| Похожие рефераты | Скачать .docx |
Курсовая работа: Формирование нового экологического мировоззрения на уроке экологии и биологии
Костанайский социально – технический университет
имени академикаЗулхарная Алдамжара
Курсовая работа
Тема: Формирование нового экологического мировоззрения на уроке экологии и биологии
г. Костанай 2008
Содержание
Введение. Актуальность проблемы. Цель и задачи работы
І. Литературная справка
1.1 Общее понятие экологической этики
1.2 История экологической этики
1.3 Экологическая этика в религии и народных традициях
ІІ. Материал и методика исследования
2.1 Теория экологической этики. Ценности
2.2 Экологические принципы отношения человека с природой. Экологический идеал
ІІІ. Результаты исследования
3.1 Экологические и биологические экскурсии как метод формирования нового экологического мировоззрения
3.2 Дискуссия как метод формирования нового экологического мировоззрения
3.3 Формирование исследовательского мышления у учащихся
Выводы
Литература
Приложение №1. Исследовательский проект «Зимующие птицы»
Приложение №2. Права природы
Приложение №3. Откуда берутся бездомные животные, исследования на животных. Экологические проблемы животноводства
Введение. Актуальность проблемы. Цель и задачи работы
Под термином «экология» понимают две совершенно разные вещи. Во – первых, экология (ее можно назвать «экологией – 1») – раздел биологии, изучающий надорганизменные биологические системы (популяции, биогеоценозы, биосферу). Во – вторых, «экология» («экология -2») – это огромный комплекс междисциплинарных практических проблем, связанных с сохранением окружающей среды. Экология – 2, разумеется, опирается на экологию – 1, так же как и на физиологию, генетику, химическую технологию, политэкономию и многие другие отрасли знаний. Поэтому в школе разумнее изучать не «экологию», а политэкономию и учиться использовать полученные знания для решения природоохранных проблем.
Что касается самостоятельного курса «Экологии» в средней школе, то совершенно непонятно, кто сможет его преподавать на должном уровне. Ведь для преподавания такого курса, призванного синтезировать всю природоохранную деятельность, требуются поистине энциклопедические знания из самых разных дисциплин.
Использование термина «экология» для обозначения природоохранных проблем вредно тем, что это маскирует очевидный факт: корни кризиса окружающей среды лежат не в природе, а в обществе. Без глубокого изменения общественных отношений в мировом масштабе природоохранные проблемы нерешаемы.
Проблемы охраны окружающей среды требуют пересмотра наших представлений о целях и задачах тех или иных учебных дисциплин и их месте в системе образования. Так, в курсе химии химические производства всегда рассматривались как малоинтересная нагрузка к чисто научному содержанию. Однако сегодня, когда каждый гражданин должен знать, как воздействует на окружающую среду производство тех или иных продуктов, изучение химических производств выходит на первый план.
Необходимо давать ученикам не просто абстрактные понятия о загрязнении окружающей среды, но и конкретные представления, как и чем, воздействует на окружающую среду, например, алюминиевый завод и какие возможные пути снижения такого вредного воздействия имеются в нашем распоряжении. И для этого требуются не только принципиально новые концепции химического образования в школе. Это образование должно быть повернуто, с одной стороны, к химическим технологиям, с другой стороны – к процессам, реально протекающим в живой и неживой природе. По – видимому, третьим (наряду с Периодической системой Д.И. Менделеева и теории строения органических веществ А.М.Бутлерова) логическим стержнем школьного курса химии должна стать концепция химической эволюции Вселенной, разработанная в трудах Ю.А. Жданова.
В общем, я думаю, что проблемы сохранения окружающей среды настоятельно требуют развития школьного образования по политехническому пути. Политехнизация образования – это, по большему счету, не приобретение профессии и не поверхностное знакомство с техникой и технологиями. Это освоение накопленного человечеством опыта решения встававших перед ним проблем. И не только в технике.
Политехнизация образования предполагает совершенно иной стиль изложения материала по многим предметам. Оно должно начинаться не с изложения фактов и формулировки каких-то теоретических положений, а с постановки проблемы. Это, кстати значительно облегчает усвоение сложного материала.
І. Литературная справка
1.1 Общее понятие экологической этики
Экологическую этику можно представить в виде особых, создаваемых человеком сдерживающих моральных клапанов. Они будят совесть человека, мешают ему уничтожать природу, напоминая, что так поступать неправильно.
По подсчетам ученых, человек представляет на Земле только один вид из примерно 4-40 млн. видов живых существ. И поэтому было бы не справедливым думать только о нуждах одного человека, забывая о его соседях на планете.
Экологическая этика учит, что не только к человеку, но и ко всем живым существам, а также к экосистемам и даже, как полагают некоторые экофилософы, участкам неживой природы нужно относиться как к моральному партнеру (субъекту), а не как к вещи.
Другими словами, экологическая этика открывает шлагбаум и включает в человеческое моральное сообщество всех больших и малых наших собратьев — белок, воробьев, китов, бабочек, микробов, а также дикую природу.
Сделать отношения с природой этичными — значит впустить в сферу нашей морали не только «себе подобных», например, высших животных, но и «во многом, а, то и во всем иных»
— растения, реки, горы, звезды и т.п. Растения, реки, горы, звезды — все это самодостаточно, ценно само по себе и само для себя и, следовательно, морально значимо. Вместе с тем следует подчеркнуть, что в самой природеэтики не существует. То, что волк задрал козу.
— это не хорошо и не плохо. Экологическая этика существует только в моральных отношениях людей к природе, ее предмет — исследование этого морального отношения. Экологическая этика старается сделать так, чтобы живые существа, по возможности, меньше страдали и гибли по вине человека, особенно без серьезного на то морального обоснования. Однако экологическая этика не ставит своей целью уменьшение страданий и смертей живых существ из-за естественных причин.
Экологическая этика направляет природоохранные действия в двух направлениях: 1) люди действуют или избегают действий из соображений и ради блага самой природы, охраняют природу ради нее самой; 2) эти действия совершаются из морального принципа, без каких-либо корыстных интересов человека, а то и ему во вред.
Таким образом, экологическая этика — это учение о моральных отношениях человека с природой, основанных на восприятии природы как морального партнера (субъекта), равноправии и равноценности всего живого, а также ограничении прав и потребностей человека.
1.2 История экологической этики
Этические взгляды по отношению к природе высказывались в самое разное время в самых разных странах. Будда провозгласил принцип непричинения вреда другим живым существам. Мухаммед защищал животных от жестоких людей. Пифагор и Плутарх говорили о добром отношении к животным. Святой Франциск Ассизский воспринимал животных и растения как своих братьев и сестер. В XYIII и XIX веках в США и Англии появились первые законы о запрете жестокого отношения к животным.
Основателями экологической этики считаются американский эколог Олдо Леопольд (1887-1948) и немецкий врач Альберт Швейцер (1875-1965). В своих классических трудах О.Леопольд («Календарь песчаного графства») и А. Швейцер («Культура и этика») впервые сформулировали идею, что к живым существам и экосистемам нужно относиться не как к вещам, а как к себе подобным. С 1970-х годов экологическая этика как дисциплина стала преподаваться в США, а затем и в Великобритании, Австралии, Канаде, Норвегии, Финляндии и других развитых западных странах. С 1979 г. в США стал издаваться первый в мире экологический журнал «Экологическая этика».
Австралийским философом П. Сингером, американским Т. Риганом и английским экотеологом Э. Линзи в 1970-х — 1980-х годах было сформулировано понятие прав животных, на основе которого вскоре организовалось многомиллионное Движение за освобождение животных. Американец П. Тейлор разработал универсальные экоэтические правила и принципы, а его коллеги Б. Калликот и X. Ролстон III — понятие о ценностях дикой природы.
Параллельно с экологической этикой бурно развивается биоэтика, рассматривающая этические вопросы на грани экологии и медицины.
В 1982 г. Генеральная Ассамблея ООН приняла Всемирную хартию природы — первый международный документ, утвердивший этический принцип, что всем формам жизни должна быть обеспечена возможность существования.
В Российской империи впервые о гуманном, этическом отношении к животным было сказано в Уставе благочиния Екатерины II, изданном в 1782 г.
«ст. 7. Буде скотина и злодея твоего спотыкнется, подними ее.
ст. 8. Блажен кто и скот милует».
Одним из первых в России экоэтические взгляды стал выражать в середине XIX века поэт Николай Щербина:
...Боюсь раздавить я ногою червя,
Что ползет под травою
Сияньем тепла наслаждаться;
Исполнен вниманьем
До всякой летающей крошки,
И груди сдержав колыханье,
В себя не втяну я дыханьем
В лучах затерявшейся мошки.
Следует отметить И. Тургенева, Ф. Достоевского и особенно Л. Толстого, немало писавших об этическом отношении к природе. А друг последнего, В. Чертков, впервые в России (1890 г.) выступил против любительской охоты, назвав ее «злой забавой» (предисловие к эссе написал Лев Толстой).
В 1899 г. в Санкт-Петербурге вышла книга врача С. Фишера «Человек и животное. Этико-юридический очерк», где впервые в России было заявлено о правах животных. Позже эту идею поддержали известные пионеры охраны природы профессора А.П. Семенов Тянь-Шанский и Г.А. Кожевников, а также Российское общество покровительства животным. А в 1903 г. в Москве вышла книга приват-доцента Московского университета, историка и общественного деятеля П.В. Безобразова, которая так и называлась — «О правах животных».
К сожалению, во времена строительства социализма об этических идеях отношения к природе не было принято ни говорить, ни думать. Особняком выделялся только Д. Андреев, посвятивший экологической этике целую главу в свой легендарной книге «Роза мира», написанной в 1940-1950 годах в тюрьме и изданной только недавно.
Некоторый интерес к этике отношения к животным стал проявляться в узкой среде высокообразованной советской интеллигенции в 1960-1970 годы. Именно тогда в центральной прессе появились дискуссии о моральности любительской охоты (благодаря статьям в центральной прессе писателей Л. Леонова и Б.Рябинина весенняя охота в 1969 г. в России была запрещена повсеместно), а при Московском, Киевском и некоторых других городских обществах охраны природы созданы секции по защите животных от жестокого обращения.
Однако фундаментально это никак не повлияло на государственную политику — Советский Союз оставался одной из немногих в мире крупных держав (вместе с Китаем и Турцией), где до 1988 г. так и не было создано Всесоюзного общества покровительства животным и единственной страной в Европе, не подписавшей страсбургской конвенции 1959 г. о безболезненном забое сельскохозяйственных животных.
Вновь об экологической этике в странах СНГ заговорили уже в конце 1990-х годов, когда в Москве была издана книга энтузиаста защиты прав животных Т.Н. Павловой «Биоэтика в высшей школе», а также сборник эссе «Экологическая антология» и «Думая, как гора».
Позже эстафету издания книг по экологической этике подхватил Киевский эколого-культурный центр, который с 1999 г. выпускает международный «Гуманитарный экологический журнал», а в 2001 г. провел первый, в рамках СНГ, международный семинар по экологической этике и выпустил серию книг по этой теме.
