| Похожие рефераты | Скачать .docx |
Реферат: Оборудование для биотехнологического производства
1. Классификация ферментаторов по способу подвода энергии
| Ферментаторы | Характеристика конструкции аппарата | Тип аппарата |
| ФГ с подводом энергии газовой фазой | Простота конструктивного оформления и высокая надежность в связи с отсутствием движущихся узлов и деталей | Барботажный. барботажно-эрлифтный. колоночный (колонный), форсуночный |
| ФЖ с подводом энергии жидкой фазой | Обычно энергия передастся жидкой фазе самовсасывающей мешалкой или насосом | Эжекционный. с циркуляционным контуром, с насасывающей мешалкой |
| ФЖГ (комбинированные) | Основным конструктивным элементом является перемешивающее устройство, обеспечивающее высокую интенсивность растворения кислорода и высокую степень диспергирования газа. В то же время энергия газовой фазой выводится обычным способом | Барботажный с механическим перемешиванием |
2. Основные отличия процессов и аппаратов БТ от процессов и аппаратов химтехнологии
Принципиальное отличие биотехнологических процессов от чисто химических заключается в следующем:
– чувствительность биологических агентов к физико-механическим
воздействиям;
– наличие межфазового переноса веществ (по типу «жидкость – клетки», «газ – жидкость – клетки»);
– требования условий асептики;
– низкие скорости протекания многих процессов в целом;
– нестабильность целевых продуктов;
– пенообразование;
– сложность механизмов регуляции роста и биосинтеза.
3. Классификация реакторов по конструктивным признакам и по организации перемешивания
Аппараты для аэробной глубинной ферментации наиболее сложны как конструкционно, так и с точки зрения их эксплуатации. Главная задача, возникающая при их конструировании, – обеспечение высокой интенсивности массо- и энергообмена клеток со средой. Массообмен определяется транспортом (переносом) кислорода и других биогенных элементов из среды в микробную клетку и отводом из нее продуктов обмена. Главным показателем массообменных характеристик ферментера служит коэффи-циент массопередачи кислорода, так как кислород является основным лимитирующим фактором аэробных ферментационных процессов. Расход кислорода на образование 1 кг биомассы в зависимости от типа углеродсодержащего сырья и степени его восстановленности может составлять от 0.75 до 5.00 кг. Клетки способны утилизировать кислород только в растворенном виде, поэтому необходимо постоянно поддерживать его концентрацию в культуре на уровне, оптимальном для конкретного продуцента. При этом скорость поступления кислорода к клеткам должна превышать скорость его включения в клетки, и в околоклеточном пространстве не должно возникать так называемых «концентрационных ям». Кроме этого, концентрация клеток и растворенного субстрата должны быть равномерными по всему объему ферментера. Поэтому перемешивание является также одним из основных факторов, обеспечивающих требуемую гидродинамическую обстановку в аппарате. При интенсивном перемешивании пузырьки воздуха дробятся в аппарате и диспергируясь увеличивают площадь контакта фаз «среда-клетка». Однако чрезмерное перемешивание может вызвать механическое повреждение биологических объектов.
К настоящему времени разработано и применяется огромное количество разнообразнейших перемешивающих и аэрирующих устройств, и классифицировать их практически невозможно.
4. Характеристика аппаратов с подводом энергии через газовую фазу
Ферментеры с подводом энергии к газовой фазе (группа ФГ ). Их общий признак – подвод энергии в аппарат через газовую фазу, которая является ее носителем. Ферментеры характеризуются достаточно простой конструкцией (отсутствуют трущиеся, движущиеся узлы), высокой эксплуатационной надежностью, но имеют не очень высокие массообменные характеристики (коэффициент массопередачи кислорода менее 4 кг/м3 ) (рис. 1). Данные аппараты представляют собой вертикальную емкость, снабженную газораспределительным устройством одного из известных типов.
Барботажные газораспределительные устройства обычно устанавливаются в нижней части аппарата. Подаваемый сверху через распределительную трубу воздух, пройдя через барботер, насыщает кислородом толщу среды. Коэффициент массопереноса кислорода невысок, 1–2 кг/м3 ч;

Рис. 1,6 Ферментеры с подводом энергии газовой фазой (группа ФГ) (Виестур и др., 1986). а) барботажный: 1 – корпус, 2 – воздухораспределитель, 3 – карман, 4 коллектор.
5. Общая характеристика реакторов с подводом энергии через жидкость
Ферментеры с вводом энергии жидкой фазой (группа ФЖ ) наиболее сложны по конструкции и энергоемки, но обеспечивают наиболее высокие по сравнению с группой ферментеров ГФ значения коэффициента массопередачи кислорода, свыше 6 кг/м3 ч. В данных аппаратах ввод энергии осуществляется жидкой фазой, обычно самовсасывающими мешалками или насосами; в последнем варианте жидкость вводится в аппарат через специальное устройство (сопло, эжектор, диспергатор). Данные аппараты также можно подразделит на ряд типов (рис. 1.7): ферментеры с самовсасывающими мешалками не требуют специальных воздуходувных машин, так как поступление в них воздуха происходит в результате разрежения в воздушной камере мешалки, соединенной с воздуховодом и с жидкостью, отбрасываемой лопатками мешалки; в эжекционных ферментерах возможна рециркуляция газовой фазы, что экономит субстрат, однако требуется наличие специальных насосов для перекачки газосодержащей культуральной среды. Применение эжекционного ввода газовых субстратов в ферментер может интенсифицировать массообмен на порядок; струйные ферментеры (с затопленной или падающей струей) оборудуются мощными насосами, которые забирают культуральную жидкость из нижней части аппарата и через напорный трубопровод подводят поток к аэрирующему устройству (по типу шахтного перепада или напорно-струйные). Струя жидкости под давлением свободно падает сверху и пронизывает аэрируемую жидкость до дна аппарата. Происходят интенсивные турбулизация и перемешивание жидкости. Внизу жидкость вновь засасывается насосом и снова подается вверх аппарата, то есть возникает замкнутый контур циркуляции. Недостатком данных аппаратов являются потери энергии при перекачке жидкости, трудности проектирования в связи с отсутствием надежных методик расчета конструкций и режимов работы струйных и эжекционных устройств.

Рис. 1.7. Ферментеры с вводом энергии жидкой фазой (группа ЖФ) (Виестур и др. 1986).
а) – с самовсасывающей мешалкой: 1 – корпус, 2 – мешалка, 3 – циркуляционный контур-теплообменник,
б) – эжекционный: 1 – корпус, 2 – насос, 3 – эжектор, в) – струйный с затопленной струей: 1 – эжектор, 2 – теплообменник, 3 – корпус, 4 – насос, 5 – рассекатель, 6 – труба с насадкой, г) – струйный с плавающей струей: 1 – теплообменник, 2 – насос, 3 – корпус, 4 – эжектор.
