| Похожие рефераты | Скачать .docx |
Дипломная работа: Организация ученического самоуправления в общеобразовательной школе
ГОУ ДПО Челябинский институт переподготовки
и повышения квалификации работников образования
Кафедра воспитания и дополнительного образования
Шишкова Лариса Николаевна
Организация ученического самоуправления
в общеобразовательной школе
Выпускная аттестационная работа на соискание квалификации
«Технология управления персоналом»
Научный руководитель:
кандидат педагогических наук, заведующий
кафедрой воспитания и дополнительного образования
А.В.Кисляков
Челябинск-2010
ОГЛАВЛЕНИЕ
Введение
Глава I. Теоретические основания организации ученического самоуправления в общеобразовательной школе
1.1. Организация ученического самоуправления в общеобразовательной школе как педагогическая проблема
1.2. Педагогическая система организации ученического самоуправления в общеобразовательной школе
1.3. Комплекс условий реализации педагогической системы организации ученического самоуправления в общеобразовательной школе
Выводы по первой главе
Глава II. Экспериментальная проверка эффективности функционирования педагогической системы организации ученического самоуправления в общеобразовательной школе
2.1. Общий замысел организации и осуществления экспериментальной работы
2.2. Методические аспекты организации ученического самоуправления в общеобразовательной школе
2.3. Анализ результатов экспериментальной работы
Выводы по второй главе
Заключение
Список использованной и цитируемой литературы
Приложения
ВВЕДЕНИЕ
Развитие ученического самоуправления входит в компетенцию органов образования в соответствии с Законом Российской Федерации «Об образовании» (ст. 50, п. 4). В соответствии с «Основными направлениями и планом действий по реализации программы развития воспитания в системе образования России на 2002—2004 годы», одобренными решением коллегии Министерства образования Российской Федерации от 25.12.2001 г., развитие самоуправления в общеобразовательном учреждении рассматривается в качестве одного из приоритетных направлений государственной политики в сфере воспитания. Однако во многих общеобразовательных учреждениях самоуправление до сих пор рассматривается как нечто второстепенное, необязательное для практического использования при организации жизни школы, несмотря на то, что в Уставе общеобразовательного учреждения, как правило, данное положение зафиксировано [37].
В последние годы ситуация несколько изменилась, во многих общеобразовательных учреждениях России успешно применяются различные формы самоуправления, действуют разнообразные модели ученического самоуправления, включенные в общую систему самоуправления школой.
Целью настоящего исследования является изучение форм самоуправления для дальнейшего внедрения в школьной практике.
Основное предназначение ученического самоуправления — удовлетворять индивидуальные потребности обучающихся, направленные, прежде всего на защиту их гражданских прав и интересов, участие в решении насущных проблем общеобразовательного учреждения. Участие обучающихся в ученическом самоуправлении способствует формированию более четкой и осознанной гражданской позиции и ценностного отношения к себе и другим; позволяет повысить социальную компетенцию; развивать социальные навыки поведения и установок на самостоятельное принятие решений в социальных проблемных ситуациях.
Самоуправление учащихся выражается в возможности самостоятельно проявлять инициативу, принимать решения и реализовывать их в интересах ученического коллектива. Как правило, самоуправление проявляется в планировании деятельности коллектива, организации этой деятельности, анализе своей работы, подведении итогов сделанного и принятии соответствующих решений [1].
В настоящее время в практике многих общеобразовательных учреждений под ученическим самоуправлением ошибочно подразумевается краткосрочная программа или разовое мероприятие, когда дети лишь «играют в демократию». Тогда как самоуправление и ученическое самоуправление в частности должны стать реалиями всего образовательного процесса, процесса управления, осуществляемых в общеобразовательном учреждении. Ученическое самоуправление открывает для миллионов школьников возможности проявить свои личностные способности, найти интересное дело, организовать его выполнение, принимая на себя персональную ответственность за его выполнение.
Кроме того, в современной школе ученическое самоуправление часто подменяется деятельностью детской общественной организации (объединения). Эти два вида детской активности настолько тесно срослись в сознании педагогов, что сегодня трудно отделить одно от другого. Изменение этого положения особенно актуально, когда в регионах появляются все новые и новые детские и молодежные общественные организации (объединения), которые реализуют свои программы в рамках одного и того же общеобразовательного учреждения.
На основании выше сказанного можно поставить для исследования следующие задачи :
1. Классифицировать ошибки и затруднения, создающие педагогические проблемы при создании ученического самоуправления, а также выявить причины их возникновения и рассмотреть пути их преодоления.
2. Определить функции педагогов общеобразовательного учреждения по развитию ученического самоуправления
3. Рассмотреть комплекс условий для реализации педагогической системы организации ученического самоуправления в общеобразовательной школе
4. Экспериментальная проверка эффективности функционирования педагогической системы организации ученического самоуправления в МОУ «Каменносанарская ООШ».
Целью школьного образования является адаптация молодого человека к существующей действительности общества, в котором будет протекать его дальнейшая жизнь. Наиболее эффективная система образования ориентирована на требования, предъявляемые обществом человеку. Современная жизнь требует от человека следующих качеств: умение учиться, умение выбирать, умение общаться. Именно такие качества способствуют самореализации человека в настоящей действительности.
Одна из задач школьной системы образования – подготовка детей к выполнению функций граждан демократического государства: воспитание умения защищать свои права и выполнять свои обязанности; воспитание политической культуры. Сегодня обществу требуются инициативные люди, умеющие самостоятельно принимать решения, достигать их, сознательно отвечать за их выполнение. Воспитанию таких качеств личности способствует организация школьного ученического самоуправления и его деятельность [5].
Глава I . Теоретические основания организации ученического самоуправления в общеобразовательной школе
1.1. Организация ученического самоуправления в общеобразовательной школе как педагогическая проблема
Затруднения – это различные проблемы (методические, психологические, материальные и т.д.), которые могут осложнять функционирование ученического самоуправления, не искажая его основной педагогической сути. Ошибки – это серьезные просчеты, которые приводят к искажению педагогической сути ученического самоуправления, к его деформации и отторжению как педагогическим, так и ученическим коллективом [33].
Классификация ошибок и затруднений, создающих педагогические проблемы, а также причины их возникновения и пути их преодоления:
1 Группа ошибок: Связанные с пониманием сути ученического самоуправления
1) Смешение организационных форм детской активности:
а) самоуправление детской общественной организации;
б) школьное ученическое самоуправление.
Причины: – Слабое знание Законов и нормативных актов;
– Прошлый опыт участия в деятельности общественных организаций.
Пути их решения: - Изучить требования Законов РФ и других нормативных актов;
- Подписать соглашение о партнерстве с детскими организациями, функционирующими в школе.
2) Подмена модели ученического самоуправления моделью воспитательной системы образовательного учреждения.
Причины: – Не способность или не желание педагогического коллектива выделить из всей системы воспитательной работы школы подсистему ученического самоуправления.
Пути их решения: - Обратить более серьезное внимание ученическому самоуправлению как самостоятельной воспитательной технологии.
3) Восприятие ученического самоуправления как игры, например, в "День дублера".
Причины: – Распространенный взгляд на игру как на несерьезное дело;
- Отсутствие готовности рассматривать ученическое самоуправление как серьезное и важное дело.
Пути их преодоления: - Использовать игровую модель "День дублера" как первый этап, например, для подготовки школьного ученического актива и отработки основных элементов реального самоуправления.
4) Изоляция органов ученического самоуправления от жизни остальных учащихся.
Причины:– Неверно составленные регламентирующие документы, определяющие компетентность и ответственность органов ученического самоуправления.
Пути их преодоления:- Изменить регламентирующие документы в части ответственности и отчетности органов самоуправления;
- Сделать более простым и "доступным" путь вхождения состав этих органов.
5) Абсолютизация принципа "Сначала делается то, что хотят дети".
Причины: – Стремление "заигрывать" с учениками, завоевать их доверие, для того, чтобы включить их в работу ученического самоуправления.
Пути их преодоления:- Включить в нормативные документы положения об ответственности органов самоуправления за состояние сферы их компетенции
6) Подмена ученического самоуправления системой коллективных творческих дел (КТД).
Причины:– "Узкий" взгляд на возможности ученического самоуправления;
- "Расширительное" толкование потенциала КДТ.
Пути их преодоления:Находить оптимальное сочетание этих двух педагогических технологий: УС и КТД, например, органично включая технологию КТД в работу органов ученического самоуправления.
7) Использование в структуре органов самоуправления правоохранительной системы, включая прокуратуру.
Причины: – Излишнее стремление использовать "карательные" функции ученического самоуправления в "воспитательных целях".
Пути их преодоления:Максимально осторожно использовать эту сферу государственного устройства, так как она регулируется реальным УК РФ и УПК РФ.
2 Группа ошибок Связанные с качеством модели самоуправления
1) Неточные, "размытые" формулировки цели и задач создания ученического самоуправления.
