| Скачать .docx |
Курсовая работа: Методы оценки обыкновенных акций 3
| Всероссийский заочный финансово-экономический институт |
| КУРСОВАЯ РАБОТА по дисциплине: Теория инвестиций |
| МЕТОДЫ ОЦЕНКИ ОБЫКНОВЕННЫХ АКЦИЙ |
|
Выполнила: студентка 5 курса Факультет: Финансово-кредитный № л/д 07ффд0892 Маслова А. В. Проверила: проф. Губейдулина О.Н.
Калуга 2010
|
|
|
Содержание
Введение ………………………………………………………………………….3
Глава 1. Методы оценки обыкновенных акций ………………………………...5
1.1. Акции: понятие, сущность ……………..………………………………...5
1.2. Разновидность акций ….…………………………………………………7
1.3. Методы оценки обыкновенных акций ……………………… ...11 Глава 2.Эффективность методов оценки. Предложения по увеличению стоимости обыкновенных акций……………………………….. . 22
Заключение ………………………………………………………………………26
Расчетная (практическая часть) ………………………………………………..29
Список литературы ……………………………………………………………...42
ВВЕДЕНИЕ.
По мере того, как в России появлялись независимые собственники предприятий, все острее возникала потребность в определении рыночной стоимости обыкновенных акций компаний.
Оценка стоимости обыкновенных акций компаний это процесс определения рыночной стоимости их капитала. Работы по оценке акций предприятия - постоянно осуществляемая функция. Ею необходимо заниматься, в первую очередь, для определения стоимости акций предприятия, подлежащего купле/продаже.
Актуальность настоящей работы подчеркивается тем, что для получения корректного результата после проведения работ по оценке необходимо произвести расчет стоимости с использованием нескольких способов определения цены обыкновенных акций компании. В случае, если это требование не учитывается, то в процессе работ по оценке имеют место некорректные результаты.
Предметом исследования является стоимость акций предприятия.
Объектом исследования в данной работе является обыкновенная акция.
Ценные бумаги являются необходимым средством юридической техники в различных областях рыночной экономики. Они служат удобным инструментом в организации и функционировании коммерческих субъектов (акции), являются кредитными (облигации, векселя и др.) и платежными (чеки) средствами, используются в товарном обороте (коносаменты и др.), обеспечивая упрощенную и оперативную передачу, осуществление прав на материальные и иные блага.
Акция ¾ отражает отношение между собственниками предприятия по поводу их доли в уставном капитале предприятия и их участие в управлении ею.
Оценка обыкновенных акций - это оценка акций, по которым дивиденды выплачивается из части прибыли, оставшейся после уплаты процента обладателям привилегированных акций.
Теория оценки обыкновенных акций за последние годы пережила значительные изменения. Она является весьма спорной и противоречивой областью знания, и ни один из разработанных методов нельзя назвать общепринятым. Однако в последние годы значительно укрепились позиции подхода, основная идея которого заключается в том, что отдельные обыкновенные акции следует рассматривать как часть всего портфеля обыкновенных акций, которым может владеть инвестор. Иными словами, инвесторы обеспокоены не столько тем, выросла или упала стоимость отдельных акций, сколько тем, как изменилась общая стоимость их портфеля. Однако тем не менее важно в этих рамках определять стоимость каждой конкретной обыкновенной акции.
Основной целью исследования является рассмотрение методов оценки обыкновенных акций.
Для достижения данной цели в работе были определены следующие задачи:
- рассмотреть организационно-экономические и практические основы оценки обыкновенных акций компании;
- исследовать традиционные модели оценки обыкновенных акций компании в РФ и за рубежом, альтернативные модели и методы оценки акций
- Выявить, какие из методов оценки наиболее направлены на увеличение стоимости обыкновенныхх акций.
В первой главе работы рассматриваются основные теоретические аспекты данной темы, а именно, понятие акции, ее сущность и классификация, особое внимание уделяется обыкновенным акциям, методы оценки обыкновенных акций и наиболее распространенные модели оценки на практике.
Во второй главе рассмотрены предложения по методам оценки обыкновенных акций, направленные на увеличение их стоимости.
Глава 1. Методы оценки обыкновенных акций
1.1. Акции: понятие, сущность
Акция - эмиссионная ценная бумага, закрепляющую права ее владельца на получение части прибыли акционерного общества в виде дивидендов, на участие в управлении акционерным обществом и на часть имущества, оставшегося после его ликвидации [3, абз.2 ст. 2]. Акция – именная ценная бумага [2, абз.3 п.2 ст.25].
Таким образом, акция дает право на:
- получение части прибыли АО в виде дивидендов;
- участие в управлении АО;
- на часть имущества АО, остающегося после его ликвидации.
Основной особенностью акции как ценной бумаги является то, что предоставляемые ею имущественные и неимущественные права тесно связаны, переплетены между собой, что позволяет сделать вывод о том, что акция предоставляет своеобразный комплекс прав - право членства в корпорации, корпоративное право. Признавая допустимость выделения корпоративных ценных бумаг, следует отметить условность такого выделения, поскольку корпоративные права в целом, по своей сути, тяготеют к имущественным правам. Особенностью акций как корпоративных ценных бумаг, закрепляющих право участия в делах акционерного общества, является предоставляемая ими возможность, при наличии определенного их количества, оказывать влияние на осуществление акционерным обществом предпринимательской и иной деятельности [12, c. 234].
Акция свидетельствует о том, что ее обладатель - совладелец общества, являющегося юридически самостоятельной организацией (с обособленным имуществом, своим бухгалтерским балансом, отличным от баланса предприятия). Размер пая определяется количеством принадлежащих ему акций. Приобретая акции, акционер получает право их отчуждения в форме продажи или уступки другому лицу. Выпущенные акционерным обществом акции обеспечиваются всем его имуществом. При реорганизации такого общества все обязательства по выпущенным акциям переходят к правопреемникам. При ликвидации акционерного общества предприятие имеет право на получение части его активов, оставшейся после удовлетворения требований кредиторов, а также погашения обязательств перед теми, кому принадлежат привилегированные акции. Размер имущества, получаемого при этом каждым акционером, определяется пропорционально доле принадлежащих им акций, в общем, их объеме.
Держатели акций имеют право на получение дохода в форме дивидендов. Размер дивидендов по обыкновенным акциям раз в год определяется советом директоров общества и утверждается собранием акционеров, исходя из полученных финансовых результатов и потребностей в использовании прибыли для расширения и развития деятельности акционерного общества. Обычно по обыкновенным акциям возможность получения дивидендов и их уровень не гарантируются, хотя в отдельных случаях такие гарантии могут быть даны.
Обладатели акций имеют право на участие в управлении обществом. Такое право реализуется посредством голосования на собрании акционеров при выборе, его исполнительных органов и при решении принципиальных вопросов деятельности акционерного общества. Акционер может голосовать путем личного участия в собраниях, через выдачу другому лицу доверенности или посредством посылки специальных сообщений, отражающих мнение акционера по вопросам, включенным в повестку дня собрания.
Акции выпускаются на всю сумму уставного капитала общества. Если в результате хозяйственной деятельности общества, приобретения новых основных фондов и увеличения оборотных средств стоимость имущества превысит размер первоначального уставного капитала, то на сумму превышения могут быть дополнительно выпущены акции, что приведет к увеличению соответственно уставного капитала или к повышению стоимости ранее выпущенных акций.
