| Похожие рефераты | Скачать .docx |
Курсовая работа: Котел пищеварочный электрический
ФЕДЕРАЛЬНОЕ АГЕНТСТВО ПО ОБРАЗОВАНИЮ
МОСКОВСКИЙ ГОСУДАРСТВЕННЫЙ УНИВЕРСИТЕТ ТЕХНОЛОГИЙ И УПРАВЛЕНИЯ
Кафедра «Пищевые машины»
КУРСОВОЙ ПРОЕКТ
по дисциплине
«Оборудование предприятий общественного питания»
Тема Котел пищеварочный электрический
Специальное задание Разработать котел емкостью КПЭ-250
Москва, 2010 г.
Содержание курсового проекта
Введение
1. Обзор литературы по теме проекта
2. Технико-экономическое обоснование
3. Описание разрабатываемого пищеварочного котла
3.1 Назначение оборудования
3.2 Устройство котла
3.3 Принцип действия разрабатываемого пищеварочного котла
3.4 Технические характеристики
4. Расчетная часть
4.1 Конструктивный расчет
4.2 Теплотехнический расчет
4.3 Энергетический расчет
Заключение
Список используемой литературы
Введение
На предприятиях общественного питания пищеварочные котлы используются для основного способа варки, предназначены для варки бульонов, приготовления супов, каш, гарниров, сладких блюд, кипячения молока и других процессов.
Применяются котлы периодического действия, работа которых основана кипячении соответствующих продуктов в жидкой среде: воде, молоке или бульоне. Варка в жидкой среде основана на физико-химических превращениях веществ, входящих в состав продукта, которые протекают под воздействием теплоты и влаги, часто на закономерностях экстрагирования (извлечения) питательных веществ из твердой фазы в жидкую.
Пищеварочные котлы могут быть с непосредственным и косвенным обогревом. Широкое применение нашли котлы именно с косвенным обогревом через теплоноситель (водяной пар), так как в них получается блюдо и изделие лучшего качества (не подгорают), имеют высокий КПД, в них проще регулировать тепловой режим.
Основные технические требования, предъявляемые к конструкциям пищеварочных котлов, сводятся к получению высококачественного продукта с максимальным сохранением пищевых, минеральных, экстрактивных веществ и витаминов, при минимальных затратах теплоты и физического темпа обслуживающего персонала.
Пищеварочные котлы выпускаются: стационарные и передвижные, опрокидывающие и неопрокидывающиеся, на электрическом, газовом обогревах, реже на паровом и огневом обогреве. Гораздо широкое применение нашли на предприятиях общественного питания пищеварочные котлы на электрическом обогреве, так как они более безопасные в эксплуатации, имеют возможность регулирования теплового режима в широком диапазоне. Варочный сосуд котлов обычно имеют цилиндрическую форму с плоским, выгнутым или вогнутым днищем.
Пищеварочные котлы различают по емкости (от 40 до 250 литров), по мощности нагревательных элементов.
Характеристика процесса варки. Варочное оборудование широко используют не только в горячих цехах предприятий общественного питания, но и на предприятиях мясной, молочной и консервной промышленности. Варка — один из основных видов тепловой обработки пищевых продуктов. Это процесс гидротермической обработки, заключающийся в нагреве вещества в жидкой среде. Такой средой могут служить вода, бульон, молоко, соус, сок, сироп и влажный насыщенный пар.
Теплотехническая особенность процесса варки характеризуется ограничением температуры греющей среды, а, следовательно, и температуры поверхностного слоя продукта, температурой кипения жидкости, однозначно определяемой давлением в рабочем объеме аппарата.
Поскольку при варке продукт нагревается влажной средой, то даже при сколь угодно большом тепловом потоке исключаются перегрев поверхности продукта, а следовательно, и испарение влага. При этом создаются оптимальные условия для поверхностного нагрева пищевого продукта, так как влажный внутренний слой характеризуется максимальным коэффициентом теплопроводности.
Поскольку температуры поверхности продукта и греющей сред близки к температуре кипения, то перепад температур между ними невелик. Это обусловливает «мягкий» нагрев пищевого проекта, который в отличие от «жесткого» (при большом перепаде температур) обеспечивает минимальные тепловые разрушения исходного сырья высокую пищевую ценность кулинарного изделия.
При поверхностном нагреве пищевого продукта тепловой поток направлен к центру. В этом же направлении в начальный момент нагрева перемещается и влага (явление термо-влаго-проводности). Однако по мере прогрева в центральных слоях возникает избыточное давление, причиной которого являются сложные бионические реакции, связанные с денатурацией белков, разрушением коллагена, а также с испарением свободной влаги и изменениями структуры. В результате влага начинает перемещаются навстречу тепловому потоку: от центра к поверхности.изменениями структуры. В результате влага начинает перемещаются навстречу тепловому потоку: от центра к поверхности.
Вместе с влагой («соком») из продукта уносятся и ценные вещества — белки, жиры, углеводы, которые переходят в жидкую варочную среду и тем самым улучшают ее кулинарные свойства ц одновременно обедняют сам пищевой продукт.
Интенсивность процесса удаления из продукта ценных пищевых веществ пропорциональна разности концентраций этих веществ в жидкости и поверхностном слое. Это заставляет считать варку не только тепловым, но и сложным массообменным процессом.
От интенсивности энергоподвода, определяющей активность кипения греющей среды, часто зависит качество вареного изделия и, в первую очередь, получаемого бульона. Как правило, активное кипение, характеризующееся интенсивным парообразованием, ухудшает органолептические свойства бульонов главным образом вследствие активно протекающей в этом случае реакции эмульгирования пищевых жиров, переходящих в раствор.
В зависимости от того, в жидкой среде или во влажном паре нагревается пищевой продукт, получают вареное изделие с различными органолептическими свойствами.
