| Скачать .docx |
Реферат: Сущность финансового рынка
БЕЛОРУССКИЙ ГОСУДАРСТВЕННЫЙ УНИВЕРСИТЕТ
Экономический факультет
Контрольная самостоятельная работа
по дисциплине «Монетарная политика»
Сущность финансового рынка
подготовила студентки 5 курса
группы «Финансы и кредит»
Богдан Дарья Владимировна
преподаватель
Лузгина Анастасия Николаевна
Минск, 2010
ВВЕДЕНИЕ
Категория финансового рынка имеет сложный, синтетический характер. Чтобы исследовать ее свойства, первоначально необходимо рассмотреть общую категорию рынка. Рынок можно трактовать двояко: в широком и узком смысле слова. Рынок в широком смысле слова есть система организации экономики, возникшая в результате естественного развития, эволюции экономических отношений. Иными словами, это «всеобщая форма взаимосвязи субъектов экономической деятельности, посредством которой реализуются переливы товаров, рабочей силы и капиталов в соответствии с изменениями их доходности в различных точках экономического пространства». Рынок в узком смысле слова – «место, где встречаются покупатель и продавец».
В нормально развивающейся рыночной экономике это понятия родственные, то есть рынок в широком смысле слова закономерно включает в себя рынок в узком смысле.
Финансовый рынок – сфера функционирования финансово-кредитного механизма. Финансовый рынок представляет собой организованную или неформальную систему торговли финансовыми инструментами. На этом рынке происходит обмен деньгами, предоставление кредита и мобилизация капитала. Основную роль здесь играют финансовые инструменты, направляющие потоки денежных средств от собственников к заемщикам. Товаром выступают деньги и ценные бумаги.
Финансовый рынок предназначен для установления непосредственных контактов между покупателями и продавцами финансовых ресурсов.
На практике сложилось понимание финансового рынка как трех взаимосвязанных сегментов:
1) рынок кредитов;
2) рынок ценных бумаг;
3) валютный рынок.
Место финансовых рынков в современной рыночной экономике трудно переоценить. Уровень производства, ВВП, инфляции, инвестиций в различные финансовые инструменты и основные фонды и т.д. - это взаимозависимые и взаимообуславливаемые экономические процессы.
Руководитель предприятия, принимающий решение направить свободные денежные средства на покупку дополнительного сырья или СКВ в расчете на дальнейшее их подорожание, создает предпосылки для изменения спроса на определенный вид товара, что, в свою очередь, может привести к повышению уровня цен и инфляции в целом. Покупка СКВ участниками рынка уменьшает золотовалютные резервы Центрального банка.
Инвестирование свободных денежных средств в новое оборудование, корпоративные или государственные ценные бумаги выразится в увеличении объемов инвестиций в основной капитал, росте стоимости акций и снижении доходности государственных ценных бумаг соответственно. Покупка предприятием нового оборудования позволит предпринимателю увеличить выпуск продукции, нарастить объемы продаж, создать дополнительное предложение товаров на рынке и новые рабочие места. Если данный продукт идет на экспорт, то при постоянном уровне импорта увеличатся золотовалютные резервы Центрального банка.
Инвестирование средств в корпоративные ценные бумаги вызовет рост цен на данный финансовый инструмент и увеличит капитализацию конкретных предприятий. За счет этого они смогут привлечь необходимые инвестиции и в конечном счете увеличить предложение своей продукции на рынке, а это - рост производства в целом и ВВП в частности.
Инвестирование финансовых ресурсов в государственные ценные бумаги снижает доходность по ним и ведет к общему удешевлению заемных средств в целом. Обслуживание государственного долга станет менее дорогим и государство получит реальную возможность больше средств направлять на социальные выплаты гражданам, что, в свою очередь, вызовет дополнительное потребление товаров и услуг с вытекающими отсюда положительными последствиями. Снижение доходности по государственным ценным бумагам участники рынка воспримут как сигнал снижения уровня инфляции в стране. Как следствие, многие инвестиционные средства переориентируются на производство товаров и услуг.