Причины:– Слабое представление о цели и задачах создания ученического самоуправления в данном общеобразовательном учреждении;
- Отсутствие навыков целеполагания.
Пути их преодоления:Получить квалифицированную консультацию у специалистов;
- Провести коллективный "мозговой штурм" для определения целей и задач создаваемого ученического самоуправления
2) Слабая проработка структуры ученического самоуправления, наличие лишних звеньев.
Причины: – Отсутствие четкости в представлениях о создаваемой структуре органов самоуправления;
- Отсутствие разграничения компетенции органов самоуправления и схемы их взаимодействия.
Пути их преодоления:- Использовать принцип "Нет министров без портфеля", то есть каждому органу самоуправления четкие полномочия и объем ответственности
3) Серьезные юридические "промахи" при составлении документов, регулирующих функционирование органов самоуправления.
Причины:– Низкая правовая грамотность при составлении документов, регулирующих функционирование органов самоуправления.
Пути их преодоления:-Внимательно изучить соответствующую нормативную базу;
- Получить квалифицированную консультацию у специалиста.
4) Чрезмерное увлечение масштабными моделями типа "Каждый класс - республика".
Причины:– Стремление соответствовать "моде"на использование государственной символики.
Пути их преодоления:- Вернуться к более "естественным" моделям организации самоуправления на уровне класса по типу местного самоуправления;
- Использовать данную модель в очень крупных школах, объединяя несколько классов или параллелей одной структурой самоуправления
5) Высокая степень "наукообразия" при описании модели ученического самоуправления.
Причины:– Стремление соответствовать задаваемым научно-методическим "стандартам";
- Желание иметь научное руководство, чтобы быть "не хуже других".
Пути их преодоления: - Используя научный потенциал и рекомендации консультантов, при описании своей авторской модели сохранять естественный язык и терминологию, понятную как педагогам, так и родителям и старшеклассникам.
3 Группа ошибок Связанные с функционированием ученического самоуправления
1) Отсутствие или низкое качество нормативной базы, регулирующей деятельность ученического самоуправления.
Причины:Непонимание необходимости и важности четкой нормативной базы, которая регулирует все основные вопросы, связанные с созданием, а в дальнейшем и функционированием ученического самоуправления.
- Пути их преодоления:Еще раз ознакомиться в требованием российского законодательства;
- Просмотреть Устав школы и внести необходимые изменения;
- Разработать и принять дополнительные локальные акты.
2) Отсутствие подготовки активистов и органов ученического самоуправления.
Причины: Недопонимание необходимости систематического обучения активистов самоуправления, подготовки "преемников".
Пути их преодоления: - Разработать и внедрить систему обучения активистов, которая обеспечить "преемственность поколений" ;
- Постоянно обновлять программы и методику обучения актива.
3) Слабая методическая подготовка педагогов.
Причины: – Пренебрежение этой сферой педагогической деятельности;
- Объективное отсутствие возможности повышения квалификации по этой тематике.
Пути их преодоления: -Сформировать методическое объединение организаторов и консультантов по ученическому самоуправлению;
- Организовать систематическое обучение педагогов в местном ИУУ или ИПК.
4) Отсутствие или недостаток необходимых "служебных" помещений, оргтехники, расходных материалов и т.д."
Причины: – Физическое отсутствие возможности выделить специальное помещение, или самой оргтехники и т.д.;
- Непонимание необходимости и важности создания определенных условий для работы ученического самоуправления.
Пути их преодоления: - Выделить (по возможности) специальное помещение или составить график использования определенного помещения для организации работы органов ученического самоуправления.
5) Отсутствие или недостаток специально отведенного времени
Причины:– Убеждение, что самоуправление не требует специально выделенного времени, действия по принципу "все само собой образуется".
4 Группа ошибок Связанные с отношением к ученическому самоуправлению
1) Изоляция органов ученического самоуправления от деятельности педагогического совета и родительского комитета школы.
Причины:– Замкнутость взрослых на своей профессиональной сфере.
Пути их преодоления: - Сформировать объединенные органы, где будут представлены и ученики, и педагоги, и родители;
- Проведение совместно подготовленных мероприятий.
2) Излишнее администрирование, контроль над органами ученического самоуправления.
Причины:– Четко выраженное недоверие к органам ученического самоуправления.
Пути их преодоления: - Четко прописать те сферы компетенции, где ученическое самоуправление может и должно быть полностью самостоятельным.
3) Игнорирование проблем ученического самоуправления со стороны взрослых
Причины: – Ложно понимаемое представление о необходимости "максимального невмешательства в деятельность органов ученического самоуправления".
Пути их преодоления:- Понять необходимость позиции "консультанта" и "помощника" и принять эту позицию по отношению к органам ученического самоуправления.
4) Практическое игнорирование возможностей родительской общественности.
Причины:– Отсутствие опыта привлечения родителей к работе в системе школьного самоуправления.
Пути их преодоления: - Не следует рассматривать родителей только в качестве источника дополнительного финансирования мероприятий ученического самоуправления;
- Найти формы их привлечения к содержанию работы ученического самоуправления.
5) Замкнутость деятельности ученического самоуправления на проблемах школы.
Причины:– Стремление "уйти" от внешних проблем, которые могут "помешать" благополучной жизни органов ученического самоуправления.
Пути их преодоления:-Найти потенциальных партнеров, в том числи и детские общественные организации, с которыми возможно проводить совместные мероприятия.
5 Группа ошибок Связанные с педагогическими стереотипами
1) Формализация внедрения ученического самоуправления
Причины: – Стремление "отчитаться" о том, что в школе, районе, в городе создано и успешно функционирует ученическое самоуправление.
Пути их преодоления:- Принудительно не ускорять процесс введения ученического самоуправления;
- Создавать благоприятные условия для "естественного" выращивания той или иной модели ученического самоуправления
2) Перенос профессионального стиля общения с урока на деятельность по самоуправлению
Причины– Не понимание (или сознательный отказ восприятия) природы ученического самоуправления как принципиального иного способа общения в системе "ребенок- взрослый".
Пути их преодоления:-Следует больше использовать формы и методы объяснения, убеждения, согласования, совместной деятельности.
3) Смещение акцента работы ученического самоуправления только на досуговую деятельность
Причины – Восприятие ученического самоуправления как команды КВН или группы массовиков-затейников.
Пути их преодоления: - Наделение органов ученического самоуправления более серьезными и четкими полномочиями, включая отдельные вопросы организации процесса обучения.
4) Изоляция ученического самоуправления от законотворчества, "поручение" только исполнения уже принятых планов
Причины – Восприятие ученического самоуправления как "исполнительного органа власти педагогов".
Пути их преодоления: - Вернуть органом ученического самоуправления неотъемлемые законодательные права.
5) Использование формальных выборов органов ученического самоуправления
Причины – Отсутствие механизмов демократических выборов и практического опыта их применения.
Пути их преодоления: - Разработать и ввести в действие реальные демократические процедуры выборов на всех уровнях от класса до всего общеобразовательного учреждения.
6) Включение педагогов в состав детских органов самоуправления
Причины – Стремление получить дополнительные механизмы контроля за деятельностью органов детского самоуправления.
Пути их преодоления: - Формировать детские органы самоуправления только из представителей детских коллективов
При организации самоуправления важны развитие активности всех членов ученического коллектива, возложение полномочий и смена лидеров. В школе должна быть создана обстановка, при которой каждый учащийся ощущает сопричастность к решению главных задач, стоящих перед педагогами и учащимися. Развитие самоуправления помогает им почувствовать всю сложность социальных отношений, сформировать социальную позицию, определить свои возможности в реализации лидерских функций.
Современный подход к пониманию сущности развития самоуправления предполагает создание условий для социального становленияучащихся, что обеспечивается включением их в решение сложных проблем взаимоотношений, складывающихся в коллективе. Через свое участие в решении проблем школьники вырабатывают у себя качества, необходимые для преодоления сложностей социальной жизни. От отношения детей к целямсовместной деятельности зависит их позиция в решении управленческих проблем.
Необходимо отметить, что типичной ошибкой педагогов — организаторов ученического самоуправления является такое взаимодействие с учащимися, когда педагог, поставив цель перед ученическим коллективом, как правило, стремится к тому, чтобы она обязательно была им принята. Добившись этого, он часто сам становится организатором ее реализации, выдвинув в качестве единственно возможного свой вариант ее достижения. Самоуправление же развивается только тогда, когда учащиеся оказываются в ситуации выбора и сами определяют пути решения поставленной проблемы. Именно принятие решения является ключевым для формирования мотива группового действия. Подведение итогов, групповая рефлексия позволяют подвести учащихся к новой цели совместной деятельности, при этом на последующих этапах с каждым циклом они все самостоятельнее определяют цель, реализуемую впоследствии детским коллективом.
