| Похожие рефераты | Скачать .docx |
Дипломная работа: Проект системы автоматического управления приточно-вытяжной вентиляционной установкой
Введение
Автоматизация является одним из важнейших факторов роста производительности труда в промышленном производстве. Непрерывным условием ускорения темпов роста автоматизации является развития технических средств автоматизации. К техническим средствам автоматизации относятся все устройства, входящие в систему управления и предназначенные для получения информации, ее передачи, хранения и преобразования, а также для осуществления управляющих и регулирующих воздействий на технологический объект управления.
Развития технологических средств автоматизации является сложным процессом, в основе которого лежат интересы автоматизируемых производств потребителей, с одной стороны и экономические возможности предприятий – изготовителей с другой. Первичным стимулом развития является повышение эффективности работы производств – потребителей, за счет внедрения новой техники могут быть целесообразными только при условии быстрой окупаемости затрат. Поэтому критерием всех решений по разработкам и внедрению новых средств, должен быть суммарный экономический эффект, с учетом всех затрат на разработку, производство и внедрение. Соответственно к разработке, изготовлению следует принимать, прежде всего, те варианты технических средств, которые обеспечиваю максимум суммарного эффекта.
При строгом выполнении такого принципа разработки и внедрения новых средств, процесс их развития является строго оптимальным и как следствие этого, объективных. Однако достаточно строгое обоснование оптимальности средств на стадии их разработки и внедрения практически невозможно из-за сложности и ограниченной точности оценок суммарного ожидаемого эффекта. Поэтому единственным объективным критерием оптимальности средств может быть только широкий их практической эксплуатации, который позволяет отобразить неудачные решения и развития и развить те принципы, схем и
конструкции, которые в целом соответствуют требованиям максимальной экономичности.
Наличие такого критерия позволяет рассматривать развитие технических средств автоматизации как в целом объективный процесс. Соответственно постоянно обновляющиеся составы технических средств автоматизации и их технические характеристики могут расцениваться как приближающиеся в среднем к оптимальным на данной ступени развития материального производства.
Использование автоматизированных линий и машин, автоматических манипуляторов с программным управлением позволит исключить ручной малоквалифицированный труд, особенно в тяжелых и вредных условиях для человека.
Постоянное расширение сферы автоматизации является одной из главных особенностей промышленности на данном этапе.
Особое внимание уделяется вопросам промышленной экологии и безопасности труда производства. При проектировании современной технологии, оборудования и конструкций необходимо научно обосновано подходить к разработке безопасности и безвредности работ.
На современном этапе развития народного хозяйства страны одной из основных задач является повышение эффективности общественного производства на основе научно-технического процесса и более полное использования всех резервов. Эта задача неразрывно связана с проблемой оптимизации проектных решений, цель которых заключается в создании необходимых предпосылок для повышения эффективности капиталовложений, сокращения сроков их окупаемости и обеспечения наибольшего прироста продукции на каждый затраченный рубль. Повышение производительности труда, выпуск качественной продукции, улучшение условий труда и отдыха трудящихся обеспечивают системы вентиляции и кондиционирования воздуха, которые создают необходимый микроклимат и качество воздушной среды в помещениях.
Широкое применение кондиционирования воздуха в производственных и жилых зданиях обусловлено следующими объективными причинами. Развитием новых производств электронной, электротехнической, машиностроительной, химической, текстильной, и других отраслей промышленности, остро нуждающихся в поддержании определенных и постоянных параметров состояния воздуха; возрастающими требованиями к условию труда и повышению производительности в горячих и мокрых цехах, угольных шахтах, рудниках и пр. Оснащением предприятий промышленности связи, научно-исследовательских и конструкторских организаций дорогостоящими приборами и счетно-решающими машинами, точная и безотказная работа которых возможна только при определенных температуре и относительной влажности воздуха; увеличивающимся строительством закрытых помещений для длительного пребывания больших количеств людей (театры, кинотеатры, концертные залы, стадионы, рестораны, вокзалы и т.д.).
Вентиляцией называется совокупность мероприятий и устройств, используемых при организации воздухообмена для обеспечения заданного состояния воздушной среды в помещениях и на рабочих местах в соответствии со СНиП (строительными нормами и правилами). Системы вентиляции обеспечивают поддержание допустимых метеорологических параметров в помещениях различного назначения.
Кондиционирование воздуха– это создание и автоматическое поддержание (регулирование) в закрытых помещениях всех или отдельных параметров (температуры, влажности, чистоты, скорости движения) воздуха на определенном уровне с целью обеспечения оптимальных метеорологических условий, наиболее благоприятных для самочувствия людей, ведения технологического процесса и обеспечения сохранности ценностей культуры.
1. Характеристика объекта автоматизации
1.1 Назначение технологического объекта
Система автоматического управления приточно-вытяжной вентиляции. Областью применения системы является поддержание заданных параметров в системе вентиляции и кондиционирования воздуха, защита дорогостоящих агрегатов. Предусматривается использование системы в строящихся и реконструируемых зданий.
1.2 Техническая характеристика объекта
В представленном дипломном проекте разрабатывается система управления приточно-вытяжной вентиляцией офисного помещения. Работа системы включает организацию управления одной системой вентиляции и кондиционирования, которая является основой для разработки подобных систем. Отличительной особенностью данной работы является то, что автоматизация системы разработана на свободно программируемом контроллере пятого поколения LOGO!…0BA5 фирмы «Siemens». Применение контроллеров данного типа экономически эффективно из-за относительно низкой стоимости контроллера и возможностью работы с пассивными датчиками с чувствительными элементами LG-Ni 1000 или Pt 100, а также с датчиками передающие активные выходные унифицированные сигналы DС 0…10В или 4…20мА. Кондиционирование воздуха осуществляется комплексом технических средств, называемым системой кондиционирования воздуха (СКВ). В состав СКВ входят технические средства забора воздуха, подготовки, то есть придания необходимых кондиций (фильтры, теплообменники, увлажнители или осушители воздуха), перемещения (вентиляторы) и его распределения, а также средства хладо и теплоснабжения, автоматики, дистанционного управления и контроля.
СКВ больших общественных, административных и производственных зданий обслуживаются, как правило, комплексными автоматизированными системами управления. Автоматизированная система кондиционирования поддерживает заданное состояние воздуха в помещении независимо от колебаний параметров окружающей среды (атмосферных условий).
В результате технологических и бытовых процессов в воздух помещения поступают тепло и влага. Для поддержания заданных температурно-влажностных условий в помещении необходимо подавать в него приточный воздух с определенными параметрами. Параметры наружного воздуха изменяются во времени. Поэтому прежде чем подать наружный воздух в помещение, его необходимо специально обработать, придав ему определенные кондиции. Процесс создания и поддержания определенных параметров воздушной среды называют кондиционированием воздуха. Обычно при кондиционировании воздуха его в основном подвергают тепловлажностной обработке.
В жаркие летние дни наружный воздух имеет высокую температуру и большую влажность. Перед подачей в помещение такой воздух необходимо охладить, а иногда и осушить. Зимой наружный воздух имеет низкую температуру и небольшую влажность, поэтому перед подачей в помещение его приходиться нагревать и увлажнять.
Установки кондиционирования воздуха имеют специальные устройства для определенных видов его обработки. Нагревают воздух обычно в калориферах, где он получает тепло от оребренных или гладких поверхностей трубок, по которым протекает теплоноситель. Охлаждение воздуха осуществляется в поверхностных или в контактных воздухоохладителях. В поверхностных воздухоохладителях воздух отдает тепло поверхностям трубок, по которым пропускают холодную воду или другой хладоноситель. Если эти поверхности имеют температуру ниже точки росы, то на них выпадает влага из воздуха, и воздух не только охлаждается, но и осушается. Поверхности трубок воздухоохладителя или калорифера в некоторых случаях орошают водой, так как воздух интенсивнее обменивается теплом со смоченной поверхностью.
Кроме того, при орошении водой воздух можно наряду с нагреванием или охлаждением осушать или увлажнять. Наиболее часто воздух проходит через дождевое пространство оросительной камеры, в которой форсунками разбрызгивается охлажденная вода. В некоторых случаях применяют контактные охладители с орошаемой насадкой. В них охлажденной водой орошается слой (насадка) из фарфоровых или металлических колец, древесных стружек проходя через лабиринтовые ходы смоченной насадки, охлаждается и осушается или увлажняется. В последнее время контактные устройства начинают применять также и для нагревания воздуха.
Комплекс технических средств и устройств, для приготовления приточного воздуха с заданными параметрами и поддержания в помещениях оптимального или заданного состояния воздушной среды (независимо от изменения внешних и внутренних факторов), называется системой кондиционирования воздуха. Система кондиционирования позволяет автоматически поддерживать заданную температуру, влажность и скорость движения воздуха, его чистоту, газовый состав, ароматические запахи, содержание легких и тяжелых ионов, а в ряде случаев определенное барометрическое давление. В большинстве жилых, общественных и промышленных зданий современные системы кондиционирования позволяют поддерживать только первые четыре из перечисленных параметров.
2. Автоматизация процесса регулирования
2.1 Выбор параметров контроля
При автоматизации процесса регулирования в пределах каждого контура возможны различные решения схем. Выбор схемы автоматизации связан с анализом кратковременных суточных изменений режимов работы систем кондиционирования. Он определяется динамическими свойствами системы и предъявляемыми требованиями по точности регулирования, быстродействию и другим показателям.
Для систем кондиционирования различного назначения эти требования варьируются в довольно широких пределах. Например, для комфортного кондиционирования допустимы колебания tв до ±1 (1,5)°С, φв до ±10%, для технологического кондиционирования – tв до 0,5 (1)°С, φв до ±5%, для специальных систем – tв до ±0,1 °С, φв до ±2%. Регулирование приточных вентиляционных систем, как правило, осуществляется только в зимнее время, регулирование систем кондиционирования – в течение всего периода эксплуатации.
По своим динамическим свойствам системы кондиционирования и обслуживаемые ими помещения относятся к объектам с разделенными параметрами, нестационарные процессы в которых описываются дифференциальными уравнениями в частных производных. Аналитическое решение таких уравнений крайне затруднительно, поэтому для инженерных расчетов пользуются упрощенными зависимостями, полностью справедливыми только для объектов с сосредоточенными параметрами. Элементы систем кондиционирования воздуха рассматриваются как инерционные объекты, работающие с запаздыванием.
Анализ суточных изменений расчетных режимов работы систем кондиционирования с учетом нестационарности процессов, происходящих в них,
позволяет определить тепловые нагрузки, действующие на системы, и характер их изменения. Такой анализ выполняется по различным методикам, основанным на частных решениях исходной системы дифференциальных уравнений.
Средства автоматизации должны соответствовать требуемой точности поддержания параметров. Устройства автоматики принципиально могут обеспечить любую степень точности поддержания параметров, но бесполезно добиваться точного регулирования, если этого не требует функциональное назначение обслуживаемых помещений или если сама система кондиционирования не способна в некоторой мере реагировать на сигналы регуляторов. Ни по практическим, ни по экономическим соображениям не следует выбирать устройства автоматики, обеспечивающие более точное регулирование, чем это требуется, и отягощать систему специальным сложным оборудованием. Системы кондиционирования воздуха эксплуатируются в течение многих лет, поэтому наилучшей будет простая надежная система автоматики, дающая необходимый эффект.
2.2 Выбор регулятора
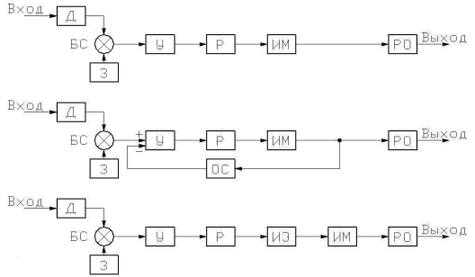
![]() |
а)
б)
в)
Рисунок 1 – Блок-схемы автоматических регуляторов
На рисунке 1 показаны блок-схемы автоматических регуляторов, применяемых в системах кондиционирования воздуха.