Снижение спроса на СКВ со стороны участников рынка, покупающих ее для сохранения покупательной способности инвестированного капитала, при неизменной величине экспорта и импорта, позволит Центральному банку пополнить золотовалютные резервы, что положительно оценят внешние инвесторы, и приведет к увеличению предложения СКВ на рынке.
Таким образом, ситуация на финансовых рынках может и положительно, и отрицательно влиять на развитие экономики страны. От степени развития финансового рынка во многом зависит ускорение или замедление темпов экономического развития.
Сущность финансового рынка
Для нормального развития экономики постоянно требуется мобилизация временно свободных денежных средств физических и юридических лиц, их распределение и перераспределение на коммерческой основе между различными секторами экономики.
Денежные средства могут быть вложены в производственную и торговую деятельность, в недвижимость, драгоценные металлы. С течением времени они могут принести прибыль, если правильно выбраны направления и условия, на которых вкладываются деньги как капитал. Прежде чем вложить капитал, его нужно накопить или откуда-нибудь получить. Такой сферой деятельности является финансовый рынок.
Следует различать рынки, куда можно только инвестировать капитал – первичные рынки, и финансовые рынки, где эти капиталы накапливаются и вкладываются, в конечном счете, в первичные рынки.
Финансовые рынки – это рынки посредников между первичными владельцами денежных средств и их конечными пользователями .
Привлечение денежных средств может осуществляться за счет внутренних и внешних источников. К внутренним источникам обычно относятся амортизационные отчисления и прибыль. Основными внешними источниками являются банковские ссуды и средства, полученные от выпуска ценных бумаг. В экономике преобладают внутренние источники, а внешние являются результатом их перераспределения. Свободные денежные средства могут быть инвестированы во многие сферы: производственную и другую хозяйственную деятельность, недвижимость, драгоценные металлы, иностранную валюту, пенсионные и страховые фонды, ценные бумаги, отданы в ссуду или положены под проценты на банковский депозит. Таким образом, финансовый рынок – одно из многих приложений свободных капиталов, и поэтому ему приходится конкурировать за их привлечение.
Финансовый рынок (рынок ссудных капиталов) – это механизм перераспределения капитала между кредиторами и заемщиками при помощи посредников на основе спроса и предложения на капитал. На практике представляет совокупность кредитно-финансовых институтов, направляющих поток денежных средств от собственников к заемщикам и обратно. Главная функция финансового рынка (рынка ссудных капиталов) состоит в трансформации бездействующих денежных средств в ссудный капитал. Финансовый рынок выступает в виде механизма перераспределения финансовых ресурсов предприятий и сбережений населения между субъектами хозяйствования и отраслями экономики, «связывания» части денежных средств, не обеспеченных потребительскими товарами, а также как средство покрытия дефицита государственного бюджета без денежной эмиссии.
Финансовый рынок состоит из системы рынков:
· валютного;
· ценных бумаг;
· ссудных капиталов или денежного;
· золота.
На валютном рынке совершаются валютные сделки через банки и другие кредитно-финансовые учреждения. Основу этого рынка составляют деньги. Валютный рынок обеспечивает механизм распределения и перераспределения денег между кредиторами и заемщиками при помощи посредников на основе спроса и предложения. Его главная функция – трансформация бездействующих денежных средств в ссудные средства.
На рынке золота совершаются наличные, оптовые и другие сделки с золотом.
На рынке капиталов аккумулируются и образуются долгосрочные капиталы и долговые обязательства. Он является основным видом финансового рынка в условиях рыночной экономики, с помощью которого компании изыскивают источники финансирования своей деятельности.
Рынок ценных бумаг – это рынок, где производятся операции с ценными бумагами.