Варка в большом объеме воды характеризуется более высокой разностью концентраций, чем варка на пару, так как в последнем случае при его конденсации на поверхности продукта образуется тончайшая конденсатная пленка, которая быстро насыщается выделяющимися веществами.
По этой причине варка на пару предопределяет меньшие потери массы продукта и более высокую пищевую ценность кулинарных изделий.
Повысить скорость варки практически можно, только увеличив температуру кипения, а, следовательно, и давление в рабочем объеме аппарата (принцип автоклавирования). Однако возрастание температуры еще в большей степени ускоряет термические разрушения продукта и, как правило, ухудшает качество изделия.
Варка ряда пищевых продуктов (каш, молочных и макаронных изделий) протекает в специфических условиях тепломассообмена. Это особенно ярко проявляется на примере варки каш. В этом случае нагреваемая среда представляет собой двухкомпонентную систему, состоящую из крупы и воды. Причем доля крупы в этой системе значительна, что заметно сдерживает перемещение греюшей воды. Кроме того, в процессе нагрева крупа набухает и поглошает значительное количество влаги. Влагоудерживающая способность крупы при этом увеличивается, увеличивается и доля крупы в двух компонентной системе по отношению к свободной влаге. Все это приводит к уменьшению скорости перемещения греющей среды как следствие, создает возможность неравномерного нагрева массы продукта по объему. Вблизи греющей стенки при большем темловом потоке скорость прогрева пристеночного слоя может превысить скорость перемещения влаги, что приводит к ее испарению в слое и его перегреву- создаются условия подгорания пищевого Продукта.
Чтобы исключить данный отрицательный результат, необходимо при варке ограничить перепад температур между греющей и нагреваемой средами в период кипения до 10... 12 °С и тем самым ограничить удельный тепловой поток через греющую поверхность, В рубашечных тепловых аппаратах это достигается тем, что давление в рубашке поддерживается на уровне, не более чем на 50 кПа, (0,5 атм) превышающем давление в рабочей камере. Это достигается путем установки на рубашке предохранительных клапанов, отрегулированных на указанный уровень давления.
Таким образом, избыточное давление пара в рубашках пищеварочных котлов, обеспечивающих варку пищи при давлении, близком к атмосферному, не превышает 50 кПа (0,5 атм), и абсолютное давление составляет 150 кПа (1,5 атм), а в автоклавах — 350...400 кПа (3,5...4,0 атм) в рубашках и 300...350 кПа (3,0...3,5 атм) в варочном сосуде.
1. Обзор литературы по теме проекта
Технический процесс приготовления пищи представляет собой совокупность операций, посредством которых сырье превращается в готовый продукт.
Одной из основных операций данного процесса является тепловая обработка продуктов, то есть доведение их до состояния кулинарной готовности, характеризующейся определенными для каждого вида продукта органолептическими показателями: консистенцией, вкусом, цветом, запахом.
Тепловая обработка продуктов производится в тепловых аппаратах, которые можно классифицировать по технологическому назначению, источникам тепла (видам энергоносителей), способу обогрева, принципу работы, степени автоматизации.
По технологическому назначению тепловые аппараты подразделяют на универсальные (плиты) и специализированные; последние в свою очередь на варочные (котлы, автоклавы, вакуум-аппараты и т.д.) и подсобные (мармиты, тепловые стойки, термосы).
По характеру источника тепла тепловые аппараты делятся на электрические, паровые, газовые, твердотопливные и жидко-топливные.
По способу обогрева различают контактные тепловые аппараты и аппараты, представляющие собой поверхностные теплообменники с непосредственным и косвенным обогревом. В контактных тепловых аппаратах нагрев обрабатываемого продукта происходит путем непосредственного соприкосновения с теплоносителем.В поверхностных теплообменных аппаратах с непосредственным обогревом только от греющей среды к нагреваемой передается через разделительную стенку, а в аппаратах с косвенным обогревом — через промежуточный теплоноситель.
a б
![]() |
![]() |
Рисунок 1. Принципиальные схемы огневых котлов с непосредственным обогревом стенки варочного сосуда: а — на твердом топливе; б — с газовым обогревом; / — варочный сосуд; 2 — крышка; 3 — тепловая изоляция; 4 — топочная камера; 5 — колосниковая решетка; 6 — дверца топки; 7 — зольниковая камера; 8 — зольниковый ящик; 9 — дымоотводящий канал; 10 — газовая горелка; 11 — направляющая стенка газохода
![]() |
а б
Рисунок 2. Принципиальные схемы котлов с косвенным обогревом стенки варочного сосуда: А— стационарных; Б— опрокидывающихся; 1 — варочный сосуд; 2 — паро водяная рубашка; 3 — откидные прижимные болты; 4 — клапан «турбинка».5 крышка; 6 — двойной предохранительный клапан; 7— манометр; 8 — заливочная воронка; 9 — штурвал поворотного червячного редуктора; 10 — станина; парогенератор; 12 — тепловая изоляция; 13— кран слива жидкости; 14— защитная сетка; 15 — кран для залива жидкости и выпуска воздуха
По принципу работы различают аппараты непрерывного действия, в которых загрузка, тепловая обработка и выгрузка продукта происходят одновременно, и периодического действия, в которых продукт последовательно загружается, подвергается тепловой обработке и разгружается.
По степени автоматизации аппараты подразделяются на неавтоматизированные, то есть такие, в которых контроль за безопасной работой и соблюдением режима тепловой обработки осуществляет обслуживающий персонал, полуавтоматизированные, в которых безопасная работа аппарата обеспечивается приборами автоматики, а режим тепловой обработки контролируется обслуживающим персоналом, и автоматизированные, в которых контроль за безопасной работой и соблюдением теплового режима работы осуществляется приборами автоматики.
