблема тут полягає в проведенні перевірки. Стандартна методика перевірки багато приладів, не тільки вимірників вологості, припускає проведення вимірювань в 5-ти точках, скажемо 5, 25, 50, 75, 95% від діапазону вимірювань. Розглянемо наступну ситуацію. Перетворювач вологості має діапазон мінус 30.80°с т. р. При його перевірці потрібно провести вимірювання при 70-80°с т. р. Щоб набути такого значення точки роси, необхідно, щоб газ мав вищу температуру. Метрологічне устаткування для цих температур є екзотикою.
Крім того, прилад при високій температурі газу має додаткову похибку, обумовлену тим, що температура аналізованого газу відрізняється від нормальної (кімнатною). Тому проводити його перевірку в такій ситуації не зовсім вірно. Тим часом, деякий вихід з ситуації, що склалася, можливий. Треба провести перевірку приладу по відносній вологості і температурі, а потім на основі набутих значень похибок δϕ та δТ визначити похибку вимірювання точки роси по формулі (1.7) з урахуванням того, що

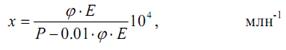
5.4 Об'ємний вологовміст (x).
Іншими словами, це об'ємна концентрація пари по відношенню до сухого газу. Обчислюється за формулою:

P - абсолютний тиск газу (кПа). Діапазон виміру (при зневазі тиском пари в порівнянні із загальним тиском):

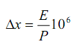
Для виміру вологовмісту потрібне застосування ще одного датчика - тиски. Тому з'являється додаткове джерело похибки, а формула для приведеної похибки δx набирає вигляду:
![]()
δ, PВ , Pmin - приведена похибка (%), верхня межа виміру тиску і мінімальне значення тиску відповідно. Надалі вважатимемо, що діапазон зміни тиску малий, тому P ≅ Pmin .
Аналіз формули (6) показує:
- при низьких значеннях абсолютної вологості (φ ~0%) ![]()
- при високих значеннях вологості (φ ~100%)

Вклад датчика тиску мінімальний при малих влажностях і наближається до свого максимального значення при високих влажностях. При правильно підібраному датчику тиску цей складник похибки можна звести до значення, нехтує малому в порівнянні з іншими.
Таблиця 3 Діапазони вимірювання та допустимі похибки вимірюваних величин
| Вимірювальна величина | Умовне позначення | Діапазон вимірювань | Межі допустимої основної похибки %, від діапазона вимірювань | |
| Для уніфікованого вихідного сигналу | по вимірювальній величині | |||
| Відносна вологість | φ | Від 0 до 100% | +/-2% | +/-2% |
Абсолютна вологість (при t=20°C) |
а | Від 0 до 18 г/м3 | +/-2% | +/-2% |
Об’ємний вологовміст (при t=20°C та абсолютному тиску 100кПА) |
х | До 28000 млн-1 | +/-2% | +/-2% |
| Температура точки роси | ТD | Від - 30 до 80°С т. р. | +/-1°С +/-3°С +/-6°С |
+/-1°С +/-3°С +/-6°С |
| Температура | T | Від - 40 до 100°С | +/-0,25 | +/-0,25 |
6. Розрахунок швидкодії і точності вимірюваних параметрів
Основними критеріями при створенні автоматизованого вимірювального комплексу (АВК) є надійність і економічна ефективність. Розвиток вимірювальної техніки, розширення круга складання завдань, які вирішуються за допомогою АВК, - усе це ставить перед розробниками ряд складних проблем. До головних з них можна віднести:
забезпечення виміру, збору, оптимізації, обробки значної кількості інформації про стан і якість об'єкту контролю;
забезпечення надійного функціонування усіх приладів і пристроїв, які входять до складу АВК;
підвищення точності вимірів і швидкості пристроїв, які приймають і обробляють інформацію;
значне скорочення числа приладів і пристроїв АВК без зниження його віддачі.
Датчик температури.
Як вимірювач температури в діапазоні - 50…50 ºC в розроблюваному приладі використовується термоперетворювач опору з аналоговим виходом і характеристиками:
діапазон виміру: - 50.50 ºC;
вихідний сигнал - аналоговий
основна похибка - 0,1%;
швидкодія 0,05 с.
![]() |
- 50.50 ºC 0… 20мА
Датчик тиску.
Як вимірювач тиску в діапазоні 0…10 МПа в розроблюваному приладі використовується перетворювач тиску АИР - 20 ДА з аналоговим виходом і характеристиками:
діапазон виміру: 0.10 МПа;
вихідний сигнал - аналоговий
основна похибка - 0,4%;
швидкодія 0,05 с.
|
- 0.500 ºC 4…20мА
Датчик вологості.
Як вимірювач воловті в розроблюваному приладі використовується ємнісний перетворювач вологості з аналоговим виходом і характеристиками:
вихідний сигнал - аналоговий
основна похибка - 2,5%;
швидкодія 0,8 с.
-
|
Уніфікуючий вимірювальний перетворювач.
В ролі підсилювача вибираємо УИП Ф7200, який має досить високу чутливість, яка досягається використанням оптоелектронного перетворювача. Має блоково-модульне і мікроелектронне виконання.

Характеристики: діапазон вхідної
напруги: 0.70 мВ;
діапазон вихідної напруги: 0.1 В;
основна похибка: 0,05%;
швидкодія: 0,001 с.
Аналогово-цифровий перетворювач
Вибираємо малогабаритний Ф7242 з підвищеною швидкістю і наступними
характеристиками: розрядність N=12;

основна похибка 0,2%;
код I вхід по струму 0.5 мА;
швидкодія 0,001 мкс;
вихід "1" - 2,4 В; "0" - 0,8 В.
Аналоговий комутатор
Вибираємо MAX306, що має високі метрологічні характеристики, малі габарити і вартість. Має наступні характеристики:
кількість вимірювальних каналів N=16;
вхід по струму 0.5 мА;
основна похибка 0,05%;
швидкодія 0,01с.

