| Скачать .docx |
Дипломная работа: Психолого-педагогічні аспекти комп’ютерного моделювання при вивченні розділу "Геометричної оптики"
Дипломна робота
на тему:
"Психолого-педагогічні аспекти комп’ютерного моделювання при вивченні розділу "Геометричної оптики"
Зміст
Вступ
1. Історико-методологічні аспекти дослідження
1.1 Технології комп’ютерного моделювання як різновид НІТ
1.2 Сучасний підхід для розв’язання проблеми наочності при вивченні фізики
1.3 Психолого-педагогічні умови впровадження в навчальний процес комп’ютерного моделювання
2. Методологічні аспекти поєднання традиційних та НІТН при формуванні понять геометричної оптики
2.1 Проблеми вивчення геометричної оптики в сучасному шкільному курсі фізики
2.2 Організація навчального процесу при поєднанні традиційних та НІТН
2.3 Організація та проведення педагогічного експерименту (Методика викладання геометричної оптики за допомогою комп’ютера)
Висновки
Література
Вступ
Впровадження в практику особистісно-орієнтованого навчання, при якому вчитель орієнтується не на «середнього» учня, а на кожного конкретного учня, що є для нього особистістю з його здатностями, рисами, схильностями й інтересами, вимагає розробки нових методів, засобів і організаційних форм навчання. У наявності протиріччя між новими цілями навчання й традиційних технологій навчання фізиці, звідки випливає проблема створення нових технологій навчання фізиці, що дозволяють реалізувати ідею особистісно-орієнтованої освіти.
Останнім часом у процес навчання фізиці активно входить персональний комп'ютер. Відбувається це принаймні по трьох причинах. По-перше, загальний процес комп'ютеризації всіх сфер діяльності торкнулося й навчання, і комп'ютер стає помічником учителя й учнів на уроках майже будь-якого предмета. По-друге, комп'ютер став настільки розповсюдженим інструментом фізика-дослідника, що поряд з фізикою теоретичною і експериментальною виділяють новий розділ – комп'ютерну фізику. Нарешті, шкільний курс інформатики потребує підтримки з боку курсу фізики, коли мова заходить про будову комп'ютера, принципах функціонування окремих його елементів, і, у свою чергу, забезпечує курс фізики матеріалом, що викликає великий інтерес учнів.
У результаті комп'ютер виявляється в курсі фізики в ролі й засобу навчання, і предмета вивчення.
Як засіб навчання комп'ютер може виступати помічником і вчителя, і учня. Для вчителя він – автоматизований класний журнал, засіб проведення опитувань і обробки результатів навчання, інструмент для підготовки до уроків і для проведення демонстрацій. Для учня – засіб виконання завдань, для обох – інструмент моделювання реального світу.
Як предмет вивчення комп'ютер використовується у двох напрямках: у зв'язку з вивченням методів дослідження в сучасному природознавстві й у зв'язку з вивченням фізичних законів і явищ.
Зокрема, в учнів варто створити уявлення про те, що основними напрямками використання комп'ютера у фізиці-науці є комп'ютерне моделювання фізичних явищ і робота комп'ютера в поєднанні з експериментальними установками, де він виконує два завдання – служить для фіксації експериментальних даних, які він може робити зі швидкістю й в обсягах, зовсім недоступних при роботі на некомп'ютеризованій установці, автоматизує керування експериментом. Крім того, комп'ютер використається для обробки експериментальних даних, зберігання й швидкого пошуку величезних масивів інформації, як засіб комунікації. Використання персонального комп'ютера на уроках і в позаурочний час дозволяє познайомити учнів з усіма цими напрямками.
Основними педагогічними цілями використання комп'ютерних технологій у навчанні фізиці є наступні:
1.Розвиток творчого потенціалу учня, його здыбностей до комунікативних дій, умінь експериментально-дослідницької діяльності, культури навчальної діяльності; підвищення мотивації навчання.
2.Інтенсифікація всіх рівнів навчально-виховного процесу, підвищення його ефективності і якості.
3.Реалізація соціального замовлення, обумовленого інформатизацією сучасного суспільства (підготовка користувача засобами комп'ютерних технологій).
Соціально-психологічною характеристикою стилю навчання в умовах функціонування комп'ютерних технологій є розвиток і саморозвиток потенційних можливостей учня, і його творчої ініціативи. Це забезпечується наданням можливості для самостійного здобування знань і інформації; самостійного вибору режиму навчальної діяльності.
Використання дозволяє організувати самостійну пізнавальну роботу учнів по вивченню явищ навколишнього середовища. Можливі різні варіанти організації роботи учнів: виконання дослідження під керівництвом і по інструкції вчителя; можна запропонувати учням самостійно висувати гіпотези, а дослідження проводити за планом, запропонованому учителем. Можливий варіант, при якому учны самі складають план дослідження, виконують його й роблять висновки. У цьому випадку репродуктивний метод навчання заміняється самостійним придбанням знань на основі здійснення експериментально-дослідницької діяльності, що приводить учня, (при відповідній методиці) до самостійного відкриття досліджуваної закономірності.
Таким чином, процес повідомлення готових знань і їхня експериментальна перевірка (розвиток компонентів репродуктивного й продуктивного типів мислення) у традиційній методиці заміняються експериментально-дослідницькою діяльністю, що забезпечує самостійне відкриття тим, яких навчають, закономірності або властивості досліджуваних об'єктів (розвиток компонентів теоретичного типу мислення).
При виконанні дослідження може бути організована індивідуальна, групова, колективна експериментально-дослідницька діяльність.
Використання досягнень нових інформаційних технологій для формування знань, умінь та навичок при вивченні квантової фізики засобами комп’ютерного моделювання з урахуванням психолого-педагогічних особливостей учня, його темпера метру та базової підготовки, є актуальним питанням методики викладання фізики.
Метою даної дипломної роботи є розробка системи уроків вивчення геометричної оптики використовуючи засоби комп’ютерного моделювання, обґрунтування необхідності використання комп’ютерних моделей при вивченні фізики.
Об'єкт дослідження : Впровадження в навчальний процес фізики уроків з використанням засобів комп’ютерного моделювання.
Предмет дослідження: Форми, методи і засоби реалізації вивчення геометричної оптики за допомогою комп’ютерного моделювання.
Гіпотеза дослідження
Використання комп’ютерного моделювання при викладанні геометричної оптики повинно підвищити ефективність і якість засвоєння знань (понять, законів, величин, тощо), формування відповідних умінь та навичок.
Відповідно до предмету і гіпотези дослідження були визначенні його конкретні завдання:
1. Провести аналіз літературних джерел, наукових праць, статей з питання використання комп’ютерних моделей при викладанні фізики.
2. Розглянути психолого-педагогічні аспекти ефективного використання комп’ютерного моделювання при викладанні фізики.
3. розробка методичних рекомендацій, щодо використання комп’ютерного моделювання.
4. Розробка системи уроків з використанням комп’ютерного моделювання під час вивчення геометричної оптики в школі.
1 . Історико-методологічні аспекти дослідження
1.1 Технології комп’ютерного моделювання як різновид НІТ
Оскільки нові інформаційні технології навчання (НІТН) включають універсальні засоби опрацювання інформації, то відкриваються перспективи широкої диференціації навчання, розкриття творчого потенціалу, пізнавальних здібностей кожного окремого учасника навчального процесу. За рахунок наявності в складі НІТН наперед розроблених засобів автоматизації рутинних, технічних операцій, виконання яких необхідне під час дослідження різноманітних процесів і явиш, можна значно зменшити навчальне навантаження, надати навчальній діяльності творчого, дослідного характеру, що природно приваблює учня, результати якої приносять задоволення, стимулюють пізнавальну активність.
Аналіз застосовності педагогічного програмного забезпечення (ППЗ) або програмного засобу загального призначення в навчальному процесі потребує аналізу ППЗ як з погляду дидактичних, психолого-педагогічних вимог, так і реалізованості даного ППЗ на наявному апаратному забезпеченні. У більшості випадків постає проблема встановлення програмного засобу на наявному апаратному забезпеченні та його конфігурування для ефективного вирішення навчальної задачі [6].
Сформульовані раніше для шкільних фізичних демонстрацій вимоги з певним застереженням можуть бути перенесені на засоби НІТ, що використовуються для підтримки навчання фізики. Характерними відмінностями, які притаманні засобам НІТ, є:
а) інтерактивність, під якою для навчального процесу розуміють доступність моделі фізичного явища для безпосередньої корекції вхідних даних та параметрів моделі;
б) адаптивність, тобто можливість зміни (у певних межах) темпу навчання, способів подання навчального матеріалу, реакції ППЗ на відповіді учня тощо, причому здійснювану без участі вчителя або за мінімальної особистої участі вчителя;
в) можливість гіпертекстової побудови структури навчального матеріалу (текстового і графічного, включаючи засоби мультиплікації, когнітивної графіки).
На лабораторних роботах з фізики зручно використовувати програми, які дають змогу автоматизувати проведення фізичного експерименту: інформація від фізичних приладів надходить не до людини, яка її обробляє (можливо із застосуванням ЕОМ), а відразу до комп'ютера, який практично миттєво обчислює, будує графіки і т. ін.
Використання датчиків і пристроїв для вимірювання фізичних величин і пристроїв, що забезпечують введення і виведення аналогових і дискретних сигналів (приладового інтерфейсу), лає змогу візуалізувати на екрані ЕОМ різні фізичні закономірності у вигляді моделей, графіків, діаграм, які динамічно змінюються залежно від зміни вхідних параметрів.
При цьому НІТН дають змогу провести десятки експериментів за порівняно невеликий проміжок часу при швидкому зворотному зв'язку і візуалізації результатів експериментів.
Більшість авторів ще 5– 6 років тому передбачали, що зростання «дружності» засобів інформатики суттєво зменшить вимоги до підготовленості користувача для предметного, галузевого використання програмних засобів як спеціалізованих, так і загального призначення.
Нині уже стає зрозумілим, що дана проблема у ряді випадків не розв'язується так, як передбачалося, а саме шляхом ускладнення програмно-апаратного забезпечення і спрощення доступу користувача до нього і використання його можливостей.
Протиріччя, яке виникло між зростаючими можливостями засобів опрацювання інформації і психофізіологічними обмеженнями каналу взаємодії людини з програмно-апаратними засобами, спричинило появу та поширення засобів Multimedia, поняття «віртуальна реальність». Водночас виникло протиріччя між доступністю результатів опрацювання інформації та все зростаючою прихованістю самого процесу опрацювання інформації. При створенні НІТН фізики прихованість опрацювання інформації, на нашу думку, не завжди бажана, оскільки на певних етапах одним з обов'язкових результатів навчання є формування умінь і навичок проведення фізичних вимірювань, а не лише опрацювання їх результатів [2].
Необхідно зазначити, що учні середніх шкіл, а особливо учні шкіл гуманітарних, не володіють необхідними навичками мислення для глибокого розуміння явищ, процесів, які описано в цих розділах. У таких випадках на допомогу приходять сучасні засоби навчання, і в першу чергу – ПК. Такі уроки викликають в учнів справжній інтерес, змушують працювати всіх, навіть слабко підготовлених дітей. Якість знань при цьому відчутно зростає.
Багато явищ в умовах шкільного фізичного кабінету не можна продемонструвати. Це наприклад, явища мікросвіту, або процеси, що швидко відбуваються, досліди з приладами, яких немає в фізичному кабінеті. Діти відчувають труднощі, бо не в змозі уявити ці явища, а комп'ютер може створити моделі явищ; які допоможуть подолати цю проблему.
Комп'ютерне моделювання дає змогу створити на екрані комп'ютера живу, наочну й динамічну картинку фізичного досліду або явища, яке важко пояснити «на пальцях», і відкриває для вчителя широкі можливості для удосконалення уроків.
Слід зазначити, що під комп'ютерними моделями розуміємо комп'ютерні програми, які імітують фізичні досліди, явища або ідеалізовані модельні ситуації, що трапляються у фізичних задачах. Вони легко вписуються у традиційний урок.
Комп'ютер також підвищує і стимулює інтерес до навчання, активізує мислительну діяльність і ефективність засвоєння нового матеріалу, допомагає учням, які пропускають заняття через хворобу, сприяє розвитку самостійності учнів.
Комп'ютерні уроки потребують особливої підготовки. Потрібно чітко визначити мету, якої ми хочемо досягти. До таких уроків треба писати сценарії, продумано «вплітати» справжній і віртуальний експерименти.
Варто пам'ятати, що моделювання різних явищ у жодному разі не замінить справжніх дослідів, а в сукупності з ними дасть змогу на вищому рівні пояснити фізичні закономірності [4].
Немає сумніву, що введення ПК у практику навчання фізики в школі сприятиме вдосконаленню навчального процесу та інтелектуальному розвитку учнів відповідно до потреб часу.
удосконалення навчальної роботи з учнями, які лише починають вивчати фізику, передбачає формування їхньої внутрішньої готовності до сприйняття якісно нового змісту науки про природу. З перших уроків фізики діти повинні сприймати інформацію, на перший погляд легку і просту для розуміння.
Подібну інформацію вони осмислювали і до вивчення предмета, але тепер їм треба свій досвід коригувати, переосмислювати відповідно до нових знань. Це вимагає певних вольових зусиль і розвинутої уваги.
Перші уроки фізики якісно відрізняються від уроків з предметів, уже знайомих учням. Ця відмінність полягає в тому, що уроки фізики насичені не лише звичайною інформацією, а й експериментами, розв'язуванням розрахункових і якісних задач, лабораторними і практичними роботами, висуненням гіпотез та їх доведенням, спостереженнями явищ природи з наступним формуванням висновків. Крім того, учні повинні запам'ятати символи і вміти записувати за їх допомогою формули фізичних величин, розуміти функціональну залежність величин, вивчити Серед засобів, що сприяють формуванню в учнів абстрактного мислення й підвищення теоретичного рівня, виділимо моделювання. Воно може бути опорою для виконання розумових операцій та систематизувати одиниці вимірювання величин, розуміти фізичний зміст явиш, знаходити табличні значення фізичних величин, вміти аналізувати їх та ін.
Це далеко неповний перелік видів роботи учня на уроці фізики. пізнавальних завдань. Зміст фізики наповнений об'єктами, які можна моделювати. Система такої роботи дасть змогу використати процес моделювання як дидактичний прийом розкриття внутрішніх зв'язків і відношень в явищах природи і виявлення на цій основі законів та закономірностей, що стимулюватиме виховання довільної уваги учнів на уроці. У процесі виготовлення моделей учні привчаються відповідальніше ставитися до праці, а сам процес праці виховує вольові якості учня, такі необхідні для виховання довільної уваги. Особливо важливе значення має моделювання під час вивчення складного теоретичного матеріалу, коли сам процес моделювання включає пізнавальні завдання, стимулюючи пізнавальну діяльність учня. На уроці необхідно забезпечити органічне поєднання використання моделей та інших наочних посібників зі словом учителя.
Отже, використовуючи досвід учнів, набутий у результаті виготовлення моделі, і поєднуючи його з інформацією, одержаною на уроці за допомогою зору, слуху та інших органів чуття, ми створили сприятливі умови для уважнішого вивчення явиш природи в майбутньому. Спостереження показують, що без використання наочності учні погано засвоюють подібні залежності. Разом з тим, концентруючи увагу учнів на одних і тих самих явищах протягом кількох уроків (під час вивчення матеріалу, перевірки знань та їх закріплення), ми домагаємося об'єднання в одну систему старих зв'язків, які утворилися в одних учнів під час виготовлення моделей, а в інших – під час використання їх у процесі вивчення теми, з тими новими зв'язками, що утворюються в учнів при подальшому осмисленні ними здобутих знань.
Частина учнів пасивно ставиться до сприйняття навчального матеріалу на уроці, оскільки у них немає звички завжди працювати уважно. Моделювання сприяє якомога частішому використанню довільної уваги учня, бо він сам себе змушує систематично й уважно ставитися до результатів своєї праці, розвиває самостійність і творчість мислення, створює емоційну обстановку на уроці [9].
Учень, який вирішив виготовляти модель, повинен уважно вивчити теоретичний матеріал, виділити суттєві моменти теорії, що покладені в основу конструкції, розробити власну теоретичну схему виготовлення моделі. Залежно від цих чинників одні учні приходять до незадовільних результатів, інші, спрямовуючи свою волю і використовуючи знання та вміння, перемагають труднощі і впевнено завершують розпочату роботу.
На прикладах конкретних проблем розглянуто весь основний цикл моделювання: аналіз досліджуваної проблеми з метою виявлення суттєвих властивостей об'єкту (перебігу процесу, явища), постановка задачі (формалізація на основі прийняття певних спрощуючих припущень), побудова моделі, складання алгоритму, обчислювальний експеримент, включаючи перевірку моделі на адекватність, інтерпретація результатів, вдосконалення моделі. З погляду природи досліджуваних нами явищ виділяються детерміновані й стохастичні моделі; особливості побудови моделей кожного типу розглядаються та відпрацьовуються на конкретних прикладах.