Для варки соли, соусов, овощей, первых, вторых и сладких блюд применяю пищеварочные котлы.
В настоящее время на предприятиях общественного питания эксплуатируются пищеварочные котлы различных типов, отличающихся способом обогрева, вместимостью варочного сосуда и видом энергоносителей.
По способу установки пищеварочные котлы классифицируются на неопрокидывающие, опрокидывающие и со съемным варочным сосудом.
В настоящее время промышленность выпускает неопрокидывающие пищеварочные котлы, вместимостью варочного сосуда более 100 дм3 , а опрокидывающие пищеварочные котлы менее 100 дм3 . Пищеварочные котлы со съемочным варочным сосудом имеют вместимость менее 60 дм3 .
В зависимости от способа обогрева различают пищеварочные котлы с косвенным и непосредственным обогревом. Так котлы с непосредственным обогревом могут работать на твердом топливе, газе и электрическом обогреве.
Пищеварочные котлы с косвенным обогревом работают при помощи пароводяной рубашки, где в качестве промежуточного теплоносителя используется дистиллированная вода.
В зависимости от давления в варочном сосуде все котлы классифицируются на пищеварочные котлы, которые, работают атмосферном давлении, и автоклавы, работающие при повышенном давлении.
По геометрическим размерам варочного сосуда пищеварочные котлы классифицируются на немодулированные, секционные модулированные под функциональные емкости.
Немодулированные пищеварочные котлы имеют цилиндрическую форму варочного сосуда. Секционные модулированные котлы и котлы функциональные емкости имеют варочный сосуд в виде прямоугольного параллелепипеда.
В настоящее время промышленность выпускает варочные котлы твердотопливные, с электрическим, газовым и паровым обогревом.
Газовые пищеварочные котлы применяются для приготовления первых, вторых и третьих блюд. В настоящее время промышленность выпускает серийно стационарные (неопрокидывающие) котлы типа КПГ-КПГ-250, опрокидывающие КПГ-40М, КПГ-60М и опрокидывающие секционно-модулированные КПГСМ-60.
Вес газовые пищеварочные котлы имеют приборы газовой автоматики безопасности и регулирования. По принципу действия газовая автоматика бывает следующих видов: электромагнитная, дилатометрическая пневматическая.
Котел пищеварочный электрический опрокидывающий КПЭ-160 стоит из цилиндрического варочного сосуда, изготовленного из нержавеющей стали, наружного корпуса, покрытого теплоизоляцией и облицовкой. Образованное между ними пространство называется пароводяной рубашкой.
В нижней части наружного корпуса прикреплено съемное дно, в котором установлены три тэна и электрод «сухого хода». Корпус котла укреплен посредством двух цапф на чугунной вилкообразной станине и может поворачиваться вокруг горизонтальной оси.
На правой стороне станины расположен маховик червячного механизма для опрокидывания котла во время разгрузки варочного сосуда.
В арматурной стойке размещены предохранительный клапан с рычагом и конденсатосборником, электроконтактный манометр и воронка с краном. Кроме этого котел имеет автоматическую защиту тэнов от «сухого хода», исключающую возможность работы тэнов при недостаточном уровне воды в водяной рубашке котла. Предусмотрено автоматическое отключение тэнов от электросети при опрокидывании котла.
![]() |
![]() |
а б
Рисунок 3. Электрические пищеварочные котлы с косвенным обогревом и цилиндричес кой формой варочного сосуда: - а стационарные (КПЭ-100 ), б-опрокидывающийся (КПЭ-60)
2. Технико-экономическое обоснование
Пищеварочные котлы с непосредственным обогревом очень просты по устройству и эксплуатации, но имеют существенные недостатки: низкий КПД, очень сложно регулировать тепловой режим, так как теплообмен между теплоносителем и термически обрабатываемой средой происходит через разделительную стенку, поверхность которой является активной поверхностью нагрева, и поскольку температура пламени и топочных газов высокая, то возможно пригорание продуктов к дну варочного сосуда. Наиболее прогрессивным способом обогрева пищеварочных котлов является косвенный обогрев. При нем исключается возможность местного пригорания продуктов, а также достигается хорошая колеровка кулинарных изделий и экономия жира.
Твердотопливные пищеварочные котлы просты по конструкции и работают, как правило, на местном топливе. Но они имеют ряд недостатков:
1) из-за больших потерь тепла с отходящими газами они обладают низким КГЩ;
2) в процессе его эксплуатации трудно регулировать тепловой режим, поэтому высокая температура стенок котла приводит к пригоранию продуктов;
3) при использовании твердого топлива, особенно угля, очень трудно поддерживать надлежащие санитарно-гигиенические условия
4)для обслуживания такого оборудования требуются специальные работники;
5)необходимы транспортные средства для перевозки;
6)необходимы склады для хранения топлива;
7)повышенная по сравнению с другим оборудованием опасность пожара.
Газовые пищеварочные котлы по сравнению с твердотопливными имеют больший КГЩ, кроме тепла на предприятиях общественного питания позволяет автоматически регулировать степень нагрева аппаратов при приготовлении блюд, быстро включать и выключать тепловые аппараты, дает возможность децентрализовать технологический процесс приготовления пищи, широко внедрять автоматику в процессы производства и достаточно точно учитывать расход газообразного топлива при помощи газовых счетчиков.
Однако газ, как топливо обладает отрицательными свойствами. Основное из них — способность горючих газов к образованию взрывоопасной смеси с воздухом. Кроме того, некоторые компоненты искусственных газов, а также продукты неполного сгорания газов токсичны. Неправильная эксплуатация пищеварочных котлов с газовым обогревом может привести к пожарам и отравлениям.