1.3 Экологическая этика в религии и народных традициях
Экологической этикой издавна «пропитаны» различные народные традиции и религиозные воззрения. Так, у разных народов существуют традиции, поверья, пословицы, основанные на добре, долге справедливости, симпатии, жалости, заботе, уважении и любви по отношению к животным, растениям, природе в целом, и не имеющие прямой пользы для человека. Американские индейцы считают, что человек имеет такие же права, как кролик, олень или растение. У койконов, жителей Аляски, традиции запрещают эксплуатировать не только человека, но и животных. В Украине говорят: «воробей маленький, а сердечко имеет», в Эстонии - «жаба человеку - полбрата, убивать нельзя». Традиции русского Севера запрещают стрелять в лебедей по той причине, что оставшийся в живых супруг будет страдать три года. У алтайцев не разрешалось рубить молодые деревья, так как считалось, что они подобны маленьким детям и губить их грешно. Этическому отношению к природе учат многие религии.
В Талмуде читаем: «Кто сохранит одну жизнь, это все равно, как если бы он спас весь мир; кто уничтожит одну жизнь — это все равно, если бы он уничтожил весь мир».
«Ахимса» — один из известных принципов восточных религий: индуизма, буддизма и джайнизма. Он означает не причинение зла любому живому существу.
«Как мать бросает все, чтобы спасти своего единственного сына, так буддист всегда должен высказывать безграничную любовь и сочувствие ко всем живым существам» — учит Будда. Известна история о том, как Будда, чтобы накормить голодного тигра, отрезал и дал ему часть своего тела.
Ислам учит, что плохо обращаться с животными означает не подчиняться воле Аллаха.
Пророк Мухаммед как-то рассказал историю, что однажды его укусил муравей и поэтому он приказал сжечь муравьиную кучу. Узнав об этом, Аллах отчитал его. Ислам учит: «Добро, сделанное животному, также хорошо, как и добро, сделанное человеку; жестокий поступок по отношению к животному так же плох, что и жестокий поступок в отношении человека».
Евангелие говорит: «Праведник печется о жизни скота».
В «Основах социального учения Церкви Христиан Адвентистов Седьмого Дня в России» сказано: «Церковь рассматривает экологическую этику как неотъемлемую часть этики христианской. Любовь к Творцу подразумевает и любовь ко всем Его творениям — даже к тем, кого любить казалось бы невозможно. Но ведь всех их создал и любит Бог! Благоговение перед Творцом должно проявляться и в благоговении перед сотворенной Им жизнью. Все живое достойно сохранения, независимо от «красоты» или «хозяйственно-промыслового значения».
Народные традиции и поговорки, религиозные притчи и изречения являются красочными, убедительными, афористичными, легко привлекают внимание и запоминаются, и поэтому могут с успехом применяться в изучении и преподавании экологической этики.
II. Материал и методика исследования
2.1 Теория экологической этики. Ценности
Ценности природы — это субъективная оценка ее значения, качества. Природа обладает массой ценностей. Некоторые из них полезны для человека и могут оцениваться экономически, в деньгах. Такие ценности называются экономическими, к ним относится хозяйственная ценность природы. Другие ценности очень трудно или невозможно оценить экономическим путем. Такие ценности природы называются неэкономическими. К ним можно отнести эстетическую, экологическую, научную, религиозную и другие ценности природы. Все эти ценности в той или иной степени полезны для человека. Но есть ценность природы, которая бесполезна для человека и полезна только для самой природы. Такая ценность называется внутренней, самостоятельной ценностью или самоценностью. Внутренней ценностью обладают все живые существа, а также экосистемы (участки дикой природы). Можно сказать, что белка, ландыш, кит существуют сами для себя, как цель для себя, а не только как средство для достижений целей человека. Жизнь человека так же дорога человеку, как жизнь кита — киту. Можно предположить, что цель всех живых существ, видов существ и экосистем, имеющих внутреннюю ценность, заключается в сохранении жизни, в продлении существования или в их собственном счастье. Поэтому они имеют моральное право на жизнь, свободу, защиту от страданий по вине человека и др.
В Декларации Земли, принятой в 2000 году международной комиссией по Декларации Земли сказано: «...все живое на Земле взаимозависимо, и любая форма жизни имеет свою ценность независимо от той пользы, которую она представляет для человечества». А в Новой Зеландии, в принятом в 1991 г. Законе «Об управлении природными ресурсами» защита внутренней ценности природы впервые в мире получила законодательную основу.
С позиции экологической этики все живые существа имеют одинаковую внутреннюю ценность. Наличие только одной внутренней ценности — достаточное экоэтическое основание для охраны дикой и окультуренной природы.
К сожалению, в современной жизни не ценится не только внутренняя ценность природы, но даже и внутренняя ценность самих людей. На 3 Международном симпозиуме по биоэтике (Киев, 2004) ученый из Албании привел пример, как в современных албанских селах крестьяне вызывают ветеринаров к заболевшим коровам и свиньям (так как те имеют экономическую ценность), но не приглашают докторов, когда заболевают престарелые родители этих крестьян (так как они уже немощны и никакой экономической ценности не представляют). При этом внутренняя ценность стариков (то, что они ценны сами по себе) в расчет не берется.
Американский экофилософ Холмс Ролстон III, внесший наибольший вклад в разработку теории ценностей природы, выделяет около 20 различных ценностей. Давайте назовем наиболее известные из них, взяв за пример березовую рощу.
Различные ценности березовой рощи.
Экономические ценности.
Хозяйственная ценность.
Хозяйственную ценность березовой рощи легко представить в виде оценки древесины, которую можно использовать при производстве фанеры или в виде дров для печки.
Неэкономические ценности.
Эстетическая ценность.
Березовая роща считается одной из самых красивых среди различных лесных формирований. Березовую рощу рисовали многие художники, к примеру, Левитан.
Духовная ценность.
Березы являются одним из самых любимых у славянских и других народов деревьев, и воспеваются в их поэзии. В русской поэзии — береза самое любимое дерево. Хакасы относили березу к числу почитаемых, «чистых» деревьев. На Семик на Руси пели:
Радуйтесь, березы,
Радуйтесь, зеленые,
К вам девушки идут,
К вам красные,
К вам пироги несут,
Лепешки, яичницы.
Религиозная ценность.
Многие народы почитали березы, считали их священными деревьями и в березовые рощи шли молиться. Так, североамериканские индейцы относились к березе с большим почтением и считали ее особым даром Великого Духа. Удмурты почитали отдельно стоящие в поле большие березы, их запрещалось рубить, под ними молились. У них бытовал обряд «Иммала ветлон», в основе которого был культ березы.
Экологическая ценность.
Березовая роща — это не просто склад дров, стоящих вертикально, как думают некоторые хозяйственники или лесники, а очень сложная экосистема, где находят себе дом тысячи и миллионы живых существ. Березовая роща ослабляет жаркие ветра, дает влагу родникам и речкам, смягчает климат.
Научная ценность.
Березовая роща, особенно старовозрастная, не знавшая топора (как впрочем, и любой другой дремучий лес) — настоящая лаборатория для ученых. В ней скрыто гораздо больше информации, чем во всех библиотеках мира.
Воспитательно-образовательная ценность.
Березовая роща — это великолепный класс для проведения уроков природоведения, зоологии и ботаники, где учащиеся могут почерпнуть много интересного из жизни природы.
Рекреационная ценность.
Березовая роща — прекрасное место для отдыха, восстановления сил и поиска вдохновения. Статистика свидетельствует: березовые леса пользуются огромным успехом у туристов и отдыхающих, многие санатории расположены в березовых рощах.
Внутренняя, самостоятельная ценность.
Кроме всего прочего, березовая роща ценна сама по себе. Она приносит пользу не только человеку, не только многочисленным ее обитателям, но и ценна, полезна сама для себя.
Какая ценность важнее?
В связи с тем, что из-за господствующего в нашем обществе однобокого экономического подхода, приоритет чаще всего отдается экономической, хозяйственной ценности природы, а на неэкономические ценности природы внимания практически не обращается, — происходит широкомасштабное уничтожение природы. На березовую рощу чаще всего смотрят как на склад дров, а не как на храм или место благодати. С позиции экологической этики такой подход неправилен. В природе нужно высоко ценить все ее ценности, и в случае конфликтной ситуации находить такое решение, в результате которого природе был бы нанесен минимальный ущерб. А для этого люди должны хорошо разбираться и высоко оценивать именно неэкономические ценности природы. Ибо, как говорили североамериканские индейцы: «Когда последнее дерево будет срублено, будет отравлена последняя река и будет выловлена последняя рыба, плохо, если только тогда человек поймет, что он не может, есть деньги
2.2 Экологические принципы отношения человека с природой
Экологический идеал.
В экологической этике разработаны основные, базовые принципы отношения человека с природой. Они показывают, какие общие виды действий мы морально обязаны осуществлять по отношению к природе, или наоборот, воздержаться от их осуществления. Наибольший вклад в разработку этих принципов внес американский экофилософ Пол Тейлор.
1. Не навреди
Этот принцип включает обязанность стараться не убивать ни один организм, не губить популяции видов живых существ и экосистемы дикой природы в целом.
2. Принцип невмешательства.
Этот принцип призывает нас воздерживаться от каких-либо ограничений свободы, как отдельных организмов, так и экосистем.
3. Принцип порядочности.
Этот принцип призывает нас не обманывать, не нарушать доверия, не вводить в заблуждение никакое дикое или домашнее животное.
4. Принцип соблюдения прав природы.
Этот принцип призывает нас уважать и соблюдать права природы.
5. Принцип справедливого возмещения.
Вышеперечисленные четыре принципа не являются абсолютными и могут быть нарушены при наличии достаточно серьезных моральных обоснований. При этом человек, причинивший зло какому-нибудь природному объекту, обязан компенсировать нанесенный ущерб. Это может быть создание новых заповедников и заказников, увеличение их территории, помощь животным и растениям, восстановление нарушенного качества окружающей среды.
Экоэтический идеал.
Под экоэтическим идеалом понимаются такие условия жизни на Земле, при которых люди могут преследовать свои личные интересы, в то же время, позволяя многим сообществам живых существ в огромном разнообразии экосистем вести беспрепятственное существование. При этом роль людей состоит в том, чтобы направлять и контролировать свое поведение в соответствии с принципами экологической этики.
Первым шагом на пути к экоэтическому идеалу является внутренняя перемена в нашей морали. Ведь большинство людей воспитывалось в такой культуре, в которой верховенство человека над другими видами и бесправие природы считалось дарованным свыше. Экологическая этика критикует такой подход, провозглашая равноценность и равноправие всех живых существ (включая человека).
Вторым шагом является воспитание у людей добропорядочности, сострадания, сочувствия и заботливости по отношению к природе. Без сомнения, экоэтические принципы не являются абсолютными, и ради пропитания или других важных человеческих потребностей их приходится нарушать. Однако такие действия должны вызывать у людей глубокое сожаление, душевные страдания, желание возместить ущерб тем, кто ущемлен или обижен. Лишь только так возможно продвижение к этическому идеалу.
Я верю, что листик травы
Не меньше сверкающих звезд.
И что не хуже их муравей
И песчинка, и яйцо королька,
И эта древесная лягушка —
Шедевр, выше которого нет...
У.Уитмен
2.3 Прикладные аспекты экологической этики
Экологическая этика и красота
Пропагандируемая экологической этикой идея уважения природы по новому заставляет нас относиться к красоте природы.
С точки зрения экологической этики человек поступает неправильно, когда навязывает природе свое видение красоты, свой порядок и свои идеи. Некрасивые с точки зрения человека лягушки, пауки, червяки, а также ландшафты — болота, пустыни имеют право на эстетическое уважение. Их не нужно украшать по своей прихоти. Может просто человек не способен оценить их красоту.