Своеобразным обеспечением права на участие в управлении акционерным обществом выступает обязанность последнего предоставлять информацию о своей деятельности. Такая информация включает перечень акционеров, сведения финансового характера, позволяющие судить о положении и перспективах общества, рисках, связанных с участием в нем. Традиционно эта информация представляется в годовой отчетности.
Акция является единственной корпоративной ценной бумагой, т. е. ценной бумагой, удостоверяющей право членства в хозяйственном, а точнее — акционерном обществе [14, c. 342]. Иными словами, акция всегда неразрывно связана с существованием и деятельностью акционерного общества. При этом подразумевается, что акция эмитируется только акционерными обществами и носит бессрочный характер, т. е. не имеет заранее определенного конечного срока погашения, поскольку срок существования акции, по общему правилу, равен сроку существования самого акционерного общества.
1.2. Разновидность акций
В промышленно развитых странах акции делятся по особенности регистрации и обращения, по форме собственности, характеру обязательств и региональной принадлежности [17, c. 20].
По особенности регистрации и обращения акции делятся на именные и на предъявителя. Именные выписываются на конкретного владельца, что ограничивает возможность их обращения на рынке ценных бумаг, поскольку требует перерегистрации.
Акции на предъявителя означает, что имя владельца не фиксируется; они могут свободно обращаться на рынке ценных бумаг, покупаться и продаваться без необходимости регистрации нового владельца.
Акции по характеру обязательств делятся на обыкновенные и привилегированные.
Обыкновенные акции дают право на участие в управлении обществом (1 акция соответствует одному голосу на собрании акционеров, за исключением проведения кумулятивного голосования) и участвуют в распределении прибыли акционерного общества. Источником выплаты дивидендов по обыкновенным акциям является чистая прибыль общества. Размер дивидендов определяется советом директоров предприятия и рекомендуется общему собранию акционеров, которое может только уменьшить размер дивидендов относительно рекомендованного советом директоров.
Обыкновенная акция предоставляет ее владельцу права на:
1. участие в общем собрании акционеров АО с правом голоса по всем вопросам его компетенции;
2. получение дивидендов;
3. получение части имущества АО в случае его ликвидации (ликвидационной стоимости) [2, ст.31].
С точки зрения инвесторов выпуск обыкновенных акций имеет некоторые преимущества. Во-первых, процветание предприятия ведет к повышению номинальной стоимости акций благодаря наращиванию стоимости имущества предприятий и высокому дивиденду. Например, если акция была куплена по цене 100 тыс. крб., то через некоторое время ее цена может значительно возрасти. Во-вторых, обыкновенные акционеры имеют право голоса. Что дает возможность контроля над управлением предприятием. В-третьих. Если речь идет об акциях известных, стабильно работающих компаний, их легко при необходимости продать.
У всех обыкновенных акций общества номинальная стоимость одинакова. Акционерное общество не может принимать решение о выплате (объявлении) дивидендов по обыкновенным акциям, если не принято решение о выплате в полном размере дивидендов по всем типам привилегированных акций, размер дивиденда, по которым зафиксирован уставом общества. Все владельцы обыкновенных акций равны между собой в их правах на получение дивидендов. Акционерное общество не обязано выплачивать дивиденды по обыкновенным акциям даже в случае наличия у них чистой прибыли. Совет директоров, к примеру, может принять решение о направлении прибыли не на выплату дивидендов, а на развитие производства. Рост числа обыкновенных акций в руках частных инвесторов увеличивает количество их голосов и, теоретически, - возможность воздействия на принятие решений в рамках акционерного общества. Владелец одной обыкновенной акции имеет право одного голоса.
Привлекателен вариант выпуска обыкновенных акций и для фирмы-эмитента. Прежде всего в отличие от обязательств по облигациям обыкновенные акции не требуют обязательной выплаты дивидендов, если дела у фирмы идут не важно или если руководство считает более целесообразным делать упор на финансирование развития предприятия.
Вместо с тем у обыкновенных акций с точки зрения эмитента есть и недостатки. Во-первых. Увеличение объема акционерного капитала ведет к росту числа его владельцев и соответственно к потенциальной возможности потери контроля над компанией со стороны учредителей. Во-вторых, практика показывает. Что весь необходимый капитал невозможно получить с помощью выпуска обыкновенных акций. В-третьих, выпуск акций может со временем обернуться для предприятия большими издержками по сравнению с выпуском облигаций, поскольку, хотя размер дивидендов по акциям регулируется в зависимости от финансового состояния фирмы, они должны выплачиваться постоянно.
При рассмотрении различных способов оценки акций следует помнить причину, по которой производится экспертиза. Для покупателя – это перспектива получения части прибыли (доходов) предприятия, выраженная в форме дивидендов либо льгот, предоставленных правлением компании (например, продажа продукции предприятия по индивидуальным расценкам). С точки зрения продавца – это не только потеря некоторой величины будущих поступлений, но также появление возможности вложения привлеченных средств в иные инвестиционные проекты.
Привилегированные акции могут вносить ограничения на участие в управлении, а также могут давать дополнительные права в управлении (не обязательно), но приносят постоянные (часто — фиксированные в виде определенной доли от бухгалтерской чистой прибыли или в абсолютном денежном выражении) дивиденды [7, c.95]. Как правило, в России существуют значительные ограничения на участие в управлении компаниями, что вызвано тем, что массовая приватизация предприятий согласно 2 и 3 типу предусматривала передачу Привилегированных акции трудовому коллективу, при этом лишая его права голоса на собраниях акционеров.
Привилегированная акция - предоставляет ее владельцу права на:
- получение определенного дивиденда;
- преимущественное право на получение дивидендов;
- получение определенной ликвидационной стоимости до получения аналогичной стоимости владельцами обыкновенных акций;
- участие в общем собрании акционеров с правом голоса при решении вопросов о реорганизации или ликвидации АО, о внесении изменений и дополнений в устав АО, ограничивающих права владельцев акций данного типа.
Дивиденды по привилегированным акциям могут выплачиваться как из прибыли, так и из других источников — в соответствии с уставом общества. В настоящее время по российскому законодательству, если по привилегированным акциям не выплачены дивиденды, то они предоставляют акционерам право голоса на общем собрании акционеров (за исключением кумулятивных привилегированных акций).
Привилегированные акции делятся на:
а) Привилегированные имеют ряд привилегий в обмен на право голоса. У их собственника определена величина дохода в момент выпуска и размещения ценных бумаг. Определен размер ликвидационной стоимости. Приоритет при начислении этих выплат по отношению к обыкновенным.
б) Кумулятивные (накапливающие). Привилегии — те же. Сохраняется и накапливается обязательство по выплате дивидендов. Фиксированный срок накопления дивидендов. При невыплате дивидендов права голоса не получают.
По форме собственности эмитента:
1. акции государственных компаний;
2. акции частных компаний.
По региональной принадлежности:
· акции отечественных эмитентов;
· акции зарубежных эмитентов.
Наиболее существенное значение для инвестора с позиций различия их инвестиционных качеств играет деление акций на обыкновенные и привилегированные[9, c. 56].
1.3. Методы оценки обыкновенных акций
При рассмотрении различных способов оценки акций следует помнить причину, по которой производится экспертиза. Для покупателя – это перспектива получения части прибыли (доходов) предприятия, выраженная в форме дивидендов либо льгот, предоставленных правлением компании (например, продажа продукции предприятия по индивидуальным расценкам). С точки зрения продавца – это не только потеря некоторой величины будущих поступлений, но также появление возможности вложения привлеченных средств в иные инвестиционные проекты [4].