Эти элементы финансового рынка находятся в тесном взаимодействии. Например, увеличение объема свободных денежных средств, находящихся у населения и предприятий, ведет к расширению рынков кредита и ценных бумаг. И, наоборот, выпуск ценных бумаг снижает потребность в финансировании народного хозяйства за счет кредитов и аккумулирует временно свободные денежные средства инвесторов. Взаимосвязь кредитного рынка и рынка ценных бумаг проявляется и в их секьюритизации. С одной стороны, кредиты принимают характеристики ценных бумаг, так как приносят доход и обращаются (т. е. покупаются и продаются), в результате чего увеличивается их мобильность и уменьшается кредитный риск (риск невозврата ссуды). С другой стороны, ценные бумаги (акции, облигации, векселя, чеки и т. д.) выступают как документы, подтверждающие долговые или долевые обязательства на кредитном рынке.
Финансовый рынок представляет собой организованную или неформальную систему торговли финансовыми инструментами. На этом рынке происходит обмен деньгами, предоставление кредита и мобилизация капитала. Основную роль здесь играют финансовые институты, направляющие потоки денежных средств от собственников к заемщикам. Товаром выступают собственно деньги и ценные бумаги. Как и любой рынок, финансовый рынок предназначен для установления непосредственных контактов между покупателями и продавцами финансовых ресурсов.
Финансовый рынок состоит из денежного рынка и рынка капиталов. Это обусловлено разным характером финансовых ресурсов, обслуживающих основной и оборотный капитал. На денежном рынке обращаются средства, обеспечивающие движение краткосрочных ссуд. На рынке капиталов же происходит движение долгосрочных накоплений.
Денежные рынки подразделяются на кредитные и валютные рынки . На кредитных рынках предприятия и банки могут получить краткосрочные ссуды. Предприятия обычно кредитуются в коммерческих банках. Сами банки привлекают краткосрочный капитал на рынке межбанковского кредита.
В основе кредитного рынка лежит экономический механизм, обеспечивающий перераспределение денежных средств (капиталов) путем предоставления владельцами их в ссуду на условиях платности, срочности и возвратности. Кредитор получает вознаграждение в виде процента на свой капитал, которое обычно зависит от суммы ссуды, сроков ее возврата, степени риска и т. д. Заемщик, используя предоставленные ему средства, стремится получить доход, достаточный для возврата суммы кредита, уплаты процента за предоставленный кредит и извлечения собственной прибыли.
В современных условиях хозяйствования различают разнообразные виды кредитов: банковский, государственный, коммерческий и т. д. в зависимости от того, кто выступает кредитором и на каких условиях кредит предоставляется.
Кредит играет важную роль в процессе формирования эффективной структуры производства, ускорении кругооборота производственных фондов, фондов обращения предприятий в целях сокращения продолжительности воспроизводственного цикла.
Кредит является также важным средством государственного регулирования экономики при проведении рыночных реформ.
В ходе перестройки экономики в Республике Беларусь Верховный Совет, Совет Министров, Министерство финансов, Национальный банк приняли ряд законов, постановлений, положений и т. д. по совершенствованию системы кредитования: Закон Республики Беларусь «О банках и банковской деятельности в Республике Беларусь», постановление Верховного Совета «О Национальном банке Республики Беларусь и банках на территории республики», «Временное Положение о банковском кредите», положение «О рыночной процентной ставке за кредиты», утвержденные Национальным банком Республики Беларусь, и др. На Национальный банк Республики Беларусь в соответствии с законодательством возложены основные функции кредитно-денежного регулирования. Посредством таких финансовых инструментов, как ставка рефинансирования, объем предоставляемых кредитов, установление льготных кредитных ставок, правил участия в кредитных аукционах и т. д., государство осуществляет регулирование кредитного рынка.
Законодательством Республики Беларусь оговариваются цели, на которые могут предоставляться кредиты. Так, банковские кредиты могут направляться на увеличение основного и оборотного капиталов хозяйствующих субъектов, накопление сезонных (временных) запасов товарно-материальных ценностей, незавершенного производства, готовой продукции и товаров, выкуп государственного имущества, удовлетворение потребительских нужд граждан, на другие цели при несоответствии поступлений и платежей в процессе кругооборота собственного капитала. Не допускается использование кредита на покрытие убытков и бесхозяйственности субъектов хозяйствования. Банки обязаны осуществлять постоянный контроль за целевым использованием кредита.