У процесі вивчення розділу обговорюються такі специфічні питання моделювання, як вибір придатного типу моделі, дискретизація процесів, що моделюються, використання чисельних методів, походження похибок обчислень та шляхи їх зменшення. Реалізовано можливість побудови моделей різних типів для вивчення одного й того ж явища та однотипних моделей для вивчення різних явищ. Спрощений спочатку опис виучуваного явища в подальшому поглиблюється. Майже кожна модель має не менше трьох версій. При цьому поступово нарощується понятійний апарат і триває опанування нових методів роботи (проте кількість спеціальних понять та термінів зведено до мінімуму).
Початкові версії усіх моделей, що пропонуються учням, е украй спрощеними. У процесі перевірки на адекватність результатів роботи виявляється їхня майже повна якісна та кількісна невідповідність дослідним фактам. Далі здійснюється поступове ускладнення моделі шляхом уведення до розгляду нових суттєвих факторів, які в попередній версії моделі не бралися до уваги, тобто впливом яких нехтували. У результаті таких дій модель стає дедалі все більш достовірною, що й позначається на результатах моделювання. При такій роботі суттєво важливим є дотримання принципу відповідності: кожна наступна вдосконалена версія моделі повинна містити у собі всі попередні версії як окремі випадки.
Практична робота з комп'ютерними моделями і зокрема, обчислювальний експеримент із подальшою графічною інтерпретацією результатів потребують вирішення принципового питання про вибір середовища для моделювання.
Традиційно таке питання вирішується на користь мов програмування високого рівня, що вимагає з боку учнів значних зусиль, спрямованих на створення зручного користувального інтерфейсу, і тим самим помітно відволікає від безпосередньої роботи з моделлю. На основі докладного аналізу зазначеної методичної трудності нами була висунута гіпотеза про те, що на початковому етапі (під час роботи з детермінованими моделями) цілком достатньо, щоб середовище для моделювання задовольняло таким вимогам:
– результати дослідження мають виводитися на екран у вигляді таблиць із довільною кількістю доступних для перегляду рядків і, зокрема, з такою, що може перебільшувати один екран;
– користувач повинен мати можливість за цими результатами швидко будувати графіки залежності між величинами, що характеризують досліджуване явище.
1.2 Сучасний підхід до розв'язання проблеми наочності при вивченні фізики
«Для вирішення завдання розвитку творчих здібностей школярів при навчанні фізиці необхідно насамперед знати особливості творчого процесу в розвитку цієї науки і її технічного застосування (В.Г. Разумовський)»
Постійне вдосконалення навчально-виховного процесу разом з розвитком і перебудовою суспільства, а також зі створенням єдиної системи безперервного навчання, є характерною рисою народної освіти в Україні. Здійснювана в країні реформа школи спрямована на те, щоб привести зміст утворення у відповідність із сучасним рівнем наукового знання, підвищити ефективність всієї навчально-виховної роботи й підготувати учнів до праці в умовах прискорення науково-технічного прогресу (НТП), авангардні рубежі якого визначені як електронізація народного господарства, комплексна автоматизація, прискорений розвиток атомної енергетики, безвідхідної технології. Досягнення НТП – це результат фундаментальних фізичних досліджень [7].
Тому електроніка й обчислювальна техніка стають компонентами змісту навчання в фізиці й математиці, засобами оптимізації й підвищення ефективності навчального процесу, а також сприяють реалізації багатьох принципів розвиваючого навчання.
Обчислювальна техніка, фундаментом якої служить фізика, знаходить широке застосування у викладанні останньої не тільки як засіб, що моделює математичними методами фізичні процеси і явища, але і як сучасний засіб наочності в сполученні з її абстрактно – логічної сторони із предметно-образної, як засіб математичної обробки результатів демонстраційного експерименту й лабораторних робіт, контролю й самоконтролю знань учнів. Досвід використання обчислювальної техніки на уроках фізики показав, що комп'ютер допомагає готовити завдання для відповідного рівня, темпу навчання й стилю кожного учня. Комп'ютер відкриває нові шляхи в розвитку мислення, надаючи нові можливості для активного навчання. За допомогою комп'ютера проведення уроків, вправ, контрольних і лабораторних робіт, а також облік успішності стає більше ефективним, а величезний потік інформації легкодоступними. Використання комп'ютера на уроках фізики також допомагає реалізувати принцип особистої зацікавленості учня в засвоєнні матеріалу й багато інших принципів розвиваючого навчання.
Однак, на мій погляд, комп'ютер не може повністю замінити вчителя. Вчитель має можливість зацікавити учнів, розбудити в них допитливість, завоювати їхню довіру, вона може направити їхню увагу на ті або інші аспекти досліджуваного предмета, винагородити їхнє зусилля й змусити вчитися. Комп'ютер ніколи не зможе взяти на себе таку роль учителя.
Необхідно відзначити важливість використання програм моделювання, які включають учня в світ науки й техніки, недоступний йому на шкільній лаві; наприклад, дозволяють «побачити» процеси всередині атома й атомного ядра, посадки космічний кораблів на Місяць або Венеру, хід променів в лінзах, наочно у вигляді імітаційних моделей провести ті або інші навчальні досліди на екрані дисплея, якщо їхнє матеріально-інструментальне втілення за якимись причинами недоступно школі.
Так, наприклад, використання найпростіших програм Windows dait (робота в графічному редакторі) – побудова зображень і маніпулювання ними за допомогою машини, відкриває широкі можливості для творчості учнів, для навчання їхньої дослідницької діяльності:
• об'єкти на екрані можуть рухатися з різними швидкостями й взаємодіяти один з одним, це дає можливість вивчати закони руху й взаємодії тіл;
• дозволяє конструювати об'єкти всіх видів: від будинків і техніки до експериментальних установок і моделей – значить відкривається можливість моделювати процес, робити спостереження й виміри, робити виводи й виявляти закономірності;
• інше застосування графічного методу – побудова графіків залежностей фізичних величин: зміна параметрів, що вводять, дозволяє краще зрозуміти фізичну природу, сутність досліджуваного явища;
• графіка відіграє важливу роль і при вивченні дії над векторами: побудова векторів, знаходження їхніх проекцій, розкладання сумарного вектора на складові вектора й т.д., все це розвиває в учнів більш усвідомлене розуміння вектора.
Всі ці методи використання комп'ютера є традиційними й спрямованими на підвищення ефективності навчання фізиці всіх учнів класу. Широкий діапазон використання комп'ютера й у позакласній роботі: він сприяє розвитку пізнавального інтересу до предмета, розширює можливість самостійного творчого пошуку найбільш захопленою фізикою учнів. Однієї з форм використання комп'ютера в позакласній роботі є складання навчальних програм самими тими, кого навчають[14]. При цьому учні не тільки поглиблюють і розширюють знання по темі, але й активно мислять, залучають для вирішення проблеми раніше отримані знання, проводять синтез, аналіз, узагальнення й висновки, що сприяють всебічному самостійному розгляду поставленого завдання. Складання програми стимулює розумову активність, розвиває творчі здатності учнів, сприяє емоційному задоволенню й самоствердженню.
Розвиток нових інформаційних технологій і підключення школи до електронної мережі відкрило велике поле діяльності вчителю й учням. Робота в цьому напрямку так само здійснюється різними способами й всі вони спрямовані на одне: розкриття й розвиток творчого потенціалу тих, яких навчають.
В останні роки користується популярністю комп'ютерна телекомунікаційна вікторина. Вона являє собою змагально-групову питально-відповідну гру з використанням електронної пошти для зв'язку між групами учнів з різних шкіл і міст. Використання такої вікторини у викладанні фізики сприяє:
• розвитку інтересу до досліджуваного предмета за допомогою комп'ютерної електронної пошти;
• стимулюванню активності й самостійності учнів при підготовці питань, у роботі з літературою, позакласній роботі;
• формуванню навичок колективної роботи під час обговорення відповідей на питання суперників, удосконалюванню етики спілкування й правописання учнів;
• забезпечує об'єктивний контроль глибини й широти знань, якість засвоєння матеріалу учнями.
Учасники турніру мають гарну можливість виявити свої творчі здібності, тому що завдання, пропоновані їм, носять дослідницький характер. І ми цю можливість використаємо: для участі у вікторині створюємо команду, підготовка якої є цікавим процесом у житті не тільки класу, але й школи. Роботу команди ми наближаємо до діяльності науково-дослідної групи; їй надається вибір засобів рішення теоретичних і експериментальних завдань. Рішення останніх проходить звичайно колективно. Робота в цьому напрямку в нашій школі охоплює всі щаблі вивчення фізики. Деякі команди грають уже не перший рік. Необхідно підкреслити, що змагальна сторона телекомунікаційної вікторини має другорядне, допоміжне значення, лише як засіб мотивації учнів.
Ще одна форма нових інформаційних технологій – відкриття дистанційного консультаційного пункту по фізиці дає можливість учням всіх віків і всіх рівнів освіченості одержати відповіді на будь-які їхні питання, що цікавлять. Використання можливостей цього пункту значно розширює кругозір, допомагає позбутися від скутості в спілкуванні, замкнутості, розвиває комунікативні здатності.
З усією інформацією більш докладно хлопці знайомлять у кабінеті фізики (у друкованому вигляді) і інформатики (в електронному вигляді).
Таким чином, всебічне використання можливостей обчислювальної техніки на уроках фізики дозволяє підвищити ефективність навчання, поліпшити контроль і оцінку знань учнів, звільнити більше часу для надання допомоги учням. Комп'ютер дав можливість зробити уроки більш цікавими, захоплюючим й сучасним.
Інформаційна технологія в навчально-виховному процесі це поєднання традиційних технологій навчання і технології інформатики. За проведеними дослідженнями й оцінками експертів у області комп'ютерного навчання, використання інформаційних технологій у навчально-виховному процесі фізики може підвищити ефективність практичних і лабораторних робіт до 30%, а об'єктивність контролю знань учнів – на 20–25% [18, 19].
Впроваджувати НІТ у навчально-виховний процес слід поступово, оскільки потрібні значні кошти на оснащення навчальних закладів апаратними засобами і на розробку й адаптацію педагогічних програмних засобів (ППЗ). Процес такого впровадження вимагає невідкладного розв'язування низки завдань, без чого ефективність використання НІТ буде дуже низькою. У першу чергу треба:
1) відібрати існуючі і створити нові ППЗ, які відповідали б вимогам шкільної програми з фізики, а також загальним технологічним, ергономічним, психолого-педагогічним вимогам до програмного забезпечення навчального призначення;
2) розробити апаратний комплекс технічних засобів навчання, які задовольняли б дидактико-психологічні вимоги комплексного використання ППЗ, відеозасобів дидактичного призначення;
3) розробити цілісну методику комплексного використання комп'ютерної та відеотехніки в навчально-виховному процесі, яка включала б різні типи ППЗ – комп'ютерні моделі явищ, задачі, тести, лабораторні роботи;
4) розробити відеоматеріали (відеофільми) з використанням технологій інформатики.
Розглянемо докладніше ці завдання. Є різні підходи до класифікації ППЗ, наприклад за основною дидактичною метою, за характером їх використання на уроках різних типів. Зауважимо, що реальні ППЗ часто поєднують різні навчальні функції (інформаційну, контролюючу, демонстраційну тощо).
За характером використання на уроках різних типів розрізняють такі ППЗ: адаптивні, демонстраційні програми; комп'ютерні моделі; лабораторні роботи; тренажери для розв'язування задач; контролюючі програми.
Коротко проаналізуємо ППЗ, зазначені у цій класифікації.
Адаптивні навчальні програми – – це ППЗ, за допомогою яких можна змінювати способи викладу навчального матеріалу залежно від пізнавальних можливостей учнів.
Структура, форма викладу матеріалу, кількість і зміст завдань, крок програми, способи контролю, тип тестових завдань в адаптивній навчальній програмі змінюються залежно від результатів поточного тестування знань і умінь учнів (адаптація за пізнавальними можливостями учня), від часу, затраченого на виконання контрольних завдань (адаптація за часом), від змісту і характеру помилок, припущених учнем (адаптація за помилками).
Реалізація адаптивних навчальних програм з курсу фізики забезпечує вищий ступінь індивідуалізації порівняно з традиційною груповою формою навчання, повне використання пізнавальних можливостей кожного учня [13]. Програми цього виду можуть застосовуватися для додаткового ознайомлення учнів з навчальним матеріалом, для формуванняосновних понять, первинного і підсумкового закріплення й повторення навчального матеріалу, відпрацювання основних умінь і навичок, а також для самоконтролю та контролю знань. Крім того, вони мають кілька режимів роботи, наприклад навчання, тренування, закріплення, контроль знань, тематичний залік.
Демонстраційні програми це ППЗ, призначені для відтворення відеозапису фізичних явищ і дослідів або їх імітації. Вони використовуються для повторення навчального матеріалу у випадках, коли дослід не можна відтворити через недостачу приладів або з якихось інших причин, а також для демонстрування явищ, тривалість яких значно перевищує відведений на це час. Демонстраційні програми відтворюють реальні процеси, цифрова форма їх запису дає змогу акцентувати увагу учнів на найактуальніших її елементах.
Комп'ютерні моделі – це ППЗ, призначені для імітації фізичних дослідів, явищ, процесів шляхом побудови (засобами математичного моделювання) їх ідеалізованих моделей. Комп'ютерні моделі легко вписуються в традиційний урок, дають змогу вчителю моделювати явища, створювати абстрактні моделі, які в процесі вивчення курсу фізики описувалися словесно. Комп'ютерні моделі є ефективним засобом пізнавальної діяльності учнів, що відкриває перед учителем фізики широкі можливості з удосконалення навчально-виховного процесу. Комп'ютерні моделі використовуються на уроках фізики під час вивчення властивостей ідеальних моделей (ідеальний газ, електричне поле, електронний газ тощо), моделювання класичних дослідів з фізики (досліди Йоффе – Міллікена, Перрена, Кулона, Мандельштама – Папалексі); моделювання явищ, які не можна відтворити засобами шкільного фізичного кабінету (ядерний магнітний резонанс, стан критичної маси речовини); демонстрування принципу дії машин, приладів і установок (водяний насос, шлюз, парові машина і турбіна, коливальний контур, маятник, електровакуумні та напівпровідникові прилади, плазмотрон, циклотрон, ядерний реактор тощо), закріплення навичок фізичних вимірювань (визначення ціни поділки приладів, маси мікрочастинок тощо).
Лабораторні роботи це ППЗ, які є імітаційними моделями дослідження певних фізичних явищ засобами комп'ютерного моделювання [21].
Лабораторні роботи відрізняються від комп'ютерних моделей явищ тим, що крім моделі демонстраційної установки вони містять додаткові блоки, а саме: блок зберігання результатів експериментальних досліджень, підпрограми побудови графіків залежності фізичних величин, блок обробки результатів експериментальних досліджень, а також електронний журнал, до якого автоматично заносяться результати діяльності учня.
Тренажери для розв'язування задач сприяють формуванню в учнів умінь і навичок розв'язувати фізичні задачі. Зміст цих програмних засобів становлять задачі, згруповані відповідно до рівня складності. Вони містять також підказки системи (радники), довідкові матеріали. Відповіді до задач можуть вводитись як у числовому, так і в загальному вигляді, причому в останньому випадку учень вводить формули в комп'ютер за допомогою клавіатури, а програма розпізнає відповіді незалежно від способу їх написання.
Контролюючі ППЗ виконують функції поточного і підсумкового контролю знань, умінь учнів, набутих у процесі навчання. Часто це тестові завдання з вибором відповіді. Ці програми дають змогу оперативно оцінити й проаналізувати знання великих груп учнів. Деякі програми ведуть статистичну обробку відповідей учнів, що дає вчителю підстави зробити висновок про якість вивчення того чи іншого розділу програми. Значної актуальності набувають програми тематичного контролю знань.
В Україні відомі й поширені педагогічні програмні продукти фірми «Физикон» під загальною назвою «Открытая физика» та іллюстративно-демонстраційний комплекс «Физика в картинках», розроблені Білоруським державним університетом «Активная физика». Програмні продукти відповідно сертифіковані Міністерствами освіти Росії та Білорусії.
В Україні процес розробки ППЗ перебуває на стадії становлення. На мою думку, інтенсифікувати процес можна залученням бюджетних асигнувань на розробку ППЗ; розробкою і затвердженням державного стандарту України на ППЗ; створенням центру сертифікації ППЗ для доведення існуючих ППЗ до рівня вимог державного стандарту, організацією фонду ППЗ для їх популяризації, тиражування й розповсюдження.
Ефективність використання засобів мікропроцесорної техніки в демонстраційному експерименті пов'язана з автоматизацією процесу вимірювань та обробки результатів експерименту. Ці властивості мають вимірювально-обчислювальні комплекси, розроблені на базі персональних ЕОМ. Вимірювально-обчислювальні комплекси – це програмно-керована сукупність вимірювальних (датчики),обчислювальних (аналого-цифровий перетворювач, пристрій спряження, інтерфейс) засобів, призначених для вимірювання характеристик певної фізичної системи. Блок-схема з'єднання вимірювально-обчислювальних комплексів зображена на мал. 1.