Основными методами оценки стоимости обыкновенных акций являются:
1. Номинальный;
2. Рыночный;
3. Балансовый;
4. Ликвидационный;
5. Инвестиционный.
1) Номинальный метод основывается на объявленной стоимости акции. Номинал или нарицательная стоимость является одной из основных характеристик акции. Номинальная стоимость (номинал) определяется путем деления суммы уставного капитала на количество выпущенных акций. На основе номинальной стоимости определяется эмиссионная и рыночная стоимость акций и дивиденды. По номинальной стоимости определяется сумма, выплачиваемая акционеру в случае ликвидации общества [11, c. 546].
Сумма номинальных стоимостей всех размещенных акций составляет уставной капитал акционерного общества. Номинальная стоимость всех размещенных привилегированных акций не должна превышать 25% уставного капитала акционерного общества. Номинальная стоимость всех обыкновенных акций должна быть одинаковой. Одинаковой также должна являться номинальная стоимость привилегированных акций одного типа. Сумма всех номинальных стоимостей акций определяет уставный фонд общества. В отличие от долговых ценных бумаг, номинал которых участвует в образовании рыночной доходности, номинальная стоимость акции несет малозначимую для рынка информацию, характеризуя долю уставного капитала, приходящуюся на одну акцию, в момент учреждения компании-эмитента.
2) Рыночный метод - доминирующий курс акций на РЦБ. Номинальная стоимость акции, как правило, не совпадает с ее рыночной стоимостью. У хорошо работающего акционерного общества она обычно выше, а у предприятия, испытывающего финансовые и производственные трудности, — ниже. На рынке цена определяется в результате взаимодействия спроса на акции и их предложения. Данные переменные зависят от перспектив прибыльности предприятия.
Прирост курсовой стоимости акции может составить существенную часть доходов инвестора. Чтобы его реализовать, акцию необходимо продать. В противном случае существует опасность, что в следующий момент курс бумаги может упасть. Прирост курсовой стоимости возникает по двум причинам. Во-первых, это возможный спекулятивный подъем на рынке. Он не имеет под собой объективных долгосрочный оснований. Во-вторых, это реальный прирост активов предприятия. Получив прибыль, акционерное общество делит ее на две части. Одна часть выплачивается в качестве дивидендов, другая — реинвестируется для поддержания и расширения производства. Реинвестируемая прибыль, приобретающая форму основных и оборотных фондов, реально "наполняет" акцию и ведет, как правило, к росту ее стоимости. В результате, в тенденции цена акции на рынке должна расти. Если инвестор ориентируется прежде всего на прирост курсовой стоимости акции, то он выбирает более рискованную стратегию, так как цена бумаги может в любой момент и понизиться.
3) Балансовый метод - метод измерения акционерного капитала компании, равна совокупности активов компании на суммы всех обязательств и капитала, внесенных владельцами привилегированных акций.
Следует отметить, что оценка акций по балансовой стоимости активов предприятия весьма приблизительна, так как во многом зависит от принятой учетной политики (способа начисления амортизации, учета реализации продукции и товарно-материальных запасов, переоценки основных средств) и реально может использоваться в качестве показателя обеспеченности акций. Балансовая стоимость акции определяет балансовую стоимость чистых активов, приходящихся на одну акцию[13, c. 230]. С точки зрения инвестиционного анализа может служить неким объективным критерием реального имущественного наполнения акции (степень применимости данного критерия определяется степенью, с которой бухгалтерский учет объективно отражает стоимость компании).
4) Ликвидационный метод - сумма активов компании, оставшаяся после продажи активов по самой выгодной цене из всех возможных после погашения обязательств и осуществления платежей владельцам привилегированных акций.
Ликвидационная стоимость (ЛС) – сумма денег, которую владельцы акций получат в случае ликвидации предприятия и продажи его имущества по частям. Следовательно, ЛС представляет собой минимально возможную цену, по которой держателям было бы выгодно продать ценные бумаги. Ликвидационная стоимость - стоимость чистых (после расчетов с кредиторами) активов на момент ликвидации компании по рыночным ценам в расчете на одну акцию[18, c. 68]. Определяется объемом и структурой чистых активов и конъюнктурой рынка.
Вместе с тем следует помнить, что для вынесения решения о ликвидации компании требуется одобрение решения не менее 75 процентов акционеров на общем собрании. Тогда ЛС акции рассчитывается по следующей формуле:
C = (С(l) - O - c(p) ) / A
где: C
- расчетная цена акции;
C(l)
- ликвидационная стоимость всех активов общества;
O
- суммарная величина всех обязательств общества;
c(p)
- суммарная номинальная стоимость всех привилегированных акций;
A
- число оплаченных обыкновенных акций.
Использование данного подхода сопряжено с трудностями определения стоимости основных фондов, земли, товарно-материальных запасов и прочего, так как в ряде случаев их реализация может быть произведена по стоимости, значительно меньшей, чем балансовая, даже с учетом ликвидности активов. Более того, в статье 64 Гражданского кодекса Российской Федерации установлена следующая последовательность удовлетворения требований к ликвидируемому предприятию[1]:
1. в первую очередь удовлетворяются требования граждан, перед которыми ликвидируемое юридическое лицо несет ответственность за причинение вреда жизни или здоровью, путем капитализации соответствующих повременных платежей;
2. во вторую очередь производятся расчеты по выплатам выходных пособий и оплате труда с лицами, работающими по трудовому договору, в том числе по контракту, и по выплате вознаграждений по авторским договорам;
3. в третью очередь удовлетворяются требования кредиторов по обязательствам, обеспеченным залогом имущества ликвидируемого юридического лица;
4. в четвертую очередь погашается задолженность по обязательным платежам в бюджет и во внебюджетные фонды;
5. в пятую очередь производятся расчеты с другими кредиторами в соответствии с законом.
Все затраты, связанные с ликвидацией предприятия (услуги посредников, транспортные расходы, оплата труда персонала на период ликвидации и так далее), оплачиваются из средств, вырученных от продажи имущества. Таким образом, при ликвидации общества владельцы обыкновенных акций получают в распоряжение сумму, существенно меньшую, чем экспертная оценка стоимости его собственности.
5) Инвестиционный метод – стоимость, по которой с точки зрения инвестора должна продаваться ценная бумага на фондовом рынке в соответствии с ее характеристиками. Оценивая инвестиционную стоимость, инвесторы пытаются определить, сколько средств они смогут получить из этих двух источников, а затем используют свои оценки как основу для определения потенциала доходности акции; одновременно этим инвесторы стараются оценить объем риска, которому они будут подвержены в период владения акциями; сочетание полученной информации с расчетами доходности и риска позволяет им определить инвестиционную стоимость акции, эта оценка является максимальной ценой, которую они могли бы заплатить за акцию.
Показатели учитываемые при оценке обыкновенных акций
Серьезные финансовые решения требуют учета большого количества факторов. Однако общее представление об инвестиционной привлекательности акции можно составить на основе нескольких простых показателей. Первый показатель — это ставка дивиденда.
Она определяется как отношение годового дивиденда к текущей цене акции и записывается в процентах:
![]()
где:rd — ставка дивиденда; Div — дивиденд; Р — текущая цена акции.
