| Скачать .docx |
Курсовая работа: Методика обучения решению текстовых задач алгебраическим методом
Содержание
Введение
Глава I. Методика обучения решению текстовых задач алгебраическим методом как педагогическая проблема
1.1 Сущность алгебраического метода решения текстовых задач
1.2 Типичные методические ошибки учителя при работе с текстовыми задачами
1.3 Решение текстовых задач алгебраическим методом по Г.Г. Левитасу
1.4 Анализ и решение текстовых задач по методу В. Лебедева
Глава II. Анализ практического применения методики обучения решению текстовых задач алгебраическим способом
Заключение
Список литературы
Приложение 1.
Приложение 2.
Введение
Одним из вопросов методики преподавания математики является вопрос формирования у учащихся умений и навыков решения текстовых задач.
Задачи являются материалом для ознакомления учащихся с новыми понятиями, для развития логического мышления, формирования межпредметных связей. Задачи позволяют применять знания, полученные при изучении математики, при решении вопросов, которые возникают в жизни человека. Этапы решения задач являются формами развития мыслительной деятельности[1] .
Широко известны серьезные трудности, которые испытывают учащиеся при решении задач.
Первая трудность состоит в математизации предложенного текста, т.е. в составлении математической модели, которая может представлять собой уравнение, неравенство или их систему, диаграмму, график, таблицу, функцию и т.д.
Для того, чтобы перевести содержание задачи на математический язык, учащемуся необходимо тщательно изучить и правильно истолковать его, формализовать вопрос задачи, выразив искомые величины через известные величины и введенные переменные.
Вторая трудность — составление уравнений и неравенств, связывающих данные величины и переменные, которые вводит учащийся.
Третья трудность — это решение полученной системы уравнений или неравенств желательно наиболее рациональным способом[2] .
Учитывая все выше сказанное, можно считать тему «Методика обучения решению текстовых задач алгебраическим методом» актуальной на сегодняшний день.
Цель работы: Проанализировать методику обучения решению текстовых задач алгебраическим методом.
Задачи работы:
1. Рассмотреть сущность алгебраического метода решения текстовых задач.
2. Изучить типичные методические ошибки учителя при работе с текстовыми задачами.
3. Проанализировать решение текстовых задач алгебраическим методом по Г.Г. Левитасу.
4. Рассмотреть анализ и решение текстовых задач по методу В. Лебедева.
5. Проанализировать практическое применение методики обучения решению текстовых задач алгебраическим способом.
Объект работы: Обучение решению текстовых задач.
Предмет работы: Методика обучения решению текстовых задач алгебраическим методом.
Методы исследования:
1. Анализ литературы по теме.
2. Изучение практического опыта применения методики обучения решению текстовых задач алгебраическим методом.
Глава I. Методика обучения решению текстовых задач алгебраическим методом как педагогическая проблема
1.1 Сущность алгебраического метода решения текстовых задач
Под алгебраическим методом решения задач понимается такой метод решения, когда неизвестные величины находятся в результате решения уравнения или системы уравнений, решения неравенства или системы неравенств, составленных по условию задачи. Иногда алгебраическое решение задачи бывает очень сложным[3] .
При решении задач алгебраическим методом основная мыслительная деятельность сосредотачивается на первом этапе решения задачи: на разборе условия задачи и составлении уравнений или неравенств по условию задачи.
Вторым этапом является решение составленного уравнения или системы уравнений, неравенства или системы неравенств.
Третьим важным этапом решения задач является проверка решения задачи, которая проводится по условию задачи.
При алгебраическом методе решения формируются 55 основных умений и навыков[4] :
1. Краткая запись условия задачи.
2. Изображение условия задачи с помощью рисунка.
3. Логические приёмы мышления: наблюдение и сравнение, анализ и синтез, абстрагирование и конкретизация, обобщение и ограничение, умозаключения индуктивного и дедуктивного характера и умозаключения по аналогии.
4. Выполнение арифметических действий над величинами (числами).
5. Изменение (увеличение или уменьшение) величины (числа) в несколько раз.
6. Нахождение разностного сравнения величин (чисел).
7. Нахождение кратного сравнения величин (чисел).
8. Использование свойств изменения результатов действий в зависимости от изменения компонентов.
9. Изменение (увеличение или уменьшение) величины (числа) на несколько единиц величины (числа).
10. Нахождение дроби от величины (числа).
11. Нахождение величины (числа) по данной её (его) дроби.
12. Нахождение процентов данной величины (данного числа).
13. Нахождение величины (числа) по её (его) проценту.
14. Нахождение процентного отношения двух величин (чисел).
15. Составление пропорций.
16. Понятие прямой и обратной пропорциональной зависимости величин (чисел).
17. Понятие производительности труда.
18. Определение производительности труда при совместной работе.
19. Определение части работы, выполненной в течение некоторого промежутка времени.
20. Определение скорости движения.
21. Определение пути, пройденного телом.
22. Определение времени движения тела.