6. Общая характеристика реакторов с комбинированным подводом энергии
Третья группа аппаратов – с подводом энергии газовой и жидкой фазами (группа ФЖГ ). Основными их конструкционными элементами являются перемешивающие устройства всех известных типов, а также наличие в совокупности насосов и перемешивающих устройств. Это могут быть аппараты с группой самовсасывающих мешалок и насосом для перекачивания культуральной жидкости и другие сочетания перемешивающих и аэрирующих устройств. Коэффициент массопереноса кислорода в таких ферментерах может в принципе иметь любые из известных значения.
Выращивание дрожжей осуществляют в аппаратах эрлифтного типа объемом от 300 до 600 м3 с вводом воздуха в нижнюю зону аппарата при избыточном давлении 40–60 КПа. В процессе насыщения питательной среды воздухом образуется газо-жидкостная эмульсия, циркулирующая по всему объему аппарата, обеспечивающая эффективное перемешивание среды. Для борьбы с образующейся при аэрации пеной используют механическое пеногашение. Рабочий объем аппарата составляет около 70 % от общего объема. На отдельных предприятиях применяют также барботажноэрлифтные ферментеры большего объема, до 1300 м3 с воздухораспределением по нескольким, обычно 4–5 зонам.
7. Возможности аппаратов колонного типа по выбору и оптимизации режимов ферментации.
Барботажно-колонный – в нижней части корпуса такого аппарата устанавливается перфорированная пластина с диаметром отверстий 0.0005 м или сопловой эжектор с диаметром сопла 0.004 м; барботажно-эрлифтный аппарат характеризуется наличием внутри одного или нескольких диффуров («стаканов») или нескольких перегородок для принудительного разделения восходящих и нисходящих потоков циркулирующей жидкости; эти элементы расположены равномерно по сечению аппарата или концентрично:


б) барботажный колон-ный: 1 – корпус, 2 – рубашка, 3 – воздухораспределитель, в) барботажно-эрлифтный: 1 – корпус, 2 – диф-фузор-теплообменник, 3 – воздухораспределитлье;
8. Характеристика секционных колонных аппаратов
Если в аппарат введены секционные элементы в виде решеток, оборудованных лопастной насадкой; в центре аппарата находится труба, через которую вводится воздух, а жидкая фаза поступает противотоком сверху. Газ, поступая на лопастную насадку, обычно из полиэтилена, вращает ее; это существенно увеличивает поверхность контакта газовой и жидкой фаз.

1 – пеногаситель, 2 – емкость, 3 – диспергатор, 4 – корпус, 5 – распределительная перегородка
9. Газлифтный реактор трубчатого тип.
Газлифтный колонный ферментер состоит из двух колонн разного диаметра, соединенных между собой; одна представляет собой барботажную колонну с восходящим потоком воздуха, другая – циркуляционная, с нисходящим потоком. Воздух вводится в нижнюю зону аппарата в барботажную колонну; камера, соединяющая колонны в верхней части аппарата, образует большую поверхность контакта фаз; трубчатый аппарат сконструирован по типу теплообменных труб; взаимодействие газа в трубе при высоких скоростях продувки более интенсивное, чем в большом объеме, поэтому массообмен интенсивнее; аппарат с плавающей насадкой позволяет интенсифицировать массообмен за счет увеличения поверхности контакта фаз и турбулизации жидкости при работе с большими скоростями подачи газовой и жидкой фаз.

г) газлифтный: 1 – корпус,2 – диффузор, 3 – диспергатор, 4 – воздухораспределитель, 5 – теплообменник,
10. Аппараты для переработки концентрированных гидролизных сред
Гидролизаппарат периодического действия представляет собой вертикальный цилиндр с двумя усеченными конусами (рис. 15). Верхний конус заканчивается загрузочным отверстием, закрываемым крышкой. Нижний конус заканчивается выхлопным устройством для удаления лигнина по окончании варки сырья. В верхней горловине гидролизаппарата имеются штуцера для подвода горячей разбавленной кислоты и сдувки воздуха в начале варки, а также для сброса избыточного давления. В нижнем конусе гидролизаппарата устанавливаются фильтрующие устройства для отделения гидролизата от лигнина.
На цилиндрической части гидролизаппарата снаружи приварены опорные лапы, которыми он опирается на несущую конструкцию.
Корпус гидролизаппаратов обычно изготовляется сварной, из листовой стали. В последнее время ведутся опыты по применению для этой цели титана.
Эта форма гидролизаппарата является наиболее удобной для проведения перколяции. Стальные гидролизаппараты должны быть защищены внутри кислотоупорным слоем от корродирующего действия горячей разбавленной серной кислоты. Футеровка состоит из сплошного слоя бетона с шамотом, примыкающего к стальной стенке. Внутренняя поверхность бетонного слоя толщиной 70—90 мм облицовывается специальными термокислотостойкими керамическими плитками или слоем шамотного кирпича. Плитки и кирпич укрепляются на бетонной подмазке, а швы между ними промазываются андезитовой замазкой^ изготовляемой на жидком стекле, или кислотоупорным цементом с шамотом.
Наружная металлическая стенка гидролизаппаратов для предохранения от чрезмерной потери тепла покрывается тепловой изоляцией.
В верхней и нижней горловинах гидролизаппаратов, а также в местах установки штуцеров, имеются бронзовые кольца или штуцер, обеспечивающие переход от кислотоупорной внутренней футеровки к верхней и нижней стальной горловине и коммуникациям. Внутренняя поверхность крышек также покрыта кислотоупорным слоем бронзы или латуни.
Кислотостойкость медных сплавов и красной меди в условиях гидролиза усиливается благодаря образованию тонкого слоя смолистого вещества, выделяющегося из гидролизата во время варки. Благодаря наличию этого слоя коррозия поверхности меди и ее сплавов уменьшается почти в 2 раза.
Количество растительного сырья, загружаемого в гидролизаппарат, зависит от его происхождения, степени измельчения и влажности. Чем больше влажность сырья, тем больше давление его верхних слоев на нижние и, следовательно, больше плотность загрузки. При влажности древесины около 45—48% плотность загрузки опилок (в пересчете на абс. сухое вещество) составляет 120—125 кг/м3
.
Обычная древесная щепа хвойных пород в тех же условиях загружается ^плотностью 125—135 кг/м3
.
При использовании смеси опилок и щепы плотность загрузки возрастает. Так, при соотношении щепы и опилок 2:1 плотность загрузки достигает 140—150 кг/м3
,
а при соотношении щепы и опилок 1 : 1 она составляет 135— —145 кг/м3
.