При расчете данного показателя обычно используют значение реально выплаченного дивиденда, реже — прогнозируемого. Например, Div = 50 руб., Р = 1000 руб.. тогда
![]()
Синонимом термина "ставка дивиденда" является термин "текущая доходность". Ставка дивиденда показывает, какой уровень доходности инвестор получит на свои инвестиции за счет возможных дивидендов, если купит акцию по текущей цене. Ставка дивиденда может дать вкладчику представление о том. в какой преимущественно форме приносит доход акция, в виде дивидендов или за счет прироста курсовой стоимости. Более консервативному инвестору следует остановить свой выбор на акциях с более высокой ставкой дивиденда. Принимая инвестиционное решение с учетом показателя ставки дивиденда, необходимо проследить ее динамику за длительный период, как минимум, несколько лет.
Следующий показатель — это срок окупаемости акции. Он измеряется в годах и определяется как отношение текущей цены акции (Р) к чистой прибыли на одну акцию (Е), которую заработало предприятие если представить, что вся прибыль выплачивается в качестве дивидендов, Е — это вся прибыль на акцию, она делится на дивиденд и реинвестируемую в производство прибыль. Например. Р = 1000 руб., Е= 200 руб., тогда
![]()
Это означает: если инвестор купит сейчас акцию по цене 1000 руб. а предприятие будет и дальше работать с такой же степенью эффективности (т.е. зарабатывать на акцию ежегодно 200 руб. чистой прибыли), то акция окупится через 5 лет. Когда инвесторы уверены в хороших перспективах предприятия, то срок окупаемости возрастает. так как поднимается цена акции вследствие увеличившегося спроса.
Для эмитента такая ситуация благоприятна, поскольку создает ему хорошие условия привлечения дополнительных финансовых ресурсов. В то же время акция с высоким значением показателя Р/Е — это не всегда наилучший выбор для инвестора, так как в значительной степени прирост ее курсовой стоимости может оказаться уже исчерпанным. Небольшое значение показателя Р/Е означает, что цена акции невысока, поскольку инвесторы не верят в надежные перспективы предприятия. Приобретение такой акции сопряжено, как правило, с более значительным риском. Показатели Р/Е могут отличаться по различным отраслям промышленности, но в целом срок окупаемости в 10-15 лет — это высокий показатель, а в 1-2 года — низкий. В рамках одной отрасли данный показатель для различных предприятий будет стремиться к некоторой единой величине. Если для какого-либо предприятия он отличается от характерной для отрасли цифры, то это предмет для более глубокого изучения состояния дел предприятия. Задача инвестора — определить, по какой причине акции данного акционерного общества имеют более высокий или низкий курс, чем все остальные. Показатель Р/Е и ставка дивиденда обычно указываются в котировках акций, приводимых в прессе.
Следующий аналитический показатель — это отношение текущей цены акции (Р) к ее балансовой стоимости (В). Для хорошо работающего предприятия Р должно быть больше В и соответственно отношение Р/В — больше единицы. Однако если данный показатель будет слишком большим, то это говорит о переоценке курса акции на рынке. В целом значение коэффициента на уровне 1,25-1,3 можно рассматривать как тот порог, выше которого, как правило, начинается спекулятивный прирост цены акции.
Рассматривая характеристику акций, можно сказать и о таком показателе как величина прибыли на одну акцию — ЕР8. Его определяют делением объявленной прибыли предприятия на общее число акций. Показатель является величиной абсолютной. Поскольку акции различных компаний отличаются друг от друга по стоимости, то с его помощью сложно проводить сравнения между акциями. Лучше воспользоваться отношением объявленной прибыли к объему капитализации акционерного общества на начало периода, за который была объявлена прибыль (или аналогично прибыли на одну акцию к ее цене в начале периода). Полученная цифра дает представление об эффективности инвестирования одного рубля средств в ту или иную компанию.
Приведенные показатели представляют собой самые общие аналитические характеристики акций. На их основе инвестор может сделать приближенную мгновенную оценку привлекательности бумаг[5, c. 135].
Выделяют акции агрессивные и защитные. Агрессивные акции — это акции акционерных обществ, доходы которых в сильной степени зависят от состояния экономической конъюнктуры и фазы экономического цикла. Если экономика находится на подъеме, то они приносят высокие прибыли, в случае экономического спада — невысокие доходы. Инвестору, ожидающему подъем в экономике, следует остановить выбор на агрессивных акциях. Примером таких бумаг могут быть акции автомобилестроительных компаний. Защитными называются акции предприятий, доходы которых слабо зависят от состояния экономической конъюнктуры. Это, прежде всего, предприятия коммунальной сферы. Даже в условиях экономического спада люди продолжают пользоваться электроэнергией, телефонами и т.п. Поэтому доходы таких компаний сокращаются в меньшей степени, чем агрессивных. В преддверии экономического спада инвестору следует переключиться на защитные акции. Они обеспечат ему более высокий уровень доходности, чем агрессивные акции.
В западных странах сложилась практика оценки "качества" акций, которое определяется присвоением им определенного рейтинга. Рейтинг акций говорит о степени их возможной доходности. Его дают аналитические компании. Наиболее известными из них в мировой практике являются "Standard & Poor" и "Moody's Investors Service"[20, c. 490]. Каждая аналитическая компания использует свои символы для обозначения уровня рейтинга. Например, компания "Standard & Poor" пользуется обозначениями для обыкновенных акций (Приложение 1).
Присвоение того или иного рейтинга ценной бумаге влияет на отношение к ней инвесторов, и, соответственно, отражается на ее цене и доходности.
Модели оценки стоимости обыкновенных акций
Стоимость обыкновенной акции (ke) обычно воспринимают как требуемую норму прибыли инвестора на обыкновенную акцию компании. Существует некоторые методы расчета акционерного капитала, представленного обыкновенными акциями: модель экономического роста Гордона и модель оценки основных средств (МООС), модель дисконтирования дивидендов (DDM).
Модель экономического роста Гордона представляет собой[16, c. 257]:
Po=Div(1+ g) / (r-g)
где Рo - стоимость (или рыночная цена) обыкновенной акции; di - дивиденды, которые должны быть получены за один год; г - требуемая норма прибыли инвестора; g - темп роста (принимается постоянным во времени).
Решая уравнение этой модели для г, получаем формулу для расчета стоимости обыкновенной акции:
r = Di / Po +g или ke = Di / Po +g
Символ г заменяется на ke, для того, чтобы показать, что эта формула применяется для определении стоимости капитала.
Стоимость новой обыкновенной акции, или внешний акционерный капитал, выше, чем стоимость настоящей обыкновенной акции, из-за стоимости размещения выпуска, связанной с продажей новых акций. Стоимость размещения займа, иногда называемая стоимостью выпуска новых акций (стоимость эмиссии), представляет собой общую стоимость выпуска и продажи ценных бумаг, включая печать и гравирование, комиссионные сборы и гонорар за бухгалтерскую ревизию.
Если f - стоимость размещения займа в процентах, формула для расчета стоимости новой обыкновенной акции будет выглядеть следующим образом:
ke = Di / Po(1-f) +g
Модель Гордона определяет стоимость компании на начало первого года постпрогнозного периода как величину капитализированного дохода постпрогнозного периода (то есть сумме стоимостей всех ежегодных будущих доходов в постпрогнозном периоде.
