| Скачать .docx |
Реферат: Оценка инвестиционной привлекательности
1.
2. ПОНЯТИЕ И СУЩНОСТЬ, КЛАССИФИКАЦИЯ ИНВЕСТИЦИЙ…………………………………………………………………...5
3. ОСОБЕННОСТИ УПРАВЛЕНИЯ ИНВЕСТИЦИОННОЙ ПРИВЛЕКАТЕЛЬНОСТЬЮ ПРЕДПРИЯТИЯ………………………………..23
4. МЕТОДЫ ОЦЕНКИ ИНВЕСТИЦИОННОЙ ПРИВЛЕАТЕЛЬНОСТИ ПРЕДПРИЯТИЯ………………………………………………………………...38
1. ПОНЯТИЕ И СУЩНОСТЬ, КЛАССИФИКАЦИЯ ИНВЕСТИЦИЙ
Термин «инвестиция» - слово иностранного происхождения (от лат. Investire, нем. Investition), в переводе – долгосрочное вложение в какие-либо объекты, социально-экономические программы, проекты в собственной стране или за рубежом с целью получения дохода и социального эффекта.[1]
Инвестиции – одна из наиболее часто используемых в экономической системе категорий как на макроуровне, так и на микроуровне. Однако несмотря на исключительное внимание исследователей к этой ключевой экономической категории, научная мысль до сих пор не выработала универсальное определение инвестиций, которое отвечало бы потребностям как теории, так и практики, а также было бы адекватным с позиции конкретного субъекта их осуществления – государства, предприятия, домашнего хозяйства.
Существуют различные модификации определений понятия «инвестиции», отражающие множественность подходов к пониманию их экономической сущности. В значительной степени это обусловлено экономической эволюцией, спецификой конкретных этапов, историко-экономического развития, господствующих форм и методов хозяйствования.
В современной литературе многообразные определения инвестиций часто трактуют эту категорию недостаточно четко или чрезмерно узко, акцентируя внимание лишь на отдельных ее сущностных сторонах.
Наиболее типичная неточность многих определений заключается в том, что под инвестициями понимается любое вложение финансовых средств, которое часто не связано с решением инвестиционных целей субъектов их осуществления. К ним иногда относятся так называемые «потребительские инвестиции» (покупка телевизоров, автомобилей и т.п.), которые по своему экономическому содержанию к инвестициям отнести нельзя – средства в приобретение этих товаров расходуются в данном случае на долгосрочное их потребление (если их приобретение не преследует цели последующей их перепродажи для получения прибыли). Кроме того, часто не проводится различие между инвестиционными затратами финансовых средств и текущими их затратами, обслуживающими операционный процесс предприятия.
Многие существующие определения связывают инвестиции исключительно с целями прироста капитала или получения текущего дохода (прибыли). Хотя в условиях рыночной экономики эта цель является определяющей, инвестиции могут преследовать и иные как экономические цели, так и внеэкономические цели вложения капитала.
Частая ошибка, встречающаяся в литературе, - идентификация понятия «инвестиции» с понятием «капитальные вложения». Инвестиции в этом случае рассматриваются как вложение капитала в воспроизводство основных средств - как производственного, так и непроизводственного характера. Вместе с тем, инвестиции могут осуществляться и в прирост оборотных активов, и в различные финансовые инструменты, и в отдельные виды нематериальных активов. Следовательно, капитальные вложения являются более узким понятием и могут рассматриваться лишь как одна из форм инвестиций, но не как их аналог.
Во многих определениях инвестиции отмечается, что они являются вложением денежных средств. С такой точкой зрения категории также нельзя согласиться. Инвестирование капитала может осуществляться не только в денежной форме, но и в других формах – движимого и недвижимого имущества (капитальных товаров), различных финансовых инструментов (прежде всего, ценных бумаг), нематериальных активов и т. п.