а) двух- и трехпозиционного;
б) пропорционального и пропорционально-интегрального;
в) интегрального.
Д – датчик, чувствительный элемент которого воспринимает изменение регулируемого параметра;
З – задающий элемент, определяющий заданный уровень регулируемого параметра;
БС – блок сравнения,
У – усилитель;
Р – реле;
ИМ – исполнительный механизм;
РО – регулирующий орган, осуществляющий процесс дросселирования подачи рабочей среды или энергии (клапан, заслонка);
ОС – блок отрицательной обратной связи (жесткой или гибкой);
ИЭ – импульсный элемент.
В системах кондиционирования воздуха, как правило, применяют электрические или пневматические приборы автоматического регулирования, осуществляющие следующие алгоритмы регулирования: двух- и трех позиционный, пропорциональный, интегральный пропорционально-интегральный (изодромный) и пропорционально-интегрально-диффиренциальный.
Позиционные регуляторы применяют главным образом в схемах защиты калориферов первой ступени подогрева и реверса воздушных клапанов, иногда их применяют в контурах регулирования температуры приточного воздуха или воздуха в помещении, если допустимы достаточно большие колебания параметров.
В контурах регулирования температуры и влажности большинства систем комфортного и технологического кондиционирования применяют пропорциональные (П) или интегральные (И) регуляторы. П – регуляторы обладают большим быстродействием, но осуществляют процесс регулирования с ошибкой, величина которой пропорциональна возмущающему воздействию на систему автоматического регулирования. В системах с И – регулированием ошибка регулирования меньше, однако, они обладают и меньшим быстродействием. Выбор того или иного регулятора следует обосновывать соответствующим расчетом. В проектной практике выбор осуществляют главным образом по опыту наладке и эксплуатации подобных систем.
Пропорционально-интегральные регуляторы, сочетающие в себе преимущества П- и И – регуляторов, применяют в основном в специальных системах кондиционирования воздуха, обеспечивающих поддержание заданных параметров с высокой точностью.
Повышения качества автоматического регулирования можно добиться не только усложнением алгоритма, но и совершенствованием контура регулирования путем введения дополнительных корректирующих устройств.
Точность поддержания параметров зависит от принятого алгоритма регулирования, а также от места расположения чувствительных элементов датчиков температуры и влажности (особенно устанавливаемых в помещениях). Необходимо учитывать, что поддерживать, например, температуру с отклонениями в пределах ±0,5° в точке установки чувствительного элемента не представляет существенных трудностей, однако на некотором расстоянии от датчика температура зависит от неконтролируемого и весьма сложного процесса лучисто-конвективного и струйного теплообмена в помещении. Поэтому в некоторых случаях в помещениях должно быть установлено несколько датчиков, причем выбор их местоположения необходимо обосновать анализом теплового режима зоны помещения, в которой должны поддерживаться заданные параметры микроклимата. Та или иная схема регулирования должна быть выбрана на основе расчета надежности и обеспеченности заданных режимов и технико-экономического анализа.
В последнее время начинают применяться автоматические системы каскадно-связанного регулирования, в которых для улучшения качества регулирования устраиваются дополнительные связи между каскадами (контурами).
3. Разработка функциональной схемы объекта
3.1 Функции системы автоматического управления
Система автоматики выполняет следующие функции:
· защита;
· контроль;
· регулирование;
· измерение;
· управления.
Защитные функции
Защита двигателей.
Большинство двигателей, используемых в промышленности, включаются и работают автоматически. Но в случае аварии страдает не столько сам двигатель, сколько весь производственный процесс. Длительные простои дорогостоящих линий, для нашего случая это остановка всей системы вентиляции и кондиционирования воздуха, влекут за собой потери намного большие, чем затраты на ремонт двигателя. Поэтому правильная защита двигателя – это задача не только чисто техническая, но и экономическая, заставляющая выбирать между затратами и конечной выгодой.
Электродвигатель – это электромеханический преобразователь энергии, который берет из сети электрическую и отдает на валу механическую энергию.
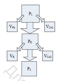
При этом неизбежно возникновение потерь, ведущих к перегреву двигателя (рисунок 2).

P1 – потребляемая мощность;
PD – мощность вращающего поля;
P2 – мощность на валу;
VСu1 – потери на статоре;
VCu2 – потери на роторе;
VFe – потери на железо;
VR – потери на трение.
Рисунок 2 – Структура охлаждения
Различают потери в меди на статоре и роторе, потери в железе на статоре и потери на трение. При этом, если потери в меди прямо пропорциональны квадрату нагрузки двигателя, то потери в железе и на трение не зависят от нагрузки.
Основная задача устройств защиты двигателя состоит в том, чтобы предотвратить перегрев, как статора, так и ротора. Чем больше двигатель и чем выше его число оборотов, тем выше начальный пусковой ток, и тем более уязвимым будет ротор двигателя.
После включения двигателя и затухания переходного процесса в двигателе устанавливается начальный пусковой ток. Величина начального пускового тока составляет от 4-х до 8-кратной величины тока, при номинальном режиме работы и не зависит от момента нагрузки; таким образом, работает ли двигатель на холостом ходу, или под нагрузкой – значения не имеет. В отличие от этого, время разгона находится в зависимости от характеристик рабочей машины.
Причины тепловой перегрузки:
· из-за повышенного крутящего момента при работе под нагрузкой в продолжительном режиме;
· из-за слишком большой частоты включений;
· из-за слишком продолжительного относительного включения при повторно-кратковременном режиме;
· из-за слишком продолжительных процессов разгона и торможения;
· из-за блокирования ротора при включении или в процессе работы;
· при работе от вентильных преобразователей тока.
Другими причинами тепловой перегрузки могут быть ошибочное подключение или коммутация, а также определенные качества сети, такие как:
· слишком большие отклонения частоты или напряжения в сети от номинальных значений;
· асимметрия сети и обрыв сетевого провода (выпадение фазы).
А также на двигатель негативно сказывается недостаточное охлаждение вследствие:
· высокой температуры охлаждающей среды;
· повышенного уровня места установки (разряженный воздух при установке на высоте более 1000 м над уровнем моря);
· нарушение потока охлаждения (засорение вентиляционной решетки).
Самой важной задачей устройства защиты двигателя является своевременное срабатывание, прежде чем температура двигателя достигнет критического значения. Однако, устройства защиты не должны срабатывать, если двигатель:
· работает в продолжительном режиме работы при номинальной мощности;
· в течение допустимого времени разгона и торможения по двигателю проходит начальный пусковой ток;
· перегружен в течение 2 минут в разогретом состоянии 1,5 – кратным номинальным током.
Устройства защиты двигателя могут работать по принципу зависимости от тока, либо от температуры.
Тепловые реле 3RU фирмы «Siemens» с токовой зависимостью и расцепитель перегрузки в силовых автоматах 3RV работают с биметаллическими пластинами и обмотками накала, которые нагреваются от тока двигателя.
В расцепителях перегрузки биметаллические пластины освобождают защелку механизма блокировки, а в реле перегрузки срабатывает вспомогательный контакт, который разрывает контур тока в катушке контактора двигателя. Происходит остановка двигателя и система сигнализирует обаварии двигателя.
При асимметрии сети, и особенно при отсутствии тока в одном из проводов, резко возрастает ток в двух других проводах, и потери в двигателе становятся в 1,5–2 раза выше, чем при номинальном режиме. Реле перегрузки, не имеющие чувствительных элементов к обрыву фазы, срабатывает при этом с запаздыванием. По нормам, предельный ток отключения может быть в этом случае на 10% выше, т.е. составляет максимально 1,32 – кратную величину тока уставки. Продолжительная работа в условиях такой нагрузки может привести к преждевременному выходу двигателя из строя.
Для того, чтобы в условиях асимметрии сети и однофазного режима работы обеспечить надежную защиту двигателя, реле перегрузки и расцепители дополнительно оснащают дифференциальной защитой и толкателем, который выполняет более раннее отключение.
Тепловые реле защиты с токовременной зависимостью и силовые автоматы обеспечивают высокую степень защиты при низкой стоимости. При их использовании возможна экономическая защита двигателя, особенно в нижнем диапазоне мощностей.
Так же в двигателях присутствует встроенная защита от перегрева (термостат). При возрастании температуры на двигателе релейный контакт термостат даст сигнал в щит управления об аварии двигателя.
Защита водяного калорифера
В зимний период работы системы вентиляции нагрев воздуха осуществляется водой в теплообменнике. Он изготовлен из металлических трубочек с алюминиевым оребрением. В случае замерзания воды в этих трубках происходит их разрыв, что приводит к вытеканию воды из системы, и в дальнейшем требует ремонта или замены теплообменника.
Для защиты от замерзания воды необходимо предусмотреть комплекс
мероприятий:
· обеспечить скорость протекания воды не ниже минимально допустимой;
· установить защиту по температуре воздуха и обратной воды;
· в случаи срабатывания защиты обеспечить отключение вентилятора, закрытие воздушного клапана и открытие регулирующего вентиля.
Для обеспечения скорости протекания жидкости устанавливаем циркуляционный насос.
Для защиты по воздуху устанавливает капиллярный термостат. Капилляр устанавливается за теплообменником, перекрывая все сечение воздуховода. Термостат срабатывает при температуре воздуха 5 °С, замыкая релейный контакт выдает сигнал в щит управления.
Для защиты по воде на выходе трубопровода с обратной водой устанавливается накладной термостат. Термостат срабатывает при температуре воды 20 °С, замыкая релейный контакт выдает сигнал в щит управления.
3.2 Функции контроля
Контроль засорения фильтра
Для очистки воздуха от мелких предметов и от пыли на входе воздуха в систему установлен фильтр. Со временем фильтр засоряется, что приводит к увеличении нагрузки на двигателе. Для контроля засорения фильтра устанавливают реле давления, которое измеряет перепад давления до и после фильтра. В случае срабатывания реле, его контакт передает сигнал в щит управления.
Контроль работы двигателя
Для контроля работы двигателя устанавливают реле давления, которое меряет наличие перепада давления до и после двигателя. Во время работы двигателя контакт датчика реле давления находится в замкнутом состоянии. В случае остановки двигателя (пропадания напряжения на двигателе и других возможных аварий) контакт датчика реле давления размыкается, и сигнал передается в щит управления.
Контроль температуры воды в обратном трубопроводе
В дежурном режиме воздушный клапан закрыт, вентилятор выключены. Регулирование осуществляется по температуре Тобр, которая поддерживается равной Тобр.зад. При превышении температуры Тобр над заданным значением контроллер переключается на ее регулирование с целью недопущения перегрева воды, возвращаемой в тепловую сеть. Контроль превышения Тобр активизируется с задержкой после включения вентилятора. При снижении температуры Тобр ниже значения Тзмр система переключается в режим прогрева с целью предотвращения замораживания калорифера.
Функции регулирования.
Во время работы системы температура приточного воздуха Tпр.в поддерживается равной заданной 22 °С. Сигнал с датчика температуры
приточного воздуха поступает на вход ПИ регулятора контроллера, который вырабатывает управляющий сигнал на открытие или закрытия клапана. В зимний период работы, подогревая воздух, а в летний охлаждая. Регулирование температуры осуществляется с помощью регулирующего клапана.
автоматизация вентиляция вытяжной регулирование
3.3 Функции измерения
Система автоматики обрабатывает сигналы, поступающие на вход (Тн.в., Тпр.в., Тобр) по заданной программе и формирует сигналы управления и регулирования, а также отображая значение температуры.
3.4 Функции управления
Управление системой осуществляется в ручном режиме с помощью кнопок и переключателей, расположенных на панели управления за дверцей щита и в автоматическом режиме. Управление запуском насосов и двигателей происходит с контроллера при благоприятных параметрах системы.
3.5 Описание функциональной схемы
На функциональной схеме показан принцип автоматизированного управления приточной и вытяжной вентиляции, чертеж ДП АТ061 К897 Э2.
