| Скачать .docx |
Курсовая работа: Розвиток лізингу в Україні
МІНІСТЕРСТВО АГРАРНОЇ ПОЛІТИКИ УКРАЇНИ
ТАВРІЙСЬКА ДЕРЖАВНА АГРОТЕХНІЧНА АКАДЕМІЯ
Кафедра “Аналіз і фінанси”
Керівник: _____________________
__________________
На тему: Розвиток лізингу в Україні
К У Р С О В А Р О Б О Т А
з дисципліни: фінансі та кредити АПК
Студента 413 групи 3-го курсу
Факультет облік і аудит
Пальцева С.В.
Курсова робота захищена з оцінкою____
Підписи викладачів:
__________________
__________________
__________________
Мелітополь. 2006.
ЗМІСТ
Вступ 1. Теоретичні засади лізингових відносин 1.1 Поняття та функції лізингу 1.2 Предмет та суб’єкти лізингових відносин 1.3 Види лізингу 1.4 Форми лізингових угод 2. Розвиток лізингу в Україні 2.1 Суб’єкти ринку лізингу в Україні 2.2 Ринок фінансового лізингу 2.3 Аналіз банківського сектору України 3.Лізингові платежі – основа лізингових взаємовідносин 3.1 Склад, види та форми лізингових платежів 3.2 Методи розрахунку лізингових тплатежів Висновки Список використаних джерел |
Вступ
Із здобуттям у 1991 році незалежності Україна стала на шлях глибоких перетворень, де провідне місце посідають фінансово-кредитні відносини. Для структурної перебудови народного господарства Україна гостро потребує інвестицій.
Серед різних способів впливу на інвестиційну політику будь-якої держави важливе місце займають податки і амортизаційні відрахування: змінюючи розміри податків, встановлюючи податкові пільги, збільшуючи або зменшуючи строки амортизації, держава визначає галузі більш прибуткового вкладення капіталів, що призводить до розвитку економіки у потрібному їй напрямку.
В такій ситуації стає можливим застосування якісно нових методів оновлення матеріальної бази і модернізації основних фондів підприємств різних форм власності. Одним із найбільш ефективних таких методів є лізинг, під яким у загальному сенсі розуміється передача господарського майна в тимчасове користування на умовах певного терміну, зворотності та платності. Як вже зазначалось, нині лізингові операції розглядаються як новий вид фінансування. Цьому сприяють загальні тенденції економічного розвитку та інші вигоди, до яких належать:
1. Зменшений обсяг ліквідних засобів у зв`язку з труднощами, що постійно створюються на грошовому ринку;
2. Загострення конкуренції, що потребує оптимізації інвестицій, які дають можливість суттєво розширити ринок збуту за рахунок залучення в господарчий оборот малих і середніх фірм;
3. Підтримка розвитку лізингових операцій з боку державних органів влади і фінансових ділових кіл у цілому, що стимулює зростання інвестиційної діяльності;
4. Загальне збереження ліквідності підприємств;
5. Створення міцної основи для здійснення розрахунків, що надає балансові переваги та страхові вигоди.
Всі вище викладені аргументи свідчать про те, що лізингова діяльність є, по суті, пільговою галуззю інвестиційної діяльності. Досвід іноземних країн підтверджує цю точку зору.
Для розвитку лізингу існують такі передумови - історичні, соціально-економічні, наукові, юридичні.
Відомо, що гарантією та запорукою успішного розвитку будь-якої підприємницької діяльності є її надійне правове забезпечення. І навпаки, правова невизначеність відносин партнерів стає однією з причин, що стримує підприємницьку ініціативу. Лізинговий бізнес не є винятком.
Тому важливою умовою розвитку лізингових відносин є створення сучасного мобільного законодавства, що стимулюватиме ділову активність усіх учасників лізингових угод: лізингових фірм, банків, підприємств виробничої та сервісної сфери, потенційних лізингоодержувачів.
Таким чином, враховуючи повністю позитивний досвід здійснення лізингових операцій в іноземних країнах, а також необхідність і перспективність розвитку лізингу в Україні, враховуючи незначний досвід України у регулюванні лізингових відносин і більш досконале законодавство країн, що протягом десятиліть практикують лізинг, передбачаючи той факт, що вивчення і аналізування теоретичних питань лізингу та світового досвіду лізингових відносин, а також перспектив міжнародного лізингу в Україні полегшить подальше становлення лізингу в Україні і дасть можливість уникнути певних помилок у регулюванні цих відносин в подальшому, що зумовило актуальність даної теми.
1. Теоретичні засади лізингових відносин
1.1. Поняття та функції лізингу
Відносно економічної сутності лізингу досі ще не існує єдиної думки економістів. Його зміст та роль в теорії трактуються по різному. Одні розглядають лізинг як одну з форм кредитування підприємницької діяльності, другі цілком ототожнюють його з довгостроковою орендою або однією з її форм, яка в свою чергу зводиться до відносин найму або підряду, треті вважають лізинг завуальованим способом купівлі-продажу засобів виробництва або права користування чужим майном, а четверті інтерпретують лізинг як дії за чужий рахунок, тобто управління чужим майном за дорученням.
Сучасне розуміння лізингу сходить до класичних принципів римського права про розмежування понять власник та користувач майна. Виникнення та існування його в якості особливого виду бізнесу основані саме на можливості розподілу компонентів власності на два найважливіших повноваження - користування річчю, тобто використання її згідно з призначенням з метою отримання доходу та інших вигод, та саме право власності як правове панування особи над об’єктом власності. Багатовіковий досвід довів, що багатство в кінцевому рахунку заключається не просто у володінні власністю безпосередньо, а в ефективному її використанні.
Звідси перш за все випливає, що лізинг - це спосіб реалізації відносин власності, який відображає стан виробничих сил та виробничих відносин, з якими він знаходиться в тісному взаємозв’язку.
Лізинг в широкому значенні являє собою організаційну форму підприємницької діяльності, яка відображає відносини власності, як уособлену систему господарювання. Проте, як і будь-яке самостійне явище, як економічна категорія, він має свій власний зміст та різноманітні форми прояву.
Дивлячись на те, що лізинг відображає визначену взаємодію елементів виробничих сил та виробничих відносин, то він має матеріально-речову основу та соціально-економічну форму.
Соціально-економічний зміст лізингу визначається відносинами власності та спільної економічної діяльності по вертикалі та горизонталі (з власником, суспільством і т.д.), а також умовами трансформації власності. Матеріально-речова сторона лізингу характеризується організаційно-правовими формами виробництва, наймом усіх або частини речових елементів підприємницької діяльності, купівлею-продажем майна та умовами кредитування.
Вважається загальновідомим, що лізинг тісно пов’язаний з орендним механізмом, але в діловому обороті він має більш широку, складну потрійну основу та містить в собі одночасно значні властивості кредитної угоди, інвестиційної та орендної діяльності, які тісно взаємодіють, створюючи нову організаційно-правову форму бізнесу.
Лізинг відноситься до підприємницької діяльності більш високого рівня в порівнянні з орендною, банківською чи комерційною, так як він вимагає та передбачає широкий діапазон знань фінансового бізнесу, та положення в виробництві, на ринках обладнання та нерухомості, а також варіаційних потреб клієнтів та особливостей оренди.
Закон України Про фінансовий лізинг дає наступне визначення терміну лізинг:
Лізинг - це вид цивільно-правових відносин, що виникають із договору фінансового лізингу, згідно якого лізингодавець зобов’язується набути у власність річ у продавця (постачальника) відповідно до встановлених лізингоодержувачем специфікацій та умов і передати її у користування лізингоодержувачу на визначений строк не менше одного року за встановлену плату (лізингові платежі).
Таким чином, лізинг - це особливий вид підприємницької діяльності, який включає в себе три форми організаційно-економічних відносин: орендні, кредитні та торгівельні, зміст кожної з яких окремо повністю не вичерпує сутності таких специфічних фінансово-майнових операцій.
1.2 Предмет та суб’єкти лізингових відносин
Головною обов’язковою умовою лізингу є те, що об’єкти, які передаються в лізинг, можуть бути використані лише для підприємницьких цілей. Згідно з діючим законодавством предметом лізингу може бути неспоживна річ, визначена індивідуальними ознаками та віднесена відповідно до законодавства до основних фондів.
З урахуванням цього можна виділити наступні групи предметів лізингу:
а) рухоме майно:
* обладнання промислового призначення (верстати, устаткування, технологічні лінії, енергетичне обладнання, складське обладнання і майно);
* транспортне обладнання: повітряні, наземні та водні транспортні засоби, обладнання для їх експлуатації (судна, літаки, вертольоти, автомобілі, в тому числі спеціальні, залізничні вагони, контейнери і т.д.);
* будівельна техніка;
* засоби телевізійного та дистанційного зв’язку;
* оргтехніка, конторське обладнання;
* ліцензії, ноу-хау, комп’ютерні програми і т.д.;
б) нерухоме майно:
· будівельні споруди і споруди виробничого, торгівельного або комунально-побутового призначення;
· споруди (нафтові та газові свердловини, гідротехнічні та транспортні споруди).
Таким чином, у лізинг може передаватися будь-яке майно, що не заборонене до вільного обігу і не знищується в процесі виробничого циклу.
Лізингодавцем може бути будь-який суб’єкт підприємницької діяльності, котрий здійснює лізингову діяльність, тобто передає в користування майно за договором лізингу. Лізингодавцями можуть бути:
· банки та їхні філії, фінансові компанії, кредитні установи, в яких передбачений цей вид діяльності;
· лізингові компанії: фінансові, що спеціалізуються тільки на фінансуванні угоди (оплата майна), або універсальні, що надають не тільки фінансові, а й інші види послуг, які пов’язані з реалізацією лізингових операцій (технічне обслуговування, навчання, консультації і т.д.). Їхні переваги - оперативність, мобільність, добре знання ринку і ситуації на місцях;
· брокерські лізингові фірми;
· будь-яка виробнича або торгівельна фірма (товариство), для якої лізингова діяльність передбачена в установчих документах і яка має достатню кількість фінансових засобів;
· страхові та пенсійні фонди.