По сравнению с другими котлами, наименьшая удельная металлоемкость, у котлов, работающих на паре (если сравнивать газовые, электрические, твердотопливные и паровые пищеварочные котлы одинаковой емкости). Но оборудование с паровым обогревом целесообразно использовать на промышленных предприятиях с котельными установками.
На предприятиях общественного питания широко применяются пищеварочные котлы с электрическим обогревом, так как этот вид энергии обладает рядом преимуществ по сравнению с другими видами энергии. К числу преимуществ относятся: сравнительно легкое преобразование электрической энергии в тепловую, быстрая и экономичная передача энергии на далекие расстояния, возможность точного учета, ее расхода, простота и надежность управления электротепловыми аппаратами, хорошие санитарно-гигиенические условия на производстве, относительно высокий КГЩ оборудования.
Так КГЩ твердотопливных тепловых аппаратов составляет 18-27%, газового оборудования около 40-70%, а электрических — около 50%. того применение газа в качестве источника
Пищеварочные котлы с электрическим обогревом обладают рядом существенных преимуществ, основными из которых являются:
1) быстрота включения и выхода на номинальную мощность;
2) возможность выделения большой тепловой мощности в малом объеме и достижения высокого уровня Температуры; простота регулирования температурного режима при высокой степени равномерности нагрева; возможность герметизации рабочего объема, а следовательно, создания в нем избыточного давления, вакуума или защитной атмосферы;
3) компактность электрических нагревателей; удобство механизации и автоматизации работы; улучшение условий труда; высокая экологическая чистота.
В качестве базовой модели принимается котел марки КПЭ - 60 с емкостью 60 л.
Предлагается разработать аналогичный котел с емкостью 250л.
3 . Описание разрабатываемого пищеварочного котла
3.1 Назначение оборудования
Котлы пищеварочные электрические КПЭ-250 широко применяются на предприятиях общественного питания.
Котлы пищеварочные электрические КПЭ-250 предназначены для приготовления первых, вторых и третьих блюд. Котлы данного типа относятся к стационарным неопрокидывающимся с негерметичной крышкой. Допускается эксплуатация их при температуре окружающего воздуха от 10° до 40°С.
3.2 Устройство котла
Разрабатываемый котел имеет вместимость варочного сосуда 160 литров. Форма корпуса прямоугольная.
Котел представляет собой сварную конструкцию, состоящую из цилиндрического варочного сосуда с вогнутым днищем, наружного котла, покрытого теплоизоляцией и облицовкой.
Замкнутое пространство между варочным сосудом и наружным котлом служит пароводяной рубашкой котла.
К дну наружного корпуса приварена стальная коробка прямоугольной формы — парогенератор, внутри которого находятся шесть тэнов, кран уровня воды и электрод защиты «сухого хода».
Сверху варочный сосуд котла закрывается откидной крышкой, имеющей пружинный противовес, облегчающий подъем и удержание ее в открытом положении. Плотное прилегание крышки к варочному сосуду обеспечивает резиновая теплостойкая прокладка, уложенная по кольцевому пазу.
Для слива жидкости из варочного сосуда установлен сливной края с сеткой. На котле установлена контрольно-измерительная и предохранительная арматура, которая служит для контроля и регулирует величину давления пара в пароводяной рубашке.
На котле установлены: электро-контактный манометр, края уровня, двойной предохранительный клапан и наполнительная воронка с запорным краном.
Манометр установлен для измерения давления в пароводяной рубашке котла. На котлах устанавливается электромагнитный манометр, с помощью которого можно автоматически устанавливать уровень давления в пароводяной рубашке и осуществлять управление тепловым режимом.
В таком манометре установлено три стрелки. Одна подвижная и две неподвижные, которые перемещаются при помощи специального ключа.
Подвижная стрелка постоянно показывает давление в пароводяной рубашке котла. Неподвижные стрелки перед началом работы устанавливаются на верхний и нижний предел давления пара в рубашке.
При включении парогенератора в работу, давление пара в пароводяной рубашке начинает возрастать, и при достижении верхнего заданного уровня давления подвижная стрелка совпадает с неподвижной, замыкаются их контакты, и котел автоматически переключается на 1/6 его мощности.
Давление в пароводяной рубашке начинает снижаться и при совпадении подвижной стрелки с нижней неподвижной, котел снова переключается на максимальную мощность. Таким образом, работа котла автоматически поддерживается в нужном заданном режиме работы.
Двойной предохранительный клапан состоит из двух клапанов — парового и вакуумного, — которые служат для аварийного сброса пара из пароводяной рубашки, когда давление возрастет свыше 0,05 МПА (0,5 кгс/см), и устранения разрежения в ней после окончания работы котла.
3.3 Принцип действия разрабатываемого пищеварочного котла
Рабочая камера обогревается паром, образующимся в парогенераторе: при подводе тепла вода в парогенераторе нагревается до кипения и превращается в пар. Пар поступает в пароводяную рубашку и конденсируется на стенках варочного сосуда, отдавая теплоту парообразования и нагревая их, и в виде конденсата стекает обратно в парогенератор.
При повышении давления в пароводяной рубашке котла сверх допустимой величины пар через паровой колпак начинает выходить в атмосферу. Вакуумный клапан открывается под давлением наружного воздуха, когда в рубашке образуется вакуум. Вакуум в рубашке котла образуется при охлаждении котла в результате конденсации пара, так как удельный объем пара больше удельного объема воды (конденсата).
Кран уровня устанавливается в парогенераторе котла и контролирует верхний уровень воды, а нижний уровень контролирует электрод «сухого хода».
Наполнительная воронка с запорным краном предназначена для заполнения парогенератора дистиллированной или кипяченой водой. Она установлена в верхней части котла и имеет фильтрующую сетку с крышкой.