Такі комплекси, оснащені мультиплексорним пристроєм (пристрій, що дає змогу одному цифровому перетворювачу обслуговувати кілька датчиків), звільняють учителя і учнів від необхідності обробляти результати вимірювань і автоматизують процес фізичних вимірювань. Це сприяє тому, що учні можуть більшу увагу приділити вузловим моментам проведення дослідження. Крім того, полегшується визначення похибок вимірювань і обчислень.
Досвід використання комп'ютерної техніки в навчальних закладах за рубежем показує доцільність такого підходу. Так, у школах США, Великобританії ефективно використовуються на уроках природничо-математичного циклу лабораторні пристрої типу «Вела», що з'єднуються з комп'ютером і дають змогу проводити комплексну обробку результатів експерименту.
Такі системи знайшли широке використання в промисловості, наукових дослідженнях. Використання ВОК у школі сприяє формуванню в учнів уявлень про використання НІТ у галузі управління процесами в промисловості.
Впровадження технологій інформатики в навчально-виховний процес фізики дає змогу модернізувати зміст і спосіб запису інформації фонду і традиційних дидактичних засобів (плакати, слайди, кінофільми). Мається на увазі перезапис інформації, яку несуть ці дидактичні засоби, на сучасні носії інформації – відеокасети, лазерні диски з внесенням відповідних змін до змісту цих засобів, що уможливлює використання методичних досягнень попередніх років.
Досвід упровадження електронно-обчислювальної техніки у навчальний процес показав доцільність такого підходу, коли разом з комплектами навчально-обчислювальної техніки, розміщеними в кабінеті інформатики, використовуються автономні ЕОМ, що розміщені безпосередньо в навчальному кабінеті. Такий підхід сприяє раціональнішому використанню ресурсів електронно-обчислювальної техніки [15].
Комплекти навчально-обчислювальної техніки використовуються для підтримки індивідуальних форм навчання: розв'язування задач, виконання лабораторних робіт, тематичного контролю знань, позакласної роботи. Поряд з цим автономні ЕОМ використовуються для підтримки групових форм діяльності в кабінеті фізики. Так, у кабінеті фізики автономний комп'ютер виконує функції інформаційного технічного засобу навчання, вимірювального інструменту, допоміжного пристрою обробки результатів експерименту, джерела поточного контролю засвоєння знань. Дослідження в області використання технічних засобів навчання нового покоління, проведені В. Прудським (Слов’янський педагогічний університет), А.М. Сільвейстром (Вінницький педагогічний університет), довели доцільність використання в кабінеті фізики комп'ютерно-телевізійних комплексів.
Не менш ефективною в дидактичному плані є компоновка таких комплексів з використанням комп'ютерних відеоплат, що конструктивно містять гнізда відеовходу і виходу. В цьому разі джерелами відображення інформації є демонстраційні телевізори. Аналіз розглянутих питань методичної організації комп'ютерної підтримки процесу навчання фізики має стати лише початком широкого обговорення учителями, методистами фізики цієї важливої проблеми методики навчання фізики.
Один із американських дослідників П. Нортон [22] відзначає, що природа засобів передачі інформації (усна мова, книги, кіно, радіо, телебачення, ЕОМ) цілком певним чином впливає на формування і розвиток психічних структур людини, в тому числі мислення. Так, друкований текст, який був протягом віків основним джерелом інформації, будується на принципах абстрагування змісту від дійсності і в більшості мов організується фраза за фразою в порядку читання зліва направо, що формує способи мислення за структурою, дещо схожі до структури друкованого тексту, якій притаманні такі особливості, як лінійність, послідовність, аналітичність, предметність, ієрархічність, раціональність.
Інші засоби комунікації – фотографія, кіно, радіо, телебачення – мають структуру, яка значно відрізняється від структури друкованого тексту. Букви і звуки не направляють хід думок слухача від А до Б і далі до В з проміжними висновками, як при сприйнятті друкованої інформації. Замість цього вони створюють моделі розпізнавання, орієнтують на образність, емоційність, нераціональність.
Електронне середовище ще в більшій мірі спроможне формувати такі характеристики, як схильність до експериментування, гнучкість, зв'язність, структурність. Ці характеристики сприяють створенню умов творчого навчального пізнання. Створюються можливості сприймати по-новому факти, які здаються очевидними, знаходити засоби поєднання далеких, на перший погляд, речей, встановлювати оригінальні зв'язки між новою і старою інформацією.
Умови, які створюються за допомогою комп'ютера, повинні сприяти формуванню мислення тих, хто навчається, орієнтувати їх на пошук системних зв'язків і закономірностей. Комп'ютер, як підкреслює П. Нортон, є потужним засобом надання допомоги в розумінні багатьох явищ і закономірностей, проте потрібно пам'ятати, що він неминуче поневолює розум, який розпоряджається лише набором завчених фактів і навичок.
Дійсно ефективним можна вважати лише таке комп'ютерне навчання, при якому забезпечуються можливості для формування мислення студентів або учнів. При цьому потрібно ще досліджувати закономірності самого комп'ютерного мислення. Ясно тільки те, що мислення, яке формується і діє за допомогою такого засобу, як комп'ютер, дещо відрізняється від мислення за допомогою, наприклад, звичного друкованого тексту або просто технічного засобу.
1.3 Психолого-педагогічні умови впровадження в навчальний процес комп'ютерного моделювання
З появою персональних комп'ютерів у загальноосвітніх навчальних закладах учителі фізики отримали потужний інструмент підвищення ефективності навчального процесу зі своєї дисципліни. Попри велику розмаїтість напрямків застосування комп'ютерної техніки при вивченні фізики детальніше розглянемо можливості моделювання фізичних процесів.
Комп'ютерне моделювання уже давно стало предметом досліджень як фундаментальної науки, так і вищої школи. Воно передбачає детальний аналіз фізичного явища чи процесу, побудову фізичної моделі (абстрагування від несуттєвих впливів, вибір законів, які описують відповідні процеси), створення математичної моделі, реалізації її засобами інформаційних технологій, проведення відповідних розрахунків на ПК та аналіз отриманих результатів.
Важливим аспектом реалізації комп'ютерних моделей є отримання вихідної інформації у графічній формі. Особливості людської психіки і фізіології дозволяють швидко аналізувати, миттєво асоціювати з накопиченим досвідом і розпізнавати графічні образи на відміну від сухого набору формул і цифр. До того ж вміння аналізувати графічні залежності між різними величинами – це не лише необхідний елемент фізичної освіти, а й важливий чинник загального розвитку школяра та професійного становлення у будь-якій галузі.
Перша проблема, яку потрібно вирішити, упроваджую чи елементи комп'ютерного моделювання при вивченні фізики – вибір інструментальних засобів його реалізації. У час зародження сучасних інформаційних технологій єдиним способом було використання мов програмування високого рівня.
За останні десятиріччя опубліковано немало книг та статей, де
розглядається розв'язання фізичних задач таким способом. Поява спеціалізованих програмних продуктів для автоматизації математичних обчислень суттєво змінює стан справ у галузі комп'ютерного моделювання. Використання комп'ютера на уроці фізики, яку вивчають усі без винятку школярі, не повинно вимагати від них спеціальних знань з програмування, адавати можливість працювати у простому, інтуїтивно зрозумілому для них середовищі. Це дасть змогу не витрачати зайвий час на непродуктивну діяльність по створенню та налагодженню програми (з таким самим успіхом можна будувати графіки на міліметровому папері, виконуючи обчислення за допомогою калькулятора), а зосереджуватися на аналізі фізичної суті тих процесів, які ховаються за побудованими комп'ютером графіками.
Автори публікацій, що з'являються останнім часом у фахових періодичних виданнях пропонують використовувати для цього електронні таблиці, зокрема табличний процесор Microsoft Exel. Вивчення цієї програми як складової частини пакета Microsoft Office передбачено програмою шкільного курсу інформатики, у неї досить простий інтерфейс, великі обчислювальні можливості та засоби графічного відображення інформації.
У той же час специфіка електронних таблиць така, що робить їх незамінним інструментом для обробки результатів лабораторного експерименту та побудови, графіків на їх основі, але не зовсім зручним для власне комп'ютерного моделювання.
Mathcad 2000 – потужна і гнучка універсальна система комп'ютерної математики. Для неї характерні великі обчислювальні можливості, не тільки числові, а й аналітичні, багатий арсенал графічних засобів та інструментів форматування електронних документів[19]. У той же час – простий. Інтуїтивно зрозумілий інтерфейс, звична і зручна форма завдання вихідних даних – констант, змінних, функцій, виразів (майже повністю відтворюється стандартна математична символіка), Хоч ознайомлення із зазначеним програмним пакетом не є обов'язковим елементом навчальної програми з інформатики для загальноосвітніх шкіл, найпростіші прийоми роботи з Mathcad 2000, необхідні для розв'язання задач комп'ютерного моделювання нескладних фізичних процесів, можуть бути засвоєні учнями впродовж одного додаткового заняття.
Наступне завдання, яке повинен вирішувати вчитель фізики, впроваджуючи елементи комп'ютерного моделювання у навчальний процес з предмета, – визначення кола задач, для розв'язання яких доцільно застосовувати електронно-обчислювальну техніку. Типи задач, які можна доручити комп'ютеру, уже визначено у методичній літературі. У шкільному курсі фізики дуже часто виникають чотири класи графічних задач, які потребують комп'ютерної підтримки:
– побудова графіків складних функціональних залежностей між фізичними величинами;
– побудова траєкторій складних рухів;
– дослідження зміни вигляду графіка функціональної, залежності при зміні одного з параметрів;
– побудова групи характеристик одного явища чи процесу на одному графіку.
Комп'ютерне моделювання у фізиці розгортається у двох напрямках:
- чисельне моделювання фізичних явищ та процесів;
- розробка та створення демонстраційних програм з фізики.
Загальновизнано, що чисельне моделювання – невід’ємна складова сучасної фундаментальної та прикладної науки, яка не поступається за важливістю традиційним експериментальним і теоретичним методам. У багатьох випадках тільки чисельне моделювання, що замінює дорогий експеримент. Уміння «обчислювати» є обов’язковим для майбутніх науковців та викладачів.
Побудова фізичної моделі вимагає більш детального та поглибленого розуміння фізичних процесів, що розглядаються, аби обґрунтовано зробити потрібні припущення, виділити першорядні та відкинути другорядні фактори. Задачі, що пропонуються, оригінальні, їх розв'язання потребує опрацювання додаткової літератури, вдумливої та копіткої самостійної роботи. Закінчується етап затвердженням робочої моделі, яка у подальшому може коригуватись.
Математична модель – це система рівнянь, яка відображає прийняту фізичну модель на відповідному рівні знань.
Для фізичного опису явища добирають кілька простих демонстрацій, які найбільш наочно та повно відображають суть явища. Демонстрації не повинні бути складними для програмної реалізації на комп'ютері [17]. Крім того, вони мають добре «виглядати» на екрані дисплею.
Для кількісного зв'язку величин у фізичному явищі наводяться математичні співвідношення, які виражають фізичні закони. Для більшої наочності ці співвідношення підтверджуються доведенням та графіками. Однак виведення співвідношень та інший допоміжний матеріал не повинні захаращувати екран дисплею та відволікати від демонстрації.
Компоновка матеріалу на екрані дисплею, послідовність його подачі, кольорова гама малюнків тощо обговорюються при створенні сценарію демонстраційної програми. Сценарій – це набір ілюстрацій з фрагментами малюнків, пояснюючих написів, математичних формул, розміщених у певному порядку.
Реалізація демонстраційної програми передбачає хорошу комп'ютерну підготовку учня: знання алгоритмічної мови з відповідними графічними можливостями та графічного редактора. Крім того, демонстраційна програма повинна мати дружній та зручний для користувача інтерфейс. У перспективі демонстраційна програма може бути модернізована у навчальну.
Педагогічні спостереження показали, що в роботі з засобами НІТ та конкретними ППЗ, що використовуються для розв'язання навчальної задачі, предметна галузь якої знаходиться за межами власне інформаційних технологій, учень перебуває в ситуації, коли повинен використовувати дві паралельно-послідовні перцептивні схеми. Одна схема – основна – дає йому можливість здійснювати діяльність у предметній галузі навчальної задачі, інша – додаткова – здійснювати діяльність щодо управління засобами НІТ (виступати в ролі активного користувача). Під час використання тієї чи іншої перцептивної схеми, одна з них відступає на другий план, тобто переходить в область «затемнення». Переведення уваги, перенесення акцентів діяльності визначає специфіку застосування засобу НІТ та відповідного ППЗ у навчальному процесі, впливає на процес прийняття рішення [5].
Важливим також є питання про те, в якому співвідношенні повинні формуватися теоретичні уявлення, що пов'язані з використанням засобів НІТ, й операційно-технічні навички використання цих засобів у дітей молодшого віку. Тут треба враховувати той факт, що засоби НІТ не можуть знайти в дитини діяльнісної опори в повсякденній практиці, не виступають як знаряддя праці дитини. Не можна також забувати про те, що штучне розширення сфери використання засобів НІТ дитиною обмежується медико-біологічними проблемами [6, 7].
Особливу увагу слід звернути на дослідження операціонально-технічного компонента специфічно-перцептивних видів навчальної діяльності дитини з використанням засобів НІТ. Актуальним може бути дослідження динаміки формування смислових відношень, що пов'язують перцептивні дії дитини під час використання засобів НІТ з діяльністю, в контексті якої вони здійснюються, враховуючи обмежену множину цієї діяльності, що пов'язано з розумовим віком дитини.
За будь-якої організації навчального середовища, тобто середовища, в якому відбувається навчальна діяльність дитини, використання в ньому програмно-апаратних засобів потребує формування в дитини специфічних структур діяльності, котрі «нав'язуються» цими засобами. Мова йде не про змістовне наповнення навчального курсу, що подається з використанням засобів НІТ, а про діяльнісну складову на рівні управління цим засобом.
Будь-яка операція з засобом НІТ пов'язана з прийняттям рішення про подальшу діяльність [8], тобто, як у нашому випадку, з плануванням дій, спрямованих на використання засобу НІТ, на підставі аналізу ситуації, що сформована низкою попередніх дій, та того представлення щодо результату наступних дій, яке виступає як поведінка, що спрямована на реалізацію мети як «образу майбутнього» в самому матеріалі діяльності дитини [9]. У процесі використання в навчальній діяльності засобу НІТ ця діяльність багато в чому обумовлена специфікою апаратно-програмного комплексу, активне використання якого може здійснюватися тільки у діалоговому режимі. Тут важливим є питання про необхідну і достатню «глибину» аналізу дитиною низки попередніх дій, що привели навчальне середовище «дитина-комп'ютер» до того стану, який повинна аналізувати дитина, та визначення кількості «кроків», яку вона повинна «пройти» до реалізації «образу майбутнього» на екрані комп'ютера. Ці питання пов'язані, з одного боку, з цілепокладанням проектантів та організаторів навчального процесу, а з другого-з рівнем розумового розвитку дитини, тобто потребують комплексного психолого-педагогічного дослідження.
Як показують педагогічні спостереження, ступінь активності дитини в процесі використання засобу НІТ деякою мірою може характеризуватися взаємовідносинами, що встановлюються в навчальному середовищі «дитина-комп'ютер» під час розв'язання питання «ведений-ведучий» у кожній конкретній ситуації [10]. Зрозуміло, що нижчий рівень активності учня притаманний ситуації, коли ведучим виступає комп'ютер (точніше, те програмне середовище, яким оперує дитина), ведений – учень. Такий рівень характерний для ігрової ситуації, організованої у відповідному програмному середовищі. Перехід засобу НІТ від рівня «іграшки» до рівня засобу навчальної діяльності визначає якісний ступінь у його застосуванні. Тут постає питання про місце, яке організатори навчального процесу відводять засобу НІТ у цьому процесі.
Існує велика кількість педагогічних програмних засобів (ППЗ), які зводять засіб НІТ до рівня джерела навчальної інформації, яка візуалізована на екрані комп'ютера або подана його аудіозасобами. Активність в цих ППЗ визначається її реагуванням на питання, що закладені проектантами відповідного засобу. За такого підходу ведучим виступає програмний засіб, тобто здійснюється ретроспективний аналіз дитиною попередніх дій, майже не потрібна побудова «попереднього плану дій» [11]. Така ситуація характерна саме для гри, при цьому «правила гри» встановлюються розробниками ППЗ і є однаковими для всіх користувачів. Питання диференціації тут вирішуються на рівні терміну засвоєння навчального матеріалу, кількістю циклів використання ППЗ або його фрагментів, характером «точок входження» користувача в різні фрагменти ППЗ. Саме такі ППЗ можуть бути використані в навчально-виховному процесі дошкільних навчально-виховних закладів та початкової школи. Але використання і таких програмних засобів повинно мати деякі обмеження, бути змістовно обґрунтованим.
Якщо в старшому шкільному віці здійснення діяльності (цілепокладання, добір засобів, виконання дій, аналіз результатів і т. ін.), зокрема в середовищі «учень-комп'ютер», спирається на достатньо сформовані розумові якості особистості, то в молодшому шкільному віці до вад зазначеного підходу можна віднести відсутність можливості використання подібних засобів НІТ для формування в дитини навичок ретроспективного аналізу власних дій, планування подальшої діяльності, тобто тих компонентів, без яких неможливо сформувати продуктивне мислення. Крім того, «мала» компонента самостійності, що притаманна такому підходу, може закріпити в дитині роль веденого в середовищі «людина-комп'ютер», що ніяк не відповідає меті формування творчої особистості, яка в своїй майбутній діяльності в умовах інформати-зованого суспільства має активно залучати засоби НІТ для досягнення власних цілей.
Окремого розгляду потребує і питання про те, як впливає формування алгоритмічного мислення (на позитивних якостях якого наполягають багато педагогів) на розвиток творчих здібностей учнів. Це важливо хоча б тому, що творчість – це, в першу чергу, вихід за межі засвоєного алгоритму. Алгоритм, як система приписів, виконання яких обов'язково приводить до одержання розв'язку задачі, формує, в основному, навички репродуктивної діяльності. Перевантаження алгоритмічністю, стискання рамками приписів саме дитячого мислення може завдати більше шкоди, ніж користі. Врівноваження компонентів різних форм розумової діяльності молодших школярів повинно бути обґрунтовано з урахуванням превалювання формально-логічного компоненту в розумовій діяльності в процесі оперування алгоритмами. Деякі фахівці навіть наполягають на тому, що постійне оперування засобами інформаційних технологій накладає свій відбиток на психічну структуру розумової діяльності, на особливості її процесів та виробляє відповідну спрямованість мислення. Аналізуючи професійну діяльність програмістів, дослідники помітили, що «комп'ютер подібний до дзеркала, яке відображає зворотний бік розумових процесів програміста» [12].
Ми окреслили далеко не всі питання, що виникають під час аналізу означеної проблеми, але їх вивчення дасть можливість наблизитися до розуміння впливу використання засобів НІТ на розвиток дітей дошкільного та молодшого шкільного віку, на формування потрібних, заздалегідь сформульованих та визначених психологічних властивостей дитини. Це, в свою чергу, дасть змогу прогнозувати результати цього впливу, формувати спектр позитивних педагогічних дій під час реалізації навчально-виховного процесу з використанням засобів НІТ. Ці питання пов'язані, в першу чергу, з кінцевими цілями навчально-виховного процесу, а не з проблемою використання в цьому процесі того чи іншого апаратного та програмного забезпечення засобів НІТ.
Підсумовуючи висловлене вище, зазначимо таке:
1.Сьогодні все більше відчувається потреба в подальшому розробленні вітчизняних програмних засобів, орієнтованих на використання в навчальному процесі як початкової, так і основної школи.
2.Заходи, здійснювані в напрямі поширення НІТН у молодшій та основній школі, повинні бути змістовно обґрунтовані, спиратися на адекватні науково-методичні та психолого-педагогічні дослідження. Не треба забувати, що «експериментальним матеріалом» виступають діти.
3.Для розв'язання окреслених питань потрібна розробка окремої державної програми наукових досліджень, починаючи з уточнення положень концепції інформатизації освіти з урахуванням сучасного рівня апаратно-програмних засобів, тенденції їх розвитку, вітчизняного та світового досвіду.
Сьогодні, коли так багато говориться про комп’ютерізація освіти, а дещо в цій галузі уже робиться, цікаво обговорити питання:що може і чого не може забезпечити комп’ютерізація освіти?
Використаємо так звану уніфіковану модель навчання (див. рисунок).
Вона наочно демонструє стадії, які повинні пройти вчитель і учень у процесі засвоєння учнем відповідного навчального матеріалу.
Проаналізуємо окремі стадії уніфікованої моделі навчання і вияснимо можливості і обмеження дистанційного навчання.