Другим учасником лізингової угоди є будь-який суб’єкт підприємницької діяльності, котрий одержує у використання майно за договором лізингу, - лізингоодержувач. Це може бути юридична особа в будь-якій організаційно-правовій формі, що здійснює підприємницьку діяльність, або громадянин, котрий займається підприємницькою діяльністю без створення юридичної особи і зареєстрований як індивідуальний підприємець.
Постачальником (продавцем) об’єкту лізингу може бути підприємство-виробник, торгівельна організація або інші суб’єкти підприємницької діяльності, які продають майно, що передається згідно з договором лізингу.
1.3 Види лізингу
Відповідно до рівня окупності майна розрізняють фінансовий (капітальний) і оперативний лізинг. Це найбільш поширені види лізингу. Існує кілька критеріїв для їх розмежування: це і тип орендованого майна, і обсяг обов'язків лізингодавця, і термін використання об'єкта лізингу. Визначень фінансового та оперативного лізингу багато. Наведемо деякі з них.
Фінансовим називається лізинг, коли вартість майна повністю повертається лізингодавцю за час дії договору лізингу (що передбачає співпадіння терміну повної амортизації майна і терміну договору). Для оперативного лізингу характерне часткове відшкодування вартості зданого в лізинг майна (термін амортизації довший від терміну договору).
Фінансовий лізинг являє собою лізинг майна з повною сплатою його вартості і характеризується тим, що термін, на який передається майно в тимчасове користування, наближається по тривалості до терміну експлуатації та амортизації всієї або більшої частини майна. Оперативний лізинг характерний тим, що термін договору лізингу коротший, ніж нормативний термін використання майна, і лізингові платежі не покривають повної його вартості.
Фінансовий лізинг — це угода, яка передбачає протягом своєї дії виплату лізингових платежів, котрі покривають повну вартість амортизації обладнання або більшу його частину, додаткові витрати і прибуток орендодавця. Оперативний лізинг — це орендні відносини, за яких витрати лізингодавця пов'язані з придбанням та утриманням майна, що здається в оренду, не покриваються орендними платежами протягом одного лізингового контракту.
Фінансовий лізинг — основний вид лізингових операцій, при яких засоби виробництва лізингуються на тривалий термін, близький до терміну амортизації, з можливим у подальшому придбанням лізингоодержувачем майна, що лізингується. Оперативний лізинг — коротко чи середньострокова оренда, як правило, з неповною амортизацією лізингового майна.
Основою для їх розмежування фактично служить термін оренди з амортизаційним періодом і не передбачена обов'язковість переходу права власності при здійсненні фінансового лізингу.
1.4 Форми лізингових угод
Міжнародна практика напрацювала наступні форми лізингових угод.
Стандартний лізинг. При цій формі лізингу виробник обладнання продає його лізинговій компанії, яка здає це обладнання в лізинг споживачеві. При цьому між виробником та лізингоотримувачем не виникають правові відносини. Технічне обслуговування здійснює за окремою домовленістю виробник, а лізингодавець не втручається в питання технічного обслуговування.
Зворотній лізинг («ліз-бек»). Ця форма використовується у випадку, коли фірма відчуває гостру нестачу коштів. Сутність цієї операції полягає в тому, що власник обладнання продає лізинговій компанії обладнання, а потім бере його в лізинг, тобто продавець обладнання перетворюється в лізингоотримувача.
«Мокрий лізинг». Цей різновид лізингу передбачає додаткові послуги лізингодавця лізингоотримувачу. Лізингодавець здійснює утримання обладнання, ремонт, страхування, інколи управління виробництвом.
«Чистий лізинг». В даному випадку всі обов‘язки, пов‘язані з експлуатацією обладнання, виконує лізингоотримувач. Він сплачує податки, здійснює страхування та несе всі витрати, пов‘язані з використанням обладнання. Лізингоотримувач зобов‘язаний утримувати обладнання в робочому стані, обслуговувати його та після закінчення строку лізингу повернути його в доброму стані з урахуванням нормального зносу лізингодавцю. Лізингодавець не відповідає за дії, пов‘язані з використанням лізингоотримувачем майна. Але він несе відповідальність, пов‘язану з можливими діями влади чи інших організацій країни, де використовується обладнання.
Лізинг на залишкову вартість обладнання. Використовується по відношенню до обладнання, що вже знаходилось в користуванні. Така форма лізингу діє на протязі 1-4 років.
Лізинг з повним обслуговуванням. Подібний до «мокрого» лізингу, але угода передбачає виконання лізингодавцем деяких додаткових послуг. Наприклад, лізингодавець проводить дослідження, що передують придбанню обладнання, здійснює поставку необхідних сировинних матеріалів для роботи даного обладнання, надає кваліфікованих спеціалістів для роботи з обладнанням та інші.
Лізинг постачальнику. Ця форма лізингу схожа з типом «ліз-бек». Постачальник обладнання виступає в подвійній ролі: продавця та основного лізингоотримувача, який не є користувачем обладнання. Лізингоотримувач зобов‘язаний знайти суборендаторів та здати їм обладнання в суборенду. Для цього не потрібна згода лізингодавця, здача обладнання в суборенду є обов‘язковою.
Оновлений лізинг. Характерним для цієї форми є те, що відбувається періодична зміна раніше зданого в лізинг обладнання більш сучасним. Ця модель досить розповсюджена при лізингу ЕОМ.
Вендор-лізинг. У цьому випадку в ролі лізингової компанії виступає асоціація фірм-виробників спільно з лізинговою компанією чи банком. Ця модель використовується при просуванні на ринок особливо дорогого обладнання. При цьому виробник бере на себе пошук партнерів та технічне обслуговування обладнання об‘єкту лізингу, а лізингова компанія - організаційну розробку проектів, вирішення адміністративних питань, надання консультаційних послуг.
2. Розвиток лізингу в Україні
2.1 Суб’єкти ринку лізингу в Україні
Для підтримання темпів економічного зростання в Україні є нагальна потреба у оновленні та заміні застарілого обладнання, включаючи промислове обладнання. Як було визначено вище, лізинг являє собою фінансовий інструмент для придбання промислового обладнання, устаткування, транспортних засобів та інших активів та, як такий, є одним з найбільш підходящих інструментів для оновлення та зміни цих активів.
Визначення рівню морального зносу у різних секторах економіки та інвестицій, необхідних для заміни основних фондів у цих секторах, продемонстрували, що для того, щоб здійснити швидку заміну основних фондів, слід вжити усіх можливих заходів для сприяння таким механізмам, як лізинг.
Згідно з офіційними даними, приблизно 50% основних засобів усіх підприємств є застарілими, а рівень зносу транспортів та обладнання наблизився за експертними оцінками до 80% - 90%.[9]
Загальний обсяг інвестицій, потрібний для оновлення основних фондів в Україні, складає приблизно 90 млрд. дол. США. Якщо порівняти цю цифру з українським ВВП (65 млрд. дол. США), стає зрозуміло, що Україна знаходиться на межі технічної катастрофи.
Найвищий рівень морального зносу спостерігається у рибній промисловості, переробній промисловості, виробництві та розподілі електроенергії, газовому та водному секторі, будівництві, водному транспорті, освіті, медицині та секторі соціальних послуг.
Вже зараз велику частку інвестицій Україна отримує з-за кордону та, скоріше за все, найближчим часом збільшить імпорт капітального обладнання та технологій. Тоді іноземний капітал повинен буде стати основним джерелом фінансування українських інвестицій. Лізинг має великий потенціал стати улюбленим інструментом іноземних інвесторів, та є велика вірогідність того, що його частка в загальному обсязі інвестицій стабільно зростатиме найближчим часом.
Стартувавши з дуже низького рівня, за останні роки лізинг в Україні значно розвинувся. На кінець 2004 р. загальний лізинговий портфель склав приблизно 221 млн. дол. США у порівнянні з 94 млн. дол. США на кінець 2003 р.[18]
Зростання ринку лізингу в Україні можна проілюструвати, використавши різні показники зростання, наприклад:
· Загальну вартість лізингових активів протягом року;
· Загальну вартість договорів лізингу, укладених протягом року;
· Обсяг портфелів договорів лізингу.
Загальна вартість лізингових активів в Україні збільшилася майже на 90% у порівнянні з 2003 роком. За той же самий період загальна вартість договорів лізингу збільшилася на 120% та загальний портфель договорів лізингу (як зазаначено вище) збільшився на 135%.[9] Незважаючи на збільшення деяких показників, український ринок лізингу перебуває на початковій стадії розвитку.
Базуючись на типовому для ринкової економіки співвідношенні рівня ВВП та обсягів ринку лізингу та, враховуючи, частку лізингового ринку у загальному обсязі інвестицій у основні фонди підприємств, можна спрогнозувати, що загальна вартість укладених договорів лізингу досягне 452 млн. дол. США у 2006 році.
Реєстраційна статистика Державної комісії з регулювання ринку фінанасових послуг України (далі – Комісія) являє собою гарне джерело інформації про український сектор лізингу. Комісія здійснює нагляд та мониторинг за розвитком ринку лізингових послуг та операцій. Реєстрація лізингових компаній в Україні не є перешкодою, оскільки процес реєстрації є простим та невитратним. Станом на 1 липня 2005 року в Комісії було зареєстровано 74 лізингові компанії, з яких дійсно займаються лізингом десь 40.
Система лізингової індустрії в Україні представлена наступними суб’єктами: [10]
![]() |
Рисунок 2.1. Суб’єкти ринку лізингу в Україні
Комерційні лізингові компанії, що створені за галузевою чи виробничою ознакою, зорієнтовані на обслуговування підприємств певної галузі, наприклад сільського господарства (компанія «Лізинг-техніка»), будівництва та транспорту (концерн «Електрон»).
