Скачать .docx  

Курсовая работа: Основные подходы к классификации банковских рисков, методы управления ими, а также определение путей их минимизации

СОДЕРЖАНИЕ

Введение 3
1. Сущность и роль управления рисками коммерческого банка 5
1.1. Понятие и классификация банковских рисков 5
1.2. Роль управления банковскими рисками в современных условиях 12
2. Анализ банковских рисков на примере ОАО «Белагропромбанк» 16
2.1. Состояние рисковой ситуации в деятельности белорусских банков 16
2.2. Краткая экономическая характеристика ОАО «Белагропромбанк» 22

2.3. Система управления банковским кредитным риском на

ОАО «Белагропромбанк»

24
3. Основные пути минимизации банковских рисков 31
3.1. Хеджирование 31
3.2. Аналитический метод 33
3.3. Некоторые пути минимизации банковских рисков 38
Заключение 42
Список использованных источников 44
Приложения 46

ВВЕДЕНИЕ

Умение разумно рисковать - один из элементов культуры предпринимательства в целом, а банковской деятельности - в особенности.

В условиях рынка каждый из его участников принимает некие правила игры и в определенной степени зависит от поведения партнеров. Одним из таких правил можно считать готовность принять на себя риск и учитывать возможность его реализации в своей деятельности.

В условиях кризиса проблема профессионального управления банковскими рисками, оперативный учет факторов риска приобретают первостепенное значение для коммерческих банков.

Общее экономическое положение Республики Беларусь характеризуется сокращением инвестиций в реальный сектор экономики на фоне увеличивающегося роста общего объема неплатежей. Все это приводит к сокращению ресурсной базы коммерческих банков, возрастанию рисковоности операций, уменьшению банковской маржи и уровня прибыльности, значительному усилению конкуренции между банками.

В связи с этим весьма актуальным выглядит проблема эффективного управления банковскими рисками.

Так, создание системы управления рисками – жизненная необходимость в деятельности любого банка. Главной целью деятельности коммерческого банка является прибыль. Однако все усилия банка по достижению данной цели легко могут быть сведены на нет реализацией любого из видов рисков, сопровождающего банковскую деятельность. При этом может оказаться, что банк рискует не просто размером прибыли, а собственным выживанием. В результате пострадает не только банк, но его клиенты и собственники. Поэтому управление рисками – важная и неотъемлемая часть стратегии любого банка [1, c.39].

Кроме того, международная практика свидетельствует о том, что отсутствие надлежащего корпоративного управления в банках, проблемы внутреннего контроля и управления рисками зачастую приводят к возникновению кризисов отдельных банков, так и к угрозе финансовой стабильности банковского сектора. Об этом говорит история системных кризисов последних 20-30 лет в таких развитых странах, как США, Франция, Швеция, Финляндия [14, c.8].

Целью курсовой работы является раскрытие основных подходов к классификации банковских рисков, методов управления ими, а также определение путей их минимизации.

Основными задачами написания данной курсовой работы является:

1. Определение сущности банковских рисков;

2. Раскрытие видов банковских рисков, а также их особенностей;

3. Анализ системы управления банковскими рисками на примере ОАО «Белагропромбанк»;

4. Характеристика основных методов управления рисками

5. Отражение основных путей минимизации банковских рисков.

В первой главе раскрываются некоторые теоретические аспекты управления банковскими рисками, приведена классификация банковских рисков в зависимости от факторов внешней и внутренней среды банков, а также раскрыта сущность процесса управления банковскими рисками.

Во второй главе рассмотрена проблема управления банковскими рисками на примере ОАО «Белагропромбанк».

В третьей главе раскрыты основные методы и направления минимизации рисков.

При написании работы были использованы научные труды, монографии, книги, а также статьи, заметки следующих авторов: Севрука В.Т., Аленичева В.В., Белых Л.П., Шипилова А.Е., Поморина М.А., Галанова В.А. и др.


1. Сущность и роль управления рисками коммерческого банка

1.1. Понятиеи классификация банковских рисков

В процессе своей деятельности банки сталкиваются с совокупностью различных видов рисков, отличающихся между собой местом и временем возникновения, внешними и внутренними факторами, влияющими на их уровень, и, следовательно, на способы их анализа и методы их описания. Все виды рисков взаимосвязаны и оказывают воздействие на деятельность банка. Многие финансовые операции связаны с существенным финансовым риском. Они требуют оценить степень риска и определить его величину. Это возможно с помощью теории вероятностей, которая прогнозирует случайные события, дает количественную и качественную оценку. При этом уровень неопределенности и степень риска уменьшается [3, c.17].

Под риском принято понимать вероятность, а точнее угрозу потери банком своих ресурсов, недополучения доходов или произведения дополнительных расходов в результате осуществления опреде­ленных финансовых операций.

Все финансовые риски можно подразделить на два вида: чистые и спекулятивные. Чистые риски означают возможность получения убытка или нулевого результата. Спекулятивные риски выражаются в вероятности получить как положительный, так и отрицательный результат.

Финансовые риски относятся к спекулятивным. Особенностью финансового риска является вероятность наступления ущерба в результате проведения каких-либо операций финансово-кредитной и биржевой сферах, совершение операций с фондовыми ценными бумагами, то есть риска, который вытекает из природы этих операций [12, c.54].

Ведущим принципом в работе коммерческих банков является стремление к получению максимальной прибыли. Оно ограничивается возможностью понести убытки. Иными словами, риск - это стоимостное выражение вероятностного события ведущего к потерям. Риски тем больше, чем выше шанс получить прибыль. Риски образуются в результате отклонений действительных данных от оценки сегодняшнего состояния и будущего развития. Этих отклонения могут быть как позитивными, так и негативными. В первом случае речь идет о шансах получить прибыли, во втором - о риске иметь убытки.

Таким образом, получать прибыль можно только в случаях, если возможности понести потери (риски) будут предусмотрены заранее (взвешены) и застрахованы. Поэтому проблемам экономических рисков в деятельности коммерческих банков должно уделяться первостепенное внимание. К основным проблемам относятся: разработка классификации банковских рисков, основ оценки и методов их расчета [12, c.56].

В мировой практике существует множество классификаций банковских рисков. Наиболее известная из них – это деление риска на систематический и несистематический.

Систематический риск:

Риск кризиса финансового рынка в целом. Этот вид риска является недиверсифицируемым. Анализ систематического риска сводится к оценке того, стоит ли вообще иметь дело с портфелем ценных бумаг и проводить операции с иностранной валютой, не лучше ли вообще вложить средства в другие формы активов.

Несистематический риск.

Этот риск связан с конкретным финансовым инструментом, данный вид риска может быть минимизирован за счет диверсификации. Исследования показали, что если портфель состоит из 10-20 различных видов финансовых инструментов, включенных с помощью случайной выборки из имеющегося на финансовом рынке набора, то несистематический риск может быть сведен к минимуму. Уровень несистематического риска – это оценка качества данного финансового инструмента [10, с.14].

Анализируя возможный риск, следует установить:

· относится ли он к финансовому рынку в целом или имеет отношение только к его сектору;

· характерен он для биржевого рынка в целом или имеет место только в отдельных регионах, областях, т.е. привязан к географическому нахождению;

· присущ ли он конкретному финансовому инструменту или имеет отношение к ним ко всем;

· вызван ли он сервисным (техническим) обслуживанием биржевых операций.

Таким образом, финансовые риски коммерческих банков неизбежны, однако их последствия можно предотвратить с помощью определенных методов, используемых в процессе управления банковскими рисками.

В зависимости от факторов, оказывающих влияние на размер банковских рисков, они подразделяются на внешние и внутренние .

Коммерческие внешние риски могут быть: страновыми; валютными; рисками стихийных бедствий (форс-мажорных обстоятельств).

Страновые риски , непосредственно связанные с интернационализа­цией деятельности банков и банковских учреждений, наличием глобального риска, зависят от политико-экономической стабильности стран-клиентов и/или стран-контраген­тов, импортеров или экспортеров. Они актуальны для всех банков, созданных с участием иностранного капитала, и банковских учреждений, имеющих генеральную лицензию. Одним из рекомендуемых способов анализа уровня странового риска является индекс БЕРИ, регулярно публикуемый германской фирмой БЕРИ. С его помощью заранее определяется уровень странового риска. Страновой риск может быть структурирован на риски конверти­руемости, риски трансферта или моратория платежа.

Валютный риск , или риск курсовых потерь, связан с интернационали­зацией рынка банковских операций, созданием транснациональных (совместных) предприятий и банковских учреждений и диверсифика­цией их деятельности и представляет собой возможность денежных потерь в результате колебаний валютных курсов [17, c.72].

Со своей стороны, валютные риски структурируются следующим образом:

а) коммерческие, т.е. связанные с нежеланием или невозможностью должника (гаранта) рассчитаться по своим обязательствам;

б) конверсионные (наличные), т.е. риски валютных убытков по кон­кретным операциям. Эти риски структурируются на риски кон­кретных сделок.

в) трансляционные (бухгалтерские) риски, которые возникают при переоценке активов и пассивов балансов и счета “Прибыли и убытки” зарубежных филиалов клиентов, контрагентов.

Риски форфетирования, которые возникают когда форфетер (часто им является банк) берет на себя все риски экспортера без права регресса.

И наконец, к внешним рискам относится риск стихийных бедст­вий или как его еще называют форс-мажорных обстоятельств (РФО), который зависит как от наличия или отсутствия стихийных явлений природы и связанных с ними последствий, так и от разного рода ог­раничений со стороны государства [17, c.73].

Внутренние риски зависят от вида и специфики банка, характера его деятельности (операций) и состава его партнеров (клиентов и контрагентов).

Риски, связанные с видом банка. Банки и банковские учреждения могут быть государственными и част­ными (негосударственными), которые со своей стороны делятся на коо­перативные и коммерческие. Существуют три типа коммерческих бан­ков — специализированные, отраслевые и универсальные. В каждом из них присутствуют все виды рисков, но вероятность частоты их возник­новения и специфика зависят от типа самого банковского учреждения.

Деятельность универсальных коммерческих банков также уни­версальна. Они занимаются практически всеми видами банковских услуг (кредитными, расчетными и финансовыми). Кроме того, в пос­леднее время универсальные коммерческие банки все активнее осу­ществляют нетрадиционные операции, такие, как операции с различ­ными видами ценных бумаг, лизинг, факторинг, клиринг и др.

Специализированные коммерческие банки ориентируют свою де­ятельность на предоставление в основном каких-то конкретных ус­луг, т.е. имеют четко выраженную товарную ориентацию. Например, инновационные, инвестиционные, ссудосберегательные, ипотечные, депозитные, клиринговые и прочие банки.

Уровень и вид внутренних рисков, с которыми сталкиваются раз­личные виды коммерческих банков, в основном зависят от специфи­ки их деятельности.

В специализированных коммерческих банках причинами повышенного риска могут быть:

* использование новой технологии начато преждевременно, еще до того, как затраты на производство приведены в соответствие с реальным уровнем рыночных цен;

* продукция, выпущенная до того, как покупатель готов платить за новшества, т.е. объем потенциального спроса недостаточен для того, чтобы окупить затраты. Следовательно, реальный спрос еще ниже;

* число поставщиков и посредников, привлеченных с перспективой на рост спроса, избыточно для конкретного рынка (рыночного сегмента, окна, ниши), что приводит к удорожанию конкретного банковского товара [17, c.74].

Риски, связанные с характером банковских операций. В зависимости от характера банковских операций риски могут быть связаны со спецификой балансовых или забалансовых операций; и те, и другие подразделяются на риски активных и риски пассивных операций.

Операционный риск – это риск возникновения у банка убытков в результате несоответствия установленных порядков и процедур совершенствования банковских операций (сделок) действующему законодательству или их нарушения, некомпетентности или ошибок сотрудников банка, недостаточности функциональных возможностей (характеристик) применяемых кредитной организацией информационных, технологических и других систем, а также в результате воздействия внешних неблагоприятных событий неэкономического характера [20, c.17].

Риски пассивных операций. Именно с помощью пассивных операций банк регулирует свои ре­сурсы для осуществления активных банковских операций. К пассив­ным операциям коммерческих банков относят отчисления от прибы­ли на формирование (увеличение) уставного капитала; величину кре­дитов, полученных от прочих юридических лиц; депозитные опера­ции. Только первая группа пассивных операций формирует собствен­ные средства банков. Получение банковских ссуд от других юриди­ческих лиц необходимо чаще всего для оперативного регулирования ликвидности балансов банков или выдачи непредвиденных кредитов.

Депозитные операции — это операции по привлечению средств юридических и/или физических лиц во вклады либо до востребования, либо на определенный срок. Риски пассивных операций связаны с возможными затруд­нениями в обеспечении активных операций ресурсами. Чаще всего это риск, связанный с эффективностью деятельности определяюще­го вкладчика (один производитель или группа "породненных" компа­ний).

Риски активных операций. Процентный риск. Риски активных операций связаны с уровнем так называемого про­центного риска, которому банки постоянно подвергаются в процессе своей деятельности [17, c.75].

Управление процентным риском состоит из управления активами (кредитами и инвестициями) и пассивами (заемными средствами).

Управление активами зависит от уровня ликвидности самого бан­ка и портфеля его клиентов из ценных бумаг, а также от степени су­ществующей конкуренции (ценовой и неценовой), а управление пас­сивами — от доступности средств для выдачи ссуд.

Уровень процентного риска зависит от:

* изменений в портфеле (структуре) активов, включая соотношение величин кредитов и инвестиций, активов с фиксированной и пла­вающей ставкой, динамики их цены на рынке;

* изменений в структуре пассивов, т.е. соотношений собственных и заемных средств, срочных и сберегательных депозитов, депози­тов "до востребования";

* динамики процентной ставки.

Портфельный риск. Портфельный риск заключается в вероятности потери по отдельным типам ценных бумаг, а также по всей категории ссуд. Портфельные риски подразделяются на финансовые, риски ликвидности, система­тические и несистематические.