23. Понятие о собственной скорости (скорости в стоячей воде) движения тела по воде.
24. Нахождение пути, пройденного двумя телами при встречном движении.
25. Нахождение скорости движения тела по течению и против течения реки.
26. Нахождение времени прохождения телом единицы пути при заданной скорости движения.
27. Нахождение скорости сближения тел, движущихся в одном направлении, и скорости удаления.
28. Нахождение скорости сближения или скорости удаления тел, движущихся в противоположных направлениях или при встречном движении.
29. Нахождение части пути, пройденного телом за определённое время, когда известно время прохождения всего пути.
30. Нахождение количества вещества, содержащегося в растворе, смеси, сплаве.
31. Нахождение концентрации, процентного содержания.
32. Нахождение стоимости товара, акции.
33. Нахождение цены товара, акции.
34. Нахождение прибыли.
35. Нахождение количества вредных веществ в воде, воздухе.
36. Нахождение себестоимости продукции.
37. Расчёт начислений банка на вклады.
38. Проверка решения задачи по условию.
39. Введение неизвестного.
40. Введение двух неизвестных.
41. Введение трёх и более неизвестных.
42. Выполнение действий сложения и вычитания неизвестных.
43. Выполнение действий умножения и деления неизвестных.
44. Запись зависимости между величинами с помощью букв и чисел.
45. Решение линейных уравнений.
46. Решение линейных неравенств.
47. Решение квадратных уравнений и неравенств.
48. Решение дробно-рациональных уравнений и неравенств.
49. Решение систем уравнений и систем неравенств.
50. Составление одного уравнения (неравенства) с двумя неизвестными.
51. Решение уравнения (неравенства) с двумя неизвестными.
52. Выбор значений неизвестных по условию задачи.
53. Составление уравнений с параметром по условию текстовой задачи.
54. Решение уравнений с параметром.
55. Исследовательская работа.
В связи с внедрением в школьную программу элементов высшей математики, с ускоренным развитием и внедрением во все сферы вычислительной математики большое значение имеет формирование у учащихся не отдельных специфических навыков, а тех умений и навыков, которые имеют дальнейшее приложение. К числу этих умений и навыков относятся умения и навыки, которые формируются в процессе решения задач алгебраическим методом.
1.2. Типичные методические ошибки учителя при работе с текстовыми задачами
Ошибка 1. Пропуск этапа анализа условия задачи.
«Прочитайте условие задачи. Кто пойдет к доске?» – такое часто можно видеть на уроке. И сразу начинается оформление решения. Этап анализа отсутствует и в некоторых учебниках, и в решебниках. Учителя не всегда сами понимают, зачем нужно проводить этот этап. «Мы уже решали подобные задачи. Зачем проводить этап анализа условия задачи?» На это можно возразить. Может быть, проведение этого этапа обязательно не для всех учащихся. В классе найдутся такие ученики, у которых этап анализа свернут. Они его проходят очень быстро, поэтому сразу видят решение и переходят к его оформлению. Задача педагога – помогать тем, у которых не получается. Решение задачи основывается на тех связях, которые существуют между данными и искомыми величинами. На выделение этих связей и направлен анализ условия задачи. Чтобы помочь учащимся самостоятельно осуществлять анализ условия, преподаватель может предложить им специальные памятки[5] .
Ошибка 2. Пропуск этапа поиска решения.
Пропуск этого этапа ведет к недопониманию учащимися сущности эвристической деятельности, и как результат, к возникновению трудностей при самостоятельном решении задач. В практике обучения традиционной является ситуация, когда учитель вызывает к доске учащегося, который знает, как решить задачу. Однако при личностно ориентированном обучении основная забота учителя должна быть связана с теми, кто испытывает затруднения при самостоятельном решении задач.
Тем же учащимся, которые без учителя могут решать задачи, необходимо подбирать задания, усиливающие их умения и способствующие их развитию (составить задачи на основе справочных данных; рассмотреть другие способы решения предложенной задачи; составить граф-схемы других уравнений по задаче и др.)
Ошибка 3. Пропуск этапа исследования решения.
Зачем нужен этот этап? На этапе исследования выясняем, соответствует ли полученный ответ условию задачи (правдоподобность результата); есть ли другие способы решения; что полезного можно извлечь на будущее из решенной задачи. Последний вопрос позволяет рассматривать каждую задачу как звено в общем умении решать задачи, что ведет к накоплению опыта по решению задач.
Ошибка 4. Смешение этапов анализа и поиска решения.
Чтобы этого избежать, надо точно знать, какую цель мы преследуем на каждом этапе. Цель этапа анализа условия – выявить все имеющиеся связи между данными и искомыми величинами, чему помогает составление таблицы (схемы, рисунка). Цель этапа поиска решения – выбрать метод решения (алгебраический или арифметический) и составить план решения. Цели этапов разные, значит, и смешивать эти этапы никак нельзя.