Напівкомерційні лізингові компанії створюються за участю державних чи муніципальних органів влади та фінансуються за рахунок відповідних бюджетів. Прикладом може бути створення компанії «Украгролізинг».
Основна мета лізингових компаній, створених торговельними компаніями, чи таких, що безпосередньо не пов’язані з державними ресурсами, полягає у залученні корпоративних клієнтів, які мають можливості закуповувати велику кількість обладнання. До такого типу компаній належать ТОВ «Серго-Гамма-Лізинг» та дочірнє підприємство «Ханса-Лізинг-Україна».
Міжнародні лізингові компанії в основному фінансують поставки обладнання закордонних виробників українським підприємствам і підприємствам, організованим за участю іноземного капіталу.
Активізували сьогодні свою роботу в Україні іноземні фірми – постачальники обладнання, технологій і засобів автотранспорту (в основному автомобілів), а також розмножувальної техніки і оргтехніки.
Комерційні лізингові компанії, що створені банками, й спеціалізовані відділи комерційних банків становлять найпотужнішу групу лізингових компаній, які активно функціонують на ринку України. Вони надають лізингові послуги широкому колу клієнтів, але не виключені і такі випадки, коли банк надає перевагу лише власним постійним клієнтам. Для прикладу: лізингова компанія «Укрексімлізинг», лізингове відділення банку «Надра» тощо.
Серед невеликої кількості діючих компаній наявний суттєвий ступінь концентрації. Приблизно 75% нових лізингових угод у 2004 році уклали сім провідних компаній. 79% українських лізингових компаній розташовано у Києві, 6% - в Одессі, ще 6% - в Донецьку та 9% - у Львові. Існує великий потенціал для розширення лізингової діяльності в регіонах. На даний момент є лише шість компаній, які працюють в областях країні через створені ними агентські мережі.[19]
Розглянувши склад засновників лізингових компаній можна зазаначити наступну закономірність: у 16,1% компаній серед засновників переважають банки та інші фінансові установи, у 3,2% - державні лізингові компанії, та у 80,7% фізичні та юридичні особи. В той же час, у 23% лізингових компаній повністю володіють іноземні юридичні особи, та ще в 9% компаній присутній іноземний капітал.
Головними операторами на ринку лізингових послуг в 2003 році в Україні були вітчизняні компанії: банки – до них зверталися за лізинговими послугами – 46% підприємств та лізингові компанії – 40%. До іноземних лізингодавців звертались 16% підприємств від загальної кількості тих, хто планував отримати обладнання в лізинг. В табл.2 подано переваги споживачів щодо взаємодії із лізингодавцями.
Таблиця 2.1
Індекс справджування лізингових заявок різними лізингодавцями
| Лізингодавці | Рівень укладання угод за заявками |
| Українські лізингові компанії | Дві з трьох |
| Українські банки | Кожна друга |
| Іноземні лізингові компанії | Кожна третя |
Найбільше незадоволення лізингоодержувачі отримали в іноземних лізингових компаніях, які пропонували більш сприятливі фінансові умови, але негативний фон пов’язаний із жорсткими умовами і пропозицією тільки імпортного обладнання, тобто іноземні лізингової компанії пріоритетно використовують тільки збутову функцію лізингу, що не відповідає основним інтересам українських споживачів, у яких є попит саме на інвестиційну функцію лізингу відповідно до Цивільного кодексу України.
2.2 Ринок фінансового лізингу
Відповідно до підпункту 5 статті 4 Закону України “Про фінансові послуги та державне регулювання ринків фінансових послуг” фінансовий лізинг віднесено до фінансових послуг, а його регулювання віднесено до компетенції Уповноваженого органу з регулювання діяльності фінансових установ.
Указом Президента України від 4 квітня 2003 року № 292/2003 Уповноваженим органом виконавчої влади в сфері регулювання ринків фінансових послуг було визнано Державну комісію з регулювання ринків фінансових послуг України (далі – Держфінпослуг).
Слід зазначити, що до компетенції Держфінпослуг відноситься регулювання ринків фінансових послуг та нагляд за небанківськими фінансовими установами, для яких надання фінансових послуг, в тому числі і фінансового лізингу, є виключним видом діяльності.
З метою впорядкування діяльності небанківських фінансових установ, які надають фінансові послуги у тому числі і фінансового лізингу, Держфінпослуг розпорядженням від 05.12.03 № 152, зареєстрованого в Міністерстві юстиції Україні 29.12.03 за № 1252/8573 (із доповненнями, затвердженими розпорядженням Держфінпослуг від 18.03.04 № 184, зареєстрованими в Міністерстві юстиції України 06.04.04 за № 432/9031) затвердила „Положення про внесення інформації щодо фінансових компаній до Державного реєстру фінансових установ та встановлення вимог до облікової та реєструючої системи фінансових компаній”.
Реєстрація фінансових компаній розпочалася у першому кварталі 2004 року. Станом на 1 березня 2005 року до Державного реєстру фінансових установ було внесено 50 юридичних осіб, 14 з яких серед іншого мають намір надавати і послуги фінансового лізингу. [18]
Слід також зазначити, що переважна більшість фінансових компаній новостворені і тільки починають діяльність на фінансовому ринку.
З метою регулювання діяльності юридичних осіб не фінансових установ, в тому числі і лізингових компаній, Держфінпослуг розпорядженням від 22.01.2004 р. № 21 зареєстрованим Міністерством юстиції України 16 квітня 2004 р. за № 492/9091 затвердило „Положення про надання окремих фінансових послуг юридичними особами – суб`єктами господарювання, які за своїм правовим статусом не є фінансовими установами”, яким було запроваджено ведення Переліку юридичних осіб, які мають право надавати фінансові послуги та перебувають на обліку в Держфінпослуг. До вказаного Переліку відповідно до пункту 1.4 включаються юридичні особи, які систематично надають фінансові послуги, в тому числі і послуги фінансового лізингу. Причому до Переліку включаються юридичні особи, які надали до Держфінпослуг визначений Положенням перелік документів. Тобто встановлено дуже м’який безкоштовний механізм обліку юридичних осіб, які систематично надають фінансові послуги.
Облік таких юридичних осіб Держфінпослуг розпочало у другому кварталі 2004 року. Станом на 1 березня 2004 року до Переліку було внесено 126 юридичних осіб, 38 з яких позиціонують себе як лізингові компанії. Динаміку зареєстрованих фінансових компаній та взятих на облік юридичних осіб Держфінпослуг наведено на рисунку 2.1.

Рисунок 2.1. Кількість внесених до Реєстру фінансових компаній та внесених до Переліку юридичних осіб
З метою, запровадження системи збору та обробки статистичної інформації щодо обсягу і кількості укладених та виконаних договорів фінансового лізингу, строку їх дії, галузі використання предмету лізингу та обладнання, яке є предметом лізингу та інші Держфінпослуг розпорядженням від 27.01.2004 № 27 затвердила “Порядок надання звітності фінансовими компаніями і юридичними особами – суб'єктами господарювання, які за своїм правовим статусом не є фінансовими установами, але мають визначену законами та нормативно-правовими актами Держфінпослуг можливість надавати окремі види фінансових послуг”, яке зареєстровано у Міністерстві юстиції України 06.04.2004 р. за № 431/9030. Для покращення якості, достовірності та темпів збору та аналізу звітності суб‘єктів, які здійснюють лізингові операції, Держфінпослуг розпорядженням від 22.04.04 № 412 визначило електронний формат надання звітних даних.
На сьогодні Держфінпослуг запроваджено механізм збору та обробки інформації, яку надають фінансові компанії, які включені до Реєстру, та юридичні особи, які включені до Переліку та надають послуги фінансового лізингу.
Так зокрема, за результатами наданої до Держфінпослуг інформації лізингові компанії, які встали на облік, на кінець року мають невиконані зобов’язання за 1 378 договорами фінансового лізингу, протягом 2004 року уклали 327 договорів фінансового лізингу, а виконали – 18 договорів (таблиця 2.2). Разом з тим, фінансові компанії не уклали жодного договору фінансового лізингу протягом 2004 року, тому наведені узагальнені дані виключно юридичних осіб (лізингових компаній).
За цей же період узагальнені дані щодо обсягу договорів фінансового лізингу наведено в таблиці 2.3
Таблиця 2.2.
Кількість укладених та виконаних договорів
| Період | Кількість компаній, які надали звіти, шт. | Кількість чинних договорів на початок періоду, шт. | Кількість укладених договорів, шт. | Кількість виконаних договорів, шт. | Кількість чинних договорів на кінець періоду, шт. |
| ІІ квартал 2004 | 4 | 57 | 24 | 1 | 80 |
| ІІІ квартал 2004 | 28 | 366 | 169 | 8 | 527 |
| ІV квартал 2004 | 33 | 646 | 134 | 9 | 771 |
| Всього | 1 069 | 327 | 18 | 1378 |
Аналіз таблиці 2.3 свідчить, що за результатами узагальненої інформації наданої до Держфінпослуг на кінець 2004 року загальний обсяг не виконаних договорів фінансового лізингу склав 2,3 млрд. грн., в той час як з початку року лізингові компанії уклали договорів фінансового лізингу загальним обсягом близько 140 млн. грн.
Таблиця 2.3
Обсяг лізингових операцій, тис. грн.
| Період | Вартість укладених договорів протягом періоду | Вартість невиконаних договорів на кінець періоду |
| ІІ квартал 2004 | 13 293,28 | 46 060,47 |
| ІІІ квартал 2004 | 69 816,60 | 2 714 030,27 |
| ІV квартал 2004 | 56 610,34 | 2 307 590,26 |
| Всього | 139 720,22 |
Аналіз інформації свідчить, що використання лізингових операцій при заміні основних фондів підприємств залишається середньостроковим інструментом (термін дії договору 2 – 5 років), частка довготермінових договорів (більше 5 років), які не виконані на кінець року, складає лише близько 4 % (Рис. 2.2).