Самоуправление может развиваться практически во всех видах деятельности учащихся. Оно развивается быстрее там, где более ярко выражена сфера их интересов. Проявления самоуправления могут быть самыми разнообразными, но всех их должно объединять одно: деятельностныйподходк структуре органов управления. Сначала надо увлечь учащихся каким-либо общественно значимым делом, а затем создать соответствующий орган самоуправления для его организации. Таким образом, появляется новый участок работы — образуется новый орган самоуправления.
1.2. Педагогическая система организации ученического самоуправления в общеобразовательной школе
Функции педагогов общеобразовательного учреждения по развитию ученического самоуправления
Развитие ученического самоуправления в общеобразовательном учреждении в огромной степени зависит от директора и его заместителей. Их заинтересованность, уважительное отношение к органам самоуправления, их представителям, понимание важности их многообразия, умение найти компромиссное решение, материальная и моральная поддержка педагогов, обучающихся и родителей, активно включенных в самоуправление, - все это является важным условием создания в школе эффективной системы самоуправления, где реальную роль играют все участники образовательного процесса [33].
Директор общеобразовательного учрежденияотвечает за разработку стратегии воспитательного процесса, включая деятельность ученического самоуправления. Кроме того, директор регулирует процессы создания правовой базы и материально-технического обеспечения функционирования ученического самоуправления.
Заместитель директора по воспитательной работепринимает активное участие в разработке концепции и программы развития ученического самоуправления, занимается вопросами методического обеспечения и обучения актива школьников. Очень важно, чтобы заместитель директора сотрудничал с классными руководителями, выбирая вместе с ними подходящий вариант самоуправления в каждом классе, его соответствие общешкольной модели. Кроме того, в его компетенцию входит консультирование органов ученического самоуправления по всему кругу вопросов.
Педагог-организаторзанимается практическими вопросами, поддерживая органы ученического самоуправления как на уровне общеобразовательного учреждения, так и на уровне первичных коллективов. Это один из важнейших специалистов, непосредственно реализующих воспитательные программы различной направленности в общеобразовательном учреждении. В его функционал, как правило, входит координирование деятельности детских и молодежных общественных объединений, действующих в общеобразовательном учреждении, их взаимодействие с ученическим самоуправлением.
Классный руководитель, который имеет возможность хорошо изучить интересы обучающихся, найти путь индивидуальной поддержки каждого, преодолеть те проблемы, которые возникают в коллективе класса, также призван внести вклад в создание условий для развития ученического самоуправления. Такой педагог, обладающий серьезными социально-психологическими знаниями, способен оказать поддержку своим коллегам в реализации принципов самоуправления в различных сферах школьной жизни (организация досуга, спорт, СМИ и т. д.)
Педагог-психолог призван сыграть особую роль в развитии ученического самоуправления. Благодаря своим профессиональным знаниям, он может помочь выявить лидерские, организаторские способности детей, организовать постоянно действующую систему психологической поддержки активистов самоуправления; консультировать классных руководителей, педагогов и администрацию по различным проблемам, возникающим в процессе организации ученического самоуправления.
Учитель-предметниктакже может внести свой вклад в развитие ученического самоуправления, консультируя школьников по профилю своего предмета, например, во время подготовки очередного мероприятия, проводимого силами актива обучающихся (викторина, олимпиада, конкурс и т. п.), при подготовке нормативных актов. При желании он может привнести образовательные элементы, содержательно связанные с ученическим самоуправлением, в проведение конкретных уроков. Учителя обществознания, истории и права имеют возможность проработать вопрос о включении проблем, связанных с самоуправлением, в учебные курсы. Кроме того, учитель имеет возможность непосредственно включиться в самоуправление общеобразовательного учреждения в качестве обычного участника.
Таким образом, в эффективной системе самоуправления общеобразовательным учреждением, одной из задач которого является активизация ученического самоуправления, участвует в той или иной степени почти весь педагогический коллектив.
Для создания органов самоуправлениянеобходимо:
1.Найти сферы полезной для школы и значимой для учеников школьной деятельности.
2.Сделать их эмоционально насыщенными и интересными.
3.Предоставить педагогическую поддержку и помощь. Педагоги должны поделиться реальной школьной властью с учениками, т. е. делегировать полномочия.
Детям можно отдавать следующие области школьной жизни:
1.Досуг. Школьные вечера, дискотеки, праздники, коллективные творческие дела и т. д.
2.Деятельность гражданско-патриотической направленности: клубы, пресс-конференции, встречи с политиками и другими интересными людьми.
3.Деятельность школьной прессы: газеты, радио, школьное телевидение, реклама.
4.Спорт и спортивные мероприятия.
5.Трудовая деятельность: дежурство, генеральные уборки, ремонт помещений, мебели, работа на пришкольной территории и т. д.
6.Производственная деятельность: труд на земле, в теплицах, на школьных животноводческих фермах (контроль над заработанными средствами, доходами, распределением, стимулированием и т. д.).
7.Производственно-коммерческая деятельность: в школьных мастерских с организацией и выполнением заказов населения по ремонту бытовой техники, изготовлению рам, дверей, наличников и т. д.
8.Шефская работа с престарелыми, больными людьми, ветеранами
войны и труда.
9.Ремонт, уборка школьных помещений, территории, самообслуживание в столовой.
10. Реальное участие в работе педсоветов, конференций, родительских комитетов и т. д.
Учить самоуправлению — значит создавать коллективную перспективу и планировать пути ее реализации, учить каждого оценивать результаты этой деятельности и вырабатывать общую оценку. Это значит учить ребят видеть в каждом человеке личность, которая по-своему реагирует на действительность, имеет свои индивидуальные вкусы и потребности и рассчитывает на внимательное и бережное отношение. Для решения этих задач могут быть использованы ролевые игры: «День дублера», «День самоуправления в школе» и др.
Для педагога-организатора важно постоянно отслеживать, как развивается самоуправление в классах и школе. Для этого можно провести опрос учащихся по предлагаемой в приложении 3 методике. Предложенные в данной методике вопросы соответствуют функциям детского самоуправления и критериям развития его в ученических коллективах.
В работе с детьми по организации ученического самоуправления важны: существо дела, позиция учителя, реальные полномочия учащихся. Ученическое самоуправление есть там, где школьники ощущают себя хозяевами школы, ответственными за происходящие в ней события, где они проявляют инициативу и творчество в совершенствовании собственной жизни, стремятся к лучшей ее организации, где каждому есть дело до каждого. Ввести в школе самоуправление — значит поставить всех детей в позицию организаторов школьной жизни, чтобы они чувствовали себя хозяевами и действовали как хозяева. При этом установить правильное соотношение педагогического руководства, самоуправления, саморегуляции и соуправления в процессе педагогического управления, добиться их оптимального соотношения, установить связь межу ними — главная задача управления школой.
Важной особенностью деятельности педагога-организатора, классных руководителей и педагогов является обеспечение детей и молодежи возможностью участия в разнообразных видах деятельности, которые соответствуют их интересам и склонностям, а также предоставление им социальных и моральных гарантий на развитие задатков, способностей, талантов, дарований.
Не менее важным специфическим направлением являются защита личной ценности и достоинства воспитанников, ограждение их от авторитаризма, унижений и оскорблений. Нужно создать в учреждении благоприятную и комфортную для ребенка атмосферу, отслеживать, чтобы права детей соответствовали их обязанностям, а практическая роль школьника соответствовала его статусу.
1.3. Комплекс условий реализации педагогической системы организации ученического самоуправления в общеобразовательной школе
Условия развития ученического самоуправления
Развитие ученического самоуправления в общеобразовательном учреждении зависит от успешности решения целого ряда задач организационного, кадрового, программно-методического, социально-психологического характера.
Организационные условиясостоят в том, чтобы самоуправление в школе функционировало на всех четырех уровнях (индивидуальный, первичный коллектив, коллективы школы и общешкольные органы). Прежде всего, для этого необходимо проанализировать социально-педагогическую ситуацию, в которой работает данное учреждение, выяснить интересы и потребности детей и их родителей. Важно также учесть особенности школы, ее профиль, основные задачи, которые она призвана решать, а также сложившиеся традиции, материально-технические и кадровые возможности [2].
Кадровые условия— возможность профессионального роста педагогов в сфере самоуправления. Проведение семинаров, курсов, педагогических дискуссий по наиболее значимым проблемам самоуправления и ученического самоуправления в частности должно быть организовано в рамках продуманной системы и направлено на совершенствование педагогического мастерства работников общеобразовательного учреждения, на их самообразование и желание сотрудничества с коллегами, участвующими в процессах самоуправления.
Необходимо в течение учебного года и в период летних каникул при поддержке педагогов, психологов, родителей и других» специалистов обучать активистов ученического самоуправления. Весьма благоприятные условия для подготовки актива ученического самоуправления создаются во время летнего отдыха обучающихся на базе загородных лагерей и городских площадок. Целесообразно для обучения шире использовать опыт и базу всероссийских детских центров «Орленок» и «Океан» в рамках регионального взаимодействия.