Научные разработки, в результате которых появляется геномодифицированный кролик со светящейся шерстью, а также фигурная стрижка деревьев — это, по сути, фальсификация и опошление природы.
Особой защиты требует красота дикой природы. Дикая природа — великий мастер. Разве можно улучшить картину Шишкина или симфонию Чайковского? Пусть даже при помощи самых передовых технологий. Никогда ничего нельзя сделать лучше мастера. Расчистите озеро — и лилии исчезнут.
ІІІ. Результаты исследования
3.1 Экологические и биологические экскурсии как метод формирования нового экологического мировоззрения
Вопросы развития образования, биологического в том числе, в современных условиях не могут рассматриваться вне контекста его взаимосвязей с наукой, научно-техническим прогрессом, динамичными процессами, происходящими во всех областях социально-экономической деятельности человека. Одной из приоритетных тенденций в науке по-прежнему остается интеграция различных наук и сфер человеческой деятельности. Интеграция содержания родственных (и не только) учебных предметов представляется весьма перспективным направлением совершенствования всей системы образования, в том числе школьного.
Мы исходим из того, что науки разделены не естественным путем, а лишь из соображений удобства. Природа вовсе не заинтересована в подобном разделении, и многие интересные явления лежат именно на стыке разных областей науки [1, с. 164]. Такой подход требует совершенствования методик обучения на основе философской концепции научных знаний. Ее можно назвать концепцией синтагмы (от греч. — syntagma — нечто соединенное). Синтагма представляет собой особую систему знаний, построенную из разнообразных по своему происхождению подсистем, объединяемых для решения определенного комплекса задач, весьма сложных, неоднородных и не поддающихся решению на основе какой-либо одной научной дисциплины [2]. Образование синтагмы происходит не путем механического сближения различных дисциплин, а путем выделения из них определенных блоков содержания, результатов, средств, форм и методов, которые используются для решения комплекса задач. Возможность формирования синтагмы обусловлена закономерностями ассоциативного мышления человека. Ю.А.Самарин, исследовавший значение ассоциативных процессов в познавательной деятельности человека, отмечал, что ассоциации — это «связи, отражающие объективно существующие отношения реальной действительности» и их значение в познании различно [3, с.218].
Взяв за основу взгляды Ю.А.Самарина о развитии умственной деятельности на базе усложнения ассоциаций: от локальных — к частносистемным, внутрисистемным и межсистемным, мы выделяем уровень межпредметного философского и общенаучного обобщения как предпосылку возникновения синтагмы. Межсистемные ассоциации и связанный с ними высокий уровень обобщения охватывают разные системы знаний, способов деятельности и способствуют обобщению этих систем, как в теории, так и в практике, стимулируя преобразование обобщений во взгляды и убеждения личности. Это способствует формированию у школьников более высокого уровня «современного научно-теоретического мышления», чем тот, на который ориентирует традиционный подход в построении школьного образования.
Постановка данной проблемы во многом вызвана имеющимися в настоящее время противоречиями: с одной стороны — между мощным потоком новой информации и ее слабым отражением в программно-методическом обеспечении образовательного процесса; между традиционным содержанием и методикой обучения и новыми требованиями научно-технического и социально-экономического развития; а с другой стороны — между содержанием современного школьного образования и уровнем знаний, умений и развития учащихся.
Сложившаяся система школьного образования включает значительный объем естественно-научных знаний, формируемых в процессе изучения отдельных учебных дисциплин. Такой подход к изучению природы не позволяет сформировать у учащихся целостное представление об окружающем мире, месте и роли человека в нем, не способствует пониманию глобальных экологических проблем и комплексному подходу к их решению, затрудняет выработку практических умений, необходимых для жизни. Опыт реализации интегрированного курса «Естествознание» оказался недостаточно эффективным, и, несмотря на то, что многие школы страны продолжают его реализацию, проблема по-прежнему осталась нерешенной.
Применение интеграционного подхода в методике обучения биологии сдерживается из-за нерешенности следующих проблем:
• не определены общедидактические и методические подходы к интеграции содержания в рамках цикла естественно-научных дисциплин;
• отсутствует теоретическое обоснование необходимости и возможности интеграции содержания образования по предмету.
Их решение возможно, на наш взгляд, посредством реализации комплексного подхода в школьном биологическом образовании.
Относительно комплексного подхода нет единого методологического понимания, его содержание по-прежнему остается малоизученным.
«Комплексный» вообще означает не просто «составной», а составленный из разнокачественных и относительно автономныхкомпонентов. По мнению А. Ф. Кудряшова, «комплексный подход ... означает требование комплексного рассмотрения объекта»
Комплексный подход требует выяснения того, где и как при решении проблем необходимо использование знаний из различных наук, когда и как должны взаимодействовать разные науки, в какие типы зависимостей они могут вступать, решение каких познавательных задач обеспечивает каждая из них. Комплексный подход предполагает ведение исследования одновременно по всем направлениям, взаимообусловлено и взаимосвязано. Это позволяет изучать не одну, а, по крайней мере, несколько сторон объекта.
Комплексный подход предполагает изучение объекта как нераздельного целого с учетом всех условий и факторов в их взаимной связи; множественность предмета и методов изучения; диалектическое единство анализа и синтеза в процессе исследования. Характерна также его ориентированность на изучение сложных системных объектов. В комплексном подходе акцент переносится на особое междисциплинарное видение действительности, направленное на познание объекта.
Важнейшее требование комплексного подхода, его фундамент - выработка единых представлений об объекте изучения.
Исходное представление можно получить, лишь опираясь на всю совокупность данных разных наук об объекте изучения. В основе построения исходного представления должен быть концептуальный аппарат той науки, которая отображает высшие уровни развития объекта (его существенные, глубинные связи и отношения).
Второе обязательное требование комплексного подхода - выделение базовой дисциплины комплексного исследования.
В качестве отличительных черт можно рассматривать обращенность комплексного подхода на взаимодействие исследуемого объекта с окружающей средой (по существу, рассматривается комплекс «объект — его окружение»).
Под комплексным подходом в обучении мы рассматриваем методологический подход с интегрированным видением учебно-воспитательного процесса, в основе которого лежит комплектование содержания, форм и методов обучения, включающее «всесторонность и многоаспектность теоретического анализа, выявление системообразующих факторов учебно-воспитательного процесса»
Комплексный подход как направление реализации интегральных процессов в методике обучения выполняет методологическую, формирующую (образовательную, развивающую) и конструктивную функции.
Методологическая функция состоит в обеспечении целостного единства при изучении сложных объектов и процессов окружающего мира. Это единство в учебных предметах вначале фиксируется на уровне научных фактов, понятий, законов, затем выражается во всеобщей форме, результативность которой определяется формированием обобщенных знаний (понятий, законов, общих теорий), научной картины мира и в итоге — целостного научного мировоззрения.
Образовательная функция раскрывается через формирование у учащихся общей системы знаний о биологических объектах окружающего мира, о биологических законах и закономерностях, об общенаучных понятиях, методах познания. Их формирование возможно только на основе межпредметного комплексирования знаний и способов деятельности. Это способствует созданию прочного научно-теоретического базиса знаний, что невозможно сделать в рамках одного учебного предмета. Отсюда важная роль комплексирования содержания не только в формировании целостной системы знаний, но и формировании научного мировоззрения, т.е. в выполнении воспитательной функции. Она состоит в гуманизации и гуманитаризации содержания естественнонаучного образования, в раскрытии нравственных аспектов учебного материала, в формировании ценностных ориентации, этических и эстетических идеалов учащихся.
Развивающая функция реализуется путем формирования у школьников системы обобщенных умений межпредметного характера на основе усвоения связей между способами учебно-познавательной и практической деятельности учащихся.
Реализация в обучении подходов, в основе которых лежит перестройка и конструирование нового содержания образования, новых методов и форм организации учебно-воспитательного процесса, характеризует конструктивную функцию комплексного подхода.
Основаниями для выделения комплексного подхода в самостоятельный методический аспект являются, по нашему мнению, следующие признаки:
• социальная направленность;
• всеобщность;
• организационно-управленческая направленность;
• отражение целостных структурно-функциональных свойств процесса обучения, единство его функций;
• обращенность к внутренним и внешним сторонам взаимосвязанной деятельности учителя и учащихся.
Комплексный подход содействует реализации всех функций обучения: формированию системных знаний, обобщенных познавательных умений, широких познавательных интересов, потребностей, мировоззренческих отношений и убеждений.
Его успешное применение связано с «мультипликационным эффектом», т.е. умножением результатов познания в отдельных учебных предметах, так что конечный итог не равняется сумме отдельных результатов, а превышает его за счет уплотнения знаний учащихся.
Комплексный подход при изучении основ естественных наук способствует выработке системных представлений и понятий, постепенно подводящих к пониманию взаимной связи и причинной обусловленности природных явлений, их познаваемости. Он обеспечивает системное построение процесса обучения, что предполагает взаимосвязь его основных компонентов (целей, содержания, методов, форм, средств), активную деятельность и взаимодействие всех субъектов обучения, создание оптимальных условий для осуществления учебно-воспитательного процесса.
Комплексный подход реализует комплексное решение учебно-воспитательных задач; объединение компонентов содержания образования внутрипредметного и межпредметного характера, их обобщение на уровне понятий, теорий, способов и видов деятельности. Он предполагает комплексное использование всех познавательных средств (принципов, содержания, методов) и форм обучения (коллективной, групповой, индивидуальной; комплексных экскурсий, межпредметных конференций, семинаров, интегрированных уроков), а также средств обучения (наглядных пособий, дидактических материалов). Комплексный подход предусматривает комплексную многоуровневую, методику анализа и оценки результатов обучения (схема 1).
![]() |
Этот подход в обучении биологии может быть использован для интеграции знаний и умений учащихся из разных предметов естественно - научного цикла, интеграции компонентов содержания с целью создания интегрированных курсов, разработки интегрированных уроков, семинаров, межпредметных конференций, комплексных экскурсий, т.е. интеграция, как внутренняя сторона процесса обучения, осуществляется в рамках его же организационных форм..
На наш взгляд, идея комплексного подхода к изучению природы наиболее успешно реализуется в ходе экскурсионной работы.
Мы рассматриваем комплексную экскурсию как форму организации обучения и воспитания школьников, которая обеспечивает формирование у учащихся знаний, умений, навыков, норм, ценностей по различным предметам, являющихся опорными при изучении взаимосвязей в природе, деятельности человека по использованию и охране природных богатств.
В качестве отличительных признаков комплексных экскурсий мы выделяем следующие:
• комплексирование учебно-воспитательных задач;
• межпредметный характер содержания;
• рациональное сочетание различных методов и приемов организации деятельности учителя и учащихся;
• межпредметность заданий, обеспечивающих формирование целостного представления учащихся о природных явлениях;
• взаимосвязь видов учебно-познавательной и учебно-практической деятельности учащихся;
• взаимосвязь экскурсий с предшествующими ее проведению и последующими формами организации учебно-воспитательного процесса.
С позиции теории межпредметных связей мы рассматриваем комплексные экскурсии как важнейшее дидактическое и методическое средство, позволяющее создать у учащихся целостное представление о природе; показать тесное переплетение физических, химических, геологических, биологических процессов, протекающих в ней.