И наконец, в ряде определений отмечается, что инвестиции представляют собой долгосрочное вложение средств. Безусловно, отдельные формы инвестиций (в первую очередь, капитальные вложения, инвестиции в акции и т. п.) носят долгосрочный характер, однако инвестиции могут быть и краткосрочными (например, краткосрочные финансовые вложения в облигации, депозитные сертификаты с периодом обращения до одного года).[2]
Следует отметить, что термин «инвестиции» для анализа процессов социалистического воспроизводства практически не использовался до 1991 г., основной сферой его применения были переводные работы зарубежных авторов и исследования в области капиталистической экономики. Базисным понятием инвестиционной деятельности являлось понятие капитальных вложений. В последующий период и по настоящий момент термин «инвестиции» получил более широкое распространение в научном обороте, стал использоваться в правительственных и нормативных документах. [3]
И, наконец, в Федеральном законе «Об инвестиционной деятельности в Российской Федерации, осуществляемой в форме капитальных вложений» от 25 февраля 1999 г. № 39-ФЗ инвестициям дается следующее определение: «Инвестиции – денежные средства, ценные бумаги, в том числе имущественные права, имеющие денежную оценку, вкладываемые в объекты предпринимательской и (или) иной деятельности в целях получения прибыли и (или) достижения иного полезного эффекта».
Таким образом, термин «инвестиция» может быть определен как все виды ресурсов (ценностей), вкладываемых в объекты предпринимательской и других видов деятельности в целях получения прибыли (дохода) и (или) получения положительного эффекта (социального, экономического и др.). В качестве подобных ценностей могут выступать денежные средства, движимое и недвижимое имущество, объекты авторского права, лицензии, патенты программные продукты, технологии и другие интеллектуальные ценности, права пользования землей, природными ресурсами, а также любым другим имуществом.[4]
Многообразие понятий термина «инвестиции» в современной отечественной и зарубежной литературе в значительной степени определяется широтой сущностных сторон этой сложной экономической категории. Поэтому для уточнения содержания этой категории следует рассмотреть основные характеристики, формирующие ее сущность:
- Инвестиции как объект экономического управления.
Предметная сущность инвестиций непосредственно связана с экономической сферой ее проявления. Несмотря на рассмотренные ранее достаточно значимые терминологические различия, инвестиции трактуются всеми исследователями как категория экономическая, хотя и связанная с технологическими, социальными, природоохранными и иными аспектами их осуществления. Иными словами, категория «инвестиции» входит в понятийно-категориальный аппарат, связанный со сферой экономических отношений, экономической деятельности. Соответственно, выступая носителем преимущественно экономических характеристик и экономических интересов, инвестиции являются субъектом экономического управления как на макро-, так и на микроуровне любых экономических систем.
- Инвестиции как наиболее активная форма вовлечения накопленного капитала в экономический процесс.
В теории инвестиций их связь с накопленным капиталом (сбережениями) занимает центральное место. Это определяется сущностной природой капитала как экономического ресурса, предназначенного к инвестированию. Термин «капиталист» в первую очередь характеризует индивидуума, инвестирующего свой капитал, а не только накопившего определенный его запас. Только путем инвестирования капитал как накопленная ценность вовлекается в экономический процесс.
Однако не весь накопленный предприятием запас капитала используется исключительно в инвестиционных целях. Часть денежного или иного капитала в силу требований ликвидности представляет собой форму страхового резерва, обеспечивающего ритмичность хозяйственной деятельности, платежеспособность и т.п., сохраняя пассивную форму. Инвестиции же в противовес этому, следует рассматривать как наиболее активную форму использования накопленного капитала.
Уровень потребления накопленного капитала как инвестиционного ресурса, вовлекаемого в реальный производственный процесс предприятия, имеет минимальные экономические границы. Эти границы определяются, с одной стороны, предельным продуктом капитала, а с другой стороны – нормами выбытия (амортизации) капитала в производственном процессе, подлежащего возмещению для обеспечения простого воспроизводства.
- Инвестиции как возможность использования накопленного капитала во всех альтернативных его формах.
В инвестиционном процессе каждая из форм накопленного капитала имеет свой диапазон возможностей и специфику механизмов конкретного использования. Наиболее универсальный с позиции сферы использования в инвестиционном процессе является денежная форма капитала, которая, однако для непосредственного применения в этом процессе требует в большинстве случаев его трансформации в иные формы. Капитал, накопленный в форме запаса конкретных материальных и нематериальных благ, готов к непосредственному участию в инвестиционном процессе, однако сфера его использования в таких формах имеет узко функциональное значение.