На этапе анализа условия задачи:
1. разбиваем условие задачи на части;
2. выясняем, какие величины характеризуют описываемый в условии процесс;
3. выясняем, какие величины известны, а какие требуется найти;
4. устанавливаем связи между величинами.
На этапе поиска решения выясняем, что можно найти по данным задачи, и поможет ли это дальнейшему решению.
Если для решения задачи выбран алгебраический метод, то поиск ведем по следующим этапам:
1. определяем условия, которые могут быть основанием для составления уравнения, и выбираем одно из них;
2. составляем схему уравнения, соответствующего выбранному условию;
3. определяем, какие величины можно обозначить за х; выбираем одну из них;
4. определяем, какие величины нужно выразить через х, и находим условия, которые позволяют это сделать.
Завершается этап поиска составлением плана решения задачи.
Ошибка 5. На этапе анализа условия фиксируются не все связи между величинами.
Надо стараться зафиксировать как можно больше таких связей. Почему это важно? Упустив какую-нибудь связь, мы можем потерять:
а) условие для составления уравнения;
б) возможность одну величину выразить через другие;
в) предусмотреть несколько способов решения[6] .
Ошибка 6. Поиск решения задачи алгебраическим методом начинается с выбора переменной.
Обратим внимание на то, что при перечислении этапов, которые мы проходим при поиске решения задачи алгебраическим методом, сначала был назван выбор условия для составления уравнения, затем составление схемы уравнения, и только тогда мы вводим переменную. На практике мы почти везде видим иное: сначала вводят переменную, затем выражают остальные величины через нее и затем составляют уравнение. Вот этот момент настолько «закостенел» в нашем сознании, что от него отказаться очень трудно.
На самом деле, лучше делать «по-новому». Представьте себя на месте ученика в классе. Рассмотрим ситуацию, когда не были проведены этапы анализа и поиска решения, к доске вызван ученик, который знает, как решить задачу, и он начинает: «За х обозначим…» И что же наш ученик, который затрудняется в самостоятельном решении? Мы из решения сделали тайну непостижимую. «Как он угадал, что обозначить за х?» И когда он будет пробовать дома решать задачу, у него сразу закрадывается сомнение: «А вдруг я не угадаю?»
И насколько спокойнее и увереннее чувствует себя наш ученик, если у него есть карточка по проведению анализа и поиска решения задач; он смог составить по условию задачи таблицу; найти несколько условий для составления уравнений; записать схему уравнения для выбранного условия. Ученик знает, что за х можно обозначить любую из неизвестных величин, и, если не получится уравнение по одной схеме, то можно попробовать составить его по другой схеме.
Ошибка 7. Постановка частных, подсказывающих вопросов учащимся.
Очень много зависит от умения ставить (задавать) вопросы учащимся. Вопросы не должны нести в себе подсказку, а подталкивать учащихся к размышлению[7] . Вместо вопросов: «Во сколько туров проходила олимпиада?», «Как распределились посевные площади?», «Какое время находились туристы в пути?», «Какие машины находятся в автопарке?» лучше задавать общие вопросы: «Что происходит по условию задачи?», «Какие объекты участвуют в задаче?», «Какие части можно выделить в задаче?». Вместо вопроса «Можно ли найти такую-то величину?» лучше задать вопрос: «Что можно найти по данным задачи?», поскольку он может вывести на несколько вариантов решения.
Задавая вопросы, учитель не должен вести учащихся к своему решению; нужно рассмотреть все пути решения, выслушать и обсудить все варианты.
1.3 Решение текстовых задач алгебраическим методом по Г.Г. Левитасу
Левитас Г.Г. использует следующий способ обучения школьников алгебраическому методу решения текстовых задач[8] .
Текстовой задачей, по его словам, назовем не математическую по фабуле задачу, решаемую математически. Например, задача «У Кати и Поли вместе 12 кукол; у Кати на две куклы меньше. Сколько кукол у каждой из них?» — не математическая по фабуле. Но её можно решить математическим методом, моделируя ситуацию уравнением х+(х+2)=12.
Для решения текстовой задачи мы переводим её на математический язык, т.е. создаём её математическую модель. Овладение навыками математического моделирования, по мнению Левитас, — едва ли не самое важное, чему мы учим детей на уроках математики. Одна из причин неуспеха, как пишет Левитас Г.Г., состоит в неправильном порядке обучения методу алгебраического решения текстовых задач, а именно в неправильном порядке их перевода на язык математики.
Ведь как вообще совершается перевод с одного языка на другой? Иногда он идёт синхронно. Вы читаете лёгкий для перевода текст и тут же излагаете его на другом языке. Именно так переводит учитель математики лёгкие для него текстовые задачи из школьного курса. Он сразу видит, что именно выгодно принять за х, что нужно выразить через х, каким будет уравнение. И учит детей работать именно в таком порядке. И действительно, лёгкие для школьника задачи он решает именно так.
Но вот встретилась задача потруднее. Что обозначать через х? Какие именно неизвестные величины выражать через х? Как составлять уравнение?