Использование модели Гордона требует соблюдения трех условий[11, c.546]:
Темпы роста дохода должны быть стабильны;
Темпы роста дохода не могут быть больше ставки дисконта;
Капитальные вложения в постпрогнозном периоде должны быть равны амортизационным отчислениям (для случая, когда в качестве дохода выступает денежный поток).
Метод модели оценки основных средств (МООС). Чтобы использовать этот альтернативный метод оценки стоимости обыкновенной акции, вы должны:
1. Рассчитать без рисковую ставку rf , обычно принимаемую равной ставке казначейского векселя США.
2.Определить коэффициент бетта - акции (Ь), который является показателем систематического (или не диверсифицированного) риска.
3. Определить норму прибыли на портфель ценных бумаг (rm ), таких , как "Стэндарт энд Пурз - 500", "Сток Композит Индекс" или "Доу Джонс Индастриалз-30".
4. Оценить требуемую норму прибыли на акцию компании, используя уравнение МООС:
ke = rf + b ( rm - rf )
Опять же отметим, что символ ri заменяется на ke.
Поскольку срок обращения акции формально не ограничен, при n → ∞ слагаемое в формуле будет стремиться к нулю. Тогда
![]()
Полученное выражение известно как модель дисконтирования дивидендов ( DDM ), разработанная американским ученым Дж. Уилльямсом (J. Williams). Согласно данной модели стоимость обыкновенной акции равна сумме всех дивидендов, дисконтированных к текущему моменту[19, c. 35].
Глава 2. Эффективность методов оценки. Предложения по увеличению стоимости обыкновенных акций.
В настоящее время наиболее достойной целью «интеллигентного» бизнеса считается повышение стоимости акционерного капитала, что оправдано с юридической и моральной точек зрения, поскольку именно владельцы акций являются законными собственниками компании. Стоимость капитала акционеров компании повышается при выплате им высоких дивидендов, увеличении рыночной стоимости акций и назначении денежных выплат. На практике это означает управление предприятием с целью получения реальных денежных средств, а не «бумажных» прибылей. Если цель компании состоит в повышении стоимости капитала акционеров, предприятию следует инвестировать средства только в тех случаях, если оно рассчитывает на прибыль большую, чем ее собственники получат при альтернативных вложениях. В этом случае, если некое подразделение компании представляет особую ценность для другой фирмы, оно тотчас продается, а полученные средства распределяются между акционерами.
Практические трудности использования стратегии, направленной на увеличение стоимости акционерного капитала, определяют ориентацию предприятий на показатели прибыли. Невысокая величина уставного капитала уменьшает шансы компании на получение кредитов и инвестиций. Распространенное заблуждение: уставный капитал организации можно увеличить за счет любого ее имущества, включая товары, материалы или основные средства (будь то общество с ограниченной ответственностью или акционерное общество). Источниками увеличения уставного капитала в АО могут быть нераспределенная прибыль, добавочный капитал, фонды накопления, резервный капитал.
В новой экономике, основанной на созидании акционерного капитала, приоритетной задачей является управление стоимостью имущества — в целом хозяйственных обществ, их ценных бумаг (акций, облигаций и т. д.), активов. В настоящее время актуальность управления стоимостью компании все более возрастает в силу усиления конкурентной борьбы компаний за капитал инвесторов и акционеров. Кроме того, необходимость управления стоимостью компании продиктована современными требованиями к ведению бизнеса, которые предъявляются к топ менеджерам компании.
Управление стоимостью компании необходимо одинаково всем: акционерам, инвесторам, топ менеджерам. Только эта цель - рост стоимости компании является общей для всех участников деятельности компании и совпадает с их разносторонними интересами.
Уставный капитал акционерного общества может вырасти путем увеличения номинальной стоимости акций или размещения дополнительных акций. Средства, полученные от распространения акций, фактически безвозвратны, а, значит, могут быть вложены в наиболее долгосрочные и медленно окупаемые активы, под которые достаточно трудно найти другие заёмные средства. Следует отметить, что расширение собственного капитала может происходить и другим способом - путем капитализации части нераспределенной прибыли. При этом способе увеличения собственного капитала руководство акционерного общества с согласия собрания акционеров принимает решение не выплачивать определенную долю нераспределенной прибыли держателям обычных акций в виде дивидендов, а инвестировать ее в различные виды деятельности. Оставляя прибыль в распоряжении акционерного общества, акционеры - собственники акций фактически инвестируют ее в ожидании будущего роста рыночной стоимости акций и получения возросшего дохода по ним.
Удержание прибыли является более простым и дешевым способом пополнения акционерного капитала, поскольку в отличие от эмиссии акций оно не связано с издержками на их размещение и сбыт. Вместе с тем следует учитывать, что практика реинвестирования прибыли, затрудняя увеличение текущих дивидендов, может оказать неблагоприятное воздействие на курс акций, поскольку непрерывность дивидендных выплат (желательно с возрастанием их динамики) выступает как важнейший фактор поддержания курса акций. Известно, что рост рыночной стоимости акций определяется повышением дохода по ним, поэтому выплата более высоких дивидендов увеличивает доходы акционеров и облегчает наращивание капитала с помощью продажи дополнительных акций.
При удержании прибыли средства должны быть инвестированы так, чтобы принести высокую норму дохода и компенсировать издержки уплаты дивидендов. Аналогично при продаже новых акций средства, полученные от их реализации, должны быть инвестированы таким образом, чтобы обеспечить доход, достаточный для поддержания того же дивиденда на акцию и того же курса акций, которые существовали при прежнем объеме акционерного капитала.
Метод оценки обыкновенных акций на основе дисконтирования будущих доходов имеет целый ряд достоинств и недостатков. Он позволяет отразить будущую доходность компании, что в наибольшей степени интересует инвестора. При этом учитывается риск инвестиций, возможные темпы инфляции, а также ситуация на рынке через ставку дисконта. Этот метод позволяет учесть экономическое устаревание компании, показателем которого является превышение величины рыночной стоимости, полученной методом накопления активов, над величиной рыночной стоимости, полученной методом дисконтирования будущих доходов. Мировая практика показала, что этот метод точнее всего определяет рыночную стоимость предприятия, но его использование затруднено в силу сложности проведения достаточно точного прогнозирования.
Сам по себе ожидаемый рост прибыли, дивидендов и курса акций непосредственно не приводит к повышению текущих цен на акцию. Основным фактором, влияющим на повышение цен акций, является наличие у фирмы таких инвестиционных возможностей по реинвестированию прибыли, которые приведут к тому, что ставка доходности новых инвестиционных проектов компании превысит сложившийся на рынке уровень доходности.
Рост прибыли и соответственно дивидендов зависит от того, имеются ли в распоряжении у фирмы финансовые средства для осуществления инвестиций, а также от того, существует ли вообще возможность для инвестиций. При внешнем финансировании рост будет усилен посредством доходов, получаемых за счет внешнего финансирования проектов.
В случае реинвестирования и одновременного принятия политики по увеличению дивидендов будущие дивиденды по величине будут больше текущих. Дивиденды будут расти до тех пор, пока часть прибыли направляется на развитие бизнеса.
Уровень доходности обыкновенных акций может быть повышен за счет изменения следующих факторов:
1. изменение уровня процентных ставок на денежном рынке ссудных капиталов и курса валют;
2. ликвидность акций, определяемая временем, которое необходимо для конвертации финансовых инвестиций в наличные деньги;
3. уровень налогообложения прибыли и прироста капитала для ценных бумаг;
4. размер трансакционных издержек, связанных с процедурой купли-продажи акций;
5. частота и время поступления процентных доходов;
6. уровень инфляции, спроса и предложения.