Программно-методические условия. Развитие ученического самоуправления невозможно без серьезного программно-методического обеспечения этого вида деятельности на всех уровнях.
Цели и задачи программно-методических документов должны отражать общую стратегию развития, основные принципы педагогической деятельности, главные содержательные линии работы по развитию ученического самоуправления. Это весьма серьезная задача, решение которой может быть рассчитано на несколько лет под руководством наиболее квалифицированных педагогов российской школы и других специалистов (методистов, преподавателей профессиональных образовательных учреждений, научных сотрудников).
Программы обучения навыкам организации самоуправления должны содержать разные уровни сложности и позволять педагогу найти оптимальный вариант работы с той или иной группой активистов или с отдельным ребенком. Они также должны быть открытыми для внесения определенных изменений с учетом конкретных педагогических задач, отличаться содержательностью, вариативностью, гибкостью использования.
Возможен отдельный курс в программе «Граждановедение», где рассматривались бы вопросы местного самоуправления, или специальный курс по основам местного самоуправления, который может послужить серьезной теоретической основой для организации грамотной модели самоуправления общеобразовательного учреждения с соблюдением всех положений и требований современного российского законодательства.
Социально-психологические условия.Администрации общеобразовательного учреждения рекомендуется вести систематическую разъяснительную работу среди тех педагогов, кто выражает сомнение или явное недовольство развитием ученического самоуправления. Не рекомендуется вводить эту воспитательную программу насильно или искусственно, так как педагогический коллектив должен «созреть» до понимания необходимости тесного взаимодействия с обучающимися, и прежде всего на уровне тех органов ученического самоуправления, которые могут грамотно и настойчиво отстаивать и защищать права всех школьников.
Недопустимо отношение к данному виду педагогической деятельности как к «второсортной». Директор, его заместитель по воспитательной работе должны постоянно поддерживать и поощрять тех педагогов, кто ведет исследовательскую работу, активно делится своим опытом, помогает коллегам, работает над повышением эффективности системы самоуправления.
Желательно моральное и материальное поощрение педагогов, детей и родителей, активно участвующих в самоуправлении. Об их вкладе в общее дело коллектива должны знать все участники образовательного процесса.
Для развития ученического самоуправления целесообразно шире использовать возможности школьных СМИ (школьные стенгазеты, радио и т. д.), а также современные компьютерные технологии, возможности всемирной сети Интернет.
Необходимо активнее привлекать к организации выборов органов ученического самоуправления специалистов местных и региональных избирательных комиссий, работающих по программе Центризбиркома «Правовая культура молодого избирателя».
В число организационных условий можно включить и постоянную работу над совершенствованием нормативно-правовой базы, необходимой для развития ученического самоуправления.
Выводы по первой главе
Школа – наш второй дом. Школа для всех жителей республики одна, и всем должно быть в ней уютно, комфортно, каждый обитатель этого большого дома должен чувствовать свою значимость, свою, хоть самую небольшую роль в установлении порядка, в организации свободного времени – в общем, ощущать свою востребованность. Вообще, быть успешным, занимать активную жизненную позицию, уметь жить, сосуществовать, общаться, обладать толерантным сознанием – не та ли это цель, которую ставят перед собой воспитательные системы всех школ? Детские годы – это определенный жизненный этап, когда закладываются и формируются важнейшие качества характера. Поэтому именно на школу возлагается особая обязанность – воспитывать истинного гражданина своей страны, порядочного человека, всесторонне развитой личности.
Школа – большой коллектив, а детям естественно жить в коллективе, коллективно решать свои проблемы, организовывать свой досуг. Наша цель – показать ребенку, чем неорганизованная группа людей отличается от коллектива, члены которого связаны друг с другом товарищескими отношениями, отношениями делового сотрудничества, взаимной помощи и доброжелательности. В развитии таких отношений важную роль играет школьное самоуправление. Объединить коллектив, сформировать организацию с органами школьного самоуправления – вот наша задача.
В данном проекте будет описана та модель школьного самоуправления, которая функционирует на данный момент в нашей школе. Может быть, в ней еще много недодуманного, требующего пересмотра, корректировки, но ведь мы только в начале своего пути к идеалу, у нас еще все впереди, ведь не стыдно не знать, стыдно не хотеть знать. Постараемся не допустить, тех ошибок, описание которых приведено выше. Мы хотим знать, как можно работать лучше, поэтому верим, что самосовершенствование нас выведет на верный путь.
Глава II . Экспериментальная проверка эффективности функционирования педагогической системы организации ученического самоуправления в общеобразовательной школе
2.1 Общий замысел организации и осуществления экспериментальной работы
Основные этапы реализации развития ученического самоуправления
I этап- 2005-2006 г. (диагностический) - изучение общественного мнения о возможной модели ученического самоуправления и пути её разработки; диагностирование внутришкольного пространства отношений.
II этап-2006-2007 г. (проектный) - разработка (совершенствование) модели самоуправления с учётом предложений членов школьного коллектива;
III этап-2007-2008 г. (этап поддержки) – утверждение, оценка разработанной модели и формирование на её основе органов ученического самоуправления;
IV этап-2008-2009 г. (практический) – подготовка актива к реализации и совершенствованию модели ученического самоуправления в школе.
V этап – 2009-2010 г. (обобщающий)– обработка и интерпретация данных за 5 лет; соотношение результатов реализации программы с поставленными целями и задачами; представление результатов на конференции.
Первый этап предполагал:
1) Постановку вопросов об ученическом самоуправлении на заседаниях методических объединений педагогов школы, педагогических советах, совещаниях классных руководителей, учителей-предметников, родительских и ученических собраниях.
2) Подготовку специальных методических выставок по проблеме ученического самоуправления.
3) Изучение передового опыта по самоуправлению.
4) Использование различных форм изучения общественного мнения педагогов, учащихся, родителей по разработке модели или путей совершенствования ученического самоуправления: дискуссий, проблемных столов, деловых игр, конкурсов на лучшее предложение, анкетирование.
Вопрос об ученическом самоуправлении в нашей школе стоял давно. Создание органов самоуправления обсуждалось на заседаниях методических объединений педагогов школы, педагогических советах, совещаниях классных руководителей, учителей-предметников, родительских и ученических собраниях.
На первом этапе работы над созданием органов самоуправления в нашей школе мы образовали инициативную группу, куда вошли педагоги, представители родителей. Вокруг инициативной группы педагогов и родителей объединились учащиеся.
По отношению к стремлению заниматься в школе общественной деятельностью учащиеся разделились на три группы:
тех, кто хотел бы заниматься - 60 %;
тех, кто не хотел бы - 10 %;
и ещё не определились в этом вопросе - 30%.
Было проведено анкетирование среди учащихся. В числе прочих были такие вопросы:
- «Что такое самоуправление?»
- «Для чего нужно самоуправление?»
Вот такие получены ответы;
- Это когда мы сами всем классом решаем свои школьные проблемы, только советуясь с классным руководителем или педагогом-организатором.
- Это такая организация нашей жизни, когда ребята сами решают о необходимости проведения того или иного мероприятия.
- Это здорово! Это значит, что к моему мнению прислушиваются, что мой «голос» может оказаться решающим при принятии какого-либо решения.
- Для того чтобы мы могли сами принимать решения, активно участвовать в жизни класса.
- Для того чтобы быть похожими на взрослых, чтобы хоть чуть-чуть понять их заботы и проблемы.
- Участвуя в самоуправлении класса, школы, мы привыкаем к взрослой жизни, понимая, какие нас дальше ждут проблемы.
- Участвуя в организации жизни класса и школы, поневоле становишься более организованным, собранным, самостоятельным
- Самоуправление приучает к ответственности.
Таким образом, мы пришли к выводу, что большинство наших учеников имеют потребность в реализации своей социальной активности через участие в органах самоуправления.
Второй этап:
1) Анализ и обобщение собранных предложений в ходе изучения общественного мнения.
2) Формирование творческой группы для разработки конкретных документов, определяющих структуру и содержание деятельности органов ученического самоуправления в школе.
3) Включение в разработку конкретных документов учащихся, родителей, педагогов.
На втором этапе работы были собраны, проанализированы и обобщены все предложения по созданию органов ученического самоуправления. Учащиеся предлагали создать и Школьную республику, и Школьный парламент, но мы остановились на системе школьного самоуправления «Лидер». Затем была сформирована творческая группа, которая занялась разработкой конкретных документов, определяющих структуру и содержание деятельности органов ученического самоуправления в нашей школе. В эту группу вошли не только члены педагогического коллектива, но и родители, учащиеся, а также представители общественности. На этом этапе были разработаны:
· Положение об общешкольной конференции (приложение 1)
· Положение о Совете школы (приложение 2)
· Положение об ученическом Совете учащихся (приложение3)
· Паспорт ученического самоуправления
Третий этап:
1) Обсуждение разработанной модели ученического самоуправления и документов, определяющее содержание их деятельности в педагогическом, родительском и ученическом коллективах.