Рассмотрим, например, такую задачу. «Когда первый из двух шашечных турниров завершился, во втором было сыграно столько же партий, сколько в первом, и осталось сыграть ещё три тура. Известно, что оба турнира игрались в один круг и что число участников во втором туре было чётным. Сколько партий игралось в каждом туре второго турнира?»
Левитас предлагает сначала составить схему уравнения:
|
|
||
|
|
||
|
Затем надо выбрать основные неизвестные так, чтобы через них можно было выразить каждую из величин, имеющихся в этой схеме. Если обозначить через х число участников первого турнира, а через у число участников второго турнира, то получим уравнение:
![]()
Описанная последовательность действий и есть тот способ, которым Левитас учит детей решать не получающиеся у них задачи: составь схему уравнения, выбери обозначения, составь уравнение …
Например, если школьнику трудно решить приведённую выше задачу с куклами, он добивается от него составления такой схемы уравнения:
(число кукол у Кати)+(число кукол у Поли)=12,
и только после этого он занимается поисками, связанными с переводом на математический язык выражений, стоящих в скобках. Понятно, что та же задача допускает и иное истолкование:
(число кукол у Поли)-(число кукол у Кати)=2,
что приводит к иным обозначениям.
Особенность этого способа заключается в том, что моделирование — перевод на математический язык — проводится в два приёма. Сначала русский текст задачи частично сохраняется и выступает совместно с элементами математического языка: знаками действий и знаком равенства. И только после этого естественный язык полностью заменяется математическим. Именно так, постепенно, переводим мы трудную для нас фразу с одного языка на другой.
1.4 Анализ и решение текстовых задач по методу В. Лебедева
В. Лебедев считает, что то, что в школьном курсе математики решение текстовых задач считается одним из самых сложных для восприятия и усвоения учащимися разделов, связано с неразработанностью аналитического аппарата, который бы позволял рассматривать любую текстовую задачу как систему, в независимости от того, является ли она задачей на движение, на работу, на смеси или сплавы, на проценты и т. д[9] .
Для того, чтобы рассматривать задачу как систему, нам необходимо определить:
а) элементы задачи;
б) характер взаимосвязей между элементами.
Первый набор элементов, который необходимо определить в задаче как системе – это участники контекста задачи (машина и велосипед, поезда, амфибии и самолеты; рабочие и землеройки, станки и роботы; сплавы цинка и меди, раствор соли и спирта и т. д.)
Действие, производимое участником или с участником, в свою очередь также является системой. Эти действия определяются следующими элементами, которые называются компонентами:
а) скорость V, время t, путь S – движения;
б) производительность T, время t, объем работы V – работы;
в) объем смеси V0 , объем вещества в смеси Vв , объемная концентрация вещества в смеси cв , процентная, объемная концентрация вещества в смеси pв % – смеси, сплава, раствора... и т. д.
По условиям задачи происходят различные изменения в значениях компонентов участников или накладываются на них какие-либо ограничения: увеличилась или уменьшилась скорость движения, известно время до встречи; вначале работали вместе, затем увеличилась производительность труда и т. д. Каждое такое изменение характеризует свою систему, состоящую из участников и соответствующих значений компонент. Назовем эти системы состояниями.
Тогда общую систему задачи можно представить в виде:

Структура системы определяется характером взаимосвязи между элементами. Таким образом, для полного раскрытия системы задачи нам необходимо определить взаимосвязи:
1. Между компонентами каждого участника в каждом состоянии. Назовем их вертикальными взаимосвязями.
2. Между компонентами участников в каждом состоянии. Назовем их горизонтальными взаимосвязями или уравнивающими.
3. Между компонентами каждого участника в различных состояниях.
4. Между компонентами участников в различных состояниях.
Необходимость поиска взаимосвязи между компонентами участников в каждом состоянии требует ввести еще один элемент в систему задачи. Назовем его взаимосвязь (или общее).
Теперь таблица системы задачи будет выглядеть следующим образом:

В зависимости от типа задачи таблица, описывающая ее систему, примет соответствующий вид. Например, для задачи на движение:

Движение каждого участника описывает три компоненты. Для того, чтобы найти взаимосвязь между ними, нам необходимо знать значения двух компонент. В традиционном подходе к решению текстовых задач для реализации этого положения вводятся неизвестные величины – x, y и т. д. Мы используем следующий подход. Пусть, например, S21 и S22 (указываем какие-либо из компонент) как будто бы известны и дальше работаем над задачей, исходя из этого.
Например:
Задача 1. Между домами Кролика и Лиса существовала прекрасная дорога в 50 км. Как-то так случилось, что они одновременно пошли друг к другу в гости. Они не пошли, а побежали. Через 5 часов, увлеченные воображаемым приятным времяпрепровождением в гостях, они пробежали мимо друг друга, рассеянно сказав: «Привет». Кролик, задумавшись над тем, неуловимо знакомым только что промелькнувшим мимо него, снизил свою скорость на 1 км/ч. Лис, почуяв что-то из того, что ему грезилось, увеличил скорость на 1 км/ч. Каково же было их разочарование, когда они не застали друг друга дома. У Лиса это разочарование наступило на 2 часа позже, чем у Кролика. С какой скоростью двигался Кролик?