Рисунок 2.2. Розподіл невиконаних договорів за терміном їх дії станом на 31.12.05 р.
Станом на кінець року, частка договорів з лізингоодержувачами, які представляють транспортну галузь, становила 74 % від загального обсягу невиконаних договорів (Рис. 2.3), разом з тим, майже 5 % ринку припадає на підприємства сільського господарства.

Рисунок 2.3. Розподіл невиконаних договорів станом на 31.12.04 р.
Цілком очевидно, що саме транспорт як об’єкт лізингу, складає найбільшу частку серед обладнання, яке передано в лізинг, на кінець періоду, а саме 80 % (Рис. 2.4).

Рисунок 2.4. Об'єкти лізингу за видами обладнання
І основні труднощі, які відчувають лізингові компанії, це труднощі фінансування договорів лізингу. Узагальнені дані щодо джерел фінансування лізингових операцій наведено в таблиці 2.4.
Таблиця 2.4.
Джерела фінансування лізингових операцій, тис. грн.
| Джерела фінансування | ІІ квартал 2004 | ІІІ квартал 2004 | ІV квартал 2004 | Всього |
| Банківські кредити | 7 530,25 | 53 274,59 | 38 064,92 | 98 869,76 |
| Власні кошти | 3 602,86 | 6 981,84 | 9 071,85 | 20 008,18 |
| Позичкові кошти юридичних осіб | 1 172,93 | 2 444,51 | 3 617,44 | |
| Всього | 11 133,11 | 61 429,36 | 49 932,91 | 122 495,38 |
Аналіз таблиці 2.4 свідчить, що основним джерелом фінансування лізингових операцій, є банківський кредит, так у 2004 році за рахунок банківських кредитів було профінансовано понад 80% всіх договорів укладених протягом вказаного періоду.[7]
Таким чином, лізинговий портфель компаній внесених до Переліку, який веде Держфінпослуг, на кінець року склав 2,3 млрд. грн., що становить 0,66% ВВП.
Очевидно, що статистичні дані щодо лізингових операцій у минулому році дещо неповні, адже основна маса лізингодавців почала надавати звітність лише у другому півріччі. Разом з тим, можна очікувати, що у 2005 році Держфінпослуг буде мати повну інформацію щодо наданих послуг фінансового лізингу у небанківському сегменті.
Значення банківського сектора для розвитку лізингу надзвичайно важливе, оскільки для всіх учасників лізингових операцій банківське кредитування є значним джерелом фінансування їх діяльності:
лізингодавці використовують банківські кредити як основне джерело фінансування закупівлі машин, обладнання та інших активів, призначених для передачі у лізинг;
лізингоодержувачі нерідко позичають у банків гроші для своїх авансових платежів лізингодавцю;
виробники предметів лізингу фінансують процес їх розробки та виробництва, залучаючи серед інших джерел і банківські кредити.
Крім того, банківське кредитування певною мірою є альтернативою лізингу і потенційно формує здорову конкуренцію на ринку фінансових послуг, пов’язаних з придбанням у користування та власність машин, обладнання, транспортних засобів та інших видів майна.
З огляду на це, потужність банківського сектора країни, динаміка його розвитку, обсяги банківського кредитування, ціна та тривалість кредитів є визначальними у розвитку її лізингової індустрії.
2.3 Аналіз банківського сектору України
Банківська система України діє на основі Закону «Про банки та банківську діяльність» і складається з Національного банку України (НБУ) та універсальних банків .
На 1 червня 2005 року в Україні зареєстровано 185 комерційні банки, 162 з яких (88%) мали ліцензію на здійснення банківських операцій.
Банки можуть створюватися у формі акціонерних товариств, товариств з обмеженою відповідальністю та кооперативних банків. Нині в Україні переважна більшість банків діє у формі відкритих акціонерних товариств (82,1%), при цьому 4,3 % всіх зареєстрованих банків є банками зі 100 відсотковим іноземним капіталом.
Власний капітал банків включає в себе статутний капітал, резерви, накопичений нерозподілений прибуток тощо. Станом на 1 червня 2005 року у структурі власного капіталу банків-резидентів України переважає статутний капітал (62,2%), нерозподілений прибуток складає лише близько 15% (Рисунок 2.6):

Рисунок 2.6. Склад та структура власного капіталу банків-резидентів України, станом на 1 червня 2005 року
Банківський сектор в економіці України є найбільш динамічним. Упродовж останніх двох років загальний обсяг власного капіталу банків-резидентів збільшився майже вдвічі, при цьому темпи росту сплаченого статутного капіталу цих банків були ще вищі (Таблиця 2.5).
Таблиця 2.5
Динаміка власного капіталу банків-резидентів України
| Власний капітал | На 1.01.2003 р. |
На 1.01.2004 р. |
На 1.01.2005 р. |
На 1.04.2005 р. |
Власний капітал – всього млн. грн. млн. дол. США. |
9983 1874 |
12882 2416 |
18421 3463 |
19693 3861 |
з нього: Статутний капітал млн. грн. млн. дол. США |
5998 1126 |
8116 1522 |
11648 2190 |
12309 2414 |
Незважаючи на те, що банківський сектор України розвивається досить швидко, у переважної більшості банків-резидентів донині залишається невеликий за розмірами власний капітал і, у тому числі, статутний капітал. За оцінками зарубіжних експертів банківський сектор України є недостатньо капіталізованим, що є перешкодою на шляху залучення банками великих обсягів довгострокових запозичень, результатом чого є обмеженість обсягів довгострокових банківських кредитів.
НБУ, реалізуючи політику державного нагляду за банківською системою та керуючись необхідністю збільшення капіталізації банків, встановлює вимоги щодо розмірів регулятивного капіталу . Банки-резиденти України зобов’язані дотримуватися певних нормативів адекватності регулятивного капіталу. Для діючих банків встановлена наступна абсолютна величина регулятивного капіталу (Таблиця 2.6):
Таблиця 2.6
Вимоги до мінімального розміру регулятивного капіталу діючих банків
| Види діючих банків | На 1.01.2005 р. |
На 1.01.2006 р. |
На 1.01.2007 р. |
| Місцеві кооперативні банки | 1300 | 1400 | 1500 |
| Банки, що діють лише на території однієї області (регіональні банки) | 4000 | 4500 | 5000 |
| Банки, що діють на території всієї України (міжрегіональні банки) | 6000 | 7000 | 8000 |
На 1 червня 2005 року загальний обсяг регулятивного капіталу банків в Україні становив 20,8 млрд. грн. (4,1 млрд. дол. США).
Як зазначалося вище, власний капітал банків у загальному обсязі їх фінансових ресурсів нині складає лише 13% в цілому по країні. Решта фінансових ресурсів (87%) представлена зобов’язаннями, які формуються за рахунок коштів фізичних та юридичних осіб, що є клієнтами комерційних банків, а також інших запозичених банками коштів. Станом на 1 червня 2005 року у структурі зобов’язань банків майже 40% припадало на вклади фізичних осіб, 36% - на кошти суб’єктів господарської діяльності. Решта зобов’язань формувалася за рахунок міжбанківських кредитів та депозитів (трохи більше 11%), коштів НБУ (майже 1%) тощо (Рисунок 2.7).

Рисунок 2.7 Склад та структура власного капіталу банків-резидентів України, станом на 1 червня 2005 року
Таблиця 2.7
Динаміка зобов’язань банків-резидентів України
| Зобов’язання | На 1.01.2003 р. |
На 1.01.2004 р. |
На 1.01.2005 р. |
На 1.04.2005 р. |
Зобов’язання – всього млн. грн. млн. дол. США. |
53913 10121 |
87353 16381 |
115927 21794 |
131473 25779 |
з них: Кошти клієнтів млн. грн. млн. дол. США |
19703 3699 |
67204 12603 |
90935 17096 |
107292 21038 |
Нині банки в Україні мають досить прогресивну структуру вкладів населення з точки зору строковості. Строкові вклади (вклади, терміном більше 1 року) складають 41,1 млрд. грн. (78 % загальної суми вкладень), а вклади до запитання 11,8 млрд. грн. (22 %). Населення віддає перевагу вкладам у національній валюті, які формують 57% загальної суми вкладів фізичних осіб. Упродовж останніх двох років загальний обсяг зобов’язань банків-резидентів збільшився більше ніж вдвічі, при цьому випереджаючими темпами (більше, ніж у 5 разів) зросли вклади клієнтів (Таблиця 2.7).
На 1 червня 2005 року загальний обсяг зобов’язань банків-резидентів України становив 135,7 млрд. грн. (26,6 млрд. дол. США). [18]
Нині у структурі активів банків-резидентів левову частку (майже 70% всіх активів) займають надані банками кредити. Основні засоби та нематеріальні активи складають близько 6%, інвестиції в цінні папери трохи більше 7% (Рисунок 2.8).
За експертними оцінками у середньому по банківській системі України активи банків мають низьку рентабельність через загальну їх низьку якість, високу питому вагу неприбуткових активів у загальних активах банків та невиправдано високу вартість ведення бізнесу.

Рисунок 2.8 Склад та структура активів банків-резидентів України, станом на 1 червня 2005 року
Таблиця 2.8
Динаміка активів банків-резидентів України
| Активи | На 1.01.2003 р. |
На 1.01.2004 р. |
На 1.01.2005 р. |
На 1.04.2005 р. |
Активи – всього млн. грн. млн. дол. США. |
67774 12724 |
100234 18796 |
134348 25257 |
151166 29640 |
з них: Надані кредити млн. грн. млн. дол. США |
46736 8774 |
62503 11721 |
87519 16453 |
94584 18546 |
За останні два роки загальний обсяг активів банків-резидентів України зріс більше ніж у двічі, при цьому темпи росту наданих кредитів біли дещо нижчими (Таблиця 2.8).