Используемый в инвестиционном процессе капитал во всех его формах может быть задействован прежде всего в производственной деятельности предприятия. С этих позиций капитал как реальный инвестиционный ресурс характеризуется в экономической теории как «фактор производства». При этом в процессе производства продукции инвестируемый капитал не является самодостаточным фактором, а используется в комплексе с другими экономическими ресурсами (факторами производства). К числу основных факторов производства, с которыми инвестируемый капитал комплексно взаимодействует в производственной деятельности предприятия, относится труд (трудовые ресурсы), земля (природные ресурсы) и другие. Даже для самого примитивного производства товаров и услуг требуется соединение инвестируемого капитала как минимум еще с одним фактором производства – трудом.
В процессе производства товаров и услуг инвестируемый капитал совместно с другими производственными факторами используется не просто как простой их конгломерат, а как взаимодействующий комплекс с целенаправленно формируемыми определенными внутренними пропорциями. при этом в системе этого взаимодействующего комплекса для выпуска одного и того же объема товаров могут быть использованы различные пропорции соединения инвестируемого капитала с другими основными факторами производства. В теории инвестирования капитала взаимозаменяемость факторов производства является одной из фундаментальных концепций.
- Инвестиции как альтернативная возможность вложения капитала в любые объекты хозяйственной деятельности.
Инвестируемый предприятием капитал целенаправленно вкладывается в формирование имущества предприятия, предназначенного для осуществления различных форм его хозяйственной деятельности и производства различной продукции. При этом из обширного диапазона возможных объектов инвестирования капитала предприятие самостоятельно определяет приоритетные формы имущественных ценностей (объектов и инструментов инвестирования), которые в учетно-финансовой терминологии носят название «активы». Иными словами, с экономических позиций инвестиции можно рассматривать как форму преобразования части накопленного капитала в альтернативные виды активов предприятия. С позиций возможностей вложения капитала в производство различных видов продукции инвестиции характеризуются как комбинаторный процесс. В комбинации с другими факторами производства инвестируемый капитал может быть использован для выпуска как продукции потребительского назначения, так и капитальных товаров в форме средств и предметов труда (формируя в последнем случае отложенное потребление в виде запаса реального капитала).
- Инвестиции как источник генерирования аффекта предпринимательской деятельности.
Целью инвестирования является достижение конкретного заранее предопределяемого эффекта, который может носить как экономический, так и внеэкономический характер (социальный, экологический и другие виды эффекта). На уровне предприятий приоритетной целевой установкой инвестиций является достижение, как правило, экономического эффекта, который может быть получен в форме прироста суммы инвестированного капитала, положительной величины инвестиционной прибыли, положительной величины чистого денежного потока, обеспечения сохранения ранее вложенного капитала и т.п.
Достижение экономического эффекта инвестиций определяется их потенциальной способностью генерировать доход. Как источник дохода инвестиции являются одним из важнейших средств формирования будущего благосостояния инвесторов. Вместе с тем, потенциальная способность инвестиций приносить доход не реализуется автоматически, а обеспечивается лишь в условиях эффективного выбора инвестиционных объектов (инструментов). Осуществление такого выбора предопределяет одну из важных функций инвестиционного менеджмента.
- Инвестиции как объект рыночных отношений.
Используемые предприятием в процессе инвестиций разнообразные инвестиционные
ресурсы, товары и инструменты как объект купли-продажи формируют
особый вид рынка - инвестиционный рынок - который характеризуется спросом, предложением и ценой, а также совокупностью определенных субъектов рыночных отношений.
Инвестиционный рынок формируется всей системой рыночных экономических условий, тесно сопряжен с другими рынками (рынком труда, рынком потребительских товаров, рынком услуг и т.п.) и функционирует под определенным воздействием разнообразных форм государственного регулирования.
Спрос на инвестиционные ресурсы, товары и инструменты предприятия предъявляют для реализации своей инвестиционной стратегии в сфере реального и финансового инвестирования. Кроме предприятий субъектами спроса на инвестиционные товары и инструменты выступают и иные участники экономического процесса, осуществляющие предпринимательскую деятельность.
Предложение инвестиционных ресурсов, товаров и инструментов исходит от предприятий-производителей капитальных товаров, собственников недвижимости, владельцев нематериальных активов, эмитентов, разнообразных финансовых институтов.