Финансовые риски могут быть определены следующим образом:чем больше заемных средств имеют банки, акционерные общества, предприятия, в том числе и совместные банки, тем выше риск для их акционеров, учредителей. В то же время заемные средства являются важным и выгодным источником финансирования, так как чаще все­го обходятся дешевле, чем выпуск и продажа дополнительных тира­жей ценных бумаг. Согласно принятым нормам для заемщиков соот­ношение между собственными и заемными средствами — коэффициент задолженности (Kg) — колеблется в рамках 0,2—0,3. Этот риск тесно связан с риском рычага (левереджа — leverage), который зави­сит от соотношения вложенного капитала в ценные бумаги с фикси­рованным уровнем дохода, с нефиксированным уровнем дохода и объема всего основного и оборотного капитала банка [17, c.75].

Риск ликвидности — это способность финансовых активов опе­ративно обращаться в наличность. Крупнейшие и известнейшие про­изводители и банки, чьи акции обращаются на центральных биржах, имеют наименьший риск этого рода. Малые же фирмы — новообра­зованные, венчурные — более опасны в этом отношении. В данном случае особое внимание необходимо уделить выбору посредников. Основные виды финансовых посредников, специфика их прав и обя­занностей оказывают большое влияние на деловую активность бан­ков.

Системный риск связан с изменением цен на акции, их доходно­стью, текущим и ожидаемым процентом по облигациям, ожидаемыми размерами дивиденда и дополнительной прибылью, вызванными общерыночными колебаниями. Он объединяет риск изменения про­центных ставок, риск изменения общерыночных цен и риск инфля­ции [13, с.19].

Несистемный риск не зависит от состояния рынка и является спецификой конкретного предприятия, банка. Он может быть отрас­левым и финансовым. Основными факторами, оказывающими влия­ние на уровень несистемного портфельного риска, являются наличие альтернативных сфер приложения (вложения) финансовых ресурсов, конъюнктура товарных и фондовых рынков и другие.

Совокупность системных и несистемных рисков называют риском инвестиций [13, с.19].

Риск акции выражается изменением процентных ставок и возни­кает из-за сокращения чистой прибыли за период вследствие измене­ния государственных и банковских ставок.

Риск падения общерыночных цен. Это риск недополучаемого дохо­да по каким-либо финансовым активам. Чаще всего он связан с паде­нием цен на все обращающиеся на рынке ценные бумаги одновре­менно.

В странах с развитой рыночной экономикой существуют фирмы-наблюдатели, которые постоянно анализируют уровень портфельного риска различных ценных бумаг.

Риск инфляции. Риск инфляции — это риск, который определяется жизненным цик­лом отраслей. Основные факторы, влияющие на развитие отрасли, следующие:

а) переориентация экономики, что связано с общей экономической нестабильностью в мире, по отдельным регионам, странам, рын­кам, рыночным сегментам, нишам и окнам, с одной стороны, и ростом цен на ресурсы, с другой;

6) истощение каких-либо ресурсов;

в) изменение спроса на внутреннем и мировом рынках сбыта;

г) общеисторическое развитие цивилизации [16, с.15].

Кредитный риск. Кредитный риск, или риск невозврата долга, в одинаковой степени относится как к банкам, так и к их клиентам и может быть промыш­ленным (связанным с вероятностью спада производства и/или спроса на продукцию определенной отрасли); риск урегулирования и поста­вок обусловлен невыполнением по каким-то причинам договорных отношений; риск, который связан с трансформацией видов ресурсов (чаще всего по сроку), и риск форс-мажорных обстоятельств.

Степень кредитного риска банков зависит от таких факторов, как:

* степень концентрации кредитной деятельности банка в какой-ли­бо сфере (отрасли), чувствительной к изменениям в экономике, т.е. имеющей эластичный спрос на свою продукцию, что выража­ется степенью концентрации клиентов банка в определенных от­раслях или географических зонах, особенно подверженных конъ­юнктурным изменениям;

* удельный вес кредитов и других банковских контрактов, приходя­щихся на клиентов, испытывающих определенные специфиче­ские трудности;

* концентрация деятельности банка в малоизученных, новых, не­традиционных сферах;

* внесение частых или существенных изменений в политику банка по предоставлению кредитов, формированию портфеля ценных бумаг;

* удельный вес новых и недавно привлеченных клиентов;

* введение в практику слишком большого количества новых услуг в течение короткого периода) (тогда банк чаще подвергается нали­чию отрицательного или нулевого, потенциального спроса)14 ;

* принятие в качестве залога ценностей, труднореализуемых на рынке или подверженных быстрому обесцениванию [16, с.16].

Риск кредитования заемщиков зависит от вида предоставляемого кредита. В зависимости от сроков предоставления кредиты бывают кратко-, средне- и долгосрочные; от видов обеспечения —обеспеченные и необеспеченные, которые в свою очередь могут быть пер­сональными и банковскими; от специфики кредиторов — банков­ские, государственные, коммерческие (фирменные), кредиты страхо­вых компаний и частных лиц, консорциональные (синдицированные), которые структурируются на клубные (где число кредиторов ограни­чено) и открытые (участие в нем может принять любой банк или предприятие); от видов дебиторов — сельскохозяйственные, про­мышленные, коммунальные, персональные; от направления использо­вания — потребительские, промышленные, на формирование обо­ротных средств, инвестиционные, сезонные, на устранение времен­ных финансовых трудностей, промежуточные, на операции с ценны­ми бумагами, импортные и экспортные и др.

Транспортный риск. Особый интерес представляют так называемые транспортные риски. Их классификация впервые была приведена Международной торго­вой палатой в Париже (1919 г.) и унифицирована в 1936 г., когда бы­ли обнародованы первые правила ИНКОТЕРМС [28, с.16].

Лизинговый и факторинговый риск. Уровень банковских рисков может возникать также при осуществле­нии лизинговых и факторинговых операций, бартерных и клиринго­вых сделок.

Для снижения риска лизинговых сделок необходимо разработать ускоренные нормы амортизационных отчислений или использовать их досрочное начисление. Лизинг считается в настоящее время операцией с повышенным риском. Поэтому целесообразно осуществ­лять покрытие убытков от него за счет резервного фонда банка.

Клиринг — это взаимная оплата между двумя банками, районами, экономическими единицами, государствами, при которой произво­дится обмен товаров без перевода денег (валюты). Сущность клирин­га выражается в следующем: за определенный календарный период, обычно один год, суммы взаимной торговли обращаются на конкрет­ных банковских счетах различных торгующих стран на основании специального клирингового договора. Осуществляя клиринг, каждая сторона-экспортер получает сумму экспортируемого товара от свое­го банка. Банк, со своей стороны, не ждет перевода из банка-импор­тера, а дебетует клиринговый счет и высылает дебетовое авизо соот­ветствующему банку, связанному с импортером.

Бартерные сделки — это форма компенсации, когда товар опла­чивается не деньгами, а товаром. Бартерные сделки могут быть меж­фирменными и межгосударственными. Чаще всего межфирменные бартерные сделки осуществляются с помощью различных посредников.

Для уменьшения риска по факторинговым операциям следует анализировать платежеспособность заемщиков, изучать характер их хозяйственных связей и взаимоотношения с поставщиками, структу­ру платежей, конкурентоспособность продукции, количество случаев ее возврата. При покупке факторинговым отделом банка векселей у постав­щиков появляется дополнительный риск приобретения бронзового векселя.

Одним из основных способов измерения уровня риска является анализ зависимых и независимых, внешних и внутренних факторов, оказывающих влияние в конкретной ситуации, с помощью методов экспертных оценок. Кроме того, в практике коммерческих банков стран с развитой рыночной экономикой широко используется система банковских га­рантий [28, с.17].

Риски, связанные со спецификой клиента банка. По своей сути банк — это коммерческое предприятие. Основным принципом взаимоотношений "банк — клиент" является принцип по­лучения прибыли банком при меньших затратах и принцип минимиза­ции всех видов риска. Банк на самом деле может рисковать (и он ри­скует ежедневно в процессе своей деятельности) своим собственным капиталом, но не капиталом клиента, его прибылью.

Таким образом, в своей деятельности банки сталкиваются с множеством рисков, успех управления которыми зависит от уровня оценки вероятности их наступления, а также выбора метода их минимизации.

1.2. Роль управления банковскими рисками в современных условиях

Банк по своему определению должен являться одним из наиболее надеж­ных институтов общества, представляет основу стабильности экономической системы. При этом профессиональное управление банковскими рисками, оперативная идентифи­кация и учет факторов риска в повседневной деятельности приобретают первостепенное значение.

В связи с формированием рыночных отношений понятие риска прочно входит в нашу жизнь. Таким образом, банки в условиях такой нестабильности, быстро меняющейся ситуации вынуждены учитывать все возмож­ные последствия от действия своих конкурентов, клиентов, а также предвидеть вероятные изменения законодательства. Именно такая неопределен­ность и повышенный уровень риска - это плата за полученную экономичес­кую свободу [22, с.8].

Ведущим принципом в работе коммерческих банков в условиях перехо­да к рыночным отношениям является стремление к получению как можно большей прибыли. Риски тем больше, чем выше шанс получить прибыль. Риски образуются в результате отклонений действительных данных от оценки сегодняшнего состояния и будущего развития.

Высокая степень конкуренции на банковском рынке заставила руководителей банков изменить свое отношение к политике управления рисками. Тому, что когда-то считалось формальностью, теперь уделяется большое внимание. Прежде всего, речь идет о развитии подразделений, ответственных за управление рисками, систем управленческой информации, утверждении лимитов и методики измерения рисков [5, с.6].

В сложившейся ситуации становится очевидным необходимость эффективного управления системой банковских рисков. Необ­ходимо также отметить, что в процессе своей деятельности банки сталки­ваются с совокупностью различных видов рисков, отличающихся ме­жду собой по месту и времени возникновения, совокупности внеш­них и внутренних факторов, влияющих на их уровень, и, следова­тельно, по способу их анализа и методам их описания. Кроме того, все виды рисков взаимосвязаны и оказывают влияние на деятель­ность банков. Изменения одного вида риска вызывают изменения почти всех остальных видов. Все это, естественно, затрудняет выбор метода анализа уровня конкретного риска и принятие решения по его оптимизации ведет к углубленному анализу множества других ри­сковых факторов. Поэтому особенно важным видится выбор конкретного метода анализа уровня, подбор оптимальных факторов и совокупная оценка всей системы рисков.

Таким образом, управление рисками в коммерческих банках является одним из важнейших инструментов повышения их конкурентоспособности в условиях ожесточающейся конкуренции.

Качественное управление риском повышает шансы коммерческого банка добиться успехов в долгосрочной перспективе. Деятельность по управлению рисками называется политикой риска. Под политикой риска принимается совокупность различных мероприятий, имеющих целью снизить опасность ошибочного принятия решения.

Знать о возможном наступлении риска необходимо, но недостаточно. Важно установить как влияет на результаты деятельности конкретный вид риска, и каковы его последствия.

Выявление риска может осуществляться различными способами:

· анализ объективных факторов (вероятностный анализ исследования операций),

· анализ субъективных факторов (интуитивное предсказание тенденции поведения рынка) [23, с.12].

В настоящее время российские участники финансового рынка в управлении рисками опираются на интуицию, чей-то авторитет и на предыдущий опыт. Лишь незначительный процент руководителей способен учитывать риск, с применением математических методов.

Процесс управления риском достаточно динамичен и его эффективность во многом зависит от быстроты реакции на изменение условий рынка, экономической ситуации в целом, финансового состояния коммерческого банка. Особое значение в решении рисковых задач играет интуиция, которая представляет собой способность находить правильное решение проблемы и инсайт, т.е. осознания решения некоторой проблемы.

В процессе управления риском следует учитывать следующие правила:

· нельзя рисковать больше, чем это может позволить собственный капитал,

· всегда нужно помнить о возможных последствиях риска,

· нельзя рисковать многим ради малого,

· положительное решение, связанное с риском, принимается лишь при отсутствии сомнений,

· всегда существует несколько решений рисковых задач [23, с.13].

Комплексный подход к управлению риском позволяет более эффективно использовать ресурсы, распределять ответственность, улучшать результаты работы.

Одним из традиционных методов оценки и управления риском считается статистический метод. Основными инструментами статистического анализа являются – дисперсия, стандартное отклонение, коэффициент вариации. Суть этого метода состоит в анализе статистических данных за возможно больший период времени, что позволяет сравнить частоту возникновения потерь банка с вероятностью их возникновения. Данный способ можно применять к оценке самых разных видов рисков банка, как внешних, так и внутренних. При этом частота возникновения допустимого уровня потерь для данного банка зависит от числа случаев наступления конкретного уровня потерь и общего числа случаев в статистической выборке [24, с.12].

При работе банка в безрисковой зоне потери не ожидаются, что позволяет получить хорошую прибыль. При попадании в зону допустимого риска прибыль банка превышают понесенные потери. В зоне недопустимого риска банк не получает прибыли от своей деятельности. Она направляется на покрытие возникших потерь. В зоне критического риска банк близок к банкротству. Полученной прибыли не хватает для покрытия потерь.

Статистический метод заключается в том, чтобы изучить статистику потерь и прибылей, имевших место при принятии аналогичных рений, установить величину и частоту получения той или иной экономической отдачи, а затем провести вероятностный анализ и составить прогноз будущего поведения на рынке [24, с.13].

Таким образом, управление банковскими рисками является весьма скрупулезным процессом, требующим тщательной подготовки, высокой квалификации и ответственного подхода к оценке реальных последствий наступления рисковой ситуации.


2. АНАЛИЗ БАНКОВСКИХ РИСКОВ НА ПРИМЕРЕ ОАО «БЕЛАГРОПРОМБАНК»

2 .1. Состояние рисковой ситуации в деятельности белорусских банков

Рассмотрим состояние рисковой ситуации в кредитной деятельности белорусских банков начиная со второй половины девяностых годов.

Вторая половина девяностых годов стала периодом существенных изменений, значительных структур­ных преобразований и совершенствования деятельности банков Республики Беларусь. Целесообразно дать краткую характеристику сложившейся в послед­ние годы рисковой ситуации в кредитной деятельности банков республики.