Содержание таких экскурсий отражает природно-климатические, географические, флористические, фаунистические особенности региона. Это придает процессу обучения необходимую социальную значимость, способствует развитию у школьников познавательного интереса, прикладной направленности учебно-воспитательного процесса, высокой эмоциональности.
Использование комплексных экскурсий в процессе изучения всех разделов курса биологии дает возможность существенно обновить их содержание без значительного увеличения объема биологической информации за счет разработки методической стороны их организации. Главная идея комплексного подхода к изучению природы на таких экскурсиях заключается в выделении из общего объема общебиологических знаний базисных, способствующих формированию понятий о целостности природы, взаимосвязи и взаимообусловленности природных объектов, явлений, процессов.
Под комплексным подходом к организации и проведению таких экскурсий мы понимаем использование знаний из различных учебных предметов (природоведения, географии, физики, химии), при сохранении базовой дисциплины биологии, а также комплекса методов (в том числе и методов научного познания), приемов, средств и условий организации учебно-познавательной и предметно-практической деятельности учащихся, которые должны обеспечить наиболее эффективное решение поставленных учебно-воспитательных задач.
Этот подход способствует:
• организации учебно-воспитательного процесса с большей степенью подготовленности учащихся к изучению нового материала с учетом их индивидуальных особенностей;
• внедрению индивидуальных методов обучения, в том числе и активных (проблемных, алгоритмических, исследовательских и др.);
• организации обучения на базе интенсивного чередования фронтальной, групповой, индивидуальной учебной деятельности.
Ведущая идея комплексного подхода к изучению природных объектов на биологических экскурсиях - междисциплинарность, которая раскрывается:
• во включении в комплекс взаимосвязанных знаний умений из различных предметов;
• в осуществлении интеграции и дифференциации учебного материала;
• в решении в комплексе задач образования, воспитания и развития учащихся с помощью создания учебных проблем.
Комплексный подход к организации экскурсионной работы содействует обобщению ведущих биологических понятий и одновременному развитию умений сравнивать, устанавливать причинно-следственные связи и на этой основе делать мировоззренческие выводы.
Анализируя проблему реализации комплексного подхода к изучению природных объектов на экскурсиях, мы установили, что в методике преподавания разделов курса биологии отсутствуют конкретные методические рекомендации по отбору содержания для комплексного рассмотрения, по способам осуществления межпредметных комплексных связей. Мысль об интеграции знаний на экскурсиях не получила еще широкого распространения и должного развития.
Значительными недостатками методик организации экскурсионной работы, по нашему мнению, являются следующие:
• при разработке методик комплексного изучения природных объектов слабо отражена организация самостоятельной практической деятельности школьников творческого характера по изучению зоологических объектов;
• авторы методических рекомендаций для учителей часто уделяют внимание исключительно содержательной стороне экскурсий, подбору фактического, информативного материала, который должен быть изложен при проведении экскурсий;
• деятельность учащихся на экскурсиях осуществляется по детально разработанным инструкциям, которые не меняются в зависимости от развития исследовательских умений учащихся. В инструктивные карточки часто не включают вопросы, активизирующие деятельность учащихся, придающие ей исследовательскую направленность и проблемный характер.
Все это позволило нам предложить разработанную и апробированную структуру методики комплексного изучения природных объектов на экскурсиях, состоящую из следующих основных компонентов (схема 2).
Каждый из компонентов имеет свою функциональную особенность и назначение, которые в итоге дают общий результат изучения взаимосвязей в природе; формируют такие общебиологические понятия, как «целостность природы», «единство природной среды».
Организационно-целевой компонент включает действия, связанные с выбором средств педагогической коммуникации, применения совокупности способов, приемов и средств диагностирования и организации учащихся.
Функция мотивационного компонента — формирование общих и частных целей комплексного изучения природных объектов, чему предшествует анализ мотивов деятельности учащихся, обуславливающих эффективность экскурсий. При этом акцент делается на личностную мотивацию, что предполагает реализацию индивидуального подхода к каждому ребенку с учетом его интересов и потребностей.
Реализация личностно-деятельностного компонента позволяет вычленить учебно-познавательную и учебно-практическую деятельность учащихся, связанную с установлением педагогически целесообразных отношений между учителем и учащимися в ходе решения учебно-воспитательных задач.
Средства, обеспечивающие взаимосвязанную деятельность учителя и учащихся, составляют основное содержание процессуального компонента.
Творческое построение интегрированного содержания комплексных экскурсий (содержательный компонент) должно быть адекватно целям и задачам биологического образования и характеру взаимосвязанной деятельности учащихся и учителя.
Контрольно-управленческий компонент обеспечивает методическое руководство познавательной деятельностью учащихся. Его функция — композиционное построение учебного материала в соответствии с логикой содержания, выбор методов, приемов и средств на основе дидактической цели, интереса учащихся.
Исходя из того, что в поле зрения учащихся при выполнении заданий включаются разнообразные природные объекты, обеспечивающие комплексное видение изучаемых биогеоценозов и отдельных видов организмов, мы используем разнообразный арсенал методов и приемов. Это предполагает реализацию управленческих функций учителя через инструктирование учащихся, консультирование их в случае возникновения затруднений и ориентацию учеников на самоконтроль, и контроль, направленные на получение достоверных результатов исследования, комментирование увиденного в период экскурсии. Эти результаты обобщаются в виде четко сформулированных выводов, записей в дневниках наблюдений, оформленных таблицах, в изготовленных наглядных пособиях и т.д.
Определение форм результатов деятельности учащихся на экскурсиях составляет основное содержание результирующего компонента структуры методики комплексных экскурсий в природу. Результаты, полученные в ходе комплексного изучения природы, могут быть использованы для подтверждения универсальности биологических явлений и закономерностей, при рассмотрении проблем других дисциплин естественно-научного цикла, могут выступать в качестве пропедевтических и межпредметных связей.

3.2 Дискуссия как метод формирования нового экологического мировоззрения
Переход на профильное обучение, по нашему мнению, должен способствовать развитию у школьников навыков самостоятельного поиска знаний, активизации мыслительной деятельности, стимулированию творчества, привитию интереса к предмету, к работе с лабораторным оборудованием, приборами и приспособлениями, умений поставить, а затем проанализировать научный эксперимент. Он призван обеспечить высокую степень готовности не столько к вступительным экзаменам в вуз, сколько к продолжению образования в высших учебных заведениях. Это означает, что в ходе профильного обучения должна создаваться необходимая база для понимания вузовских курсов и научной литературы. А это представляется нам маловероятным без использования определенных форм и методов урочной и внеурочной работы в профильных классах и школах.
Профильное обучение отличается широким применением целого ряда таких форм и методов: элементы лекционно-семинарской системы, организация проектной и исследовательской работы школьников, экспериментальные задания и др. Одним из таких методов является учебная дискуссия.
В переводе с лат. «discussion» означает исследование или разбор. Иначе говоря, это коллективное обсуждение конкретной проблемы, часто предполагающее сопоставление различных позиций, идей, мнений и предложений.
Урок-дискуссия требует большой подготовки. Эффективность дискуссии в воспитательно-образовательном процессе как метод обучения определяется целым рядом факторов. Назовем некоторые из них:
• актуальность выбранной проблемы. Избранная проблема должна иметь различные решения, относительно которых нет однозначных ответов. Желательно, чтобы проблема требовала для своего решения организации совместной деятельности;
• информированность, компетентность и научая корректность участников дискуссии (дискутантов);
• владение учителем методикой дискуссионной процедуры;
• соблюдение правил и регламента и др.
Целями дискуссии в зависимости от ее конкретной темы могут выступать:
1) развитие критического мышления школьников;
2) исследование, анализ той или иной проблемы;
3) рассмотрение различных подходов при аргументировании тех или иных суждений, обучение школьников дискуссионной процедуре и формирование у них культуры полемики, обучение уважительному отношению к оппоненту;
4) умения отвечать в эмоционально-напряженной обстановке;
5) реализация творческого потенциала обучающихся и др.
Во время дискуссии оппоненты могут не только противостоять, но и дополнять друг друга. Главным условием повышения эффективности дискуссии является сопоставление различных позиций его участников.
Результаты дискуссии могут определяться не только поставленными целями, но и актуальностью проблемы. Если проблема взята широко, то результатом может быть упорядочение информации, поиск альтернатив, теоретическая или практическая интерпретация, научное и методическое обоснование. Если проблема носит конкретный, узкий характер, то вероятность решения проблемы повышается. Подобные четко выдержанные дискуссии дают положительный результат, так как на их завершающем этапе принимаются конкретные решения.
Каждая дискуссия обычно проходит три стадии: ориентация, оценка и консолидация. Рассмотрим последовательно названные стадии дискуссии.
Стадия ориентации предполагает адаптацию участников дискуссии к самой проблеме, друг другу, к общей атмосфере и т.д. В результате завершения первой стадии дискуссии формируются проблема, цели дискуссии, осуществляется знакомство с дискутантами, устанавливаются правила, регламент дискуссии, уточнение научных терминов и др.
Стадия оценки предполагает выступление участников дискуссии, их ответы на возникающие вопросы, сбор максимального объема идей, предложений, пресечение учителем личностных амбиций и отклонений от темы дискуссии, подведение мини-итогов и т.д.
Стадия консолидации заключается в анализе результатов дискуссии, согласовании мнений, совместном формулировании решений и их принятии.
Экологические тропы как форма экологического образования
В настоящее время остро стоит проблема экологического образования населения. Необходима система экологического просвещения, в которую входили бы не только средства массовой информации и экологические курсы в учебных заведениях, но и непосредственное общение человека с природой. В этом случае помогут экологические тропы, особенно если при их разработке использовались результаты фундаментальных научных исследований.
Особенность процесса экологического обучения и воспитания на тропах природы состоит в том, что он строится на основе непринужденного усвоения информации и норм поведения непосредственно в природном окружении.
По назначению экологические тропы делятся на прогулочно-познавательные, познавательно-туристические и учебно-познавательные. Наиболее специализированы для целей обучения - учебно-познавательные экологические тропы. Их протяженность редко превышает 2 км. Они рассчитаны в первую очередь на посещение их учащимися и педагогами школ, ПТУ, техникумов, вузов и должны быть легкодоступны. Поэтому чаще всего такие маршруты прокладывают в зонах городских рекреаций: в парках, лесопарках, зеленых зонах вблизи населенных пунктов. Очень актуальна организация экологических троп в местах стационарных исследований академических учреждений, где экскурсоводом может быть не только педагог, но и ученый, доступно и грамотно излагающий результаты своих исследований.
Решающие условия для выбора тропы: доступность для посещения, привлекательность и эстетическая выразительность окружающего ландшафта, информационная емкость маршрута.
В качестве примера рассмотрим проект экологической тропы, составленный на базе экологического профиля (ЭП) «Туленгут». Он отвечает всем вышеперечисленным требованиям.
Доступность. Село Туленгут расположено в 180 км от г. Костаная. Маршруты тропы спроектированы так, что начинаются сразу от конечных остановок экскурсионных автобусов. Село тупиковое, природа его окрестностей испытывает меньшее антропогенное воздействие, а леса менее подвержены пожарам, чем в окрестностях Костаная. Чтобы не нарушать растительный покров ЭП, экологическая тропа проложена в нескольких десятках метров от него.
