| Похожие рефераты | Скачать .docx |
Курсовая работа: Особенности развития зрительной памяти у старших дошкольников с общим недоразвитием речи
Содержание
Введение
Глава I. Теоретические аспекты исследования зрительной памяти детей старшего дошкольного возраста с общим недоразвитием речи
1.1 Исследование проблемы памяти в психологии
1.2 Психологический анализ структуры речевого нарушения у дошкольников с общим недоразвитием речи
1.3 Особенности зрительной памяти детей старшего дошкольного возраста с общим недоразвитием речи
Выводы по первой главе
Глава II. Изучение особенностей зрительной памяти старших дошкольников с общим недоразвитием речи
2.1 Методика и организация исследования
2.2 Результаты экспериментального исследования
Выводы по второй главе
Глава III. Методические рекомендации по развитию зрительной памяти у старших дошкольников с общим недоразвитием речи
Заключение
Список использованной литературы
Приложения
Введение
Жизнь постоянно требует от ребенка использования имеющегося у него опыта. Ежедневно в практической, игровой, бытовой деятельности ребенок должен опираться на усвоенные им способы действия с предметами, должен использовать приобретенные знания, умения и навыки. Без этого невозможна деятельность по самообслуживанию, выполнение заданий воспитателя на занятии, речевое общение со взрослыми и сверстниками, осуществление игровой и любой другой деятельности. Все чаще возникает необходимость преднамеренно запомнить и затем вспомнить. Важной предпосылкой развития произвольных процессов памяти является относительно высокий уровень развития непосредственной памяти, так как чем богаче опыт и знания детей, запечатленные ими непроизвольно, тем легче осуществляется использование продуктов непроизвольной памяти в практической и умственной деятельности дошкольников [22].
Память играет важнейшую роль в жизни человека. Наша психика не только получает непосредственную информацию об окружающем мире при помощи органов чувств и благодаря мышлению, но и хранит, накаливает ее. В течение жизни мы узнаем что-то новое и сохраняем информацию благодаря памяти. С.Л. Рубинштейн указывал, что без памяти человек представлял бы собой существо мгновения, а по словам И.М. Сеченова он постоянно находился бы в положении новорожденного. Память связывает прошлое субъекта с его настоящим и будущим и является важнейшим познавательным процессом [3].
Важнейшую роль в развитии памяти играет мышление, в первую очередь формирование понятий. Л.С. Выготский утверждал, что "для ребенка раннего возраста мыслить, значит вспоминать, для подростка вспоминать - значит мыслить" [1, с.55]. С возрастом меняется не только структура самой памяти, но и ее место в ряду других психологических функций. Согласно взглядам А.Н. Леонтьева, развитие памяти ребенка идет от ассоциативно-механической к логической [3].
Не все виды памяти одинаково развиваются у людей здоровых, обычных и имеющих отклонения в развитии. Ребенку надо помогать запоминать, его надо учить контролировать правильность запоминания. Пожалуй, это является одним из главных условий успешной адаптации ребенка к школе, к учебной деятельности, к постоянным умственным нагрузкам. В связи с этим, мы выбрали тему своей работы "Особенности зрительной памяти детей старшего дошкольного возраста с ОНР III ур. р. р. ст. форма дизартрии II-III".
Работе механизмов памяти, различным эффектам ее функционирования посвящено огромное количество психологической литературы. И это неудивительно, ведь уже на заре научной психологии мнемические процессы стали предметом многочисленных исследований А.Н. Белоус, Е.В. Гордона, Л.М. Житникова. Л.В. Занкова, П.И. Зинченкоа, Н.В. Захарюта, З.М. Истомина, А.Н. Леонтьева, А.А. Смирновой и др.
Актуальность изучения. С каждым годом для ребенка появляется необходимость усваивать все большее количество информации. Овладение зрительной памятью является одним из главных условий успешной адаптации ребенка к школе, к учебной деятельности, к постоянным умственным нагрузкам.
Объект исследования: зрительная память детей старшего дошкольного возраста с общим недоразвитием речи III ур. р. р.
Предмет исследования : особенности развития зрительной памяти у старших дошкольников с общим недоразвитием речи III ур. р. р.
Цель исследования: изучить особенности развития зрительной памяти у старших дошкольников с общим недоразвитием речи III ур. р. р.
Задачи исследования:
1. Изучить психолого-педагогическую литературу по проблеме исследования.
2. Выявить и сравнить особенности развития зрительной памяти у старших дошкольников с общим недоразвитием речи с общим недоразвитием речи III ур. р. р. и дошкольников с нормой речевого развития.
3. Подобрать упражнения, направленные на развитие зрительной памяти у старших дошкольников с общим недоразвитием речи III ур. р. р.
Гипотеза: у старших дошкольников с дизартрией овладение зрительной памятью недостаточно развито по сравнению со сверстниками, речь которых соответствует возрастному развитию
Методы исследования:
1. Теоретический анализ психолого-педагогической литературы.
2. Метод тестов:
· Методика 1. "Запомни и найди".
· Методика 2. "Запомни и нарисуй".
· Методика 3 "Восстанови порядок".
3. Количественный и качественный анализ. Метод математической статистики хи-квадрат Пирсона.
Глава I. Теоретические аспекты исследования зрительной памяти детей старшего дошкольного возраста с общим недоразвитием речи
1.1 Исследование проблемы памяти в психологии
По мнению И.М. Сеченова, именно память занимает главенствующее место в психической жизни. Сквозной характер мнемической функции, ее представленность на всех уровнях психофизиологической организации человека отмечают и современные исследователи. Пронизывая все уровни психического, память участвует в работе всех когнитивных структур, в каждый момент текущего настоящего. Память - стержневое психическое образование. Именно благодаря памяти становится возможным накопление сознательного опыта. Работу механизмов сознания, осознаваемые и неосознаваемые эффекты понимания, осуществление моторных программ, эффекты научения и, в целом, развитие человека в онтогенезе, невозможно адекватно объяснить без учета роли памяти в процессах сознательной деятельности. Сознание работает, опираясь на память в качестве базового условия реализации познавательных актов [3].
Память - это психический познавательный процесс, заключающийся в закреплении, сохранении и последующем воспроизведении прошлого опыта, что делает возможным его повторное использование в деятельности или возвращение в сферу сознания. Память связывает прошлое субъекта с его настоящим и будущим и является важнейшей познавательной функцией, лежащей в основе развития и обучения [3]
Исследования памяти ведутся в рамках различных подходов.
Физиологический подход сводится к изучению физиологических механизмов запоминания и сохранения информации. О. Хебб установил, что информация кратковременно запоминается в психике благодаря возникновению электрической импульсной активности в замкнутых цепях нейронов, а переход этой информации в долговременную память связан с устойчивыми изменениями, возникающими в результате многократного прохождения импульсов через одни и те же синапсы.
В исследованиях советского ученого Е.Н. Соколова показано, что повторяющееся воздействие внешнего раздражителя приводит к формированию в нервной системе "следа", сохраняющего параметры раздражителя [3].
Биохимический подход предполагает, что память функционирует благодаря определенным химическим изменениям в нервных клетках. Сигналы из внешнего мира вызывают изменения в нервных клетках. При этом происходит перегруппировка между различными типами белковых молекул нейронов, что и является предпосылкой запоминания [3].
Психологический подход исследования памяти связан с положением ряда теорий относительно механизмов запоминания. Среди этих теорий наибольшую популярность получили ассоциативная теория, гештальт-теория, психоанализ и деятельностный подход.
Ассоциативное направление (Г. Эббингауз, Г. Мюллер, А. Пильцекер). Представители этого направления считали, что в основе памяти лежит ассоциация. В соответствии с этой теорией ассоциация выступает в качеству обязательного принципа всех психических образований. Этот принцип сводится к следующему: если определенные психические образования возникают в сознании одновременно или непосредственно друг за другом, то между ними образуется ассоциативная связь. Поэтому повторное появление какого-либо из элементов этой связи вызывает в сознании представление всех ее элементов.
Гештальттеория ( М. Вертгеймер, К. Коффка, В. Келер). В русле данной теории особенно подчеркивалось значение структурирования материала, его доведение до целостности, организации в систему при запоминании и воспроизведении, а также роль намерений и потребностей человека в процессах памяти. Главная мысль - при запоминании, и при воспроизведенении материал обычно выступает в виде целостной структуры, а не случайного набора элементов, сложившихся на ассоциативной основе.
Взгляды сторонников бихевиоризма на проблему памяти оказались весьма близкими к тем, разделялись ассоцианистами. Единственное существенное различие между ними заключалось в том, что бихевиористы подчеркивали роль подкреплений в запоминании материала и много внимания уделяли изучению того, как работает память в процессах научения [3].