Во время работы системы наружный воздух, через воздухозаборную решетку, поступает в приточную установку, проходит через открытый воздушный клапан, затем через шумоглушитель проходит в секцию карманного фильтра. После этого очищенный воздух проходит через секцию нагрева и в зимний режим работы подогревается до температуры 22 °С. Затем воздух проходит через камеру охлаждения и в летнем режиме работы охлаждается. Дальше воздух попадает в секцию вентилятора, где создается напор и после секции шумоглушителя по воздуховодам попадает в обслуживаемые помещения.
Температура приточного воздуха измеряется датчиком (16а). Измеренная температура передается в щит управления, и контроллер вырабатывает сигнал на запорно-регулирующие клапана (8а, 11а).
В системе предусмотрен контроль засорения фильтра. Когда перепад давления до и после фильтра превысит 100Па датчик (4а) замкнет свои контакты и этот сигнал включит световую сигнализацию и если в течение 72 часов фильтр не почистит или не заменят, остановит систему.
В системе предусмотрена защита калориферов от замерзания. Когда температура воды в обратном трубопроводе снижается ниже 20 °С, сигнал от датчика (5а) поступает в щит управления. Также предусмотрена защита по температуре воздуха после калорифер. Датчик (9а) выработает сигнал при температуре 5 °С который поступит в щит управления. При поступлении одного из сигналов происходит остановка вентилятора, закрывается сблокированный с ним клапан наружного воздуха и полностью открывается трехходовой клапан (8а) для максимального увеличения расхода теплоносителя. Таким образом, движение холодного воздуха прекращается, а циркуляция теплоносителя через калорифер продолжается. Вследствие отсутствия теплосъема, температура охлажденного теплоносителя начинает повышаться. При достижении температуры теплоносителя 50 °С вентилятор включается, клапан наружного воздуха открывается, и работа воздухонагревателя возобновляется.
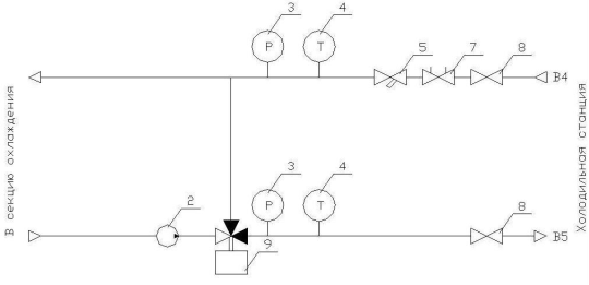
По датчику температуры наружного воздуха (1а) происходит переключение режимов работы зимний или летний. В зависимости от режима работы воздух либо нагревается или охлаждается. Для регулирования температуры приточного воздуха применяют узел управления подачей теплоносителя в воздухонагреватель. Схема узла управления УУ1 показана на рисунке 3.

Рисунок 3 – Схема узла управления УУ1.
1 – Накладной термостат защиты калорифера от замерзания по воде.
2 – Циркуляционный насос.
3 – Показывающий стрелочный манометр.
4 – Показывающий стрелочный термометр.
5 – Фильтр.
6 – Накладной датчик температуры обратной воды.
7 – Балансировочный клапан.
8 – Отсечной шаровой кран.
9 – Трехходовой клапан с электроприводом.
Вода из теплосети проходит через балансировочный клапан и фильтр и поступает в теплообменник, отдает часть тепла и возвращается в теплосеть. Циркуляционный насос создает подмешивание воды приточной с обратной водой, которая поступает в приточный трубопровод в зависимости от положения регулирующего клапана. Регулирующий клапан увеличивает или уменьшает поступление обратной воды в теплообменник в зависимости от температуры приточного воздуха или температуры обратной воды, которую измеряет накладной датчик температуры. Накладной термостат обеспечивает защиту теплообменника от замерзания теплоносителя. Если температура воды будет ниже 0 °С, то произойдет замерзание теплоносителя и приводит к разрыву трубок теплообменника, который ремонту не подлежит, а замен дорогостоящий.
В летнем режиме работы регулированием подачей холодоносителя применяется узел управления подачей холодоносителя в воздухоохладитель. Узел управления подачей холодоносителя в воздухоохладитель УУ2 показан на рисунке 4.

Рисунок 4 – Подача хладоносителя в воздухоохладитель УУ2.
2 – Циркуляционный насос.
3 – Показывающий стрелочный манометр.
4 – Показывающий стрелочный термометр.
5 – Фильтр.
7 – Балансировочный клапан.
8 – Отсечной шаровой кран.
9 – Трехходовой клапан с электроприводом.
Вода из холодильной машины проходит через балансировочный клапан и фильтр и поступает в секцию охлаждения, нагревается и возвращается в теплосеть. Циркуляционный насос создает подмешивание воды приточной с обратной водой которая поступает в приточный трубопровод в зависимости от положения регулирующего клапана. Регулирующий клапан увеличивает или уменьшает поступление обратной воды в теплообменник в зависимости от температуры приточного воздуха.
4. Разработка принципиальной электрической схемы
На принципиальной схеме изображаются все электрические элементы и устройства, необходимые для осуществления и контроля в изделии заданных электрических процессов, все электрические связи между ними, а также электрические элементы (соединители, зажимы и т.п.), которыми заканчиваются входные и выходные цепи, чертеж ДП АТ061 К897 Э3.
Система имеет два режима работы зимний и летний. В зимний период работы системы воздух перед подачей в обслуживаемое помещение подогревается, а в зимний охлаждается. Тепло и хладоносителем в нашей системе является вода. Переключение происходит автоматически либо в ручную. Автоматический переход происходит по датчику температуры наружного воздуха с гистерезисом. Переход с зимнего на летний при температуре 12 °С, а с летнего на зимний при температуре 8 °С. В ручном режиме с помощью переключателей (SA1, SA2). Рассмотрим по отдельности эти режимы.
4.1 Режим работы в зимний период
Дежурный режим
В дежурном режиме воздушные клапаны закрыты, вентиляторы приточной и вытяжной установки выключены, на щите лампы «СЕТЬ» (HL1), «ЗИМНИЙ РЕЖИМ» (HL5), «ВОЗДУШНЫЙ КЛАПАН ЗАКРЫТ» (HL4) и «СТОП» (HL3) находятся во включенном состоянии. Циркуляционный насос в узле регулирования подачей теплоносителя работает, регулирование осуществляется по температуре Тобр., которая поддерживается равной Тобр.зад.
Пуск системы
Переход из дежурного режима в режим вентиляции возможен только после прогрева калорифера. Для запуска системы необходимо нажатькнопку «ПУСК» (SB1) расположенную на лицевой панели за дверцей щита. При этом лампа «СТОП» (HL3) выключится и включится лампа «ПУСК» (HL2) и система перейдет в режим прогрева. В режиме прогрева воздушные клапана закрыты, вентиляторы выключены. Регулирование осуществляется по температуре Тобр., которая доводится до значения Тпуск, после чего на клапан подается дополнительный «упреждающий» импульс на открытие, и после заданной задержки, система перейдет в режим вентиляции.
Режим вентиляции
При подаче напряжения на двигатель вентилятора одновременно подается сигнал на открытие воздушного клапана и в течение 10 секунд должен поступить сигнал об открытии клапана и выключится лампа «ВОЗДУШНЫЙ КЛАПАН ЗАКРЫТ».
В режиме вентиляции регулирование осуществляется по температуре приточного воздуха Тпрв, которая поддерживается равной Тпрв.зад. При превышении температуры Тобр над заданным значением контроллер переключается на ее регулирование с целью недопущения перегрева воды, возвращаемой в тепловую сеть. Контроль превышения Тобр активизируется с задержкой после включения вентилятора.
Аварийные режимы
Опасность замерзания калорифера.
При срабатывании контактных датчиков защиты по воде или по воздуху система переходит в дежурный режим и загорается лампа «ОПАСНОСТЬ ЗАМЕРЗАНИЯ». После пропадания сигнала система переходит в режим прогрева и заново запускается.
Авария двигателя
При срабатывании контактного датчика воздушного потока или термостата перегрева двигателя в режиме вентиляции система переходит в дежурный режим и включается лампа «АВАРИЯ ДВИГАТЕЛЯ». Сброс сброса аварии осуществляется нажатием кнопки «СТОП».
Засорение фильтра
При срабатывании контактного датчика воздушного потока загорается лампа «ФИЛЬТР ЗАСОРЕН». И если в течение 72 часов систему не остановят и не почистят фильтр, переведет систему в дежурный режим.
Воздушный клапан не открылся
После подачи сигнала открытия на привод воздушного в течение 10 секунд сигнал о закрытии клапана поступает, то система переходит в дежурный режим, а лампа ВОЗДУШНЫЙ КЛАПАН ЗАКРЫТ» включается и выключается с интервалом 1 секунда.
4.2 Режим работы в летний период
Дежурный режим
В дежурном режиме воздушные клапаны закрыты, вентиляторы приточной и вытяжной установки выключены, на щите лампы «СЕТЬ» (HL1), «ВОЗДУШНЫЙ КЛАПАН ЗАКРЫТ» (HL4) и «СТОП» (HL3) находятся во включенном состоянии. Циркуляционный насос работает. Регулирование не осуществляется.
Пуск системы
Для запуска системы необходимо нажать кнопку «ПУСК» (SB1), расположенную на лицевой панели за дверцей щита. При этом лампа «СТОП» (HL3) выключится и включится лампа «ПУСК» (HL2) и система перейдет в режим вентиляции.
Режим вентиляции
При подаче напряжения на двигатель вентилятора одновременно подается сигнал на открытие воздушного клапана и в течение 10 секунд должен поступить сигнал об открытии клапана и выключится лампа «ВОЗДУШНЫЙ КЛАПАН ЗАКРЫТ» (HL4).
В режиме вентиляции регулирование осуществляется по температуре приточного воздуха Тпрв, которая поддерживается равной Тпрв.зад.
Аварийные режимы
Авария двигателя.
При срабатывании контактного датчика воздушного потока или термостата перегрева двигателя в режиме вентиляции система переходит в дежурный режим и включается лампа «АВАРИЯ ДВИГАТЕЛЯ» (HL8).
Сброс сброса аварии осуществляется нажатием кнопки «СТОП» (SB2).
Засорение фильтра.
При срабатывании контактного датчика воздушного потока загорается лампа «ФИЛЬТР ЗАСОРЕН» (HL6). И если в течение 72 часов систему не остановят и не почистят фильтр, переведет систему в дежурный режим.
Воздушный клапан не открылся.
После подачи сигнала открытия на привод воздушного клапана в течение 10 секунд сигнал о закрытии клапана поступает, то система переходит в дежурный режим, а лампа «ВОЗДУШНЫЙ КЛАПАН ЗАКРЫТ» (HL4) включается и выключается с интервалом 1 секунда.
При поступлении сигнала с пульта пожарной охраны система переключится в дежурный режим без автоматического перезапуска при пропадании сигнала.
Значения уставок системы указаны в таблице №4.1.
Таблица №4.1 – значение уставок системы
| Параметр | Наименование | Значение |
| Тпрз | Заданная температура приточного воздуха. | 22 °С |
| Тобр. зад. | Заданная температура воды в обратном трубопроводе. |
45 °С |
| Тобр.змр. | Минимальная температура воды в обратном трубопроводе. | 20 °С |
| Тлетн. | Температура наружного воздуха, при котором система меняет режим работы. |
10 °С |
4.3 Разработка схемы внешних соединений
На схеме соединений изображены все устройства и элементы, входящие в состав изделия, их входные и выходные элементы (соединители, платы, зажимы и т.п.), а также соединения между этими устройствами и элементами.
На схеме показано соединение всех датчиков, исполнительных механизмов, двигателей, питающих кабелей к щиту управления, а также передача этих сигналов на микроконтроллер.
Дискретные датчики и исполнительные механизмы подсоединяются к щиту контрольным кабелем КВВГ, а аналоговые датчики подключаются экранированным кабелем МКЭШ. При подключении к щиту управления экраны кабелей соединяются между собой на шине заземления.