В тех же условиях плотность загрузки подсолнечной лузги равна 80—110 кг/м3
,
измельченной кукурузной кочерыжки 150—200 кг/м3
,
хлопковой шелухи 190—195 кг/м3
и рисовой лузги 90—114 кг/м3
.
11. Аэробная очистка сточных вод в природных условиях. Методы. Сооружения.
Биологический пруд - водоем для биологической очистки сточных вод в естественных условиях.Биологические пруды надлежит применять для очистки и глубокой очистки городских, производственных и поверхностных сточных вод, содержащих органические вещества.
Биологические пруды допускается проектировать как с естественной, так и с искусственной аэрацией (пневматической или механической). Биологические пруды следует устраивать на нефильтрующих или слабофильтрующих грунтах. При неблагоприятных в фильтрационном отношении грунтах следует осуществлять противофильтрационные мероприятия. Биологические пруды следует располагать с подветренной по отношению к жилой застройке стороны господствующего направления ветра в теплое время года. Направление движения воды в пруде должно быть перпендикулярным этому направлению ветра.
Биологические пруды следует проектировать не менее чем из двух параллельных секций с 3-5 последовательными ступенями в каждой, с возможностью отключения любой секции пруда для чистки или профилактического ремонта без нарушения работы остальных.
При обеззараживании сточных вод после биологических прудов следует выделять отсек для контакта сточной воды с хлором.
Первая серия прудов предназначена для осаждения сточных вод. На этой стадии в ходе анаэробных процессов разложения образуется биогаз (смесь метана, диоксида углерода, аммиака и других газов). Биогаз является вполне пригодным топливом для двигателей и газовых плит. Биогаз, уходящий в атмосферу, загрязняет воздух и способствует «парниковому эффекту» (нагревание! атмосферы земли, способное изменить климат планеты). Исходя из этих соображений, биогаз, образующийся при первичном разложении сточных вод, следует собирать и использовать.
Вторая серия прудов имеет смешанный характер: у дна продолжаются анаэробные процессы, .а верхние слои воды, взаимодействующие с воздухом, подвергаются аэрации.
Последняя серия прудов — аэрационные — превышает по площади две предыдущие. Вода имеет зеленоватый цвет, поскольку в ней множество одноклеточных водорослей.
Пруды обычно располагают по рельефу таким образом, чтобы вода перетекала из одной серии прудов в другую самотеком. Пруды устраивают глубиной около 1 м: при большей глубине снижается биологическая эффективность активного ила в прудах-отстойниках, а в аэробных прудах снижается аэрационный эффект от контакта с воздухом.
Схема

Рис. 1. Схема биологической обработки стоков: 1 — механический фильтр; 2 — солнечный коллектор для подогрева воды; 3 — биореактор; 4 — компрессор для сжатия биогаза; 5 — каналы выращивания водорослей; 6 — фильтр для сбора водорослей; 7…9 — аэробные пруды; 10 — ручей проложенный через осоковый луг
При очистке в биологических прудах сточные воды не должны иметь БПКполн свыше 200 мг/л-для прудов с естественной аэрацией и свыше 500 мг/л-для прудов с искусственной аэрацией.
При БПКполн свыше 500 мг/л следует предусматривать предварительную очистку сточных вод.
В пруды для глубокой очистки допускается направлять сточную воду после биологической или физико-химической очистки с БПКполн не более 25 мг/л-для прудов с естественной аэрацией и не более 50 мг/л-для прудов с искусственной аэрацией.
Перед прудами для очистки надлежит предусматривать решетки с прозорами не более 16 мм и отстаивание сточных вод в течение не менее 30 мин.
После прудов с искусственной аэрацией необходимо предусматривать отстаивание очищенной воды в течение 2-2,5 ч.
Отношение длины к ширине пруда с естественной аэрацией должно быть не менее 20. При меньших отношениях надлежит предусматривать конструкции впускных и выпускных устройств, обеспечивающие движение воды по всему живому сечению пруда.
В прудах с искусственной аэрацией отношение сторон секций может быть любым, при этом аэрирующие устройства должны обеспечивать движение воды в любой точке пруда со скоростью не менее 0,05 м/с. Форма прудов в плане зависит от типа аэраторов: для пневматических или механических прудов могут быть прямоугольными, для самодвижущихся механических-круглыми.
Отметка лотка перепускной трубы из одной ступени в другую должна быть выше дна на 0,3-0,5 м.
Выпуск очищенной воды следует осуществлять через сборное устройство, расположенное ниже уровня воды на 0,15-0,2 глубины пруда.
Хлорировать воду следует, как правило, после прудов. В отдельных случаях (при длине прокладки трубопровода хлорной воды свыше 500 м или необходимости строительства отдельной хлораторной и т. п.) допускается хлорирование перед прудами.
Концентрация остаточного хлора в воде после контакта не должна превышать 0,25-0,5 г/м3.
Количество осадка, выпадающего в контактных резервуарах, следует принимать, л на 1 м3 сточной воды, при влажности 98 %: после биологической очистки в аэротенках и на биофильтрах-0,5.
Расчет
Рабочий объем пруда надлежит определять по времени пребывания в нем среднесуточного расхода сточных вод.
Время пребывания воды в пруде с естественной аэрацией tlag , сут, следует определять по формуле
(69)
где N - число последовательных ступеней пруда;
Klag -коэффициент объемного использования каждой ступени пруда;
Klag -то же, последней ступени;
Klog и Klog принимаются для искусственных прудов с отношением длины секций к ширине 20:1 и более-0,8-0,9, при отношении 1:1-3:1 или для прудов, построенных на основе естественных местных водоемов (озер, запруд и т. п.),-0,35, для промежуточных случаев определяются интерполяцией;
Len -БПКполн воды, поступающей в данную ступень пруда;
Len -то же, для последней ступени;
Lex - БПКполн воды, выходящей из данной ступени пруда;
Lex -то же, для последней ступени;
Lfin -остаточная БПКполн , обусловленная внутриводоемными процессами и принимаемая летом 2-3 мг/л (для цветущих прудов-до 5 мг/л), зимой-1-2 мг/л;
k -константа скорости потребления кислорода, сут; для производственных сточных вод устанавливается экспериментальным путем; для городских и близких к ним по составу производственных сточных вод при отсутствии экспериментальных данных k для всех промежуточных секций очистного пруда может быть принята равной 0,1 сут-1 , для последней ступени k = 0,07 сут-1 (при температуре воды 20 °С).
Для прудов глубокой очистки k следует принимать, сут-1 : для 1-й ступени-0,07; для 2-й ступени-0,06; для остальных ступеней пруда-0,05-0,04; для одноступенчатого пруда k = 0,06 сут-1 .