Почнемо із стадії «Мотивація». На успішність навчання великий вплив мають інтереси, мотиви, ціннісні установки і потреби індивіда. Учень повинен мати бажання навчатися і усвідомлювати необхідність цього.
Навчальний процес за своєю природою цілеспрямований, хоч і не виключає елементів випадковості. Розуміння мети і очікування результатів значно полегшує сприйняття нової навчальної інформації. Існують різноманітні методи і прийоми мотивації навчання. До їх числа слід віднести й використання в навчальному процесі комп'ютера і комп'ютерних технологій. Наприклад, можливість отримати як додаток до підручника великого обсягу високоякісну, добре оформлену інформацію на компакт-дисках.
Безперечно, це активізує навчальний процес, суттєво підвищує зацікавленість, мотивацію в навчанні. Але, як показує досвід, часто в учнів зміщуються акценти і замість підвищення зацікавленості у вивченні навчального матеріалу збільшується зацікавленість до можливостей сучасних комп'ютерних засобів. Іншими словами, увага учня зміщується від об'єкта вивчення до засобу вивчення.
Стадія «Організація». Серед організаційних форм навчання виділяється самостійна робота. Тому застосування сучасних технічних засобів, особливо при навчанні «на відстані», може мати достатньо високу ефективність.
На сьогодні є технічні можливості для того, щоб учень, перебуваючи на великій відстані від навчального центру (вузу, коледжу, ліцею), прослухав і продивився лекцію провідного професора, взяв участь у відеоконференції або отримав консультацію, виконав комп'ютерний лабораторний експеримент. При цьому виникає небезпека неякісного навчання, адже навчальні курси в Інтернаті пропонують не тільки провідні університети, а й невеликі молоді компанії.
Стадію «Розуміння» можна вважати кульмінацією навчального процесу. Це найбільш важливий етап, який безпосередньо пов'язаний з інтелектуальною діяльністю учнів. Для того, щоб переконатися в успішності проходження цієї стадії, при будь-якій формі організації навчального процесу намічається такий етап – «Контроль і оцінка». При дистанційному навчанні ця стадія є центральною. Учень повинен переконатися перш за все в тому, чи розібрався він у навчальному матеріалі, чи зрозумів його, запам'ятав основні положення, навчився застосовувати їх на практиці для вирішення відповідних завдань. Якщо мова йде про підсумковий контроль, то учень повинен оцінити досягнутий вчителем рівень засвоєння. Ця стадія дистанційного навчання при підсумковому контролі має специфічний нюанс; вчитель повинен бути впевнений, що на другому кінці телекомунікативного ланцюжка перебуває саме та людина, яка претендує на отримання не тільки певних знань, а й документа (диплома, сертифіката) про засвоєння відповідної освітньої програми. Що стосується дистанційного навчання, то тут є труднощі, які можна подолати тільки внаслідок проведення контрольних випробувань учня в спеціально обладнаних навчальних приміщеннях в присутності осіб, яким повністю довіряє вчитель і адміністрація навчального центру.
Стадія «Повторення» призначена для закріплення отриманих вчителем знань і умінь, доведення їх до рівня навичок і досвіду творчої діяльності.
Цій же меті, але на більш високому рівні служить стадія «Узагальнення».
На стадії «Повторення», а тим більше на стадії «Узагальнення» , як правило, потрібне активне спілкування вчителя з учнем, що є найбільш творчою для вчителя частиною навчального процесу. Використання на цих стадіях засобів дистанційного навчання, в принципі, можливе, але, як показує досвід, це збільшує тимчасові витрати, погіршує глибину розуміння і в кінцевому результаті знижує якість навчання [21].
Будь-яка нова форма навчання, потребує створення психологічної бази, без якої неможливо говорити про якість навчального процесу. Можна виділити ряд психологічних принципів , що впливають на якість навчання фізики.
1. Ретельне і детальне планування навчальної діяльності, її організація, чітка постановка цілей і задач навчання.
Варто сказати, що ефективність навчальної діяльності багато в чому залежить від змісту навчального матеріалу, оскільки він детермінує структуру і рівень пізнавальних інтересів – загальних або спеціальних – в залежності від етапу навчання. Для її забезпечення необхідно активізувати минулий досвід учнів і допомогти їм зв’язати його з новим матеріалом, спрямовувати їх, ставлячи перед ними нові задачі.
2. Розробка таких учбово-методичних матеріалів, що спираються на психологічні закономірності сприйняття, пам’яті, мислення, уваги, а також вікові особливості учнів.
Виділимо ряд незалежних від особистості характеристик особливостей, які варто враховувати при розробці учбово-методичних матеріалів з фізики:
• органи почуттів людини обмежені у своїй можливості реагувати на інформаційні сигнали, внаслідок чого можуть уловлювати лише дозовану кількість повідомлень із навколишнього середовища.
• людина сприймає світ в залежності від того, що очікує сприйняти, але якщо його очікування не виправдалися, то він намагається знайти цьому яке-небудь пояснення, а тому його свідомість найбільшу увагу приділяє новому і несподіваному;
• існує «ефект психічного перенасичення», який полягає в тому, що людина не спроможна без варіації виконувати одноманітні завдання протягом навіть короткого часу, іноді непомітно для себе змінюючи розв’язувану задачу.
Врахування цих особливостей сприяє підвищенню рівня сприйняття інформації і засвоєнню навчального матеріалу.
3. Наявність такого зворотного зв’язку між учнем і викладачем, яка забезпечує учневі психологічний комфорт у процесі навчання.
Зміст механізму зворотного зв’язку полягає в тому, що в міжособистісному спілкуванні процес обміну інформацією як би подвоюється, і, крім змістовного аспекту несе в собі від реципієнта до комунікатора відомості про те, як реципієнт сприймає й оцінює поводження комунікатора.
Насамперед, зворотний зв’язок – це інформація, що містить реакцію реципієнта на поводження комунікатора.
4. Здатність учня самостійно працювати з інформацією.
Самостійна робота є основним елементом навчальної діяльності.
У якості головних мотивів самостійної діяльності можуть виступати учбово-пізнавальні і професійні мотиви. Конкретними стимулами можуть виявитися інтерес, відповідальність, страх відрахування і т.д. Різні за змістом мотиви надають діяльності різноманітний зміст, обумовлюючи її якість [2].
Таким чином, врахування методичних і психологічних особливостей ДО є необхідною умовою в організації навчання на відстані.
Сформульовані принципи повинні бути поставлені в основу змістовної частини електронних курсів. Відомо, що створення мультимедіа-навчальних програм, пов’язане з проблемами передачі інформації в електронному вигляді і її сприйнятті. І тут особливо важливо максимально врахувати психолого-педагогічні принципи побудови навчального матеріалу.
Були визначені основні психолого-педагогічні вимоги до програми.
Комп'ютерна програма повинна:
забезпечувати ініціативність, активність дій учня при роботі з нею;
- відповідати тематиці навчальних програм шкільних предметів;
- враховувати рівень знань, умінь, навичок розвитку дітей, їхні вікові особливості;
- враховувати сучасні дидактичні вимоги до проведення уроку;
- забезпечувати обернений зв'язок «учень – – учитель»;
– мати певний рівень адаптивності до індивідуальних можливостей учня;
- бути варіативною та функціональною;
- мати навчальну цінність;
- мати визначені алгоритми та обсяг пізнавальної діяльності учня.
Досвід застосування комп'ютерного моделювання з фізики виявив ряд позитивних моментів. На нашу думку, одними із суттєвих є: активізація пізнавальної діяльності учнів, розвиток самостійності, вміння через конкретну дію (проведення чисельного експерименту чи створення демонстраційної програми) набувати нові знання.
2. Методологічні аспекти поєднання традиційних та НІТН при формуванні понять геометричної оптики
2.1 Проблеми вивчення геометричної оптики в сучасному шкільному курсі фізики
В старших класах не буде докладно вивчатися геометрична оптика (вона розглядається як окремий випадок хвильових явищ). Тому тут головна увага приділяється питанням геометричної оптики.
Спочатку підкреслимо, що вивчення світлових явищ має велике пізнавальне, технічне й виховне значення. Навколишній світ ми сприймаємо й пізнаємо насамперед завдяки світлу й нашим зоровим відчуттям. На законах оптики заснована оптична й освітлювальна техніка. Знання елементів оптики необхідно учням для вивчення інших загальноосвітніх предметів. У центрі розгляду світлових явищ у базовому курсі дві основні проблеми: як поширюється світло від джерела в однорідному середовищі і як веде воно себе на границі двох середовищ. При цьому в навчальному матеріалі можна виділити три головні частини: прямолінійність поширення світла, закон відбивання і явище заломлення світла.
У базовому курсі фізики основні елементи геометричної оптики вивчають в основному на якісному рівні, без глибокого розгляду. Виклад матеріалу ведуть феноменологічно, з використанням моделі «світловий промінь», причому на досвідченій основі, що вимагає залучення великої кількості демонстраційних дослідів, фронтального експерименту учнів, організації спостережень при виконанні класних і домашніх експериментальних завдань [18].
Методична наука відповідає на три питання: навіщо вчити, чому вчити, як учити. Відповіді на ці питання міняються в епоху інформатизації суспільства, що принесла нові інформаційні технології – технології обробки, передачі, поширення й подання інформації за допомогою ЕОМ. Апаратні й програмні засоби, необхідні для реалізації цих технологій, називають засобами нових інформаційних технологій – НІТ.
Розробкою питань впровадження засобів нових інформаційних технологій (НІТ) у середню школу займалися в різні роки багато вчених. Однак основна увага приділялася питанням використання НІТ безпосередньо для вивчення мов програмування й керування загальним навчальним процесом; тільки останнім часом методисти вплотну приступили до розробки питань застосування НІТ при навчанні окремим предметам, у тому числі фізиці.
Включення НІТ у навчальний процес змінює роль засобів навчання, використовуваних у процесі викладання фізики, а використання засобів нових інформаційних технологій змінює навчальне середовище, у якій відбувається процес навчання.
До апаратних засобів нових інформаційних технологій ставиться персональний комп'ютер, до програмних засобів спеціально розроблені дидактичні матеріали, названі програмно-педагогічними засобами (ППС).
Велике значення при вивченні теми має графічна наочність – використання дошки, таблиць, проектора [21]. Але обов'язково до креслення променів і побудови зображень на дошці, у зошиті, на екрані монітора показати учням дійсний вигляд світлових пучків і одержувані зображення предметів за допомогою приладів, тобто прагнути створювати в них наочне подання про світлові явища.
З кількісних залежностей школярі вивчають тільки два – закони відбивання світла й зв'язок між фокусною відстанню й оптичною силою лінзи. Тому число розв'язуваних розрахункових завдань дуже обмежено, причому завдання вирішуються прості.
Головна увага при виборі якісних завдань повинне бути звернене на формування в учнів уміння пояснювати на основі отриманих знань явища, з якими часто зустрічається будь-яка людина у своїй трудовій діяльності й у побуті. Як показує практика, багато складних для сприйняття учнями питання досліджуваноїтеми (наприклад, побудова зображення великого предмета в малому дзеркалі, дослідження області бачення, побудова багаторазових зображень у двох дзеркалах, розташованих під кутом один до одного, і т. п.) доцільніше розглядати на гурткових або факультативних заняттях.
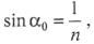
При вивченні теми увесь час доводиться оперувати поняттям «промінь світла» («світловий промінь»). Строге визначення цьому абстрактному поняттю в цьому місці шкільного курсу дати важко. Тому ці поняття розробили інтерактивними, щоб учні в будь-який момент змогли повторити теоретичний матеріал і тим самим зміцнити знання. У той же час необхідно довести до свідомості учнів, що поняття «світловий промінь» є ідеалізацією й що в дійсності справу мають зі світловими пучками. На перших же уроках по цій темі необхідно продемонструвати ці пучки за допомогою приладу по геометричній оптиці і на екрані ЕОМ показати графічне зображення променів і різних пучків світла.
Світловий промінь можна розглядати як геометричний образ, як вісь світлового пучка. При цьому треба попередити учнів, що не слід уявляти промінь, наприклад, як дуже тонкий пучок світла й вважати що, зменшуючи діаметр світного отвору приладу, можна одержати геометричний промінь. (До цього питання обов'язково треба повернутися в старших класах, при вивченні явища дифракції світла й при демонстрації дифракційної картини на вузькій щілині.) Необхідно, щоб з поняттям «промінь світла» школярі зв'язували подання про лінії, що вказує напрямок поширення світлової енергії, а не просто абстрактний, чисто геометричний образ. Домагаючись формування у свідомості учнів чіткого розуміння того, що зі світлом зв'язане особлива форма енергії, треба на першому ж уроці звернути увагу на різні дії світла: теплове, хімічне, біологічне й т.д. Підкреслюють, що у всіх випадках спостерігається перетворення енергії, що несе світло, в інші види енергії.
Інші приклади ідеалізації в геометричній оптиці – поняття «світлова точка», «точкове джерело світла». Точка не має розмірів, у той час як будь-яке джерело світла має кінцеві розміри. Але якщо розміри джерела світла порівняно невеликі й він розташований досить далеко від приладу, що перетворить світловий пучок, то таке джерело можна вважати точковим.
При вивченні побудови зображення предмета в плоскому дзеркалі в учнів формується поняття «уявне зображення точки (предмета)», а при вивченні лінз – «дійсне зображення точки (предмета)». Тут треба враховувати, що школярі до цього часу ще не знають ролі ока в утворенні зображень, а дана обставина досить істотно для неформального засвоєння названих понять. Питання про напрямок, у якому ми бачимо зображення, і про його місце взагалі важкий для розуміння. Уявне зображення – одне з найбільш складних понять роздягнуте в оптиці навіть для старших класів його важко засвоїти, не простежуючи хід променів до сітківки ока.
Здатність органів зору живих істот бачити предмети тільки прямолінійно, коли від предмета світло безпосередньо попадає в наше око, ставиться до їхньої вродженої здатності, що склалася в процесі тривалого розвитку й пристосування до навколишнього середовища. Наприклад, дивлячись на плоске дзеркало, ми не дивимося на відбитий предмет, (щоперебуває перед дзеркалом), тому світло від предмета безпосередньо не попадає в око, а впливає на нього лише після відбиття від дзеркала. Тому що відбите від дзеркала світло поширюється прямолінійно, то завдяки зоровій звичці нам здається, начебто предмет ми бачимо на прямолінійному напрямку, і саме за дзеркалом, а не там, де він перебуває в дійсності. Таким чином, коли мова йде про уявне зображення, то тут відіграє роль скоріше психолого-фізіологічний фактор, чим фізичний. Фізично існує тільки дійсне зображення. Тому методично поняття «уявне зображення» ефективніше розглядати паралельно з поняттям «дійсне зображення» або після розгляду цього поняття, але показавши при цьому принципову відмінність названих зображень.
Викладають це питання на основі енергетичних уявлень. На місці виникнення дійсного зображення відбувається насправді концентрація енергії світла, що може бути виявлено фотоелементом, термометром, фотопапііром і ін. Уявне зображення не можна одержати на екрані або фоточутливій плівці. Його називають уявним, видуманим тому, що реально в даному місці простору воно не існує (його немає). У тім місці де «перебуває» це уявне зображення, енергія світла не концентрується. Це добре ілюструє відомий досвід зі скляною пластиною, поставленої вертикально, і двома вертикальними свічами, одна з яких запалена. Розташувавши останню перед дзеркалом, ставлять за ним другу свічку, незасвічену, у такім місці, щоб при спостереженні крізь скло вона здавалася палаючою. Вимірюванням доводять, що свічки виявляються розташованими на рівних відстанях від дзеркала.
Вивчення теми починають із нагадування факту прямолінійного поширення світла, котрий уже відомий учням з курсу природознавства й життєвих спостережень, пов'язаних із цим явищем (форма світлового пучка в повітрі від прожектора, кишенькового ліхтаря, пучки сонячного світла, що поширюються через щілини в пиловому повітрі затемненої кімнати і т. п.). Незважаючи на такий достаток життєвих спостережень, на уроці обов'язково потрібно використати експеримент.
На приладі по геометричній оптиці, звертають увагу школярів на те, що подібні досвіди й спостереження переконують у прямолінійному поширенні світла в однорідному середовищі.
Корисно повідомити, що про прямолінійне поширення світла писав ще засновник геометрії Евклід за 300 років до нашої ери й, імовірно, поняття про пряму лінію виникло з подання про прямолінійне поширення світла в однорідному середовищі.
Необхідно розповісти й про практичне застосування цього явища для визначення відстаней до недоступних предметів (у геодезії, військовому справі, астрономії).
З метою закріплення матеріалу й придбання практичних умінь на цьому уроці школярам пропонують короткочасну лабораторну роботу – фронтальний експеримент зі шпильками по «провешиванию прямій лінії» (мал. 2.1.3.). Окремим учням можна рекомендувати виготовити вдома камеру-обскуру (мал. 2.1.4.), а на уроці розповісти про роботу з нею.