Кредитний портфель банків-резидентів України станом на 1 червня 2005 року мав наступну структуру (загальний обсяг кредитного портфеля - 100%):
· кредити, що надані суб'єктам господарювання - 72,8 %;
· кредити, надані іншим банкам та НБУ – 10,2 %;
· кредити, надані фізичним особам – 15,8 %;
· кредити, надані органам державного управління – 0,1 %;
· строкові вклади (депозити) в НБУ – 1,1 %;
· кредити, надані небанківським фінансовим установам – 0,0 1 %.
Довгострокові кредити (кредити, тривалістю більше 1 року) становили 54,3 млрд. грн. (48% наданих кредитів); кредити в інвестиційну діяльність – 8,1 млрд. грн. (10% кредитів, наданих суб'єктам господарської діяльності).
Банківське кредитування пов’язане з кредитним ризиком, тому банки мають ретельно оцінювати кредитоспроможність своїх контрагентів . За оцінками експертів у більшості банків в Україні відсутні ефективні механізми та інструменти управління ризиками.
На фоні гострого дефіциту інвестицій в оновлення техніки та технології підприємств різних галузей банки-резиденти України надають кредити переважно для фінансування поточної, а не інвестиційної діяльності своїх клієнтів. Про це свідчить те, що заборгованість по кредитах інвестиційного характеру нині становить лише трохи більше 9% загального обсягу вимог за наданими кредитами . Заборгованість по наданих банками кредитах за договорами фінансового лізингу складає лише 0,017 млрд. дол. США, або 1% всієї заборгованості по кредитах інвестиційного характеру. Згідно інструкції НБУ, для розрахунку адекватності регулятивного капіталу будь-якого банку його активи за ступенем ризику поділяються на п’ять груп. Кожній групі присвоєно відповідний коефіцієнт. Зазначимо, що кредитування лізингових угод віднесено нині активів зі ступенем ризику 100% (V група активів).
На величину відсоткових ставок по банківських кредитах значною мірою впливає рівень облікової ставки Національного банку України та відсоткових ставок за депозитами. Крім того, рівень відсоткових ставок за банківськими кредитами формується під впливом ризиків, які мають місце при кредитуванні банками своїх клієнтів, адміністративних, операційних та інших витрат банків.
За період 2002-2004 років середньозважені відсоткові ставки за депозитами суб’єктів господарювання збільшилася з 6,6% до 8,5%, при цьому швидше росли відсотки по депозитах у національній валюті (Таблиця 2.9).
Таблиця 2.9
Відсоткові ставки банків-резидентів України за строковими депозитами (депозитами, тривалістю більше 1 року)
| Види депозитів | Середньозважена річна ставка, % | ||
| 2002 р. | 2003 р. | 2004 р. | |
Депозити суб’єктів господарювання – всього у тому числі: в національній валюті у іноземній валюті |
6,6 6,9 5,5 |
7,9 8,2 5,9 |
8,5 8,9 6,3 |
Депозити фізичних осіб – всього у тому числі: в національній валюті у іноземній валюті |
14,8 19,8 8,2 |
12,6 16,1 9,1 |
12,2 15,7 8,7 |
У цей же період відсоткові ставки за депозитами фізичних осіб зменшилися з 14,8% до 12,2%. Зазначимо, відсотки за депозитами у національній валюті зменшилися майже на 4%, а по депозитах у іноземній валюті – дещо зросли.
Разом з тим, нині спостерігається позитивна тенденція розвитку банківського сектора України, що проявляється у зменшенні частки проблемних кредитів у кредитному портфелі банків. За перше півріччя 2005 року цей показник зменшився з 3,2 % до 2,9 %.
Аналіз динаміки відсоткових ставок за банківськими кредитами свідчить, що вартість кредитів для всіх позичальників має тенденцію до зменшення. У 2004 році відсотки по кредитах у національній валюті для суб’єктів господарювання складали у середньому 18%, а в іноземній валюті 12%. Для фізичних осіб відповідно 19 та 14% (Таблиця 2.10).
Таблиця 2.10
Процентні ставки банків-резидентів України за кредитами
| Види кредитів | Середньозважена річна ставка, % | ||
| 2002 р. | 2003 р. | 2004 р. | |
Кредити суб’єктам господарювання – всього у тому числі: в національній валюті у іноземній валюті |
20,8 24,9 11,9 |
17,2 19,8 11,2 |
15,1 17,8 12,2 |
Кредити фізичним особам – всього у тому числі: в національній валюті у іноземній валюті |
18,3 21,9 14,4 |
22,6 27,6 16,0 |
16,9 19,8 14,0 |
Серед відсоткових ставок по банківських кредитах, наданих у різні галузі економіки, найвищими були ставки для позичальників з галузі освіти (більше 20,4%), фінансової діяльності (18,9%). Серед галузей реального сектору найдорожчими були кредити для галузі будівництва (18,2%) та сільського господарства (17,5%).
Вартість банківських кредитів в Україні є досить високою. За висновками експертів високі ставки за кредитами значною мірою обумовлені наступним чинниками :
· процентні ставки змушені перекривати ризик неповернення кредитів, у тому числі іншими позичальниками;
· неефективна структура витрат банків, коли процентні доходи виступають не тільки компенсатором процентних витрат, але і чи не єдиним джерелом покриття витрат адміністративних;
· недосконала практика управління кредитними ризиками, зокрема відсутність інструментів пом’якшення такого ризику;
· недосконала конкуренція на ринку банківських послуг та висока вартість залучених коштів.
На 1 червня 2005 року загальний обсяг доходів банків-резидентів України склав 9,7 млрд. грн. (1,9 млрд. дол. США), а витрат – 8,9 млрд. грн. (1,7 млрд. дол. США) . Доходи банків зростають більш високими темпами порівняно з витратами. Левова частка доходів банків (69%) формується за рахунок надходжень від сплачених банкам відсотків. Комісійні надходження забезпечують 21% доходів банків (Рисунок 2.9).

Рисунок 2.9 Структура доходів банків резидентів України, станом на 1 червня 2005 року

Рисунок 2.10 Структура витрат банків резидентів України, станом на 1 червня 2005 року
Найбільшою складовою витрат банків-резидентів України (44%) є сплачені банками відсотки. Загальні адміністративні витрати складають 36% (Рисунок 2.10).
НБУ використовує нормативи обов’язкового резервування як один із монетарних інструментів для регулювання обсягів грошової маси в обігу та управління грошово-кредитним ринком без нарахування процентів за залишками коштів, що формують обов’язкові резерви .
Перед банківською системою України нині поставлена ціла низка завдань , серед яких:
· розширити спектр та збільшити обсяг продуктів та послуг на банківському та фінансовому ринках;
· продовжити роботу по адаптації банківського законодавства України до законодавства Європейського Союзу, рекомендацій Базельського комітету з банківського нагляду та інших міжнародних організацій;
· оптимізація банківського законодавства щодо витрат на формування банками резервів під активні операції та процедури списання заборгованості за рахунок таких резервів;
· створення умов для розвитку небанківських фінансових установ (розвиток інституційного та законодавчого забезпечення лізингу, незалежність та ефективність функціонування Держфінпослуг);
· активніше використовувати лізингові схеми кредитування, зокрема для підтримки підприємств сільського господарства та сфери послуг.
3.Лізингові платежі – основа лізингових взаємовідносин
3.1 Склад, види та форми лізингових платежів
Основу економічних взаємозв‘язків між лізингоодержувачем та лізингодавцем створюють лізингові платежі, котрі відображають відносини власності, користування реалізація та присвоєння прав власності на засоби виробництва.
Визначення розмірів лізингових платежів має важливе значення для успіху лізин гових компаній. Під лізинговими платежами розуміють виплати лізингодавцеві, які здійснює лізингоодержувач за надане йому право користуватися лізинговим майном. Лізингові платежі є тим механізмом, за допомогою якого лізингодавець повинен відшкодувати свої фінансові витрати на придбання майна і отримати прибуток. Виходячи з цього, загальна сума лізингових платежів за весь період лізингу повинна включати:
· суму, що відшкодовує витрати на виробництво чи придбання лізингового майна;
· накладні витрати, що пов'язані з рухом майна (транспортування, оформлення документів, зберігання);
· вартість кредитних ресурсів, що використовуються для придбання майна за лізинговою угодою;
· прибуток лізингодавця;
· експлуатаційні витрати (пуск, налагодження, ремонт, монтаж);
· сукупні послуги (навчання персоналу, передача ноу-хау, інжинірингові послуги);
· витрати на страхування майна, якщо воно було застраховане лізингодавцем;
· витрати на пошуки лізингоодержувача, рекламу, послуги посередникам;
· втрати від знецінення майна в результаті інфляції.
Крім того, в лізингових платежах слід враховувати суму податків, які буде сплачувати лізингодавець: податок з власників транспортних засобів і податок на майно (в разі його введення). Таким чином, загальна сума лізингових платежів не є постійною величиною, а залежить від перелічених параметрів та швидкості відшкодування вартості лізингового майна. Чим швидше буде погашена вартість лізингового майна, наприклад, шляхом виплати авансу, тим менші проценти будуть нараховуватися на залишкову вартість лізингового майна. І навпаки, якщо лізингоодержувач переносить виплату перших платежів на пізніший строк, то первинна вартість майна зростає за рахунок нарахованих відсотків на вартість лізингованого майна і кредиту.
Розміри, спосіб, форма і періодичність виплат, а також метод визначення загальної суми лізингових платежів встановлюються в лізинговому контракті за взаємною згодою сторін. Порядок здіснення лізингових платежів гнучкіший, ніж за кредитними угодами (лізингоодержувач може розраховувати надходження своїх доходів і разом з лізингодавцем розробити гнучку схему платежів).