Для температур воды, отличающихся от 20 °С, значение k должно быть скорректировано по формулам:
для температуры воды от 5 до 30 °С
(70)
для температуры воды от 0 до 5 °С
(71)
где k -коэффициент, определяемый в лабораторных условиях при температуре воды 20 °С.
Общую площадь зеркала воды пруда Flag , м2 , с естественной аэрацией надлежит определять по формуле
(72)
где Qw -расход сточных вод, м3 ×сут;
Ca -следует определять по формуле (63);
Cex -концентрация кислорода, которую необходимо поддерживать в воде, выходящей из пруда, мг/л;
ra - величина атмосферной аэрации при дефиците кислорода, равном единице, принимаемая 3-4 г/(м2 ×сут);
Len ,, Lex , Klag -следует принимать по формуле (69).
Расчетную глубину пруда Hlag , м, с естественной аэрацией следует определять по формуле
(73)
Рабочая глубина пруда не должна превышать, м: при Len свыше 100 мг/л-0,5, при Len до 100 мг/л-1; для прудов глубокой очистки с Len от 20 до 40 мг/л-2, с Len до 20 мг/л-3. При возможности замерзания пруда зимой Н должна быть увеличена на 0,5 м.
Время пребывания воды tlag , сут, глубокой очистки в пруде с искусственной аэрацией надлежит определять по формуле
(74)
где kd -динамическая константа скорости потребления кислорода, равная:
kd = b1 k , (75)
здесь b 1 - коэффициент, зависящий от скорости vlag , м/с, движения воды в пруде, создаваемой аэрирующими устройствами или перемещением воды по коридорам лабиринтного типа; величина b 1 , определяется по формуле
(76)
Если vlag > 0,05 м/с, то b 1 = 7.
Для повышения глубины очистки воды до БПКполн 3 мг/л и снижения содержания в ней биогенных элементов (азота и фосфора) рекомендуется применение в пруде высшей водной растительности-камыша, рогоза, тростника и др. Высшая водная растительность должна быть размешена в последней секции пруда.
Площадь, занимаемую высшей водной растительностью, допускается определять по нагрузке, составляющей 10 000 м3 /сут на 1 га при плотности посадки 150-200 растений на 1 м2 .
12. Очистка сточных вод в аэротенках
Биотенк (Б.)– аэротенк с насадкой, изготовляемой в виде кассет или блоков из жестких элементов или гибких рулонных материалов. Кассеты или блоки заполняют кольцами, кусками пеноматериалов (пемза, пеностекло, и т.п.), гофрированными листами или сетками из пластмассы или волокнистых материалов. Насадка позволяет увеличить концентрацию ила в Б. за счет закрепления микроорганизмов на ней. С увеличением концентрации ила возрастает пропускная способность Б., которая в обычных условиях лимитируется работой вторичных отстойников, не способных разделить иловые смеси при концентрации свыше 4—6 г/л. При использовании в качестве насадки насыпных и волокнистых материалов (например, в виде ершей) необходима их периодическая регенерация от чрезмерного накопления биомассы путем интенсивной аэрации.
Установки БТ (БТФ) предназначены для очистки бытовых и близких к ним по составу производственных сточных вод объемом 25-3000 м3/сутки от органических веществ, взвешенных веществ, азота, фосфора и ряда других примесей с УФ-обеззараживанием очищенных стоков.
Установки БТ работают по принципу биотенка-отстойника в режиме денитрификации и биологической детофосфотации с усреднением расхода стоков за счет специальной конструкции лотка осветленной воды. Предварительная механическая очистка сточных вод, уплотнение и стабилизация осадка совмещены в одной зоне из которой избыточный ил периодически откачивается эрлифтом.
Одним из наиболее распространенных биоокислителей для очистки производственных сточных вод является аэротенк. Небольшие предприятия пищевой промышленности часто используют в качестве биоокислителя очистную компактную биоустановку КУ-200 производительностью до 200 м3 в сутки с пневмоподачей сжатого воздуха. Установка состоит из трёх частей: аэротенка, где происходит деструкция органических загрязнений, отстойной части, где осветляется очищенный промсток и оседает активный ил, и стабилизатора избыточного активного ила.
Наличие биоконтактных элементов в биотенке позволяет снизить потребность в сжатом воздухе и, следовательно, электроэнергии втрое, а также значительно уменьшить период аэрации сточных вод в аэротенке.
Особенность биотенков нового типа позволяет рекомендовать их для очистки концентрированных по органическим загрязнениям промстоков различных пищевых производств и агропромышленных комплексов. Они могут быть использованы также для интенсификации работы существующих очистных сооружений.
В первой зоне происходит механическая очистка стоков от песка и грубодисперсных взвешенных веществ, анаэробная предотчистка от органических веществ, а также уплотнение и сбраживание осадка в анаэробно-аэробном режиме. Первая зона оборудована эрлифтом избыточного ила.
Во второй зоне, оборудованной системой мелкопузырчатой аэрации и блоками плоскостной загрузки, протекают процессы аэробно-аноксидного окисления органических веществ, нитрификации, денитрификации и биологической дефосфотации. Вторая зона имеет несколько последовательно соединенных отделений.
В третьей зоне происходит отстаивание активного ила, который перекачивается в первую зону установки. Третья зона оборудована блоком тонкослойного отстаивания, одним или двумя эрлифтами активного ила и лотками осветленной воды.

13. Биофильтры, виды, работа, основные параметры расчета.
Биофильтры
В этих сооружениях биоразлагаемые органические вещества жидких отходов сорбируются и окисляются в аэробных условиях популяций гетеротрофных факультативных бактерий, образующих биологическую пленку на поверхности насадки (загрузочного материала, субстрата). Для орошения насадки вода с загрязнениями периодически или непрерывно подается в верхнюю часть сооружения через неподвижные разбрызгиватели (спринклеры) или реактивные вращающиеся водораспределители. Активная часть биопленки распространяется на глубину 70…100 мкм. В слоях пленки, прилегающих к насадке, создаются анаэробные условия, образуются органические кислоты (и газы СН4 и H2 S), величина рН снижается, происходит частичное отмирание клеток. Под воздействием гидравлической нагрузки такие части пленки отрываются от субстрата и выносятся с водой.
Пропускная способность биофильтра определяется площадью поверхности, занятой биопленкой, и возможностью свободного доступа кислорода воздуха к ней. Чем больше площадь поверхности биопленки (при одинаковой массе) и чем легче к ней доступ кислорода, тем выше пропускная способность биофильтра.
Важнейшая составная часть биофильтра — загрузочный материал. По типу загрузочного материала все биофильтры делят на две категории: с объемной и плоскостной загрузкой.