Мал. 2.1.4.
Один з наслідків прямолінійного поширення світла в однорідному середовищі – утворення тіні й півтіні й зокрема, сонячне й місячне затьмарення. Причини затьмарень уже з'ясовували в курсах природознавства й географії, тому, опираючись на попередні знання учнів, можна різноманітити методи роботи. На уроках, де розглядається даний матеріал, можна заслухати доповіді й повідомлення учнів, супроводжувані демонстрацією досвідів з таблицями, діапозитивами. Звертають увагу учнів на те, що із затьмареннями в минулі часи, було зв'язано багато марновірств, але сучасна наука дозволяє з великою точністю пророчити час їхнього настання. Корисно запропонувати учнем домашні експериментальні завдання по дослідженню розміру тіні (у порівнянні із предметом) і по визначенню розміру предмета, по його тіні.

Мал. 2.1.5.
Приступаючи до вивчення законів відбивання світла, доцільно насамперед показати явища відбивання й заломлення світла на границі двох прозорих середовищ саме так, як вони відбуваються в дійсності (тобто одночасно). При демонстрації відповідних досвідів з оптичною шайбою (мал. 2.1.5.) або із прямокутною посудиною з водяним розчином флюоресцина (Мал. 2.1.6, а) звертають увагу учнів на те, що при падінні пучка світла на границю двох середовищ (повітря – скло або повітря – вода) пучок роздвоюється: одна його частина повертається в перше середовище (це явище називають відбиванням світла), а інша проникає в друге середовище, змінивши свій напрямок (заломлення світла). Пояснення супроводжують малюнком, на якому вказують назви променів і кутів і їхні літерні позначення, підкреслюють, що на малюнку кожний пучок світла представлений його центральним променем (мал. 2.1.6, б).

Мал. 2.1.6.
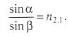
При вивченні законів відбивання світла зі школярами розбирають наступні питання: «У якій площині лежить відбитий промінь?», «У якому напрямку треба шукати відбитий промінь у цій площині?», «Як співвідносяться між собою кути падіння й відбивання?» – і на основі аналізу результатів експерименту із оптичною шайбою роблять висновок.
Урок по вивченню закону відбивання можна побудувати й таким чином, що основний висновок (рівність кутів падіння й відбивання) учні одержують повністю самостійно, у процесі виконання лабораторного експерименту.
Після встановлення закону відбивання з'ясовують відмінність дзеркального й розсіяного відбивання світла. Зробити це можна в процесі самостійної роботи з підручником. На початку уроку показують наступні демонстрації: направивши кілька паралельних пучків світла на плоске дзеркало, укріплене на оптичній шайбі, з'ясовують, що вони залишаються паралельними й після відбивання. Далі в добре затемненому класі перед проекційним апаратом встановлюють плоске дзеркало так, щоб світло після відбивання потрапить на стелю або на стіну класу. На стелі одержують різко обкреслену світлу пляму. Інша частина стелі залишається темною, у класі світліше не стає. Звернувши на цю увагу учнів, задають питання: «Чи відбивається світло від вати?» Замінивши дзеркало ватою, спостерігають, що значна частина стелі освітлена й у класі стало світліше. Після цього учням пропонують розглянути малюнки на екрані ЕОМ, де показаний що паралельний світловий пучок відбивається від дзеркальної поверхні у вигляді паралельного ж пучка, так само строго спрямованого (мал. 2.1.7, а), а шорсткувата поверхня відбиває падаючий на неї світло в усіх напрямках (мал. 2.1.7, б). У процесі колективного обговорення з'ясовують різницю між дзеркальним і розсіяним відбиттям і яке значення має розсіяне відбиття в нашому житті. Навколишні нас предмети видні тому, що вони розсіюють світло, що йде від Сонця й штучних джерел світла.

При вивченні дзеркального відбивання показують, що плоске дзеркало тільки змінює напрямок ходу променів світла, але не може перетворювати пучки світла. У даному місці курсу фіксують увага школярів саме на цьому, а плоскі дзеркала розглядають як пристосування, що служать для зміни напрямку світлового пучка світла. Цей матеріал закріплюють системою вправ по конкретній зміні напрямку променя дзеркалом (паралельний пучок світла піднімають або опускають на яку-небудь задану висоту, змінюють горизонтальний напрямок пучка світла на вертикальне й т. п.). Показують, що зображення в плоскому дзеркалі перебуває за дзеркалом і на тій же відстані (мал. 2.1.2.).
Вивчення явища переломлення світла починають за допомогою ЕОМ із повторення досвідів по одночасному відбиттю й заломленню світла на границі двох прозорих середовищ. Нагадують, який промінь називається падаючим, а який – заломленим, показують і позначають відповідні кути, повторюють закони відбивання. Потім експериментально з оптичною шайбою (заломлення світла при проходженні через скляний напівциліндр) показують, що заломлений промінь лежить у тій же площині, що й падаючий промінь. Звертають увагу на те, що кут заломлення світла в склі змінюється при зміні кута падіння, зв'язок між цими кутами більш складний, чим при відбиванні світла.
Використовуючи більш складну установку (мал. 2.1.6, а), на якій можна спостерігати заломлення світлового пучка як при переході з повітря у воду, так і з води в повітря, звертають увагу школярів на наступну закономірність: при переході світла з повітря у воду кут заломлення менше кута падіння. При переході світла з води в повітря кут заломлення більше кута падіння. Креслення на дошці (мал. 2.1.6, б) допомагає зрозуміти спостережуване (KN – границя повітря й води, АO – падаючий промінь, OB – заломлений промінь у воді (він же падає на дзеркало, що лежить у воді), ВК – відбитий промінь від дзеркала (він падає на границю води й повітря), KD – заломлений промінь при виході в повітря; α – кут падіння при переході з повітря у воду, β – кут заломлення; α1 і β1 відповідно кути падіння й заломлення при переході променя з води в повітря).
Спостереження повторюють для середовищ повітря – скло на досвіді з оптичною шайбою. Зробивши відповідні креслення й порівнявши для різних середовищ кути заломлення при рівних кутах падіння, вводять поняття про середовища оптично більш (менш) щільних.
У цьому місці шкільного курсу, використовуючи ці ж установки розповідають школярам і про оборотність світлових променів.
Тому що при розгляді явища заломлення вводять показник заломлення, то вправи проводять не тільки якісно. Велику увагу повинно бути приділене поясненню явищ, відомих учням з життєвого досвіду, наприклад, чому предмети, частково занурені у воду, здаються зламаними в поверхні води, чому дно ріки, предмети у воді здаються вище, ніж це є в дійсності, і т. п.
Використовуючи прості устаткування (склянка з водою, олівець, колба з водою), можна організувати фронтальні лабораторні спостереження учнями уявного підняття предмета при його зануренні у воду.
Лінзи в базовій школі розглядають не тільки експериментально, як наслідок явища заломлення. Учнів на досвіді знайомлять із властивостями лінз перетворювати пучки світла й давати дійсне зображення предметів. Вводять поняття про фокусні відстані F оптичній силі лінз 1/F . Формулу лінзи вивчають тільки із сильними учнями.
Фронтальну лабораторну роботу «Одержання зображення за допомогою лінзи» проводять у сполученні з демонстраційним експериментом, що дозволяє ввести поняття «фокусна відстань» і «оптична сила».
У центрі уваги повинні бути дві демонстрації: 1) паралельний пучок променів (мал. 2.1.8.) збирається в одній точці (фокусі лінзи) і 2) промені, що йдуть через фокус, після заломлення йдуть паралельно оптичної осі (мал. 2.1.9.). Знання ходу цих двох променів дає можливість показати принцип побудови зображення в лінзах і переконати школярів у залежності характеру зображення від відстані предмета до лінзи і її фокусної відстані. Необхідно розглянути основні випадки одержання дійсних зображень предметів при різних положеннях предмета щодо лінзи (мал. 2.1.10., а, б, в) На малюнку з екрана ЕОМ, при побудові зображення стрілки, один із променів проведений паралельно головної оптичної осі, інший – через її оптичний центр.


Мал. 2.1.8. Мал. 2.1.9.
Далі розглядають будову ока й фотоапарата, за допомогою комп'ютера. Цей матеріал відіграє істотну роль як у здійсненні зв'язку викладання з життям і розширення політехнічного кругозору учнів, так і в узагальненні й систематизації їхніх знань по всьому вивченому матеріалі.
Око надзвичайно складна оптична система, по принципу дії нагадує фотоапарат. Тому після порівняння ходу променів (мал. 2.1.11. і 2.1.12.) корисно запропонувати, учням скласти таблицю, у якій співставляються оптичні системи фотоапарата й ока (характер зображення, як здійснюється наведення на різкість, роль діафрагми – зіниці, об'єктива – кришталика й т. п.).

Мал. 2.1.10.
Через обмеженість часу, що відводить на вивчення теми «Світлові явища», різні випадки більш складних побудов зображень (за допомогою побічних осей), а також визначення області бачення зображень і т. п., можна розглянути тільки в гуртковій роботі або на факультативних заняттях.
Програма базової школи припускає вивчення ще наступних питань:
– короткозорість і далекозорість;
– окуляри;
– кут зору і його збільшення;
– лупа;
- мікроскоп;
- телескоп;
- дисперсія й спектральне розкладання;
- проекційний апарат.
На цих питаннях зупиняємося, тому що зв'язок з життям дуже цікавить учнів. І тим самим, ще раз підкреслюємо важливість вивчення оптики.