Начиная с 1996 года, обострилась проблема своевременного возврата банковских кредитов. По мере увеличения объёмов проводимых банками активных операций, роста кредитных вложений опережающими темпами увеличивалась просроченная задолженность по кредитам банков. Наиболее показательным в этом отношении следует считать 1998 год, когда темпы роста активов, кредитов и просроченной задолжен­ности составили 387 %, 420 % и 510 % соответственно [7, c. 42].

Данные о невозвращенных кредитах свидетельствуют о постоянном росте доли невозвращённых кредитов в портфелях белорусских банков. Так, если на 1.01.1996 года значение этого показателя составляло 12 %, то на 1.01.1997года уже 14 %, а на 1.01.1998 года - 18 %. Максимальный процент проблемных кредитов был зафиксирован в размере 22,1 % по состоянию на 1.01.1999 г. Данные на 1.01.2000 г. отражают снижение величины этого показателя до 17 %.

В сложившейся рисковой ситуации в кредитной деятельности банков нашей республики целесообразно выделить некоторые особенности:

- имеется значительная просроченная задолженность по кредитам банков;

- сокращается величина собственного капитала большинства банков в валютном эквиваленте;

- в объёмах невозвращённых кредитов преобладает доля валютной просрочки;

- отмечается низкая доходность кредитных операций крупных банков;

- формирование резервов на покрытие убытков по ссудам осуществляется не в полном объёме [7, c. 42].

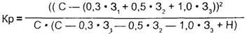
Проведенный нами анализ позволяет констатировать высокий уровень кредитного риска, сопутству­ющего деятельности белорусских банков. В связи с этим возникает проблема качественного измерения и прогнозирования кредитного риска адекватно потенциальным потерям. Эту задачу попытаемся решить, предложив формулу расчёта коэффициента кредитного риска, учитывающего степень полноты создания резервов на покрытие убытков по ссудам.

,

где Кр - коэффициент кредитного риска;

С - величина ссудной задолженности клиентов банка;

З1 32 , 33 - ссудная задолженность, отнесённая соответственно ко второй, третьей и четвёртой группам риска;

Н -сумма недоначисленного резерва на возможные потери по ссудам [7, c. 43].

Поправочные коэффициенты 0,3; 0,5; 1,0 отражают необходимую величину формирования резерва на возможные потери по ссудам в соответствии с действующим в настоящее время положением Националь­ного банка Республики Беларусь № 775 от 19.08.1996 г.

Рассмотрим задачи, стоящие перед банковской системой по преодолению сложившейся ситуации.

Первостепенной задачей, стоящей перед банковской системой респуб­лики, является направление денежных потоков в экономику и, в первую оче­редь, - в реальный сектор. Валовые кредиты банков экономике за ян­варь-июнь 2002г. увеличились на 452,3 млрд. руб. (или на 17,8%, в реальном выражении они снизились на 2%), в том числе в белорусских рублях - на 186,4 млрд. руб. (или на 14,9%) и в иностранной валюте - на 47,2 млн. USD [11, c. 31].

В 2004 г. ряд предприятий находились в сложном финансовом по­ложении, поэтому кредитные операции не всегда являлись самыми надежными и доходными.

Увлечение высокодоходными, но спекулятивными и высокорискованными операциями, как показал российский кризис, может привести к банкротству да­же самый надежный банк, а банковскую систему - к глубокому кризису. Учиты­вая это, банки должны учиться работать с реальным сектором экономики в лю­бых макроэкономических условиях, поддерживать тесную связь с производитель­ным капиталом. Это является залогом, может быть, не самого быстрого, но на­дежного роста и укрепления как предприятий реального сектора, так и банков.

- Процесс кредитования, особенно в странах с переходной экономикой, неп­рерывно связан с действием многочисленных факторов риска, способных пов­лечь за собой непогашение кредита в обусловленный договором срок. Предо­ставляя кредиты, банк должен всесторонне изучить и проанализировать те фак­торы, которые могут привести к непогашению кредитов. Такое изучение именуют анализом кредитоспособности [11, c. 32].

Существующие на сегодняш­ний день в Республике Беларусь методики определения финансово­го состояния кредитополучателя, его платежеспособности и креди­тоспособности не в полной мере отвечают сложившейся экономи­ческой ситуации. Трудно найти предприятие, которое по данным методикам «вписывалось бы» в рамки финансово устойчивого. Большинство из них находится в кризисном состоянии, и надежных кредитополучателей сегодня пра­ктически не существует. Положе­ние ряда предприятий настолько тяжело, что из-за нехватки средств на оплату суммы обязательных страховых взносов в Фонд социаль­ной защиты юридические лица не получали кредиты на заработную плату. В соответствии с Декретом Президента Республики Беларусь от 06.08.2002г. №19 «О некоторых мерах по обеспечению своевре­менной уплаты подоходного налога и обязательных страховых взносов в Фонд социальной защиты населе­ния Министерства труда и соци­альной защиты» в суммы кредитов, выдаваемых банками для выплаты заработной платы, включаются суммы обязательных страховых взносов в Фонд социальной защиты и подоходного налога, исчисленно­го из размера данной заработной платы. Однако Указом Президента Республики Беларусь от 15 июля 2002г. №376 при наличии у юриди­ческих лиц, их обособленных под­разделений и индивидуальных предпринимателей неисполненных обязательств по уплате платежей, производимых в первоочередном порядке, запрещается осущес­твление ими вне очереди платежей в счет погашения задолженности по выплате заработной платы, в т.ч. в счет погашения банковских кре­дитов, выданных для этой цели вы­ше размера бюджета прожиточно­го минимума.

Одной из ключевых проблем для банковской системы страны продолжает оставаться низкий уро­вень возвратности кредита. Рас­смотрим динамику изменения объе­ма проблемных кредитов (пролонги­рованных, просроченных и сомни­тельных) по отношению к общим кредитным вложениям.

Доля проблемных кредитов в кредитных вложениях составляет 14,4%. В ян­варе-июне 2002г. на 0,2 процен­тного пункта повысился удельный вес проблемных кредитов, про­блемная задолженность увеличи­лась на 66,7 млрд. рублей (или на 18%) и на 1 июля 2002г. состави­ла 436,9 млрд. рублей, в том чис­ле в национальной валюте - 144,9 млрд. рублей, увеличившись на 84,5%, и в иностранной валюте -162,2 млн. USD, снизившись на 12,1%. В практике ведущих стран мира считается, что проблемные кредиты не должны превышать 5% кредитного портфеля [11, c. 36].

Особенно критическое по­ложение сложилось с возвратом кредитов в иностранной валюте. Банки должны активизировать ра­боту по взысканию просроченных валютных кредитов, используя права, предоставленные им Ука­зом Президента Республики Бе­ларусь от 10 марта 2000 года №124 «О направлении предста­вителей банков в качестве наб­людателей за хозяйственной дея­тельностью юридических лиц, не обеспечивающих своевременного возврата кредитов и выполнения договоров залога. Высвобождение ресурсов, отвлеченных в проблемные кредиты, позволило бы банкам направить данные средства на кредитование эф­фективных производств. Именно эта проблема сдерживает банки в процессе кредитования.

Доля проблем­ных активов в активах, подверженных кредит­ному риску, на 1 октября 2006 г. составила, по офици­альным данным, всего 3,66% (это составляет 496,6 млрд. р.). Фактически созданный резерв по активам, подверженным кредитному риску, составил 197 млрд. р. Под кредитным риском здесь понимается риск возникновения у банка потерь (убытков) вследствие неисполнения, несвоевременного либо неполного исполне­ния должником финансовых обязательств перед банком в соответствии с условиями до­говора или законодательством. К активам, подверженным кредитному риску, относятся: кредиты, выданные юридическим и физичес­ким лицам; средства, размещенные в других банках; финансовая аренда (лизинг); операции с использованием векселей, приобретенные векселя; исполненные банковские гарантии и поручительства в денежной форме; финанси­рование под уступку денежного требования (факторинг); иные активные операции, под­верженные кредитному риску. Проблемные (субстандартные, сомнительные и безнадеж­ные активы) - это активы, подверженные кре­дитному риску, классифицированные по II-IV группам риска (субстандартные - II группа, сомнительные - III группа, безнадежные - IV группа риска). Порядок классификации акти­вов, подверженных кредитному риску, опреде­ляет Инструкция о порядке формирования и использования специального резерва на пок­рытие возможных убытков по активам банка и небанковской кредитно-финансовой организа­ции, подверженной кредитному риску, утвер­жденная постановлением Правления Нацио­нального банка Республики Беларусь от 29 сентября 2004г. №148 (с изменениями и допол­нениями).

По представленным банками данным луч­шие показатели по кредитному портфелю име­ют: Белагропромбанк, Славнефтебанк, Приорбанк, Абсолютбанк, СОМБелБанк, Белинвестбанк, Белвнешэкономбанк, Белгазпромбанк. (табл. 2.1).

Таблица 2 .1. Рейтинг белорусских банков на 01.04.07

Rating

Наименование банка

Индекс качества кредитного портфеля
01.04.07 01. 04. 06 Место Балл
1 65,46 1 Приорбанк 3 78,74
2 51,20 3 Белагропромбанк 1 93,28
3 49,13 2 Белвнешэкономбанк 7 73,30
4 46,82 4 Бслинвестбаяк 6 75,31
5 45,55 5 Белпромстройбанк 10 68,28
б 41,36 6 Беларусбанк 9 70,28
2 57,22 3 Славнефтебанк 2 83,05
3 51,41 4 Белгазпромбанк 8 71,97
4 50,72 5 СОМБелБанк 5 77,08
7 44,95 7 Абсолютбанк 4 77,10

Следует также добавить, что банковская система Республики Беларусь не может развиваться изолированно от мирового банковского сообщества. Разумное использование зарубежного опы­та всегда полезно, возможности применения на практике совре­менных форм банковского пред­принимательства, мер стимулиро­вания, регулирования и контроля во многом зависят от состояния белорусской экономики и банков­ской системы.

Как свидетельствует мировая практика, модернизация банков­ской отрасли рыночной экономики возможна лишь в результате ее формирования как системы в тече­ние длительного времени, с учетом всех сложившихся традиций, осо­бенностей и национального менталитета.

При этом чрезвычайно велико значение кредитных бюро, их существование позволяет кредитным организациям выдавать кредиты клиентам, которые ранее в этой организации не обслуживались. Кроме того, общепризнанной является ценность предыдущей кредитной истории для прогнозирования вероятности дефолта.

Кредитные бюро выступают в качестве информационных посредников, учрежденных и принадлежащих либо самим кредиторам, либо действующих независимо и получающих прибыль от своей деятельности. Кредиторы снабжают данными о своих клиентах бюро, которое сопоставляет их с информацией, полученной из других источников (суды, государственные ре­гистрационные и налоговые органы и т.д.), и формирует картотеку на каждого заемщика. Кредиторы при условии регулярности и достоверности предос­тавления информации о своих клиентах могут постоянно получать из бюро отчеты о кредитных операциях потенциальных заемщиков.

При создании кредитного бюро достигаются следующие результаты.

Во-первых, расширяется уровень сведений банков о потенциальных заемщиках и дается возможность более точного прогнозирования возвратности ссуд. Это позволяет кредиторам эффективно определять направление и цену кредита, уменьшая риск возникновения проблемы неблагоприятного выбора.

Во-вторых, уменьшается плата за поиск информации которую взимали бы банки со своих клиентов. Это ведет к выравниванию информационного поля внутри кредитного рынка и заставляет кредиторов устанавливать конкурентные цены на кредитные ресурсы. Более низкие процентные ставки увеличивают чистый доход заемщиков и стимулируют их деятельность.

В-третьих, формируется своего рода дисциплинирующий механизм для заемщиков. Каждый из них знает, что в случае невыполнения обязательств может лишиться репутации в глазах потенциальных кредиторов, в результате чего заемные средства станут для него недоступны или намного дороже. Этот механизм также повышает стимул заемщика к возвращению кредита, уменьшая риск недобросовестного поведения.

К настоящему времени сформировались два принципиальных подхода к организационно-правовой форме кредитного бюро, а именно:

1. Кредитное бюро создается либо при Национальном банке Республики Беларусь, либо при его решающем участии.

2. Кредитное бюро создается в качестве самостоятельной коммерческой или некоммерческой организации. При этом желательна поддержка Национального банка Республики Беларусь. Кроме того, не исключается ва­риант участия государства в уставном капитале этой организации.

Основные аргументы в пользу первого варианта сводятся к тому, что Национальный банк Республики Беларусь:

- располагает структурой, объединяющей подразделения центрального аппарата и территориальные учреждения, которые обеспечивают контроль за деятельностью всех без исключения кредитных организаций Республики Беларусь;

- законодательно уполномочен на получение отчетов о деятельности кредитных организаций по широкому спектру вопросов;

- имеет развитую телекоммуникационную сеть, объединяющую все регионы Республики Беларусь, позволяющую получать, обрабатывать и передавать значительные объемы информации в электронном виде, то есть обеспечивать и решать задачи по управлению базой данных;

- в Национальном банке уже имеется достаточный материал по кредитным историям различных клиентов, т.к. все банки предоставляют ему информацию о выданных кредитах, и о дальнейшей их «судьбе», осталось только сгруппировать полученную информацию и предоставить доступ соответствующим службам банков к этой информации.

Для обеспечения деятельности кредитного бюро на первом этапе достаточно использования отчетности кредитных организаций, установленной Национальным банком Республики Беларусь, что не требует внесения каких-либо изменений и дополнений в действующее законодательство. Контроль за достоверностью информации может быть обеспечен путем дистанционного надзора и проверок состояния кредитного портфеля.

В то же время имеются и определенные минусы в создании кредитного бюро при Национальным банком Республики Беларусь. Это прежде всего то, что Национальный банк Республики Беларусь выступает органом банковского надзора. В ряде случаев раскрытие информации о качестве кредитного портфеля, составе заемщиков и клиентов конкретно взятой кредитной организации может быть использовано третьей стороной в целях недобросовестной конкуренции, что вступает в противоречие с задачей Национального банка Республики Беларусь по обеспечению стабильности бан­ковской системы страны в целом.