В начале XX века возникает смысловая теория памяти . Утверждается, что работа соответствующих процессов находится в непосредственной зависимости от наличия или отсутствия смысловых связей, объединяющих запоминаемый материал в более или менее обширные смысловые структуры (А. Бине, К. Бюлер). На первый план при запоминании и воспроизведении выдвигается смысловое содержание материала. Утверждается, что смысловое запоминание подчиняется иными законам, чем механическое: подлежащий заучиванию или воспроизведению материал в данном случае включается в контексте определенных смысловых связей [22].
Деятельностный подход . В контексте этой теории память выступает как особый вид психологической деятельности, включающий систему теоретических и практических действий, подчиненных решению мнемической задачи - запоминания, сохранения и воспроизведения разнообразной информации. Здесь внимательно исследуется состав мнемических действий и операций, зависимость продуктивности памяти от того, какое место в структуре занимает цель и средства запоминания (или воспроизведения), сравнительная продуктивность произвольного и непроизвольного запоминания в зависимости от реорганизации мнемической деятельности (А.Н. Леонтьев, П.И. Зинченко, А.А. Смирнов и др.) [22]
Существуют разные виды памяти. Зрительная память, один из видов памяти, характеризующийся тем, что люди, ею обладающие, легче запоминают впечатления, полученные ими при посредстве зрения; так, при заучивании наизусть они быстрее достигают этого, если сами читают, чем если им читают вслух, т.к. при передаче прочитанного в их сознании возникают зрительные образы прочитанного, страницы и строчки, на которых это написано. Лица или предметы, когда-либо виденные, иногда остаются в памяти на всю жизнь. Исследование показывает, что зрительная память лучше развита у девочек, нежели у мальчиков. Некоторые ученые локализуют зрительную память на наружной поверхности затылочной доли, разрушение которой ведет за собой отсутствие узнавания предметов (или т. н. душевную слепоту) [11].
Таким образом, память - это важнейшее условие психической жизни личности. Она обеспечивает единство и целостность человеческой личности. Даже элементарный познавательный акт, каким является сенсорное отображение стимульного воздействия, невозможен без участия памяти. Память не только позволяет идентифицировать и опознавать окружающую нас предметную реальность, но и обеспечивает необходимые условия познавательной деятельности. Любой психический процесс распадался бы без памяти, ведь процессуальная природа познавательной активности сознания неизбежным образом предполагает сохранение результатов психической деятельности на промежуточных этапах построения познавательного акта. В противном случае, любое когнитивное действие не получало бы своего завершения.
1.2 Психологический анализ структуры речевого нарушения у дошкольников с общим недоразвитием речи
При изучении речевых нарушений важно определить, какая из операций порождения речевого высказывания нарушена. В отечественной логопедии используются модели порождения речевого высказывания, разработанные Л.С. Выготским, А.А. Леонтьевым, Т.В. Рябовой [1; 21].
зрительная память недоразвитие речь
Речь является средством регуляции высших психических функций. Так, включаясь в процесс восприятия, она делает его более обобщенным и дифференцированным; вербализация запоминаемого материала способствует осмысленности запоминания. В норме регулирующая функция речи возникает к концу дошкольного возраста и имеет большое значение для перехода ребенка к школьному обучению.
Недоразвитие речи предполагает качественно более низкий уровень сформированности той или иной речевой функции или речевой системы в целом.
Под общим недоразвитием речи в логопедии понимается такая форма речевой аномалии, при которой нарушено формирование всех компонентов речи. Понятие "общее недоразвитие речи" предполагает наличие симптомов несформиованности (или задержки развития) всех компонентов речевой системы (фонетико-фонематической ее стороны, лексического состава, грамматического строя). Общее недоразвитие речи может иметь различный механизм и соответственно различную структуру дефекта [19].
Таким образом, термин "общее недоразвитие речи" характеризует только симптомологический уровень нарушения речевой деятельности. В большинстве случаев при этом нарушении возможно не столько недоразвитие, сколько систематическое расстройство речи.
М.Е. Хватцев впервые все причины речевых нарушений разделил на внешние и внутренние, особо подчеркнул их тесное взаимодействие. Он также выделил органические, функциональные, социально-психологические и психоневрологические причины. К психоневрологическим причинам М.Е. Хватцев относил умственную отсталость, нарушение памяти, внимания и другие расстройства психический функций [10].
Одним из принципов анализа речевых нарушений, выдвинутых Р.Е. Левиной, является связь речи с другими сторонами психического развития ребенка. Как показали работы Л.С. Выготсткого, А.Н. Леонтьева, А.Р. Лурия и других ученых, человеческие формы поведения, речь, психические функции и способности не даны ребенку от рождения. Они формируются под решающим воздействием влияния целенаправленного воспитания и обучения, условий его жизни в обществе. Соответственно, физиологическим субстратом человеческих психических свойств является не врожденные нервные механизмы, а прижизненно формирующиеся функциональные системы (А.В. Запорожец, Л.А. Венгер) [10].
Все психические процессы у ребенка - воспитание, память, внимание, воображение, мышление, целенаправленное поведение - развиваются с прямым участием речи (Л.С. Выготский, А.Р. Лурия, А.В. Запорожец и др.).
У ребенка с нарушениями речи при отсутствии соответствующих коррекционных мероприятий может замедлиться темп его интеллектуального развития. В силу дефекта речи он мало общается с окружающими, круг представлений в связи с этим значительно ограничивается, тем развития мышления замедляется.
Дизартрия (от греческих слов: dys - приставка, означающая затруднение, нарушение функции + arthroo - членораздельно произношу) - нарушение произношения звуков речи. Дизартрия - несформированность звукопроизносительной стороны речи, обусловленная нарушением иннервации речевой мускулатуры.
Основные проявления дизартрии [15]:
Речевые:
1) Нарушение голосообразования.
2) Нарушение звукопроизношения (практически всех групп звуков). В зависимости от степени поражения может страдать произношение всех или нескольких согласных. Может нарушаться и произношение гласных звуков (они произносятся неясно, искаженно, часто с носовым оттенком).
3) Страдает так называемая речевая просодика (совокупность ритмико-интонационных средств речи), включающая: тембр (глухой, хриплый, монотонный, сдавленный, тусклый; может быть гортанным, форсированным, напряженным, прерывистым и т.д.); силу голоса; темп; паузу; ритм; модуляцию (ребенок не может произвольно менять высоту тона); логическое ударение; речевое дыхание; интонацию; эмоциональную окраску; полетность голоса; дикцию и общую мелодику речи. Именно просодические компоненты определяют выразительность, разборчивость речи, ее эмоциональное воздействие в процессе общения.
4) Нарушение восприятия фонем (звуков) и их различения. Возникает вследствие нечеткой, смазанной речи, которая не дает возможности сформироваться правильному слуховому образу звука.
5) Нарушение грамматического строя речи.
Неречевые:
1) Нарушения двигательного аппарата. Наиболее часто дизартрия наблюдается при детском церебральном параличе (по данным различных авторов, от 65 до 85%). Нарушение артикуляции (движений мышц, обеспечивающих произношение звуков).
2) Нарушение эмоционально-волевой сферы.
3) Нарушение ряда нервно-психических функций (внимание, память, мышление). Задержка темпа психического развития.
4) Нарушение познавательной деятельности.
5) Своеобразное формирование личности [10; 20].
В настоящее время проблема дизартрии детского возраста интенсивно разрабатывается в клиническом, нейролингвистическом, психолого-педагогическом направлениях. Наиболее подробно она описана у детей с церебральным параличом (М.Б. Эйдинова, Е.Н. Правдина-Винарская, К.А. Семенова, Е.М. Масткжова, И.И. Панченко, Л.А. Данилова и др.). В зарубежной литературе она представлена работами G. Bohme, М. Climent, Т.Е. Twitchell, R. D. Neilson, N. О'. Dwer [8].
Таким образом, в результате анализа научной литературы мы пришли к выводу, что при стертой формой дизартрии помимо неправильного звукопроизношения существует ряд нарушений, таких как: неполная развитость мелкой и крупной моторики, нарушение в строении артикуляционного аппарата, нарушение выразительности речи: интонации, темпа, ритма, тембра и. т.д.