Цена на инвестиционные товары и инструменты в системе рыночных отношений формируется с учетом их инвестиционной привлекательности под воздействием спроса и предложения. Эта цена отражает экономические интересы продавцов и покупателей инвестиционных товаров и инструментов в конкретных условиях функционирования инвестиционного рынка. Ценой инвестиционных ресурсов выступает обычно ставка процента, которая формируется на рынке капитала.
6. Инвестиции как объект собственности и распоряжения.
Как объект предпринимательской деятельности инвестиции являются носителем прав собственности и распоряжения. Если на первоначальном этапе инвестирования капитала титул собственности и права распоряжения им были связаны с одним и тем же субъектом, то по мере дальнейшего экономического развития происходит постепенное их распределение. Первоначально это разделение произошло в сфере функционирования денежного капитала, вовлекаемого в инвестиционный процесс (по мере возникновения и развития кредитных отношений), а затем и капитала реального (по мере возникновения и развития лизинговых отношений). В современных условиях предприятие, использующее разнообразные формы капитала в инвестиционном процессе, может владеть правами распоряжения без права собственности на него. В этом случае права собственности и распоряжения капиталом как инвестиционным ресурсом являются разделенными в разрезе отдельных субъектов экономики. Примером такого разделения прав является функционирование капитала в системе инвестиционно-финансовых институтов, акционерных обществ и т.п., когда собственники капитала как накопленного инвестиционного ресурса передают права распоряжения им другим лицам.
Инвестируемый капитал как объект собственности может выступать носителем всех форм этой собственности — индивидуальной частной, коллективной частной, муниципальной, общегосударственной и т.п. Носителем титула собственности капитал выступает прежде всего как накопленный инвестиционный ресурс. При разделении в экономическом процессе прав собственности и использования капитала как инвестиционного ресурса в разрезе различных субъектов, роль этого капитала как объекта собственности носит пассивный характер.
Инвестируемый капитал как объект распоряжения может выступать во всех разрешенных законодательством формах и видах этого распоряжения. Носителем прав распоряжения может выступать при этом как финансовый, так и реальный капитал. В экономическом процессе роль инвестируемого капитала как объекта распоряжения носит активный характер по отношению к капиталу как объекту собственности.
Таким образом, использование капитала как инвестиционного ресурса в экономическом процессе не обязательно связано с наличием титула собственности. Это использование может осуществляться лицами, непосредственно не являющимися субъектами прав собственности на него.
Как объект собственности и распоряжения капитал как инвестиционный ресурс формирует также определенные пропорции его использования отдельными предприятиями, отражаемые соотношением собственного и заемного капитала. Это соотношение характеризуется в экономической теории термином «структура капитала». Оно влияет на многие аспекты эффективности инвестиций, а соответственно и на характер принимаемых предприятием инвестиционных решений.
- Инвестиции как объект временного предпочтения.
Процесс инвестирования капитала непосредственно связан с фактором времени. С позиций этого фактора предназначенный к инвестированию капитал может рассматриваться как запас ранее накопленной экономической ценности с цепью возможного ее приумножения в процессе инвестиционной деятельности, а с другой, — как задействованный экономический ресурс, способный увеличить объем потребления благ инвестора в любом интервале предстоящего периода. При этом экономическая ценность сегодняшних и будущих благ, связанных с инвестициями, для владельцев инвестируемого капитала неравнозначно. Экономическая теория утверждает, что сегодняшние блага всегда оцениваются индивидуумом выше благ будущих. Эта особенность экономического поведения индивидуумов в экономической теории отражается термином «временное предпочтение", суть которого состоит в том, что при прочих равных условиях возможности будущего потребления всегда менее ценны в сравнении с текущим потреблением. Для того, чтобы преодолеть указанный стереотип временного предпочтения и побудить собственника капитала к инвестированию, отказавшись от его использования на цели потребления, необходимо обеспечить за такой отказ достаточно весомое для него вознаграждение в форме инвестиционного дохода.
Между инвестированием капитала и получением инвестиционного дохода временной лаг может характеризоваться большим или меньшим интервалом. Соответственно перед инвестором всегда стоит альтернатива временного предпочтения использования капитала — избрать для инвестиционной деятельности кратко- или долгосрочные объекты (инструменты) инвестирования с соответственно дифференцированным уровнем инвестиционного дохода.