Первым шагом анализа системы задачи мы определяем участников движения. Читаем текст задачи.
1. Сколько участников? – Два (Кролик и Лис).
Вторым шагом определяем состояния: сколько их и какие они.
2. Сколько состояний? – Два (до встречи, после встречи).
Третьим шагом изложим в таблице данные, необходимые для дальнейшего анализа системы задачи.

После построения таблицы еще раз читаем текст задачи (четвертый шаг) и заносим в нее данные значения компонентов.

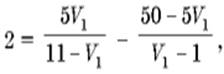
Для того, чтобы проанализировать первое состояние, нам необходимо ввести значения компонент, которые мы как бы знаем. Пусть это будет скорость кролика – V1. Тогда имеем (в скобках цифрами мы проставляем последовательность наших рассуждений):


(4) и (5) получены из анализа взаимосвязи компонентов каждого участника в различных состояниях и условия задачи. (6) и (7) – из анализа взаимосвязи компонентов участников в различных состояниях. (8) и (9) – из анализа взаимосвязи компонентов каждого участника в состоянии 2. (10) – из условия задачи.
На основании (10) имеем уравнение:

решив которое получаем: V1 = 6 км/ч.
Ответ: 6 км/ч.
Можно отметить, что уравнения формируются из взаимосвязей между компонентами участников в состоянии. Поэтому мы и назвали их горизонтальными или уравнивающими.
На учащихся производит большое впечатление, если они понимают, что для анализа системы задачи нет особой разницы в том, какой или какие значения компонентов принять за как бы известные величины. Еще больше их интригует возможность по полностью восстановленной системе задачи составлять свои задачи, переходить от одной задачи к другой.
Таким образом, на рассмотренном примере мы показали, как использовать метод анализа системы задачи, строить уравнения, которые приводят к решению текстовых задач.
Необходимо отметить, что данная методика обучения расширяет возможности учителя по развитию творческого мышления учащихся, позволяет развивать у них целостное и системное понимание математических закономерностей и взаимосвязей.
Глава II. Анализ практического применения методики обучения решению текстовых задач алгебраическим способом
Итак, задачи (в широком смысле этого слова) играют огромную роль в жизни человека. Задачи, которые ставит перед собой человек, и задачи, которые ставят перед ним другие люди и обстоятельства жизни, направляют всю его деятельность, всю жизнь.
Мышление человека главным образом состоит из постановки и решения задач. Перефразируя Декарта, можно сказать: жить – значит ставить и решать задачи.
Особую большую роль играют задачи в обучении младших школьников математике. Решение задач выступает и как цель, и как средство.
В гимназии № 2 г. Новосибирска в начальной школе в одном из классов обучение математике ведется по программе и учебникам Н.Б. Истоминой, которые реализуют задачи развивающего обучения, так как целенаправленно и непрерывно формируют приемы умственной деятельности: анализ, синтез, сравнение, классификацию, аналогию, обобщение в процессе усвоения математического содержания.
Активное включение приемов умственной деятельности в процессе усвоения математических знаний, умений и вычислительных навыков позволяет рассматривать:
1. способы организации учебной деятельности гимназистов,
2. способы познавательной деятельности школьников,
3. способы включения в познавательную деятельность различных типов памяти,
4. вопросы преемственности со средним звеном,
5. вопросы повышения качества знаний учащихся.
Выбор программы Н. Б. Истоминой педагогами был обоснован. Автор этого курса не стремится наполнить его новыми понятиями, а в основном ориентируется на объем стабильной программы и возрастные особенности младших школьников. Тем не менее, направленность курса на формирование приемов умственной деятельности потребовала усиление содержательной линии курса, которая связана с формированием у младших школьников системы понятий и общих способов действий. Это усиление нашло отражение в тематическом построении курса, что особенно связывает эту программу с программами развивающего обучения.
В отличие от стабильного курса, в которой текстовая задача рассматривается как средство формирования математических понятий и деятельность учащихся направлена на овладение умением решать определенные типы текстовых задач, в математике Н. Б. Истоминой дети приступают решению задач только после того, как у них сформированы все необходимые для этого знания и умения, усвоен смысл математических понятий, сформировано умение переводить предметные действия и их словесные описания на язык схем и математических символов. Это позволяет в теме «Задача» направить деятельность учащихся на овладение общими умениями: умения читать задачу, выделять известные и неизвестные величины, устанавливать связь между условием и вопросом, выбирать действие для ее решения, активно используя при этом приемы умственных действий. Авторами этой программы изданы тетради для решения задач, в которых детям предлагается помощь при составлении схем, установлении зависимости между величинами, поиска способа действий. Очень важным, на наш взгляд, в учебниках этого автора, что рассуждать детям помогают их сверстники – герои учебника Миша и Маша.