1.3 Особенности зрительной памяти детей старшего дошкольного возраста с общим недоразвитием речи
Важную роль в психическом развитии дошкольника играет память, в значительной степени она определяет все психические процессы, в том числе и мышление. Если на предыдущем этапе мыслительные процессы были наглядно-действенными, напрямую зависели от конкретной ситуации, то теперь ребенок опирается на образы предметов, свои представления о них, оперирует ими, воспроизводя их в памяти. Возможности памяти в этом возрасте колоссальны: ребенок запоминает практически все, с чем ему приходится встречаться. Однако надо иметь в виду, что память дошкольника отличается от памяти взрослого - она преимущественно непроизвольная и эмоционально-образная. Запоминание происходит легко и естественно, фиксируя целостную картину мира и ощущения, которые испытывает ребенок. Ребенок еще не может отличить важное от второстепенного, главным фактором запоминания является интерес ребенка к предмету, эмоциональный отклик, который вызывает событие. Эта особенность памяти иногда ставит в тупик родителей [13].
Обнаружены следующие изменения, совершающиеся со зрительным образом в процессе сохранения: упрощение (опускание деталей), некоторое преувеличение отдельных деталей, преобразование фигуры в более симметричную (более однообразную). Сохраняемая в памяти форма может округляться, расширяться, иногда меняется ее положение и ориентация. В процессе сохранения образ трансформируется и по цвету. Яснее и ярче всего зрительно воспроизводятся образы, редко встречающиеся, неожиданные. С одной стороны, указанные преобразования образа в памяти делают его менее точным по сравнению с образом в словесной памяти. С другой стороны, эти преобразования могут принести пользу - превратить образ в общую схему и до известной степени сделать его символом. Зрительная образная память плохо поддается произвольному управлению, а хорошо помнить только особенное, экстраординарное - еще не значит иметь хорошую память [9].
Развитие памяти тесно связано с развитием мышления, так как прогресс операциональных структур мышления оказывает положительное воздействие на мнемические процессы. Опосредствованная, произвольная, логическая (зрительная и слуховая) память есть следствие совершенствования не только непроизвольной, непосредственной, образной памяти, а также включение в процесс логического запоминания и воспроизведения мыслительных операций (обобщение, классификация, систематизация, смысловая группировка и т.д.), которые становятся мнемотехническими приемами, осмысленно используемые ребенком в процессе обучения. Существенную роль в развитии памяти играет речь, потому что материалом для функционирования памяти являются слова-понятия, смысловое и семантическое содержание [2].
До 3-4 лет память ребенка носит преимущественно непреднамеренный характер. Ребенок еще не только не умеет ставить перед собой цель запоминать - вспоминать, но и не принимает исходящую извне мнемическую задачу. Не овладевает он и теми способами, приемами, которые позволили бы ему преднамеренно осуществить процессы запоминания и воспроизведения. Непроизвольно запечатлевается то, с чем ребенок действует, что включено в его деятельность. Большое значение при этом имеет речь. Советские психологи (А.А. Смирнов, П.И. Зинченко) установили, что в определенных условиях непроизвольное запоминание у детей может быть продуктивнее произвольного. Это происходит тогда, когда деятельность, в которую включено непроизвольное запоминание, требует интеллектуальной активности ребенка, т.е. когда непроизвольное запоминание происходит в процессе решения каких-либо мыслительных задач.
С возрастом структура мнемической деятельности усложняется: непосредственное и непроизвольное запоминание перерастает в сложную, сознательно регулируемую деятельность, опирающуюся на все более и более сложные способы переработки запоминаемого материала, т.е. основные качественные изменения в памяти ребенка дошкольного возраста заключаются в постепенном переходе от ее непроизвольных форм к произвольным [13].
Образная память обычно ярче проявляется и детей и подростков. У взрослых людей ведущая память, как правило, не образная, а логическая. Однако есть профессии, где полезно иметь развитую образную память. Выявили, что можно эффективно тренировать образную память, если воспроизводить заданные картины мысленно в расслабленном пассивном состоянии с закрытыми глазами перед сном [16].
Характер выполнения задания на зрительную память у детей с легкой формой дизартрии аналогичен результатам исследования их на переключаемость внимания, что по-видимому связано с нарушением нейро-динамических связей в коре больших полушарий. Слабость процесса запоминания слов у детей с легкой формой дизартрии связана не только с затруднением выработки условных рефлексов, ослаблением внимания, но и, возможно, с нарушением фонематического слуха, возникающего вследствие недоразвития звукопроизношения [7].
Таким образом, анализ литературы показал, что у детей с легкой формой дизартрии имеются значительные отклонения, которые можно объяснить не только нарушением их фонематического слуха, но и расстройством активного внимания.
Выводы по первой главе
На основании анализа литературы был сделан ряд выводов:
1. Развитие памяти тесно связано с развитием мышления, так как прогресс операциональных структур мышления оказывает положительное воздействие на мнемические процессы. Воспитание логической памяти предполагает, прежде всего, развитие мыслительной деятельности детей - развитие умения анализировать, выделять в предметах определенные свойства, признаки, сравнивать предметы и явления между собой; осуществлять обобщение, объединяя различные объекты по каким-либо общим признакам, классифицировать предметы и явления на основе произведенного обобщения; устанавливать смысловые связи. Именно мыслительные операции на определенной ступени их освоения становятся способами логического запоминания.
2. Зрительная память - вид памяти, который основывается на зрительном восприятии. Люди, с преобладающей зрительной памятью легче запоминают увиденный материал, чем услышанный.
3. У дошкольников со стертой формой дизартрии существуют незначительнее нарушения в памяти, в том, числе и зрительной. Во многом это связано с тем, что у них имеются сложности в развитии внимания.
Глава II. Изучение особенностей зрительной памяти старших дошкольников с общим недоразвитием речи
2.1 Методика и организация исследования
Зрительная память во многом оказывает влияние на успешность обучения нынешних дошкольников в школе. Важно формировать некоторые приемы зрительного запоминания у детей дошкольного возраста в целях лучшей подготовки их к школьному обучению. Для того, чтобы улучшить память дошкольников, обучить их необходимым способам запоминания, необходимо осуществить диагностику и выявить слабые места по данной проблеме у дошкольников. Так в последнее время увеличилось число детей с общим недоразвитием речи в старшем дошкольном возрасте, в частности с таким диагнозом, как стертая форма дизартрии. В связи с этим, появилась необходимость проводить диагностику памяти таких дошкольников и изучать особенности их зрительного запоминания.
В нашем исследовании принимало участие 40 дошкольников, из них - 20 - с нормой речевого развития и 20 с общим недоразвитием речи III уровня (стертая форма дизартрии II-III ст. развития). Был составлен список детей, где каждому ребенку присваивался определенный порядковый номер, который сохранялся на протяжении всего исследования (см. Приложение А).
Для изучения особенностей зрительной памяти были использованы 3 методики:
· Методика 1. "Запомни и найди".
· Методика 2. "Запомни и нарисуй".
· Методика 3. Восстанови порядок".
Эти методики используются для диагностики мнемонических способностей при подготовке дошкольников к школе [14; 19]. Подробное описание методик представлено в приложении (см. Приложение Б). Все данные диагностики отражены в протоколах (см. Приложение В)
Исследование проходило в несколько этапов:
На первом этапе обследованы были дети с нормой речевого развития.
На втором этапе обследованы дети с общим недоразвитием речи.
На третьем - была проведена сравнительная диагностика результатов первого и второго этап исследования, проведена статистическая обработка данных методом хи-квадрат Пирсона, сделаны выводы.
2.2 Результаты экспериментального исследования
Нами было проведено обследование детей по методике "Запомни и найди". Задание состояло из двух серий: первая - таблицы с изображением предметов, вторая - таблицы с изображением геометрических фигур.
Ребенку показывали карточку с изображением предметов, и предлагалось запомнить их, чтобы затем отыскать среди других в нижней части таблицы. То же - с геометрическими фигурами. Оценка результатов проходила в зависимости от того, сколько фигур показал ребенок - от 4 до 0 баллов.
В результате проведенного исследования были получены результаты, которые отражены в таблице 2.1.
Таблица 2.1 - Результаты диагностики детей по методике "Запомни и найди"
| Категория испытуемых |
Кол-во баллов по методике "Запомни и найди" |
|||||||||
| 4б |
3б |
2б |
1б |
0б |
||||||
| 1сер |
2сер |
1сер |
2сер |
1сер |
2сер |
1сер |
2сер |
1сер |
2сер |
|
| Дети с нормой речевого развития |
65% |
55% |
35% |
45% |
0% |
0% |
0% |
0% |
0% |
0% |
| Дети с ОНР |
0% |
0% |
15% |
15% |
45% |
20% |
35% |
35% |
5% |
30% |
В результате анализа таблицы можно сделать следующие выводы:
· Среди дошкольников с нормой речевого развития правильно выполнили все задание 65% испытуемых при предъявлении первой серии и 55 % во второй серии, в то время, как среди их сверстников с ОНР никто не смог правильно показать все 4 предмета.