Общепризнанным в мире ориентиром цены на такого рода кредиты служит ставка предложения на Лондонском межбанковском рынке (LIBOR). Например, на 29 ноября 2010 года ставка LIBOR на кредиты, номинированные в долларах США, колебалась от 0,25 % по ссудам сроком на 1 месяц до 0,76% по кредитам длительностью в 1 год. А на кредиты, номинированные в евро, ставка LIBOR разнится от 0,81% на заем длительностью 1 месяц до 1,51% на ссуды сроком на 1 год. Аналогичная ставка (MIBOR) устанавливается на московском межбанковском кредитном рынке. На эту же дату размах ее колебаний по рублевым кредитам составлял от 3,55% по 1-недельному кредиту до 6,51% по ссудам сроком на 1 год. Ставка рефинансирования Национального банка Республики Беларусь на эту же дату равна 10,5% годовых. Как правило, данная ставка служит отправной точкой при определении цены кредита, получаемого предприятием в коммерческом банке. На сегодняшний день прослеживается тенденция к снижению процентных ставок по всем видам кредитов. По нельготным кредитам населению максимальная процентная ставка в феврале равнялась 25,8%, а в октябре уже снизилась до 18,5%: для юридических лиц- 13%, индивидуальных предпринимателей – 16,5%. Что касается кредитов на межбанковском рынке, то средняя ставка по кредиту в национальной валюте составляет 11,6%, а в СКВ – 0,9%.
К денежным рынкам могут быть отнесены также операции по покупке и продаже краткосрочных финансовых инструментов – векселей, казначейских обязательств и облигаций и подобных им ценных бумаг. Как правило, таким образом привлекают капитал правительства и крупные банки, для предприятий они служат инструментом краткосрочных финансовых вложений. Наиболее известным инструментом такого рода являются 3-х и 6-месячные векселя Казначейства США. По итогам аукциона 9 ноября 2010 года доходность 4-недельных векселей составила 0,125% годовых, а 52-недельных – 0,28% годовых. Белорусским аналогом этих ценных бумаг являются государственные краткосрочные облигации (ГКО РБ) и государственные долгосрочные облигации (ГДО РБ).
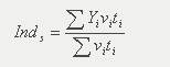
Методика расчета индикатора рыночного портфеля ГКО и ГДО [3]:

Yi – средневзвешенная доходность i–того выпуска к погашению;
vi – рыночная стоимость объема в обращении i–того выпуска;
ti – срок до погашения i–того выпуска.
На 19 ноября 2010 года индикатор по рыночному портфелю, содержащему ГКО, составляет 7,5% годовых, а ГДО – 8%.
Внутри финансового рынка функционирует фондовый рынок . На нем объектом торговли выступают ценные бумаги, ценность которых должна определяться стоящими за ними активами. Рынок ценных бумаг обслуживает как денежный рынок, так и рынок капиталов. Но ценные бумаги обслуживают лишь часть движения финансовых ресурсов (кроме них существуют еще внутрифирменные и межфирменные кредиты, прямые банковские ссуды и т.п.).
Таким образом, финансовый рынок состоит из двух частей – денежного рынка и рынка капиталов. Входящий же в его состав фондовый рынок является сегментом обоих этих рынков. Движение средств на финансовом рынке имеет направление от сберегателей к пользователям. Посредством финансового рынка может осуществляться перелив финансовых ресурсов из одних секторов экономики в другие. Всего выделяют 4 сектора:
1. домохозяйства;
2. коммерческие фирмы;
3. государственный сектор;
4. финансовые посредники.
Большая часть капитала домашних хозяйств формируется за счет собственных средств. Именно здесь образуется основной избыток финансовых средств, направляемый на финансирование коммерческих фирм, государства и размещается в финансовых институтах (инвестиционные фонды, банки и т.д.). Наибольшую потребность в финансовых средствах испытывает крупнейший сектор – государство. Оно является крупнейшим заемщиком на финансовом рынке, но также выступает как крупнейший кредитор домохозяйств, коммерческих фирм и финансовых посредников. Имеет место и внутрисекторное движение средств. Однако, эти денежные потоки «взаимопогашаются», т.к. в конечном итоге сумма сбережений (финансовых активов) равна сумме инвестиций (финансовым обязательствам).