Щиты управления и агрегаты систем должны быть заземлены согласно требованиям ПУЭ.
Все подключенные кабели и провода должны быть отмаркированны согласно проекту.
5. Выбор средств автоматизации
В данном проекте используется значительное количество различных датчиков, приводов, контроллеров и другого оборудования систем автоматики. Однако особое внимание уделяется свободно программируемому контроллеру LOGO фирмы «Siemens», т. к. он является основой всей системы автоматики. На остальные изделия будет дана лишь ознакомительная информация.
5.1 Выбор главных элементов управления
Контроллер
Общие данные
Логические модули LOGO! являются компактными функционально законченными универсальными изделиями, предназначенными для построения простейших устройств автоматики с логической обработкой информации.
Алгоритм функционирования модулей задается программой, составленной из набора встроенных функций. Программирование модулей LOGO! Basic может производиться с их клавиатуры без использования дополнительного программного обеспечения. Стоимостные показатели модулей настолько низки, что их применение может оказаться экономически целесообразным даже в случае замены устройств, включающих в свой состав 2 многофункциональных реле времени или 2 таймера и 3–4 промежуточных реле.
LOGO! включает в себя:
· устройство управления;
· панель управления и индикации с фоновой подсветкой;
· блок питания;
· интерфейс для модулей расширения;
· интерфейс для программного модуля (платы) и кабеля PC;
· стандартные готовые функции, часто используемые на практике, например, функции задержки включения и выключения, импульсное реле и программный выключатель;
· часовой выключатель;
· цифровые и аналоговые флаги;
· входы и выходы в соответствии с типом устройства.
LOGO! предлагает решения различных технических задач, в том числе в электрооборудовании жилых помещений (например, освещение лестничных клеток, внешнее освещение, шторы, жалюзи, освещение витрин магазинов и т.д.), в коммутационных шкафах, в управлении машинами и аппаратами (например, системы управления воротами, вентиляционные системы или насосы для хозяйственной воды и многое другое).
LOGO! можно использовать также для специальных систем управления в оранжереях и теплицах, для предварительной обработки сигналов управления и, при подключении коммуникационного модуля (напр., AS Interface), для децентрализованного управления машинами и процессами на месте.
Все встроенные входы модулей могут использоваться для ввода дискретных сигналов. Напряжение питания входных цепей соответствует напряжению питания модуля. В некоторых моделях 2 из 8 входов имеют универсальное назначение. Они могут использоваться для ввода дискретных сигналов или аналоговых сигналов 0…10В.
Модули LOGO! Contact предназначены для бесшумной коммутации трехфазных цепей переменного тока напряжением до 400В с активной нагрузкой до 20А или короткозамкнутыми асинхронными двигателями мощностью до 4кВт.
Модули выпускаются в двух модификациях, отличающихся напряжением питания обмотки управления: =24В или ~230В. Модули не подключаются к внутренней шине LOGO! Для управления их обмотками необходимо использовать соответствующие дискретных выходы модулей LOGO! или DM8/DM16.
Блоки питания LOGO! Power преобразуют сетевые напряжения ~115/230В в выходное напряжение =12В или =24В с различными значениями тока нагрузки. Модули обеспечивают защиту нагрузки от коротких замыканий.
Для долговременного хранения резервной копии, защиты от несанкционированного доступа и копирования программы, а также переноса программ с одного логического модуля на другой может использоваться универсальный модуль памяти.
Программирование модулей LOGO! Basic может выполняться с клавиатуры с отображением информации на встроенном дисплее. Процесс программирования сводится к последовательному соединению встроенных функциональных блоков и заданию параметров настройки (задержек включения / выключения, значений счетчиков и т.д.). Для выполнения всех этих операций используется система встроенных меню. Готовая программа может быть переписана в модуль памяти, вставленный в интерфейс модуля LOGO!
Все встроенные функции хранятся в памяти логического модуля в виде двух библиотек. Библиотека GF содержит набор функций, выполняющих все основные логические операции. В библиотеку SF собраны специальные функции: триггеры, счетчики, таймеры, импульсные реле, компараторы, генераторы импульсов и т.д.
Пакет LOGO! Soft Comfort позволяет производить разработку и отладку программ для LOGO! на компьютере, документировать программы и эмулировать работу разрабатываемого устройства. Поддерживается программирование в виде функциональных блоков и релейно-контактных схем. Пакет может работать под управлением операционных систем Windows 95/98/NT/ME/2000/XP, Linux, MACOS-X.
Готовая программа может загружаться в память логического модуля через кабель ПК или записываться в модуль памяти через специальное устройство LOGO! Prom.
Максимальная надежность устройств и компонентов LOGO! достигается реализацией широкомасштабных и влияющих на величину издержек мероприятий при разработке и изготовлении.
Сюда относятся:
· использование высококачественных компонентов;
· проектирование всех цепей в расчете на наихудшие условия;
· систематическое автоматизированное тестирование всех компонентов;
· тренировка всех схем высокой интеграции (напр., процессоров, памяти и т.д.);
· меры по предотвращению статического разряда при работе с интегральными МОП-схемами;
· визуальный контроль на различных этапах изготовления;
· испытание на нагрев при длительной работе при повышенной температуре окружающей среды в течение нескольких дней;
· тщательные окончательные приемочные испытания под управление компьютера;
· статистический анализ всех возвращенных систем и компонентов для немедленного проведения корректирующих мероприятий;
· контроль важнейших компонентов устройства управления с использованием онлайнового тестирования (циклическое прерывание для CPU и т.д.).
Различные модели модулей оснащены транзисторными или релейными выходами. Транзисторные выходы способны коммутировать токи до 0.3А в цепях напряжением =24В и оснащены электронной защитой от короткого замыкания. Релейные выходы способны коммутировать токи до 10А (активная нагрузка) или до 3А (индуктивная нагрузка) в цепях напряжением =12/24В, ~24В или ~/= 115/240В.
Для увеличения количества обслуживаемых входов-выходов и максимальной адаптации к требованиям решаемой задачи к каждому логическому модулю LOGO! могут подключаться модули расширения.
Модули DM8 имеют 8-, модули DM16 – 16 канальную структуру (4 входа/4 выхода или 8 входов/8 выходов). Релейные выходы модулей при активной нагрузке способны коммутировать токи до 5А. Внутренняя шина модулей DM8/DM16 может быть подключена только к модулю с таким же уровнем напряжения питания.
Коммуникационные модули позволяют производить подключение логических модулей к сетям AS-Interface, EIB и LON. В сети AS-Interface модули LOGO! способны выполнять функции интеллектуальных ведомых устройств, в сетях EIB и LON – функции ведущих устройств. Коммуникационные модули рекомендуется устанавливать последними в линейке расширения. По внутренней шине они могут подключаться к модулям с любым напряжением питания.
Механическое устройство модулей контроллера
Таблица №2 – расшифровка позиций
| 1. Источники питания | 5. Панель управления | 9. Механическое кодиование – шрифты |
| 2. Входы | 6. ЖКД | 10. Механическое кодиование – гнезда |
| 3. Выходы | 7. Индикатор состояния | 11. Защелка |
| 4. Гнездо для модуля с крышкой | 8. Интерфейс расширения | 12. Клемма PE для подключения экрана аналоговой изм. линии. |
На рисунке 8–9 приведено механическое устройство модулей контроллера «LOGO!», а в таблице 2 расшифровка позиций.
Технические характеристики
В таблице №3 указаны технические характеристики контроллера.
Таблица №3 – технические характеристики контроллера
| Входное напряжение | 24 В |
| Допустимый диапазон | 20,4 … 28,8 В |
| Потребление тока из источника 24 В | 20…75 мА |
Входное напряжение: 0 1 |
<5В >12 В |
| Время цикла для формирования аналоговых значений | 300 мс |
| Диапазон температуры для аналогового входа АМ2 Pt100 | -50…+200 °С |
| Аналоговый выход | =0…10 В |
5.2 Выбор вспомогательных элементов управления
Датчики
Первичный измерительный преобразователь температуры типа QAC2010
Наружные датчики предназначены для измерения наружной температуры и, в меньшей степени – уровня солнечной радиации, влияния ветра и температуры стены здания.
Датчик может использоваться в качестве:
•контрольного датчика для управления температурой подающей в зависимости от погодных условий;
•измерительного датчика в целях оптимизации.
Наружный датчик с чувствительным элементом Pt 100 Ом при 0 °С. Датчик помещен в пластмассовый корпус со снимающейся крышкой.
Чувствительный элемент залит синтетической резиной. Доступ к клеммам для подключения датчика обеспечивается после снятия крышки. Кабель подключается либо с тыльной стороны (скрытая проводка), либо с нижней стороны (открытая проводка). В нижнюю часть корпуса может вкручиваться уплотнитель кабельного ввода Рk11.
Технические характеристики:
– диапазон измерения: -50…+70 0С;
– чувствительный элемент Pt 100 Ом при 0 °С;
– допустимые отклонения: ±1 0С при -10…+20 °С
- постоянная времени: 10 мин.;
– допустимая влажность: 5…100%;
– степень защиты корпуса: IP43;
– вес: 0,120 кг;
В зависимости от цели использования, датчик может устанавливаться:
• Для контроля:
На стене дома или здания, на которой имеются окна, выходящие из жилых помещений. При этом на датчик не должны падать солнечные утренние лучи. Если это не гарантируется, его лучше установить на стене с северной или с северо-западной стороны.
Для оптимизации:
Во всех случаях – на самой холодной стене дома или здания (обычно на стене с северной стороны). Попадание на датчик солнечных утренних лучей не допускается.
Высота установки:
Предпочтительно посередине стены дома или здания, или зоны обогрева, но не ниже 2,5 м от уровня земли.
Не допускается крепление датчика в следующих местах:
Над окнами, дверьми, вентиляционными решетками и другими источниками тепла;
Под балконами или козырьками крыш.
Во избежание ошибок измерения, вызванных циркуляцией воздуха, кабельный ввод датчика необходимо закрыть уплотнителем. Покраска корпуса датчика не допускается.
Датчик-реле перепада давления воздуха QBM81.5
Используется для контроля перепада давления, а также для контроля за пониженным и повышенным давлением в системах вентиляции и кондиционирования воздуха.
Применяется для контроля:
· засорения фильтра;
· аварийной остановки двигателя.
Принцип действия: перепад давления между обоими соединениями деформирует пружинную диафрагму.
Он пригоден для крепления на воздуховодах или стенах. Рекомендуемая ориентация – вертикальная, хотя в принципе приемлемо любое местоположение. Соединительные трубки могут иметь произвольную длину, однако если они длиннее 2-х метров, время реакции на перепад давления увеличивается. Датчик должен устанавливаться таким образом, чтобы он находился сверху от точек соединения. Для того чтобы избежать конденсации, трубопроводы должны прокладываться так, чтобы от точек соединения их с датчиком-реле трубопроводный участок имел уклон (без образования петли).
Диапазон измерения 50…500Па. Производитель фирма «Siemens».
Термостат накладной типа RAK-TW.5000
Термостат осуществляет контроль защиты от замерзания по температуре воды в обратном трубопроводе, снабжен однополюсным перекидным микропереключателем. Установленная пороговая температура отображается в окошке на корпусе термостата.
При достижении температуры уставки при понижении температуры (функция защиты), перекидной контакт выработает сигнал и передаст его в щит управления.
Диапазон измерения 5…65 °С. Производитель фирма «Siemens».
Первичный измерительный преобразователь температуры типа QAC 21
Накладной датчик температуры предназначен для измерения температуры в трубопроводе. Измерение температуры в трубопроводе производится для контроля или ограничения температуры потока, ограничение температуры воды обратного трубопровода, контроля горячей воды.
Чувствительный элемент Pt100 снимает показания температуры трубопровода. Сопротивление чувствительного элемента изменяется в зависимости от температуры среды.