Данные кредитного бюро помогут банкам более точно определять кредитоспособность клиента, который обращается в этот банк за кредитом впервые. Такая проблема конечно же остро не стоит в таких небольших городах как Пинск, где «все всех знают». Данные кредитных бюро более важны для филиалов банков в больших городах (Брест, Минск и т.п.), где достаточно большое количество филиалов банков и юридических лиц. Важнейший фактор успешной работы кредитного бюро — обеспечение максимальной защиты информации от несанкционированного доступа. В целях пресечения недобросовестного использования информации кредитное бюро уведомляет о поступившем запросе владельца кредитной истории. Если инфор­мация предоставляется по просьбе заемщика, то кредитное бюро устанавливает регламент ее последующего раскрытия и распространения.

2.2. Краткая экономическая характеристика ОАО «Белагропромбанк»

Открытое акционерное общество «Белагропромбанк» является одним из крупнейших универсальных кредитно-финансовых учреждений Республики Беларусь. Банк предлагает своим клиентам широкий спектр банковских услуг, объём которых постоянно растет как за счет расширения, качественного обновления и комплексного подхода к традиционно представляемым банковским продуктам, так и увеличения доли Банка на потенциально перспективных рынках банковских услуг.

Система Белагропромбанка включает 6 областных управлений, Минскую городскую дирекцию и 125 отделений во всех районах страны, 140 расчётно-кассовых центров, 62 участка инкассации, 337 пунктов, совершающих валютно-обменные операции. Банк обеспечивает обслуживание свыше 25 тысяч субъектов хозяйствования и более 600 тысяч физических лиц.

Основным направлением деятельности Белагропромбанка является обеспечение комплексного обслуживания предприятий и организаций, прежде всего входящих в агропромышленный сектор экономики, содействие деньгами и кредитом экономическому развитию своих клиентов.

По объёму уставного фонда, собственного капитала, величине активов Белагропромбанк занимает ведущие позиции среди коммерческих банков Республики Беларусь.

ОАО «Белагропромбанк» осуществляет свою деятельность на основании следующих лицензий:

Общая лицензия Национального банка Республики Беларусь №20 от 1апреля 2002 года на осуществление банковских операций в белорусских рублях;

Генеральная лицензия Национального банка Республики Беларусь №9 от 1 апреля 2002 года на осуществление банковских операций в иностранной валюте;

Лицензия Национального банка Республики Беларусь №20 от 11 мая 2001 года на привлечение во вклады средств физических лиц в белорусских рублях и иностранной валюте;

Специальное разрешение (лицензия) № 04120/0058704 от 18 июля 2002 года на право осуществления профессиональной и биржевой деятельности, выданная комитетом по ценным бумагам при Совете Министров Республики Беларусь.

По итогам работы за 2006 г. банком получена прибыль в размере 52 млрд. руб., что в 3,4 раза превышает финансовый результат за аналогичный период прошлого года. Рентабельность деятельности банка составила 13,3% - рост по сравнению с соответствующим периодом 2005 года в 2,6 раза. Рентабельность активов - 1,26% при 0,6% на 1.10.2005г.

За 2006 г. ресурсная база банка выросла на 1,7 трлн. руб. или на 52% и достигла 5,1 трлн. руб. При этом необходимо отметить рост ее валютной составляющей на 460 млрд. руб. или в 3,3 раза, который во многом определялся активной работой банка с международными кредитно-финансовыми организациями. За 9 месяцев т.г. банком привлечено кредитов инобанков на сумму 188,7 млн. долларов, в том числе несвязанных в виде синдицированного кредита в объеме 30 млн. евро.

Предложение физическим лицам ряда новых продуктов, в числе которых системы вкладов «Линия роста», дисконтных облигаций на предъявителя, расширение спектра услуг и инфраструктуры обслуживания держателей карточек «Белкарт» позволило увеличить объем аккумулированных банком средств физических лиц до 783 млрд. руб. или в 1,3 раза. В результате системной работы с ресурсоемкими отечественными предприятиями и бюджетными организациями, располагающими временно свободными денежными средствами, банк дополнительно привлек 312 млрд. руб. ресурсов и увеличил данную составляющую ресурсной базы в 1,6 раз.

Рост привлеченных средств клиентов, а также увеличение заимствований на внешнем рынке позволили обеспечить необходимую кредитную поддержку обслуживаемым субъектам хозяйствования, в результате чего объем валовых кредитов, предоставленных банком, вырос на 59% и превысил 4 трлн. руб. При этом доля проблемной задолженности в кредитном портфеле банка составила 1,5%.

Результаты проведенных аудиторских процедур показали, что проводимые банком операции в течение 2006 года осуществлялись в соответствии с Уставом, лицензиями, выданными Национальным банком Республики Беларусь, а также законодательством, регулирующим банковскую деятельность.

2.3. Система управления банковским кредитным риском на ОАО «Белагропромбанк»

Основной локальный нормативный правовой акт, определяющий принципы по­строения системы внутреннего контроля, - Положение по организации системы внутрен­него контроля в ОАО «Белагропромбанк», утвержденное Правлением банка 13.01.05 г. (протокол № 2); новый вариант - 22.09.05 г. (протокол № 50).

Положением определен перечень рисков, контролируемых банком, основные ме­тоды управления ими, структурные подразделения центрального аппарата, осуществ­ляющие контроль за рисками, перечень локальных нормативных правовых актов по во­просам, связанным с осуществлением внутреннего контроля.

Наиболее значимыми для банка видами рисков являются: кредитный риск, риск ликвидности, рыночный (процентный, фондовый, валютный, товарный) и операционный.

Управление рисками в ОАО «Белагропромбанк» организуется органами управления Банка в соответствии с их полномочиями, определенными Уставом ОАО «Белагропромбанк».

Кредитный и Финансовый комитеты Банка осуществляют управление рисками в пределах полномочий, наделяемых Правлением Банка.

Департаменты (самостоятельные управления) центрального аппарата Банка - кредитный, международных проектов, кредитования населения, ценных бумаг, финансово-экономический, международных и межбанковских расчетов, валютного контроля и регулирования, вкладных и расчетных операций, внутреннего аудита, ревизий, расчетный центр пластиковых карт, организационно-методологический департамент, Казначейство, информационных технологий, юридический, управление по работе с юридическими лицами по направлениям деятельности:

участвуют в разработке общей стратегии управления рисками;

проводят оценку рисков банковских операций;

совершенствуют методы и механизмы управления рисками;

участвуют в разработке автоматизированных форм, улучшающих процессы управления рисками, позволяющих сделать экспертную оценку риска до совершения той или иной банковской операции;

обеспечивают хеджирование рисков с помощью производных финансовых инструментов;

готовят в соответствии со стратегией управления рисками локальные нормативные правовые акты и другие документы;

готовят информацию по вопросам управления рисками для рассмотрении на заседаниях Правления, Кредитного, Финансового комитетов Банка;

информируют руководство о происходящих изменениях на курируемом сегменте банковского рынка и связанного с этим повышением риска для Банка;

проводят мониторинг, оценку и контроль управления рисками;

принимают участие в разработке кредитной, процентной и других политик Банка;

обеспечивают своевременное создание специального резерва на покрытие возможных убытков по активам подверженным кредитному риску;

обеспечивают использование единых алгоритмов расчета показателей деятельности банка;

информирование заинтересованных служб банка о готовящихся проектах нормативных правовых актов, касающихся банковской деятельности;

обеспечивают надлежащее исполнение банком принятых на себя обязательств;

организуют работу по осуществлению внутреннего контроля, обеспечивающего недопущение вовлечения банка в финансовые операции, имеющие незаконный характер;

организуют защиту банка от противоправных действий, дестабилизирующих экономическую, финансовую, коммерческую деятельность учреждений банка;

обеспечивают выполнение рекомендаций, представленных в ходе аудиторских и других проверок в части минимизации рисков, связанных с банковскими операциями.

На уровне учреждений Банка в организационную структуру управления рисками включаются руководство управлений (филиалов), Советы управлений, Кредитные комитеты управлений (филиалов) и службы в соответствии с их задачами и функциями. Филиалы – областные (Минское) управления организуют мониторинг, оценку и контроль рисков по филиалам с обеспечением механизма обратной связи.

К подверженным кредитному риску активам банка относятся:

все виды кредитов юридическим и физическим лицам, включая межбанковские кредиты и депозиты;

средства до востребования в банках и остатки на корреспондентских счетах;

финансовая аренда (лизинг);

операции по предоставлению векселя в заем, акцептам и авалям векселей, предоставлению отсрочки оплаты при выдаче векселя банка (далее – операции с использованием векселей), учет векселей;

исполненные банковские гарантии и поручительства в денежной форме;

финансирование под уступку денежного требования (факторинг);

Факторы, повышающие кредитный риск:

недостаточное или низколиквидное обеспечение активов, подверженных кредитному риску;

значительный размер активов, подверженных кредитному риску, предоставленных клиентам, функционирующим в одной отрасли (промышленность, сельское хозяйство, строительство, торговля и общественное питание, транспорт, связь и т.д.);

значительный размер активов, подверженных кредитному риску, предоставленных взаимосвязанным клиентам (юридическим и физическим лицам - клиентам, связанным между собой экономически и (или) юридически, а именно, имеющим общую собственность, взаимные гарантии и (или) обязательства, основные, дочерние и зависимые общества; а также имеющим совмещение одним физическим лицом руководящих должностей таким образом, что финансовые трудности одного из клиентов обусловливают или делают вероятным возникновение финансовых трудностей для другого (других) клиента (клиентов));

несоблюдение действующего законодательства, нормативных правовых актов при выдаче и сопровождении активов, подверженных кредитному риску.

При оценке кредитного риска анализируется динамика роста объема активных операций Банка, подверженных кредитному риску, проводится качественный анализ по составу активов, подверженных кредитному риску, по группам риска, формам собственности и видам деятельности клиентов, анализ их финансового состояния, соблюдения учреждениями и центральным аппаратом Банка нормативных актов в области кредитования, осуществления лизинговых, факторинговых операций, операций с векселями.

При отсутствии оптимальной величины показателя за минимально (максимально) допустимое значение принимается показатель на начало года.

Основные принципы построения системы управления рисками банковской деятельности в ОАО "Белагропромбанк" следующие:

- коллегиальность принятия решений при проведении операций по привлечению и размещению ресурсов;

- четкая регламентация полномочий органов управления, в компетенции которых будут находиться вопросы управления рисками;

- принятие решений по операциям с наиболее высокой степенью риска на уровне центрального аппарата;

- делегирование кредитным комитетам филиалов и отделений банка прав по осуществлению рисковых операций в пределах, гарантированно защищающих банк от возможности превышения допустимых рисков и несоблюдения экономических нормативов безопасного ведения банковского дела;

- проведение централизованной лимитной политики по основным видам рисковых операций;

- детальное регламентирование внутренними нормативно-правовыми документами банка порядка проведения операций, связанных с возможностью возникновения риска.

К основным действиям Банка по управлению кредитным риском относятся:

принятие решения о размещении ресурсов в активы, подверженные кредитному риску, коллегиальным органом – Кредитным комитетом банка, учреждения;

диверсификация портфеля активов, подверженных кредитному риску, и инвестиций Банка, использование производных финансовых инструментов;

предварительный анализ финансового состояния клиента;

предоставление клиентом достаточного и ликвидного обеспечения обязательств;

установление размеров процентных ставок по выдаваемым активам, подверженным кредитному риску, и соответствующий мониторинг;

установление лимитов по активным операциям, подверженным кредитному риску;

создание специального резерва на возможные потери по сомнительным долгам;

принятие решения о направлении представителей Банка в качестве наблюдателей за хозяйственной деятельностью юридических лиц, не обеспечивающих своевременного возврата кредитов ;

соблюдение экономических нормативов, установленных Национальным банком Республики Беларусь;

контроль за структурой кредитного портфеля и его качественным составом;

анализ и регулирование деятельности клиентов в процессе кредитования;

оперативная корректировка действий банка, своевременное задействование и объединение усилий соответствующих служб банка.

Департаменты (самостоятельные управления) (кредитный, международных проектов, кредитования населения, валютного контроля и регулирования, международных и межбанковских расчетов, Казначейство, управление по работе с юридическими лицами в соответствии с функциональными обязанностями и установленными полномочиями:

готовят необходимую информацию на заседания Кредитного, Финансового комитетов Банка для принятия решения о предоставлении кредита, банковских гарантий и поручительств, заключении договора финансовой аренды (лизинга), факторинга, осуществлении операций с использованием векселей;

проводят предварительную оценку пакета документов, сформированных в установленном порядке и представленных центральному аппарату филиалами – областными (Минским) управлениями, при необходимости кредитования, выдачи банковских гарантий и поручительств, учета векселей, предоставления вексельного займа, продажи векселей с отсрочкой оплаты, осуществления факторинговых операций, финансовой аренды (лизинга) в соответствии с их полномочиями;

осуществляют совместно с юридическим департаментом и департаментом безопасности анализ финансового состояния и кредитоспособности клиента, его деловой репутации и правоспособности;

совместно с департаментом строительства и маркетинга недвижимости, департаментом безопасности осуществляют сопровождение заключенных кредитных договоров, договоров о залоге;

совместно с юридическим департаментом и службой безопасности принимают меры по своевременному возврату кредитов, взысканию проблемных долгов;

осуществляют управленческий и финансовый контроль за выполнением комплекса мер по снижению кредитного риска, вносят предложения по совершенствованию кредитного процесса в учреждениях банка;

готовят локальные нормативные правовые акты, определяющие порядок выдачи, сопровождения, погашения банковских кредитов, банковских гарантий, поручительств, осуществлении лизинговых и факторинговых операций, операций с векселями, таможенных гарантий, а также устанавливающие полномочия учреждений Банка по активным операциям, подверженным кредитному риску;

разрабатывают рекомендации по работе с проблемными к взысканию активами банка;

осуществляют контроль за работой учреждений Банка по управлению кредитным риском;

курируют другие вопросы, связанные с осуществлением активных операций, подверженных кредитному риску;

выявляют на ранних стадиях проблемные ситуации по кредитным операциям;

своевременно относят активные операции к соответствующей группе риска и создают резерв в необходимом объеме;

осуществляют контроль за реализацией предоставленных банку гарантий по возврату кредитов.