Мал. 2.1.11. Мал. 2.1.12.
На завершення варто розповісти учням про значення оптичних приладів у промисловості, у наукових дослідженнях, у побуті. Важливо показати роль оптичних приладів у пізнанні світу. Наприклад, фотографування зворотної сторони Місяця, невидимої із Землі, і т. п. Матеріал, досліджуваний у класі, дає основу для проведення багатьох цікавих позакласних занять за наступними темами: «Історія техніки освітлення», «Сонячне випромінювання – джерело життя на Землі» і т.д.
По матеріалу теми можна з учнями провести екскурсію. [13]
2.2 Організація навчального процесу при поєднанні традиційних та НІТН
Засоби навчання відіграють в педагогічній діяльності таку ж саму роль, як і знаряддя праці в будь-якому виробничому процесі. Від рівня їх розвитку і раціональної організації застосування в значній мірі залежить ефективність та кінцевий результат навчання. Не випадково деякі фахівці вважають, що впровадження техніки в практику навчання – подія така ж важлива, як у свій час було створення перших шкільних підручників.
Широке проникнення в навчальний процес сучасних технічних засобів навчання і електронних обчислювальних машин є характерним фактором розвитку вищої освіти. Технічне оснащення вузівського навчального процесу – це не дань моді, а об'єктивна необхідність, яка обумовлена всім ходом суспільно-історичного розвитку.
Певна річ, що сучасні ТЗН – це не панацея, яка покликана допомогти школі загалом вирішити всі поставлені перед нею завдання. Але те, що ми вже знаємо про дидактичні можливості ТЗН, дає нам право стверджувати, що вони можуть зробити суттєвий внесок у вдосконалення навчально-виховного процесу у вищій школі.
Зміни в структурі навчального процесу не слід розглядати як самоціль: з'явився технічний засіб – міняй схему навчання, що склалася, щоб цей засіб вписався в нову схему. Однак модернізація дидактичної системи вищої школи з урахуванням нових завдань підготовки спеціалістів і проникнення новітніх ТЗН в ВНЗ – це єдиний об'єктивний процес, викликаний усім ходом розвитку суспільства.
Академік В.М. Глушков писав, що»… навіть в майбутньому ЕОМ не зможуть повністю замінити вчителя ». Що стосується часткової комп'ютеризації навчального процесу, то ця можливість в силу наявності великої наукової, матеріально-технічної, а також морально-психологічної бази не потребує корінної перебудови умов, що склалися, а отже стала реальною і конкретною. Більше того, впровадження ЕОМ в навчання стало необхідністю, оскільки метою його є не оголошувати відому і однакову для всіх схему знань, а розвивати різноманітність, своєрідність, індивідуальну неповторність особистості.
Т.В. Колесник [14] зазначає, що навчання за допомогою ЕОМ – це принципово новий тип навчального процесу, що вимагає нових форм і методів навчальної та навчаючої діяльності. Використання ЕОМ змінює фукції викладача: він повинен заздалегідь визначити шляхи та розробити алгоритми оптимального керівництва всім навчальним процесом й окремим заняттям у тому числі. Істотною дидактичною особливістю навчання за допомогою ЕОМ є встановлення безпосередніх діалогів між студентом і машиною або діалогічного трикутника – студент-комп'ютер-викладач.
Такі діалоги допомагають розібратися у всіх труднощах, що виникають у процесі вивчення предмета при самостійному розв'язанні завдань, а викладачеві – спостерігати та контролювати якісний стан навчання.
Чи може техніка замінити викладача? Справа в тому, зазначає В.М. Кузнєцов [17], що розуміти під словом «замінити». Жодна машина не може взяти на себе роль педагога як суб'єкта педагогічного впливу, одна із найважливіших функцій якого – керувати пізнавальною діяльністю того, хто навчається, у взаємо-опосередкованому процесі викладання – навчання. Але технічний пристрій, виступаючи засобом навчання в руках педагога, може виконувати низку його функцій, передаючи навчальну інформацію або контролюючи її засвоєння. Час, що звільнився, викладач витрачає на здійснення таких функцій педагогічної діяльності, які не під силу електроніці.
Існує й інший погляд щодо марності й навіть «хибності» застосування нових засобів навчання без відчутних змін в адміністративній структурі навчальних закладів. Це твердження підкріплювалося навіть намаганнями деяких навчальних закладів в США ввести безперервний процес навчання, при якому кожен учень просувається вперед згідно зі своїм індивідуальним планом, закінчуючи курс у зручний для нього час.
Дійсно, досить розповсюджений серед неспеціалістів погляд про витіснення людини-викладача з навчального процесу і повної заміни його обчислювальною машиною може мати місце в конкретних специфічних умовах [5], наприклад: а) там, де немає чи не вистачає викладачів (малорозвинені країни); б) де учні розкидані географічно і не можуть бути забезпечені штатом викладачів; в) де економічно незручно створення організованого навчання (якщо підприємство невелике і учні працюють за плаваючим графіком). Низка дослідників стоять на позиціях застосування ЕОМ для дистанційного домашнього навчання [3; 4], для спеціалізованого навчання глухих, сліпих, німих, розумово відсталих, «важких», «вразливих» та деяких інших особливих категорій учнів [16; 24; 3], а також для навчання в системі відкритих університетів [23].
Багато зарубіжних педагогів віддають перевагу ідеї так званого «перемежаючого» навчання, яке поєднує традиційні і нові прийоми та засоби [22], при цьому більшість дослідників схильні вважати ЕОМ засобом розширення можливостей людини, хоч і не заперечують того, що роль останньої суттєво зміниться [3].
Дослідження, проведені в США педагогічними лабораторіями на кошти Фонду Форда, стверджують, що в недалекому майбутньому електроніка та телебачення дозволять «одному професорові проводити лекції для великих аудиторій». В «новому педагогічному світі» майже не потрібні будуть педагоги (особливо, у вузах). Нові технічні засоби навчання немовби роблять застарілою ту точку зору, що краща освіта досягається малими групами та за допомогою висококваліфікованих вчителів.
За даними ООН, людина запам'ятовує лише 10% прочитаного, 20% – почутого, 30% – побаченого. Якщо людина чує та бачить, рівень запам'ятовування підвищується до 50%, а якщо чує, бачить, а потім обговорює, то і до 70%. Використання аудіовізуальних засобів до того ж скорочує на 40% необхідний для навчання час і на 20% збільшує об'єм засвоєної інформації [10, 21].
Використовується останнім часом і нова технологія, що дозволяє подолати «тиранію відстаней». Віце-президент австралійського університету професор Ф. Джевонс в зв'язку з цим говорить: «У вік мікрокомп'ютеризації друкованих матеріалів недостатньо». Тому зроблені кроки в новому напрямі. Почалось здійснення програми підготовки комп'ютерних спеціалістів за допомогою «дистанційного навчання» (з використанням персональних комп'ютерів студентів). Вони можуть бути задіяні як «індивідуальні робочі станції», а також під'єднуватися до центральної ЕОМ. Електронна пошта підтримує постійний зв'язок. Тепер справа за тим, щоб створити таку ефективну систему навчання, яка б відповідала можливостям цієї технології» [21, 2].
Аналогічна система навчання існує в США. Тут вона отримала назву «Електронний університет». Вже багато років компанія «Нешнл едьюкейшн корп» експлуатує систему освіти «Еднет» («Мережі освіти»). Бум, який розгорнувся останніми роками навколо «інформаційної технології», сприяв прогресу «педагогічної технології». З'явилась можливість під її егідою з'єднати телевізор з комп'ютером, так би мовити, запрягти цю «пару гнідих» у віз освіти.
Висновок педагогів і студентів на диво одностайний: об'єднання телебачення і комп'ютерів дасть змогу розширити навчальну аудиторію, підвищивши рівень її знань. Усе більша кількість коледжів та університетів пропонують американській аудиторії «електронно-телевізійні види навчання».
Зокрема, Г. Паск бачить майбутнього викладача або як персонального наставника, який повинен приєднуватися до навчання тільки у випадку необхідності, виявленої машиною, або як психіатра, який вступає в гру там, де»… з учнем станеться що-небудь «патологічне» [5]. Цікаве обгрунтування подібного підходу пропонується британськими дослідниками Л. Кенді та Е. Едмондзом у застосуванні його при вивченні рідної мови. Виходячи із традиційної англійської системи навчання, згідно з якою до кожного класу приписано два викладачі (вчитель, який веде групові заняття, і наставник, який приєднується до тих, у кого виникають труднощі), Л. Кенді і Е. Едмондз віддають комп'ютеру роль наставника, що, на їх погляд, повинно забезпечити необхідний ступінь індивідуалізації навчання [21].
Англійські педагоги К.А. Томас, Д.К. Девіс, Д. Опеншоу, Д.В. Берд, поділяючи погляд Г. Паска, пропагують використання ЕОМ для»… виконання шаблонної і часто втомлюючої роботи з тренування учнів і вивчання ними фактичного матеріалу…», залишаючи викладачеві «дійсне навчання», побачивши»… істинне поле їх відповідальності у керуванні розвитком особистості».
Про спробу протиставити машину викладачеві, що викликала деяке розчарування учнів в низці навчальних закладів США, пише Н.П. Іванов, на думку якого, ЕОМ ефективна лише в тих випадках, якщо вона доповнює традиційно складені форми і методи навчання принципово новими, а не просто копіює їх [9]. В цілому, не слід допускати, щоб введення нових методів перетворювалося «в самоціль». Вони повинні вписуватись у загальну систему методів і форм роботи з учнями [7, 14].
Висновки, що роблять дослідники в тих країнах, де накопичений величезний досвід комп'ютеризації, перш за все в розвинутих країнах, полягають в тому, що реальні досягнення в цій галузі не дають підстав вважати, що застосування ЕОМ кардинально змінить традиційну систему навчання на кращу. Не можна просто запроваджувати комп'ютер у звичний навчальний процес і сподіватися, що він зробить революцію в освіті. Потрібно змінювати саму концепцію навчального процесу, проектувати принципово іншу технологію навчання, в якій комп'ютер органічно вписався б як новий, потужний засіб. В закордонній літературі відзначається, що засоби впровадження комп'ютера базуються на концепції освіти, основною метою якої є накопичення знань, умінь, навичок, необхідних для виконання професійних функцій в умовах індустріального виробництва. В даний час суспільство знаходиться на етапі переходу до інформаційних технологій виробництва і стара концепція освіти вже не відповідає його вимогам.
Проблеми комп'ютеризації навчання не зводяться до масового виробництва комп'ютерів і впровадження їх в існуючий навчальний процес. Зміна засобів навчання, як, зрештою, зміна в будь-якій ланці дидактичної системи, неминуче призводить до перебудови всієї цієї системи. Використання обчислювальної техніки розширює можливості людини. Проте вона є лише інструментом, знаряддям розв'язання задач, і її застосування не повинне перетворюватись у самоціль, моду або формальний захід.
Необхідно, перш за все, визначити конкретну мету і зміст навчання в комп'ютерному варіанті. І якщо виявиться, що мета може бути досягнута за допомогою традиційних, надійних, звичних для викладача і учнів засобів, то краще за все звернутися саме до них. Для комп'ютерного навчання доцільно відбирати тільки той зміст, розгортання і засвоєння якого не може обійтися без ЕОМ
Використання ЕОМ у навчальному процесі дещо змінює функції викладача, оскільки здійснюється їх перерозподіл між викладачем і ЕОМ. При цьому машині передаються лише ті функції, з якими вона може справитися ефективніше за викладача. Програма і технічна система ЕОМ допомагають автору програми компонувати інформацію, планувати її зміни, видавати креслення, таблиці, графіки на екран дисплея. Подання інформації може здійснюватися в будь-якому тимчасовому режимі, а наявність дидактичних засобів виділенням інформації (наочність, підкреслювання, штрифування, кольорове зображення тощо) значно підвищує реалізацію інформаційної функції ЕОМ. Особливої уваги при цьому заслуговує структурування матеріалу, який при навчанні краще сприймається з екрана дисплея.
Сприйняття матеріалу при використанні ЕОМ поліпшується за рахунок різних дидактичних можливостей ЕОМ: наочності, підкреслювання, обертання, кольорового зображення тощо. Особливість процесу навчання за допомогою ЕОМ викликає інтерес до навчання і сприяє активізації та зосередженню уваги студентів на предметі. Цьому сприяють також діалогова форма роботи, безперервний контроль і негайне підкріплення відповіді.
Умови роботи на ЕОМ спонукають студентів до активної і напруженої діяльності, оскільки вони усвідомлюють можливість контролю викладачем, а також самоконтролю завдяки порівнянню та узагальненню матеріалу, що вивчається. Проведення самоконтролю допомагає студентам не лише корегувати свою відповідь, але й виправити зроблені ними помилки та значно розширити пам'ять завдяки перегляду матеріалу на екрані дисплея.
Процес навчання в інститутах нерозривно пов'язаний з використанням креслень, графіків, діаграм, формул, що дозволяє подавати інформацію в ущільненому вигляді. Це сприяє розвиткові високого рівня абстракції у студентів. Дидактичні можливості сучасних ЕОМ щодо зображення графічної інформації дозволяють демонстрацію конкретних предметів замінити схематичними або символічними зображеннями, використовувати наочність як спосіб абстрагування та формування проблемних ситуацій. Крім того, ЕОМ створює умови для переходу на більш високий рівень інтелектуальної праці, бо чим більше автоматизується в машинних процесах діяльність людини, тим більше підвищується її психологічний рівень і вона може краще проявити свої творчі здібності.
При традиційних формах навчання викладач не може враховувати всі індивідуальні особливості студентів і орієнтує навчальний процес на середнього студента з точки зору не лише його успішності, але й рівня психологічних характеристик.
Значну допомогу викладачеві може надати використання ЕОМ для психодіагностичного тестування студентів, наприклад, визначення об'єму пам'яті, концетрації уваги, репродуктивності розумових процесів, оригінальності мислення та ін.
Безперечна ефективність використання ЕОМ також при здійсненні поточного і проміжного контролю знань студентів, оскільки вона значно спрощує розробку алгоритму навчання та допомагає викладачеві проводити ці форми контролю. ЕОМ може оцінити знання студентів більш об'єктивно та обгрунтовано, хоча її виховні функції менші, ніж при традиційних формах навчання [31].
Навчальний процес, як і кожний інший, пов'язаний з управлінською діяльністю людини, може бути описаний сукупністю компонентів, які відображають:
– структуру процесу , тобто основні й складові частини, що в традиційній технології навчання можуть бути подані як лекція, консультація, практичне заняття, лабораторна робота, завдання на проектування, цільовий контроль (залік, іспит, захист, колоквіум);
– технологію процесу , тобто взаємний зв'язок структурних частин навчального процесу в часі й домовленості про послідовність операцій, спрямованих на формування певних знань, умінь і навичок;
– інформаційні потоки , утотожнені в навчальному процесі зі змістом і обсягом навчальної інформації, яку згідно з навчальним планом регламентовано одержує студент;
– керовані потоки , які можна розглядати як послідовність керованих дій щодо обліку, аналізу, нормування, планування, розподілу, контролю, звітності, організації та інформування відносно кадрового, фінансового, матеріально-технічного, енергетичного, інформаційного та іншого ресурсного забезпечення навчального процесу.
Якщо вказані компоненти структуровані й пов'язані з деталізованими цільовими функціями, то морфологію навчального процесу можна розглядати як його інфологічну модель. Запровадження в навчальний процес обчислювальної техніки може вплинути на зміст моделі і залишити її у первісному вигляді.
Саме процес набуття знань, умінь і навичок, спираючись на теорію поетапного формування знань як на теоретичну основу його побудови, за своїм характером може бути індуктивним чи дедуктивним. Відповідно до обраного методу викладання матеріалу формується й технологічний цикл заняття, де головним регулюючим ресурсом є інформація, що відображає у той чи інший спосіб поняття курсу.
Процедура інформування, яка у традиційній технології навчання має форму лекційного викладання, як правило, через машинну форму навчання носить тривіальний характер, набуває вигляду послідовного пробігу (тобто листання) матеріалу курсу за допомогою екрана комп'ютера. Теоретичні та практичні проблеми у цьому випадку належать сфері дидактики і психології й пов'язані з визначенням оптимального обсягу однієї навчальної дози, послідовності таких доз, формою зображення (текстова, графічна, звукова). Частково процедури оптимізації структури навчального курсу можуть бути автоматизовані. Так, враховуючи прагматичну вагу поданої студентові інформації, а також ергономічні та психологічні характеристики, що відображають індивідуальні можливості того, кого навчають, сприймати і запам'ятовувати інформацію, є можливість встановити межі й обсяг окремих навчальних доз, обсяг конкретного заняття, розробити індивідуальний план засвоєння студентом дисциплін [20; 28].
Проте інформування студентів як базова процедура навчального процесу все-таки потребує участі людини (викладача) і певною мірою не формалізується, як не формалізується і процес відтворення знань. Розвиток пакетів прикладних програм загального призначення дозволив дещо ширше розглядати можливості діалогу тих, кого навчають, із системою, що супроводжує машинний навчальний курс.
Інші процедури навчального процесу (консультація, контроль тощо), які за логікою застосування підпорядковані базовій навчальній процедурі – інформуванню, можуть бути формалізовані більшою мірою.
Підсумовуючи викладені міркування, можна констатувати, що успішність впровадження обчислювальної техніки з метою безпосередньої реалізації навчальних процедур передусім пов'язана з рівнем та якістю інформаційно-методичного забезпечення.
Контроль знань є складовою частиною практично всіх видів і форм занять, а його результати використовують як основу для корекції роботи тих, кого навчають, а також для зміни методики викладання і змісту навчальних курсів, оптимізації структури навчальних процедур. Тому, автоматизуючи контрольні процедури, необхідно не тільки намагатися позбутися недоліків, які має традиційний контроль знань (тривалість процесу, локальність результату, суб’єктивність при оцінці знань тощо), але й докласти зусиль щодо побудови умов, за яких можливі реалізація в ході машинного навчання творчих операцій викладача, розширення можливостей діагностики знань великих груп тих, кого навчають, зменшення часу контролю із збереженням чи навіть розширенням його обсягу і підвищенням точності результатів.
Виключне значення для машинного навчання має консультація, тому що на цю процедуру покладається завдання не тільки корекції неправильно засвоєних знань, але й побудова інформаційних повідомлень, які є реакцією на запити студентів до системи. Розвиток машинного навчання пов'язаний з ростом можливостей системи, інтерпретації базового інформаційно-методичного забезпечення, що потребує, на наш погляд, розробки засобів, які автоматизують процес формування пояснень і консультативних повідомлень. Таким чином, у режимі машинної консультації на автоматизовану навчальну систему покладено функцію генерації повідомлень інформації. Процедуру консультації можна розглянути як базову функцію навчальної довідкової системи, яку дозволяється використовувати як самостійний компонент машинного навчального середовища, значення якого для навчальної роботи постійно зростає. Дійсно, саме довідники з різних напрямків знань, що містять у стислому вигляді основні поняття, їх характеристики й особливості об’єктів спостереження завжди користуються попитом, бо вони є одним з найважливіших засобів для забезпечення постійної творчої діяльності, а щодо навчального процесу – необхідні, перш за все, в курсовому та дипломному проектуванні.
Найбільш ефективно консультація може бути реалізована на розширеній базі навчальної інформації за рахунок розподілу навчального курсу на дози чи структурування його якимось іншим чином, також побудови моделі відношень між поняттями курсу й апарату утворення посилань на фрагменти базового навчального посібника.
Перейдемо до розгляду і обговорення конкретних форм організації навчання і спробуємо оцінити роль ЕОМ в кожному з них.
Найбільш стійкою формою організації навчання, що виправдала себе з точки зору ефективності і економічності в застосуванні до масового навчання, є лекція. В основі лекційного навчання лежить спосіб передачі знань у готовому вигляді чи так званий інформаційно-рецептивний метод, згідно з яким викладач проводить попередній відбір інформації, організовує її сприйняття, демонструє зразки діяльності із застосування отриманих знань на практиці.
Об’єднання аудиторної лекції з лабораторним експериментом дозволяє значно підвищити ефективність навчання, органічно сумістити теорію з практикою, а машинна графіка дозволяє студентам наочно «побачити» абстрактне явище і тим самим швидко виробити інтуїтивне уявлення про нього. На звичайній лекції студенти ведуть себе в більшості пасивно. В результаті студенти практично не вникають у матеріал, що вивчається, до того часу, поки не приступають до виконання домашнього завдання. Тим самим роль лекції знецінюється. Викладач же, який має наділену засобами машинної графіки АНС, може вводити новий матеріал, пояснюючи його за допомогою серії мультиплікаційних зображень, після він може запропонувати кожному із студентів самостійно попрацювати з одним і тим же «інтерактивним фільмом». В розвинутих АНС з машинною графікою користувачі можуть вирішувати, які ілюстративні матеріали з даної теми показати, керувати швидкістю кадрів мультиплікаційного фільму, створюючи різноманітні відеоефекти – накладання зображень, стоп-кадр, зворотня зйомка тощо. Можливість
спостерігати багаточисленні динамічні зображення складних процесів становить значний інтерес не тільки для студентів, але й для викладачів.
Доповнені комп'ютерною мультиплікацією, подібні демонстрації повинні суттєво скоротити затрати часу в роботі лектора на громіздкі малюнки і пояснення, покращити розуміння фізичних принципів роботи технічних пристроїв студентами за рахунок покращення наочності матеріалу, що викладається. По-друге, дуже важливим застосування комп'ютерних демонстрацій є ілюстрація ключових для розуміння логіки розвитку фізики експериментів, натурна постановка яких в рамках лекції неможлива.
Моделювання на ЕОМ фізичних процесів, що недоступні для масового спостереження, робить їх наочними і дає можливість демонструвати широкій аудиторії. [26]
Застосування класу ПЕОМ, дозволяє в аудиторії розв'язувати фізичні задачі, які практично неможливо запропонувати студентам в межах звичайних практичних занять (наприклад, задачі, що потребують великої кількості складних розрахунків, або задачі, які не мають аналітичного розв'язку і потребують для розв'язання застосування числових методів).
Комп'ютерні роботи, що не так давно офіційно увійшли до програми курсу фізики, демонструють хороші можливості для створення проблемних ситуацій на практичних заняттях.
Використання ЕОМ на практичних заняттях з фізики поряд з традиційними методиками може дати певні наслідки і буде ефективним з точки зору дидактики.
Розв'язавши задачу, студент набирає за допомогою клавіатури відповідь, перевіряє її на екрані дисплея і, переконавшись, що помилок немає, відправляє її в оперативну пам'ять ЕОМ, яка аналізує відповідь. Якщо задача розв'язана вірно, то студенту видається чергове контрольне завдання або чергова доза навчального матеріалу.
У випадку, якщо у відповіді виявлена помилка, то ЕОМ видає студентові (учневі) на екран пояснення: яка допущена помилка і що потрібно зробити. Цей процес повторюється до того часу, поки студент самостійно не закінчить розв'язок контрольного завдання. Студент може запросити допомогу у ЕОМ або у викладача. Всі дії студента (учня) (кількість зроблених спроб розв'язку, затрачений час тощо) фіксується ЕОМ. Всі статистичні дані про хід навчання передаються викладачеві.
Застосування персональних комп'ютерів у навчальному процесі дозволяє:
1) інтенсифікувати процес навчання і підвищити його ефективність за рахунок можливості опрацювання великого об’єму навчальної інформації;
2) розвивати пізнавальну активність, самостійність, підвищувати інтерес до дисципліни, яка вивчається;
3) встановлювати зворотній зв'язок, необхідний для керування навчальним процесом, систематично контролювати знання і вміння та підвищувати якість перевірки знань;
4) удосконалювати форми і методи організації самостійної роботи студентів;
5) індивідуалізувати процес навчання у масовій аудиторії зі збереженням цілісності, що дозволяє враховувати індивідуальні особливості студента, розвивати їх здібності;
6) здійснювати принцип алгоритмізації навчальної діяльності.
Крім того, застосування ЕОМ у навчальному процесі є не тільки як засіб навчання, але і як предмет вивчення. Засвоюючи за допомогою ЕОМ певний навчальний курс, студент одночасно оволодіває навичками роботи з електронно-обчислювальною технікою, яка відіграє все зростаючу роль у всіх сферах народного господарства [28]. Проте це не значить, що всі завдання удосконалення навчального процесу можна вирішити за допомогою ЕОМ. Основним критерієм тут повинен бути принцип педагогічної доцільності. Форми і методи навчання, які стимулюють пізнавальну активність студентів, повинні вибиратися залежно від конкретного змісту навчального матеріалу і від конкретної дидактичної мети, що ставиться і може бути найбільш ефективно досягнута за допомогою саме таких форм і методів.
Педагогічні задачі комп'ютерізації семінарських занять з методики фізики можна класифікувати, відзначає Гуревич Ю.Л. [27], за трьома основними напрямками:
– формування операційного стилю мислення у всіх студентів;
– підвищення ефективності навчального процесу при вивченні методики викладання фізики із застосуванням ЕОМ;
- суттєва активізація розумової діяльності студентів за допомогою програм, що оперативно збирають інформацію з робочих студентських місць і аналізують її.
Важливо не забувати, що незалежно від насичення комп'ютерами кабінету методики і техніки фізичного експерименту, все ж основною ланкою на семінарському занятті, яка регулює взаємодію в системі «Студент – ЕОМ», залишається викладач, який володіє методологією і методикою навчального процесу в умовах широкого застосування ЕОМ і загальної комп'ютерної грамотності.
У даному розділі найбільш повна відповідність специфіці ЕОМ має місце у випадках тренування і контролю, що, як правило, є окремими елементами методичної підструктури практичного, лекційного чи семінарського заняття, але час від часу кожному з них (або обом одночасно) присвячуються повні заняття тренувально-контролюючого типу. Ці заняття можуть бути як аудиторними, так і позааудиторними, виконуваними в рамках самостійної роботи.
В застосуванні до автоматизованого навчання поняття «самостійна робота» може практикуватися скоріше як режим чи як компонент дидактичних умов навчання.
В процесі передлабораторного заняття студенти попередньо моделюють лабораторні умови: «збирають» апаратуру, знімають покази приладів, проводять обчислення і інтерпретують результати. На постлабораторних заняттях частина часу витрачається студентами на введення результатів (отриманих в лабораторіях) в ЕОМ для перевірки їх достовірності, а час, що залишився, використовується для обговорення специфічних індивідуальних проблем з викладачем. Заняття, які розширюють рамки лабораторних, присвячуються моделюванню експериментів, які вже виконувались в лабораторних умовах, якщо їх важко повторити з причини тривалості в часі, а також складного чи дорогого обладнання.
Останній тип занять – заняття в режимі «тренажер» – дозволяють відтворювати реальну обстановку, що виникла, наприклад, в кабіні пілота, в космічному кораблі тощо. Цей режим вимагає використання особливих терміналів, які імітують специфічне обладнання. Крім того, заняття в цьому режимі багато в чому перегукуються з лабораторними і тому спеціальний розгляд їх не доцільний.
Закінчуючи розгляд різних форм заняття, потрібно зауважити щодо неповноти їх представлення. Зокрема, ми спеціально не надавали уваги екскурсіям, конференціям, заняттям-дискусіям і багатьом іншим організаційним формам, що входять до навчального процесу. Будь-яка з цих форм потенційно може бути автоматизована. Однак їх автоматизація не завжди доречна. Краще зберегти ці форми як колективні для активізації навчального процесу. Тому їх аналіз не такий важливий в рамках даного дослідження.
Геометрична оптика – граничний випадки хвильової оптики. Підставою для такого твердження є те, що в процесі розвитку класичної електродинаміки було показано, що формули геометричної оптики можуть бути отримані з рівнянь Максвелла, як граничний випадок, що відповідає переходу до зникаюче малої довжини хвилі. Геометрична оптика вивчає закони поширення оптичного випромінювання на основі подання про світлові промені. А світловий промінь – це лінія, уздовж якого поширюється світлова енергія, світловий промінь перпендикулярний фронту світлової хвилі. Користуватися поняттям променя можна лише в тих випадках, коли не треба враховувати дифракційних явищ, тобто коли довжина світлової хвилі λ, багато менше розмірів перешкод, різних неоднорідностей на шляху поширення світла.