Особой популярностью в классе пользуются задания по диагностике, тренировочные упражнения в решении задач, контроль и работа над ошибками. Компьютер используется на уроке в 3 классе в течение 10 – 15 минут 1 – 2 раза в неделю на различных этапах урока. Уроки с компьютерной поддержкой позволяют решать на уроке следующие задачи: повышение интереса к предмету, осуществление дифференцированного подхода, увеличение возможности проведения тренировочных и коррекционных заданий, увеличение объема проверяемого материала, облегчение процесс контроля и оценки знаний.
Программа Н. Б. Истоминой знакомит и учит решать задачи алгебраическим способом, то есть способом составления уравнения. В компьютерной программе для начальной школы «Семейный наставник» существует подборка задач для решения их алгебраическим способом. В них пошагово отрабатываются все этапы алгоритма этого способа: введение неизвестного, выражение через это неизвестное величин, о которых говорится в задаче, составление уравнения, решение его, осмысление результата и формулировка ответа.
Эта программа в гимназии используется постоянно, так как помогает в мониторинге качества знаний учащихся по математике. Дополнительно на каждого ученика педагогом заводится диагностическая карта по решению задач, в которой фиксируется успешность ученика в умении решать задачи, недочеты на каждом этапе решения, как в алгебраическом, так и в арифметическом способе решения задач.
К сожалению, ни одна компьютерная программа не предлагает заданий на графическое моделирование текстовых задач, т.к. компьютерные программы ориентированы в большей степени на традиционную программу. Моделирование (в обучении - по Истоминой) как психологическая проблема имеет два аспекта: как содержание, как способ познания и как одно из основных учебных действий, которое является составным компонентом учебной деятельности. Сегодня мы говорим о моделировании как о средстве представления текста задачи и как о средстве поиска решения задачи. На графическое моделирование текстовых задач на уроке выделяется достаточно много времени (для этого не надо жалеть времени). Третьеклассники составляют свою программу для компьютера по моделированию.
Предлагаемый урок (см. приложение 2) – исследование алгебраического способа решения задач в 3 класс, составление алгоритма этого способа. Дети должны на уроке для себя открыть этот способ и составить его алгоритм Формы работы: коллективные, парные, групповые и индивидуальные. Урок проводится в компьютерном классе с использованием программы «Семейный наставник». Дети с самого начала урока разделены на группы по привязанности друг к другу. На партах находятся необходимые учебные принадлежности, фломастеры и четвертая часть листа ватмана для записи алгоритма алгебраического способа решения, памятка с арифметическим способом решения задачи.
Выработанная педагогами гимназии система работы с задачей, проведение уроков с компьютерной поддержкой дают положительные результаты: стабильно высокое качество знаний по математике в 96%, «5» у 40% учащихся, минимум ошибок при решении задач, первые и призовые места в гимназических, городских олимпиадах.
Заключение
Таким образом, решение текстовых задач не случайно всегда волновало учителей, методистов, да и самих учащихся и их родителей.
Во-первых, нельзя решить задачу, не поняв ее содержание. Следовательно, умение решать текстовые задачи свидетельствует об одной из самых важных способностей человека - способности понимать текст. Правы те учителя, которые добиваются понимания текста не только на уроках чтения, но и на уроках математики. Критерием понимания задачи является факт решения задачи. Поэтому решение текстовых задач - это деятельность, весьма важная для общего развития. Обучая решать текстовые задачи, мы приучаем ориентироваться в ситуациях, делаем человека более компетентным. Конечно, для этого нужно резко расширить тематику задач, давать детям задачи, разнообразные по тематике, а не только «на скорость», «на работу», «на покупки».
Во-вторых, решение задачи алгебраическим методом - чуть ли не единственный путь для объяснения ученикам того, чем вообще занимается математика, - объяснения метода математического моделирования. Собственная деятельность школьника в этой области протекает именно и только при решении текстовых задач алгебраическим методом. Ученик читает условия, характеризующие некоторую бытовую ситуацию, переводит эту ситуацию на математический язык (составляет уравнения) и затем решает уравнения, уже не думая о данной бытовой ситуации. Он работает с математической моделью. Наконец, он получает результат на языке этой модели и переводит его на естественный язык (осмысление и запись ответа) - получает решение бытовой задачи.
Решение текстовых задач способствует, с одной стороны, закреплению на практике приобретённых умений и навыков, с другой стороны, развитию логического мышления учащихся[10] .
Наблюдается активизация их мыслительной деятельности. При правильной организации работы у учащихся развивается активность, наблюдательность, находчивость, сообразительность, смекалка, развивается абстрактное мышление, умение применять теорию к решению конкретных задач.
Список литературы
1. Виноградова Л.П. Обучение решению задач // Фестиваль педагогических идей «Открытый урок». – М.: Первое сентября, 2004. – 540 с.
2. Епишева О.Б. Общая методика преподавания математики в средней школе: Курс лекций. - Тобольск: Изд. ТГПИ им. Д.И.Менделеева, 1997. – 338 с.