· Правильно воспроизвели 3 картинки 35% при предъявлении первой серии и 45% во второй серии дошкольники с нормой речевого развития. Среди детей с ОНР 15% как при предъявлении первой, так и при предъявлении второй серии картинок воспроизвели 3 картинки.
· Среди детей с нормой речевого развития не было, тех, кто показал менее 3-х картинок правильно. Среди детей с ОНР полностью не справились с заданием 5% в первой серии и и30% во второй серии. Эти дошкольники не смогли правильно показать ни одной картинки. Как правило, они молчали, не прислушивались к наводящим вопросам и подсказкам педагога. Показали правильно только 1 картинку 35% как в первой, так и во второй серии. Следует отметить, что дошкольники чаще всего показывали наугад. Показали правильно 2 картинки - 45% в первой серии и 20% испытуемых во второй серии. В данном случае дети так же показывали картинки наугад. Долго молчали. Неохотно отвечали на вопросы педагога. Следует отметить, что первая картинка, состоящая из отдельных предметов, была более легкая дл воспроизведения, как для дошкольников с нормой речевого развития, так и для детей с ОНР.
Следующим заданием на изучение зрительной памяти старших дошкольников была методика "Запомни и нарисуй". Результаты диагностики представлены в таблице 2.2.
Таблица 2.2 - результаты диагностики по методике "Запомни и нарисуй"
| Категория испытуемых |
Серии методики "Запомни и нарисуй" |
||||
| Серия А |
Серия Б |
Серия В |
Серия Г |
Серия Д |
|
| Дети с нормой речевого развития |
3б-70% 2б-25% 1б-5% 0б-0% |
3б-70% 2б-30% 1б-0% 0б-0% |
3б-50% 2б-40% 1б-10% 0б-0% |
3б-50% 2б-40% 1б-10% 0б-0% |
3б-15% 2б-50% 1б-35% 0б-0% |
| Дети с ОНР |
3б-15% 2б-30% 1б-15% 0б-0% |
3б-15% 2б-50% 1б-35% 0б-0% |
3б-5% 2б-55% 1б-40% 0б-0% |
3б-0% 2б-40% 1б-35% 0б-25% |
3б-0% 2б-30% 1б-25% 0б-45% |
На основании анализа таблицы можно сделать следующие выводы:
· Среди испытуемых с нормой речевого развития в серии А 70% выполнили правильно задание, и 25% выполнили с ошибкой. Ошибка чаще всего заключалась либо в нарушении последовательности фигур, либо в положении фигур в пространстве (треугольник перевернут). Среди их сверстников с ОНР только 15% справились полностью с заданием, 30% допустили ошибки (как правило, такие же как и дети с нормой речевого развития) и 15% воспроизвел только 1 фигуру.
· В серии Б 70% испытуемых так же справились с заданием и 30% допустили ошибки (такие же как и впервой серии). Среди детей с ОНР только 15% справились с заданием, 30% допустили незначительные ошибки в изображении (вместо фигуры "птичка" рисовали треугольник") и 35% правильно воспроизвели только одну фигуру, как правило, это был круг. Пропускали "+"
· В серии В было предложено 4 предмета для рисования. Правильно с заданием справилось 50% из группы детей с нормой речевого развития и 5% детей с ОНР. Воспроизвели фигуры с ошибкой - 40% из первой группы и 55% из второй. Основная ошибка заключалась в том, что дошкольники меняли последовательность фигур. Нарисовали только одну фигур - 10% детей с нормой речевого развития и 40% с ОНР. Дети с ОНР не могли рассказать педагогу, какие фигуры они еще запомнили.
· В серии Г было предложено для зарисовывания 5 фигур. Из группы детей с нормой речевого развития 50% дошкольников справились с заданием. На вопрос, касающийся того, как они запоминали фигуры, многие дети показали владение логическими приемами запоминания. В частности "овал - похож на облако (крышку стола, конфету-сосульку)" и т.д.40% детей допустили как минимум одну ошибку в изображении предметов. Ошибки заключались в том, что меня последовательность предметов, меняли положение треугольника в пространстве, вместо овала рисовали круг.10% детей нарисовали правильно только 1-2 фигуры. Для их сверстников с ОНР данное задание было сложным. Так, никто не смог правильно воспроизвести все фигуры, 40% испытуемых допустили как минимум 1 ошибку. Ошибки такие же, как и у их сверстников с нормой речевого развития.35% испытуемых смогли правильно изобразить только 1 фигуру. Чаще это был квадрат, реже - зигзаг.25% детей не справились с заданием.
· В серии Д детям было предложено для запоминания 6 фигур. Это задание было сложным как для дошкольников с нормой речевого развития, так и для детей с ОНР. Так. Среди детей с нормой речевого развития с заданием справилось только 15% испытуемых. Среди их сверстников с ОНР никто правильно не выполнил задание. Допустили хотя бы одну ошибку 50% детей из первой группы и 30% из второй. Нарисовали хотя бы 1 предмет 35% из первой группы и 25% из второй. Среди детей с ОНР 45% не справились с заданием. В данной серии присутствовали фигуры, которые детям было сложно запомнить. Большое количество предъявляемых фигур затрудняло последовательность запоминания. Дети с нормой речевого развития проговаривали фигуры во время запоминания. Детям с ОНР требовалось неоднократное повторение инструкции, иногда повторный показ.
Последним методом изучения зрительной памяти дошкольников было задание "Восстанови порядок". Было приготовлено 6 игрушек, которые были разложены в определенном порядке. Ребенку предлагалось запомнить последовательность игрушек, затем он отворачивался, а экспериментатор менял игрушки местами. Дошкольнику было необходимо воспроизвести предыдущую последовательно предметов. В зависимости от того, справился ребенок с заданием или нет, ему начислялся 1 или 0 баллов. В результате мы определили, что среди детей с нормой речевого развития 15 человек - что составляет75% справились с заданием, а среди детей с ОНР только 8 человек справилось с заданием, что составляет - 40%.
Далее нами были проссумированы все баллы и дошкольники в зависимости от набранного количества баллов распределились по трем группам развития зрительной памяти: высокий, средний и низкий.
Высокий уровень - 24-20 баллов. Дети правильно или с незначительными ошибками выполнившие все задания. Эти дошкольники имеют достаточно высокий уровень сформированности зрительной памяти, соответствующий показателям детей с нормальным речевым развитием, познавательная активность, интерес к заданию высоки, целенаправленная деятельность детей устойчива и планомерна.
Средний уровень - 19-14баллов. Уровень развития зрительной памяти у детей, вошедших в данную группу, ниже возрастной нормы. Речевая активность у них снижена, дети испытывают трудности приема словесной инструкции, демонстрируют ограниченный объем кратковременной памяти, невозможность удержать рисунки в памяти. Им необходимо неоднократное повторение словесной инструкции.
Низкий уровень - ниже 14 баллов: Для детей характерны недостаточная концентрация внимания, низкий уровень вопроизведения на основании зрительного запоминания, низкий уровень познавательной активности. Характерно недоразвитие логических операций. Инструкцию слушают невнимательно, требуется неоднократное ее повторение.
Для сравнения результаты диагностики представлены в таблице 2.3 В графическом виде данные представлены на рисунке 2.1
Таблица 2.3 - Результаты диагностики зрительной памяти дошкольников
| Категория испытуемых |
Высокий уровень |
Средний уровень |
Низкий уровень |
|||
| Кол-во чел. |
% |
Кол-во чел. |
% |
Кол-во чел. |
% |
|
| Дошкольники с нормой речевого развития |
11 человека |
55% |
9 человек |
45% |
0 человек |
0% |
| Дошкольники с ОНР |
1 человек |
5% |
6 человека |
30% |
13 человек |
65% |
Рисунок 2.1 - Сравнительный анализ зрительной памяти дошкольников обеих групп
Из гистограммы видно, что в группе дошкольников с ОНР только 1 ребенок с высоким уровнем развития зрительной памяти. В то время, как в группе детей с нормой речевого развития нет детей с низким уровнем зрительно памяти. Это говорит о том, что у большинства детей с нормой речевого развития хорошо развита зрительная память, им проще мыслить образами. Так же во время проведения диагностики было замечено, что эти дошкольники пользуются логическими приемами запоминания.
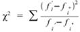
Для проверки данных нами была использован метод математической статистики Метод χ2 ("хи-квадрат"). Этот статистический метод используется для обработки качественных данных. С его помощью можно проверить, существует ли достоверное различие между числом людей, справляющихся или нет с заданиями, например, теста, и числом этих же людей, получающих при обучении высокие или низкие оценки. Так как у нас есть две выборки и особенности овладения речью у них распределяется по трем уровнем, мы посчитали, что метод χ2 будет оптимальным методом математической статистики. Так как у нас идет сравнение двух выборок, мы использовали следующую формулу:
, где f i
’, f i
’’ - частоты двух сопоставляемых выборок.
f i ’ - дошкольники с нормой речевого развития
f i ’’ - дошкольники с ОНР.