К котлу подведен трубопровод горячего и холодного водоснабжения, которые соединяются в одну поворотную трубу, заканчивающуюся краном с патрубком.
Рядом с котлом на стене устанавливается станция управления, которая представляет собой металлический ящик, внутри которого размещены клеммный щиток, два магнитных пускателя, кнопки «Пуск» и «Стоп», сигнальные лампы, реле, плавкие предохранители, переключатель режима работы котла, тумблеры с надписью «Автоматическая работа» и «Разогрев».
Клеммный щиток служит для соединения всех приборов станции управления к электросети. Магнитные пускатели и кнопки включают и выключают тэны котла, а плавкие предохранители защищают электрические цепи от короткого замыкания. Сигнальные лампы служат для контроля подключения котла к электросети и режим его работы. С помощью тумблеров включают требуемый режим работы котла.
Котел работает в двух режимах. В первом режиме котел работает сначала на полной мощности, а затем после повышения давления в рубашке да заднего верхнего предела переключается на слабый нагрев (1/9 мощности). После понижения давления до нижнего заданного предела котел вновь включается на полную мощность. Во втором режиме котел работает на полной мощности до тех пор, пока давление в рубашке не достигнет верхнего заданного предела. После этого нагревательные элементы полностью отключаются. Доведение до готовности продукта осуществляется за счет аккумулированного тепла.
3.4 Технические характеристики пищеварочного котла КПЭ-250
| Параметры | КПЭ-250 |
| Полезная ёмкость в литрах | 160 |
| Продолжительность разогрева в мин. Не более | 55 |
| Потребляемая мощность кВт не более разогрев | 30 |
| варка | 5 |
| Рабочее давление в пароводяной рубашке МПа (кгс/см кв.) не более | 0,05(0,5) |
| Диаметр водопровода в дюймах | 1/2 |
| Габаритные размеры в мм | |
| Высота | 1100 |
| Ширина | 1120 |
| Длина | 1050 |
| Масса в кг. | 283 |
| Количество воды заливаемой в парогенератор | 12 л |
4. Расчетная часть
4.1 Конструктивный расчет
![]()
где V- объема варочного сосуда, мЗ
К - отношение высоты сосуда к диаметру по конструктивным
эксплуатационным соображениям. К = 0,3 - 1,2;
К1 - отношение высоты стрелки к диаметру варочного сосуда,
конструктивным и эксплуатационным соображениям К = 0,05 - 0,1.
Тогда высота варочного сосуда и высота стрелки определяются
формулам:

Где η зап - коэффициент заполнения варочного сосуда, η зап = 0,8 - 0,85;
Затем определяются конструктивные размеры наружного задавшись предварительно диаметром, который должен быть больше диаметра варочного сосуда на 0,1 м, рассчитывается толщена изоляций, определяется диаметр защитного кожуха, высота крышки котла и высота постамента котла. При этом учитывают, что для удобства обслуживания высота котла не должна превышать 1,2 м.
Принимаем:
давление в варочном сосуде - 0 кПа
Коэффициент заполнения варочного сосуда - 80 - 90% от объема(0,82)
Максимальное количество воды в варочном сосуде при принятом коэффициенте заполнения - 205 кг
Варочный сосуд цилиндрической формы с вогнутым дном (К= 0,8, К1 =0,05) выполнен из листовой нержавеющей стали толщиной - SBH = 2 мм Зазор между стенками варочного сосуда и наружного котла - SPy6 = 0,05 мм
Найдем высоту варочного сосуда по формуле:
0.743*0.08=0.594 м
Высота заполнения варочного сосуда определяется по формуле:
![]()
H вн= 0,82 (0,8+0,5*0,05)*0,743=0,503 м
Определяем размеры наружного котла, задавшись предварительно его диаметром, который должен быть больше диаметра варочного сосуда на 0,1 это необходимо ля того, чтобы между варочным сосудом и наружным котлом образовалось пространство, представляющее собой рубашку для промежуточного теплоносителя.
Варочный сосуд выполнен из листовой нержавеющей стали толщиной SBH= 2мм = 0,002м; наружный котел выполнен из углеродистой стали толщиной SH= Змм = 0,003м, зазор между стенками варочного сосуда и наружного котла равен Spy6 = 0,05 м.
Диаметр наружного котла Dн вычисляем по формуле:
DH = D вн +2*( S руб + S вн + S н ) = 0,743+2*( 0,005+0,002+0,003) = 0,853 м
Высота выпуклости наружного котла h равна:
H н = D н * К i = 0.853*0.05 = 0.043 м
Устанавливаем толщину изоляции стенок наружного котла, для чего предварительно определяем удельные потери тепла изолированным котлом qкоэффициент теплоотдачи а от наружной поверхности котла воздуху для плоской стенки, температуру стенки наружного котла принимаем равной температуре пара (при избыточном давлении 0,4 атм - 140 кПа, ts 109,3°С), температуру изолируемой стенки tkk = 60°С, так как температура на поверхности котла не должна превышать 60°С.
![]()
где tв - температура воздуха в помещении, tвоз = 20°С.
а = 9,1 А + 0,07 * (60 - 20) = 12,54 (Вт./(м2°С))
![]()
а=12,54 * (60 - 20) = 501,6 (Вт/м2 )
Теплоизоляционный материал — альфоль, гофрированная, ее коэффициент теплопроводности λ находим по таблице, он определяется по следующей формуле:
λ= 0,059 + 0,00026 * (ср, (Вт/(м2 °С))
![]()
tср = 0,5 * 109,3 + 60 = 87,7 °С
λ = 0,059 + 0,00026 * 84,7 = 0,081 Вт/(м2 °С)
Толщина изоляции Dк определяется по выражению: диаметр защитного кожух будет равен:
![]()
0,5 мм = 0,0005 м толщина листа кожуха, выполненного из листовой углеводородистой стали, покрытой светлой малью.