Мал. 2.2.1.
Якщо в базовому курсі фізики явища відбиванняя й заломлення світла розглядали тільки як експериментальний факт.
То в старших класах цього ж явища розглядають як прояв хвильових властивостей світла при взаємодії з речовиною. Теоретичний висновок законів відбивання й заломлення світла здійснюють із залученням принципу Гюйгенса на підставі вихідного положення: світло – електромагнітна хвиля.

Мал. 2.2.2.
Це в більш наглядному вигляді можна продемонструвати за допомогою компютерних програм.
Принцип Гюйгенса вводять саме в цьому місці курсу як правило, що дозволяє, виходячи з положення хвильового фронту в який-небудь момент часу, знайти положення хвильового фронту для найближчого моменту часу (мал. 2.2.1.). Необхідність залучення цього додаткового принципу обумовлена недостатньою математичною підготовкою учнів. Але за допомогою комп'ютера цей процес можна спростити і прискорити.
У навчальній і методичній літературі звичайно приводять доказу законів відбиття й переломлення світла, що майже цілком відтворюють докази самого X. Гюйгенса. З розгляду трикутників АCВ і ADВ (мал. 2.2.2.) знаходять співвідношення між кутами (закон відбивання). З розгляду трикутників АDВ і АСВ (мал. 2.2.3.) визначають співвідношення між кутами α і β (закон заломлення).

Мал. 2.2.3.
Дійсно, ВР = υ1 τ = AВ Sin α = υ2 τ = А В Sin β
(де υ1 – швидкість світла в першому середовищі, υ2 – швидкість світла в другому середовищі), звідки
![]()
Якщо позначити відношення
через п
2.1
, то одержують закон заломлення в звичайній формі

Величина п 2.1 (постійна для даних двох середовищ) не залежить від кутів α і β; її називають відносним показником заломлення другого середовища відносно першого.
Важливо показати, що, користуючись принципом Гюйгенса, ми не тільки знаходимо закон заломлення, який можна перевірити експериментально, але й одержуємо можливість пояснити фізичний зміст показника заломлення п : показник заломлення дорівнює відношенню швидкості світлової хвилі в першому середовищі до швидкості її в другому середовищі. А також показати приклади, які б довели важливість введених понять.
Після розгляду законів відбивання й заломлення світла вивчають явище повного відбивання світла (мал. 2.2.4.). Учні повинні засвоїти, що повне відбивання спостерігають при переході світла з оптично більш щільного середовища в оптично менш щільне (візьмемо для простоти випадок переходу світла зі скла в повітря), наглядніше це продемонструвати за допомогою ЕОМ. Для цього випадку граничний кут повного відбивання α0 визначають із формули
![]()
де п – показник заломленняскла щодо повітря. При вивченні повного відбивання світла цікаво й важливо розглянути його технічні застосування – волоконну оптику, світловоди й т. п.
Доцільно вирішувати завдання, за допомогою яких насамперед заглиблюється поняття про фізичну сутність показника заломлення, а також закон заломлення світла.
Можливо тут виконання фронтальної лабораторної роботи з вимірювання показника

Мал. 2.2.4. заломлення скла й додатково цікаві спостереження й досліди, виконані за допомогою комп'ютера.
2.3 Організація та проведення педагогічного експерименту (Методика викладання геометричної оптики за допомогою комп'ютерного моделювання)
Педагогічний експеримент полягає у планомірній зміні умов педагогічного процесу і реєстрації відповідних наслідків. Умову, яку експериментатор спеціально і планомірно змінює, щоб оцінити її вплив на той чи інший аспект педагогічного процесу, називають незалежною змінною. Аспект педагогічного процесу, який змінюється у відповідь на зміну незалежної змінної, називається залежною змінною. Якщо, наприклад, експериментальне перевіряється ефективність нового методу навчання, то сам цей метод є незалежною змінною, а якість знань учнів – залежною.
Експеримент – це контрольоване педагогічне спостереження, з тією різницею, що експериментатор спостерігає наслідки змін, які сам цілеспрямовано викликає у педагогічному процесі. Ще однією особливістю експерименту є тісний зв'язок з теорією він не тільки спрямовується певною теоретичною гіпотезою, але саме його проведення стає можливим лише тоді, коли дослідник має попередні уявлення про природу процесу, який вивчається, про чинники, що його детермінують. Педагогічний експеримент вимагає обґрунтування робочої гіпотези, складання детального плану її перевірки, точної фіксації результатів, ретельного аналізу отриманих даних, формулювання остаточних висновків.
Ефективність застосування ЕОМ в експериментально-дослідницькій роботі зумовлюється тим, що вони забезпечують: велику точність результатів та їх достовірність, оскільки програмні засоби дають можливість застосовувати методи, які знижують нагромадження похибок при округленні й обчисленні проміжних величин; скорочення кількості складних, дорогих і унікальних приладів; підвищення якості й інформативності дослідження за рахунок ретельнішої обробки даних; збільшення кількості об'єктів, що контролюються, та підвищення емоційного впливу; скорочення циклів дослідження на основі прискорення підготовки і проведення експерименту, оперативного використання результатів аналізу, зменшення часу обробки та систематизації даних.
Комп'ютеризація експерименту розширює обізнаність учнів з досліджуваним фізичним явищем, формує навички і надає їм упевненості у використанні сучасних експериментальних методів, ознайомлює з передовими способами пізнання, видами контролю за технологічними процесами на виробництві, дає змогу по-новому підійти до методики постановки шкільного фізичного експерименту.
Підвищення ефективності і якості навчання фізики тісно пов'язане з удосконаленням існуючих і пошуком нових методів та засобів навчання, що забезпечували б високий рівень її вивчення.
Використання ЕОМ особливо ефективне під час вивчення питань квантової фізики, оскільки вчитель за їх допомогою може звертатися до тих аспектів, які раніше були недоступні учням через складність, недостатню наочність, громіздкість математичного апарату, обмеженість проведення шкільного фізичного експерименту тощо [14]. З метою усунення недоліків, що мають місце під час вивчення розділу «Геометричної оптики», в дипломній роботі розроблені навчальні комп'ютерні моделі (НКМ): «Відбивання і заломлення світла»,»Дзеркала», «Тонка лінза», «Система двох лінз»,» Око як оптичний інструмент», «Мікроскоп», «Зорова труба Кеплера», їх використання, на мою думку, дає змогу вчителю зробити матеріал більш наочним, організувати самостійну роботу учнів на уроці, активізувати їхню розумову діяльність.
Перевагою цих моделей є те, що вони написані для графічного середовища Windows. Тому в процесі використання, можна швидко засвоїти правила керування програмою, сконцентруватися на явищі або процесі що розглядається, якомога менше думати про способи спілкування з ЕОМ.
Насамперед, надзвичайно зручно використовувати комп'ютерні моделі в демонстраційному варіанті при поясненні нового матеріалу або при рішенні задач. Погодьтеся, що набагато простіше і наочніше показати, як промінь рухається на границі повітря-середовище и середовище-повітря, використовуючи модель «Відбивання і заломлення світла.» (Модель 1, в додатках ком пакт-диск), ніж пояснювати це за допомогою дошки, крейди та не завжди справних приладів, чи наявності потрібних умов для демонстрації.