Определим, значимо ли различие частот в этих двух группах. Вычисление χ 2 проводим по формуле сравнения эмпирических выборок:
Таблица 2.4 - Математическая обработка данных
| f i ’ |
f i ’’ |
|
|
|
|
|
| Высокий уровень |
11 |
1 |
10 |
100 |
12 |
8,3 |
| Средний уровень |
9 |
8 |
1 |
1 |
17 |
0,05 |
| Низкий уровень |
8 |
11 |
-11 |
121 |
11 |
11 |
| ∑=19,3 х2 =19,3 |
Полученная сумма сравнивалась с табличным значением и с учетом числа степеней свободы k, определяемого как уменьшенное на единицу количество сопоставляемых разрядов f i .
В результате обработки данных мы получили ∑=19,3, следовательно х2 =19,3.
Так как табличное значение χ 2 (при P = 0.05 и числе степеней свободы 2) = 5.99 не превышает вычисленное, то существуют значительные различия между частотами в двух группах испытуемых. Что и следовало доказать.
Таким образом, исследование зрительной памяти дошкольников позволяет заключить, что она у детей с ОНР (ст. форма дизартрии II-III уровня) значительно хуже, чем у детей без речевой патологии. Исследование функции внимания показывает, что дети с дизартрией быстро устают, нуждаются в побуждении со стороны экспериментатора, затрудняются в выборе продуктивной тактики, ошибаются на протяжении всей работы. Причиной этому могло быть то, что у ребят из-за недоразвития речи слабо развиты мыслительные операции: обобщение классификация, синтез, анализ, а так же внимание.
Выводы по второй главе
Для изучения особенностей зрительной памяти нами были отобраны 3 методики. Диагностика проводилась среди детей с нормально развитой речью и их сверстников с общим недоразвитием речи (дизартрия II-III степени).
После проведенной работы в двух группах мы выяснили, что среди детей с хорошо развитой речью, на 50% больше дошкольников, которые владеют зрительной памятью, в частности, имеют высокий уровень развития, по сравнению с их сверстниками, имеющими недоразвитие речи.
Ребята с дизартрией не всегда понимали и следовали инструкции. Они быстро уставали, часто показывали картинки наугад. При наблюдении отмечается, что у них не прослеживались логические связи при запоминании.
Математическая обработка данных показала, что существуют различия в двух группах с точки зрения развития зрительной памяти. Все это говорит о необходимости проведения целенаправленной работы по развитию зрительной памяти у обеих группах испытуемых.
Глава III. Методические рекомендации по развитию зрительной памяти у старших дошкольников с общим недоразвитием речи
Между умственным и речевым развитием ребенка существует тесная взаимосвязь, поэтому коррекционная работа должна оказывать комплексное воздействие на все психические процессы. Среди детей-логопатов нередко встречаются дети с низким уровнем всех видов памяти: зрительной, слуховой, тактильной. В то время как школьное обучение требует достаточно высокого ее уровня для достижения определенных результатов.
Система развития памяти, разработанная И.Ю. Матюгиной и Е.И. Чакаберия имеет сильную теоретическую основу. Она открывает широкие возможности для коррекции отклонений в психическом развитии, базируясь на представлении о сложной и активной природе процессов запоминания, опирающихся у человека на целый ряд совместно работающих аппаратов коры головного мозга, каждый из которых вносит свой специфический вклад в организацию этих процессов.
Система состоит из 20 игр, развивающих образное мышление, воображение, зрительную, автобиографическую память, память на соощущения. Она представляет собой адаптированный для детей дошкольного возраста вариант игр, цель которых - развитие зрительной памяти у детей с речевыми нарушениями на комплексных логопедических занятиях (см. Приложение Г).
Игра 1. "Найди отличия"
Цели:
автоматизировать звук [л] в словах;
развивать зрительное восприятие, зрительную память;
развивать мелкую моторику;
формировать навыки самооценки.
Игра 2. "Непослушный щенок"
Цели:
автоматизировать шипящие звуки в словах;
развивать зрительное восприятие и зрительную память;
учить ориентироваться на листе бумаги;
развивать мелкую моторику;
формировать навыки самооценки;
обучать составлению рассказа.
Игра 3. "Тактильные ощущения"
Цели:
автоматизировать шипящие и свистящие звуки;
развивать зрительное восприятие и зрительную память;
учить запоминать при помощи "тактильных" представлений;
развивать мелкую моторику;
формировать навыки самооценки.
Игра 4. "Фотография"
Цели:
автоматизировать шипящие звуки в речи;
развивать зрительное восприятие методом "фотографии";
развивать мелкую моторику.
Игра 5. "Фотография фигур"
Цели:
автоматизировать [р’] в речи;
развивать зрительное восприятие методом "фотографии";
развивать мелкую моторику;
формировать навык самооценки.
Игра 6. "Кто в домике живет?"
Цели:
автоматизировать сонорные звуки;
развивать зрительное восприятие и зрительную память;
учить запоминать изображения при помощи систематичного расположения.
Игра 7. "Я вижу и слышу"
Цели:
автоматизировать определенные звуки (каждому ребенку предлагаются картинки в соответствии с нарушением звукопроизношения);
учить запоминать значки-символы при помощи "оживления" и "озвучивания";
развивать зрительное и слуховое восприятие, воображение;
обогащать лексический запас.
Игра 8. "Я вижу и чувствую"
Цели:
учить запоминать при помощи "оживления", "озвучивания", представляя, какой запах может исходить от предмета;
автоматизировать определенные звуки речи;
обогащать словарный запас;
развивать воображение, зрительное восприятие и память.
Игра 9. "Хорошее настроение"
Цели:
обучать умению составлять рассказ;
совершенствовать звукопроизношение;
обогащать словарный запас;
развивать память и воображение.
Приведенная методика развития зрительной памяти И. Матюгиной и Е. Чакаберия, адаптированная к детям дошкольного возраста с речевыми нарушениями, помогает добиться высокой результативности коррекционного процесса, подготовить к обучению в школе и предотвратить возникновение дислексии и дисграфии [17].
Зрительная память возможно так же развивать через такие игры, как "Посмотри и назови", "Что изменилось?", "Чего (кого) не стало?", "Что прибавилось?". Запоминание расположения игрушек или картинок. "Сколько картинок будешь запоминать?" [6; 12].
Для развития зрительно-моторной и зрительной памяти необходимо организовать работу ребенка по образцу, которую необходимо осуществлять по следующим этапам: сначала ребенок работает с постоянной зрительной опорой на образец, затем время рассматривания образца сокращается до 15-20 с (в зависимости от сложности предлагаемой работы), но так, чтобы ребенок успел рассмотреть и запечатлеть образец. Эти виды упражнений целесообразно проводить на таких видах деятельности, как рисование, лепка, списывание с доски, работа с конструктором, рисование узоров по клеточкам. Кроме того, дети всегда с удовольствием выполняют задания следующего типа: на определенное ограниченное время предъявляют какую-либо сюжетную картинку, содержание которой дети должны детально изучить и потом воспроизвести по памяти. Затем предъявляют схожую картинку, в которой недостает каких-то деталей или, напротив, появляются лишние изображения. Эти отличия и должны уловить дети [18].
Таким образом, похожие упражнения легко придумать самим, варьируя условия, материал и сюжеты игр на развитие зрительно-моторной и зрительной памяти.
Заключение
Проблема изучения особенностей развития зрительной памяти детей 5-6 лет с ОНР, является достаточно актуальной для детской психологии, так как от того, как ребенок научится использовать умение запоминать, применяя разнообразные приемы, зависит его успешное обучение в школе.
Целью нашей работы было изучить и сравнить особенности развития зрительной памяти дошкольников с ОНР и их сверстников с хорошо развитой речью. В результате изучения психологической литературы нами были отмечены взгляды психологов на проблему изучения памяти и мышления, а так же рассмотрены особенности зрительной памяти детей-дошкольников.
На экспериментальном уровне, нами были выбраны методики, направленные на диагностику зрительной памяти. В результате анализа данных мы определили, что среди детей с хорошо развитой речью больше ребят, которые хорошо владеют зрительной памятью, в то время, как среди детей с ОНР многие дети затруднялись в выполнении задания. Причиной этого является то, что зрительная память развита у них недостаточно, а она, как известно, во многом зависит от развития речи. Дети этой группы в состоянии запомнить ряд картинок, но у них наблюдаются сложности при их воспроизведении. Таким образом, наша гипотеза о том, что у старших дошкольников с дизартрией овладение зрительной памятью недостаточно развито по сравнению со сверстниками, речь которых соответствует возрастному развитию, подтвердилась.