Диапазон измерения -30…+130 °С. Производитель фирма «Siemens».
Термостат защиты от замерзания типа QAF81.3
Термостат контролирует температуру воздуха после теплообменника в системе вентиляции и кондиционирования тем самым, защищая его от замерзания и последующего разрушения теплообменника.
Газонаполненный капилляр, соединенный с диафрагмированной камерой, представляет собой измерительный элемент, который механически связан с микропереключателем. Термостат чувствителен к падению температуры ниже установленного порога на длине участка капилляра 30 см.
При превышении температуры выше порога происходит автоматический сброс термостата.
Капилляр термостата должен быть установлен непосредственно после калорифера по потоку воздуха (до калорифера – в случае охлаждающего теплообменника). Его необходимо уложить петлями в плоскости, параллельной теплообменнику, на расстоянии от теплообменника около 5 см на специальных кронштейнах. Капилляр термостата должен перекрывать все сечение воздуховода после калорифера. Диапазон измерения -5…+15 °C. Производитель фирма «Siemens».
Первичный измерительный преобразователь температуры типаQAM2110.040
Канальный датчик температуры используется в установках кондиционирования воздуха в качестве:
– датчика температуры входящего или выходящего воздуха.
– датчика-ограничителя (например, ограничение по минимуму) в приточном канале.
– управляющего датчика, как например, для регулирования температуры помещения по наружной температуре.
– датчика точки росы.
– измерительного датчика, как например, для индикации измеряемых величин или подачи данных измерении централизованной системы контроля.
Технические характеристики:
– рабочий диапазон: -50 +80 °С;
– измерительный элемент: Pt100 Ом/0 °C;
– постоянная времени: 30 с;
Место установки:
– в установках кондиционирования воздуха после воздуходувки, если она является последней конструктивной единицей, в ином случае после последней конструктивной единицы на расстояние не менее 0,5 м.
– в вытяжном канале всегда до вытяжного вентилятора.
- в качестве ограничителя температуры входящего воздуха по возможности ближе к помещению.
– при регулировании влажности воздуха по методу точки росы непосредственно после каплеуловителя увлажнителя.
– чувствительный элемент не должен касаться стенок канала.
Диапазон измерения -30…+120 °C. Производитель фирма «Siemens».
Исполнительные механизмы и насосы.
Привод воздушного клапана типа GMA126.1E
Электропривод воздушного клапана со встроенной пружиной возврата предназначен для открытия и закрытия клапана. Воздушный клапан перекрывает поступление воздуха в помещение и из него через воздуховоды системы вентиляции.
Двух позиционные привод имеет угол поворота 90°. У него имеется встроенный дополнительные контакты, настроенные на срабатывание на угле 5°…90°. Производитель фирма «Siemens».
Циркуляционный насос типа UPS 25–20
В системах кондиционирования воздуха насосы являются ответственным элементом систем тепло- и холодоснабжения аппаратов для изменения параметров воздуха. От надежной работы насосов зависит стабильная и надежная работа системы кондиционирования воздуха. В России и других странах мира широкое применение получили насосы фирмы «Grundfos».
Для работы насосов в составе систем кондиционирования воздуха и систем тепло- и холодоснабжения характерны два основных режима: при постоянном расходе жидкости; при переменном расходе жидкости.
При постоянном расходе жидкости рекомендуется применение насосов с постоянной частотой вращения ротора приводного электродвигателя рабочего колеса насосов.
Фирма «Grundfos» для постоянных расходов воды в системах кондиционирования воздуха производит насосы типа UPS, которые монтируются на трубопроводах без фундаментов. Для ручного регулирования производительности систем по жидкости конструкции насосов имеет ручное переключение на три частоты вращения.
Циркуляционный насос в контуре нагрева создает циркуляцию воды в контуре узла регулирования подачей теплоносителя в воздухонагреватель, чем снижает вероятность замерзания воды в калорифере.
Привод ЗРК типа SSB61U
Электромеханические приводы предназначены для использования в системах с фанкойлами и охлаждаемыми потолками для управления клапанами нагрева и охлаждения. Привод имеет пропорциональный сигнал управления 0…10В, это сигнал приводит в действие шток привода, воздействующий на шток клапана.
Клапан открывается пропорционально напряжению на выходе Y. Электромеханические приводы предназначены для использования совместно с 3-х ходовыми клапанами с номинальным ходом штока 5,5 мм типа VXP45.
Производитель фирма «Siemens».
Регулирующие клапана.
Запорно-регулирующий клапан 3-х ходовой типа VXP45.20–4 (ЗРК)
Клапан применяется в системах вентиляции и кондиционирования для управления протоком по системам замкнутого контура, с фанкойлами, с калориферами и вторичными охладителями, для использования в 2-х трубных системах с одним теплообменником для нагрева и охлаждения (летний – зимний период).
Основной характеристикой регулирующего клапана является kvs – номинальный расход воды (м3/ч) через полностью открытый клапан (ход штока 100%) при перепаде давления в 1 бар и температуре воды 20 °С.
Силовые автоматические выключатели
Для защиты двигателей от перегрева устанавливаются токоограничивающие силовые автоматические выключатели типа 3RV1 фирмы Siemens. Характеристики расцепления силовых выключателей рассчитаны главным образом для защиты трехфазных двигателей. Расчетный ток защищаемого двигателя устанавливается на настроечной шкале. Расцепитель тока короткого замыкания настроен на заводе на 13-кратную величину расчетного тока. Этим обеспечивается нормальный пуск и надежная защита двигателя. Чувствительность выключателя к выпадению фазы гарантирует, что выключатель своевременно сработает при выпадении фазы и при вызванными этими обстоятельствами сверх токах в других фазах.
Силовые автоматические выключатели также обеспечивают защиту линии.
Для двигателей мощностью 1кВт из таблицы данных каталога Siemens выберем автоматический выключатель типа 3RV10 11–1DA1.
Выключатель имеет следующие характеристики:
· токовый расцепитель перегрузки 2,2–3,2А;
· максимальный расцепитель тока без выдержки времени 42А;
· отключающая способность при коротком замыкании при 400В 100кА;
· типоразмер S00.
6. Программирование контроллера
6.1 Общие данные
Для программирования контроллера воспользуемся программой LOGO! Soft Comfort.
Программное обеспечение LOGO! Soft Comfort предоставляет наиболее широкие возможности по разработке, отладке и документированию программ логических модулей LOGO! Разработка программы может выполняться на языках LAD (Ladder Diagram) или FBD. Допускается использование символьных имен для переменных и функций, а также необходимых комментариев.
В отличие от программирования с клавиатуры обеспечивается наглядное представление всей программы, поддерживается множество сервисных функций, повышающих удобство разработки и редактирования программы.
Разработка, отладка и полное тестирование работы программы может осуществляться в автономном режиме без наличия реального модуля LOGO!
Готовая программа может загружаться в логический модуль или записываться в модуль памяти, а также сохраняться на жестком диске компьютера.
LOGO! будет распознавать, считывать и включать входы и выходы всех модулей расширения независимо от их типа. Входы и выходы представлены в той же последовательности, в которой расположены модули. Для программирования имеются в распоряжении следующие входы, выходы и флаги: от I1 до I24, от AI1 до AI8, от Q1 до Q16, AQ1 и AQ2, от M1 до M24 и от AM1 до AM6. Кроме того, имеются биты регистра сдвига от S1 до S8, 4 клавиши управления курсором C▲, C►, C▼ и C◄ и 16 свободных выходов от X1 до X16. В LOGO! 12/24… и LOGO! 24/24o для входов I7 и I8 имеет силу следующее: если I7 или I8 используется в коммутационной программе, то сигнал, прилагаемый к соединительному элементу, интерпретируется как цифровой; если используется AI1 или AI2, то сигнал интерпретируется как аналоговый.
Значительно более мощными являются специальные функции:
• Импульсное реле;
• Реверсивный счетчик;
• Задержка включения;
• Программный выключатель.
На рисунке 21 показано окно среды программирования LOGO! Soft Comfort.
6.2 Описание работы программы
Алгоритм программы работы контроллера приведен в приложении А.
При поступлении на вход I1 логической единицы сигнал поступает на RS-триггер. С RS-триггера сигнал пуска поступает на выход Q1, а также поступает на блоки для запуска системы в летнем режиме и для перевода системы в холодное период в режим прогрева. С задержкой времени, которую формирует B024, сигнал подается на Q3 и Q4.
После поступления сигнала на Q3 включается задержка включения на вход I5, сигнал пропадет после открытия воздушной заслонки, если сигнал поступает через 10 секунд, то контроллер остановит систему, и на выход Q5 будут поступать сигналы с периодичностью 1 секунда, которую формирует блок B029.
Для сброса данного положения надо подать сигнал на вход I2.
Во время работы при поступлении сигнала на вход I6 на выход Q7 поступит сигнал и через 72 часа, если сигнал продолжает поступать остановит систему. Для сброса данного положения надо подать сигнал на вход I2.
При поступлении сигналов на I7 или I8 поступает сигнал на выход Q8, и система переходит в режим прогрева и после пропадания сигнала на этих входах система перезапуститься.
Контроль входов I9, I10, I11 и I12 включается с задержкой времени 10 секунд после появления сигнала на выходах Q3 и Q4. Если после этогосигнал поступает или поступил, подается на остановку системы и на выход Q9. Для сброса данного положения надо подать сигнал на вход I2.
Для формирования режима работы в ручном режиме на входы I4 и I5 должны поступить сигналы.
Для формирования сигнала режима работы в автоматическом режиме установлен аналоговой триггер B006. В зависимости от сигнала поступающего с AI1 триггер вырабатывает сигнал для переключения режимов работы.
В зимний период работы в дежурном режиме работы сигнал 0…10В на выходе AQ1 формируется в зависимости от поступающей информации на аналоговый вход AI3.
В зимний период работы во время работы сигнал 0…10В на выходе AQ1 формируется в зависимости от поступающей информации на аналоговый вход AI2 на регуляторе B009. В случае превышения сигнала на входе AI3 над установленным значением 45 °С срабатывает триггер B016, который переключит формирование сигнала от регулятора B010. После снижения сигнала AI3 формирование опять переходит от регулятора B009.
Данные переключения осуществляет аналоговый мультиплексор B013. В летний период работы во время работы сигнал 0…10В на выходе AQ1 формируется в зависимости от поступающей информации на аналоговый вход AI2 на регуляторе B009.
При поступлении сигнала на вход I13 контроллер переведет систему в режим остановки без возможности автоматического перезапуска.
7. Размещение средств автоматизации
7.1 Требования к АСУ, монтаж
АСУ должна быть разработана и внедрена в соответствии с требованиями действующих Правил, ГОСТов и СНиПов:
· ГОСТ21.101–97 «Основные требования к проектной и рабочей документации»;
· ГОСТ21.613–88 «Силовое электрооборудование. Рабочие чертежи»;
· ГОСТ21.614–88 «Изображения условные графические электрооборудования и проводок на планах»;
· ГОСТ21.408–93 «Правила выполнения рабочей документации автоматизации технологических проектов»;
· СНиП 3.05.06–85 «Электротехнические устройства»;
· СНиП 3.05.07–85 «Системы автоматизации»;
· СНиП 2.04.05–91 (2000) «Отопление, вентиляция и кондиционирование»;
· отвечать требованиям СНиП 21.01–97 (Пожарная безопасность зданий и сооружений) по пожарной безопасности;
· Эксплуатационная документация оформляется в соответствии с требованиями-ГОСТ2.601–95.
АСУ разработата с использованием отечественного и импортного оборудования, отвечающего современному уровню качества и надежности.
Все оборудование должно быть сертифицировано для применения в РФ в соответствии с действующими нормативными документами. Базовым для разработки АСУ принять оборудование фирмы «SIEMENS» (датчики, исполнительные механизмы, программируемые контроллеры).
Автоматизация инженерных систем предусматривается на базе свободно-программируемых контроллеров, связанных с датчиками аналоговых и дискретных сигналов и электроприводами.