Биофильтры с объемной загрузкой подразделяются на капельные с малой пропускной способностью 0,9…9 м3 /(м2. сут) (рис. 5.7), высоконагружаемые с большой пропускной способностью 9…40 м3 /(м2. сут) (рис. 5.8) и башенные .


Рис. 5.7. Капельный биофильтр:
1 — дозирующие баки сточной воды; 2 — спринклеры: 3 — железобетонная стенка; 4— загрузка биофильтра; 5 — подача сточной воды; 6 — отводящий лоток.

Рис. 5.8. Высоконагружаемый биофильтр с реактивным оросителем.
Биофильтры с плоскостной загрузкой делятся на категории по типу загрузки: с жесткой засыпной, жесткой блочной и мягкой (рис. 5.9).

Рис. 5.9. Биофильтр с пластмассовой загрузкой производительностью 1400 м3 /сут:
I — корпус из стеклопластика по металлическому каркасу; II — пластмассовая загрузка; III — решетка; IV — бетонные столбовые опоры; V — подводящий трубопровод; VI— реактивный ороситель; VII — отводящие лотки; а и б — раскладка блоков соответственно в четных и нечетных рядах.
Анаэробные биофильтры . Эта новая разновидность биофильтров представляет собой закрытые резервуары с загрузкой, сквозь которую вода профильтровывается восходящим потоком, без доступа в нее кислорода воздуха. Анаэробные биофильтры по принципу работы занимают промежуточное положение между обычными биофильтрами и метантенками. Биопленка в них закреплена на материале загрузки; процессы окисления сопровождаются метанообразованием. Анаэробные биофильтры можно применять для очистки высококонцентрированных сточных вод, не содержащих взвешенных веществ или содержащих их в незначительном количестве.
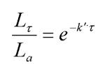
Расчет биофильтров. В основу расчета капельных и высоконагружаемых биофильтров положено представление о том, что снижение концентрации загрязнений, описываемых величиной БПК, может быть принято по типу уравнения реакции первого порядка:
где Lτ и La — БПК соответственно очищенной и поступающей сточной воды; k' — константа скорости реакции; т — продолжительность процесса.
Если применить это уравнение для расчета снижения БПК в биофильтре, то, приняв во внимание соотношения: т = V / Q , V = F H ; Q = qF ; т = H / q (где V — объем биофильтра; F — его площадь; Q — расход воды; Н — глубина; q — гидравлическая нагрузка), несложно получить:

где k = 0,434. k ' .
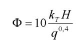
Выражение в правой части этого уравнения, названное критериальным комплексом Ф, получило вид:
где kT — константа окисления.
Биофильтры представляют собой системы для биологической обработки воды в условиях замедленного роста клеток или стационарного их состояния. Поэтому скорость биохимического окисления в биопленке невелика и обычно является лимитирующей стадией массопередачи загрязнений из фазы очищаемой воды в биопленку.
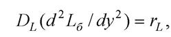
В биопленке должен соблюдаться баланс массы загрязнений, переданных в эту пленку в результате молекулярной диффузии и израсходованных в биохимической реакции
где DL — коэффициент диффузии в биопленке (< 10-5 …10-6 см2 /с); у — координата, нормальная к поверхности, через которую осуществляется транспорт массы; rL = dL б /dτ — скорость переработки загрязнений в результате биохимической реакции.
Для обеспечения надежности результатов проектирования требуются нормированные методы расчета объема загрузки насадки в фильтр. В таких методах обычно используются экспериментальные значения окислительной мощности ОМ. Объем загрузки V ф для очистки 1 м3 сточной воды определяется по выражению
При расчете биофильтров определяют L н /Lτ = K; зная коэффициент K и заданную температуру сточной воды, по таблицам опытных данных выбирают основные параметры биофильтра: рабочую высоту загрузки H (в м) и удельную гидравлическую нагрузку на сооружение q [в м3 /(м2 сут)].
14. Реакторы для процессов с использованием иммобилизованных катализаторов
Иммобилизованные биокаталитические системы функционируют в биореакторе в виде неподвижной фазы, через которую протекает среда с субстратом, подлежащим биоконверсии. Возможны различные инженерные решения для подобного проточного биореактора. Наряду с непрерывным в таких реакторах используют и периодический режим. Аппараты для иммобилизованных биокатализаторов имеют аналогию с реакторами для химических процессов с гетерогенным катализом.
Если иммобилизованные катализаторы имеют вид гранул, то важной задачей является их максимально плотная упаковка в аппарате. Таким путем реализуют еще одно преимущество метода — возможность повышения концентрации биообъекта в реакторе, что влечет за собой и более высокий выход целевого продукта. Например, плотность популяции животных клеток in vitro не превышает 106 на 1 мл среды, тогда как в составе гелевых гранул или капсул достигает 108— 109на 1 мл.
Плотную упаковку реализуют в биореакторе с циркуляционным перемешиванием и насадкой, роль которой играют гранулы с иммобилизованным биокатализатором. Это один из преобладающих типов биореакторов для иммобилизованных биокаталитических систем, используемый, например, для получения спирта с помощью клеток дрожжей или бактерий Zymomonas mobilis. Применение циркуляционных биореакторов с насадкой порождает, однако, серьезные проблемы: 1) недостаточно эффективное перемешивание, что обусловливает формирование нежелательных температурных, концентрационных и рН-градиентов в объеме аппарата; 2) затруднения с удалением ССЬ и других газообразных продуктов, которые, прокладывая себе путь к верхней части аппарата, разрушают гранулы с иммобилизованным биокатализатором.
Для улучшения перемешивания и газообмена биореактор снабжают механической мешалкой, что ощутимо повышает энергозатраты и может быть причиной разрушения гранул. Борьба с повреждающим действием мешалки ведется путем укрепления гранул. Отметим, что мембранные капсулы для животных клеток обладают прочностью, достаточной для сохранения их целостности при работе механической мешалки. Свободные животные клетки при тех же оборотах мешалки подвергаются лизису.
Предохранение гранул с катализатором от повреждения мешалкой достигается в биореакторе «корзиночного» типа. Биореактор снабжен мешалкой, которая вращается в полом цилиндре из проволочной сетки — «корзине». «Корзина» несет в своих ячейках гранулы, содержащие биокатализатор. Получаются два уровня иммобилизации — гранулы с иммобилизованным биокатализатором, которые, в свою очередь, фиксированы в ячейках проволочной сетки. Проволочная корзина предохраняет гранулы от разрушения в процессе перемешивания.