В данный момент экономика страны находится в кризисном состоянии, однако пока это существенно не отразилось на рассматриваемую мною компанию, следовательно использование модели Гордона для оценки стоимости акций целесообразно и в этот момент.
ЗАКЛЮЧЕНИЕ
Современная экономика цивилизованной страны предполагает наличие крупного сектора, базирующегося на акционерном капитале. Данный сектор развивается по своим законам, используя акцию в качестве универсального финансового инструмента, служащего специфическим целям.
В заключение по данной работе хотелось бы сделать следующие выводы:
Акция — ценная бумага, выпускаемая акционерными обществами без установленного срока обращения. Акция удостоверяет внесение ее владельцем доли в акционерный капитал (уставный фонд) общества.
Акция дает следующие права:
— на получение части прибыли в виде дивидендов;
— на продажу на рынке ценных бумаг;
— на участие в управлении акционерным обществом имущественное право.
Акции бывают именные и на предъявителя, обыкновенные и привилегированные.
Обыкновенные акции — акции, по которым дивиденды выплачиваются из части прибыли, оставшейся после уплаты твердого процента обладателям привилегированных акций, то есть в виде процента, зависящего от величины прибыли. Подобные акции называют также ординарными или акциями с нефиксированным дивидендом. Владельцы обыкновенных акций в отличие от обладателей привилегированных акций обладают правом голоса на общем собрании акционеров.
Привилегированные акции — акции, которые дают их владельцам право на первоочередное получение дивидендов по фиксированной ставке вне зависимости от уровня прибыли, полученной акционерным обществом в данном периоде. Привилегированные акции могут вносить ограничения на участие в управлении, могут давать дополнительные права в управлении (не обязательно), но приносят постоянные (часто — фиксированные в виде определенной доли от бухгалтерской чистой прибыли или в абсолютном денежном выражении) дивиденды.
К методам оценки обыкновенных акций относятся: номинальный;
рыночный; балансовый; ликвидационный; инвестиционный.
Основой для оценки акций является определение их стоимости как финансового инструмента, способного приносить прибыль его владельцу. Основными способами извлечения прибыли являются получение дивидендов и рост стоимости акции, связанный с улучшением финансовых показателей компании, расширением ее бизнеса и увеличением стоимости ее активов.
К моделям оценки обыкновенных акций являются модель экономического роста Гордона и модель оценки основных средств (МООС), модель дисконтирования дивидендов (DDM).
Использование метода экономического роста при оценке финансовых активов заключается в дисконтировании ожидаемых денежных потоков по ставке, скорректированной с учетом риска. Оценка акций с использованием модели Гордона основывается на том, что инвестор, намереваясь приобрести обыкновенные акции, рассчитывает на такую ставку доходности (учитывающую денежные дивиденды и прирост курсовой стоимости ценных бумаг), которая будет равна рыночной учетной ставке. Модель оценки Гордона является наиболее применимой при оценке обыкновенных акций очень крупных или многоотраслевых компаний.
С помощью модели экономического роста находим текущую стоимость обыкновенной акции, если на рынке эти акции продаются по более низкой цене, инвестору следует приобрести их, а если по высокой цене, то продавать.
Во второй главе оценена эффективность использования методов оценки, представлены предложения, направленные на увеличение дивидендов по обыкновенным акциям, а так же их текущей и рыночной стоимости. Существует ряд способов, с помощью которых достигается желаемый результат, к ним можно отнести увеличения номинальной стоимости акций или размещения дополнительных акций, капитализации части нераспределенной прибыли, реинвестирование прибыли, которое приведут к тому, что ставка доходности новых инвестиционных проектов компании превысит сложившийся на рынке уровень доходности, следовательно и произойдет рост прибыли, дивидендов и курса акций текущих цен на акцию, а значит и текущая стоимость обыкновенных акций.
Существуют и другие методы увеличения доходности акций, к ним относятся - изменение уровня процентных ставок на денежном рынке ссудных капиталов и курса валют; ликвидность акций, определяемая временем, которое необходимо для конвертации финансовых инвестиций в наличные деньги; уровень налогообложения прибыли и прироста капитала для ценных бумаг; размер трансакционных издержек, связанных с процедурой купли-продажи акций; частота и время поступления процентных доходов; уровень инфляции, спроса и предложения.
Таким образом, акционерный капитал в настоящее время в России играет исключительно важную роль, являясь приоритетной составной частью современной экономики.
Практическая часть
Задача 3.
Имеется следующая информация о сроках обращения и текущих котировках бескупонных облигаций.
| Вид облигации |
Срок обращения (год) |
Рыночная цена |
| А |
1 |
98,04 |
| В |
2 |
93,35 |
| С |
3 |
86,38 |
| Д |
4 |
79,21 |
А) На основании исходных данных постройте график кривой доходности на 4 года.
В) Дайте объяснение форме наклона кривой.
С) Определите справедливую стоимость ОФЗ-ПД со сроком обращения 4 года и ставкой купона 7% годовых, выплачиваемых один раз в год.
Решение:
А)
Рисунок 1 график кривой доходности на 4 года
Б) на величину показателя YTM (доходности) оказывает влияние цена облигации. Зависимость между доходностью и ценой облигации, как следует из графика, обратная, т.е. чем выше цена, тем доходность ниже, и чем ниже цена, тем выше доходность
С) “справедливая” стоимость любого актива равна дисконтированной стоимости генерируемого им в будущем потока платежей, т.е.:
![]()
где CFt – выплата по активу в момент t ; rt – рыночная ставка доходности в
момент t .
r = YTM ( процентная ставка (норма дисконта) равна доходности к погашению)
![]()
![]()
m – число купонных выплат в год
к – ставка купона
К – курс
YTM = (1+ (0, 07/1)*(100/79, 21))-1= 0, 0882 (8, 82%)
Как следует из полученных результатов, доходность к погашению данной облигации выше купонной
![]()
= (7/1) / 1*(1+0,0882-1) = 7/0,0882 = 79,36
Справедливая стоимость составит 79,36.
Задача 10.
Ниже приведена информация о ценах акций «А» и «В» за несколько лет.
| Год |
2000 |
2001 |
2002 |
2003 |
2004 |
2005 |
2006 |
2007 |
2008 |
2009 |
| А |
7,07 |
9,29 |
23,20 |
53,56 |
38,25 |
18,11 |
13,10 |
24,23 |
19,32 |
17,12 |
| В |
0,71 |
4,33 |
29,62 |
108,17 |
15,03 |
8,87 |
8,18 |
22,51 |
37,68 |
39,18 |
А) Определите среднюю доходность и риск акций за рассматриваемый период.
В) Предположим, что инвестор формирует портфель из данных акций в пропорции 50% на 50%. Определите доходность и риск такого портфеля.
С) Постройте график эффективной границы Марковица при условии, что акции «А» и «В» являются единственными объектами, доступными для инвестирования.
Решение:
Среднее значение уровня дохода по ценной бумаге может быть определено по фактическим данным прошлого года
Rср = сумм Rª / n
Rª – доходность в период а
n- количество временных рядов
Rср (А) = 22, 31
Rср (В) = 27, 42
Риск измеряется при помощи дисперсии и стандартного отклонения.