Привлекательность и эстетическая выразительность. Здесь наблюдается большое растительное разнообразие профиля и окружающих его ландшафтов, контрастность растительного покрова в сравнении с сильно нарушенной пригородной зоной и в связи с приуроченностью к разным элементам рельефа. Склоны северной и южной экспозиции сильно различаются и по условиям произрастания, и по составу лесных сообществ.
С каждого из водоразделов хорошо просматривается противоположный склон и поэтому можно пронаблюдать смену одного типа леса другим. Экологическая тропа проходит через живописный участок сухого дубняка с кленом ложнозибольдовым (Клз) на крутом террасовидном уступе, с которого открывается красивый вид в пойму ручья. С другой стороны ЭП произрастает липняк с Клз без подлеска, чем-то напоминающий леса средней полосы Казахстана. Заслуживают внимания и старые посадки актинидии на южном склоне. Кроме этого, по ходу маршрута можно увидеть причудливо искривленные деревья, необычные грибы, следы жизнедеятельности зверей и птиц.
Информационная емкость. ЭП «Туленгут» (рис.1) представляет собой трансекту шириной 10-20 м и длиной 770 м, пересекающую от водораздела до водораздела водосборный бассейн одного из безымянных ручьев в окрестностях с. Тулегут (Мендыкаринский р-н). Трансекта проходит через серию вторичных типов леса разной степени нарушенности. В каждом из них заложена постоянная пробная площадь. На этом профиле сотрудниками Туленгутской станции с 1992 г. проводятся стационарные исследования. Поэтому экологическая проектируемая тропа вполне подходит не только для школьных экскурсий, но и для прохождения студентами практики по ботанике, экологии, биоценологии. Для каждого типа леса на ЭП описаны все ярусы, выявлены флористический и биоморфологический состав, особенности сезонной динамики видов и сообществ, изучены почвы.
Описание экологической тропы. По назначению тропа относится к типу учебно-познавательных и предназначена для проведения экскурсий с целью повышения экологической культуры населения. В пределах ее выделено три маршрута.

Рис.1. Схемаэкологическойтропы«Туленгут». Точки-остановки: 1 —началотропы, Астрофизическаяобсерватория; 2 —аралияманьчжурская; 2а—ЭП«Туленгут»; 26 —ариземаамурская; 2в—валунныевыходы; 3 —дубнякслипой; 4 — лиановыйучасток; 5 —осинник; 6 —дубняксоспиреей; 7 —кленовыйучасток; 8 —поймаручья; 9 —Экобиоморфыдуба; 10 —растения-паразиты; 11 —орхидные, венеринбашмачокнастоящий; 12 —волжанка; 13 —хвощзимующий; 14 —папоротники; 15 —стараягарь; 16 —березаШмидта, старыепосадкиактинидии; 17 —возобновлениедубняков; 18 —«ландышевая»поляна. Условныезнаки:
ЭП«Туленгут»; II—маршрут 1; III—маршрут 2; IV—маршрут 3; V—дорога; VI—безымянныйручей; VII—местадляотдыха; VIII—геоботаническаяплощадка
Маршруты 1 и 2 предназначены для экскурсий продолжительностью до 2 ч. Их основные особенности— небольшая протяженность и высокая информационная емкость. Это очень важно для школьных экскурсий, поскольку известно, что активно воспринимать информацию учащиеся могут лишь в течение 40-60 мин. От более продолжительного маршрута они устают физически и не могут должным образом сконцентрировать внимание. Однако большое количество интересных объектов позволяет удерживать внимание школьников на протяжении всего маршрута.
Маршрут 3 предназначен для экскурсий продолжительностью 3-5 ч. Он включает в себя все объекты маршрутов 1 и 2, а также дополнительные, характерные только, для этого маршрута. Информационная емкость его значительно выше, а значит, можно существенно расширить тематику проводимых экскурсий.
На каждом маршруте подобраны места (точки), где предусмотрены остановки для показа интересных объектов и рассказа о них. Таких точек на нашей экологической тропе 18. Приведем краткое описание нескольких точек-остановок.
Начало всех маршрутов. Здесь проводится вводная беседа. Рассказывается о целях и задачах экскурсии, даются инструкции по технике безопасности и правилам поведения на тропе, уточняются задания (если они есть), в нескольких словах описывается предстоящий маршрут.
•Располагается возле куртины аралии маньчжурской. Об этом виде и пойдет речь. В народе растение называют дальневосточной пальмой, так как она чем-то напоминает это субтропическое дерево. Экскурсовод наглядно демонстрирует экзотичность растения, рассказывает о его лекарственных свойствах, условиях произрастания, а также историю происхождения названий этого и других редких и необычных растений наших лесов.
•Эта точка располагается в верхней части склона северной экспозиции. Здесь можно не только показать одну из пробных площадей профиля, рассказать о работе ученых, но и познакомиться со многими типичными представителями приморских лесов. Все они: деревья - дуб монгольский, маакия амурская, липы маньчжурская и амурская, диморфант; кустарники - чубушник тонколистный, элеутерококк колючий, лимонник китайский; травы — подлесник красноцветковый, папоротники, вороний глаз, осоки, ландыш Кейске, аризема амурская, лесной мак весенний, купена, хлорант японский, василисник тычиночный, пионобратнояйцевидный - лишь небольшая часть растительного разнообразия приморских лесов. Учащимся необходимо знать не только редкие и экзотические растения своего края, но и типичных представителей растительного царства. Экскурсантам можно рассказать об условиях произрастания, лекарственных свойствах некоторых из перечисленных растений.
• Здесь экскурсанты знакомятся с дальневосточными лианами: актинидией коломикта, лимонником китайским, виноградом амурским. Это реликтовые растения наших лесов, имеющие ценные пищевые и лекарственные свойства. Могут выращиваться в культуре. Следует подробно рассказать об условиях их произрастания, плодоношении, жизненной форме «лиана».
• Осинник. 60—70 лет назад здесь был сильный пожар. Осина, как и береза, — порода-пионер. На гарях она появляется первой. И уже под ее пологом происходит развитие других растений. В данном случае древостой на участке состоит преимущественно из липы и осины, но уже видно, что особи последней старые, засыхают. Осина сменяется дубом, кленом, ясенем. Так происходит смена типа леса. Из года в год на «осиновом» участке в конце июня – начале июля появляются бесхлорофильные особи вертляницы одноцветковой. Показ этой диковины экскурсовод дополнит рассказом о других подобных растениях, о значении сапрофитного питания в жизнедеятельности биоценозов.
•Пойма ручья. Экскурсантам предлагается рассказ о влаголюбивой растительности. Видовое разнообразие этого участка очень богато и сильно отличается от вышерасположенных: недотрога обыкновенная, осоки, лабазник дланевидный, калужница болотная, какалия ушастая и копьелистная, папоротники, мхи - это только малая часть того, что обычно растет в поймах.
•Преобладающая растительность здесь сухие дубняки. Можно рассказать о чистых дубняках южного Приморья. Это вторичные леса, сформировавшиеся на месте хвойно-широколиственных в результате сведения последних. Интересно будет узнать и о самом дубе монгольском. Стоит подчеркнуть, что это реликтовый вид и, пожалуй, единственный среди всех реликтов, наиболее приспособленный к современному климату. Он сменил повсюду сосну густоцветковую и абрикос маньчжурский, с которыми сходен по экологическим требованиям. Весьма познавательным будет рассказ об экобиоморфах дуба монгольского, формирующихся в условиях разной влагообеспеченности.
• В этом месте экскурсовод рассказывает о редких и исчезающих видах наших лесов. Речь пойдет о самом молодом в ботаническом мире семействе орхидных, в частности о башмачках, и об исследованиях фотоценологов по их восстановлению. В заключение можно дать справку о других орхидных, произрастающих в окрестностях села Туленгут.
Весьма интересно для учащихся увидеть своеобразные разрастания побегов «ведьмины метлы», узнать, откуда они появляются. «Ведьмины метлы» — вирусное заболевание древесных пород или кустарников, характеризующееся образованием на небольшом участке ветви или ствола множества тесно скрученных, тонких, укороченных побегов в виде кустика, или метлы.
• Здесь главная достопримечательность - аризема амурская. Это редкое многолетнее травянистое растение из семейства ароидных, или аронниковых. В зависимости от сезона года рассказывается об однодомности этих растений или значении яркой окраски ягод, об экологической адаптации, строении подземных органов и др.
• Остановка в старых посадках актинидии. Первые культурные посадки актинидии коломикта сделаны научным сотрудником ГТС А.А. Титляновым. В ходе рассказа совершается экскурс в историю ГТС. Не менее важным объектом для внимания экскурсантов является экзотичное трехствольное дерево березы Шмидта - реликт и эндемик Дальнего Востока.
• Ландышевая поляна. Микрогруппировка ландыша располагается на южном склоне. При рассказе делаем упор на экологию этого вида. Южные склоны характеризуются высокой инсоляцией, дефицитом влаги, маломощными почвами. Это не очень подходящие условия для ландыша. Но в данном случае природа обеспечила оптимальные условия для произрастания растения: участок склона характеризуется не слишком большой крутизной, на нем образовалась небольшая выемка, где скапливается, опади более влажно. Все это способствовало разрастанию ландыша.
Для того чтобы научная информация воспринималась с большим интересом, ее следует дополнить легендами и мифами о встречающихся растениях, об истории их названий, практическом использовании.
Обустройство тропы. Проект предусматривает обустройство экологической тропы, не только повышающее ее информативность, но и способствующее эмоциональной разгрузке. Обустройство включает в себя создание мест для отдыха, установку информационных щитов и других наглядных пособий. Наиболее совершенный вариант учебно-познавательной экологической тропы — сочетание ее с учебным кабинетом природы. Кабинет природы — это небольшое помещение в начале или в конце тропы, где с помощью современных средств обучения посетители могут получить дополнительную экологическую информацию, труднодоступную для наблюдения при кратковременном маршруте.
Наиболее важный прием при обустройстве тропы - установка информационных щитов. Они не только расширяют информативность тропы, но и позволяют ее посетителям самостоятельно, без экскурсовода проходить по маршрутам. Информационные щиты могут быть различной тематики, их можно периодически менять, а можно сделать универсальными (например, установить серию щитов, посвященных жизненным формам растений). На тропе обязательно размещают входной аншлаг, схему маршрутов и правила поведения.
Входной аншлаг — своеобразные ворота учебной тропы. На нашей тропе его предполагается установить в начале маршрута. Он содержит такие слова: «Мы дарим вам эту тропу, чтобы вы могли увидеть сами и рассказать своим друзьям об этом лесе, о том, из чего он состоит и как живет. Мы так хотим, чтобы по этой тропе, вы почувствовали огонек желания сохранить его от любой порчи. Пожалуйста, любите наш лес».Ниже аншлага — схема маршрутов, рядом - щит, информирующий посетителей о правилах поведения на тропе.
Правила поведения на экологической тропе:
1.Ни в коем случае не сходить с тропы!
2.Не мешайте жить лесным обитателям — проходите без лишнего шума.
3.Нельзя срывать любые растения, а не только редкие и исчезающие.
4.С тропы нельзя выносить сувениры природы: красивые камни, интересные коряги и т.п. С тропы можно «выносить» только знания, впечатления и фотоснимки, творческий подъем и вдохновение.
5.На тропе разрешена охота только на комаров и клещей.
6.Курить и разводить костры можно только в специально обозначенных местах.
7. Не сорите на тропе — вы не последние ее посетители
8. Не надо портить оборудование тропы — оно вам пригодится еще не раз!