Теоретические и экспериментальные данные могут быть использованы в лекциях, консультациях для родителей дошкольников, при проведении семинаров по данной проблеме, как с педагогами, так и с родителями.
Список использованной литературы
1. Выготский, Л.С. Мышление и речь /Л.С. Выготский. - Собр. соч. Т.2. М.: "Просвещение", 1982. - 91 с.
2. Гуменная, Г.С. Развитие мнестических процессов у детей, страдающих моторной алалией. Речевые расстройства у детей и методы их устранения / Г.С. Гуменная. - М.: "Просвещение", 1978. - С.45-54.
3. Дыгун, М.А. Конспект лекций по психологии для дошкольного отделения. В трех частях. Ч.2/М.А. Дыгун, Л.Л. Михайлова, Е.А. Магонова. Мн. "Народная асвета", 2005. - 183 с.
4. Ермакова, Е.С. Изучение психологических механизмов гибкости мышления дошкольников /Е.С. Ермакова // Вопросы психологии №1 - 1996. - с.124
5. Ермакова, Е.С. Формирование гибкости мышления у дошкольников /Е.С. Ермакова // Вопросы психологии № 4 - 1999. - с.28
6. Житникова, Л.М. Учите детей запоминать / Л.М. Житникова. М.: "Просвещение", 1985. - 221 с.
7. Житомиpская, И.Г. Сравнительное изучение умственных действий старших дошкольников/ И.Г. Житомирская, Н.А. Орешкина // Вопросы психологии. №3. - 1991. - с. 19
8. Жукова, Н.С. Преодоление общего недоразвития речи у дошкольников / Н.С. Жукова, Е.М. Мастюкова, Т.Б. Филичева. М.: "Просвещение", 1990. - 310 с.
9. Зайцева, Л.А. Коррекция зрительного восприятия у детей с дизартрией / Л.А. Зайцева, Т.В. Горудко. - // Дэфекталогiя. - 2003. - №1. - С.13-28.
10. Зайцева, Л.А. Обследование детей с речевой патологией. Методические рекомендации / Л.А. Зайцева. - Мн.: НМЦентр, 1994. - 20 с
11. Иванова, Е.Ф. Роль незавершенного действия в процессах мышления и памяти /Е.Ф. Иванова // Вопросы психологии. №1. - 1991. - с.58
12. Киселев, П.А. Как развивать память ребенка / П.А. Киселева. СПб. "Питер", 1996. - 163 с.
13. Коломинский, Я.Л. Психология детей шестилетнего возраста: Учеб. Пособие. / Я.Л. Коломинский, Е.А. Панько. - 2-е изд., перераб. и доп. - Мн. "Народная асвета", 1999. - 340 с.
14. Кушнир, Н.Я. Диагностика интеллектуальных способностей детей 6-го и 7-го лет жизни / Н.Я. Кушнир. - Мозырь., 2002. - 77 с.
15. Методы обследования речи детей: Пособие по диагностике речевых нарушений/ Под общ. ред. проф. Г.В. Чиркиной. - 3-е изд., доп. - М.: АРКТИ, 2003. - 240 с.
16. Пожиленко, Е.А. Методические рекомендации по постановке у детей звуков [с], [ш], [р], [л]: пособие для логопедов / Е.А. Пожиленко. - Санкт-Петербург: Каро, 2006. - 256 с.
17. Психокоррекционная и развивающая работа с детьми: Учеб. пособие для студ. сред. пед. учеб. заведений / И.В. Дубровина, А.Д. Андреева, Е.Е. Данилова, Т.В. Вохмянина; Под ред. И.В. Дубровиной. - М.: Издательский центр "Академия", 1998. - 160 с.
18. Развитие логической памяти у детей. / Под pед. А.А. Смиpнова. М.: "Просвещение", 1976. - 415 с.
19. Филичева, Т.Б. Дети с общим недоразвитием речи / Т.Б. Филичева. М.: "Просвещение", 1999. - 168 с.
20. Филичева, Т.Б. Коррекционное обучение и воспитание детей 5-тилетнего возраста с общим недоразвитием речи / Т.Б. Филичева, Г.В. Чиркина. М.: "Просвещение", 1991. - 250 с.
21. Филичева, Т.Б. Особенности речевого развития дошкольников / Т.Б. Филичева // Дети с проблемами в развитии. - 2004. - №1. - С.35.
22. Шадpиков, В.Д. Мнемические способности: развитие и диагностика / В.Д. Шадриков, Л.В. Черемошкина. М.: "Просвещение" 1990. - 187 с.
Приложения
Приложение А
Списки детей старшего дошкольного возраста
Список детей с хорошо развитой речью
1. Кристина К.
2. Вика Г.
3. Саша К.
4. Полина П.
5. Аня К.
6. Алина П.
7. Полина Н.
8. Саша С.
9. Вика С.
10. Алина Ш.
11. Саша Х.
12. Рома Е.
13. Леша Г.
14. Максим К.
15. Паша Б.
16. Игорь Г.
17. Ольга Н.
18. Ирина К.
19. Андрей В.
20. Илья С.
Список детей с общим недоразвитием речи.
1. Паша Ш.
2. Саша Ч.
3. Матвей М.
4. Саша К.
5. Слава Г.
6. Саша Б.
7. Женя К.
8. Дима Б.
9. Женя Т.
10. Влад З.
11. Егор Н.
12. Леша П.
13. Настя К.
14. Лера М.
15. Настя Д.
16. Оля Л.
17. Анна С.
18. Анатолий С.
19. Даниил В.
20. Алина В.
Приложение Б
Методики для исследования зрительной памяти
Методика 1. "Запомни и найди"
Цель: изучение зрительной памяти.
Материал: таблицы
Инструкция : "Мы будем снова играть в "запоминалки". Я буду показывать тебе картинки, а ты постарайся запомнить их как можно больше, а затем найти на другом рисунке"
Покажите ребенку карточку с изображением предметов и предложите запомнить их, чтобы затем отыскать среди других в нижней части таблицы. То же - с геометрическими фигурами. Между запоминанием и отыскиванием изображений следует делать паузы разной длительности (от 5 с до 5 мин), причем паузы могут быть как "пустыми", так и заполненными какой-либо деятельностью (например, рисованием, рассказыванием стихотворения, повторением алфавита или таблицы умножения, выполнением физических упражнений и т.д.).

Оценка результатов выполнения задания:
1)4 6 - воспроизводит 4 картинки;
2)3 6 - воспроизводит 3 картинки;
3)2 б - воспроизводит 2 картинки;
4)1 б - воспроизводит 1 картинку;
5)0б - не воспроизводит ни одной картинки.
Методика 2. "Запомни и нарисуй"
Цель: изучение зрительной памяти.
Материал: образцы для запоминания на отдельных листах бумаги.
Инструкция: "Посмотри на рисунок, постарайся запомнить, что там нарисовано, а потом нарисуй это на другом листе"

Оценка результатов выполнения задания:
3 6 - воспроизводит все фигуры правильно;
2 6 - воспроизводит все фигуры, но с ошибкой;
1 б - воспроизводит хотя бы 1 фигуру правильно;
0 б - не воспроизводит ни одной фигуры
Методика "Восстанови порядок"
Приготовьте 5 - 10 игрушек (предметов), разложите их в случайном порядке. Предложите ребенку запомнить их расположение (15 - 20 с). Затем он отворачивается, а психолог меняет несколько игрушек (предметов) местами. Ребенок должен восстановить все в первоначальном виде. В другом варианте эти эталоны выстраиваются в ряд; психолог меняет местами их порядок в ряду.