Контроллеры устанавливаются в совмещенных щитах автоматики и управления (ЩАУ), содержащих также и силовую аппаратуру. Шкафы ЩАУ должны находиться в непосредственной близости от соответствующего технологического оборудования.
Все используемые в системе аналоговые датчики измерения температуры, давления, влажности, расхода и т.п., должны иметь унифицированный электрический выходной сигнал, сопрягаемый с контроллерами системы.
Дискретные датчики должны иметь выходной сигнал типа «сухой контакт».
Приводы исполнительных механизмов должны управляться стандартным аналоговым выходным сигналом контроллера в диапазоне 0–10В.
Объектами автоматизации являются приточно-вытяжные системы вентиляции и кондиционирования. АСУ должна обеспечить полную автоматизацию процессов стабилизации температурных параметров, как в процессе обработки воздуха, так и при регулировании этих параметров в обслуживаемых помещениях.
Основными задачами автоматизации приточно-вытяжной вентиляции является
· автоматическое регулирование температуры приточного воздуха в соответствии с заданной уставкой;
· предварительный прогрев калорифера перед включением приточного вентилятора в зимнее время;
· защиту калорифера от замерзания по температуре обратной воды и по температуре приточного воздуха и по контактному датчику;
· контроль работы вентилятора по контактному датчику воздушного потока и его аварийное выключение;
· защита двигателей от перегревания;
· контроль засорения фильтра;
· контроль температуры воды, возвращаемой в сеть и защиту от ее перегрева;
· сигнализация аварий;
· автоматическое отключение приточных и вытяжных установок при срабатывании датчиков пожарной сигнализации. Работоспособность систем защиты от замораживания калорифера при этом должна сохраняться;
· ручное управление агрегатами систем с местных ЩАУ.
7.2 Особенности монтажа электропроводок объекта
Тип электропроводки и способ ее прокладки определяют номинальным напряжением сети, характером помещений, состоянием окружающей среды, в которой она будет находиться, условиями техники безопасности и пожарной безопасности. Окружающая среда характеризуется влажностью, температурой, наличием пыли, вредно действующих химически активных паров и газов.
Сухие помещения–это такие, в которых относительная влажность воздуха не превышает 60%. Если в этих помещениях в течение длительного времени температура не поднимается выше 30 °С, не выделяется большое количество технологической пыли и химически активных веществ, то такие сухие помещения называют нормальными.
Пыльные помещения–это помещения, в которых по условиям производства выделяется технологическая пыль в таком количестве, что она может оседать па проводах, проникать внутрь машин, аппаратов и т.п.
Влажные помещения – это помещения, в которых пары или конденсирующаяся влага выделяются лишь временно и притом в небольших количествах, а относительная влажность более 60, но не выше 75%.
Сырые помещения – это помещения, в которых относительная влажность в течение длительного времени превышает 75%.
Особо сырые помещения–это помещения, в которых потолок, стены, пол и находящиеся в них предметы покрыты влагой, а относительная влажность воздуха приближается к 100%.
Жаркие помещения – это помещения, в которых температура в течение длительного времени превышает 30 °С.
Пожароопасные – помещения или наружные установки, в которых хранят или применяют горючие вещества.
Изоляция проводов и кабелей должна соответствовать напряжению сети и условиям окружающей среды. Для сетей напряжением до 500 В провода должны иметь изоляцию, рассчитанную на напряжение не ниже 500 В.
Провода электропроводок удаляют от печей и труб отопления во избежание перегрева и преждевременного старения изоляции.
Нулевой провод должен иметь отличительную расцветку или у места ответвления и при вводе в арматуру его метят бандажом из цветных ниток, а головки роликов или изоляторов нулевого провода окрашивают эмалевой краской. На прямых участках окрашенные ролики устанавливают с интервалом через два или три обычных ролика.
Для надежного и быстрого отключения при коротком замыкании необходимо, чтобы ток короткого замыкания был не менее чем в 3 раза больше номинального тока предохранителя.
7.3 Соединение и оконцевание жил, проводов и кабелей
От правильного выполнения контактных соединений зависит надежность и безопасность эксплуатации электроустановок. Контактные соединения должны быть устойчивыми к резким колебаниям температуры, влажности, влиянию окружающей среды. Надежные электрические контактные соединения могут быть выполнены одним из следующих основных способов: опрессованием (обжатием), сваркой, пайкой, свинчиванием.
Опрессование применяют для соединения и оконцевания проводов и кабелей любой площади сечения на напряжение от 10 (соединение) до 35 кВ (оконцевание), а также медных (для всех категорий электроустановок) и алюминиевых жил (за исключением городских кабельных сетей столичных и областных городов и электростанций с агрегатами мощностью от 50000 кВт и выше). Соединение многопроволочных медных жил площадью поперечного сечения до 10 мм2 в силовых и осветительных сетях выполняют путем обертывания соединяемых жил двумя слоями тонкой медной или латунной ленты толщиной 0,2…0,3 мм и опрессовкой места соединения при помощи пуансонов и матриц, вставляемых в малые одноручные клещи типа.
7.4 Технический уход за электрооборудованием
Технические уходы позволяют поддерживать парк электрооборудования в работоспособном состоянии. При технических уходах электрооборудование очищают, проверяют, регулируют, смазывают и заменяют некоторые недолговечные сменяемые части. Кроме того, определяют техническое состояние электрооборудования и при наличии неисправностей дают заключение о необходимости текущего или капитального ремонта.
Операции технического ухода проводят согласно заранее составленному графику через строго установленные периоды работы электрооборудования.
Максимальная эффективность технических уходов достигается в том случае, когда периодичность и номенклатура работ, выполняемых при каждом техническом уходе, в наибольшей степени соответствует конструктивным особенностям электрооборудования, его техническому состоянию, условиям эксплуатации и др.
Режим технических уходов, применяемый для средних условий эксплуатации, следует корректировать в каждом конкретном случае с учетом условий, в которых работает электрооборудование. Некачественное и несвоевременное проведение технических уходов снижает работоспособность электрооборудования, увеличивает расходы на проведение ремонтов и повышает себестоимость сельскохозяйственной продукции.
Особенно важное значение имеет проверка и наладка электрооборудования перед вводом в эксплуатацию, а также наблюдение за его техническим состоянием в первый период работы. Даже при самых высоких требованиях к испытаниям электрооборудования перед отправкой потребителю часть недостатков выявляют и устраняют в течение некоторого времени с начала его работы. В большой мере это относится к регулируемым параметрам электрооборудования.
При технических уходах по возможности должны быть выявлены все неисправности как механического, так и электрического происхождения. Причинами неисправностей также может быть нарушение регулировок.
Неисправности механического происхождения чаще всего возникают вследствие износа, ударов и деформации, коррозии и поломки деталей. Их обычно выявляют при осмотре и путем несложных измерений.
Неисправности электрического характера возникают вследствие пробоя изоляции, протекания токов коротких замыканий, действия электрической дуги, перенапряжений и др. Эти неисправности при технических уходах также выявляют в большинстве случаев внешним осмотром. Если конструкция электрической машины или аппарата не позволяет провести внешний осмотр, электрические неисправности определяют с помощью приборов (мегомметр, омметр и др.).
Технический уход за низковольтной аппаратурой
Низковольтную аппаратуру широко используют в сельском хозяйстве для управления, автоматизации и защиты электрифицированных машин, механизмов, установок и другого оборудования.
В связи с тем, что при проведении технических уходов можно визуально определить состояние основных деталей низковольтной аппаратуры и вовремя заметить и устранить дефекты, технические уходы являются очень важным элементом системы технического обслуживания магнитных пускателей, автоматических выключателей, реле и другой аппаратуры, обеспечивающей их бесперебойную работу.
Технический уход за внутренними электропроводками
При проведении технических уходов за электропроводками выполняют следующие работы.
1. В сухих помещениях волосяной щеткой очищают провода от пыли; в сырых помещениях пользуются влажным обтирочным материалом. Кабели, наружную часть труб с электропроводкой и корпуса ответвительных коробок очищают обтирочным материалом. Масляные пятна с трубопроводов удаляют обтирочным материалом, смоченным в бензине.
2. Очищают изоляторы обтирочным материалом, смоченным в 5%-ном растворе каустической соды.
3. Пошатыванием рукой проверяют надежность крепления труб, протяжных и ответвительных коробок, якорей, крюков, штырей, а также уголков, предохраняющих кабели и провода от механических повреждений. Ослабленные места укрепляют.
4. Осмотром убеждаются в целости изоляторов, а пошатыванием рукой – в надежности их крепления на крюках, якорях или штырях. Изоляторы, имеющие трещины или сколы, заменяют новыми. Сорванные с крюков или ослабленные изоляторы закрепляют пенькой, пропитанной протертым на олифе суриком.
5. Внимательно осматривают изоляцию проводов. Участки проводов, имеющие незначительные нарушения изоляции, изолируют наложением нескольких слоев хлопчатобумажной или полихлорвиниловой ленты. Участки проводов со значительными нарушениями изоляции заменяют новыми.
6. Проверяют натяжение проводов. Провода не должны сильно провисать и касаться строительных конструкций и технологического оборудования. Чрезмерное провисание проводов устраняют перетяжкой.
7. Вскрывают крышки ответвительных коробок и осматривают места соединения проводов. Соединения с пересохшей или обуглившейся изоляцией переизолируют полихлорвиниловой изоляционной лентой типа ПХЛ.
Перед изолированием в зависимости от вида соединения устраняют нарушение контакта зачисткой контактных поверхностей, подтягиванием резьбовых соединений, сваркой, пайкой и др.
8. Осмотром убеждаются в наличии металлического соединения между трубами и ответвительными коробками, а также заземляющим проводником. Ослабленные контакты подтягивают, а окислившиеся разбирают, зачищают до металлического блеска, смазывают техническим вазелином и собирают.
9. Проверяют состояние сальниковых уплотнений на вводах в ответвительные коробки. Ослабленные сальниковые уплотнения подтягивают.
10. При необходимости окрашивают крюки, якоря, штыри, трубы и ответвительные коробки.
11. В помещениях с нормальной средой один раз в два года, а в сырых, пыльных и пожароопасных помещениях раз в год мегомметром на 1000 В измеряют сопротивление изоляции проводок.
При измерении сопротивления изоляции отсоединяют от проводов все электрооборудование (электродвигатели, аппараты, установки и пр.), вынув предохранители, выключив рубильники, магнитные пускатели, автоматические выключатели и т.д.
7.5 Принцип расположения оборудования
При разработке расположения оборудования, необходимо чтобы приборы автоматики устанавливались в местах, удобных для монтажа и эксплуатации.
На схемеДП АТ061 К897 Э7 показано расположения оборудования в венткамере.
Щит управления устанавливают на стене венткамеры, а справа от него установлены узлы управления подачей теплоносителя и хладоносителя.
На приточной и вытяжной системах подвесного типа, показано расположение датчиков и исполнительных механизмов.
Кабельные проводки в венткамерах выполняются в пластмассовых кабельканалах или трубах, отводы кабелей к датчикам и к двигателям агрегатов заключить в гофрированный шланг.
7.6 Разработка компоновочной схемы щита
В соответствии с техническим заданием проектируемая система содержит элементы автоматики, установленные в щите управления и оконечные устройства управления и сбора информации, находящиеся непосредственно на самой установке приточно-вытяжной вентиляции. Конструкция щита должна позволять производить быструю замену входящих в его состав узлов с целью восстановления работоспособности. Так же необходимо обеспечить удобное расположение органов управления и визуального контроля, и учесть возможность транспортировки.
Щит удовлетворяет международной спецификации степени защиты IP65 (6 – полная защита от пыли, 5 – Защита от струй воды).
С целью возможности быстрой замены неисправного узла, крепление элементов осуществляется с помощью направляющих DIN-реек, на которые устанавливаются вспомогательные элементы, автоматы и контроллер.
Электрические соединения реализуется посредством проводов и клеммников.