По характеру движения ценных бумаг фондовый рынок делится на первичный и вторичный. На первичном продаются и покупаются ценные бумаги новых выпусков, а на вторичном обращаются (перепродаются) ранее выпущенные ценные бумаги. Именно на вторичном рынке, где свободно покупаются и продаются (обращаются) ранее размещенные ценные бумаги, осуществляется перелив капитала из одних отраслей народного хозяйства в другие, из одних акционерных обществ внутри отрасли в другие. Таким образом происходит формирование эффективной структуры экономики в целом.
По форме организации фондовый рынок подразделяется на организованный (биржевой) и перераспределенный (внебиржевой). Фондовая биржа — это организация с правом юридического лица, созданная для обеспечения профессиональным участникам рынка ценных бумаг необходимых условий для торговли ценными бумагами, определения их курса (рыночной цены) и его публикации для ознакомления всех заинтересованных лиц, регулирования деятельности участников рынка ценных бумаг. Согласно белорусскому законодательству членами фондовой биржи могут быть ее акционеры, являющиеся профессиональными участниками рынка ценных бумаг. Операции на фондовой бирже могут осуществляться только ее членами. На бирже проводятся котировки ценных бумаг — регулярные оценки специалистами курса покупателей и продавцов по всем видам ценных бумаг, которые проходят через биржу. Котировки показывают, по какой цене на данной бирже в данный момент можно купить или продать конкретные ценные бумаги. На основе этих цен в странах с рыночной экономикой определяются индексы биржевой активности. Самый известный из них — индекс Доу-Джонса на Нью-Йоркской фондовой бирже рассчитывается как средний показатель изменения курсов акций крупнейших компаний США (30 промышленных, 20 транспортных и 15 компаний, занимающихся газо- и электроснабжением). На бирже продается ограниченное число высоколиквидных ценных бумаг крупных и надежных компаний. Большинство же ценных бумаг продается на внебиржевом рынке, который представляет разветвленную сеть брокеров, дилеров, брокерских контор и т. д., обычно узкоспециализированных по конкретным видам ценных бумаг.
Институциональная структура рынка ценных бумаг определяет его участников:
· эмитентов (юридические лица, производящие выпуск ценных бумаг);
· инвесторов (индивидуальные и институциональные — банки, инвестиционные фонды, страховые компании и т.д.);
· посредников (брокеры, дилеры, фондовые биржи).
Предпосылками формирования рынка ценных бумаг являются наличие достаточного числа инвесторов и эмитентов, выпускающих ценные бумаги, достаточно развитой нормативно-законодательной базы, регламентирующей движение ценных бумаг и инфраструктуры, а также организация надзора за операциями с ценными бумагами.
Отношения, связанные с выпуском и обращением ценных бумаг, профессиональная деятельность на рынке ценных бумаг регулируются Законами Республики Беларусь «О ценных бумагах и фондовых биржах», «Об акционерных обществах, обществах с ограниченной ответственностью и обществах с дополнительной ответственностью», а также нормативными документами и законодательными актами Кабинета Министров, Национального банка, Государственной инспекции Республики Беларусь по ценным бумагам.
Развитие рынка ценных бумаг зависит от темпов приватизации, величины банковских учетных ставок, темпов инфляции и других макроэкономических факторов. Вложение временно свободных денежных средств в ценные бумаги привлекает инвесторов при достаточном разнообразии ценных бумаг на фондовом рынке возможности получения большего дохода, чем от хранения денег в банке, при условии, что доходность вложений в ценные бумаги выше темпов инфляции. Вкладывая средства в ценные бумаги, инвесторы стремятся обезопасить свои вложения, обеспечить их доходность и ликвидность. Эти задачи могут быть решены при диверсификации вложений, образующих портфель ценных бумаг. Диверсификация может осуществляться по видам ценных бумаг, отраслям экономики, регионам, сроку погашения и т. д. в целях сбалансированности портфеля ценных бумаг (оптимальном сочетании безопасности, доходности и ликвидности). Структура портфеля ценных бумаг инвестора должна регулярно пересматриваться. Это главным образом связано с изменениями инвестиционных целей и соотношениями между доходностью и рискованностью входящих в портфель ценных бумаг.