2) Сбор творческой группой предложений и практических замечаний по совершенствованию разработанных документов.
3) Организация экспертной оценки разработанных документов.
4) Выборы органов ученического самоуправления.
Прошло обсуждение модели ученического самоуправления во всех коллективах нашей школы: педагогическом, родительском и ученическом.
Четвёртый этап:
1) Подготовка выборного ученического актива к организаторской работе в органах самоуправления.
2) Проведения школ актива.
3) Составление памяток работы актива и подразделений органов ученического самоуправления.
3) Проведение членами творческой группы консультаций для актива.
4)Вооружение актива методикой самообразовательной деятельности.
Пятый этап:
1)Обобщается опыт работы ученического самоуправления,
2)Разрабатываются рекомендации, проводятся научно-практические конференции,
3)Оформляется и описывается опыт работы по формированию органов самоуправления в школе.
2.2 Методические аспекты организации ученического самоуправления в общеобразовательной школе
Развитие ученического самоуправления невозможно без серьезного программно-методического обеспечения этого вида деятельности на всех уровнях.
Цели и задачи программно-методических документов должны отражать общую стратегию развития, основные принципы педагогической деятельности, главные содержательные линии работы по развитию ученического самоуправления. Это весьма серьезная задача, решение которой может быть рассчитано на несколько лет под руководством наиболее квалифицированных педагогов российской школы и других специалистов (методистов, преподавателей профессиональных образовательных учреждений, научных сотрудников).
На втором этапе внедрения в практику школьного самоуправления были разработаны основные методические документы, первым из которых являлся паспорт ученического самоуправления
ПАСПОРТ
ученического самоуправления общеобразовательного учреждения
МОУ «Каменносанарская ООШ»
1. Полное название формы ученического самоуправления
Ученический Совет «Лидер»
2. Ученическое самоуправление работает непрерывно с 2005 года
3. Количество классов, включенных в систему ученического самоуправления - 5 (среднее звено 5-9 классы)
4. Документы, регламентирующие деятельность органов ученического самоуправления:
1) Положение об Ученическом Совете, регламентирующее деятельность органов ученического самоуправления. Принято на Конференции 18 сентября 2004 года учащимися, педколлективом и администрацией.
2) Устав муниципального общеобразовательного учреждения «Каменносанарская основная общеобразовательная школа», принят 10.10.1995год.
3) Приложение к Уставу МОУ «Каменносанарская основная общеобразовательная школа», приняты 20.05.2006г. и 26.10.2008г.
4) Положение о Совете школы, принято 30.10.2005года
5. Существование и деятельность органов ученического самоуправления отражены в Уставе учебного учреждения.
Выписка из Устава школы;
п 5.3 «Высшим органом самоуправления Школы является Конференция обучающихся, педагогических работников. родителей (законных представителей)… Конференция проводится не реже 1 раза в год… Делегатами на конференцию избираются:
· от родителей 10человек,
· от работников школы 10человек,
· от обучающихся - по 3 человека от класса.
5.4 Управляющий совет Школы ( Совет) – коллегиальный орган, созданный для реализации принципа государственно-общественного характера управления образованием и наделённый полномочиями в соответствии с настоящим Уставом» [39].
5.4.1. В состав Совета избираются:
· 3 представителя родителей
· 3 представителя обучающихся 2-й ступени обучения (7-9классы)
· 3 представитя от родителей
6. Цели и задачи органов ученического самоуправления;
Выписка из Положения об Ученическом Совете Школы:
«Цель деятельности Ученического Совета:
Формирование активной жизненной позиции, развитие лидерских качествшкольников, социальной ответственности
Задачи:
· вовлечение учащихся в активную школьную жизнь через организацию различных видов деятельности;
· развитие творческой индивидуальности учащихся;
· воспитание у учащихся уважительного отношения к членам коллектива, укрепление сферы дружеских отношений;
· защита прав учащихся»
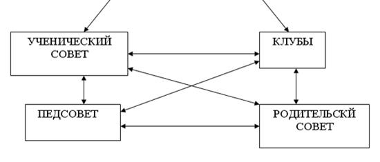
6.Перечень существующих органов ученического самоуправления, их состав по поручениям, связи, подчиненность:
СТРУКТУРА ОРГАНОВ САМОУПРАВЛЕНИЯ
Базисный уровень
Ученическое самоуправление в классах

Школьный уровень
Структура Ученического Совета

Коллективный уровень
Общешкольное самоуправление


8. Кто возглавляет Ученический совет в текущем учебном году, срок полномочий:
Замараев Иван – учащийся 9класса,
Демченко Светлана - его заместитель, ученица 9класса. Оба входят в Управляющий Совет Школы.
Срок полномочий: до конца 2010-2011 учебного года.
9. Выборы ученического самоуправления проходят:
Сначала на собраниях классных коллективов выбирают представителей всех указанных направлений. Эти представители входят в состав секторов (с 5-го по 9 класс).
Каждый сектор выделяет по одному представителю из учащихся 5-9 классов в состав Ученического Совета. Таким образом, Ученический Совет состоит из шести человек (по одному человеку от каждого направления, председателя и его заместителя). Кандидатуры председателя Ученического Совета и его заместителя рекомендует Педагогический Совет, а утверждает – Конференция.
Таким образом, выборы проходят ступенчато.
10. Как и кем представлены интересы учеников начальной школы в органах ученического самоуправления:
Интересы представлены классными руководителями и родителями учащихся начальной школы.
11. Содержание деятельности:
(Вопросы, относящиеся к компетенции органов ученического самоуправления.)
Каждый сектор выполняет определённые функции и отвечает за организацию полезных внеурочных дел в школе.
Сектор «Знание» - оказывает помощь учащимся в преодолении затруднений в учёбе, помогает устранять пропуски и прогулы уроков, помогает классным руководителям проверять дневники учащихся, помогает в организации и проведении ежегодной Школьной научно-практической конференции, подготовке к интеллектуальным марафонам, конкурсам, олимпиадам, помогает учащимся старшеклассникам проводить уроки в младших классах в День Самоуправления ( в День Учителя).
Сектор «Патриот» - организует и проводит мероприятия по военно-патриотической тематике (к 23 февраля, Дню Победы), ведёт работу по дальнейшему развитию Школьного музея.
Сектор « Порядок» - проводит работу с нарушителями дисциплины и порядка, осуществляет организацию дежурств и субботников, следит за своевременной уборкой и чистотой школьных кабинетов, снабжает учебниками, разрабатывает мероприятия по уборке и озеленению территории школьного двора, контролирует озеленение классов и школы.
Сектор « Олимпиец» - оказывает помощь в организации и проведении спортивных мероприятий, массовых праздников и соревнований. Организует школьные ежегодные турслёты на Окунцовом плёсе.
Сектор «Досуг» - способствует культурному и содержательному проведению досуга, организует культурно- массовые мероприятия в классах и школе, занимается с классными руководителями организацией экскурсий , посещением театров и музеев .
Сектор « Пресс-центр» - контролирует выпуск классами газет к знаменательным датам и праздникам, отражает итоги жизнедеятельности учащихся, готовит и проводит радио-уроки к Дню Конституции, Дню примирения и согласия и другим датам, осуществляет контроль за содержанием и периодичностью смены информации на школьных стендах.
Вопросы, находящиеся в совместном ведении администрации учреждения образования и органов ученического самоуправления.
Вся деятельность учащихся находится в совместном ведении администрации школы и Ученического Совета.
12. Документ, регламентирующий сферу полномочий администрации учреждения образования и органов ученического самоуправления.
Положение об Ученическом Совете.
Устав МОУ «Каменносанарская ООШ»
13. Имеются ли символы и атрибуты органов ученического самоуправления (гимн, герб, эмблема, флаг, девиз, форма и знаки отличия и др.)
У школы есть свой герб, флаг, гимн и девиз, предполагается введение эмблемы и знаков отличия для членов Ученического Совета, парадная форма.
14. Традиции:
· Праздник посвящения в первоклассников;
· Конкурс на лучший осенний букет;
· День Учителя – День Самоуправления;
· День пожилого человека;
· День матери
· Весенний субботник;
· Встречи с ветеранами ВОВ в декабре, феврале и мае.
· День рождения школьной детской организации «Школьный корабль»
· Последний Звонок для выпускников
15. Педагоги в органах ученического самоуправления представлены на основании:
· избраны всеобщим голосованием
· назначены администрацией
· делегированы педагогическим советом
16. Входит ли представитель органа ученического самоуправления в состав:
1. Педагогический совет
2. Управляющий Совет образовательного учреждения( 2 чел.)
3. Других советов
17. Партнеры органов ученического самоуправления:
· в образовательном учреждении – педсовет, родительский совет,объединения дополнительного образования;
· в районе, округе, городе – комиссия содействия семье и школе при Кособродской сельской администрации,Управление по делам образования Троицкого муниципального района
Разработка документов, предусматривающих сотрудничество детей и взрослых на основе взаимной ответственности, позволяющих членам самоуправления реализовать свои функции; с четким разграничением органов самоуправления при организации конкретной деятельности.