3.2 Методи розрахунку лізингових платежів
Фінансування лізингових контрактів та погашення заборгованості по них може здійснюватися за допомогою різноманітних схем. Лізингоотримувач та лізингодавець обирають найбільш зручний по строку та розмірам платежів графік платежів. При цьому є два основні критерії, за яких обрані умови та схема платежів будуть задовольняти обидві сторони і лізинговий контракт буде укладено:
· розмір лізингових платежів повинен забезпечити лізинговій компанії прибуток не нижче середньої норми прибутку на вкладений капітал та покриття всіх витрат, пов'язаних з виконанням та обслуговуванням контракту;
· ціна лізингу для лізингоотримувача не повинна бути вище за ціну банківського кредиту на придбання відповідного майна.
Методи розрахунку лізингових платежів базуються на теорії зміни вартості грошей у часі. Для всіх схем розрахунків основною вимогою є рівність теперішньої вартості всіх лізингових платежів та вартості майна, яке пропонується у лізинг. Згідно з загальноприйнятим принципом вартості грошей у часі, мати певну кількість грошей сьогодні завжди краще ніж мати їх завтра. Це пояснюється дією декількох основних факторів:
· інфляція (з часом, внаслідок загального подорожчання товарів, гроші знецінюються);
· ризик (невизначеність майбутнього збільшує цінність грошей, що є в наявності: сьогодні гривня на рахунку вже є, а чи буде вона там завтра, – ще питання);
· оборотність (грошові кошти здатні з часом самостійно генерувати дохід: можна покласти гроші на депозит чи провести якусь іншу інвестиційну операцію і додатково до вкладених грошей отримати певний прибуток).
Лізингова компанія, фінансуючи лізинговий контракт повинна враховувати в лізингових платежах часовий розрив між сплатою грошових коштів постачальнику та отриманням грошей від лізингоотримувача.
Здебільшого, сукупність усіх платежів по договору лізингу в основному складається з (1) авансового платежу, (2) періодичних лізингових платежів та (3) викупної (залишкової) вартості. При цьому сплата періодичних лізингових платежів може бути визначена у декількох схемах:
· регулярні платежі, тобто лізингові платежі, що здійснюються через рівні проміжки часу; вони поділяються на:
· постійні платежі (ануїтети),
· платежі с постійним темпом зміни та
· платежі з амортизацією боргу (відшкодуванням вартості предмета лізингу) рівними частинами;
· нерегулярні платежі – лізингові платежі погоджуються сторонами відповідно до графіку, в якому вказані певні строки та суми платежів.
Та чи інша схема платежів застосовується виходячи з побажань сторін договору. На прийняття рішення щодо схеми платежів з точки зору лізингоотримувача впливають: сезонність виробництва, небажання одночасно інвестувати велику суму коштів у розвиток матеріально-технічної бази виробництва; швидке погашення вартості майна і отримання більш ліквідного балансу з метою подальшого отримання кредитів, інвестиційна політика тощо. Лізингова компанія зазвичай пропонує схему розрахунків платежів таку саму, як і схема залучення та погашення компанією ресурсів для фінансування лізингових контрактів. Зазвичай банк, що фінансує лізингову компанію нараховує відсотки за користування кредитними ресурсами виходячи з фактичної заборгованості, що діяла в певні проміжки часу за однакової процентної ставки, тому для лізингової компанії прийнятна будь-яка схема лізингових платежів, що забезпечує отримання запланованої норми прибутку та погашення всіх витрат, пов'язаних з контрактом. Якщо ж лізингова компанія для фінансування лізингових контрактів застосовує альтернативні банківському кредиту джерела залучення коштів або ж залучає кредити, що передбачають жорсткий графік сплати заборгованості та процентів, то при погодженні схеми лізингових платежів необхідно бути досить обережним оскільки застосування різних схем залучення та розміщення ресурсів може привести до ситуації, коли лізингова компанія в певні періоди часу не буде мати «живих» грошей для повернення залучених ресурсів та сплати процентів за користування ними.
Розглянемо поетапно різні схеми розрахунку лізингових платежів. Для цього введемо деякі позначення:
P – первісна вартість предмету лізингу (якщо договором передбачено авансовий платіж, то до уваги береться вартість за мінусом суми авансового платежу);
n – строк лізингу в місяцях, кварталах, роках (загальна кількість лізингових платежів);
і – відсоткова ставка за період (в розрахунках річну відсоткову ставку ділять на кількість періодів лізингу в році. Так, для щомісячних лізингових платежів річну відсоткову ставку необхідно розділити на 12);
S – залишкова (викупна) вартість предмету лізингу. При цьому слід зазначити, що незалежно від методу розрахунку, чим вищою буде викупна вартість предмету лізингу – тим більший розмір процентів сплатить лізингоотримувач і отримає лізингова компанія.
A – Лізинговий платіж.
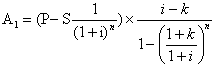
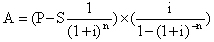
Регулярні постійні платежі (ануїтет)
Регулярні постійні платежі передбачають виплату однакової суми лізингового платежу через однакові проміжки часу. Такий механізм припливу (відпливу) грошей має назву ануїтету. Сума лізингового платежу розраховується за формулою:
![]()
Загальна сума лізингових платежів обраховується як добуток отриманого лізингового платежу та кількості лізингових платежів.
Приклад
Вартість предмета лізингу 1000 грн., ставка 15% річних або 1.25% на місяць, строк лізингу приймемо за 5 місяців, залишкова (викупна) вартість становить 200 грн.
Підставивши значення змінних у наведену формулу отримаємо суму лізингового платежу:
![]()
Розподіл лізингового платежу на амортизацію боргу (погашення вартості майна) та проценти проводиться послідовно. Сума, що йде в погашення вартості майна, визначається як різниця суми лізингового платежу та процентів на залишок заборгованості:
![]()
де дt – сума, що відноситься в погашення вартості майна в періоді t =1,…n.
Дt-1 – залишок заборгованості за предмет лізингу на кінець періоду t-1.
Для зручності наведемо графік сплати лізингових платежів, погашення вартості майна та процентів в табличній формі:
Таблиця 3.1
| Лізингові періоди | Залишок заборгованості,(гр.2-гр.3) | Погашення вартості майна,(гр.5-гр.4) | Проценти, (гр.2* ставка лізингу) | Лізинговий платіж |
| 1 | 1 000,00 | 156,05 | 12,50 | 168,55 |
| 2 | 843,95 | 158,00 | 10,55 | 168,55 |
| 3 | 685,95 | 159,98 | 8,57 | 168,55 |
| 4 | 525,97 | 161,98 | 6,57 | 168,55 |
| 5 | 364,00 | 164,00 | 4,55 | 168,55 |
| Всього | 200,00 | 800,00 | 42,75 | 842,75 |
З таблиці видно, що сума процентів з плином часу зменшується, в той час як сума амортизації боргу, навпаки, збільшується. При цій схемі в перших періодах лізингу баланс компанії-лізингоотримувача буде менш ліквідним, фінансова стійкість компанії – порівняно меншою, у звіті про прибутки і збитки компанії буде вказано значні фінансові витрати. Якщо компанія-лізингоотримувач на протязі перших періодів лізингу планує для розвитку виробництва отримувати кредитні кошти в банку, а вартість лізингового контракту для компанії є достатньо значною, необхідно погодити з лізингодавцем іншу схему лізингових платежів.
Зазначена схема побудови лізингових платежів (ануїтет) здебільшого використовується під час лізингу основних засобів загальногосподарського призначення та обладнання, амортизація якого відбувається лінійним методом (віддача або, так би мовити, економічний ККД основного засобу практично не залежить від строку використання та пов'язаного з ним фізичного зносу).
Регулярні платежі з постійним темпом зміни
Умови погашення заборгованості по лізингу передбачають зміну (збільшення чи зменшення) лізингових платежів з постійним темпом приросту (зменшення) в кожному періоді. Іншим чином, задається прискорена (зменшена) амортизація боргу (погашення вартості майна). Розміри лізингових платежів розраховуються за допомогою таких формул:
![]()
де А1 – розмір першого лізингового платежу;
t – період лізингу = 1, …, n;
k – темп приросту. Якщо k>0 – відбувається прискорене погашення вартості майна, якщо k<0 – навпаки відбувається зменшення розміру платежів з плином часу.
Розмір першого лізингового платежу визначається:

Розподіл лізингового платежу на амортизацію боргу (відшкодування вартості предмета лізингу) та проценти проводиться так само як і в попередньому прикладі: сума, що йде в погашення вартості майна, визначається як різниця суми лізингового платежу та процентів на залишок заборгованості.
Використовуючи дані попереднього прикладу та приймаючи темп приросту рівним 36% річних (3% в місяць) перший лізинговий платіж буде дорівнювати:

Наведемо графік сплати лізингових платежів, відшкодування вартості предмета лізингу та процентів в таблиці:
Таблиця 3.2
| Лізингові періоди | Залишок заборгованості, (гр.2-гр.3) | Погашення вартості майна,(гр.5-гр.4) | Проценти, (гр.2*ставка лізингу) | Лізинго-вий платіж |
| 1 | 1 000,00 | 146,35 | 12,50 | 158,85 |
| 2 | 853,65 | 152,95 | 10,67 | 163,62 |
| 3 | 700,70 | 159,77 | 8,76 | 168,53 |
| 4 | 540,93 | 166,82 | 6,76 | 173,58 |
| 5 | 374,11 | 174,11 | 4,68 | 178,79 |
| Всього | 200,00 | 800,00 | 43,37 | 843,37 |
Як бачимо з таблиці, кожен наступний лізинговий платіж на 3% більший за попередній.