Оценка результатов выполнения задания:
1 б - справился с заданием
2 б - не справился с заданием
Приложение В
Таблица П1. - Изучение зрительной памяти старших дошкольников с нормой речевого развития
| Дети с нормой речевого развития |
Методика "Запомни и найди" |
Методика "Запомни и нарисуй" |
Методика "Востанови порядок" |
Всего баллов |
Уровень |
|||||
| Серия1 |
Серия 2 |
Серия1 |
Серия2 |
Серия3 |
Серия4 |
Серия5 |
||||
| 1. Кристина К. |
4 |
4 |
3 |
3 |
3 |
3 |
2 |
1 |
23 |
в |
| 2. Вика Г. |
4 |
3 |
3 |
3 |
3 |
3 |
2 |
1 |
22 |
в |
| 3. Саша К. |
4 |
3 |
3 |
3 |
2 |
2 |
1 |
1 |
19 |
с |
| 4. Полина П. |
3 |
4 |
3 |
3 |
2 |
2 |
2 |
1 |
20 |
в |
| 5. Аня К. |
4 |
4 |
3 |
3 |
3 |
2 |
2 |
1 |
22 |
в |
| 6. Алина П. |
3 |
3 |
3 |
3 |
2 |
3 |
1 |
0 |
18 |
с |
| 7. Полина Н. |
2 |
4 |
3 |
3 |
2 |
2 |
1 |
1 |
18 |
с |
| 8. Саша С. |
4 |
3 |
2 |
2 |
2 |
3 |
1 |
0 |
17 |
с |
| 9. Вика С. |
4 |
4 |
3 |
3 |
3 |
3 |
2 |
1 |
23 |
в |
| 10. Алина Ш. |
3 |
4 |
1 |
2 |
2 |
1 |
1 |
0 |
14 |
с |
| 11. Саша Х. |
4 |
3 |
3 |
3 |
3 |
3 |
2 |
1 |
22 |
в |
| 12. Рома Е. |
3 |
4 |
3 |
2 |
2 |
2 |
2 |
1 |
19 |
с |
| 13. Леша Г. |
4 |
3 |
2 |
2 |
2 |
2 |
2 |
1 |
18 |
с |
| 14. Максим К. |
4 |
4 |
2 |
3 |
2 |
2 |
3 |
1 |
21 |
в |
| 15. Паша Б. |
3 |
3 |
2 |
3 |
3 |
3 |
3 |
1 |
21 |
в |
| 16. Игорь Г. |
4 |
4 |
3 |
3 |
3 |
3 |
3 |
1 |
24 |
в |
| 17. Ольга Н. |
3 |
3 |
3 |
2 |
1 |
1 |
1 |
0 |
14 |
с |
| 18. Ирина К. |
4 |
4 |
2 |
3 |
3 |
3 |
2 |
1 |
22 |
в |
| 19. Андрей В. |
4 |
3 |
3 |
2 |
1 |
1 |
1 |
0 |
15 |
с |
| 20. Илья С. |
4 |
4 |
3 |
3 |
3 |
3 |
2 |
1 |
23 |
в |
Таблица П2. - Изучение зрительной памяти старших дошкольников с ОНР
| Дети с ОНР |
Методика "Запомни и найди" |
Методика "Запомни и нарисуй" |
Методика "Востанови орядок" |
Всего баллов |
Уровень |
|||||
| Серия1 |
Серия 2 |
Серия1 |
Серия2 |
Серия3 |
Серия4 |
Серия5 |
||||
| 1. Паша Ш. |
3 |
3 |
3 |
3 |
2 |
3 |
2 |
1 |
20 |
в |
| 2. Саша Ч. |
3 |
2 |
2 |
2 |
2 |
1 |
1 |
1 |
14 |
с |
| 3. Матвей М. |
2 |
2 |
2 |
1 |
1 |
1 |
0 |
0 |
9 |
н |
| 4. Саша К. |
1 |
1 |
1 |
2 |
2 |
2 |
0 |
0 |
9 |
н |
| 5. Слава Г. |
2 |
1 |
1 |
1 |
2 |
0 |
0 |
0 |
7 |
н |
| 6. Саша Б. |
2 |
0 |
2 |
2 |
2 |
3 |
2 |
1 |
14 |
с |
| 7. Женя К. |
1 |
0 |
1 |
2 |
2 |
0 |
1 |
0 |
7 |
н |
| 8. Дима Б. |
2 |
2 |
2 |
3 |
1 |
1 |
2 |
1 |
14 |
с |
| 9. Женя Т. |
1 |
0 |
1 |
2 |
2 |
2 |
0 |
0 |
8 |
н |
| 10. Влад З. |
2 |
2 |
1 |
1 |
2 |
1 |
1 |
0 |
10 |
н |
| 11. Егор Н. |
0 |
1 |
1 |
2 |
1 |
0 |
2 |
0 |
7 |
н |
| 12. Леша П. |
2 |
0 |
1 |
2 |
2 |
2 |
0 |
1 |
10 |
н |
| 13. Настя К. |
3 |
3 |
3 |
3 |
3 |
2 |
1 |
1 |
19 |
с |
| 14. Лера М. |
2 |
1 |
1 |
1 |
2 |
3 |
3 |
1 |
14 |
с |
| 15. Настя Д. |
1 |
0 |
1 |
2 |
1 |
1 |
0 |
0 |
6 |
н |
| 16. Оля Л. |
1 |
1 |
2 |
1 |
1 |
0 |
1 |
0 |
7 |
н |
| 17. Анна С. |
2 |
3 |
3 |
3 |
2 |
2 |
0 |
1 |
16 |
с |
| 18. Анатолий С. |
1 |
1 |
2 |
1 |
1 |
2 |
2 |
0 |
10 |
н |
| 19. Даниил В. |
1 |
0 |
1 |
1 |
2 |
1 |
0 |
0 |
6 |
н |
| Алина В. |
2 |
1 |
2 |
2 |
1 |
0 |
0 |
1 |
9 |
н |
Приложение Г
Игры на развитие зрительной памяти
Игра 1. "Найди отличия"
ЦЕЛИ
автоматизировать звук [л] в словах;
развивать зрительное восприятие, зрительную память;
развивать мелкую моторику;
формировать навыки самооценки.
ОБОРУДОВАНИЕ
Две сюжетные картинки, отличающиеся отсутствием на одной из них шести предметов, со звуком [л] в названии: булка, палка, иголки, метла, лопатка, стрелка; шесть карточек с этими же предметами; цветные карандаши; шесть белых карточек; три квадрата - фишки для самооценки красного и синего цвета.
Инструкция для ребенка
1. Посмотри очень внимательно на картинку - 30-50 с. (рис.1).
2. Теперь посмотри на вторую картинку (первая закрывается) и определи, чем она отличается от предыдущей (рис.2). Чего на ней не хватает?
3. На белых карточках нарисуй предметы, которые отсутствуют на второй картинке. Предметов столько, сколько карточек.
4. Нарисовал? А вот правильный ответ - на этих карточках нарисованы недостающие предметы (рис.3). Сравни их со своими. Это легко сделать, разложив картинки по парам.
5. Посчитай, сколько у тебя ошибок. Если все правильно, можно оценить работу на отлич но красной фишкой. Если половина или больше нарисовано правильно - синей фишкой. Это хороший результат. Если меньше трех - не очень хорошо.
6. Назови нарисованные предметы правильно, четко проговаривая звук [л].
7. Определи, твердый или мягкий звук ты произнес.
8. Определи место звука в слове - начало, середина или конец.
Для каждого звука разработан свой вариант сюжетных картинок.
Игра 2. "Непослушный щенок"
ЦЕЛИ
автоматизировать шипящие звуки в словах;
развивать зрительное восприятие и зрительную память;
учить ориентироваться на листе бумаги;
развивать мелкую моторику;
формировать навыки самооценки;
обучать составлению рассказа.
ОБОРУДОВАНИЕ
Две картинки с изображением стола, накрытого скатертью, на одной из которых различные предметы: чашка, чайник, очки, ложка, шоколад, книжка, кувшин, на другой предметы на столе отсутствуют; нарисованный и вырезанный по контуру щенок; семь пронумерованных карточек с предметами: чашка, чайник, очки, ложка, шоколад, кувшин, книжка; цветные карандаши; фишки красного и синего цвета.
Инструкция для ребенка
1. Внимательно посмотри на картинку - 10-20 с. (рис.4). Запомни, какие предметы ты видишь на нарисованном столе. Где они расположены? Посмотри, что стоит ближе к тебе, что дальше, что с краю, что посередине.
2. На другой картинке (первая закрывается) ты видишь, как щенок Бобик стаскивает скатерть со стола (рис.5). Вспомни, какие предметы стояли на столе, и представь, в какой последовательности они упадут.
3. Нарисуй "падающие" предметы в той последовательности, в которой они упадут со стола.
4. Сравни свои рисунки с правильными ответами-рисунками. Обращай внимание на цифру. Если карточка осталась незаполненной - это ошибка.
5. Посчитай свои ошибки и оцени свою работу фишками: красная - отлично, ни одной ошибки нет; если 1-2 ошибки - хорошо - синяя фишка; если половина ошибок или больше - можно не оценивать.
6. Назови предметы, правильно произнося все шипящие звуки.
7. Определи, какой шипящий звук есть в названии предмета и где он находится - в начале слова, в середине или в конце.
8. Придумай рассказ под названием "Непослушный щенок".
Игра 3.
"Тактильные ощущения"
ЦЕЛИ
автоматизировать шипящие и свистящие звуки;
развивать зрительное восприятие и зрительную память;
учить запоминать при помощи "тактильных" представлений;
развивать мелкую моторику;
формировать навыки самооценки.