. Для стимуляции газообмена предложена оригинальная конструкция реактора, в частности для целых клеток, включенных в полимерный гель. Этот гель не оформляют в виде гранул, а еще незастывшим заливают в аппарат, где и происходит гелеобразование. Например, гелеобразование альгината вызывают добавлением Са2+. Получается монолит геля с иммобилизованным биокатализатором. В этой массе геля прорезают вертикальные каналы для оттока газов. Такие каналы можно изготовить, поместив в биореактор с незастывшим гелем вертикально ориентиро ванные стержни. Подобный биореактор не дает, однако, возможности реализовать принцип протока и поэтому годится лишь для периодического режима работы.
Для биокатализаторов, иммобилизованных в полых волокнах, создан специальный реактор. Раствор субстрата протекает через сосуд, рыхло заполненный полыми волокнами, во внутреннем объеме которых содержится биокатализатор. В таком биореакторе достигнута 90%-ная конверсия фумарата аммония в аспартат с помощью клеток Е, coli.
Имеются сообщения о пневматических (эрлифтных, колоночных) биореакторах для иммобилизованных растительных клеток.
Колонны с насадкой иммобилизованного катализатора в настоящее время используются в нескольких промышленных процессах, и есть все основания полагать, что в ближайшее время область их применения существенно расширится. В таких реакторах, называемых реакторами с неподвижным слоем катализатора, с помощью иммобилизованных ферментов осуществляют изомеризацию глюкозы, частичный селективный гидролиз пенициллина, селективное расщепление смеси производных рацемических аминокислот. В реакторах с неподвижным слоем изучались также процессы с участием иммобилизованных клеток.
В простейшем и часто довольно успешно применяющемся математическом описании работы реактора с неподвижным слоем катализатора в основу положена модель реактора полного вытеснения, модифицированная с целью учета влияния каталитической насадки на структуру течений и кинетику реакций. Поверхностную скорость потока через реактов определяют как объемную скорость потока исходных веществ, отнесенного к площади поперечного сечения пустот, которое представляет собой произведение общей площади поперечного сечения колонны на долю пустот .
Для простой реакции S>T, протекающей с собственной скоростью v = v (s, p), скорость образования продукта в единице объема гранулы иммобилизованного катализатора в какой-либо определенной точке реактора равна:
vобщ = (ss, ps)v(ss, ps)
Здесь ss и ps концентрации субстрата и продукта соответственно на наружной поверхности частицы катализатора в данной точке объема реактора. Как указано в уравнении (1), в общем случае коэффициент эффективности , определяющий скорость диффузии в частицу катализатора, и скорость реакции v зависят как от ss, так и от ps.
Математический балланс по сустрату в сферический частице катализатора радиусом R в стационарном состоянии будет выражаться уравнением:
4R2ks(sss) = 4/3R3(ss, ps)v(ss, ps)
или: Скорость диффузии субстрата из жидкой фазы = скорости трансформации субстрата внутри частицы в результате реакции.
Преобразование и подстановка величин уравнений (1) и (2) дает выражение, позволяющее определить общую скорость утилизации субстрата, отнесенную к единице объема частиц катализатора, если известна концентрация субстрата в жидкой фазе.
Течение вокруг частицы, составляющих слой насадки, и особенно смешения жидкой фазы в пустотах между частицами создают обратное смещение, которое может вызвать отклонение от режима полного вытеснения. В таких случаях можно применять дисперсионную модель или модель на основе каскада реакторов. Влияние небольшой дисперсии на работу реактора в сравнении с режимом идеального вытеснения мы уже обсуждали при изучении стерилизаторов.
15. Гидролиз растительного сырья. Преколяция
Производственной основой современной биотехнологии является микробиологическая промышленность, включающая гидролизные производства. Эти производства основаны на реакции гидролитического расщепления гликозидных связей полисахаридов биомассы одревесневшего растительного сырья с образованием в качестве основных продуктов реакции моносахаридов, которые подвергаются дальнейшей биохимической или химической переработке, либо входят в состав товарной продукции.
Гидролиз растительного сырья — наиболее перспективный метод химической переработки древесины, так как в сочетании с биотехнологическими процессами позволяет получать кормовые и пищевые продукты, биологически активные препараты, мономеры и синтетические смолы, топливо для двигателей внутреннего сгорания и разнообразные продукты для технических целей.
Созданию отечественной гидролизной промышленности предшествовали многолетние исследовательские и опытные работы, которые обеспечили необходимые предпосылки для разработки современной технологии гидролиза растительного сырья и получения этанола, кормовых дрожжей, фурфурола, ксилита и других продуктов.
В качестве исходного сырья для получения этих веществ и продуктов используются источники органического углерода — различные углеводы, органические кислоты, а в производстве кормового белка и углеводороды нефти. Потребляемый микроорганизмами связанный азот используется в виде синтетического аммиака или его производных, а необходимый для биохимических процессов фосфор — в виде растворимых в воде солей фосфорной кислоты. В результате ферментативных процессов, протекающих в микроорганизмах, из этих веществ образуются разнообразные белки, нуклеиновые кислоты, жиры и многочисленные биологически активные вещества, к которым относятся витамины, антибиотики, ферменты и др.
Большая часть производств, объединяемых микробиологической промышленностью, основана на использовании в качестве источника углерода различных углеводов, накапливающихся в зеленых растениях. Под действием хлорофилла и света из углекислоты и воды в зеленых частях растений синтезируется сахароза С12 Н22 О11 , из которой в результате сложных биохимических превращений образуется все разнообразие органических соединений, входящих в состав однолетних и многолетних растений.
Часть растений, накапливающих сахарозу в значительных количествах (сахарный тростник, сахарная свекла), используется в промышленности для ее получения. В других растениях сахароза превращается в резервный полисахарид — крахмал, получивший широкое применение как основной источник питания человека и многих животных, а также как сырье в ряде микробиологических процессов. Огромные ресурсы полисахаридов, часть которых ежегодно возобновляется, также являются потенциальным сырьем для ряда производств микробиологической промышленности. Однако перед использованием их в этом направлении полисахариды клеточных стенок должны быть вначале превращены в соответствующие моносахариды путем присоединения к ним элементов воды. Примером такой реакции может быть превращение целлюлозы в глюкозу:

Реакция присоединения воды к полисахаридам с образованием исходных простейших Сахаров носит название гидролиза (от двух греческих слов: хидор — вода и лизис — расторжение). Этот процесс положен в основу гидролизной промышленности, на предприятиях которой полисахариды клеточных стенок растений в результате реакции гидролиза превращаются в смесь моносахаридов: пентоз (С5 Н10 05 ) и гексоз (С6 Н12 О6 ).
Водный раствор продуктов гидролиза, получивший название гидролизата, после соответствующей очистки и подготовки используется на этих предприятиях в качестве среды для развития различных микроорганизмов. Последние в результате действия системы ферментов превращают, например, гексозиые сахара в этиловый спирт и углекислоту.