Одним из основных инструментов управления кредитным риском является установление лимитов. Максимальный размер риска на одного клиента или группу взаимосвязанных клиентов, на инсайдеров банка, максимальный размер крупных кредитных рисков, предельный размер межбанковского кредита устанавливаются Национальным банком Республики Беларусь. Лимиты на проведение операций, подверженных кредитному риску, для филиалов – областных (Минского) управлений устанавливаются Правлением Банка.

Кредитные комитеты филиалов – областных (Минского) управлений в пределах полномочий принимают решения об установлении и последующем пересмотре аналогичных лимитов для подведомственных филиалов;

Учреждения Банка проводят операции, подверженные кредитному риску в соответствии с предоставленными полномочиями;

Казначейство обеспечивает соблюдение нормативов, установленных Национальным банком Республики Беларусь по операциям межбанковского кредитования, и осуществляет сопровождение этих операций по межбанковскому кредитованию;

Финансово-экономический департамент ежемесячно проводит анализ кредитного риска в целом по активам, подверженным кредитному риску, и при необходимости подготавливает Финансовому комитету предложения с учетом оптимального значения рисков по его снижению и оптимизации структурными подразделениями центрального аппарата;

Финансово-экономический департамент при разработке Основных направлений развития Банка и расчете бюджета определяет величину доходных активов, достаточную для покрытия всех издержек Банка и образования в необходимом объеме резерва по сомнительным долгам.

Целью же управления операционным риском является поддержание принимаемого на себя Банком риска на уровне, определенном Банком в соответствии с собственными стратегическими задачами. Приоритетным является обеспечение максимальной сохранности активов и капитала на основе уменьшения (исключения) возможных убытков. Управление операционным риском осуществляется также в целях:

- выявления, измерения и определения приемлемого уровня операционного риска;

- постоянного наблюдения за операционным риском;

- принятия мер по поддержанию операционного риска на уровне не угрожающем финансовой устойчивости Банка и интересам его кредиторов и вкладчиков;

- соблюдения всеми работниками Банка актов законодательства и локальных нормативных правовых актов (положений, инструкций правил и регламентов, и др.).

Риск-менеджеры обязаны выполнять следующие действия:

1. проводить анализ финансового состояния клиентов (с использованием инструмента «Финансовый анализ», в том числе участвовать в оформлении заявки на установление лимита в соответствии с Порядком проведения финансового анализа юридических лиц;
2. производить расчет (определение) рейтинга клиента и рейтинга обеспечения (с использованием каталога обеспечения займов), общего рейтинга клиента;
3. участвовать в проверке предмета залога на стадии оформления кредитной заявки и производить оценку залога в соответствии с каталогом обеспечения для присвоения залогового рейтинга;

4. проверять подготовленную менеджером заявку на предмет:

соответствия оформления заявки с приложениями к ней установленным требованиям;

установления сроков проведения review;

оценки риска предлагаемой кредитной операции;

5. подготавливать рекомендации, условия одобрения либо заключение с указанием причин отказа по заявке, а также рекомендации по снижению, повышению рейтингов клиента, подписывать заявку;
6. 6. проверять кредитную документацию (кредитные договоры, договоры залога, иные договоры) на предмет: наличия и соблюдения в ней условий, утвержденных в заявках, либо установленных уполномоченными органами; соответствие утвержденным типовым формам как на стадии их заключения, так и в процессе сопровождения кредитной операции, и визировать их;

7. осуществлять контроль за администрированием кредитов после заключения договоров (путем визирования документов, включая платежные инструкции, распоряжения, согласования и т.д.) на предмет:

соответствия проводимых операций утвержденной структуре сделки;

соответствия расчетных и иных документов условиям кредитных и иных договоров, условиям заявки на утверждение лимита;

установления сроков исполнения обязательств;

своевременности и полноты оформления залоговых и других обязательств;

соблюдения других условий, вытекающих из требований заявки;

8. хранить заявки на установление лимита c приложением решения уполномоченного органа, вести базу данных по учету заявок на установление лимитов;
9. контролировать выполнение графика пересмотра лимитов (review);
10. проверять правильность заполнения в базе «Кредитная подсистема» всех данных, касаемых рисков (NASE Code, рейтинги, лимиты, даты пересмотра лимитов, залоги и др.);
11. нести ответственность и осуществлять контроль за соблюдением установленных лимитов.

Для максимально полного использования возможностей системы процедур и инструментов группы по управлению кредитным риском, банк проводит масштабную перестройку своей организационной структуры.


3. Основные пути минимизации банковских рисков

3.1. Хеджирование

Хеджирование – это метод, основанный на страховании ценовых потерь на физическом рынке по отношению к фьючерсному или опционному рынку. При этом для рынка биржевых опционов физическим может быть как реальный рынок (валютный, фондовый), так и фьючерсный.

Механизм хеджирования состоит в том, что участник рынка занимает в каждый момент времени прямо противоположные позиции на фьючерсном и физическом рынке, на опционном и реальном рынке, на опционном и фьючерсном рынке. Как правило, направление движения цен на один и тот же актив на этих парах рынков совпадает. Иначе говоря, если торговец является покупателем на одном рынке, то он должен занимать позицию продавца на другом рынке, и наоборот. Поскольку, по условиям, цена и там и там движется в данном направлении, хотя и не обязательно с одинаковой скоростью, поскольку движение этих средств для хеджера будет взаимопогашающимся полностью или частично, так как на одном рынке он – покупатель, а на другом – продавец [22, C.8].

Хеджирование на фьючерсном и физическом рынке. Одним из наиболее успешных и наиболее противоречивых нововведений на мировых финансовых рынках в последние 10лет стало начало торговли финансовыми фьючерсными контрактами, в основе которых лежат финансовые инструменты с фиксированной процентной ставкой и валютные курсы.

Финансовый фьючерс – это соглашение о покупке или продаже того или иного финансового инструмента по заранее согласованной цене в определенное время в будущем.

У рынка финансовых фьючерсов есть ряд характеристик, отличающих его от других сегментов финансового рынка:

· финансовые фьючерсы торгуются только централизовано на биржах с соблюдением определенных правил, посредствам открытого предложения цен голосом,

· контракты сильно стандартизированы, торговля осуществляется на строго определенные инструменты с поставкой в строго определенное время,

· поставка финансовых инструментов осуществляется через расчетную палату, которая гарантирует выполнение обязательств по контракту всеми сторонами,

· реальной поставки финансовых инструментов по финансовым фьючерсам, как правило, не происходит,

· если ликвидность того или иного фьючерса мала, то фьючерс перестает существовать,

· расходы на осуществление торговли фьючерсами относительно невелики [29, c.244].

Рынок фьючерсных контрактов служит для двух основных целей: во-первых, он позволяет участникам рынка страховать себя от неблагоприятных изменений цен на рынке с немедленной поставкой в будущем (операции хеджеров), во-вторых, он позволяет спекулянтам открывать позиции на большие сумы под незначительное обеспечение. Чем сильнее колеблются цены на финансовый инструмент, лежащий в основе фьючерсного контракта, тем больше объем спроса на эти фьючерсы со стороны хеджеров. Таким образом, можно сказать, что развитие рынков фьючерсных контрактов было обусловлено сильными колебаниями цен на те или иные финансовые инструменты на рынке.

Можно выделить два основных вида пользователей рынка финансовых фьючерсов, иначе говоря, его участников: хеджеры и спекулянты.

Цель хеджеров – снижение неблагоприятного изменения уровня процентных ставок или валютных курсов посредством открытия позиции в сторону, противоположную имеющейся позиции на ранке операций с немедленной поставкой. Процесс хеджирования и стратегии по управлению рисками с помощью данного метода будут подробнее изложены ниже.

Цель спекулирования – получение прибыли путем открытия позиций в том или ином фьючерсном контракте в ожидании благоприятного для спекулянта изменения цен этого контракта в будущем. Как правило, спекулянты не имеют своей целью приобретение или продажу лежащего в основе фьючерсного контракта финансового инструмента, их интересует лишь изменение цен на фьючерсы и ликвидация открытой позиции до того как истечет срок действия фьючерсного контракта [29, c.245].

Как правило, спекуляции на фьючерсном рынке делят на три типа:

· арбитраж : получение прибыли при практически нулевом риске за счет временного нарушения равновесия цен между рынком операций с немедленной поставкой и рынком фьючерсов,

· торговля спрэдами : получение прибыли за счет изменения разницы цен между различными фьючерсными контрактами,

· открытие позиций : покупка или продажа фьючерсных контрактов с целью получения прибыли от абсолютного изменения уровня процентных ставок или валютных курсов [2, c.68].

И хеджеры, и спекулянты абсолютно необходимы для эффективного функционирования рынка фьючерсных контрактов. Спекулянты своими операциями обеспечивают ликвидность рынка, позволяя хеджерам осуществлять страхование своих операций без каких-либо сложностей.

Итак, хеджирование от снижения цены осуществляется продажей фьючерсного контракта с последующей его покупкой по более низкой цене. Хеджирование от повышения цены производится покупкой фьючерсного контракта с последующей его продажей по более высокой цене.

Хеджирование на опционном и физическом рынках. Хеджирование с помощью опционов основывается на том факты, что покупатель опциона (все равно кола или пута) рискует только уплаченной премией. Его максимальный риск – величина премии. Хеджер может быть и продавцом опциона. В этом случае его максимальный доход от опциона – всегда опционная премия, которая и несет на себе всю тяжесть хеджирования для продавца опциона. В этом смысле покупатель опциона потенциально имеет большие количественные возможности для хеджирования. Так как его прибыль от реализации опциона может быть неограничена, а значит, и пределы для хеджирования шире. Однако нельзя купить опцион, если его кто-то не продает, а потому, в конечном счете имеется какой-то баланс интересов хеджеров и спекулянтов. Опционное хеджирование в определенном смысле является конкурентом хеджирования с помощью фьючерсных контрактов:

· число опционных стратегий торговли намного больше, чем у фьючерсных контрактов. Фьючерсный контракт можно либо купить, либо продать. Опционных же контрактов существует два типа: колл и пут, и при этом каждый из них можно либо купить, либо продать.

· покупка опциона дает возможность заранее ограничить свой возможный риск, так как размер прибыли опциона всегда известен. Другие способы ограничения риска состоят из более сложных комбинаций опционов с различными характеристиками [2, c.69].

Таким образом, хеджирование является одним из наиболее эффективных методов снижения банковских рисков в современных условиях развития рыночных отношений.

3.2. Аналитический метод

Различают два подхода аналитического анализа финансового рынка:

· фундаментальный (основан на представлении, что движение курса финансовых инструментов является отражением состояния экономики в целом),

· технический (в значительной степени опирается на использование психологических индикаторов (sentimentindicators) и на анализ движения денежных средств (flowoffundsanalysis)) [2, c.31].

Фундаментальный анализ основывается на оценке эмитента: его доходов, положения на рынке, активов и пассивов, норме прибыли на собственный капитал и других показателях, характеризующих эффективность деятельности эмитента. К инструментарию фундаментального анализа относится метод коэффициентов, который имеет дело только с количественными данными. Поэтому использование только коэффициентов может привести к получению недостоверной информации. Наиболее часто применяются следующие коэффициенты:

коэффициент р/е – natio (отношение курсовой стоимости акции к величине чистой прибыли в расчете на одну обыкновенную акцию), коэффициент d /р – ratio (отношение дивиденда по обыкновенной акции к ее курсовой стоимости), бета-коэффициент (определяет влияние общей ситуации на рынке в целом на судьбу конкретной ценной бумаги, его принять считать мерой риска инвестиций в данные ценные бумаги),R -квадрат ( R - squared ) (характеризует долю риска вклада в данную ценную бумагу, вносимую неопределенностью риска в целом).

Технический анализ – это исследование динамики рынка, чаще всего с помощью графиков, с целью прогнозирования будущего направления движения цен. Технический анализ и исследование динамики рынка теснейшим образом связаны с изучением человеческой психологии. Одной из сильных сторон технического анализа является то, что его можно использовать практически для любого средства торговли и в любом временном интервале [2, c.32].

Психологические индикаторы отражают поведение различных групп участников рынка: трейдеров-одиночек, взаимных фондов, профессионалов, работающих непосредственно в торговом зале биржи. Огромное значение придается тем психологическим индикаторам, которые показывают общее настроение рынка.

Технический анализ финансового рынка представляет собой комбинацию многих различных подходов. Каждый из технических методов добавляет свой оттенок в картину рынка, предстающую перед аналитиком. Главное, таким образом, уметь выбрать те инструменты технического анализа, которые более всего подходят для данного этапа в развитии рынка.

Основными инструментами технического анализа являются:

Построение графиков : чаще всего аналитики используют столбиковые, линейные и пункто-цифровые графики.

Определение тенденции : о характере тенденции говорит направление динамики спадов и пиков. У любого трейдера, играющего на финансовом рынке, всегда есть три варианта действия: покупать (занять длинную позицию – если рынок идет вверх), продавать (занять короткую позицию - вниз) или вообще ничего не предпринимать (если рынок плоский).

Поддержка и сопротивление : уровни предыдущих спадов называются «поддержками», т.е. это уровень или область на графике ниже рынка, где стремление купить достаточно сильное, следовательно, падение приостанавливается и цены вновь растут. Сопротивление является прямой противоположностью поддержки. Трейдеры обычно видят в круглых числах некие ценовые ориентиры и в соответствии с этим взглядом предпринимают какие-то шаги. Таким образом, круглые числа становятся своеобразным «психологическим» уровнем сопротивления или поддержки [21, c.42].

Построение линии тренда представляет собой один из самых простых технических инструментов и, пока в тенденции нет перелома, может служить характеристикой направленности ее движения.

Используя основные инструменты технического анализа аналитик может строить различные ценовые модели, с помощью которых составляется прогноз динамики рынка и оптимизируется система управления рисками.

Современная теория управления финансовыми рисками неразрывно связана с портфельным подходом. Сегодня в западной экономике наблюдается высокая активность в сфере торговли индексными опционами.