3. Паламарчук В.Ф. Школа учит мыслить. - М.: Просвещение, 1987. – 264 с.
4. Фридман Л.М., Турецкий Е.Н. Как научиться решать задачи. - М.: Просвещение, 1984. – 250 с.
5. Хеннер Е.К., Шестаков А.П. Математическое моделирование. Пособие для учителя. – Пермь, 1995. – 158 с.
6. Лебедев В. Анализ и решение текстовых задач // Математика в школе. – 2002. - №11. - С. 8.
7. Левитас Г.Г. Об алгебраическом решении текстовых задач // Математика в школе. – 2000. - №8. - С. 13.
8. Мордкович А.Г. Алгебра. Учебник для 7 класса общеобразовательной школы. - М.: Мнемозина, 1997. – 284 с.
9. Петухова Л.И. О решении текстовых задач по математике // Фестиваль педагогических идей «Открытый урок». – М.: Первое сентября, 2004. – 540 с.
10. Фоминых Ю. Одну задачу несколькими методами // Математика в школе. – 2004. - №20. - С. 17.
11. Чаплыгин В.Ф. Некоторые методические соображения по решению текстовых задач // Математика в школе. – 2000. - №4. - С.28.
Приложение 1.
Пример решения задачи
Задача. Расстояние между двумя городами скорый поезд проходит на 4 часа быстрее товарного и на 1 час быстрее пассажирского. Найти скорости товарного и скорого поездов, если известно, что скорость товарного поезда составляет 5/8 от скорости пассажирского и на 50 км/ч меньше скорости скорого.
Решение (черновик).
Отвечаем на вопросы, поэтапно составляя таблицу.
1. Речь идёт о процессе движения, которое характеризуется тремя величинами: расстояние, скорость, время (3 столбца таблицы).
2. В задаче 3 процесса: движение скорого, пассажирского и товарного поездов (3 строчки таблицы).
Можно составить «скелет» таблицы.
Величины Процессы |
Расстояние (км) | Скорость (км/ч) | Время (ч) |
| Скорый поезд | |||
| Пассажирский поезд | |||
| Товарный поезд |
3. Заполняем таблицу в соответствии с условиями задачи
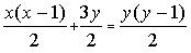
4. Вводим неизвестные величины: x, км/ч – скорость товарного поезда, y, ч – время движения скорого поезда.
5. Составим «модель».
(x+50)y = 8/5 x(y+1)
8/5 x(y+1) = x(y+4)
6. Решаем эту систему. Из первого уравнения находим у. Из второго уравнения находим х.
Решение задачи (чистовик).
Пусть х, км/ч – скорость товарного поезда (х>0), у, ч – время движения скорого поезда (у>0).
Составляем таблицу.
Величины Процессы |
Расстояние (км) | Скорость (км/ч) | Время (ч) |
| Скорый поезд | (х+50)у | х+50 ? | у |
| Пассажирский поезд | 8/5 х(у+1) | 8/5 х | у+1 |
| Товарный поезд | х(у+4) | х ? | у+4 |
По условию задачи поезда прошли одно и то же расстояние. Получаем систему уравнений
8/5 х(у+1) = х(у+4)
(х+50)у = х(у+4).
По условию задачи х>0, тогда
8(у+1) = 5(у+4)
(х+50)у = х(у+4),
3у = 12
(х+50)у = х(у+4),
у = 4
х+50 = 2х,
у = 4
х = 50.
Полученные значения неизвестных удовлетворяют условию х>0, у>0, значит удовлетворяют условию задачи.
50 км/ч – скорость товарного поезда.
50+50 = 100 (км/ч) – скорость скорого поезда.
Проверка по условию задачи.
50 км/ч – скорость товарного поезда,
4+4 = 8 (ч) – время движения товарного поезда.
50*8 = 400 (км) – расстояние, которое прошёл товарный поезд.
50*8/5 = 80 (км/ч) – скорость пассажирского поезда.
4+1 = 5 (ч) – время движения пассажирского поезда.
80*5 = 400 (км) – расстояние, которое прошёл пассажирский поезд.
4 ч – время движения скорого поезда.
50+50 = 100 (км/ч) – скорость скорого поезда.
100*4 = 400 (км) – расстояние, которое прошёл скорый поезд.
Каждый поезд прошёл одно и то же расстояние.
Задача решена верно.
Ответ: 50 км/ч, 100 км/ч.
Аналогично можно решать задачи «на работу», «наполнение бассейна».
Приложение 2.
Урок «Составление алгоритма алгебраического способа решения задач»
Цель:
1. Исследование алгебраического способа решения задач и составление алгоритма.
2. Формирование действия моделирования.
3. Развитие компонентов УД.
Оборудование:
1. Карточки:
- арифметический способ решения;
- алгебраический способ решения;
- задача.
2. Фломастеры, мелки, чистые листы, магниты, компьютеры.
3. Учебные принадлежности.
Ход урока
Организационный момент:
Чему учимся на уроке математики?