При гидролизе растительного сырья разбавленными кислотами возникают трудности применения единого режима вследствие большой разницы в скоростях гидролиза гемицеллюлоз и целлюлозы. В некоторых случаях эта разница является полезной и на ее основе строятся специальные технологические режимы. Так, при раздельном использовании пентозных и гексозных гидролизатов в микробиологической промышленности реакцию гидролиза растительного сырья, богатого пентозанами, осуществляют последовательно в две ступени. Вначале, применяя мягкий режим гидролиза, в моносахариды превращают большую часть гемицеллюлоз, почти не затрагивая целлюлозу. После удаления пентозного гидролизата остаток, состоящий из целлюлозы и лигнина (целлолигнин), гидролизуется в более жестких условиях.
Аналогичный процесс осуществляется при получении из растительного сырья фурфурола и гексозного гидролизата. Такие процессы можно рассматривать как двухступенчатые.
Ступенчатый метод гидролиза имеет большое значение и для гидролиза целлюлозного остатка. При одноступенчатом гидролизе целлюлозы количество образующегося сахара z изменяется во времени по кривой, проходящей через максимум. Дальнейшее продолжение гидролиза нецелесообразно из-за снижения общего выхода сахара в результате энергично протекающей реакции его разрушения. Однако при максимальном выходе сахара значительная часть целлюлозы еще остается не гидролизованной и теряется для производства. Во избежание этих потерь был предложен многоступенчатый метод гидролиза растительной ткани. Первая ступень гидролиза проводится в мягких условиях, на этой ступени гидролизуются гемицеллюлозы. Затем полученный гидролизат удаляется из гидролизаппарата, а целлолигнин гидролизуется снова в более жестких условиях до момента, отвечающего максимальному выходу сахара. Полученный гидролизат второй ступени также удаляется, а оставшиеся полисахариды снова гидролизуются в аналогичных условиях. Этот процесс продолжается до тех пор, пока все полисахариды, содержащиеся в растительном сырье, будут гидролизованы.
При осуществлении этого способа гидролиза часть гидролизата предыдущей ступени остается в целлолигнине. Чтобы избежать возможной потери Сахаров при повторном гидролизе, после удаления гидролизата из целлолигнина последний промывается разбавленной кислотой и промывные воды присоединяются к основному гидролизату.
16. М ембранные методы выделения, концентрирования и обогащения продуктов биосинтеза
В настоящее время все большее распространение приобретают мембранные методы концентрирования и выделения различных веществ, хотя до сих пор в ряде производств БАБ (включая антибиотики, например, пенициллин) не удалось отказаться от традиционных способов выделения и очистки целевых продуктов (экстракция в системе "жидкость-жидкость", адсорбция на активированных углях, диализ).
Мембранные фильтры широко применяются в конструкциях небольших ячеек для культивирования клеток. Такие ячейки предназначены, как правило, для изучения действия факторов окружающей среды на популяцию клеток, обычно чистых культур, которые высеяны внутри ячейки. Во многих конструкциях ячеек использовались мембраны для ультрафильтрации или диализа (см. [230]), но микрофильтрационные мембраны намного лучше, поскольку они обеспечивают значительно более быструю диффузию питательных веществ и продуктов метаболизма клеток.
В зависимости от назначения можно конструировать ячейки самых разных типов. Главная идея состоит в том, чтобы диффузионная ячейка была изготовлена из инертного материала (плексигласа, поликарбоната) и включала в себя два мембранных фильтра, разделенных между собой достаточно большим просветом, необходимым для роста культуры клеток. Края мембранных фильтров должны быть хорошо загерметизированы, чтобы предотвратить подтекание растворов, но в то же времяотбор проб и демонтировка устройства не должны вызывать затруднений.

Рис. 11.1. Ячейка для культивирования, содержащая диализную мембрану для изучения загрязненности воды, а — схематическое изображение (из работы [149]); б — фото ячейки (любезно предоставлено Г. Мак-Фетерсомг Государственный университет Монтаны, США).
Загрязнение поверхности мембран особенно существенно, если ячейки работают на открытом воздухе, хотя в зависимости от характера эксперимента это может происходить и в лабораторных условиях. Органические вещества, бактерии и другие материалы могут легко адсорбироваться мембранными фильтрами и изменять их поверхность столь существенно, что ячейка для культивирования перестает работать, как положено. В сущности микроорганизмы, способные подвергать биодеградации матрицу мембраны (например, бактерии, разлагающие целлюлозу), могут образовывать колонии на внешней стороне мембраны и изменять характеристики ее проницаемости настолько, что она перестает функционировать должным образом.
Небольшие подвижные микроорганизмы, такие, как спирохеты, могут проникать через мембранные фильтры с размером пор 0,45 мкм. Хотя спирохеты, по-видимому, не могут пройти через мембраны с порами 0,22 мкм, скорость установления равновесия при "работе с мембранами со столь небольшими порами будет еще меньше по сравнению с той, которую мы рассмотрели выше, так что использование таких мембран будет малоэффективным. Из вышесказанного очевидно, что ячейки для культивирования этого типа будут работать должным образом лишь в том случае, если плотность популяции микроорганизмов вну+ри камеры невелика, и только при коротких периодах инкубации. Работа Мак-Фетерса и Стюарта [149] по выживанию ФКП в естественных водах была проведена с низкими плотностями популяции этих бактерий, и продолжительность опытов не превышала нескольких дней, так что использование подобных ячеек было оправдано. Другие области применения ячеек для культивирования в микробиологических исследованиях: для изучения процесса интродукции микроскопических грибов в почву с последующим анализом под электронным микроскопом. Репортер привел описание ячейки с мембранными фильтрами для изучения взаимодействия между корневыми .клетками растений и бактериями вида Rhizobium japonicum .
17. Особенности стерилизации разных субстратов. Горячая и холодная стерилизация
Под стерилизацией сред обычно понимают любой метод воздействия, обеспечивающий удаление из них микробов — контаминантов или разрушение последних. Наиболее распространенным и универсальным среди возможных методов, вызывающих деструкцию микроорганизмов, является метод, основанный на использовании влажного тепла.
Тепловую стерилизацию сред (по способу ее проведения) подразделяют на периодическую и непрерывную. При периодическом способе стерилизации процессы: нагрев, выдержка и охлаждение среды (рис. 98) протекают последовательно во време ни в одном аппарате. Это может быть ферментатор, посевной аппарат или специальный стерилизатор. Весь объем среды нагревают в аппарате до заранее выбранной температуры, выдерживают при этой температуре строго определенное время и охлаждают водой, подаваемой в рубашку аппарата или змеевик. Метод отличается простотой и надежностью, однако имеет и свои недостатки. В частности, ухудшается качество питательной среды из-за длительного воздействия высокой температуры, при этом происходит карамелизация Сахаров (образование ангидридов Сахаров), деструкция витаминов; излишне длительный нагрев приводит не только к разрушению питательных веществ, но и к образованию в среде потенциальных ингибиторов процесса ферментации, таких как аминосахара. Второй недостаток связан с тем, что требуется повышенный расход пара за короткий период нагрева. Третий недостаток обусловлен невозможностью регенерировать тепло. Последний, четвертый, недостаток касается трудности автоматизации процесса периодической стерилизации по сравнению с непрерывным.