Дисперсия характеризует разброс вокруг ожидаемого значения.
s ² = сумм (Rm – Rср) ² / (n-1)
Rm – доходность уровня m
s ² (А) = 0.0025
s ² (В) = 0.0007
Стандартное отклонение
s = SQRT(s ²)
s (А) = 0,05
s (В) = 0,026
Значения стандартного отклонения свидетельствуют о том, что доходность портфеля А, отклоняется от ожидаемого значения в среднем на 0,05 процентных пункта, по бумаге В – на 0.026 .
Портфель состоящий из двух ценных бумаг
Доходность
Rр = r1x1 + r2x2
Среднее отклонение
sр = s (А)* s (В) / SQRT(s(А) ² +s (В) ²)
Пусть х1 – доля ценной бумаги А (50%)
1 – х1 – доля ценной бумаги В (50%)
Rр = 24,86
sр = 0,02

Задача 11.
Предположим, что безрисковая ставка составляет 5%. Ниже приведены ожидаемые доходности и стандартные отклонения трех паевых фондов.
| Фонд |
Доходность |
Риск ( s ) |
| А |
16% |
32% |
| В |
14% |
25% |
| С |
12% |
16% |
А) Какие критерии оценки эффективности портфельных инвестиций вы знаете?
В) Какой критерий следует использовать рациональному инвестору для выбора фонда исходя из условий?
б) Какой фонд вы посоветуете инвестору? Дайте обоснование своего выбора и подкрепите свое мнение расчетом соответствующего критерия?
Решение:
Финансовые (портфельные) инвестиции , т.е. вложения в акции, облигации, другие ценные бумаги, связанные непосредственно с титулом собственника, дающим право на получение дохода от собственности.
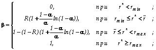
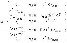
Классической моделью управления фондовым портфелем является модель Марковица. Пусть портфель содержит N типов ценных бумаг (ЦБ), каждая из которых характеризуется пятью параметрами:
начальной ценой Wi0 одной бумаги перед помещением ее в портфель;
числом бумаг ni в портфеле;
начальными инвестициями Si0 в данный портфельный сегмент, причем выполняется:
Si0 = Wi0 ´ ni; ( 34)
ожидаемой доходностью бумаги ri;
ее стандартным отклонением s i от среднеожидаемого дохода.
Из перечисленных условий ясно, что случайная величина конечной цены бумаги (включающая промежуточные выплаты) имеет нормальное распределение с параметрами (Wi0 ´ (1+ri), s i).
Сам портфель характеризуется:
суммарным объемом портфельных инвестиций S;
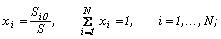
долевым ценовым распределением бумаг в портфеле {xi}, причем для исходного портфеля выполняется:
![]()
корреляционной матрицей {r ij}, коэффициенты которой характеризуют связь между доходностями i-ой и j-ой бумаг. Если r ij = -1, то это означает полную отрицательную корреляцию, если r ij = 1 - имеет место полно положительная корреляция. Всегда выполняется r ii = 1, так как ЦБ положительно коррелирует сама с собой.
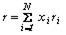
Таким образом, портфель описан системой статистически связанных случайных величин с нормальными законами распределения. Тогда, согласно теории случайных величин, ожидаемая доходность портфеля r находится по формуле:
(36)
а стандартное отклонение портфеля s определяется по формуле:
( 37)
Задача управления таким портфелем имеет следующее описание: определить вектор {xi}, максимизирующий целевую функцию r вида (36) при заданном ограничении на уровень риска s , оцениваемый (37):
. ( 38)
( 38)
Замечание. В подходе Марковица к портфельному выбору под риском понимается не риск неэффективности инвестиций, а степень колеблемости ожидаемого дохода по портфелю, причем как в меньшую, так и в большую сторону. Можно без труда перейти от задачи вида (38) к задаче, где в качестве ограничения вместо фиксированного стандартного отклонения выступает вероятность того, что портфельная доходность окажется ниже заранее обусловленного уровня.
Нечеткое число как модель доходности ЦБ
Поскольку доход по ЦБ случаен, его точное значение в будущем неизвестно, а вероятностное описание такого сорта случайности не вполне корректно, то в качестве описания доходности ЦБ уместно использовать треугольные нечеткие числа, моделируя экспертное высказывание следующего вида: “Доходность ЦБ по завершении срока владения ожидаемо равна и находится в расчетном диапазоне [r1, r2]”. Здесь эксперт отказывется от вероятностного описания доходности, отсекает слабовозможные случайные исходы с двух сторон от ожидаемого значения (вероятность таких исходов при нормальном распределении не равна нулю) и формирует расчетный коридор, в котором ожидается уровень доходности ЦБ, при этом за эксперт принимает либо наиболее ожидаемое, либо среднее значение доходности в расчетном коридоре. Функция принадлежности нечеткого числа имеет треугольный вид, если степень субъективной уверенности эксперта в отношении доходности равна нулю за пределами расчетного коридора значений доходности, а максимум этой уверенности, равный единице, достигается в точке . Эксперт убежден, что заведомо попадет в любой расчетный коридор доходности, как бы ни менялись границы этого коридора.
Доходность портфеля как нечеткое число
Способ описания ожидаемой доходности в форме нечеткого числа автоматически снимает все проблемы, сопряженные с учетом связи ЦБ по тенденциям. Потому что если доходность ЦБ - треугольное нечеткое число, а доходность портфеля - линейная комбинация доходности компонент, то результирующий вид доходности портфеля также известен.
Пусть= (r1i, ,r2i) - доходность по i-ой ценной бумаге, треугольное нечеткое число. Тогда доходность по портфелю:
39
![]()
также является треугольным нечетким числом. Вывод о том, что линейная комбинация треугольных нечетких чисел есть треугольное нечеткое число, здесь мы приводим без доказательства, как хорошо известный результат теории нечетких множеств.
Оценка портфельного риска
Зафиксируем r* - критическое значение доходности портфеля. Если фактическое значение доходности r окажется ниже r*, то считаем, что портфель был сформирован неэффективно.



Модель управления портфельным риском
Теперь зафиксируем - требуемый уровень ожидаемой доходности портфеля. Манипулируя вектором {xi}, мы можем добиться минимума риска инвестиций. Запись этой задачи:
(43)
Эта задача является двойственной задачей нелинейного программирования к задаче в следующей записи:
![]()
Эта задача подобна (38), только в качестве фактора риска (линейного ограничения в форме равенства) выступает не стандартное отклонение портфеля, а степень риска неэффективности инвестиций.
Мы считаем, что применение нечетких множеств при учете исходной неопределенности относительно доходов по ценным бумагам - весьма перспективное направление анализа эффективности портфельных инвестиций. Эксперт-аналитик при использовании этого подхода избавлен от необходимости формировать вероятностные прогнозы на весьма шаткой информационной основе, когда поведение торгуемых ценных бумаг не обладает характером статистических случайных процессов. Эксперту достаточно сделать допущение о расчетном коридоре, в котором ожидаемо колеблется будующий доход по ЦБ. При этих простейших допущениях удается оценить степень риска неэффективности портфельных инвестиций и построить процедуру по минимизации этого риска.
Оценка портфельного риска
Зафиксируем r* - критическое значение доходности портфеля. Если фактическое значение доходности r окажется ниже r*, то считаем, что портфель был сформирован неэффективно.