D =0.853+2*(0.008+0.0005)= 0.87 м
Учитывая, что для удобства обслуживания общая высота котла не должна превышать НобЩ <1,2 м, и принимая высоту сферической крышки Икр = Ьвн = 0,037м, определяем высоту постамента Нпост
Нпост = 1,2 – hвн – hн – hкр = 1,2-0,594-0,043-0,037 = 0,526 м
4.2 Теплотехнический расчет
Расчет теплового баланса котла
Расчет теплового баланса котла на электрообогреве соответственно для нестандартного и стационарного режимов работы производится по формуле:
![]()
![]()
где
- полезно используемое тепло, Дж;
-потери тепла в окружающую среду, Дж;
-потери тепла на разогрев конструкций, Дж.
Полезно используемое тепло определяется для нестационарного, а условно полезно используемое тепло для стационарных режимов работы соответственно по выражениям:
Q 1 = W C ( tk вод – t н вод ) + W * r
Q יּ 1 = Δ Wיּ * r
где W- максимальное количество воды в варочном сосуде при принятом коэффициенте заполнения г| зал = 0,82, кг;
С - теплоемкость воды, (Дж/(кг°С)), С = 4187 Дж/(кг °С)
( tн tk - соответственно начальная и конечная температура воды, °С; количество испарившейся воды, при нестационарном режиме работы котла
![]()
r- теплота теплообразования, кДж/кг.
Потери тепла ограждениями котла в окружающую среду рассчитываются для нестационарного и стационарного режимов работы по формуле:
![]()
где
- коэффициент теплоотдачи, Вт/(м" °С);
-площадь >го элемента поверхности аппарата, м2
-температура ^-го элемента поверхности аппарата, С;
т - время работы аппарата, с.
Потери тепла дном котла незначительны, и ими можно пренебречь.
Потери на разогрев конструкции рассчитывают по формуле:
![]()
где
- масса ] -го элемента аппарата,
- теплоемкость ^-го элемента аппарата, Дж/(кг °С);
- конечная и начальная температура соответственно >го аппарата, °С
Полезно используемое тепло при расчете пищеварочных котлов определяется из условий нагревания и кипения воды. Полезно используемое определяется для стационарного, а условно используемое тепло для стационарного режимов работы соответственно по выражениям:
Q 1 = W C ( tk вод – t н вод ) + W * r
Q j = Δ W * r
Где pвоз плотность воды, pвоз ~ 1 кг/д3 , при температуре tвод н = 20 °С; tвод к - температура кипения, tвод к = 100 °С
- для стационарного режима,
- для нестационарного;
![]()
г= 2257,5 кДж/кг - теплота парообразования.
= 205 * 4187 * (100 - 20) = 68,67 * 106
Дж;
= 2,05 * 2257,2 = 4,63 * 106
Дж
Потери тепла ограждениями котла в окружающую среду определяются нестационарного и стационарного режимов по формуле:
![]()
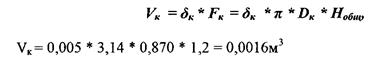
Поверхность стенок кожуха котла определяется как боковая поверхность цилиндра по выражению:
Fk =п*Dк *Hобщ
Рк = 3,14 * 0,8702 / 4 = 0,594 ( м2 )
Поверхность крышки и верхней горизонтальной поверхности котла определяется приблизительно как площадь круга:
Fкр =п*D2 кр /4
![]()
F кр = 3,14 * 0,8702/ 4 = 0,594 (м2)
Начальная температура ограждений принимается равной температуре воздуха в помещении 11К = 1вод= 20 °С
Коэффициент теплоотдачи, может быть, рассчитал по формуле:
а = 9,74 + 0,07* (I ср] - (воз), (Вт/м2°С) — для нестационарного режима,
а' = 9,74 + 0,07 * (I ку- - 1в03), (Вт/м2оС) — для стационарного режима,
![]()

Q 5 = [12,36 * 0,594 * (57,5 - 20) +11, 14 * (40-20) * 3,28]*3900 = 3,924 * 106
0'5= [14,99 * 0,594 * (95-20) + 12,54 * 3,28 * (40-20)]*3600 - 8,327 * 106 (Дж)
Потери тепла дном котла незначительны, и ими можно пренебречь.
Потерина разогрев конструкции определяются по выражению
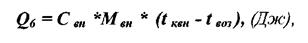
Потери тепла на разогрев варочного сосуда котла определяем по формуле:
где
- соответственно теплоемкость материала, масса,конечная температура варочного сосуда котла.

Объем варочного сосуда определяют по формуле:
Плотность материала, кг/м - 7800.
Масса варочного сосуда, кг –
![]()
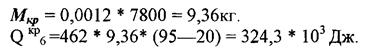
М вн = 0,0036 * 7800 = 28,08кг.
Конечная температура, X ш = 100°С.
Теплоемкость материала элемента, Дж/(кг°С) — 462.
Qвн6 = 462 * 28,08 * (100 - 20) = 1037,8 * 103 Дж
Потери котла на разогрев крышки определяем по формуле:
![]()
Где Скр, Мкр, tккр - соответственно теплоемкость материала, масса, конечная температура крышки котла.
Крышка котла изготовлена из нержавеющей стали.
Теплоемкость нержавеющей стали Сср = 462 Дж/(кг°С).
Плотность материала, кг/м3 - 7800. Конечная температура, °С X ккр = 95.
Вычислим объем крышки по формуле
![]()
![]()
![]()

Потери котла на разогрев наружного котла с парогенератором определяем по формуле:
![]()
где Сн, Мн, 1кн - соответственно теплоемкость материала, масса, конечная температура наружного котла с парогенератором. Наружный котел изготовлен из стали углеродистой.