Что уже знаем хорошо?
Чему надо учиться?
Тему урока сформулируем позже.
Откроем тетради, оформим начало работы.
Актуализация:
1. Вспомним некоторые умения, которые помогут в дальнейшем.
Индивидуальная работа - Составить по схеме уравнения и записать их.
| Х | 5 | |
| 5 | 20 | 72 |
(3· х+5· 2+20=72)
Все остальные учащиеся выполняют любое из этих заданий:
Запиши уравнения и реши их.
1. Число 40 увеличили на произведение числа 6 и неизвестного и получили 76.
2. Составьте уравнение и решите задачи.
В классе 28 учеников. Сколько мальчиков в классе, если девочек 13?
В трех вазах 27 гвоздик. В первой вазе на 3 гвоздики меньше, чем во второй вазе, и на 6 гвоздик больше, чем в третьей. Сколько гвоздик в третьей вазе?
1.187 * (33467 : 49 – 362)
Что мы должны знать об уравнении?
Для чего нужны уравнения?
2. Построение моделей к уравнениям выполняем неплохо.
Вспомним, как они решаются.
Нам поможет компьютер.
Сели за компьютер. Задания выполняем в уме.
Порядок работы:
а) Прочитай информацию.
б) Подумай, а потом выполняй.
Какие инструменты нам необходимы:
а) экран
б) мышка
в) калькулятор
г) резинка
в конце посмотреть результаты, сравнить с прошлым.
(Даются 11 заданий: сложные уравнения на : и х в пределах 100)
Кто закончил на черновике, составляет уравнения с числами а, 8, 32, 4.
3. Нам необходимо еще вспомнить одно умение.
(арифметический способ решения задач на листочках.)
Задача. В трех одинаковых ящиках 21 кг апельсинов. Сколько апельсинов в 8 таких же ящиках?
Работаем в паре.
Модель, решение. (Можно записать выражением, можно по действиям.)
Проверяем.
Чем пользовались?
Составление алгоритма алгебраического способа решения задач.
Постановка учебной задачи.
Скажите, а можно было решить эту задачу другим способом?
Что нужно иметь для решения алгебраическим способом?
А он есть у нас?
А может ли его составить?
Да, мы с вами уже решали задачи таким способом.
Скажите, а есть ли подсказка к составлению алгоритма?
Составляем алгоритм, записываем на листочках. Работаем в группах.
Определите, кто будет записывать, кто рассказывать.
Кто закончит, прикрепляем алгоритм на доску.
Вместе будем выбирать пункты алгоритма.
Идет самостоятельная работа по составлению алгоритма.
Проверка работы.
Алгоритм:
1. Чтение задачи.
2. Выделение известных и неизвестных величин.
3. Установление связи между условием и вопросом.
4. Моделирование.
5. Введение неизвестного.
6. Выражение через это неизвестное других величин.
7. Установление равенства.
8. Составление уравнения.
9. Решение уравнения.
10. Формулировка ответа.
11. Проверка.
Решение задачи способом уравнения.
Вернемся к нашей задаче, решим ее уравнением.
Х кг – в 8 ящиках
(21 : 3) кг – масса одного ящика из 3
(Х : 8) кг – масса одного ящика из 8
Уравнение: 21 : 3 = Х : 8
Упрощаем: Х : 8 = 7
Х = 56 (кг)
Ответ: 56 кг в 8 ящиках.
Какая тема урока сегодня? (Формулируем тему совместно).
(«Составление алгоритма алгебраического способа решения задач»).
Итог урока.
[1] Паламарчук В.Ф. Школа учит мыслить. - М.: Просвещение, 1987. С. 22.
[2] Фридман Л.М., Турецкий Е.Н. Как научиться решать задачи. - М.: Просвещение, 1984. С. 12.
[3] Виноградова Л.П. Обучение решению задач // Фестиваль педагогических идей «Открытый урок». – М.: Первое сентября, 2004. С. 29.
[4] Петухова Л.И. О решении текстовых задач по математике // Фестиваль педагогических идей «Открытый урок». – М.: Первое сентября, 2004. С. 34.
[5] Чаплыгин В.Ф. Некоторые методические соображения по решению текстовых задач // Математика в школе. – 2000. - №4. - С.28.
[6] Чаплыгин В.Ф. Некоторые методические соображения по решению текстовых задач // Математика в школе. – 2000. - №4. - С.29.
[7] Чаплыгин В.Ф. Некоторые методические соображения по решению текстовых задач // Математика в школе. – 2000. - №4. - С. 29.
[8] Левитас Г.Г. Об алгебраическом решении текстовых задач // Математика в школе. – 2000. - №8. - С. 13.
[9] Лебедев В. Анализ и решение текстовых задач // Математика в школе. – 2002. - №11. - С. 8.
[10] Епишева О.Б. Общая методика преподавания математики в средней школе: Курс лекций. - Тобольск: Изд. ТГПИ им. Д.И.Менделеева, 1997. С. 56.