Традиционный анализ финансовых рисков является преимущественно анализом отдельных финансовых инструментов: рассчитывают «внутреннюю ценность», выясняют соотношение курс/прибыль, определяют направление курса, пытаются уловить тенденции. Решающим критерием при этом является первоначально ожидаемая доходность.

Точная научная формулировка идеи диверсификации риска путем составления инвестиционного портфеля финансовых институтов предложена Гарри Марковитцем, получившем за это достижение в 1990г. Нобелевскую премию. Его сочинение «PortfolioSelection» 1952 года, вызвавшее многолетнюю интенсивную научную дискуссию было обобщено и уточнено, и составляет фундаментальную основу для развития современной теории капитала в теории экономического развития.

Для упрощения модель Марковитца полагает, что доходы по альтернативам инвестирования распределены нормально. По модели Марковитца определяются показатели, характеризующие объем инвестиций и риск, что позволяет сравнивать между собой различные альтернативы вложения капитала с точки зрения поставленных целей и тем самым создать масштаб для оценки различных комбинаций [17, c.363].

В качестве масштаба ожидаемого дохода из ряда возможных доходов на практике используют наиболее вероятностное значение, которое в случае нормального распределения совпадает с математическим ожиданием.

Для измерения риска служат показатели рассеивания, поэтому, чем больше разброс величин возможных доходов, тем больше опасность, что ожидаемый доход не будет получен. Таким образом, риск выражается отклонением значений доходов от наиболее вероятного значения.

В модели Марковитца для измерения риска вместо среднеквадратичного отклонения используется дисперсия, так как этот показатель имеет преимущества по технике расчетов.

Для дисперсии эта сумма применима с определенными ограничениями. Так как изменение курса на рынке происходит не изолированно, а охватывает весь рынок в целом. Поэтому дисперсия зависит не только от степени рассеивания отдельных инструментов, но и от степени корреляции между изменениями курсов отдельных из них. При сильной корреляции между отдельными курсами риск за счет диверсификации портфеля нельзя ни уменьшить, ни увеличить. Если же курсы абсолютно не коррелируют, то риск можно было бы исключить полностью, но при этом портфель содержит бесконечное число акций. Что на практике невозможно [17, c.364].

Из-за высоких входных требований модель Марковитца нашла применение на практике лишь в единичных случаях при управлении очень большими портфелями. Ученик Марковитца, Уильям Шарп предложил, поэтому, важное упрощение, которое хотя и является несколько менее точным, однако довольствуется менее четкими входными данными.

Исходным пунктом индексной модели Шарпа было соображение о том, что колебание доходности финансовых инструментов (или портфеля) может быть разложено на две составляющие. Большая часть этого колебания зависит от общего движения рынка (изменения рыночной доходности) и является результатом народнохозяйственного, политического, конъюнктурного и прочего развития. Этот риск, исходящий от влияющих факторов, был им обозначен как систематический риск. Количественным выражением этой составляющей риска является так называемый бета-фактор. Другая часть колебаний вызвана типичным для современного способа производства: качеством управления, набором инструментов, технологиями и т.д. Эта составляющая риска обозначается как несистематический риск, а ее количественное выражение есть так называемый альфа-фактор [17, c.365].

Поскольку рыночная доходность в общем неизвестна, вместо него выходят на широко покрывающий текущее состояние рынка индекс. Широкое применение индексной модели на практике объяснено тем, что оба фактора данного финансового инструмента оцениваются за определенный период времени в прошлом и становятся инструментом прогнозирования, причем недостаточное количество прогнозирования выявленных альфа-факторов приносит с собой определенные трудности.

Иначе с надежностью бета-фактора: он интерпретируется как степень чувствительности, которая показывает, на сколько доходность рассматриваемого финансового инструмента при заданных или ожидаемых изменениях изменит ожидаемое соответствующее значение индекса доходности. Бета-фактор играет в современном анализе центральную роль, он позволяет прямо оценить систематический риск, присущий финансовому инструменту [17, c.365].

Принимая во внимание затраты на информацию, а также поиск данных, вызванный применением индексной модели, интересно узнать, какой эффект снижения риска получатся при простом, более или менее случайном построении портфеля. Очевидно то, что по идее индексной модели несистематический риск может быть полностью устранен, если участник рынка держит портфель, если все инструменты портфеля находятся в той пропорции, что и в индексе.

Однако портфели такого рода реализуются лишь при очень большом объеме. Как высока в малом портфеле доля систематического или несистематического риска фактически, зависит от текущего состояния рынка с одной стороны, и числа содержащихся финансовых инструментов с другой. Чем больше инструментов произвольно включено, тем меньше систематический риск. Правда становится очевидным то, что вклад дополнительного финансового инструмента в снижение риска портфеля с увеличением объема портфеля сильно уменьшается.

В целом любые модели инвестиционного портфеля являются открытыми системами и соответственно могут дополняться и корректироваться при изменениях условий на финансовом рынке. Получение математической оценки состояния портфеля на различных этапах инвестирования при учете влияния различных факторов делает возможным непрерывно управлять структурой портфеля на каждом этапе принятия решения, т.е. по сути, управлять рисками [17, c.367].

В современной экономической литературе вопросам подбора и использования инструментов анализа текущей конъюнктуры финансового рынка уделено большое внимание, однако, индивидуальность потребностей каждого инвестора диктует индивидуальный же подход при решении данной проблемы. Ставя перед собой задачу разработки системы инструментов, позволяющих принимать быстрые решения при краткосрочном размещении временно свободных денежных средств коммерческого банка на российском рынке акций, делаю акцент на оценке общего состояния рынка, выборе компании - эмитента, и выборе времени осуществления операции. Проблема формирования портфеля из-за своей обширности выходит из области моего исследования.

3.3. Некоторые пути минимизации банковских рисков

По своей сути банк — это коммерческое предприятие. Основным принципом взаимоотношений "банк — клиент" является принцип по­лучения прибыли банком при меньших затратах и принцип минимиза­ции всех видов риска. Банк на самом деле может рисковать (и он ри­скует ежедневно в процессе своей деятельности) своим собственным капиталом, но не капиталом клиента, его прибылью. С целью минимизации риска банк должен:

* диверсифицировать портфель своих клиентов, что ведет к дивер­сификации всех видов риска, т.е. его рассредоточению;

* стараться предоставлять кредиты в виде более мелких сумм боль­шему количеству клиентов;

* предоставлять большие суммы клиентам на консорциональной основе и пр.

Банку необходимо подбирать портфель своих клиентов таким образом, чтобы самому иметь оптимальное соотношение между активными и пассив­ными операциями, сохранять уровень своей ликвидности и рента­бельности на необходимом для бесперебойной деятельности уровне.

Для этой цели необходимо проводить регулярный анализ уровня всех видов рисков, определять их оптимальное значе­ние для каждого конкретного момента и использовать весь набор способов управления ими [4, c.180].

Основным методом снижения риска кредитования, к примеру, является ана­лиз кредито- и платежеспособности заемщиков. Анализ кредитоспо­собности заемщика начинается с изучения следующих сторон его де­ятельности :

2. Анализ фактора С1. В социальной концепции маркетинга этим фактором обозначают возможность предприятия-производителя своими товарами удовлетворять интересы потребителей. Иньтми словами, производители существуют тогда и только тогда, когда их товар необходим потребителям. С помощью различных мето­дов факторного (в том числе регрессионного) анализа определя­ют :

· соответствие между спросом и предложением ;

· умение производителя заинтересовать определенные социальные группы потенциальных и/или реальных потребителей ;

· оптимальный выбор рыночного сегмента (окно, нишу) и пр.

3. Анализ фактора С2. что выражает удовлетворение интересов са­мого производителя, т.е. его способность получать прибыль и распоряжаться ею. Этот анализ производится по следующим на­правлениям :

· уровень издержек производителя ;

· « солидность » производителя, т.е. своевременность расчетов по ранее полученным кредитам, его капитальная база как заемщика ;

· его репутация (рейтинг), его желание и решимость удовлетворить свои обязательства ;

· возможность осуществления залогового права со стороны обслу­живающих его банков и банковских учреждений.

Банку всегда необходимо контролировать качество залога, уро­вень его ликвидности, соотношение его рыночной стоимости с раз­мером кредита.

3. Экономико-статистический анализ уровня кредитоспособности и платежеспособности клиентов по выбранной методике [4, c.183].

И, наконец, можно отметить еще несколько способов управления уровнем риска деятельности банков и банковских учреждений. К ним можно отнести:

· предварительную оценку возможных потерь с помощью прогноз­ных методов анализа имеющейся статической и динамической достоверной информации о деятельности самих банков, их кли­ентов/ контрагентов, их поставщиков и посредников, конкурен­тов различных групп контактных аудиторий. Для этой цели ком­мерческим банкам необходимо создать отделы, занимающиеся анализом уровня рисков и вырабатывающие меры по управлению ими в системе маркетинга. Раз в год (полугодие, квартал) при установлении отношений между банком и новым заемщиком и/или при активной динамике макроэкономики необходимо проводить развернутый ана­лиз кредитоспособности.

Гораздо чаще необходимо осуществлять так называемый экс­пресс-анализ, с помощью которого банку становится известно теку­щее финансовое состояние клиента [4, c.184].

Для проведения анализа кредито- и платежеспособности заемщи­ка банку необходима следующая информация:

а) годовая, квартальная, месячная финансовая отчетность;

б) детальная структура запасов товарно-материальных ценностей, дебиторской и кредиторской задолженности, по крайней мере за последние 18 месяцев;

в) бизнес-план предприятия;

г) планы маркетинга, производства и управления;

д) анализ отрасли, к которой относится заемщик;

е) прогноз денежных потоков заемщика с его клиентами и контр­агентами на период погашения займа;

· динамику процентных ставок, которые при увеличении степени риска увеличиваются, и наоборот, т.е. ставки по свободно обра­щающимся инструментам ниже ставок по инструментам с огра­ниченной обратимостью; ставки по пассивным операциям и опе­рациям на межбанковском рынке обычно ниже ставок по актив­ным операциям и кредитным операциям с клиентурой; чем ста­бильнее заемщик, тем ниже процентные ставки; долгосрочные меняются более плавно (с учетом временного сглаживания), чем краткосрочные; ставки по кредитам с обеспечением и кратко­срочным операциям ниже, чем ставки без обеспечения и по крат­косрочным операциям;

· страхование кредита как гарантию на случай неблагоприятных обстоятельств;

· хеджирование (страхование риска);

· отказ от предложений заемщика при слишком большом риске;

· расчет условий кредита, применяемый в основном в случаях не­больших займов и личного кредитования;

· диверсификацию риска, представляющую собой его рассредото­чение.

Она может проявляться в различных видах [4, c.185]:

а) предоставление кредитов более мелкими суммами большему ко­личеству клиентов при сохранении общего объема кредитования;

б) предоставление кредитов на консорциональной основе, когда для выдачи большой суммы кредита объединяются несколько банков, образуя консорциум;

в) привлечение депозитных вкладов, ценных бумаг более мелкими суммами от большего числа вкладчиков;

г) получение достаточного обеспечения по выданным кредитам. Важными условиями реализации последнего требования являют­ся наличие залогового права; умение правильно анализировать и оценивать платежеспособность заемщиков; правильная ориента­ция по оперативному взысканию долга; применение системы нор­мативов по активным и пассивным операциям. Они устанавлива­ются центральным банком и обязательны для выполнения.

Регулирование банковского риска базируется не на оценке фи­нансового положения заемщика, а на установлении определенного соотношения между суммами выданных кредитов и собственных средств самого банка, т. е. предполагается создание резервного по­тенциала у банков для покрытия возможных убытков в случае разоре­ния клиентов.

Количественные характеристики нормативов обусловлены состо­янием экономики, уровнем централизации банковской системы и др. В развитых странах соотношение между собственным и заемным ка­питалом находится на уровне от 1:10 до 1:100. Например, отноше­ние собственного капитала к заемным средствам в США — 1:15, в ФРГ — 1:30, в Швейцарии — 1:12, в Японии — 1:83.

В Австрии выдаваемый одному заемщику кредит не может превы­шать 50% основного капитала банка [17, c.391].

В Ирландии одному вкладчику запрещается помещать в банк де­позиты, превышающие 10% общей суммы банковских депозитов, а 10 самых крупных вкладчиков не должны держать в банке более 40% суммы его депозитов.

В Великобритании коммерческие банки должны информировать Банк Англии о каждом депозите, составляющем 5% суммы всех де­позитов.

В Бельгии банки сообщают банковской комиссии о состоянии де­позитов, хотя регулирующих норм не предусматривается.

В США действует так называемый закон Джонсона (с 1934 г.), за­прещающий предоставлять кредиты странам, не погасившим свои долговые обязательства перед правительством США и не являющим­ся членами Международного валютного фонда.

Таким образом, для минимизации риска банкам рекомендуется:

- диверсифицировать портфель своих клиентов, что ведет к дивер­сификации всех видов риска, т.е. его рассредоточению;

- стараться предоставлять кредиты в виде более мелких сумм боль­шему количеству клиентов;

- предоставлять большие суммы клиентам на консорциональной основе.


ЗАКЛЮЧЕНИЕ

Под риском принято понимать вероятность, а точнее угрозу потери банком своих ресурсов, недополучения доходов или произведения дополнительных расходов в результате осуществления опреде­ленных финансовых операций.

В зависимости от факторов, оказывающих влияние на размер банковских рисков, они подразделяются на внешние и внутренние .Внешние риски могут быть: страновыми; валютными; рисками стихийных бедствий (форс-мажорных обстоятельств).

Внутренние риски могут быть: риски, связанные с видом банка, риски, связанные с характером банковских операций, кредитный риск, риск инфляции, риск падения общерыночных цен, портфельный риск, лизинговый и факторинговый риски, риск, связанный со спецификой банка, транспортный риск и др.

Управление рисками в ОАО «Белагропромбанк» организуется органами управления Банка в соответствии с их полномочиями, определенными Уставом ОАО «Белагропромбанк». Кредитный и Финансовый комитеты Банка осуществляют управление рисками в пределах полномочий, наделяемых Правлением Банка.