Теплоемкость стали углеродистой Сн = 462 Дж /(кг°С).
Плотность материала, кг/м3 — 7800.
Конечная температура, 1н = 109,3 ~ ^
Вычислим объем наружного котла с парогенератором по формуле:

где Сиз, Миз, I киз - соответственно теплоемкость материала, масса,
конечная температура теплоизоляционной конструкции.
Материал элемента — асфоль.
Теплоемкость асфоли Сиз - 92 Дж/(кг°С).
Плотность асфоли, кг/м3 20
Конечная температура:
![]()
Вычислим объем теплоизоляционной конструкции по формуле:
![]()
V = 0,008 * [3,14 * (0,594 + 0,043) * (0,853 + 0,008)] = 0,0138 м3 .
Масса теплоизоляционной конструкции, кг
![]()
-Миз = 0,0138 * 20 = 0,276 кг.
(QИ36= 92 * 0,276 * (84,65 - 20) = 1,64 * 103 Дж
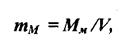
Потери тепла на разогрев кожуха котла определяем по формуле:
![]()
Где Ск, Мк, 1кк - соответственно теплоемкость материала, масса, конечная температура кожуха котла.
Материал кожуха котла - сталь углеродистая. Теплоемкость материала - 462 Дж/(кг°С). Плотность материала - 7800 г/м3.
Конечная температура: tкк =60°С.
Вычислим объем кожуха котла по формуле:


Потери тепла на воду в парогенераторе определяем по формуле:
![]()
где Св, Мв, 1кв - соответственно теплоемкость воды, масса, конечная температура воды в парогенераторе. Материал: вода.
Теплоемкость воды, Св = 4187 Дж/(кг°С).
Плотность воды - 1000 кг/м3.
Конечная температура: (3 = 109,3 °С.
Вычислим объем воды в парогенераторе по формуле:
![]()
Vв= 0,2* 0,2* 0,4 = 0,016м3
Масса воды в парогенераторе, кг - Мв = Ув *рв
Мв= 0,016 * 1000 = 16кг
Потери тепла на разогрев воды в парогенераторе:
Q в 6 = 4187 * 16 * (109,3 - 20) = 5982,38 * 103 Дж.
Потери тепла на разогрев каркаса и арматуры котла определяем по формуле:
![]()
где СКар,Мкар, (ккар - соответственно теплоемкость материала, масса, конечная температура каркаса и арматуры котла.
Материал элемента - сталь углеродистая.
Плотность материала - 7800 кг/м3.
Масса элемента: 250% от массы варочного сосуда,
то есть m = 28,08 * 250/ 100 = 70,2кг
Конечная температура: t кар = ( ts + tk )/2 = (109,3 + 60) / 2 = 84,65 °С
Теплоемкость материала - 462 Дж/(кг°С).
Qкар6 = 462 * 70,2 * (84,65 - 20) = 2096,75 * 103 Дж
Потери на разогрев конструкции составляют:
![]()
Q 6 =1037,8*103+324,3*103+2429,6*103+1,64*103+230,63*103+5982,38 * 103 + 2096,75 * 103 = 12103,1 * 103 Дж
Потери тепла на разогрев постаментане учитываются из-занезначительной величины.
Расход тепла на нестационарный и стационарный режим работы котла соответственно равен:
![]()
Q зат = 68,67 * 106 + 3,924 * 106 + 12,10 * 106 = 84,694 * 10б Дж
![]()
Q / зат =4,63 * 106 + 8,327 * 106 = 12,957 * 106 Дж
Расчет поверхности нагрева пищеварочного котла. Расчет необходимой площади нагрева пищеварочного котла определяется по формуле:
![]()
где Q – количество тепла, которое надо передать через поверхность нагрева в единицу времени, Вт/(Дж/с);
к - коэффициент теплоотдачи от теплоносителя к нагреваемой среде, Вт/(м2оС);
Δtсрлог - среднелогарифмическая разность температур, определяется по формуле:
![]()
где Δtб, Δtм - соответственно наибольшая и наименьшая разности между температурой теплоносителя и нагреваемой средой, °С.
Количество тепла, переданное через поверхность нагрева, равно:
![]()
ГдеQ-полезно-используемоетепло,Дж;
QВН6 - потери тепла на разогрев варочного сосуда, Дж;
QВН6 - потери тепла на разогрев крышки котла, Дж;
QВН6 - потери тепла кожухом котла в окружающую среду, Дж.
Потери тепла кожухом котла в окружающую среду определяют по формуле:
![]()
где ак, Рк, *кк - соответственно коэффициент теплоотдачи, площадь поверхности кожуха котла, конечная температура поверхности кожуха котла.
Q к 5 = 11,14 * 3,28 * (40 - 20) * 3900 = 2850 * 103 Дж.
Количество тепла, переданное через поверхность нагрева, равна:
Q = 68,67 * 106 + 1037,8 * 103 + 324,3 * 103 +2850,0 * 103 = 72,88 * 106 Дж.
Среднелогарифмическая разность температур равна:
Δtcp лог = (109,3 - 20) - (109,3 - 100))/ 2,31 g * ((109,3 - 20) /(109,3 - 100)) = 35°С.
Коэффициент теплопередачи для случая передачи тепла от конденсирующихся водяных паров к воде приблизительно равен К = 2900 Вт/(м2°С).
Необходимая поверхность нагрева будет равна:
F = 72,88 * 106/ (2900 * 3900 * 35) = 0,184м2
Фактическая поверхность нагрева рассчитывается о формуле:
![]()
F = 3,14 * 0,743 * 0,594+ 3,14 * 0,7432 / 4 = 1,819 м2,
то есть значительно больше необходимой.