Щит крепится на вертикальную поверхность, например, стену.
Общий вид разработанной конструкции щита приведён в графической части проекта.
8. Организационная часть
8.1 Техника безопасности при проведении технического обслуживания электрооборудования
Работы по техническому обслуживанию электроустановок должны проводить электромонтеры или электрослесари, которые прошли проверку знаний по технике безопасности и имеют соответствующую квалификационную группу.
Инженер-электрик или лицо, ответственное за технику безопасности, должны проводить инструктаж по безопасным методам работы в электротехнических установках при техническом обслуживании, обучать рабочих правилам безопасного пользования оборудованием, инструментом, приспособлениями, проверять техническое состояние оборудования, инструмента, приспособлений, защитных средств, следить за санитарным состоянием помещения участка текущего ремонта электрооборудования и передвижных электроремонтных мастерских.
При техническом обслуживании электрооборудования следует применять оборудование и инструмент, отвечающие требованиям техники безопасности и обеспечивающие безопасное проведение работ.
Все защитные средства должны быть проверены при приемке в эксплуатацию, а в дальнейшем проверяться через определенные промежутки времени согласно нормам.
Обычно технические уходы и текущие ремонты электрооборудования проводят при полностью снятом напряжении, т.е. электроустановка полностью отключена от сети. Если работы выполняют без наложения заземления, принимают меры, исключающие ошибочную подачу напряжения к месту работы персонала. Для этого снимают предохранители, прокладывают изоляционный материал между губками и ножами рубильников или между контактами автоматов, отсоединяют кабели и др.
На рукоятках выключающих аппаратов вешают плакаты: «Не включать – работают люди».
На электрооборудовании, отключенном для проведения технического ухода или текущего ремонта, после вывешивания предупреждающих плакатов проверяют отсутствие напряжения на всех фазах индикатором, вольтметром или контрольной лампой.
Под напряжением проводят работы по испытанию отремонтированных электрических машин и аппаратов только в случае, если этого требует технология проверки.
При проведении работ на электродвигателях, принимают меры к тому, чтобы двигатель не пришел во вращение со стороны приводимого механизма (например, насоса).
Запрещается работа в одежде с засученными рукавами или без рукавов. При работе с вращающимися контактными кольцами, коллектором и щетками рукава работающего должны быть плотно застегнуты у кисти, а на руки надеты диэлектрические перчатки.
При выполнении слесарных работ необходимо соблюдать следующие правила. Размеры ключей должны соответствовать отвинчиваемым гайкам. Запрещается применять прокладки между зевом ключа и гранью гайки, пользоваться зубилом и молотком при отвинчивании гаек, удлинять один ключ с помощью другого.
При разборке электрических машин и аппаратов необходимо пользоваться съемниками, обеспечивающими безопасность проведения работ. Перед работой необходимо осмотреть съемники и убедиться в отсутствии трещин, сорванной резьбы и пр.
При работе с электроинструментом его напряжение должно быть не выше 220 В при техническом обслуживании электрооборудования в помещениях без повышенной опасности и не выше 36 В в помещениях с повышенной опасностью и вне помещений. В особо опасных помещениях разрешается работать электроинструментом на напряжение не выше 36 В с обязательным применением защитных средств (диэлектрические перчатки, коврики и др.). При работе с электроинструментом напряжением 220 В применение защитных средств также обязательно.
Для местного освещения рабочих мест и ремонтируемого оборудования в помещениях с повышенной опасностью допускается применять переносные электрические светильники напряжением не выше 36 В. В помещениях особо опасных и при работе вне помещений допускается использовать переносные светильники напряжением не выше 12 В.
Все работы, проводимые при техническом обслуживании электрооборудования, следует выполнять в соответствии с Правилами техники безопасности при эксплуатации электроустановок потребителей.
9. Технико-экономическое обоснование АСУ приточно-вытяжной вентиляции офисного помещения
9.1 Обоснование проектной разработки
автоматизация вентиляция вытяжной регулирование
Целью данного дипломного проекта является разработка системы автоматического управления приточно-вытяжной вентиляции офисного помещения.
Применение систем кондиционирования воздуха и систем вентиляции с повышенными кратностями воздухообмена в зданиях научно-исследовательских или проектных институтов может быть экономически оправдано повышением производительности труда, снижением заболеваемости работников и сокращением текучести кадров.
Для работы системы вентиляции необходима система автоматизации, которая выполняет следующие функции:
· автоматическое регулирование параметров, определяющих технологический режим работы отдельных сооружений и их экономичность;
· автоматическое управление основными технологическими процессами в соответствии с заданным режимом, или по заданной программе;
· автоматический контроль основных параметров, характеризующих режим работы технологического оборудования и его состояние.
Контроллер системы поддерживает температуру приточного воздуха равной заданной. Так же контроллер обеспечивает экономию теплоносителя возвращаемого в теплосеть.
Для автоматизации сооружений с большим количеством объектов управления или технологических процессов с количеством логических операций свыше 20 целесообразно использовать микропроцессорные контроллеры вместо релейно-контактной аппаратуры.
Применение микропроцессорных контроллеров является прогрессивным направлением развития автоматики. Программное изделие представляет собой особый товар, имеющий ряд характерных черт и особенностей, в числе которых специфика труда по созданию программы и определение цены.
Контроллер «LOGO!» обеспечивает управление объектом или группой объектов, работающих независимо друг от друга или взаимосвязанных одной технологической системой, позволяет осуществлять логические зависимости программным путем без вмешательства в его устройство, а также менять программу в случае необходимости в процессе работы.
Финансирование разработки, монтажа и программирования системы осуществляется из средств заказчика.
Все работы по НИОКР выполняются в одном подразделении без привлечения сторонних специалистов.
Общее руководство разработкой осуществляет начальник отдела.
Организацию ОКР регламентирует ГОСТ 3.1102–92, следующие этапы ОКР:
1. Техническое задание.
2. Техническое предложение.
3. Эскизный проект.
4. Технический проект.
Систему автоматизации вентиляции планируется разрабатывать группой разработчиков.
9.2 Расчет фонда оплаты работающих
Таблица №9.2.1 – основная ЗП персонала занимающегося разработкой АСУ
| Этапы ОКР | Индекс события | Работы | Исполнители работ | Трудоемкость, чел./дн. | Численность | Должносной оклад | ФОТ |
| 1. Техническое задание | 1 | Определение основных параметров системы | 1.1 Начальник отдела | 5 | 1 | 12000 | 2727,2 |
| 1.2 Ведущий инженер | 5 | 1 | 10000 | 2272,73 | |||
| 2 | Разработка руководящих указаний | 2.1 Начальник отдела | 4 | 1 | 12000 | 2181,82 | |
| 3 | Разработка функциональной схемы | 3.1 Инженер 1 кат. | 5 | 1 | 8000 | 1818,18 | |
| Разработка принципиальной схемы | 3.2 Инженер 1 кат. | 6 | 1 | 8000 | 2181,82 | ||
Выбор основных конструкционных решений |
3.3 Ведущий инженер | 5 | 1 | 10000 | 3636,36 | ||
| 2. Техническое предложение | 1 | Проведение основных расчётов | 1.1 Инженер 1 кат. | 6 | 1 | 8000 | 1818,18 |
3. Эскизное проектирование |
1 | Разработка чертежей схем | 1.1 Инженер 1 кат. | 10 | 1 | 8000 | 954,55 |
| 2 | Оформление и защита эскизного проекта | 2.1 Инженер 1 кат. | 5 | 1 | 8000 | 1590,91 | |
| 3 | Корректировка Принципиальной схемы |
3.1 Инженер 2 кат. | 3 | 1 | 7000 | 727,27 | |
| 4 | Разработка блок-схемы программы управления | 4.1 Инженер 2 кат. (программист) |
5 | 1 | 7000 | 954,55 | |
4. Техническое Проектирование Итого: |
1 | Разработка монтажной схемы | 1.1 Инженер 1 кат. | 2 | 1 | 8000 | 727,27 |
| 1.2 Инженер 2 кат. | 3 | 1 | 7000 | 954,55 | |||
| 2 | Программирование микроконтроллера |
2.1 Инженер 2 кат. (программист) |
2 | 1 | 7000 | 954,55 | |
| 3 | Оформление и защита технического проекта | 3.1 Инженер 1 кат. | 3 | 1 | 8000 | 1090,91 | |
| 3.2 Инженер 2 кат. | 3 | 1 | 7000 | 954,55 | |||
| 4 | Разработка рабочих чертежей |
4.1 Инженер 1 кат. | 3 | 1 | 8000 | 1090,91 | |
| 4.2 Ведущий инженер | 2 | 1 | 10000 | 909,09 | |||
| Согласование применения агрегатов, комплектующих и их заказ | 4.3 Ведущий инженер | 2 | 1 | 10000 | 909,09 | ||
| 4.4 Инженер 1 кат. | 10 | 1 | 8000 | 3636,36 | |||
| 90 | 34863,64 |
Размер фонда оплаты труда разработчика АСУ рассчитываем по формуле:
ФОТ = ЗПпрям*(1+Кр/100), где
Кр – районный коэффициент, % (принимаем 15%)
ЗПпрям – прямая заработная плата, руб.;
Для этого найдем прямую заработную плату по формуле:
ЗПпрям = СР*Окл., где
СР – полный срок разработки системы автоматизации, дней;
Окл – оклад разработчика системы автоматизации, руб.;
Результаты занесем в таблицу №9.2.1.
Определение отчислений на социальные нужды (отчисления в пенсионный фонд РФ (20%), фонд социального страхования РФ (2,9%) и фонд обязательного медицинского страхования РФ (3,1%) по формуле:
Отч = ФОТ*От/100, где
От – общий размер отчислений, %
Отч = 34863,64*26/100 = 9064,54 руб.
Расчет накладных расходов, связанных с проектированием АСУ
Накладные расходы составляют 35% от начисленного ФОТ и рассчитываются по формуле:
Накл = ФОТ*0,35
Накл = 34863,64*0,35 = 12202,27 руб.
Определение предпроизводственных затрат по формуле:
Кпр = ФОТ + Отч + Накл
Кпр = 34863,64 + 9064,54 + 12202,27 = 56130,45 руб.
9.3 Расчет цеховых расходов
Таблица №9.3.1 - затраты на приобретение оборудования АСУ
| Назначение | Единица измерения | Цена за ед. (руб.) | Кол-во | Сумма (руб.) | |
| Автоматический выключатель 5SX23207 | шт. | 430 | 1 | 430 | |
| Автоматический выключатель 5SX21066 | шт. | 180 | 3 | 540 | |
| Автоматический выключатель 3RV10 11-DA1 | шт. | 640 | 2 | 1280 | |
| Контактор LOGO! Contact 24v 6EP1 | шт. | 480 | 4 | 1920 | |
| Блокпитания LOGO! Power 24v/4A | шт. | 4380 | 1 | 4380 | |
| Логический модуль LOGO! 24RC | шт. | 5037 | 1 | 5037 | |
| Модуль ввода-вывода DM16 | шт. | 4397 | 1 | 4397 | |
| Модуль аналоговых сигналов AM2Pt100 | шт. | 4029.26 | 1 | 4029.26 | |
| Модуль аналоговых выходов АМ2 AQ | шт. | 4135,78 | 1 | 4135,78 | |
| Переключатель 5ТЕ4705 | шт. | 47 | 2 | 94 | |
| Кнопка 5ТЕ4705 | шт. | 54 | 2 | 108 | |
| Лампа сигн. 5ТЕ5700 | шт. | 35,40 | 8 | 283,2 | |
| Клеммник 8WA1011 | шт. | 12 | 58 | 696 | |
| Бокс BGK1 052 | шт. | 1840,35 | 1 | 1840,35 | |
| Датчик QAC2010 | шт. | 287 | 3 | 861 | |
| Датчик QBM81.5 | шт. | 350 | 3 | 1050 | |
| Термостат RAK-TW.5000 | шт. | 1480 | 4 | 5920 | |
| Привод GMA126.1E | шт. | 1570 | 2 | 3140 | |
| Насос UPS 25–20 | шт. | 2150 | 2 | 4300 | |
| Клапан VXP45.20–4 | шт. | 875 | 2 | 1750 | |
| КабельКВВГ5x2.5 | м. | 43 | 25 | 1075 | |
| КабельКВВГ5x1.5 | м. | 39,50 | 150 | 5925 | |
| КабельКВВГ5x0.75 | м. | 35 | 200 | 7000 | |
| Итого: | 60191,59 | ||||
Расходы по материальному обеспечению приведены в таблице №9.3.1. и составили:
Смат= 60191,59 = 60191,59 руб.