2.3 Анализ результатов экспериментальной работы
В школе введено и функционирует школьное самоуправление. Благодаря четко выдержанным этапам введения самоуправления, учащиеся понимают суть своей деятельности. Достигнуты следующие результаты:
• самостоятельность в выборе и принятии решений;
• ответственность за свои решения, действия и поступки;
• способность терпимо относиться к своему ближайшему окружению, родным людям;
• готовность действовать в самых непредвиденных и нестандартных ситуациях;
• мотивированность на получение прочных знаний;
• способность к совершению нравственных поступков и сохранению чувства собственного достоинства в самых трудных ситуациях;
• компетентность в учебной и будущей профессиональной деятельности;
• способность ощущать себя одновременно как гражданином своей страны, так и мира быть национальным патриотом;
• умение жить в ладу с другими народами, культурами;
• уважительное отношением к мнению других людей, терпимостью в общении
Но все-таки проблем мы не избежали и первая и ,по-видимому, основная проблема заключается в отношениях с администрацией учебного заведения.
Эта проблема была высказана многими учащимися на конференции по ученическому самоуправлению. Её преодоление может заключаться в жестком разграничении полномочий и прав между администрацией и ученическим самоуправлением, а это, в свою очередь.
Вторая проблема заключается в непонимании и незнании учащимися выгоды, возможностей и прав ученического самоуправления. Для преодоления этой проблемы должна проводиться просветительская работа через административные ресурсы, а так же при привлечении молодёжных организаций.
Выводы по второй главе
При активной работе и серьёзной государственной поддержке ученическое самоуправление будет хорошей опорой для создания здорового общества и ускорит развитие общественного сознания молодёжи. Оно поможет каждому найти и реализовать себя в той области, которая его интересует, будь то политика, экономика или искусство.
Так же развитие ученического самоуправления ускорит развитие молодёжных движений и организаций, осуществляющих защиту законных прав и интересов молодого поколения.
А главное, ученическое самоуправление служит для активного общения и сближения как классных, так и школьных коллективов, а так же способствует общению между школами и различными молодёжными организациями.
Ученическое самоуправление дает:
Учащимся:
· развитие навыков работы в группе, в команде;
· ведет к повышению уровня обученности и качества обучения учащихся;
· ведет к улучшению дисциплины, снижению пропусков без уважительных причин;
· выбор роли в органах ученического самоуправления, которые соответствуют его склонностям и интересам;
· защищает права ребенка;
· учит цивилизованно разрешить конфликтные ситуации;
· помогает самоопределиться в выборе дальнейшего пути.
Родителям:
· организует свободное время детей;
· ведет к улучшению учебной результативности детей;
· снижает конфликтность в семье;
· дает возможность активно участвовать в школьной жизни.
Педагогам:
· помогает организовать детей;
· сплотить детский коллектив;
· повышает дисциплину в классе, ответственность учеников за свои поступки;
· раскрывает творческие, организаторские, лидерские способности ребенка;
· апробация инновационных технологий;
· обобщение опыта работы через средства печати
· углубление в проблему через опытно – экспериментальную работу
Заключение
Итак, работа самоуправления в школе – достаточно сложный и противоречивый процесс. Он постоянно развивается, изменяется, корректируется. Он приносит массу новых проблем, занимает много свободного времени и у детей, и у педагогов. А самое главное, во время работы возникает множество вопросов, ответов на которые приходится искать зачастую достаточно долго, а иногда и не находить их. Поскольку ученическое самоуправление достаточно молодо, готового материала, на котором можно было бы строить работу в нашей школе, практически не было. Приходилось изначально (и это проблема не только нашей школы) за основу брать лучшее, что было когда-то в советских школах (пионерская организация и т.д.) Неоценимую помощь оказали здесь сами ребята, когда стали предлагать создать сначала детскую организацию, где был бы свой президент, его помощники, свое название и девиз. Постепенно учащиеся и педагоги понимали, что работа детской организации не дает возможности каждому учащемуся школы принимать активное участие в управлении жизнью школы. Можно очень многое в школе делать вместе, и это получается намного лучше, чем просто при манипулировании детским коллективом. Ребята стали активнее. Несмотря на все трудности в работе с ученическим самоуправлением, в нашей школе сложилось твердое убеждение: самоуправлению быть! Но вот какому самоуправлению? Ведь не секрет, что на начальной стадии работы дети воспринимают его только как средство достижения определенных целей: сделать свою жизнь легче и удобнее за счет удовлетворения исключительно потребительских желаний. Приходилось сталкиваться и с непониманием целей и задач движения, и с демагогией и популизмом среди педагогов и учащихся. На данной стадии мы добились того, что есть коллектив единомышленников: детей и взрослых, который объективно оценивает свои возможности, стремится к совершенствованию, желает изменить жизнь школы к лучшему. Об этом свидетельствует последний опрос учащихся и педагогов, выдержки из которого и представлены вашему вниманию ниже.
Список использованной и цитируемой литературы
1. Рогаткин, Д.В. Школьное ученическое самоуправление [Текст] /
Д.В.Рогаткин. - Петрозаводск, Юниорский союз «Дорога», 2003. – 92 с
2. Прутченков, А.С. Организация и развитие ученического самоуправления в общеобразовательном учреждении [Текст] / А.С. Прутченков. - М:,2003. -328с.
3. Кон, И.С. Психология ранней юности [Текст] / И.С.Кон – М.: Просвещение, 1989. – 255 с.
4. Коротов, В.М. Самоуправление школьников [Текст] / В.М.Коротов Изд. 2-е, дополненное и переработанное - М.: Просвещение, 1976. – 175 с.
5. Бочкарев, В.И. Директору школы о самоуправлении [Текст] / В.И.Бочкарев – М.:ВЛАДОС, 2001. – 192 с.
6. Щуркова, Н.Е. Новое воспитание [Текст] / Н.Е.Щуркова - М.: Педагогическое общество России, 2000. -128с
7. Филатова, Л.И. Комплексный подход к воспитанию школьников [Текст] / Л.И. Филатова, Т.В.Сорокина – М:, Просвещение, 1982. – 82с.
8. Сорокина, Т.В. Воспитание школьников во внеучебное время [Текст] / Т.В.Сорокина – М:, Просвещение, 1980. – 210с.
9. Макаренко, А.С. Педагогическая поэма [Текст] / А.С.Макаренко - М.: Педагогика, 1977. – с.180
10. Максимов, В.И. Организация младших школьников: Методическое пособие для учителя [Текст] / В.И.Максимов – М.: Просвещение, 2003. – 254 с.
11. Рожков, М.И. Развитие самоуправления в детских коллективах [Текст] / М.И.Рожков - М., «Владос», 2002 – 160 с.
12. Хуснутдинова, И.Н., Сборник практических материалов по организации отрядной работы [Текст] / И.Н.Хуснутдинова - М:, Педагогическое общество России, 2005. – 211с.
13. Байкова, Л.А. Методика воспитательной работы: Учебное пособие для студентов высш. уч. Заведений [Текст]: Л.А, Байкова, Л.К.Гребенкина, О.В.Еремкина и др.; Под ред. В.А.Сластенина. – 3-е изд., стер. – М.: Изд. центр «Академия», 2005. – 144 с.
14. Образование в сфере прав человека в школе. Сборник материалов. [Текст]: Юниорский союз «Дорога» - Петрозаводск, 2003. – 68 с.
15. Направления, содержание, формы и методы воспитательной работы классного руководителя на диагностической основе (методические рекомендации). [Текст]: – М.: Центр «Педагогический поиск». 2004. – 160 с.
16. Профориентация. Личностное развитие. Тренинг готовности к экзаменам (9-11класс): Практическое руководство для классных руководителей и школьных психологов [Текст]/ Под науч. ред. Л.А.Обуховой.- М.: Вако, 2005. – 240 с.
17. Фадеева, Е.И. Лабиринты общения [Текст]: Учебно-методическое пособие./ Е.И.Фадеева – М.: ЦГЛ, 2003.
18. Управление образовательными системами: Учебное пособие [Текст]/ Под ред. В.С.Кукушина. – Москва: ИКЦ «МарТ»; Ростов н/Д: Издательский центр «МарТ», 2003. – 464 с.
19. Созонов, В.В. Планирование воспитательной работы: от результата к замыслу [Текст] / В.В.Созонов// Народное образование. – 2001. №1.