Несколько информационных щитов располагаются на точках. Они расскажут о различных жизненных формах растений (деревья и кустарники, лианы, травы). Один из информационных щитов расскажет об экобиоморфах дуба (см. 2 и 3).
Там, где маршрут тропы близко подходит к местам произрастания редких и краснокнижных видов, для удовлетворения любознательности посетителей и сохранности этих растений обычно рядом с тропой организуют специальные геоботанические площадки. На тропе «Туленгут» предполагается заложить такую площадку и высадить на нее не только редкие и исчезающие виды, но и типичные для наших широт растения, не произрастающие в данной местности по каким-либо причинам.

Рис.2. Информационныйщит«Жизненныеформырастений: деревьяикустарники»наЭП«Туленгут»: 21 виддеревьев: дубмонгольский, кленымелколистныйзеленокорый, ложнозибольдов, бородчатый, липаамурская иманьчжурская, маакияамурская, грабсердцелистный, диморфантсемилопастной, мелкоплодникольхолистный, ильмыгорный, долинный, березыдаурская, белая, орехманьчжурский, трескун (сиреньамурская), соснагустоцветковая, ясениманьчжурский, носолистный, осина; 19 видовкустарников: лещиныманьчжурская, разнолистная, чубушниктонколистный, элеутерококкиколючий, сидячецветковый, жимолостираннецветущая, золотистая, калиныбурейскаяиСаржента, смородинаМаксимовича, леспедецадвуцветная, бересклетымалоцветковый, священный, крушинадиамантская, рододендроностроконечный, барбарисамурский, боярышник, бузинашироко-листочковая, рябинникрябинолистный
Рис.З. Информационныйщит«Экобиоморфыдуба монгольского»
Помимо элементов благоустройства, направленных на повышение информативности тропы, существуют так называемые малые архитектурные формы. Они служат для повышения безопасности и комфортности тропы. В местах для отдыха устанавливают столы (высота 83 см, длина 3 м, ширина 40 см) и лавки (высота 60 см, длина 3 м, ширина 20 см). Для разрядки обстановки и снятия усталости можно повесить «универсальные барометры» (веревочка с грузом). Рядом поместить инструкцию следующего содержания:
«Если веревочка висит спокойно – погода хорошая;
если качается - ветер;
если мокрая - дождь;
если заледеневшая - мороз;
если ее не видно - значит, темно;
если упала - землетрясение».
Своеобразными объектами показа местной флоры могут быть не только живые растения, но, например, «пни». На них с помощью тонких концентрических кругов краской отмечают отдельные десятилетия, столетия или даже целые геологические эпохи. Таблички внутри этих периодов сообщат о тех или иных событиях, произошедших в это время. Конечно, все это весьма условно, так как на тропе нет пней, а тем более деревьев, проживших сотни лет. Но это необычное наглядное пособие, сразу привлекающее внимание. Экскурсанты, не торопясь, смогут изучить такую геохронологическую таблицу в процессе отдыха.
Не менее важный этап при оборудовании тропы — определение допустимых рекреационных нагрузок. Леса села Туленгут находятся на границе разных природных зон: лесостепной и смешанных хвойно-широколиственных лесов. Они многократно пройдены пожарами, и экологическая устойчивость их существенно подорвана. Поэтому для них необходимо определить рекреационные нагрузки, которые впоследствии могут привести к преждевременной дигрессии растительного покрова.
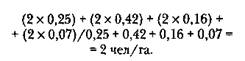
Под величиной «рекреационная нагрузка» понимается суммарное количество времени, проведенного отдыхающими на единице площади с учетом вида отдыха. Этот показатель принято измерять в чел/га. Величина предельно допустимой нагрузки — основной показатель, характеризующий устойчивость биогеоценоза. Для ее определения используют формулу:
![]()
где Rep — средняя предельно допустимая нагрузка, чел/га; Ri - предельно допустимые нагрузки отдельных участков, чел/га (в нашем случае Ri равна 2 чел/га); Si - площадь этих участков, га.
Исходя из предельно допустимой нагрузки рассчитывается рекреационная емкость территории (Е, чел) по формуле:
![]()
Если за отдельные участки принять размеры пробных площадей ЭП, то средняя допустимая рекреационная нагрузка экологической тропы «Туленгут» будет равна:

Так как тропа занимает 6,7 га, то нагрузка на всю территорию будет равна 6,7x2 = 13,4 или 13 чел. Следовательно, максимальная численность экскурсионной группы на тропе не должна превышать 13 человек.
Экологические тропы очень удобны при проведении тематических экскурсий для посетителей разных категорий и особенно как дополнение к учебным школьным программам. Оптимальный количественный состав групп позволит не только сохранить местную природу, но и будет способствовать более качественному усвоению получаемых знаний.
Таким образом, практическая реализация предложенного нами проекта позволит не только заниматься экологическим просвещением, но и сделает доступными для населения результаты научных исследований сотрудников села Туленгут.
3.3 Формирование исследовательского мышления у учащихся
Наше развивающееся общество имеет потребность в теоретически мыслящих компетентных специалистах, обладающих элементами научной деятельности и творческого поиска. Это порождает необходимость обучения подрастающего поколения средствами, способствующими формированию и развитию у школьников собственной учебной деятельности.
Достаточно интересными в этом контексте являются исследования по биологии, проводимые Е.Н.Чудиновой в рамках концепции учебной деятельности Д.Б.Эльконина и В.В.Давыдова. Она разрабатывает учебный предмет в новом учебном курсе биологии для средней школы, совершенно справедливо считая, что «учебным предметом в биологии для средней школы могут быть закономерности эволюционного развития живых существ, которые будут строиться, пониматься и преобразовываться самими детьми. Овладевая общим способом действий в отношении этого предмета (способом позиционного рассмотрения биологических объектов), дети усвоят систему ключевых биологических понятий, задающих способность видеть объекты как развивающиеся системы». Учебная деятельность, согласно концепции Д.Б.Эльконина и В.В.Давыдова, направлена эффективной научной деятельности. Чтобы ученик мог быть участником научного поиска, он должен, по меньшей мере, осознавать науку как деятельность, знать методы научного познания, логику научной деятельности, процесс научного познания, функцию гипотезы.
К сожалению, в содержании школьного образования в большинстве случаев наука отражена главным образом как система знаний. Как деятельность, где требуются методы познания, она представлена гораздо в меньшей степени. В то же время результаты психолого-педагогических исследований показывают, что без выстраивания учащимися совместно с учителем методов и процессов научного познания нельзя добиться полноценного усвоения знаний основ наук, не говоря уже о целенаправленном формировании научного мышления. Для этого необходимы особым образом сконструированное содержание и соответствующие этому методы обучения, позволяющие учащимся выявлять сущность научного поиска.
Методы научного познания выделяют двух типов: общие, применимые ко многим наукам, и частные, применимые к отдельным наукам. Частные экспериментальные методы таких наук, как физика, химия, биология и география, в той или иной мере входят в программы средней школы. Руководствуясь этими методами, учащиеся ведут наблюдения, выполняют практикумы, лабораторные работы. Что же касается общих теоретических методов науки, то в традиционной системе обучения учащиеся не открывают для себя теоретических положений не строят представления о теоретических методах исследования. Они их могут получить в ходе освоения знаний только путем применения готовых теорий и за счет специальных знаний, включенных в содержание образования. Что же касается не традиционного, а развивающего обучения, то оно совершается в условиях, когда учащиеся выстраивают предметное содержание по восхождению в собственной учебной деятельности, позволяющей выстраивать как отдельные положения теорий, так и целостные теории.
Не имея возможности изложить теорию развивающего обучения в рамках одной статьи, рассмотрим процесс формирования исследовательского подхода при овладении учащимися новыми знаниями на примере научно-исторического материала. Представления о применении теоретических методов исследования для получения новых знаний продемонстрируем на примере изучения биологического историко-научного материала по открытию Луи Пастером причины инфекционных заболеваний (данный материал для изучения в школе рекомендовал К.М.Ягодовский). При этом осмыслим этапы, методы, логику научного поиска; раскроем роль гипотезы в целостной структуре научного исследования, начиная с условий возникновения проблемы и заканчивая ее решением. Все это покажем отдельными штрихами в рамках традиционного обучения, которое еще не исчерпало свои потенциальные возможности улучшения процесса освоения детьми того или иного изучаемого объекта.
Учитель в качестве ориентировочной основы сообщает учащимся определенный объем фактической информации.
Факт 1-й. «В XVII в. был изобретен микроскоп. Первыми его создателями были А.Левенгук и Р.Гук. Они убедительно доказали, что наряду с видимым миром живых существ существует мир невидимых микроорганизмов».
Чтобы убедиться в том, что учащиеся включились в учебный процесс, учитель просит их в ходе совместного обсуждения изобразить у себя в тетрадях модели микроорганизмов.
Факт 2-й. «В 1850 г. французские ученые Райе и Давэн с помощью микроскопа обнаружили в крови барана, погибшего от сибирской язвы, неподвижные продолговатые "тельца". Другие ученые с целью проверки данной находки провели серию повторных наблюдений и убедились в следующем: а) эти "тельца", похожие на небольшие палочки, действительно встречаются в крови животных, заболевших сибирской язвой; б) эти тельца являются живыми существами».
Учитель предлагает учащимся обсудить данные факты и высказать предположение по поводу «телец», открытых в крови животных, заболевших сибирской язвой. В ходе беседы учащиеся высказывают гипотезу о том, что, вероятно, имеется какая-то связь между открытыми тельцами и заболеванием сибирской язвой.
Факт 3-й. «13 лет спустя после этого исторического факта, а именно в 1863 г., Давэн, ознакомившись с работами французского ученого Луи Пастера о роли и значении микроорганизмов при брожении, высказал свою гипотезу: найденные и описанные им бациллы являются причиной заболевания сибирской язвой».
Такой факт позволяет учащимся эмоционально пережить свои поиски гипотезы и порадоваться за себя, ибо их гипотеза в определенной мере совпала с гипотезой ученого исследователя, а это для процесса формирования у учащихся познавательного интереса к исследовательской работе очень значимо. Благодаря факту, сообщенному учителем, учащиеся убеждаются в том, что они не ошиблись в своем предположении, и в определенной мере тоже способны к совершению исследовательских действий.
Факт 4-й. «В то время Луи Пастер изучал заболевание шелковичных червей, имеющих огромное значение для шелководства на юге Франции, и доказал что это заболевание вызывают микроскопические паразиты, попадающие в их тело. Пастер познакомился с работами Давэна и его гипотезой о причинах заболевания сибирской язвой и приступил к исследованию этой болезни животных и людей. Путем повторных наблюдений он проверил работы Давэна и других ученых, работавших в этом направлении. Гипотеза Давэна о причинах болезни представилась Пастеру весьма вероятной. Пастер начинает свои исследования с заинтересовавшей его бактерией. Он получает чистую культуру бактерии в различных жидкостях и ставит эксперимент, а именно переносит эту бактерию из чистой культуры в тело здорового животного. В результате животное заболевает сибирской язвой».
На базе этих фактов учащиеся в ходе обсуждения приходят к умозаключению о том, что причиной, т.е. возбудителем, сибирской язвы является бактерия, описанная Райе и Давэном. При этом учитель просит учащихся вычленить те действия, которые позволили Пастеру доказать, что возбудителем заболевания сибирской язвой являются именно бактерии. Учащиеся при совместном поиске в ходе рефлексии выделяют следующие действия:
1. Луи Пастер сам перепроверил находку Давэна и других ученых, работавших с сибирской язвой. На базе результатов, полученных им в ходе практических действий, он, путем умозаключений, пришел к выводу о том, что гипотеза Давэна достаточно вероятна.