Транспортно-заготовительные расходы составляют 15% от стоимости оборудования:
Стз= 0,15*61356,59 = 9203,49 руб.
Основная заработная плата производственных рабочих находится по формуле:
Роп = С*t, где
С – часовая тарифная ставка, соответствующая разряду выполняемой работы, руб.
t – время на выполнение операции, час.
Результаты расчетов заносим в таблицу №9.3.2
Таблица №9.3.2 – сводная ведомость определения расценки на создание АСУ
| Операция | Кол. чел. | Раз. | Часовая тарифная ставка, руб. | Время на операцию, час | Сдельная расценка, руб. |
| Монтаж электрооборудования: электромонтажники | 2 | 3 | 19,2 | 24 | 460,8 |
| 2 | 4 | 21,1 | 16 | 337,6 | |
| Итого: | 4 | 798,4 |
Расчет фонда премии ЗПпрем. (60% от ЗПпрям.)
ЗПпрем. = 798,4*0,6 = 479,04 руб.
Расчет фонда доплат ЗПдп. (8,3% от ЗПпрям.)
ЗПдп. = 798,4*0,083 = 66,27 руб.
Расчет фонда ЗП рабочих занятых монтажом оборудования находится по формуле:
ЗПосн. = (ЗПпрям.+ ЗПпрем. + ЗПдп.)*Кр, где
Кр – районный коэффициент – 1,15
ЗПосн. = (798,4 + 479,04 + 66,27)*1,15 = 1343,70 руб.
Дополнительную заработную плату электромонтажников находим по формуле:
ЗПдоп. = ЗПосн.*n\100, где
n – принятый на предприятии процент дополнительной ЗП. Принимаем 15%
ЗПдоп. = 1343,70*15\100 = 201,55 руб.
Размер отчислений в социальные фонды рассчитаем по формуле:
Отч = (ЗПосн. + ЗПдоп.)*Со\100, где
Со – размер отчислений, %
Отч = (1343,70 +201,55)*26\100 = 401,76 руб.
Определение общепроизводственных расходов по формуле:
ОпрР = ЗПосн.*Н\100, где
Н – принятый на предприятии процент общепроизводственных расходов. Принимаем 112%.
ОпрР = 1343,7*112\100 = 1504,94 руб.
Определение общехозяйственных расходов по формуле:
ОхозР = ЗПосн.*Y\100, где
Y– принятый на предприятии процент общепроизводственных расходов. Принимаем 85%.
ОхозР = 1343,7*85\100 = 1142,14 руб.
9.4 Расчет себестоимости объекта автоматизации
Определение оптовой цены Цопт по формуле:
Цопт = ΔК + П, где
ΔК – себестоимость изделия;
П – прибыль на единицу изделия;
Себестоимость изделия:
ΔК= 56130,45+60191,59+9203,49+1343,70+201,55+
+1504,94+1142,14=129717,86 руб.
Определим величину прибыли по формуле:
П=Рпр*Ссс\100, где
Рпр – рентабельность продукции, принимаем 30%.
П = 30*129717,86\100 = 38915,36 руб.
Цопт = 129717,86 + 38915,36 = 168633,22 руб.
Определение отпускной цены по формуле:
Цотп = Цопт +НДС, где
НДС = Сндс*Цопт\100, где
Сндс – ставка НДС, принимаем 18%.
НДС = 18*168633,22\100 = 30353,98 руб.
Цотп = 168633,22 + 30353,98 = 198987,20 руб.
9.5 Подсчет экономии за счет внедрения системы автоматизации
Экономия затрат в результате экономии электроэнергии: (ΔSпр)
ΔSэл = ΔЭэл*Сэл, где
ΔЭэл – экономия электроэнергии, кВт (500 кВт)
Сэл – стоимость 1 кВт*ч. электроэнергии (1,58 руб. –Постановление Государственного комитета Республики Башкортостан по тарифам от 30 декабря 2008 года №623 «Об установлении тарифов на электрическую энергию, поставляемую гарантирующим поставщиком на розничном рынке Республики Башкортостан в 2009 году)
ΔSэл = 500*1,58 = 770 руб.
Экономия по фонду заработной платы ремонтников вследствие сокращения времени на ремонты (ΔSзпр).
ΔSзпр=Сч*ΔТ*К1*Кр*Котч., где
Сч – часовая тарифная ставка рабочего;
ΔТ – снижение времени простоев по причине ремонта, 150 часов –
экономия времени на ремонт за счет автоматизации управления;
К1 – коэффициент, учитывающий премии и доплаты; принимаем 1,683
Кр – районный коэффициент;
Котч. – коэффициент учитывающий отчисления на социальные нужды
принимаем 1,26;
ΔSзпр = 21,1*150*1,683*1,15*1,26 = 7718,38
Экономия расходов на ЗП и отчислений на социальные нужды в результате увеличения нормы обслуживания и условного высвобождения рабочих
(ΔSзп)
ΔSзп = Сч*Др*ΔЧ*К1*Кр*Котч, где
ΔЧ – высвобождение рабочих, чел. (высвобождается 2 человека);
Др – годовой фонд рабочего времени рабочего, час (1960 час);
ΔSзп = 21,1*1960*2*1,683*1,15*1,26 = 201707,04
Определим экономию полученную в процессе внедрения АСУ по формуле:
ΔS = ΔSэл + ΔSзпр + ΔSзп
ΔS = 770 + 7718,38 + 201707,04 = 210195,42 руб.
Определение годового экономического эффекта, полученного от внедрения АСУ в производство определим по формуле:
Эг = ΔS – Ен*(ΔК + Кпр),
где Ен – нормативный коэффициент сравнительной эффективности капитальных вложений, принимаем 0,2.
Эг = 210195,42 – 0,2*(129717,86 + 56130,45) = 173025,76 руб.
Срок окупаемости капитальных вложений определим по формуле:
Тр = ΔК\ ΔS
Тр = 129717,86\ 210195,42 = 0,61 года
9.6 Анализ экономической эффективности разработки
Применение систем автоматизации для вентиляции и кондиционирования воздуха необходимо так, как её использование приводит к экономии энергоресурсов, защите двигателей от перегрева, защита теплообменника от замораживания. Расчеты, произведенные в экономической части дипломного проекта показывают, что в результате внедрения системы автоматизации годовой экономический эффект является положительным и составляет 173025,76 рублей.
По сравнению с аналогичными разработками проектируемая система имеет большую надёжность за счёт применения микроконтроллера фирмы Siemens LOGO!. Микроконтроллер LOGO! имеет возможность расширения количество входов и выходов, что позволяет при расширении процесса автоматизации не заменять оборудование, а перепрограммировать контроллер.
Это дает основание для вывода о том, что внедрение предлагаемой САУ с экономической точки зрения целесообразно. Окупаемость капитальных вложений составляет 0,61 года, что тоже соответствует условиям целесообразности внедрения.
Заключение
Разрабатываемая система автоматического управления приточно-вытяжной вентиляционной установкой подобна уже разработанным устройствам, основное отличие в том, что система была разработана на новом свободно программируемом контроллере пятого поколения LOGO!…0BA5 фирмы Siemens.
Можно отметить основные принципиальные отличия разрабатываемой системы от традиционно используемых на большинстве российских предприятий:
· Применение свободно программируемого контролера позволяет осуществить управление вентиляционной установкой в автоматическом режиме, отсюда следует, что заданные параметры, например поддержание установленной температуры в здании, будут поддерживаться значительно точнее, чем при ручном управлении;
· Применение свободно программируемого контролера позволяет в любой момент подключить новые системы, добавив, модули расширения или изменить работу системы по требованию заказчика;
· Использование в системе контроллера LOGO! позволяет вводить аналогичные системы, объединение их в единую систему и ввести диспетчеризацию по шине EIB;
· Применение автоматического управления позволяет не держать в штате предприятия лиц ответственных за поддержание комфортных условий для работников. Следовательно, уменьшаются эксплуатационные расходы и производственный риск, связанный с человеческим фактором;
· На комплектующие изделия вновь создаваемого устройства предприятие изготовитель SIEMENS даёт значительно больший гарантийный срок.
Применение данной системы экономически эффективно из-за невысокой стоимости комплекта автоматики (по сравнению с существующими предложениями), а также обеспечивается защита дорогостоящего оборудования. Это обеспечивает экономию на ремонт или замену оборудования.
Система обеспечивает защиту технического персонала от поражения электрическим током.
В дипломном проекте рассмотрены все вопросы, обозначенные в задании на дипломное проектирование, техническом задании и требований ГОСТ на разработку АСУ.
Были Разработаны:
· функциональная схема;
· схема электрическая принципиальная;
· коммутационная программа контроллера;
· схема внешних соединений;
· схема расположения оборудования в венткамере;
· схема компоновки щита управления.
Выбраны датчики, исполнительные механизмы, регулирующие клапана и устройства защиты.
Список литературы
1. Густав Олссон, Джангуидо Пиани «Цифровые системы автоматизации и управления. Издание третье, переработанное и дополненное». Санкт Петербург, Невский диалект, 2001
2. Кокорин О.Я. «Современные системы кондиционирования воздуха». – М.: Физматлит. 2003
3. Королев Г.В. «Электронные устройства автоматики. Издание второе, переработанное и дополненное». – М: Высшая школа, 1991
4. Под редакцией Богословского В.Н. «Отопление и вентиляция».-М: Стройиздат, 1976
5. Молчанов Б.С. «Проектирование промышленной вентиляции». – Ленинград, Стройиздат, 1970
6. Кузьмин М.С., Овчинников П.А. «Вытяжные и воздухораспределительные устройства». – М.:Стройиздат. 1987
7. «Справочник по теплоснабжению и вентиляции. Книга вторая.
Вентиляция и кондиционирование воздуха. Издание четвертое, переработанное и дополненное». – Киев, Будивельник, 1976
8. Токхейм Р. «Основы цифровой электроники». – М.: Мир, 1988
9. «Каталог Siemens FI 01. Контрольно-измерительные приборы», 2004
10. Зайцев Н.Л. «Экономика промышленного предприятия». – М.:Инфра-М, 1998.
11. Сергеев И.В. «Экономика предприятия». – М.: Финансы и статистика, 1997
Похожие рефераты:
Разработка автоматизированной системы управления установкой кондиционирования воздуха
Автоматизированная система управления климатом в тепличных хозяйствах
Диплом-Нейросетевая система для управления и диагностики штанговой глубинонасосной установкой
Автоматизация процесса поперечной резки электротехнической стали
Автоматическая система управления приточно-вытяжной вентиляции
Вентиляция промышленного здания ООО Буинского комбикормового завода
Испытательная станция турбовинтовых двигателей ТВ3–117 ВМА–СБМ1 серийного производства
Система управления узлом дегидрирования этилбензола
Модернизация двигателя мощностью 440 квт с целью повышения их технико-экономических показателей
Cистема Автоматизированного Управления процесса стерилизации биореактора
Автоматизация теплового пункта гражданского здания
Универсальная система управления маслонапорной установкой гидроэлектростанции
Исследование процесса технической эксплуатации топливных форсунок системы распределённого впрыска
Техническая диагностика средств вычислительной техники
Оборудование летательных аппаратов
Разработка системы оперативно-диспетчерского контроля и управления канала
Автоматизированная система управления компрессорной установки