20. Быкова, В.Г. Воспитательная система школы в современных условиях [Текст] / В.Г.Быкова // Классный руководитель. – 2004. №6
21. Никитюк, А.С. Самоуправление класса [Текст] / А.С.Никитюк // Классный руководитель. – 2001. №3
22. Симонова, Т.Е. Положение о совете старшеклассников [Текст] / Т.Е.Симонова // Классный руководитель. – 2001. №5
23. Скачкова, О.С. Положение о совете старшеклассников [Текст] / О.С.Скачкова, // Классный руководитель. - 2000. № 4
24. Викторов, Н. Досуг – дело серьезное [Текст] / Н.Викторов // Воспитание школьника. – 2001. №5
25. Дольникова, Е. Нам бы только выучиться жить [Текст] / Е.Дольникова // Воспитание школьника. – 2001. №8
26. Изучение и прогнозирование развития личности ученика. [Текст] // Воспитание школьника. – 2001. №7
27. Майкон, А. И. зам. Директора по воспитательной работе школы №180 г. Новосибирск. Пять + один! (из опыта создания системы воспитательной работы) [Текст] / А.И.Майкон // Классный руководитель. - 2000. №5.
28. Об опыте коммунарских сборов. // Воспитание школьника.- 2001. №7
29. Проект деятельности как средство развития воспитательного процесса. // Воспитание школьника. – 2001. №7
30. Соколова, А. К взрослой жизни через творчество [Текст] / А.К.Соколова // Воспитание школьника. - 2001. №5
31. Схема формирования самоуправления в лицее //Классный руководитель. – 1999. №3. – с.75
32. Бочкарев, В. Школьное самоуправление в вопросах и ответах [Текст] / В.Бочкарев, В.Опалихин // Воспитание школьника. - 1996. №2. – с.14
33. Калиш, И. Типичные ошибки ученического самоуправления [Текст] / Калиш И., Прутченков А., Солодова О.//Народное образование.-2003, №7
34. Прутченков А., Подготовка к сознательному и компетентному участию в выборах [Текст] / А. Прутченков , В.Высоцкий // Воспитание школьников. - 2004, №1
35. Организация деятельности органов ученического самоуправления. // Классный руководитель. - 1999, №2. – с.45
36. Рогаткин, Д.В. Служба примирения в системе школьного самоуправления [Текст] / Д.В.Рогаткин // Вестник восстановительной юстиции. -2002. №4
37. Рекомендации по теме «Психолого-педагогические и организационно-методические основы использования J игровой технологии ученического самоуправления в современной российской школе» (авторский коллектив под руководством доктора педагогических наук, профессора Л. С. Прутченкова), обсуждены на Всероссийском семинаре по развитию ученического самоуправления в общеобразовательных учреждениях и всероссийской научно-практической конференции. [Текст] // Внешкольник. - 2005. №5
38. Закон об образовании
39. Устав школы
40. Концепция воспитательной системы школы
41. Устав детской организации
Приложение1
Принято: Утверждено:
на общешкольной конференции Управляющим советом
Протокол № ___1_ Протокол № _2 __
«__21 __»__марта ____ 2003_ г. «__02__»апреля _ 200_3 г.
Положение об общешкольной конференции
Настоящее «Положение» в соответствии с Конституцией Российской Федерации, Законом РФ «Об образовании», Уставом МОУ «Каменносанарская ООШ», иными нормативно-правовыми актами определяет общешкольную конференцию (ОШК) как одну из форм реализации прав на государственно-общественное управление школой Управляющим советом школы, созданным и действующим в настоящем образовательном учреждении.
1. Общие положения.,
1.1.В данном «Положении» под термином «Общешкольная конференция» понимается
собрание представителей общественных организаций, работников школы, родителей, обучающихся и иных организаций для решения текущих и перспективных вопросов деятельности школы.
1.2.Конференция Школы - орган самоуправления Школы
2. Полномочия ОШК.
2.1. Полномочия, состав участников, порядок образования и деятельности Общешкольной
конференции определяются законодательством Российской Федерации об образовании, Уставом образовательного учреждения.
2.2. Конференция Школы:
- принимает положение об Управляющем совете школы;
- принимает решение о представительном составе избираемых членов Управляющего совета;
- заслушивает ежегодный отчет Управляющего совета;
- вправе принять решение о прекращении деятельности действующего состава Управляющего совета и формировании нового состава.
3. Порядок подготовки ОШК.
3.1 Конференция проводится не реже 1 раза в год. Решения принимаются простым большинством голосов от числа делегатов конференции.
3.2.Делегатами на конференцию могут быть избраны представители:
От родителей (законных представителей) - на классных родительских собраниях по 1-2 человека от каждого класса.
От работников школы - на общем собрании трудового коллектива численностью не менее 1/2 от общей численности работников.
От обучающихся - на классных собраниях 7-9 классов до 5 человек от каждого класса. Заседание Конференции правомочно, если на нём присутствует не менее половины членов конференции.
3.3.Все делегаты имеют равные права и обязанности.
4. Порядок проведения ОШК.
4.1.Общешкольная конференция проводится ежегодно. Порядок созыва и проведения конференции определяется ее Регламентом.
4.2.Регламент конференции определяет:
— порядок ведения конференции, выборов председателя и секретаря;
—утверждение повестки дня;
—рассмотрение вопросов, внесенных в повестку дня;
- принятие резолюций, контроль за их исполнением.
5. Решение ОШК.
5.1. Резолюция — решение, принятое в результате обсуждения на общешкольной конференции. Принятие решений конференции осуществляется коллегиально, открытым голосованием.
52. Принятым считается решение, получившее большинство голосов от присутствующих на конференции. Решение по вопросу внесения изменений и дополнений в Устав и локальные акты осуществляется квалифицированным большинством (2/3 от числа избранных делегатов).
5.3. Решения общешкольной конференции, а также ее поручения, вызовы, запросы и обращения подлежат исполнению администрацией, а также структурами, созданными и функционирующими в учебном учреждении.
5.4.Решение общешкольной конференции может быть пересмотрено только общешкольной конференцией.
5.5.В решении конференции, в зависимости от характера рассматриваемого вопроса, должны содержаться следующие сведения:
—наименование документа, дата и место его принятия;
—о количестве лиц, принявших участие в голосовании по решению;
—необходимые данные об инициаторе обращения (если таковой имеется);
—формулировка рассматриваемого вопроса, основания для его рассмотрения;
—доводы в пользу принятого конференцией решения, а при необходимости также доводы в обоснование не принятия решения;
—формулировка решения;
—указание на порядок, сроки и особенности вступления решения конференции в силу.
5.6.Решение подписывается председательствующим и секретарем конференции.
5.7.Контроль за исполнением решения конференции осуществляется Управляющим Советом школы, о чем делается соответствующая запись.
5.8.В случае непринятия решения по обсуждаемому вопросу право на повторное его внесение в повестку дня может быть осуществлено на следующей очередной общешкольной конференции. По данным вопросам могут быть использованы предварительные согласительные процедуры.
6. Обязанности председателя и секретаря ОШК.
6.1. Проводит конференцию избранный большинством голосов председатель, который вносит на рассмотрение делегатов вопросы, подлежащие рассмотрению в соответствии с предложенной повесткой дня, а также осуществляет и другие полномочия в соответствии с данным «Положением» и Уставом образовательного учреждения.
6.2. Секретарь конференции избирается большинством голосов от присутствующих.
Организационно обеспечивает проведение конференции, ведет протокол.
7. Заключительные положения.
7.1. Данное «Положение» вступает в силу после утверждения на общешкольной конференции.
Приложение2
Утверждено на заседании Совета 30.10.2003 г. №1
Положение
о Совете МОУ «Каменносанарская ООШ»
I. Общие положения
1. Настоящее положение разработано в соответствии с Законом РФ «Об образовании» (ст.35, п.2), Типовым положением об общеобразовательном учреждении (п.69).
2. Совет МОУ «Каменносанарская ООШ» орган самоуправления школой, состоящий из трех представительств: представительство учителей, представительство родителей (законных представителей), представительство учеников, осуществляющий в соответствии с Уставом общее руководство школой.
3. Цель деятельности Совета МОУ «Каменносанарская ООШ» – руководство функционированием и развитием школы в соответствии со стратегическими документами – Программой развития, целевыми программами и планами развития отдельных направлений.
4. Руководство деятельностью Совета МОУ «Каменносанарская ООШ» осуществляет избранный на заседании председатель.
5. Представители, избранные в Совет МОУ «Каменносанарская ООШ», выполняют свои обязанности на общественных началах.
6. Изменения и дополнения в настоящее положение вносятся Советом МОУ «Каменносанарская ООШ» и утверждаются на его заседании.
II. Задачи Совета МОУ «Каменносанарская ООШ»
- определение перспективных направлений функционирования и развития МОУ «Каменносанарская ООШ» (совместно с Педагогическим советом);
- привлечение общественности к решению вопросов развития школы;
- создание оптимальных условий для осуществления учебно-воспитательного процесса в МОУ «Каменносанарская ООШ»;
- защита законных прав учащихся, работников МОУ «Каменносанарская ООШ» в пределах своей компетенции;
- решение вопросов, связанных с дальнейшим пребыванием учащихся в школе, в случаях нарушения Устава МОУ «Каменносанарская ООШ»;
- решение конфликтных вопросов с участниками образовательного процесса в пределах своей компетенции.