Модель 1. Відбивання і заломлення світла.
В геометричній оптиці закони відбивання і заломлення світла на границі розділу двох прозорих середовищ формулюється на основі поняття світлових променів. Комп'ютерна модель дозволяє вивчати закони відбивання і заломлення світла на границі повітря-середовище и середовище-повітря. При цьому показник заломлення n середовища може змінюватись від 1 до 2. Модель являється комп'ютерним варіантом приладу для вивчення законів відбивання і заломлення світла.
Промінь світла направляється на плоску границю двох середовищ або зі сторони повітря, або зі сторони досліджуваного середовища. В обох випадках кут падіння можна змінювати в межах від 0 до 90°. На екрані дисплея висвічується відбитий і заломлений промені, напрямок яких можна визначити по круговій градусній шкалі.
Зверніть увагу, що при падінні світла на границю розділу зі сторони середовища (n > 1) під кутом, перевищуючим деяке значення α0 , заломлений промінь відсутній. Це явище називається повним внутрішнім відбиванням, а кут α0 – граничним кутом повного внутрішнього відбивання (α0 = αпр ). При падінні світла на цю же границю зі сторони повітря заломлений промінь не може відклонитися від перпендикуляра до границі розділу на кут, перевищуючий α0 .
Зображення предмета в плоскому дзеркалі (Модель 2. Плоске дзеркало) формується за рахунок променів, відбитих від дзеркальної поверхні. Предмет і його уявне зображення розташовуються симетрично щодо дзеркала, розмір зображення дорівнює розмірові предмета.
Комп'ютерна модель ілюструє хід променів у плоскому дзеркалі. Зверніть увагу, що якщо предмет розташовується перпендикулярно до дзеркала, то його уявне зображення виявляється перевернутим. Якби предмет розташовувався паралельно дзеркальної поверхні, то його уявне зображення виявилося би прямим.
Модель дозволяє змінювати положення предмета щодо дзеркала або за допомогою миші.

Модель 2. Плоске дзеркало

Модель 3. Сферичне дзеркало
Комп'ютерна модель 3 (Сферичне дзеркало) ілюструє хід променів при відображенні від ввігнутого і опуклого сферичних дзеркал і утворення зображень (прямих і перевернених, дійсних і уявних). Можна змінювати оптичну силу дзеркала F–1 і відстань d від предмета до дзеркала. На екрані за допомогою стандартних променів будується зображення предмета, і висвічуються значення відстані f від дзеркала до зображення і лінійного збільшення Γ = – (f / d). Для прямих зображень Γ > 0, для перевернених Γ < 0.
Положення предмета щодо дзеркала, а також розташування на екрані всієї системи – предмета, його зображення і дзеркала – можна змінювати за допомогою миші.
Комп'ютерна модель 4 (Тонка лінза.)дозволяє створювати на екрані тонкі лінзи, що збирають і розсіюють з різною оптичною силою. Модель будує зображення за допомогою пари стандартних променів і визначає положення зображення і його характер, а також лінійне збільшення. Положення предмета щодо лінзи можна змінювати за допомогою миші. Установивши курсор на оптичний центр лінзи, і кликнувши мишею, можна переміщати по екрані всю систему в цілому: предмет, його зображення і саму лінзу.

Модель 4. Тонка лінза
Комп'ютерна модель 5 (Система двох лінз.) призначена для вивчення системи з двох лінз. Можна змінювати положення обох лінз щодо предмета за допомогою миші. У широких межах можна змінювати оптичні сили (F–1 ) обох лінз. Комп'ютер обчислює положення першого і другого зображень і визначає лінійні збільшення системи з двох лінз і кожної лінзи окремо. Точковий предмет розташовується на загальній оптичній осі лінз. На дисплеї висвічується хід двох довільних променів від предмета, що випробують заломлення в обох лінзах.

Модель 5. Система двох лінз
Комп'ютерна модель 6 (Око як оптичний інструмент.), призначена для вивчення роботи ока як оптичного приладу. Моделюється хід променів в очній оптиці і визначається положення зображення об'єкта щодо сітківки для трьох різних типів очей – нормального, короткозорого і далекозорого. Кожний з цих трьох типів очей володіє своєю далекою точкою акомодації (при розслабленому очному м'язі) і відстанню найкращого зору, при якому око може тривалий час розглядати дрібні деталі предмета без надмірної напруги. У нормального ока відстань найкращого зору приймається рівним 25 см. При сильній напрузі очного м'яза око може акомодуватися на свою ближню точку акомодації. Око здатне автоматично перебудовувати акомодацію на предмети, розташовані між ближньою і далекою точками акомодації. Комп'ютерна програма дозволяє змоделювати роботу ока в трьох режимах: око акомодоване на відстань найкращого зору (нормальна акомодація), око акомодоване на далеку точку акомодації і режим автоматичної акомодації ока.
Моделюється також дія окулярних лінз при акомодації ока на далеку точку або на відстань найкращого зору.
Зверніть увагу, що оптична сила окулярів, призначених для розглядання вилучених предметів, може не збігатися з оптичною силою окулярів, призначених для читання дрібного тексту.
Положення предмета щодо ока можна змінювати або за допомогою миші.

Модель 6. Око як оптичний інструмент

Модель 7. Мікроскоп
В комп’ютерній моделі мікроскопа можна змінювати фокусні відстані F1 і F2 об’єктива і окуляра. Відстань Δ між ними вибрана рівна 16 см (стандартна довжина тубуса мікроскопів). На екрані дисплея висвічується хід променів в мікроскопі і вказується лінійне збільшення. Зверніть увагу, що в комп’ютерній моделі умова F1 , F2 << Δ не виконується.
Комп'ютерна програма 8, моделює роботу підзорної труби Кеплера, яка складається з двох збиральних лінз. Підзорна труба Кеплера призначена для астрономічних спостережень, так як вона дає перевернуте зображення, що незручно для земних спостережень. Програма, що око спостерігача акомодований на безмежність. То в трубі реалізується телескопічний хід променів – паралельний пучок променів від віддаленого предмета, що входить в об'єктив під кутом ψ, виходить з окуляра також паралельним пучком, але під іншим кутом φ по відношенню до оптичної вісі. Відношення кутів γ = φ / ψ називається кутовим збільшенням підзорної труби. Кутове збільшення труби можна виразити через фокусну відстань об'єктива F 1 і окуляра F 2 :
| γ = – F 1 / F 2 . |
Від'ємні значення γ показують на перевернутий характер зображення.
Можна виміряти фокусні відстані F 1 і F 2 об'єктива і окуляра, а також кут ψ нахилу що входить в об'єктив пучка променів. На екрані дисплея висвічуються значення кута φ і кутового збільшення γ.

Модель 8. Зорова труба Кеплера
Звичайно, такі демонстрації будуть мати успіх, якщо вчитель працює з невеликою групою учнів, яких можна розсадити поблизу монітора комп'ютера або, якщо в кабінеті мається проекційна техніка, що дозволяє відобразити екран комп'ютера на стінний екран великого розміру. У противному випадку вчитель може запропонувати учнем самостійно попрацювати з моделями в комп'ютерному класі або в домашніх умовах, що іноді буває більш реально. Слід зазначити, що при індивідуальній роботі учні з великим інтересом повозяться з запропонованими моделями, пробують усі регулювання, як правило, не особливо вникаючи у фізичний зміст демонстрації на екрані. Як показує практичний досвід, звичайному школяреві конкретна модель може бути цікава в плині 3 -5 хвилин, а потім неминуче виникає питання: А що робити далі? Опитування, що проводив автор після такої самостійної роботи, показали, що навчальний ефект незначний, тому що діти при такій роботі мало що розуміють.
Що ж потрібно зробити, щоб урок у комп'ютерному класі був не тільки цікавий за формою, але і дав максимальний навчальний ефект?
Учителеві необхідно заздалегідь підготувати план роботи з обраної для вивчення комп'ютерною моделлю, сформулювати питання і задачі, погоджені з функціональними можливостями моделі, також бажано попередити учнів, що їм наприкінці уроку буде необхідно відповісти на питання або написати невеликий звіт про пророблену роботу. Ідеальним є варіант, при якому вчитель на початку уроку роздає учнем індивідуальні завдання в роздрукованому вигляді.
Висновки
Аналіз показує, що комп’ютеризація уроків фізики виразилася в такому.
1. Світоглядна спрямованість здійснена за допомогою:
а) чіткішого викладу в тексті та відображення в ілюстраціях діалектико-матеріалістичних поглядів на природу;
б) безпосереднього включення в нього додаткової інформації;
в) систематичного залучення фактів, цифр;
г) введення узагальнюючих розділів, тем, питань світоглядного характеру.
2. Науковий рівень підвищений за рахунок:
а) збільшення обсягу загальних і часткових висновків;
б) введення нових наукових понять і строгіших їх означень, формулювань закономірностей, принципів;
в) розширення в тексті пояснень за рахунок описів;
г) значної уваги до методів науки як у тексті, так і в ілюстраціях, завданнях для учнів;
д) збільшення кількості завдань на встановлення фізичних зв'язків, порівняння й узагальнення.
3. Активізація пізнавальної діяльності учнів здійснюється за допомогою:
а) системи завдань теоретичного і практичного характеру, які ускладнюються;
б) збільшення кількості нестандартних завдань для самостійної роботи учнів;
в) збільшення кількості ілюстрацій, їх розмаїтості за змістом і видами;
г) включення словників термінів і додатків;
Слід підкреслити, що всі три напрями, за якими вдосконалювалася фізика, тісно взаємозалежні.
Так, посилення світоглядної спрямованості змісту одночасно підвищує науковий рівень. Вплив на світогляд школярів не може бути забезпечений без науково обґрунтованої системи завдань, які активізують інтелектуальні, емоційні, практичні напрямки навчальної діяльності. Проте слід врахувати, що навчальну діяльність учнів активізує лише та система завдань, яка охоплює всі етапи пізнання (спостереження, аналіз зібраних фактів, побудова гіпотез, їх перевірка і переведення в теорію, усвідомлення форм і прийомів мислення), тобто система, створена на чітких науково-методичних принципах.
1. Впровадження комп'ютеризації навчання в процес навчання фізики має сприяти оновленню змісту фізичної освіти, залучення педагогів до розроблення варіативних навчальних підручників, пошуку програм, створенню різнорівневих методів і прийомів навчання.
2. Аналіз методологічної, психолого-педагогічної, методичної літератури дозволив визначити, що позитивний ефект в процесі впровадження дистанційного навчання фізики досягається за умов:
• поваги до учня як до особистості;
• врахування емоційного впливу навчального матеріалу на особистість учня;
• такої організації навчального процесу, за якої учневі надається можливість вибрати форму виконання завдань, спосіб навчальної роботи, а обдарованим учням ще й обсяг матеріалу;
• такої оцінки учня, що випливає з суб'єктної діяльності, на що й спрямовано нині весь навчальний процес.
3. З'ясовано мотиви впровадження комп'ютеризації освіти в процес навчання фізики:
– комп'ютер значно розширив можливості подання навчальної інформації;
– комп'ютер дозволяє підсилити мотивацію навчання;
– комп'ютер активно зацікавлює в навчальний процес;
– набагато розширяються застосовуваних навчальних задач;
– комп'ютер дозволяє якісно змінити контроль за діяльністю учнів;
– комп'ютер сприяє формуванню в учнів рефлексії своєї діяльності
4. Розглянуто і висвітлено науково-методичні та психолого-педагогічні основи дистанційного навчання як засобу підвищення інтересу до вивчення фізики зокрема та організації системи самостійної роботи при вивченні фахових дисциплін.
5 Запропоновано навчальний посібник в електронному вигляді по темі «Геометрична оптика».
Переваги розробленого електронного навчального посібника:
• стійкість роботи програми при неправильних або випадкових натисканнях клавіш;
• забезпечення захисту від несанкціонованого введення даних (значень, що виходять за зазначені межі або свідомо невірних);
• забезпечення свідомості й активності дій користувача при роботі з програмами;
• програма за допомогою діалогу повинна ініціювати діяльність користувача (учня) відповідно до зазначеного в супровідній документації методичними цілями і визначеннями;
• відповідність тематики програми навчальним програмам шкільних предметів.
• забезпечення доступності навчання (вимога відповідності пропонованого навчального матеріалу раніше придбаним знанням, умінням, навичкам).
Література
1. Андреев В.И. Эвристическое программирование учебно-исследовательской деятельности: Метод. пособие. – М.: Высшая школа, 1981. с. 167–182;
2. Машбиц Е.И. Психолого-педагогические проблемы компьютеризации обучения. М.: Педагогика. – 1988. – 191 с.;
3. Ю. Дорошенко, «Педагогічні програмні засоби»., – Фізика та астрономія в школі, – 1997 р., №7;
4. М. Корнієнко, «ІТ в освіті»., – Фізика та астрономія в школі, – 1999 р., №3;
5. О. Желюк, «Засоби НІТ у навчальному фізичному експерименті», – Фізика, – 2001 р., №9;
6. І. Заводський, «Інформаційні освітні технології»
7. О. Сергєєв, Н. Сосницька – «Шкільні підручники з фізики для основної школи: досягнення, проблеми, перспективи розвитку»;
8. Ю. Жук., «Можливості нової технології»., Освіта, – №10, 2003 р.
9. М. Палтішев., «Психолого-педагогічні основи навчання фізики»., Освіта, – №6, 2002 р.;
10. І.Р. Крилов, «Методическое пособие по курсу оптики», – М.1993 р., с. 53–86;
11. Коршак Е.В., Миргородський Б.Ю. Методика і техніка шкільного експерименту. Практикум: Київ: Вища школа. 1981. – 280 с.
12. Гончаренко С.У. Методика навчання фізики в середній школі. – К. Радянська школа, 1974. – с. 95–114.
13. Викладання фізики в школі. За ред. Коршака Є. В. – К. Радянська школа, 1986. – с. 68 – 84.
14. Савченко В.Ф., Коршак Е.В., Ляшенко О.І. Уроки фізики у 7–8 класах. – Київ: Перун. – 2002. – 320 с.
15. Буров В.А. Демонстрационный эксперимент по физике в средней школе. – М.: Просвещение. – 1979. – 147–179 с.
16. О.М. Желюк., «Компютерна техніка в навчальному курсі фізики»., Метод. рекомендації., – Рівне, РДПУ, 1994 р.;
17. В. Савченко, «Деякі міркування, щодо повного відбивання світла», – Освіта., 2000 р. №5;
18. «Комп’ютер – інформаційні і комунікативні технології у навчальному процесі середніх та вищих шкіл» // Міжнародна наукова конференція, – Освіта, – №34 – 2003 р.;
19. А. Сільвейстр «Актуалізація пізнавальної діяльності учнів на уроках з застосуванням НІТН»;
20. Александров Г.Н. Программированное обучение и новые информационные технологии обучения // Информатика и образование. -1993. – №5. – с. 7–19.
21. Шевандрин Н.И. Психодиагностика, коррекция и развитие личности. М.: Гуманит. изд. центр ВЛАДОС. – 1998. – 512 с.
22. Пидкасистый И.П. Самостоятельная познавательная деятельность школьников в обучении. М.: Педагогика. – 1980 – 240 с.
23. Лемберг Р.Г. О самостоятельной работе учащихся. // Советская педагогика. – 1962. – №2.
24. Буров В.А. Демонстрационный эксперимент по физике в средней школе. – М.: Просвещение. – 1979.-179с
25. Викладання фізики в школі. За ред. Коршака Є. В. – К.: Радянська школа, 1986. – с. 168 – 184.
26. Машбиц Е.И. Психолого-педагогические проблемы компьютеризации обучения. М.: Педагогика. – 1988. – 191 с.
27. Миргородський Б.Ю., Шабель В.К. Демонстраційний експеримент з фізики: Механіка. К.: Радянська школа. – 1980. – 144 с.
28. Сумський В.І. ЕОМ при вивченні фізики: Навч. Посібник / За ред. М.І. Шута. – К.:ІЗМН. – 1997. – 184 с.
29. Левина И.И. Опытно-экспериментальная разработка методики самостоятельной работы учащихся на уроке при изучении педагогических дисциплин (в индустриально-педагогических техникумах профессионально-технического образования): Автореф. дис. канд. пед. наук. – М. – 1971.
30. Коршак Е.В., Миргородський Б.Ю. Методика і техніка шкільного експерименту. Практикум: Київ: Вища школа. – 1981. – 280 с.