6.1 Оцінка характеристики ВК по точності і швидкодії
Розрахунок основної похибки ВК.
а) похибка ВК температури:
![]()
де Δ д =0,1% - похибка датчика;
Δ ак =0,05% - похибка аналогового комутатора
Δ ацп =0,2% - похибка аналого-цифрового перетворювача
б) похибка ВК тиску:
![]()
в) похибка ВК вологості:
![]()
За завданням необхідно забезпечити основну похибку виміру не більше 1,0%. Це значення перевищує ВК: вимір вологості Djв - 2,5%.
В даному випадку доцільно вбудувати в цей канал мікропроцесори, які за допомогою математичних методів зменшують погрішності датчиків як мінімум в 10 разів.
Після цього похибка канала складатиме:

Тепер вимоги по точності у вимірювальній системі задововільні, так як похибка вимірювання не перевищує 1%.
Розрахунок швидкодії ВК.
а) швидкодія ВК температури:
![]()
б) швидкодія ВК тиску:
![]()
в) швидкодія ВК вологості:
![]()
Час повного циклу при послідовному опитуванні датчиків буде рівний сумі швидкодій використаних датчиків
![]()
6.2 Вибір апаратури обробки (ЕОМ)
Як апаратура обробки в цьому АИК вибираємо ПЕВМ типу Pentium III - 600, для якої вирішені питання підключення до традиційних обчислювальних систем за допомогою кабелів через стандатртные роз'єми. ПЕВМ Pentium III - 600 оснащений різним програмним забезпеченням, до неї додаються комплекти програм і драйвери управління спеціальними вимірювальними платами, які підключаються до ПЕВМ.
Основні характеристики:
процесор Intel Pentium III тактова частота - 600 Мгц;
розрядність - 64;
співпроцесор - вбудований;
об'єм ОЗУ - 64.256 МБ;
об'єм жорстких дисків - 10 ГБ і вище.
Ці характеристики дозволяють використовувати ПЕВМ Pentium III - 600 як апаратура обробки для проектованого АИК.
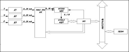
Проаналізувавши вихідний сигнал вимірювальних перетворювачів, аналогового комутатора, аналого-цифрового перетворювача, уніфікуючого вимірювального перетворювача, та підібравши оптимальну для обробки даних ЕОМ, можна побудувати схему структурної організації автоматичного вимірювального комплекса рисунок 19. Схема відображає послідовність з’єднань складових частин АВК описаних вище, вихідний сигнал вузлів.
Розроблений прилад включає в себе мікропроцесор, що дозволяє безпосередньо на місці збору даних обраховувати необхідні величини, та тимчасово зберігати результати.

Рисунок 19 - Схема структурної організації АВК
Також схема відображає можливість підключення АВК до ЕОМ, для обробки даних, проведення розрахунків, побудови графічних залежностей. Що робить використання приладу для вимірювання вологості газу в трубопроводі зрозумілим та доступним для користувачів.
Висновок
В результаті виконання даного курсового проекту проведено аналіз методів вимірювання вологості газу в трубопроводі під тиском, підібрано метод, який задовольняє умови завдання, розроблено принципову та структурну схему приладу, визначено основні елементи приладу, проведено розрахунок метрологічних характеристик розроблюваного приладу.
Для точки роси діапазон виміру мінус 30.20°С т. р. Похибка виміру залежить від дефіциту точки роси.
Для абсолютної вологості діапазон виміру визначається температурою газу. При 20°З максимальна абсолютна вологість ~18 г/м3. При збільшенні температури на 10°З діапазон вологості збільшується приблизно в 1,8 разу. Похибка залишається рівною 2-3%, але обчислюється вже від "нового", більшого значення. Тому, будучи приведеною до "старого" діапазону, похибка збільшується і досягає 3,5-5,5%. Аналогічно, при зменшенні температури на 10°З, діапазон зменшується і похибка, приведена до початкового діапазону, стає рівною 1-1,5%.
Усе сказане про абсолютну вологість - про вплив температури і відносної вологості на діапазон виміру (0-28000 млн - 1) про похибку - відноситься і до вологовмісту. Додатковою проблемою є необхідність виміру тиску. У приладі передбачено два варіанти обліку тиску.
Перший припускає, що тиск газу відомий заздалегідь і практично не міняється. Тоді за допомогою програми конфігурації значення тиску записується в прилад і при розрахунку вологовмісту воно враховується. Тут потрібно розуміти, що уся похибка зміни тиску повністю увійде до похибки виміру вологовмісту.
Другий варіант обліку тиску полягає в його вимірі. Прилад може вимірювати вихідний струм 4-20 мА (струмова петля), що поступає від зовнішнього перетворювача тиску. Для цього необхідно: а) підключити перетворювач тиску до приладу.
Список літератури та посилань
1. Физико-химические измерения // Измерительная техника - А.В. Крюков, К.В. Куриленок. 2008, №2 с 60-64.
2. Микроэлектронные датчики влажности // Зарубежная электронная техника А.И. Бутурлин. и др 1984, №9 с 3.
3. Приборы и методы температурных измерений: / Б.М. Олейник. М.: - 1987, с 103-125.
4. Перетворюючі пристрої приладів: Підручник / О.М. Безвесільна, П.М. Таланчук - К.: 1994. - с 80-89.
5. http://www.centrkip.ru/
6. http://prkomplekt.ru/index.html
7. www.metran.ru
8. http://www.teplolider.ru
9. www.atom-e-detal.ru