III. Организация деятельности
1. Совет МОУ «Каменносанарская ООШ» избирается на три года. Представители с правом решающего голоса избираются в Совет МОУ «Каменносанарская ООШ» открытым голосованием на собрании обучающихся II и III ступеней, родительском собрании, Педагогическом совете по равной квоте три человека от каждой из перечисленных категорий.
2. Председатель Совета МОУ «Каменносанарская ООШ» проводит его заседания и подписывает решения.
3. Организация деятельности Совета МОУ «Каменносанарская ООШ» осуществляется по принятому на учебный год плану.
4. Совет МОУ «Каменносанарская ООШ» собирается председателем по мере надобности, но не реже двух раз в год. Внеочередные заседания Совета МОУ «Каменносанарская ООШ» проводятся по требованию одной трети его состава, собрания обучающихся II и III ступеней, родительского собрания, Педагогического совета, директора МОУ.
5. Решение Совета МОУ «Каменносанарская ООШ» является правомочным, если на его заседании присутствовало не менее двух третей состава Совета МОУ «Каменносанарская ООШ» и если за него проголосовало не менее двух третей присутствовавших, среди которых были равным образом представлены все три категории членов Совета МОУ «Каменносанарская ООШ».
6. Процедура голосования определяется Советом МОУ «Каменносанарская ООШ».
7. Решения Совета МОУ «Каменносанарская ООШ» доводятся до всех участников образовательного процесса не позднее, чем в течение трех дней после прошедшего заседания.
IV. Компетенция Совета МОУ «Каменносанарская ООШ»
- утверждение плана развития МОУ «Каменносанарская ООШ»;
- утверждение разработанных программ развития перспективных направлений деятельности МОУ «Каменносанарская ООШ»;
- принятие решения об исключении обучающегося из МОУ «Каменносанарская ООШ»;
- направление ходатайств, писем в различные административные органы, общественные организации, учебные заведения, предприятия и организации различных форм собственности по вопросам перспективного развития;
- образование экзаменационной комиссии в случае несогласия обучающегося, его родителей (законных представителей) с годовой оценкой;
- проведение собеседования с родителями (законными представителями) обучающихся по вопросам выполнения ими своих обязанностей в соответствии с действующим законодательством, Уставом и локальными актами МОУ «Каменносанарская ООШ»;
- издание локальных актов в соответствии с Уставом.
V. Документация и отчетность Совета МОУ «Каменносанарская ООШ»
1. Основными документами для организации деятельности Совета МОУ «Каменносанарская ООШ» являются:
- Отраслевые нормативно-правовые документы.
- Устав и локальные акты МОУ «Каменносанарская ООШ».
- Программа развития МОУ «Каменносанарская ООШ».
- План работы Совета МОУ «Каменносанарская ООШ» на учебный год.
- Протоколы заседаний Совета МОУ «Каменносанарская ООШ».
2. Председатель Совета МОУ «Каменносанарская ООШ» в начале нового учебного года отчитывается по результатам деятельности Совета МОУ «Каменносанарская ООШ» за прошедший учебный год перед собранием педагогических работников, учащихся, их родителей (лиц, их заменяющих);
Приложение 3
Утверждено
конференцией учебного заведения
" 16» сентября 2006 г.
Положение об Ученическом Совет
1.1. Ученический совет является выборным органом ученического самоуправления образовательного учреждения ( далее "Школы").
1.2 Ученический совет функционирует на основании действующего законодательства, Устава школы и настоящего Положения.
2. Цели и задачи ученического совета
Цель деятельности Ученического Совета:
Формирование активной жизненной позиции, развитие лидерских качествшкольников, социальной ответственности
Задачи:
· вовлечение учащихся в активную школьную жизнь через организацию различных видов деятельности;
· развитие творческой индивидуальности учащихся;
· воспитание у учащихся уважительного отношения к членам коллектива, укрепление сферы дружеских отношений;
· защита прав учащихся
3. Функции ученического совета:
3.1. Выступает от имени учащихся при решении вопросов жизни школы: изучает и формулирует мнение школьников по вопросам школьной жизни, представляет позицию учащихся в органах управления школой, разрабатывает предложения по совершенствованию учебно-воспитательного процесса;
3.2. Содействует реализации инициатив учащихся во внеурочной деятельности, создает условия для их реализации;
3.3. Содействует разрешению конфликтных вопросов: участвует в решении школьных проблем, согласовании интересов учащихся, учителей и родителей, организует работу по защите прав учащихся.
4. Права ученического совета
Ученический совет имеет право:
4.1. Проводить на территории школы собрания, в том числе и закрытые, и иные мероприятия не реже одного раза в неделю;
4.2. Размещать на стенде ученического совета и в школьных средствах информации, получать время для выступлений своих представителей на классных часах и родительских собраниях;
4.3. Направлять в администрацию школы письменные запросы, предложения и получать на них официальные ответы;
4.4. Знакомиться с нормативными документами школы и их проектами и вносить к ним свои предложения;
4.5. Получать от администрации школы информацию по вопросам жизни школы;
4.6. Представлять интересы учащихся перед администрацией школы, на педагогических советах, собраниях, посвященных решению вопросов жизни школы;
4.7. Проводить встречи с директором школы и другими представителями администрации не реже одного раза в месяц;
4.8. Проводить среди учащихся опросы и референдумы;
4.9. Выступать с инициативой проведения дисциплинарного расследования по отношению к работникам школы, участвовать в проведении дисциплинарного расследования в отношении педагогов по фактам нарушения прав учащихся;
4.10. Направлять своих представителей для работы в коллегиальных органах управления школой;
4.11. Организовывать работу общественных приемных ученического совета, сбор предложений учащихся, проводить открытые слушания, ставить вопрос о решении поднятых учащимися проблем перед администрацией школы, другими органами и организациями;
4.12. Принимать решения по рассматриваемым вопросам, информировать учащихся, администрацию школы и другие органы о принятых решениях;
4.13. Пользоваться организационной поддержкой должностных лиц школы, отвечающих за воспитательную работу, при подготовке и проведении мероприятий ученического совета;
4.14. Вносить в администрацию школы предложения по совершенствованию учебно-воспитательного процесса в школе;
4.15. Вносить в администрацию школы предложения о поощрении и наказании учащихся, а при рассмотрении администрацией школы вопросов о дисциплинарном воздействии по отношению к учащимся давать заключение о целесообразности его применения;
4.16. Опротестовывать решения администрации школы, касающиеся учащихся, принятые без учета предложений ученического совета;
4.17. Опротестовывать решения администрации и других органов управления школой, действия работников школы, противоречащие Уставу школы;
4.18. Создавать печатные органы;
4.19. Участвовать в решении вопросов о назначении педагогов на должность классного руководителя и освобождении от этой должности;
4.20. Устанавливать отношения и организовывать совместную деятельность с ученическими советами других учебных заведений;
4.21. Направлять представителей ученического совета на заседания органов управления школой, рассматривающих вопросы о дисциплинарных проступках учащихся;
4.22. Использовать оргтехнику, средства связи и другое имущество школы по согласованию с администрацией;
4.23. Участвовать в разрешении конфликтных вопросов между учениками, учителями и родителями;
4.24. Вносить предложения в план воспитательной работы школы;
4.25. Представлять интересы учащихся в органах и организациях вне школы;
4.26. Участвовать в формировании составов школьных делегаций на мероприятиях городского уровня и выше;
4.27. Осуществлять иные полномочия в соответствии с законодательством и Уставом школы.
5. Порядок формирования и структура ученического совета.
5.1. Ученический совет формируется на выборной основе сроком на один год;
5.2. В состав ученического совета учащимися 5-9 классов делегируется по одному представителю от класса;
5.3. Ученический совет самостоятельно определяет свою структуру, избирает из своего состава Председателя ученического совета;
5.4. В составе ученического совета могут быть сформированы комиссии и инициативные группы.
6. Заключительные положения.
6.1. Настоящее положение вступает в силу с момента утверждения;
6.2. Изменения в настоящее положение вносятся школьной конференцией по предложению ученического совета (школьной ученической конференцией).
Похожие рефераты:
Анализ и самоанализ педагогической деятельности в процессе обучения технологии
Стратегическое развитие МОУ "Гимназия № 45" г. Барнаула на 2002–2007 годы
Воспитательный потенциал семьи
Работа с трудными подростками в учреждениях дополнительного образования
Управление школой по результатам
Социальная работа образовательного учреждения по защите прав детей
Социально-педагогическая профилактика детских краж
Опека и попечительство в современном российском обществе
Разработка программы формирования нравственно-эстетической культуры подростков
Формирование познавательных умений учащихся во внеклассной работе
Благотворительность в Курганской области: история и современное состояние
Теоретическое обоснование инновационного развития общеобразовательных учреждений
Структура и содержание теоретико-методологического обеспечения педагогической интеграции
Развитие методологии системного подхода в отечественной педагогике