Департаменты (самостоятельные управления) центрального аппарата Банка - кредитный, международных проектов, кредитования населения, ценных бумаг, финансово-экономический, международных и межбанковских расчетов, валютного контроля и регулирования, вкладных и расчетных операций, внутреннего аудита, ревизий, расчетный центр пластиковых карт, организационно-методологический департамент, Казначейство, информационных технологий, юридический, управление по работе с юридическими лицами по направлениям деятельности: участвуют в разработке общей стратегии управления рисками;проводят оценку рисков банковских операций;совершенствуют методы и механизмы управления рисками;участвуют в разработке автоматизированных форм, улучшающих процессы управления рисками, позволяющих сделать экспертную оценку риска до совершения той или иной банковской операции;обеспечивают хеджирование рисков с помощью производных финансовых инструментов;готовят в соответствии со стратегией управления рисками локальные нормативные правовые акты и другие документы;готовят информацию по вопросам управления рисками для рассмотрении на заседаниях Правления, Кредитного, Финансового комитетов Банка;информируют руководство о происходящих изменениях на курируемом сегменте банковского рынка и связанного с этим повышением риска для Банка;проводят мониторинг, оценку и контроль управления рисками;принимают участие в разработке кредитной, процентной и других политик Банка;обеспечивают своевременное создание специального резерва на покрытие возможных убытков по активам подверженным кредитному риску;обеспечивают использование единых алгоритмов расчета показателей деятельности банка;информирование заинтересованных служб банка о готовящихся проектах нормативных правовых актов, касающихся банковской деятельности;обеспечивают надлежащее исполнение банком принятых на себя обязательств;организуют работу по осуществлению внутреннего контроля, обеспечивающего недопущение вовлечения банка в финансовые операции, имеющие незаконный характер;организуют защиту банка от противоправных действий, дестабилизирующих экономическую, финансовую, коммерческую деятельность учреждений банка;обеспечивают выполнение рекомендаций, представленных в ходе аудиторских и других проверок в части минимизации рисков, связанных с банковскими операциями.

Основными методами управления рисками являются: статистический метод, аналитический метод, метод хеджирования.

Статистический метод заключается в том, чтобы изучить статистику потерь и прибылей, имевших место при принятии аналогичных рений, установить величину и частоту получения той или иной экономической отдачи, а затем провести вероятностный анализ и составить прогноз будущего поведения на рынке.

Хеджирование – это метод, основанный на страховании ценовых потерь на физическом рынке по отношению к фьючерсному или опционному рынку. При этом для рынка биржевых опционов физическим может быть как реальный рынок (валютный, фондовый), так и фьючерсный.

С целью минимизации риска банк должен:

* диверсифицировать портфель своих клиентов, что ведет к дивер­сификации всех видов риска, т.е. его рассредоточению;

* стараться предоставлять кредиты в виде более мелких сумм боль­шему количеству клиентов;

* предоставлять большие суммы клиентам на консорциональной основе и пр.

Банку необходимо подбирать портфель своих клиентов таким образом, чтобы самому иметь оптимальное соотношение между активными и пассив­ными операциями, сохранять уровень своей ликвидности и рента­бельности на необходимом для бесперебойной деятельности уровне.

Для этой цели необходимо проводить регулярный анализ уровня всех видов рисков, определять их оптимальное значе­ние для каждого конкретного момента и использовать весь набор способов управления ими.


СПИСОК ИСПОЛЬЗОВАННЫХ ИСТОЧНИКОВ

1. Авраменко С. Раннее предупреждение и стресс-тестирование риска потери ликвидности// Банкаускi веснiк. - 2006. - №16. - С. 39-43.

2. Аленичев В.В., Аленичева Т.Д. Страхование валютных рисков, банковских и экспортных коммерческих кредитов -М.: Ист-сервис, 1994г.-114с.

3. Антипова О.Н. Регулирование рыночных рисков// Банковское дело.- 1997 г. - №4. – С.17-25

4. Белых Л.П. Устойчивость коммерческих банков. Как банкам избежать банкротства. -М.: ЮНИТИ, 1996г.-192с.

5. Гусаков Б. Удельный вес интуиции и профессионального опыта при анализе рискованной информации // Риск.- 1998г. - № 2-3. –С.6-8

6. Замуруев А. Минимизировать или управлять? // Риск.- 1998г.- №4. –С.11

7. Кабушкин С.Н. Анализ и моделирование рисковой ситуации изменения качества кредитного портфеля банка // Бухгалтерский учет и анализ. – 2000. - № 4, с. 42-46.

8. Кабушкин С.Н. Методы управления банковским кредитным риском. // Веснiк Беларускага дзяржаунага эканамiчнага унiверсiтэта. - 2000. - №5.-С.25-30.

9. Ковзанадзе И.К. Вопросы создания эффективной системы управления банковскими рисками. // Деньги и кредит. - 2001. - №3.-С.49-53.

10. Кудинова Т.А. Оценка финансовых рисков // Вестник С-П. Университета.- 1996г. – №3. –С.14.

11. Лазарева Н. Проблемы оценки банками уровня кредитоспособности на основе факторного анализа кредитополучателей // Вестник ассоциации белорусских банков. – 2002. - № 23, с. 31-37.

12. Лялин В.А., Воробьев П.В. Ценные бумаги и фондовая биржа. – М.: Финансы, 1998г. –302с.

13. Марченко А. Методы борьбы с рисками // Рынок ценных бумаг. – 1995г. - №23. –С.19

14. Морозова Т. Оценка системы управления рисками в банках// Банкаускi веснiк. - 2006. - №18,19 – С.8-16.

15. Помазанов М. Количественный анализ кредитного риска. // Банковские технологии. - 2004. - №2. - С. 22-28.

16. Поморин М.А. Управление рисками как состовная часть процесса управленя активами и пассивами банка //Банковское дело.- 1998г. - №3. –С.4-9

17. Редхерд К., Хьюс С. Управление финансовыми рисками. -М.: Инфра-М, 1996г. –413с.

18. Рогов М. Управление рисками // Риск. - 1995г.- №4. – С.11

19. Рудько-Селиванов В.В. Региональные особенности проявления банковских рисков //Деньги и кредит.- 1997г. - №7. – С.9

20. Сазыкин Б. Организационное управление операционными рисками банка// Банкаускi веснiк. - 2006. - №24- С. 17-24.

21. Севрук В.Т. Банковские риски. -М.: Экономпресс, 1994.- 72 с.

22. Сердюкова И.Д. Управление финансовыми рисками // Финансы. – 1995г. – №12. –С.8-10

23. Соколинская Н. Э. Валютные риски и методы их регулирования// Банковское дело.- 1998г. - №9. –С.12-15

24. Соколинская Н. Э. Валютные риски и методы их регулирования// Банковское дело.- 1998г. - №10. –С.12-14

25. Сорвин С.В. Управление банковскими рисками - региональный аспект // Деньги и кредит.- 1997г. - №6. –С.9-10

26. Супрунович Е.Б. Учет рисков при работе на межбанковском рынке // Деньги и кредит.- 1997г. - №5. –С.11-13

27. Супрунович Е. Управление кредитным риском. // Банкаускi веснiк. - 2004. - №25. - С. 25-31.

28. Сухов М.И. Управление банковскими рисками рыночной специализации //Деньги и кредит.- 1997г. - №6. –С.15-19

29. Финансовый менеджмент: Теория и практика. Учебник / Под ред. Стояновой Е.С. –М.: Перспектива, 1997г. –321с.

30. Штырова И.А. Современное состояние кредитного риск-менеджмента. // Бизнес и банки. - 2004. - ноябрь(№46).- С.1-7.

ПРИЛОЖЕНИЕ А

Таблица А1.

Основные типы риска

Тип риска Характеристика
1. Кредитный риск Возможное падение прибыли банка и даже потеря части акционерного капи­тала в результате неспособности заем­щика погашать и обслуживать долг (выплачивать проценты)
2. Риск ликвидности банка (риск несба­лансированной лик­видности) Возможная угроза прибыли и акционер­ному капиталу банка в результате за­труднения в получении средств путем реализации части активов или приоб­ретения нового займа по приемлемой цене. Риск считается наивысшим, когда банк не в состоянии удовлетворить кре­дитную заявку или ответить по обязате­льству вкладчика. Соответственно раз­личают ликвидность активов и ликвид­ность пассивов
3. Процентный риск Вероятная потеря дохода банка в ре­зультате непогашения процентных пла­тежей заемщиком

4. Риск, связанный с не­способностью банка возмещать админист­ративно-хозяйствен­ные расходы (риск те­кущих расходов)

Возможное снижение прибыли банка из-за непредвиденных расходов на со­держание аппарата сотрудников и про­чих расходов, обеспечивающих нор­мальный ритм работы учреждения
5. Валютный риск Опасность валютных потерь, связанных с изменением курса иностранной валюты по отношению к национальной валюте при проведении международных кредит­ных, валютных и расчетных операций
6. Риск неплатежеспо­собности банка Использование банком акционерного капитала для погашения своих обяза­тельств при отсутствии каких-либо других источников (платежи по возвра­щаемым кредитам, привлечение новых займов, реализация активов). Чтобы предотвратить подобную ситуацию, важно поддерживать соотношение между акционерным капиталом и ак­тивами, так называемый коэффициент достаточности капитала

П р и м е ч а н и е. Источник [11, c.123]


ПРИЛОЖЕНИЕ Б

Таблица Б1.

Факторы, воздействующие на величину банковского кредитного риска

Индивидуальные риски Совокупный риск
Физических лиц Юридических лиц Кредитного портфеля
1. Нестабильность экономической ситуации (финансовый кризис, отсутствие конвертируемости национальной валюты, сужение платежеспособного спроса населения, инфляция и др.) 1. Нестабильность экономической ситуации (финансовый кризис, отсутствие конвертируемости национальной валюты, спад производства, неблагоприятные изменения на отдельных рынках, инфляция и др.) 1. Нестабильность экономической ситуации (финансовый кризис, отсутствие конверти-руемости национальной валюты, неразвитость информационного рынка, неблагоприятные изменения на финансовых рынках, инфляция и др.)
2. Изменение материального положения заемщика (увеличение (уменьшение) зарплаты, выходна пенсию, получениенаследства и др.) 2. Изменение финансового положения заемщика (показатели финансовой устойчивости, оборачиваемости, рентабельности, ликвидности и др.) 2. Изменение денежно- кредитной политики центрального банка (изменение норм обязательных резервов, ставки рефинансирования, нормативов риска, государственная поддержка приоритетных отраслей и др.)
3. Кредитная история заемщика (отсутствует, положительная, отрицательная) 3. Кредитная история заемщика (отсутствует, положительная, отрицательная) 3. Изменения в кредитной политике банка (переориентация ресурсов на другие отрасли, введение новых кредитных инструментов, изменение структуры управления и др.)
4. Изменение качестваобеспечения ссуды (стоимости, ликвидности) 4. Изменение качестваобеспечения ссуды (стоимости, ликвидности) 4. Личностный фактор (недостаток квалификации и опыта, микроклимат в коллективе, злоупотребления)

Окончание приложения Б

1 2 3
5. Изменение социального положения заемщика (вступление в брак, изменение состава семьи и др.) 5. Качество управления предприятием- заемщиком (образовательный уровень, квалификация и опыт работы в данной сфере руководящего звена и др.)
6. Изменение условийкредитного договора(введение или отменаморатория на уплатупроцентов и основногодолга, штрафных санкций, изменение процентных ставок, сроковпогашения основногодолга и др.) 6. Изменение условийкредитного договора(введение или отменаморатория на уплатупроцентов и основногодолга, штрафных санкций, изменение процентных ставок, сроковпогашения основногодолга и др.)
7. Личностный фактор(недисциплинированность заемщика, предоставление заведомо ложной информации, препятствование банковскому контролю, мошенничество и др.) 7. Личностный фактор(недисциплинированность заемщика, предоставление заведомо ложной информации, препятствование банковскому контролю, мошенничество и др.)

П р и м е ч а н и е. Источник [5, c.64]


ПРИЛОЖЕНИЕ В


Положительные Отрицательные


Нет

Да

Рисунок В1. Процесс управления банковским кредитным риском

П р и м е ч а н и е. Источник [5, c.78]


ПРИЛОЖЕНИЕ Г

Таблица Г1.

Методы управления кредитным риском, их содержание и организационные формы

Методы Направленность Организационная форма Содержание
Предупреждение риска Кредитный риск + операционный риск Косвенное воздействие

Отбор и оценка кредитных специалистов

Оптимизация кредитного процесса

Развитие персонала

Изучение потенциального клиента

Постоянный мониторинг клиента

Оценка, измерение и прогнозирование риска Кредитный риск Косвенное воздействие

Оценка кредитоспособности заемщика

Оценка качества кредитного портфеля банка

Измерение кредитного риска

Прогнозирование кредитного риска

Отказ от кредитования ненадежного клиента

Отказ от кредитования сомнительной сделки

Снижение (минимизация ) риска Кредитный риск + риск банковской ликвидности Прямое воздействие

Рационирование кредитов

Диверсификация кредитов

Резервирование средств

Структурирование кредитов

Окончание приложения Г

1 2 3 4
Страхование риска Кредитный риск Косвенное воздействие

Перераспределение обязанностей возмещения кредитных потерь на страховую организацию

Хеджирование на срочном рынке с помощью производных финансовых инструментов

Удержание риска Кредитный риск + риск потери репутации банка Косвенное воздействие

Создание структурных подразделений по работе с проблемными кредитами

Приостановка кредитной деятельности в высоко рискованных отраслях

Поиски новых секторов кредитного рынка и разработка новых кредитных продуктов

П р и м е ч а н и е. Источник [5, c.107]

ПРИЛОЖЕНИЕ Д

Таблица Д1.