В настоящее время на фондовом рынке Республики Беларусь ощущается дефицит в высоколиквидных ценных бумагах (в первую очередь государственных). Не заняли должного места такие перспективные финансовые инструменты, как фьючерсы и опционы, не развита инфраструктура, недостаточно количество профессиональных участников рынка ценных бумаг (как институциональных, так и индивидуальных).
Вместе с тем развитие рынка ценных бумаг позволит решить ряд важных экономических проблем: формирование эффективной структуры производства, безынфляционное покрытие дефицита государственного бюджета, рыночное финансирование инвестиционных программ предприятий, страхование финансовых рисков инвестиций.
Исходя из важности рынка ценных бумаг, в современной рыночной экономике разработана «Программа развития рынка ценных бумаг в Республике Беларусь». Программа предусматривает совершенствование законодательной базы, развитие инфраструктуры рынка ценных бумаг, увеличение выпуска государственных ценных бумаг (в первую очередь краткосрочных облигаций и краткосрочных обязательств Национального банка), обеспечение условий выхода Республики Беларусь на международный фондовый рынок.
Заключение
Финансовый рынок — это совокупность экономических отношений, связанных с распределением финансовых ресурсов, куплей-продажей временно свободных денежных средств и ценных бумаг. Объектами отношений на финансовом рынке выступают денежно-кредитные ресурсы и ценные бумаги. Субъектами отношений являются государство, предприятия различных форм собственности, отдельные граждане.
На сегодняшний день важность и значимость финансового рынка заключается в тех функциях, который он выполняет. К ним относятся следующие:
- коммерческая функция, связанная с получением прибыли от операций на данном рынке;
- ценовая функция, при помощи которой обеспечивается процесс формирования рыночных цен, их постоянное движение и т.д.;
- информационная функция, на основе которой рынок производит и доводит до своих участников информацию об объектах торговли;
- регулирующая функция, связанная с созданием правил торговли и участия в ней, порядка разрешения споров между участниками, установлением приоритетов и образованием органов управления и контроля;
- инвестиционная функция, т. е. аккумулирование временно свободных денежных ресурсов, превращение их в инвестиции и направление на развитие перспективных отраслей экономики;
- перераспределение права собственности с помощью пакетов ценных бумаг, прежде всего акций;
- обслуживание государственного долга через развитый рынок государственных ценных бумаг;
- перераспределение финансовых рисков посредством операций хеджирования;
- повышение ликвидности различных долговых обязательств через их секьюритизацию;
- спекуляция.
Список использованных источников:
1. Коваленко Н.Н. Правовое регулирование рынка ценных бумаг в Республике Беларусь: учебное пособие в определениях и схемах / Н.Н. Коваленко. – М.: ООО «Новое знание», 2001. – 5 – 26с.
2. Белорусский финансовый портал. [Электронный ресурс]. Режим доступа: http://infobank.by/ . Дата доступа: 28.11.2010.
3. Официальный сайт Национального банка Республика Беларусь. [Электронный ресурс]. Режим доступа: http://nbrb.by/ . Дата доступа: 26.11.2010.
4. Официальный сайт агентства экономических новостей «Прам-тасс». [Электронный ресурс]. Режим доступа: http://www.prime-tass.ru/currency/rates_interest_history.asp . Дата доступа: 28.11.2010.
5. Официальный сайт американской газеты «The Wall Street Journal». [Электронный ресурс]. Режим доступа: http://wsjdn.wsj.com/ . Дата доступа: 27.11.2010.