Якщо необхідно, щоб лізингові платежі зменшувались з плином часу значення коефіцієнту k необхідно зробити від'ємним. Використовуючи дані попереднього прикладу приймемо темп приросту рівним –36% річних (–3% в місяць) та наведемо графік сплати лізингових платежів в табличній формі:
Таблиця 3.3
| Лізингові періоди | Залишок заборгованості, (гр.2-гр.3) | Погашення вартості майна,(гр.5-гр.4) | Проценти, (гр.2*ставка лізингу) | Лізинговий платіж | |||
| 1 | 1 000,00 | 166,34 | 12,50 | 178,84 | |||
| 2 | 833,66 | 163,05 | 10,42 | 173,47 | |||
| 3 | 670,62 | 159,88 | 8,38 | 168,27 | |||
| 4 | 510,73 | 156,83 | 6,38 | 163,22 | |||
| 5 | 353,90 | 153,90 | 4,42 | 158,32 | |||
| Всього | 200,00 | 800,00 | 42,11 | 842,11 | |||
Як бачимо з таблиці, кожен наступний лізинговий платіж на 3% менший за попередній. При цьому погашення вартості предмету лізингу в перших періодах відбувається більшими темпами ніж в попередніх прикладах, як наслідок – лізингова компанія отримує меншу суму процентів. Така схема лізингових платежів може зокрема застосовуватись у випадку прискореної амортизації предмету лізингу, тобто тоді, коли предмет лізингу відчутно втрачає свою продуктивність, а отже і здатність генерувати продукцію (кошти) з плином часу.
Логічним є те, що чим більше по модулю значення коефіцієнту k – тим відчутніше буде розрив між найбільшим та найменшим лізинговим платежем по контракту.
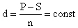
Регулярні платежі з амортизацією боргу рівними частинами
При такій схемі розмір лізингового платежу визначається як сума відшкодування вартості предмета лізингу та процентів. При цьому погашення вартості предмету лізингу в кожному періоді відбувається рівними частинами, а сума процентів визначається виходячи з величини заборгованості за предмет лізингу на початок періоду.
Сума періодичного відшкодування вартості предмета лізингу визначається діленням вартості, що погашається на кількість періодів:
![]()
Де d – сума відшкодування вартості предмета лізингу.
Лізинговий платіж визначається за формулою:
![]()
Залишок заборгованості за предмет лізингу (Дt) на початок кожного наступного періоду визначається як різниця залишку заборгованості на початок попереднього періоду (Дt-1)та щомісячної суми погашення вартості предмету лізингу (d).
Використовуючи дані попередніх прикладів наведемо графік лізингових платежів у таблиці:
Таблиця 3.4
| Лізингові періоди | Залишок заборгованості,(гр.2-гр.3) | Погашення вартості майна | Проценти, (гр.2*ставка лізингу) | Лізинговий платіж,(гр.3+гр.4) |
| 1 | 1 000,00 | 160,00 | 12,50 | 172,50 |
| 2 | 840,00 | 160,00 | 10,50 | 170,50 |
| 3 | 680,00 | 160,00 | 8,50 | 168,50 |
| 4 | 520,00 | 160,00 | 6,50 | 166,50 |
| 5 | 360,00 | 160,00 | 4,50 | 164,50 |
| Всього | 200,00 | 800,00 | 42,50 | 842,50 |
Наведемо порівняння наведених регулярних платежів в табличній формі
Таблиця 3.5
| Лізингові періоди | Постійні платежі (ануїтет) | Платежі з постійним темпом приросту k=3% | Платежі з постійним темпом приросту k=–3% |
Платежі зі сплатою боргу рівними частинами | ||
| 1 | 168,55 | 158,85 | 178,84 | 172,50 | ||
| 2 | 168,55 | 163,62 | 173,47 | 170,50 | ||
| 3 | 168,55 | 168,53 | 168,27 | 168,50 | ||
| 4 | 168,55 | 173,58 | 163,22 | 166,50 | ||
| 5 | 168,55 | 178,79 | 158,32 | 164,50 | ||
| Всього | 842,75 | 843,37 | 842,11 | 842,50 | ||
Як бачимо з таблиці, платежі з постійним додатнім темпом приросту в абсолютному значенні дають найбільший прибуток лізинговій компанії і, відповідно, є найбільш витратними для лізингоотримувача.
На практиці, лізингові компанії частіше за все використовують дві схеми з наведених: ануїтет та платежі з рівномірним погашенням вартості предмету лізингу (графа 2 та графа 5). При цьому слід зазначити, що при рівних умовах щодо відсоткової ставки, строку лізингу та викупної вартості абсолютний дохід від застосування ануїтету завжди буде більший.
Нерегулярні платежі
Нерегулярними називають сплату лізингових платежів, що здійснюються в різних сумах за різні проміжки часу. Ініціатива щодо застосування нерегулярних платежів частіше за все надходить від лізингоотримувача. Це здебільшого пов'язано з сезонністю бізнесу компанії-лізингоотримувача або ж стратегією одночасного інвестуванням значної суми грошових коштів в оборот для стрибкоподібного росту бізнесу або для виконання привабливого контракту.
Зазвичай лізингоотримувач пропонує погодити графік, в якому лізингові платежі є незначними в перші періоду лізингу і швидко зростають через певний проміжок часу. Слід вказати, що при застосуванні банківських кредитів є схожа схема, що передбачає відстрочення сплати тіла кредиту при обов'язковій щомісячній сплаті відсотків за користування ним. В такому випадку заробіток лізингової компанії переважно буде більшим ніж при застосуванні схем регулярних платежів. Необхідно також зазначити, що в цьому збільшується ризик, пов'язаний з невиконання клієнтом договору лізингу, а тому лізингова компанія завжди збільшить процент по лізингу на премію за ризик дефолту по контракту.
На практиці також є ситуації, коли клієнт бажає швидше розрахуватися за предмет лізингу і, як наслідок, сплатити менше процентів лізинговій компанії. При цьому клієнт пропонує погодити графік платежів, в якому розмір лізингових платежів в перші періоди є досить значним, а через деякий період різко зменшується. В такому випадку сума отриманих лізингодавцем процентів буде менше ніж при застосуванні схеми регулярних платежів. Вважаючи на це лізингова компанія і в цьому випадку має збільшити процент за лізинг на компромісну величину. Збільшення процентної ставки викликане тим, що при такій схемі лізингова компанія недоотримає частину доходів в порівнянні із застосуванням ануїтету або іншої схеми регулярних платежів.
Наведемо порядок розрахунку нерегулярних лізингових платежів. Спочатку задається графік лізингових платежів. Розподіл платежу на відшкодування вартості предмета лізингу та проценти проводиться послідовно за вже відомою нам формулою:
![]()
де дt – сума, що відноситься в погашення вартості мана в періоді t =1,…n.
Дt-1 – залишок заборгованості за предмет лізингу на кінець періоду t-1.
Останнім лізинговим платежем досягається рівність сум виплат і заборгованості за предмет лізингу. Для визначення останнього лізингового платежу необхідно продисконтувати (привести до теперішньої вартості) потік лізингових платежів за виключенням останнього платежу, оскільки він на цей час ще невідомий. Знайти арифметичну різницю між вартістю майна та продисконтованою сумою лізингових платежів. Ця різниця буде становити теперішню вартість останнього лізингового платежу. Для графіку необхідно розрахувати її майбутню вартість. Наведемо формули для здійснення вказаних розрахунків.
Сума дисконтованих лізингових платежів:
Сума дисконтованих лізингових платежів:
![]()
Розмір останнього лізингового платежу розраховується за формулою:
![]()
Розглянемо наведені формули розрахунку на прикладі.
Приклад
Залишимо такі самі параметри лізингової угоди як і в попередніх прикладах (вартість предмету лізингу 1000 грн., процентна ставка по лізингу 1.25% на місяць, строк лізингу приймемо за 5 місяців, залишкова (викупна) вартість становить 200 грн.). Крім того, погоджено наступні лізингові платежі: 1-й період лізингу – 20,00 грн., 2-й період – 0,00 грн., 3-й період – 50,00 грн., 4-й період - 350,00 грн. Необхідно визначити суму останнього лізингового платежу та побудувати графік платежів.
Спочатку про дисконтуємо суму запропонованих лізингових платежів. Підставивши значення змінних у наведену формулу отримаємо:
![]()
Знайдемо майбутню вартість останнього лізингового платежу:
![]()
Побудуємо графік лізингових платежів в наступній таблиці.
| Лізингові періоди | Лізинговий платіж | Залишок заборгованості(гр.3-гр.5) | Проценти(гр.3*ставка лізингу) | Погашення вартості(гр.2-гр.4) |
| 1 | 20,00 | 1 000,00 | 12,50 | 7,50 |
| 2 | - | 992,50 | - | - |
| 3 | 50,00 | 992,50 | 24,97* | 25,03 |
| 4 | 350,00 | 967,47 | 12,09 | 337,91 |
| 5 | 437,43 | 629,56 | 7,87 | 429,56 |
| Всього | 857,43 | 200,00 | 57,43 | 800,00 |
* Проценти за 2-й та 3-й періоди лізингу.
Як бачимо з таблиці, при всіх інших рівних умовах, порядок та розмір платежів досить суттєво впливають загальний розмір контракту в порівнянні з наведеними схемами регулярних платежів. Слід також зазначити, що чим більшою буде різниця між максимальним і мінімальним розміром лізингового платежу, тим більшою буде різниця між загальною сумою лізингових платежів при нерегулярному графіку та сумою лізингових платежів, побудованих за методом ануїтету.
Порівняння різних схем здійснення платежів з різних джерел фінансування
Головна мета інвестицій, головна мета будь-якого комерційного підприємства – максимальне одержання прибутку. Припустимо на ринку середній рівень рентабельності на послуги становить 15%. В силу певних особливостей діяльності компанія має витрати значно вищи ніж витрати більшості підприємств на цьому ринку. Чи може така компанія встановлювати ціну на свої послуги виходячи з середнього ринкового рівня рентабельності? Звичайно ні, оскільки ціна на послуги цієї компанії буде значно вище за середньоринкову і компанія не зможе в запланованих обсягах продавати свої послуги, а так – недоотримає прибутків. Або ж інша ситуація, коли внаслідок певних обставин собівартість послуг для компанії є досить низькою в порівнянні з середньоринковою. Чи варто в такій ситуації компанії встановлювати середньоринкову норму прибутку на свої послуги? Також ні, оскільки компанія в такому випадку буде недотримувати прибутки. Отже, однією з головних умов одержання максимального прибутку є правильне визначення ціни на свою продукцію, послуги, роботи. Ціна є інструментом стимулювання попиту і одночасно представляє собою головний фактор довгострокової рентабельності. Для підприємства, яке бажає досягти стійкого положення на ринку, встановлення ціни має ключове значення для успіху обраної стратегії ведення бізнесу.