При непрерывном способе стерилизации каждый элементарный процесс — нагрев, выдержка, охлаждение осуществляется в специально предназначенных для этого аппаратах: нагревателе, выдерживателе, теплообменнике, которые со ставляют систему аппаратов для непрерывной стерилизации — установку непрерывной стерилизации (УНС). Непрерывная стерилизация имеет следующие преимущества по сравнению с периодической:
1) при непрерывном методе стерилизации каждый элементарный объем среды (бесконечно малый объем, содержащий одну спору) находится при высокой температуре короткое время;
2) благодаря более высоким температурам стерилизации и короткой экспозиции деструкция компонентов питательной среды минимальна;
3) процесс стерилизации всего объема питательной среды растянут во времени, этим обеспечивается более равномерная загрузка котельной;
4) процесс легко контролируем и управляем;
5) возможна частичная регенерация тепла.
Холодная стерилизация осуществляется в отношении некоторых жидкостей, растворы которых нельзя стерилизовать при высоких температурах, так как при этом происходит их испарение или инактивация витаминов и других биологически активных соединений, разложение лекарственных веществ, карамелизация сахаров, денатурация белков и т.п. В этих случаях осуществляют «холодную» С., при которой жидкости фильтруют через мелкопористые бактериальные фильтры. Стерилизация фильтрованием показана для синтетических сред определенного состава, содержащих термолабильные аминокислоты, витамины, белки, для антибиотиков, ароматических углеводородов. Фильтрование проводится через мелкопористые материалы, которые адсорбируют клетки микроорганизмов: каолин, асбест, фарфор и др. Диски, изготовленные из асбеста с целлюлозой называют фильтрами Зейтца. Их помещают в специальный фильтродержатель и стерилизуют в автоклаве, а затем, смонтировав держатель с колбой или бутылью, под давлением пропускают стерилизуемый раствор. Широкое применение нашли мембранные фильтры. Их изготавливают из специально обработанной нитроцеллюлозы. Фильтры имеют поры размером от 0,22 до 100 мм. В фильтродержатели монтируют фильтры с разной величиной пор, от больших к меньшим и при фильтрации растворов постепенно «отсеивают» микроорганизмы различных размеров. Наиболее широко известны фильтрующие пластины фирм «Миллипор», «Синпор», «Владипор». После стерилизующей фильтрации среды и растворы обязательно проверяют на стерильность, помещая микропробы простерилизованных растворов в термостат при температуре 37 ° С.
18. Аппаратура и способы стерилизации воздуха
Для стерилизации воздуха в микробиологической промышленности используют стеклянную и простую вату, ткань Петриянова, базальтовое волокно или фильтры из активного угля. Иногда для стерилизации воздуха применяют комбинирование термической обработки, фильтрации и ультрафиолетового облучения. Для очистки воздуха от микрофлоры можно использовать аппараты типа скрубберов, в которых сверху разбрызгивается дезинфицирующее вещество—10%-ная гидроокись натрия или 15—20%-ный раствор серной кислоты. В этих аппаратах нельзя применять такие дезинфицирующие вещества, которые, попадая с потоком воздуха в ферментатор, помешали бы процессу биосинтеза.
Для обеспечения кислородом культуры микроорганизмов в условиях аэробного процесса глубинной ферментации через единицу объема питательной среды в минуту необходимо подать 0,5—2 ед. объема воздуха. Его надо очистить от механических частиц, микроорганизмов и химических веществ перед введением в ферментатор. Для очистки воздуха в микробиологической промышленности обычно используют фильтрацию. Воздух подают обычно под давлением 0,2 МПа (2 кгс/см2 ). Для сжатия воздуха чаще всего используют турбокомпрессоры или поршневые компрессоры. Перед подачей в компрессор воздух очищается от грубых частиц на масляных фильтрах. В ферментатор он проходит сначала через общий, затем через индивидуальный фильтр. Эти фильтры выполняют функцию холодной стерилизации воздуха, отделяя клетки микроорганизмов. Как общие, так и индивидуальные фильтры заполняют гранулированным зернистым и волокнистым фильтровальным материалом, используя гранулированный уголь (КАД по ТУМХП 3136—52) и стеклянную вату, диаметр которой равен 18 мкм (ГОСТ 5174—49). В последнее время начали использовать специальные бактерицидные волокна. Толщина фильтрующего слоя обычно 0,4—0,75 м. Индивидуальные фильтры часто заполняют стеклянной, хлопчатобумажной ватой или активным углем.
Длительность стерилизации фильтров 1—1,5 ч при температуре 120—126°С. После стерилизации их сушат в потоке сухого воздуха в течение 2—3 ч. Фильтры необходимо стерилизовать не реже одного раза в месяц, а также после попадания инфекции.
Фильтрующий материал в индивидуальных фильтрах меняют один раз в 1—2 мес, а в общих фильтрах — через 6—8 мес.
Литература
Технология гидролизных производств. Шарков В. И., Сапотниц-кий С, А., Дмитриева О, А., Туманов И. Ф. «Лесная промышленность»,
1973 г., 408.
Биотехнология/под ред. И. Хиггинса, Д. Беста, Дж. Джонса/пере-вод с английского/под ред. А. А. Баева. -- М.: Мир, 1988. -- 479 с.
Глик Б. Молекулярная биотехнология. Принципы и применение. –М.: Мир, 2002.
Бекер М.Е. Введение в биотехнологию. – Рига: Звайгєне, 1974.
Похожие рефераты:
Экологическая опасность сточных вод пищевой промышленности
Водоотведение поселка Песочное с доочисткой сточных вод
Использование городских сточных вод для технического водоснабжения
Оценка качества очистки сточных вод
Биохимическая очистка сточных вод нефтеперерабатывающих предприятий
Очистка сточных вод поселка городского типа производительностью 6000 м3 сутки
Реконструкция участка обработки осадков очистной станции канализации г. Челябинска
Методы очистки сточных вод от нефтепродуктов
Система водоотведения поселка с мясокомбинатом
Проблемы охраны водной среды в горном деле
Создание научных основ обеззараживания и очистки воды на основе нанотехнологии
Cистема Автоматизированного Управления процесса стерилизации биореактора
Экологическая безопасность при обработке конструкций кондиционеров