Расход тепла на нестационарный и стационарный режимы работы котла соответственно равен:
Q 3aT = 84,694 * 106 Дж,
Q '3aT=12,957 * 106 Дж.
Коэффициент полезного действия котла при нестационарном режиме работы равен:
![]()
![]()
η= 68,67 * 10б/ 84,694 * 106 = 0,81 или81%
Удельные металлоемкости и расход тепла определяем по формулам
![]()
где, Мм - масса металлоконструкции аппарата, кг
где Мп - масса готового продукта или полуфабриката
![]()
Найдем массу постамента: она составляет 400% от массы варочного сосуда
Мпосг = 28,08 * 400 / 100 = 112,32 кг
Мм= 28,08 + 9,36 + 58,89 + 0,276 + 12,48 + 70,2 + 112,32 = 291,61кг .
Удельная металлоемкость равна
Мм = 291,61 /250 = 1,17 кг/дм3 .
Удельный расход тепла
Q = 84,694 * 106 / 205 =413,14 * 103 Дж/кг
Металлоемкость рассчитываемого аппарата ниже металлоемкости серийно выпускаемых аппаратов, что объясняется некоторыми упрощением его конструкции (одинарная крышка, отсутствие арматуры у варочного сосуда, меньшая масса противовеса крышки и т.д.).
Что касается удельного расхода электроэнергии, то он несколько выше ввиду низкого коэффициента заполнения котла (ηзап ~ 0,82), когда как для серийно выпускаемых аппаратов он принимается равным 0,9.
4.3 энергетический расчет
Мощность нагревательных элементов при нестационарном и стационарных режимах работы соответственно составит:

Р = 84,694 * 106 / 3900 = 21,72 * 103 Вт = 21,72 кВт
Р' = 12,957 * 106 / 3600 = 3,60 * 103 Вт = 3,60 кВт
Соотношение мощности котла при нестационарном и стационарном равно:
Р/Р' = 21,72/3,60
Учитывая мощность тэнов принимаем максимальную мощность Р = 24кВтминимальную Р' = 4 кВт. В этом случае время разогрева составит
Траз = 84,694 * 106/24 * 103 = 3529 ~ 59 мин
Электрические пищеварочные котлы присоединяются к трехфазной сети поэтому с точки зрения равномерной нагрузки фаз тэны целесообразно устанавливать в количестве, кратное трем.
Для рассчитываемого котла максимальную мощность Р целесообразно равной 24 кВт (при параллельно включенных шести тэнах по 4 кВт каждый), а минимальную Р' равной 4 Вт (два последовательно соединенных тэна, один тэн отключен). В этом случае соотношение мощности котла при нестационарном и стационарных режимах: Р/Р' = 24/4 = 6
Заключение
Темой курсового проекта было задание разработать котел электрический пищеварочный типа КПЭ полезной емкостью 250 л.
Разработанный пищеварочный котел с электрообогревом отвечает требованиям технологии приготовления пищи; обеспечивает тепловую обработку продуктов при минимальной затрате энергии, так как у него нет тепла в результате механического и химического недожога и с уходящими газами как у твердотопливных и газовых пищеварочных котлов, удельный расход тепла за счет относительно меньших потерь его в окружающую среду и на разогрев конструкции; обладает высокой степенью надежности, создает оптимальные условия работы для обслуживающего персонала, облегчает их труд; повышает качество приготовления пищи и обслуживания посетителей; повышает производительность и требованиям техники безопасности и производственной санитарии, обеспечивая безопасность обслуживающего персонала.
Список используемой литературы
1)Богданов Г.А. и др. Оборудование предприятий общественного Учебник для сред. проф.-техн. училищ / Г.А. Богданов, З.М. А.М. Богданова. — 3-е изд., перераб. — М.: Экономика, 1991. — 303
2)Гуляев В.А., Иваненко В.П., Исаев Н.И. и др. Оборудование предприятий торговли и общественного питания. Полный курс: Учебник / проф. В.А. Гуляева. — М.: Т4ВФРА, 2004. — 543 с.
3)Золин В.П. Технологическое оборудование предприятий общественного питания. — М.: 14РПО, Академия, 2000. — 256 с.
4) Литвина Л.С, Фролова З.С. Тепловое оборудование предприятий общественного питания: Учебник для мех.отделений техникумов. — 3-е изд, и доп. — М.: Экономика, 1980. — 248 с.
5)Лунин О.Г., Вельтищев В.Н., Калошин Ю.А. и др. Курсовое и дипломное проектирование. — М.: Пищевая промышленность, 1990.
6)Титова А.П., Шляхтина А.М. Торгово-технологическое оборудование: Учебник для технол. отделений техяикумов. — М.: Экономика, 1983.—296 с.
7)Щеглов Н.Г., Гайворонский К.Я. Технологическое оборудование предприятий общественного питания и торговли: Учебник для средних специальных учебных заведений. — М.: Издательский дом «деловая литература», 2001. — 480 с.
Похожие рефераты:
Оборудование предприятий общественного питания
Котел пищеварочный типа КПГСМ-250
Система автоматизации на котлоагрегатах
Разработка проекта молодежного кафе высшей категории на 85 посадочных мест
Универсальное тепловое оборудование
Проектирование электрического пищеварочного котла емкостью 250 дм3
Модернизация мини-колбасного цеха
Продвижение прогрессивных систем энергосбережения в Украине в сегменте (ТН) тепловых насосов
Разработка отварочной технологии производства пива
Разработка стратегии модернизации производства пива на малом предприятии
Технология пиролиза углеводородного сырья в трубчатых печах
Котел пищеварочный электрический КЭП-60
Извлечение сульфатного варочного раствора из отработанного варочного раствора