У цьому і лізингові компанії не є винятком. Виходячи на ринок фінансових продуктів, для успішних продажів і отримання прибутку, лізингова компанія повинна сформувати конкурентну ціну на свої послуги. Яка ціна буде найбільш об'єктивною? Логічно, що потрібно порівняти ціни прямих та потенційних конкурентів на аналогічні послуги. Але яким чином це зробити правильно? Якщо для порівняння ціни на товар в торгівлі враховується тільки декілька факторів (безпосередньо ціна, можливість доставки, можливість відстрочення платежу), то для порівняння ціни лізингу простою арифметикою обійтися важко. Це пояснюється тим, що лізинг як і кредит передбачає отримання не одного платежу, а цілого потоку платежів, що можуть здійснюватися в різні строки і за різними схемами (щомісячно, щоквартально, із різними ставками, з додатковими платежами чи комісіями або без них тощо). Крім того, якщо порівнювати фінансовий лізинг та банківський кредит, платежі по лізингу крім амортизації боргу та процентів зазвичай втілюють у собі компенсацію прямих витрат лізингової компанії, в той час як за договором банківського кредиту найчастіше сплачується тільки процент та погашення тіла кредиту.
Якщо аналізувати привабливість того чи іншого контракту недостатньо просто порівняти процентні ставки, якщо платежі за одним контрактом здійснюються поквартально, а за іншим – помісячно. Або ж не можна просто порівняти суму лізингових платежів із сумою платежів за договором банківського кредиту і сказати, що банківський кредит дешевше не враховуючи при цьому той факт, що позичальнику необхідно буде самостійно сплачувати податки, страхування, держмито тощо.
Для того щоб правильно порівняти вартість кредиту та вартість лізингу необхідно чітко усвідомлювати з чого складається ціна на лізинг і що необхідно врахувати для співставлення різних моделей фінансування. Формування ціни лізингу – лізингового платежу – передбачає перш за все відшкодування вартості предмету лізингу, покриття витрат лізингової компанії та одержання запланованої норми прибутку вигляді процентів.
Серед прямих витрат лізингової компанії можна зазначити найбільш розповсюдженими є:
· витрати на страхування предмету лізингу;
· податки та платежі пов'язані з придбанням предмету лізингу (внески до Пенсійного фонду при набутті права власності на транспорт або нерухомість, платежі за реєстрацію предмета лізингу);
· податки та платежі пов'язані з перебуванням предмета лізингу у власності лізингової компанії (податок з власників транспортних засобів, проходження щорічного техогляду транспортних засобів тощо).
Проводячи аналіз умов контрактів, що є неспівставними можна застосовувати декілька методів. На мій погляд, для порівняння різних схем фінансування найбільш доцільно застосовувати метод розрахунку чистої теперішньої вартості (NPV). Цей метод заснований на зіставленні величини вартості предмету лізингу (кредиту) із загальною сумою дисконтованих чистих грошових виплат по лізингу (кредиту).
Першим кроком до порівняння ціни лізингу із ціною кредиту буде формування переліку прямих витрат, які пов'язані з предметом лізингу. При цьому необхідно зважати на такі важливі обставини:
· при лізингу вартість прямих витрат лізингової компанії рівномірно включена в лізингові платежі, в той час як при кредиті ці витрати можуть бути сплачені всією сумою наперед за рік (наприклад, страхування майна);
· у зв'язку з тим, що лізингова компанія є свого роду «оптовим покупцем» вартість та умови послуг для неї практично завжди дешевше (для прикладу можна привести все те ж страхування майна – за однакових умов страхування ставка для лізингової компанії завжди буде менше ніж для стандартного клієнта).
Наступним кроком необхідно побудувати графік платежів по кредиту і по лізингу та здійснити дисконтування (приведення до теперішньої вартості - PV) потоків платежів за формулою:
![]()
де Аn – платіж по відповідному графіку в періоді n. При кредиті A повинно включати в себе також всі прямі витрати, що повинні бути понесені позичальником;
n – кількість періодів виплати платежу по лізингу/кредиту;
r – ставка дисконтування. Оскільки ми проводимо порівняння проектів з точки зору клієнта/позичальника, то логічним є за ставку дисконтування прийняти ставку залучення ним короткострокових банківських кредитів.
Далі визначаємо чисту приведену вартість джерела фінансування:
![]()
Де Р – первісна вартість предмета лізингу/кредиту.
Оцінка вигідності того чи іншого інструменту фінансування проводиться шляхом порівняння величин NPV контрактів. Проект, NPV якого є найменшим, буде найбільш вигідний для клієнта.
Отже, знаючи як провести порівняння різних лізингових умов або ж порівнюючи лізингові платежів з банківським кредитом можна визначити об'єктивну ціну кожної із послуг та переконати потенційного покупця у найбільшій привабливості умов саме вашої компанії.
Висновки
В умовах інвестиційної кризи, що в Україні прийняла майже чи не найбільш гострі форми серед країн СНД, цілком закономірний той всебічний інтерес, що виявляється до специфічної форми економіко-правових відносин, що отримала збірне найменування "лізингу".
Являючись продуктом розвитку в умовах постіндустріального суспільства, з характерними для нього високорозвиненими відносинами ринкової економіки, традиційних форм позики і оренди, фінансовий лізинг став однією з найбільш перспективних форм діалектичого вирішення протиріч відношення власності і інвестиційного нагромадження.
Такий альтернативний засіб інвестування як одержання і використання іноземних кредитів має ряд негативних факторів, значна частина коштів спрямовується на покриття поточних витрат, дефіциту державного бюджету, а не на інвестування виробництва і його технологічне відновлення. До того ж іноземні кредити збільшують зовнішній борг і на його обслуговування витрачаються значні валютні кошти.
Враховуючи ситуацію з іноземними кредитами і інвестиціями, а також ситуацію, що склалася на вітчизняному ринку довгострокових кредитів (по них дуже високі проценти і їх практично ніхто не надає), саме лізинг може стати єдиною формою довгострокового кредитування в Україні в найближчий час.
На даний момент в Україні розглядається проблема розвитку лізингу, тому що це давно розповсюджений на Заході фінансовий інструмент, сприятливий мобілізації коштів для інвестицій, а також він забезпечує гарантоване використання інвестиційних ресурсів з метою реконструкції і розвитку виробництва.
Однією з основних форм подолання проблем відсутності інвестиційних коштів є лізинг, в т. ч. і міжнародний.
Лізинг створює економічні вигоди всім учасникам лізингової операції. Так, підприємству - постачальнику гарантується збут продукції і своєчасне одержання грошових коштів для здійснення розрахунків з бюджетними робітниками і направлення їх на виробничий розвиток.
Вирішення вище зазначених проблем, що ускладнюють ефективність і мобільність регулювання лізингових відносин, врахування переваг регулювання лізингових операцій в інших країнах, приєднання України до Конвенції про міжнародний фінансовий лізинг, всебічна підпримка розвитку лізингу з боку держави дадуть Україні змогу вирішити значну кількість проблем, пов`язаних з інвестуванням і залученням коштів.
Список використаних джерел:
1. Биковченко Л. М. Економічна сутність лізингу // Фінанси України, 2001, №11, С. 75-77
2. Данилова Л. І. Лізинг як фактор інвестиційного розвитку // Фінанси України, 1998, №11, С. 100-103
3. Дивак М. Лізинг: один пишемо, два за ум пішло // Голос України, 2005, 2 лютого, С. 9
4. Златкін Б. Лізинг як метод кредитування // Економіка України, 1997, №4, С. 86-88
5. Ібатулін Ш. І. Лізингове забезпечення агропромислових підприємств // Вісник сумського Державного аграрного університету,2001, №2, С.84-86
6. Коваленко Н., Човнжк Ю. Тенденції розвитку лізингу: світовий досвід та реалії в Україні // Банківська справа, 2001, №1, С. 47-51
7. Ковальчук К. Ф., Вишнякова І. В. Показники ефективності лізингової угоди //Фінанси України, 2004, №6, С. 141-146
8. Комаров В. Ф. и др. Аренда. Лизинг. Фирменный сервис./ В. Ф. Комаров, Е. В. Колуга, А. Т. Юсупова – Новосибирск: Наука. Сибирское отделение, 1991, С. 70-91
9. Лізинг в Україні. Інформаційно-аналітичний журнал, 2006, №1
10. Ляхова О. О. Суб’єкти ринку лізингових відносин в Україні // Фінанси України, 2000, №11, С. 64-67
11. Максимов Г. В., Князева Ю. В. Лизинг: выгоднее кредита, эфективнее аренды // Молочная промышленность, 2001, №12, С. 39-41
12. Орлов О. О., Рясник Є. Г. Що заважає розвитку лізингу в Україні // Фінанси України, 1999, №7, С. 3-9
13. Радіоненко О. Н. Дострокове припинення лізингової угоди: економічні наслідки та шляхи вирішення проблем // Агрокомпас, 2002, №6, С. 4-6
14. Слав’янська Н. Впровадження лізингових відносин в Україні // Банківська справа, 1999, №4, С. 19-20
15. Старцев О. В. Розвиток лізингових операцій в Україні // Фінанси України, 1998, №6, С.70-74
16. Черевко Г. В., Калитка Г. Б. Лізинг: реалії, проблеми, перспективи // Фінанси України, 1999, №2, С. 40-46
17. Шпак В. Державний лізинг: видатки чи прибутки? // Урядовий кур’єр, 2005, 17 травня, С.10
18. Http://www.leasing.org.ua
19. Http://www.ifc.org/leaseukraine