ОБОРУДОВАНИЕ
Два рисунка ванной комнаты, на одном из которых семь предметов переставлены местами: носки, щетка, зубная паста, мочалка, порошок, шампунь и мусор в совочке; семь предметных картинок, семь чистых квадратов такого же размера; цветные карандаши; фишки красного и синего цвета.
Инструкция для ребенка
1. Посмотри на картинку (рис.6). Как называется эта комната? Здесь есть различные предметы: легкие и тяжелые, мокрые и сухие, гладкие и шероховатые, теплые и холодные. Представь, что ты находишься в этой комнате и дотрагиваешься до каждого из этих предметов. Дотронулся? Закрываем картинку.
2. Вот другая картинка (рис.7). Посмотри и определи, чем она отличается от предыдущей. Какие предметы переставлены местами? Тебе будет легче ответить, если вспомнишь, что ты находился в комнате и дотрагивался до предметов.
3. Нарисуй эти предметы на карточках. Посчитай, сколько их.
4. Сравни свои рисунки с рисунками-ответами.
5. Если клетка осталась незаполненной - это ошибка. Если предмет назван неправильно - это тоже ошибка.
6. Назови нарисованные предметы правильно.
7. Определи, шипящий или свистящий звук ты слышишь, когда произносишь слово.
8. Составь рассказ-описание ванной комнаты.
Игра 4. "Фотография"
ЦЕЛИ
автоматизировать шипящие звуки в речи;
развивать зрительное восприятие методом "фотографии";
развивать мелкую моторику.
ОБОРУДОВАНИЕ
Счетные палочки (не более
10 шт.); кукла Знайка; лист бумаги.
Инструкция для ребенка
1. Для этой игры нам нужны палочки. Сейчас мы бросим их на стол. У тебя мало времени, чтобы посмотреть на них. Досчитаем до трех, и я их накрою листом бумаги. Это условие игры. Ты должен сказать, сколько палочек на столе.
2. Вот как это получается у Знайки: "Когда бросают палочки на стол, а затем быстро накрывают, я не успеваю их сосчитать. Поэтому я как бы пытаюсь их сфотографировать. Я бросаю взгляд на стол и закрываю глаза… Через некоторое время появляется снимок перед глазами. На этом снимке я вижу палочки и считаю их".
3. Твои возможные ответы:
"фотографию" не видишь, гадаешь, сколько было палочек;
возникает "фотография", по которой ты можешь сосчитать, сколько было палочек на столе;
сразу появляется ответ - число палочек.
4. Если не получилось - не огорчайся. Здесь нужна тренировка. Возможно, тебе помешало слишком сильное желание быстро увидеть ответ.
5. Как ты оценишь свою работу? Почему?
Игра 5. "Фотография фигур"
ЦЕЛИ:
автоматизировать [р’] в речи;
развивать зрительное восприятие методом "фотографии";
развивать мелкую моторику;
формировать навык самооценки.
ОБОРУДОВАНИЕ:
Счетные палочки; лист бумаги; фишки красные и синие.
Инструкция для ребенка
1. Сейчас я сложу из палочек геометрическую фигуру. Ты посмотришь на нее 1-2 с, затем я накрою ее листом бумаги. Когда смотришь на фигуру, представь, что твои глаза - фотоаппарат. Они не просто посмотрели, а сфотографировали эту фигуру.
2. А теперь сложи такую же фигуру из палочек.
3. Сравни свою фигуру с той, которая накрыта листом бумаги.
4. Оцени свою работу. Если нет ошибок - отлично - красная фишка; несколько ошибок - хорошо - синяя фишка; если ошибок много и фигура получилась совсем другая - плохо.
Игра 6. "Кто в домике живет?"
ЦЕЛИ:
автоматизировать сонорные звуки;
развивать зрительное восприятие и зрительную память;
учить запоминать изображения при помощи систематичного расположения.
ОБОРУДОВАНИЕ:
Девять изображений-символов, помещенных в таблицу, размером 2020 см, разделенную на девять секторов; фишки для самооценки - красная и синяя; пустая таблица; простой карандаш.
Инструкция для ребенка
1. Рассмотри таблицу-"домик" (рис.8). Посмотри, какие изображения здесь "живут", кто на каком этаже (15 с).
2. Закрываем окошки в домике. Это домик без жильцов. Постарайся вспомнить таблицу и нарисовать жильцов. Если нарисовать не можешь - назови, а я нарисую.
3. Сравни свою таблицу с таблицей, в которой были нарисованы значки. Посчитай свои ошибки.
4. Оцени свою работу. Если значка нет или он не на своем месте - это ошибка.
5. Назови значки-изображения правильно.
6. Определи место звука [р’] в слове.
Таблицы разработаны для всех групп звуков.
Если ребенок допустил много ошибок в запоминании значков-символов, необходимо научить его их запоминать. Ведь один и тот же значок может быть похож на самые разнообразные предметы и явления. Каждый значок можно "оживить". Треугольник похож на крышу дома, дорожный знак, гору; знак "плюс" можно мысленно превратить в ножницы, перекресток, лопасти вентилятора; круг может напомнить об игре в футбол, о солнце, блюдце.
"Ожившие" картинки можно соединить в изображении. Получится фильм. При этом каждая строчка таблицы может быть отдельным фильмом.
Детям нравится этот вид работы, целью которого является развитие памяти, зрительного восприятия, воображения, совершенствование звукопроизношения, обучение составлению рассказа по серии картинок, актуализация словарного запаса.
Игра 7. "Я вижу и слышу"
ЦЕЛИ:
автоматизировать определенные звуки (каждому ребенку предлагаются картинки в соответствии с нарушением звукопроизношения);
учить запоминать значки-символы при помощи "оживления" и "озвучивания";
развивать зрительное и слуховое восприятие, воображение;
обогащать лексический запас.
ОБОРУДОВАНИЕ:
Картинки с изображением значков-символов.
Инструкция для ребенка
1. Сейчас ты увидишь картинки с изображением предметов или значков-символов (рис.9). Подумай, во что это изображение можно превратить.
2. Скажи, что ты увидел и какие звуки при этом услышал.
Например, скрипичный ключ - я вижу скрипичный ключ и слышу звучание музыки; большое колесо - я вижу большое колесо, представляю трактор и слышу рычание мотора.
Игра 8. "Я вижу и чувствую"
ЦЕЛИ:
учить запоминать при помощи "оживления", "озвучивания", представляя, какой запах может исходить от предмета;
автоматизировать определенные звуки речи;
обогащать словарный запас;
развивать воображение, зрительное восприятие и память.
Инструкция для ребенка
Первый вариант. Ребенок смотрит на картинку и рассказывает, что видит и какие запахи может почувствовать. Важно научить активно пользоваться своим воображением, не ограничиваясь одной ассоциацией. Например, круг может напоминать об апельсине с его ароматом, о мяче с запахом резины и о яблоке.
Второй вариант. Тактильные ощущения. Ребенок должен почувствовать, каков предмет на ощупь.
Третий вариант. Ребенок "входит" в картинку и старается почувствовать движение, описать, какие ощущения при этом испытывает.
Научно доказано, что чем больше при обучении человека задействовано анализаторов, тем лучше и прочнее будет усвоен материал. В этих играх мы помогаем ребенку использовать при запоминании информации зрение, обоняние, двигательные и тактильные ощущения, слух.
Игра 9. "Хорошее настроение"
ЦЕЛИ:
обучать умению составлять рассказ;
совершенствовать звукопроизношение;
обогащать словарный запас;
развивать память и воображение.
ОБОРУДОВАНИЕ:
Полоска бумаги, разделенная на девять клеточек; девять значков-символов (круг, квадрат, звезда, нотка, змейка, молния, снежинка, капля и т.д.) на карточках.
Инструкция для ребенка
Перед тобой девять значков. Ты уже знаешь, что при "оживлении" значки могут превращаться в яркие картинки. Они могут быть твоими воспоминаниями, приятными или не очень, веселыми или грустными.
Картинок может быть много на один значок, потому что в нашей памяти отложилось очень много всего.
Разложи в клеточках значки в таком порядке: от самого неприятного до самого приятного. И плохое настроение сразу улетучится, а останется только хорошее. Игра может использоваться в конце занятия как психогимнастика.
Похожие рефераты:
Нарушения памяти у детей с общим недоразвитием речи
Профилактика дисграфий у дошкольников с общим недоразвитием речи
Развитие пространственных представлений на занятиях конструированием у старших дошкольников
Формирование фонематических процессов при дислексии у детей младшего школьного возраста
Коррекционная работа по устранению дислексии у детей с трудностями в обучении
Развитие мелкой моторики рук у детей дошкольного возраста с общим недоразвитием речи