2. Только после этого он начинает запланированные, заранее осмысленные собственные эксперименты с палочками сибирской язвы. Во-первых он получает чистую культуру бактерий в различных жидких средах; во - вторых, только из чистой культуры он переносит эти бактерии в тело здорового животного, чтобы эксперимент был чистый.
3. Пастер сам наблюдает, что здоровые животные заболели именно после заражения их микроорганизмами.
4. Только после этого Пастер делает окончательный для себя вывод о том, что причиной заболевания животных являются микроорганизмы — возбудители сибирской язвы.
Факт 5-й. «Полученный Пастером результат ученого тем не менее не устраивает. Он не удовлетворен им и продолжает исследования. Пастер переносит установленного им возбудителя на курицу. Однако она не заболевает сибирской язвой. Повторные опыты дают тот же результат».
Учитель ориентирует учащихся на формулировку умозаключения: «Предполагаемый возбудитель сибирской язвы у кур не вызывает этого заболевания». Школьники обсуждают причину наблюдаемого факта. Мнения расходятся. При этом учащиеся выдвигают две гипотезы: 1) причина заключается в возбудителе сибирской язвы, который у курицы не вызывает этой болезни; 2) причина заключается в самой курице, которая благодаря своим особенностям не восприимчива к этой болезни.
Для того чтобы проверить какая из гипотез правильная, учитель излагает учащимся логику последующих экспериментов Пастера: «Пастер изучает птиц и млекопитающих, сопоставляя их между собой. Его внимание привлекает температура тела. Оказалось, что у млекопитающих она равна +37°С, а у птиц +42°, т.е. выше.
Учитель призывает учащихся к обсуждению нового факта. В результате выдвигается новая гипотеза: высокая температура тела создает условия, при которых возбудитель сибирской язвы не может размножаться в теле курицы. Учащиеся пытаются предложить варианты экспериментальной проверки предполагаемой гипотезы, но, как правило, ничего заслуживающего внимания не получается. Тогда учитель сообщает им следующие факты из истории исследовательской работы Пастера. Он говорит о том, что «Пастер находит гениально простую форму эксперимента. А именно: вводит изучаемую бактерию в организм здоровой курицы и после этого ее лапки опускает в холодную воду. Тело курицы постепенно охлаждается, температура падает. При температуре тела +37°...+38°С курица заболевает сибирской язвой и через сутки погибает».
Обсуждая эти сведения, учащиеся достаточно быстро делают вывод: курица не заболевает сибирской язвой потому, что ее температура тела выше, чем у млекопитающих. Как правило, учащиеся считают этот вывод окончательным и не подвергающимся сомнению. Учитель призывает их не спешить и предлагает выслушать следующий фрагмент исторических данных об экспериментах Пастера: «Пастер как истинный исследователь считает, что эксперимент его еще не завершен (и поэтому он бы не согласился с выводом учащихся). Чтобы устранить все возможные сомнения, ученый выстраивает следующую гипотезу: если курица заболела и погибла от сибирской язвы благодаря понижению температуры ее тела, то согревание тела заболевшей курицы должно излечить ее от сибирской язвы. Эту гипотезу он проверяет экспериментально. Для этого подопытную курицу, которая при охлаждении обнаружила все признаки заболевания сибирской язвой, он вынул из воды и согрел. При этом курица очень быстро выздоровела».
Учащиеся восторгаются тем, насколько просто и гениально был поставлен эксперимент. Соглашаясь с ними, учитель сообщает, что только после этого эксперимента Пастер счел возможным формулирование следующего вывода: во всех случаях заболевания сибирской язвой причиной (возбудителем) этой болезни является особая бактерия, описанная в 1850 г. Райе и Давэном.
В заключение хочется отметить, что обучение, построенное на историко-научном материале, характеризуется следующими востребованными нашим обществом особенностями:
— показывает учащимся образец проблемы и способа ее решения;
— предоставляет опыт решения проблемы, который может быть источником аргументации своих взглядов;
—раскрывает необходимые качества творческой личности;
—оказывает сильное эмоциональное воздействие на учащихся, благодаря чему повышается эффективность усвоения ими знаний;
—формирует положительное отношение к творчеству.
Выводы
Теоретическая основа экологического воспитания основывается на решении задач в их единстве: обучения и воспитания, развития. Критерием сформированности ответственного отношения к окружающей среде является нравственная забота о будущих поколениях. Правильно используя различнын методы воспитания, учитель может сформировать экологически грамотную и воспитанную личность.
Как известно, воспитание тесно связано с обучением, поэтому воспитание, основанное на раскрытии конкретных экологических связей, поможет ученикам усваивать правила и нормы поведения в природею Последние, в свою очередь, не будут голословными утверждениями, а будут осознанными и осмысленными убеждениями каждого ученика.
Вопросами экологического воспитания и воспитания младших школьников занимаются многие педагоги современности. Они делают это по-разному. Это происходит от того, что вопрос экологического воспитания сложен и неоднозначен в толковании. На эксперименте приведенном в курсовой работе мы убедились, что экологические знания переданные учащимся посредством игры усваиваются гораздо лучше и прочнее, чем сухие факты и статистика.
Литература:
1.Андреев Д., Роза мира. – М.: Товарищество Клышников-Комаров и К. – 301 с.
2. Борейко В.Е.,Грищенко В.Н., 1999. Спутник юного защитника природы, изд. Второе, дополн. – К.: КЭКЦ. – 304 С.
3.Борейко В.Е., 2003. Прорыв в экологическую этику, изд. в третье, дополн. – К.: КЭКЦ. -228 С.
4. Борейко В.Е., 2004. Краткий курс экологической этики. – К.: КЭКЦ. -72 с.
5. Волна. Экологический журнал, 2003. - №3 (36). Спецвыпуск о правах природы.- Иркутск.
6. Гуманитарный экологический журнал, 1999-2004.- тт. 1-6.
7. Леопольд О., 1980. Календарь песчяного графства.- М.: Мир.-216 с.
8. Павлова Т.Н ., 1997. Биоэтика в высшей школе. – М.- 147 с.
9. Риган Т., В защиту прав животных. Линзи Э., Божественные права животных, 2004. – К.: КЭКЦ. – 104 с.
10. Сайт Киевского эколого-культурного центра – www.ecoethics.ru
11.Симонова Л.П.,1998. Ключи от природы, или этические беседы по экологии. – М.: Агар, Мик. – 143 с.
12. Сингер п., 2002, Освобождение животных. – К.:КЭКЦ. – 136 с.
13. Сладков Н., 1965. Дикая фигура охотника // Звезда №3 – С. 184-189.
14. Феномен жестокости, 1975 // Природа №1. – С. 89 – 104.
15. Швейцер А., 1992. Благоговение перед жизнью. – М.: Прогресс. – 372 с.
Приложение №1
Исследовательский проект «Зимующие птицы»
Метод проектов — это система учебно-познавательных приемов, позволяю позволяющих решать ту или иную проблему в ходе самостоятельных и коллективных действий учащихся и обязательной презентации результатов работы. Предполагается, что в ходе проектной деятельности должно происходить соединение академических знаний и практических действий. Во время работы над проектом каждый ученик имеет возможности реализовать себя, применить имеющиеся у него знания и опыт, продемонстрировать другим свою компетентность, ощутить успех. При этом осуществляется широкое взаимодействие учащихся с учителем и учащихся между собой в проектных группах; возможно привлечение консультантов из различных сфер деятельности. При осуществлении проекта учитывается индивидуальность ребенка — его интерес, темп работы, уровень облученности. Возможность выбора темы подпроекта, партнеров в работе, источников и способов получения информации, метода исследования, формы представления результатов способствует повышению ответственности учащихся, их мотивации и познавательной активности. Предполагается, что проектная работа в той или иной степени направлена на улучшение окружающего мира, соответственно она имеет большую практическую значимость.
Выбранная нами тема проекта «Зимующие птицы» довольно актуальна, так как в запланированных по программе сезонных экскурсиях делается акцент на разнообразие обитаемых в данном регионе птиц и необходимость их подкормки. Цель проекта: показать эффективность привлечения птиц с помощью кормушек.
Методическийпаспортпроекта
Тема«Разнообразиезимующихптиц микрорайонаСредней школы №17»
Тип проекта: исследовательский монопредметный средней продолжительности; осуществляется группой учащихся.
Характеристика:
доминирующая деятельность: исследовательская;
предметно-содержательная область: монопроект (в рамках одной области знания);
характер координации проекта: непосредственный;
характер контактов среди участников школы: V – ІX классы;
количество участников: 35 человек;
Общая цель: изучение разнообразия зимующих птиц в микрорайоне гимназии и эффективности их привлечения с помощью кормушек.
Цели образовательные и воспитательные: формирование у детей способности к самостоятельной мыслительной и практической деятельности; развитие коммуникативных, исследовательских умений; вовлечение каждого участника проекта в активный познавательный процесс; воспитание у детей любви к окружающей природе.
Задачи учебно-педагогические: формирование умения работать с информацией, формулировать проблемы и находить пути их решения; развитие критического мышления, умения осуществлять и аргументировать выбор, предусматривать последствия данного выбора, умения действовать самостоятельно; приобщение к полезной деятельности.
Режим работы: 36 учебных часов.
Материально-техническое и учебно-методическое оснащение: аудиозаписи голосов птиц, определитель птиц, набор карточек с изображением птиц для экскурсионных занятий, бинокль, полевые блокноты, часы.
Дополнительно привлекаемые участники (специалисты): учителя русского языка и литературы, ИЗО.
Новые методические приемы: работа с художественной литературой
Этапы реализации проекта
Название этапа |
Содержание работ |
| Подготовительный | · определение подтем исследования; · выделение предполагаемых направлений работ; · составление графика наблюдений; · разработка критериев оценки результатов выполнения проекта. |
| Начальный | · предварительное знакомство с методами наблюдения; · определение проблемы и задач исследования (использование метода «круглого стола»); · выдвижение гипотез и способов их решения; · обсуждение методов исследования (эксперимента, наблюдений и тд.); · распределение работы между участниками группового проекта; · начало работы по сбору информации. |
| Основной | · продолжение работы по сбору информации; · самостоятельная (индивидуальная, парная, групповая) деятельность учащихся по реализации проекта; по реализации проекта; составление схемы района исследования; зарисовка встречаемых птиц; поиск пословиц, примет, стихотворений, загадок о птицах; выявления разнообразия птиц на территории микрорайона; определение кормовой базы птиц; примерный учет численности птиц за период наблюдения |
· систематизация и анализ полученных данных; · обсуждение способов оформления результатов; · подведение итогов, оформление результатов |
|
| Заключительный | · представление результатов выполненных проектов в виде материального продукта (альбом, книга, газета, доклад, модель, план. схема, график и тп.) · презентация проекта; · рефлексия; · переосмысление результатов в ходе ответов на вопросы и выступлений оппонентов; внесение корректив в работу и оформление отчета. |
Приложение №2
Права природы
Как я уже писала в предыдущем разделе, все живые существа: люди, звери, птицы, растения, насекомые, микробы, а также экосистемы имеют внутреннюю, самостоятельную ценность, обладают моральными правами, и поэтому являются не объектом (вещью), а субъектом (моральным партнером человека).