Перечень рисков банковской деятельности,

контролируемых в ОАО "Белагропромбанк"

Вид риска Определение риска Ответственный
за выработку
политики
управления
риском
Ответственные
за организацию
работы по
управлению
рисками
Инструменты минимизации
риска
1 2 3 4 6
Кредитные
риски
Кредитные риски
юридических лиц
Риск возникновения у банка
потерь (убытков) вследствие
неисполнения,
несвоевременного либо
неполного исполнения
должником финансовых
обязательств перед банком в
соответствии с условиями
договора или
законодательством
Правление
Финансовый
и кредитные
комитеты
КУ,
ОКЖС,
УЦБ,
ОУ
Установление лимитов выдачи
Разграничение полномочий
Обеспечение возврата
кредита высоколиквидным
залогом
Изучение кредитных досье на
предмет платежеспособности
и репутации клиента и др.
Кредитные
риски банков-
корреспондентов
УВТФ,
УЦБ,
Казначейство
Кредитные
риски физ. лиц
УРУ,
ОУ
Процентный риск Риск, связанный с
изменением процентной
ставки по основным группам
пассивов и активов.
Правление
Финансовый
и кредитные
комитеты
КУ,
Казначейство,
УРУ,
УКБ, УВТФ,
УЦБ,
ОКЖС
- централизованный подход
по установлению процентных
ставок;
- применение метода
"привязки" процентных
ставок к наиболее значимым
индикаторам финансового
рынка;
- привлечение и размещение
ресурсов преимущественно на
условиях, предусматривающих
право Банка на пересмотр
ставок от изменения
рыночных условий;
- проведение политики,
направленной на
сбалансированность активов
и пассивов по срокам их
возврата
ФЭУ - анализ структуры
соответствия пассивов и
активов по уровню
доходности, срокам
исполнения обязательств и
срокам возможного изменения
процентных ставок.
Рыночные риски Валютный риск вероятность возникновения у
банка потерь (убытков) от
изменения стоимости
балансовых и внебалансовых
позиций банка,
номинированных в
иностранной валюте
(драгоценном металле, за
исключением мерных
слитков), вследствие
изменения курса иностранной
валюты (драгоценного
металла, за исключением
мерных слитков)
Правление
Финансовый
и кредитные
комитеты
УВРиК,
Казначейство
Ограничения:
- величины суммарной ОВП;
- величины чистой ОВП по
каждому виду иностранной
валюты (драгоценного
металла, за исключением
мерных слитков);
- величины чистой ОВП по
форвардным сделкам по
каждому виду иностранной
валюты (драгоценного
металла, за исключением
мерных слитков)
Процентный
риск
вероятность возникновения у
банка потерь (убытков) от
изменения стоимости
долговых обязательств и
других инструментов
торгового портфеля банка,
взаимосвязанных с размером
процентной ставки.
Правление
Финансовый
и кредитный
комитеты
Казначейство,
УЦБ
- поддержание приемлемой
структуры торгового
портфеля в части
инструментов с
фиксированной и
изменяющейся доходностью;
- преимущественное
использование ресурсного
обеспечения под данный вид
активов с аналогичным
характером изменения
процентной ставки
Фондовый риск риск убытков вследствие
неблагоприятного изменения
рыночных цен на фондовые
ценности торгового портфеля
и производные финансовые
инструменты под влиянием
факторов, связанных как с
эмитентом фондовых
ценностей и производных
финансовых инструментов,
так и общими колебаниями
рыночных цен на финансовые
инструменты
Правление
Финансовый
и кредитный
комитеты
УЦБ,
Казначейство,
УСР,
УКБ
- ограничения удельного
веса стоимости торгового
портфеля в балансовых
активах, а также его
преимущественное
формирование за счет
высоколиквидных долговых
обязательств и фондовых
ценностей, выпускаемых
наиболее надежными
эмитентами;
- постоянный мониторинг
рынка ценных бумаг и
долговых обязательств с
выработкой предложений по
периодическому (с учетом
конъюнктуры) замещению
составляющих торгового
портфеля.
Риск ликвидности риск возникновения у банка
потерь (убытков) вследствие
неспособности обеспечить
своевременное исполнение
своих обязательств в полном
объеме.
Правление
Финансовый
и кредитный
комитеты
Структурные
подразделения
согласно
Положения об
управлении
ликвидностью
Система ограничений риска
ликвидности
Исполнение нормативных
требований НБ РБ по
ликвидности
Операционный
риск
Риск
технологический
и технический
- связанный с
использованием
неадекватной, ненадежной
либо плохо отлаженной
технологии или с
неадекватной работой
информационных систем,
неадекватностью
оборудования и программного
обеспечения характеру и
масштабам осуществляемой
деятельности, работой
телекоммуникационного
оборудования, поставками
электроэнергии,
телекоммуникационных услуг
банку
Правление
Финансовый
и кредитный
комитеты
ЦИТ,
УБиЗИ,
УОДБ,
ОАБС,
КЦ
- разработка и ежегодное
уточнение на уровнях
отделений, филиалов и
управлений центрального
аппарата банка Паспортов
для всех ключевых
программно-технических
комплексов (ПТК) и Планов
обеспечения их непрерывной
работы и восстановления
работоспособности
- разработок нормативных
документов, политик и
процедур компьютерной
безопасности, их
практической реализацией,
определением прав доступа к
ПТК, их ресурсам,
мониторингом и
администрированием ПТК,
информационных систем,
использованием методов
контроля физического
доступа к местам
компьютерной обработки
данных, функционированием
специальных программных и
технических средств
обнаружения атак и
противодействия вредоносным
программам
риск
оперативной
деятельности
Риск - связанный с
ненадлежащей подготовкой
новых банковских услуг
(продуктов), возникновением
проблем у клиентов с
доступом к своим счетам,
ненадлежащим обслуживание
клиентов, неправильным
установлением внутренних
лимитов, операционные
ошибки
Правление
Финансовый
и кредитный
комитеты
УКБ,
УРУ,
КУ,
УЦБ,
УБУ,
УИ,
УВТФ,
Казначейство,
ОУ,
ФЭУ
- детальное изучение
процесса внедрения новых
банковских продуктов,
анализ возникающих
нестандартных ситуаций и
операционных ошибок с
последующей выработкой мер,
направленных на их
недопущение в дальнейшем
учетный риск Риск - связанный с
несоответствием отражения
сделки (операции) в учете
принятой в банке учетной
политике
Правление
Финансовый
и кредитный
комитеты
УБУ,
ОУ,
Казначейство,
УМР, УВТФ, КУ
- детальная регламентация
порядка оформления и
отражения в учете
совершаемых операций,
использование программного
обеспечения, позволяющего
осуществлять логический
контроль на стадии
совершения отдельных видов
операций, а также выявление
расхождений проводимых
операций с принятой учетной
политикой в ходе
последующего контроля.
риск операции Риск - связанный с видом
или объемом операций,
ненадлежащим оформленной
документацией,
необоснованное
сальдирование, ошибочное
проведение операции
Правление
Финансовый
и кредитный
комитеты
УБУ,
ОУ,
Казначейство,
УМР, УВТФ, КУ
риск неверной
организационной
структуры
банка, области
ответственности
и распределения
полномочий
Риск - связанный с ошибками
в системе распределения
функций, приводящие либо к
дублированию функций, либо
к исключению отдельных
функций в управленческих
процессах, а также
избыточность структуры,
наличие лишних звеньев
управления, "размывание"
ответственности
Правление
Финансовый
и кредитный
комитеты
УРП,
УСР,
УКБ,
УРУ,
УБУ,
ЦИТ,
КУ
- распределение
функциональных обязанностей
между структурными
подразделениями
центрального аппарата на
уровне Правления банка,
установление максимально
четкой системы
подотчетности по
направлениям деятельности
по оси управления:
- центральный аппарат -
филиалы - отделения,
определение обязанностей
работников, исключающих как
возможность дублирования
рабочих функций, так и
остающихся
нераспределенными
правовой риск риск- связанный, с одной
стороны, с допускаемыми
правовыми ошибками при
осуществлении деятельности
(неправильные юридические
консультации или неверное
составление документов, в
том числе при рассмотрении
спорных вопросов в судебных
органах), а с другой - с
несовершенством правовой
системы (противоречивость и
нестабильность
законодательства,
отсутствие эффективной
судебной защиты);
Правление
Финансовый
и кредитный
комитеты
ЮУ - необходимо строить
взаимоотношения с клиентами
таким образом, чтобы
оградить банк от
предъявления к нему
имущественных и иного рода
требований, а также
предотвратить случаи, когда
банку будет невозможно
предъявить к должнику
требования о надлежащем
исполнении своих
обязательств
риск персонала риск - связанный с
использованием
неэффективных механизмов
набора, обучения, оценки и
мотивации труда работников,
приводящих к неадекватности
кадров характеру и
масштабам деятельности
банка или нежелательной
текучести кадров.
Правление
Финансовый
и кредитный
комитеты
УРП,
ЦОП
- организация непрерывного
процесса обучения всех
категорий персонала;
- применение движения
наставничества;
- стимулирование работников
в повышении своей
профессиональной подготовки
в специализированных
учебных заведениях;
- применение критериев
соответствия
образовательного уровня
потенциальных кандидатов на
вакантные должности
установленным в банке
требованиям;
- проведение работы по
воспитанию у сотрудников
чувства ответственности за
качественное выполнение
своих функциональных
обязанностей
риск
управления
и неправильных
управленческих
решений
Риск - связанный с
неадекватной управленческой
информацией, ненадлежащим
планированием, устаревшими
механизмами управления,
несоответствием
организационной структуры
характеру и масштабам
деятельности банка, а также
с формальными и
неэффективными процедурами
внутреннего контроля,
приводящими к неадекватному
управлению рисками
Правление
Финансовый
и кредитный
комитеты
Все
структурные
подразделения
- проведение контроля
достоверности
представляемой структурными
подразделениями и филиалами
отчетности и информации,
используемой при принятии
управленческих решений,
системный анализ хода
выполнения плановых
показателей,
совершенствование
организационной структуры с
учетом приоритетов развития
банка и складывающихся
внешних условий, развитие
системы внутреннего
контроля за основными
рисками банковской
деятельности.
риск внешнего
мошенничества
Риск - связанный с кражами,
грабежами, отмыванием
денег, подделкой чеков и
пластиковых карточек,
компьютерным мошенничеством
Правление
Финансовый
и кредитный
комитеты
УБиЗИ,
КЦ,
УКС,
УИ,
ЮУ
- проведение проверок
подлинности и полноты
предоставления клиентами
документов на совершение
банковских операций,
ограничение доступа на
банковские объекты
подозрительных лиц,
создание условий для
надежной физической защиты
мест хранения наличных
денежных средств и
материальных ценностей,
совершенствование систем
защиты электронных баз
данных и локальных
вычислительных сетей банка
от несанкционированного
доступа
имущественный
риск и риск
форс-мажорных
обстоятельств
Риск - связанный с утратой
стоимости имущества банка,
террористическими актами,
вандализмом (физическим
уничтожением ресурсов),
всевозможными природными
катаклизмами
Правление
Финансовый
и кредитный
комитеты
УБиЗИ,
УОДБ,
УКС
- организация надежной
охраны банковских объектов,
страхование наиболее
подверженных риску утраты
стоимости составляющих
элементов материально-
технической базы банка,
разработка Планов действий
в чрезвычайных ситуациях.
Риск потери деловой
репутации банка
Риск возникновения у банка
потерь (убытков) в
результате утраты доверия
клиентов и контрагентов,
сужения клиентской базы
Правление
Финансовый
и кредитный
комитеты
Все
структурные
подразделения
- принятие совокупного
комплекса мер, направленных
на недопущение и
максимальное снижение всех
рисков банковской
деятельности
Страновой риск и риск
неперевода средств
Риск возникновения
финансовых потерь в
результате неисполнения
иностранными контрагентами
обязательств, обусловленных
возможностью
неблагоприятного изменения
политической и связанной с
этим экономической
ситуации, законодательства
и системы государственного
регулирования
Правление
Финансовый
и кредитный
комитеты
УВТФ,
УВРиК
- анализ отчетных данных,
рассмотрение рейтингов,
использование всей
информации СМИ (рейтер,
интернет, печатные
издания);
- отслеживание информации о
стране (применение
экономических санкций,
установление запретов и
т.д.).
Стратегический риск Риск - риск возникновения у
банка потерь (убытков) в
результате ошибок
(недостатков), допущенных
при принятии решений,
определяющих стратегию
деятельности и развития
банка
Правление
Финансовый
и кредитный
комитеты
Правление,
Финансовый и
кредитный
комитеты,
УСР,
ФЭУ
- принятия важнейших
решений, связанных с
деятельностью банка, его
филиалов и отделений
коллегиальными органами
управления (Общим собранием
акционеров, наблюдательным
советом, Правлением банка,
Постоянно действующим
совещанием филиалов) в
пределах предоставленных им
полномочий;
- обеспечения взаимосвязи и
преемственности ориентиров
развития банка
концептуальным направлениям
развития экономики и
банковской системы
Республики Беларусь,
определяемых высшими
органами управления
государством.

Управление внутреннего аудита осуществляет последующий контроль за организацией работы по управлению рисками, контролируемыми в ОАО "Белагропромбанк"

Перечень сокращений:

УЦБ - Управление ценных бумаг

УВРиК - Управление валютного регулирования и контроля

ЦИТ - Центр информационных технологий

УМР - Управление международных расчетов

УБУ - Управление бухгалтерского учета и отчетности

УВА - Управление внутреннего аудита

УБиЗИ - Управление безопасности и защиты информации

ЮУ - Юридическое управление

УРП - Управление по работе с персоналом

ЦОП - Центр обучения персонала

УОДБ - Управление обеспечения деятельности банка

УРУ - Управление розничных услуг

КЦ - Карт Центр

УВТФ - Управление внешнеторгового финансирования

ОУ - Операционное управление

КУ - Кредитное управление

УСР - Управление стратегического развития

УДОиКР - Управление организации денежного обращения

и кассовой работы

ОАБС - Отдел проектирования и внедрения централизованной

автоматизированной банковской системы

ОКЖС - Отдел кредитования жилищного строительства

УИ - Управление инкассации

УКБ - Управление корпоративного бизнеса

ФЭУ - Финансово-экономическое управление

УКС - Управление капитального строительства