Определим рыночную цену риска для каждого паевого фонда:
λ = (ДОХОДНОСТЬ – БЕЗРИСКОВАЯ СТАВКА ПРОЦЕНТА)/ Риск ( s )
λ А=(16-5)/32 = 0,34
λВ=(14-5)/25=0,36
λС ==(12-5)/16=0,43
Для инвестора предпочтительней паевый фонд А, так как рыночная цена риска является наименьшей и составляет 0,34.
Задача 19.
ОАО «Венера» и «Сатурн» имеют следующие возможности для привлечения заемных средств в сумме 100 млн.
| Предприятие |
Фиксированная ставка |
Плавающая ставка |
| «Венера» |
12,0% |
LIBOR + 0,1 |
| «Сатурн» |
13,4% |
LIBOR + 0,6 |
При этом ОАО «Венера» предпочитает заем по плавающей ставке, а ОАО «Сатурн» - по фиксированной.
А) Разработайте своп, который принесет выгоду обоим предприятиям.
В) Какова максимальная ставка комиссии, которую предприятия могут предложить организатору свопа?
Решение:
ОАО «Венера» предпочитает заем по плавающей ставке, а ОАО «Сатурн» - по фиксированной.
Однако компания Венера заинтересована в эмиссии задолженности по фиксированной ставке, а компания Сатурн по плавающей ставке. Таким образом, разница между дырками составит
∆(13,4 -12,0) -∆( LIBOR + 0,6) – (LIBOR + 0,1) = 0,9
Данная разница представляет собой тот потенциальный выигрыш, которым могут воспользоваться компании для уменьшения расходов по выплате своих займов.
Допустим компании согласны поделить выигрыш пополам, т.е. для каждой компании выигрыш составит
0,9/2 = 0,45
Если компания Венера должна уплатить фиксированную ставку и сэкономить при этом 0,45, то ее платеж составит
12,0% - 0,45 = 11,55%
Т.к. компания Сатурн обязуется выплатить плавающую ставку и сэкономить при этом 0,45 , то ее платеж составит
LIBOR + 0,6 – 0,45 = LIBOR + 0,15
На практике обычно организуется своп помощью финансового посредника
Максимальная ставка комиссии банка не должна превышать потенциальный выигрыш участников, т.е. 0,9.
Задача 23.
На рынке капитала обращаются два инструмента Д и А, торговлю которыми осуществляют брокеры К, Н и М. Сложившаяся к настоящему моменту конъюнктура рынка представлена в таблице.
| Брокер |
Д |
А |
Цена за портфель |
| К |
3 |
1 |
80,00 |
| Н |
2 |
2 |
60,00 |
| М |
5 |
7 |
185,00 |
Какие сделки должен осуществить инвестор, чтобы осуществить возможность арбитража, и какова его максимальная прибыль при разовой сделке?
Решение:
Инвестор покупает 4 портфеля у брокера Н, и продает по 1 портфелю брокерам К и М. По окончании этих сделок у него не остается инструментов. Если мы сейчас обозначим символом Хк (Хн, Хм) содержание портфеля (К, Н,М) , то для портфеля инвестора:
(nк, nн, nм) =(-1, +4, -1)
Будет верным условие
Nк* Хк + nн* Хн + nм* Хм = 0
-1* Хк + 4* Хн -1* Хм = 0
За 4 портфеля брокера Н инвестор должен заплатить 240,00. От продажи портфеля в составе предлагаемом брокером К, он выручит 80 руб.за портфель предлагаемый брокером М, он получит 185,00. Таким образом, при одноразовом осуществлении сделки для инвестора создается отрицательная цена за его портфель в объеме + 240 – 80 – 185 = -25
Если бы инвестору удалось осуществлять сделку бесконечно, он выигрывал бы каждый раз 25 руб., и стал бы безгранично богатым.
СПИСОК ЛИТЕРАТУРЫ.
ФЗ:
- Гражданский кодекс РФ
- ФЗ "Об акционерных обществах" от 26 декабря 1995 года №208 – ФЗ, с изменениями и дополнениями на 01.01. 2008
- ФЗ "О рынке ценных бумаг" от 22 апреля 1996 года за №39 -ФЗ. , с изменениями и дополнениями на 01.01. 2008
- ФЗ "Об оценочной деятельности" от 29 июля 1998 года за №135- ФЗ, с изменениями и дополнениями на 01.01. 2008
Учебники и учебные пособия:
- Басовский Л.Е. Финансовый менеджмент: Учебник - М.: ИНФРА-М,
2006. - 240 с. - (Серия "Высшее образование").
- Галанов В.А. Рынок ценных бумаг: Учебник.- М.: ИНФРА-М.- 2008- 379 с. – (100 лет РЭА им. Г.В. Плеханова).
- Инвестиции : учебник/ А.Ю. Андрианов и др. – 2-е изд., перераб. И доп.- М.: ТК Велби, изд-во Проспект, 2007. – 584 с. (ст. 425)
- Инвестиции: Учебник/ Под ред. В.В. Ковалева, В.В. Иванова, В.А. Лялина – М.: ООО «ТК Велби», 2006. – 440 с.
- Инвестиции: Конспект лекций (для студентов специальности 060400 «Финансы и кредит») / сост. А.В. Меньшенина. – Омск: Изд-во ОмГУ, 2005. – 79 с.
- И.Я. Лукасевич Анализ операций с ценными бумагами с Microsoft Excel/Учебное пособие. – М.
11. Ковалев В. В. Введение в финансовый менеджмент. – М.: Финансы и статистика, 2006. –768 с.
12. Коротцев А.Г. «Ценные бумаги. Виды и разновидности» М.: Изд-во РДЛ, 2007. – 243 с.
13. М.Н. Крейнина. Финансовое состояние предприятия. Методы оценки. М., ИКЧ «ДИС», 2006. – 385 с.
14. Миркин Я.Н. Ценные бумаги и фондовый рынок. М.: Изд-во РДЛ, 2006. – 465 с.
- Муфтиев Г.Г., Галиаскаров Ф.М. : Теоретические основы финансового менеджмента: Учебное пособие. – Москва, 2007. – 124 с.
- Просветов Г.И. Финансовый менеджмент: Учебно-методическое пособие. – М.: Изд-во РДЛ, 2006. – 376 с.
- Рынок ценных бумаг: Учебник для студентов, вузов и обучающихся по экон. Специальностям/ Под ред. С.Ф. Жукова. – 2-е изд., перераб. и доп. – М.: ЮНИТИ-ДАНА, 2006. – 463 С.
- Савенков, В.Н. Ценные бумаги в России: учебное пособие/В.Н. Савенков – М.: Ифра-М, 2009. – 197 с.
19. Финансовый анализ: Учебное пособие – Уфа, 2009. – 156 с.
- Шарп У., Александер Г., Бейли Дж. Инвестиции: Перевод с англ.. – М.: ИНФРА-М, 2008. – 12, 1028 с.
Интернет ресурсы:
- Сервер РТС http://paufor.ru/rts.htm
- Сервер АК&M http://www.2akm.ru
- Сервер РИА «РосБизнесКонсалтинг», http://rbc.ru
- Сервер информационного агентства «Финмаркет», http://finmarket.ru
- Сервер Федеральной комиссии по рынку ценных бумаг, http://fedcom.ru
- интернет-сайт: http://www.finansy.ru
- интернет-сайт: http://www.ecsocman.edu.ru
- интернет-сайт: http://www.ifin.ru/
- интернет-сайт: http://www.uba.ru