Следует отметить, что моральные права отличаются от юридических прав тем, что они защищаются моралью, а не законом. Однако, со временем, моральные права могут превращаться в юридические.
Существует множество доказательств наличия у природы прав. Наиболее распространенное — такое. Каждое живое существо, экосистема имеет свое благо, свои интересы, потребности и цели. В свою очередь, задача права — защищать, гарантировать эти интересы и потребности, ибо без них живые существа и экосистемы не могут жить и полноценно развиваться. Поэтому право принадлежит тому, кто имеет свои интересы, потребности и цели. Другими словами, если нет интересов, потребностей и целей, то не имеется и соответствующих прав.
Камень, что лежит на дороге, не имеет никаких интересов, потребностей и целей. Поэтому у него нет и никаких прав. Корова, которая проходит мимо, имеет интересы и потребности, например, в пище, в хорошем обращении, в жизни. У нее есть и своя цель, например, жить (любое существо хочет жить и сопротивляется смерти). Поэтому у коровы есть соответствующие права — на жизнь, на пищу, на хорошее обращение. С другой стороны, она не имеет, скажем, никаких потребностей в свободе совести и поэтому у нее нет на это прав (в отличие от человека, у которого есть в этом потребности).
История моральных прав — это история борьбы с рабством и бесправием. Она началась еще в древние века, когда рабы под предводительством Спартака боролись за свою свободу. Постепенно свои права завоевали негры, женщины, дети. Теперь человечеству осталось сделать последний шаг — признать права всех без исключения живых существ, а также экосистем дикой природы, то есть освободить от рабства и бесправия всю природу.
Экофилософы, юристы Питер Сингер, Том Риган, Ричард Райдер, Христофер Стоун разработали около десятка различных моральных прав для живых существ и дикой природы. Назовем основные из них:
Право на жизнь (существование).
Право на естественную свободу.
Право на необходимую для жизни (существования) долю земных благ.
Право на отсутствие ответственности перед человеком.
Право на защиту законом.
Право на защиту от ненужного страдания по вине человека (для живых существ).
Будем надеяться, что вслед за Декларацией прав человека вскоре будет принята Декларация прав природы, куда войдут вышеперечисленные права.
Следует также отметить, что права природы, также как права человека, не являются абсолютными. То есть они могут быть нарушены при веском моральном обосновании. Так, например, защита своей или других людей жизни, здоровья, а также поиск пропитания является важным моральным обоснованием для того, чтобы убить животное. Однако убийство животного ради развлечения, традиции, удовольствия или научного опыта к таким важным обоснованиям, с позиции экологической этики, не относятся.
С каждым годом права природы получают признание все у большего количества людей. Так, президент Национальной Академии Наук Украины академик Б.Е. Патон недавно заявил: «Права природы так же незыблемы, как и права человека» («Зеркало недели», 2002, 50-10 октября №318).
В Новой Зеландии принят первый в мире закон, защищающий права человекообразных обезьян. В 2002 г. в Германии была принята поправка к Конституции страны (ст. 20), обязывающая государство уважать наряду с достоинством людей достоинство животных (то есть впервые в Европе животные признаны в качестве субъектов морали и права). 24 апреля во всем мире отмечается День прав животных. В США и Японии уже существует практика подачи исков в суд от лица животных и экосистем, то есть моральные права природы постепенно начинают признаваться и как юридические права природы.
Так, пернатый обитатель Гавай палила могла исчезнуть, так как на склонах вулкана Килауэа, где она обитала, должны были бурить скважины. В 1978 г. Сьерра-клуб и Одюбоновское общество подали иск в суд в защиту птички от ее имени. Впервые в американской судебной практике истцом стало животное. И птица выиграла. Федеральный суд заставил местные власти отвести для палилы специальные охраняемые территории.
Таким образом, моральные права природы становятся основой для законов, которые будут приниматься в защиту природы в будущем. Они готовят людей к жизни в новой сфере ответственности. Вместе с тем, права природы не претендуют на всеобъемлющую полноту. Не менее важным в природоохране остаются великодушие, уважение, благородство, щедрость, долг, любовь и милость по отношению к природе.
От имени природы говоря:
От имени природы и во славу
Природе возвратим ее права,
Пока Земля на Солнце не упала.
А. Осмолов
Приложение №3
Откуда берутся бездомные животные. Исследования на животных. Экологические проблемы животноводства.
Проблема бездомных животных тесно связана с более глобальной экоэтической проблемой — бесправием природы.
«Осуществляя свое право владеть животным, право хозяина, человек узурпирует это право, совершенно так же, как он делал, превращая людей в рабов», - пишет в своей книге «Биоэтика в высшей школе» известный российский защитник животных Т.Н. Павлова. В отношении к одомашненным животным трагизм ситуации усиливается еще и тем, что одомашненные, прирученные животные без помощи человека уже существовать дальше не могут. Они или гибнут сразу, или становятся бездомными и гибнут от рук живодеров.
«Человек поступает неэтично, если приобретает животное из-за минутного настроения или в качестве игрушки для ребенка, и тем более, когда использует животное в качестве подарка. Животное поселяется в семье до конца своей жизни, для него смена хозяина — тяжелая травма. Отвечает за животное не ребенок, а взрослые в семье. Сама постановка вопроса, когда живое существо приобретается для развлечения, как бы то ни было — не этично. Дарение животных — наихудший вид обращения с животными. Его дарят как вещь, которая оказалась не нужна (или не отвечает вкусам нового владельца), и, как вещь, животное может быть выброшено» — справедливо пишет Т.Н. Павлова. Поэтому каждый, кто хочет приобрести и подарить товарищу домашнее животное, должен прежде хорошо подумать.
Другая проблема, тесно связанная с бесправием природы, и животных, в частности, — это использование животных в различных научных исследованиях. По данным известного американского защитника животных экофилософа Тома Ригана, ежегодно в США для научных исследований используется до 100 млн. животных, большая часть из которых в результате гибнет. Сколько же животных используется для этих целей в Украине, России, странах СНГ, в целом мире — не знает никто.
Есть три главных области науки, в которых обычно используются животные: 1) биологическое и медицинское образование; 2) токсикологические испытания, где потенциально вредные эффекты новых продуктов и лекарств для людей сначала проверяются на животных; 3) оригинальные и прикладные исследования, включая не только изучение причин и лечение различных болезней, но также базовую биохимическую природу и поведение живых организмов. Доктор Р. Шарп из Великобритании в своей книге «Жестокий обман» пишет о том, как страдают и умирают подопытные животные в английских научно-исследовательских лабораториях: «Их обжигают, ошпаривают, отравляют и замаривают голодом, подвергают электрическим разрядам и приучают к наркотикам; их подвергают воздействию низких температур, близких к точке замерзания, содержат в полной темноте с рождения и вызывают у них такие заболевания, как артрит, рак, диабет, инфекции ротовой полости, язвы желудка, сифилис, герпес и СПИД. У них хирургически удаляются глаза, им наносятся повреждения мозга и вызывают переломы костей. В ходе военных исследований животных отравляют газом, цианистыми соединениями, расстреливают пластиковыми пулями и наносят им травмы приспособлениями, движущимися с большой скоростью». Это все происходит из-за того, что подопытные животные рассматриваются учеными как вещь, как часть лабораторного оборудования.
Эксперименты на животных — одно из самых черных пятен на совести человечества, считает Т.Н. Павлова. А действительно, равноценен ли обмен: жизнь на знания? Известный русский художник и деятель культуры Н.К. Рерих считает, что нет. Жизнь важнее знания.
Мальчик жука умертвил
Узнать его он хотел
Мальчик птичку убил
Чтобы ее рассмотреть.
Мальчик зверя убил,
Только для знания.
Мальчик спросил: может ли он
для добра и для знания
убить человека?
Если ты умертвил жука, птицу и зверя,
Почему тебе и людей не убить?
Мнение Н.К. Рериха поддерживал и известный российский ученый-эколог, академик С.С. Шварц, который неоднократно заявлял, что пусть лучше будет белое пятно в науке, чем в природе.
Защитники животных выступают с требованиями ограничения, а в некоторых отраслях исследований и полного запрещения экспериментов над животными. Они полагают, что подобные исследования необоснованно нарушают права животных и способствуют распространению жестокости в обществе. Они требуют разработки альтернатив животному как биологической модели путем использования одноклеточных организмов, эмбрионов яйца, бактерий, культур клеток, компьютерных моделей и т.п. Они считают, что убийство животных во имя науки то же самое, что сжигание людей на кострах во имя религии.
Более того, многие ученые-медики вообще ставят под сомнение саму научную целесообразность проведения экспериментов над животными. Дело в том, что разница протекающих в организме человека и животного процессов делает тестирование лекарств на животных бессмысленным. Так, результатом использования успокоительного для беременных женщин препарата «Талидомида» в разных странах стало рождение 10 тысяч детей с отсутствием конечностей и другими уродствами. Всего современная медицина насчитывает до 150 препаратов, прошедших испытания на животных и оказавшихся опасными для человека. Следует также добавить, что в 2001 г. Совет Европы запретил тестирование на животных косметики.
Следующей проблемой, тесно связанной с бесправием природы, является использование животных в сельскохозяйственной промышленности. Питер Сингер называет все это «адом животноводческих ферм». Особенно это относится к птицефабрикам, где куриц содержат в антигуманных условиях. Содержащиеся в тесноте курицы и цыплята выщипывают друг у друга перья, дерутся, заклевывают и поедают соседей. Им колют антибиотики, чтобы предотвратить каннибализм — отрезают часть клюва.
Умерщвление животных на бойне происходит очень жестоко. Жестоко, без обезболивания умерщвляется птица на птицефабриках. Извлечение икры из осетровых рыб традиционно производится без оглушения рыбы.
Огромные страдания испытывают выращиваемые на фермах пушные животные. На фермах из-за постоянного стресса они также страдают каннибализмом. Пушных животных для производства пушнины убивают очень жестоким способом при помощи удушья.
Особо следует сказать о генной инженерии, которая не только не этична, так как необоснованно нарушает права животных и растений, но и опасна с экологической точки зрения, так как непредсказуемо меняет окружающую среду.
Защитники животных требуют серьезных изменений в сфере использования животных в сельском хозяйстве. Они выступают за гуманное содержание животных на фермах, а наиболее радикальные из них требуют запрета на деятельность агрофабрик, пушных ферм, как необоснованного нарушающих права животных, призывают к переходу на вегетарианство или к уменьшению потребления мясной пищи.
Похожие рефераты:
Экологическое обучение и воспитание в системе школьного географического образования
Развитие у старших дошкольников бережного отношения к природе в процессе природоведческих экскурсий
Рекомендации по оптимизации экологической среды г. Нижнекамска и Нижнекамского района
Формирование экологической культуры как фактор социализации личности средствами народной педагогики
Взаимодействие с животными как фактор формирования гуманности у дошкольников
Билеты и ответы по туризму и экскурсиям
Экологическое образование младших школьников в курсе природоведения
Составление туристских маршрутов по Иссык-Кульской области
Роль экскурсий в развитии наблюдательности у младших школьников
Схема автобусного маршрута и контрольного текста светской экскурсии "Екатеринбург-Православный"
Социально-психологические особенности экологического сознания военнослужащих
Экологический туризм и его развитие в республике Башкортостан