- Инвестиции как носитель фактора риска.
Риск является важнейшей характеристикой инвестиций, связанной со всеми их формами и видами. Носителем фактора риска инвестиции выступают как источник дохода в предпринимательской деятельности инвестора. Осуществляя инвестиции инвестор всегда должен осознанно идти на экономический риск, связанный с возможным снижением или неполучением суммы ожидаемого инвестиционного дохода, а также возможной потерей (частичной или полной) инвестированного капитала. Следовательно, понятия риск и доходность инвестиций в предпринимательской деятельности инвестора взаимосвязаны.
Уровень риска инвестиций находится в прямой зависимости от уровня ожидаемой их доходности. Чем выше ожидаемый инвестором уровень доходности инвестиций в любой из их форм, тем выше (при прочих равных условиях) будет сопутствующий ему уровень риска и наоборот. Иными словами, объективная связь между уровнями доходности и риска инвестиций носит прямо пропорциональный характер.
- Капитал как носитель фактора ликвидности.
Все формы и виды инвестиций характеризуются определенной ликвидностью, под
которой понимается их способность быть реализованными при необходимости по своей реальной рыночной стоимости. Эта способность инвестиций обеспечивает высвобождение капитала, вложенного в разнообразные объекты и инструменты при наступлении неблагоприятных экономических и других условий его использования в определенной сфере предпринимательской деятельности, в отдельном сегменте рынка или в задействованном регионе. Процесс высвобождения вложенного капитала, обеспечиваемый его ликвидностью, характеризуется термином «дезинвестиции». Высвобождаемый в процессе дезинвестиций капитал может быть реинвестирован в иные объекты и инструменты. Таким образом, ликвидность инвестиций позволяет формировать не только прямой, но и обратный поток капитала, задействованного как инвестиционный ресурс.
Различные формы и виды инвестиций обладают различной степенью ликвидности. Эти различия определяются степенью мобильности различных форм капитала как инвестиционного ресурса, функциональными особенностями конкретных видов реальных инвестиционных товаров (инвестиционных объектов) и инвестиционными качествами различных финансовых инструментов инвестирования, уровнем развития инвестиционного рынка и характером его государственного регулирования, сложившейся конъюнктурой инвестиционного рынка и отдельных его сегментов и другими условиями.
Основным параметром оценки степени ликвидности различных форм и видов инвестиций выступает уровень их ликвидности. Он определяется с учетом периода времени, в течение которого инвестированный в различные объекты и инструменты капитал может быть конверсирован в денежную форму без потери его реальной рыночной стоимости. Чем ниже возможный период конверсии ранее инвестированного капитала в денежную форму, тем более высоким уровнем ликвидности характеризуется тот или иной вид инвестиций.
Ликвидность инвестиций является объективным фактором, обуславливающим выбор конкретных их форм и видов при прогнозировании необходимого уровня их предстоящей доходности.
Проведенный обзор наиболее существенных характеристик инвестиций предприятия показывает насколько многоаспектной и сложной с теоретических и прикладных позиций является эта экономическая категория. При этом все рассмотренные характеристики, отражающие особенности инвестиций предприятия, тесно взаимосвязаны и требуют комплексного отражения при определении их экономической сущности.
На общеэкономическом уровне инвестиции требуются для:
· осуществления политики расширенного воспроизводства;
· структурных преобразований в стране и сбалансированного развития всех отраслей;
· улучшения качества и повышения конкурентоспособности отечественной продукции;
· создание необходимой сырьевой базы промышленности;
· ускорения научно-технического прогресса;
· решения социально-экономических проблем, в частности, проблем безработицы, экологии, здравоохранения, развития системы образования, решения проблем обороноспособности страны и ее безопасности и др.
На микроуровне инвестиции способствуют:
- развитию и устойчивости компании;
- обновлению основных фондов;
- росту технического уровня фирмы;
- стабилизации финансового состояния;
- повышению конкурентоспособности предприятия;
- повышению квалификации кадрового состава;
- совершенствованию методов управления[5] .
Для учета, анализа и повышения эффективности инвестиций необходима их научно обоснованная классификация. Продуманная классификация инвестиций позволяет не только их грамотно учитывать, но и анализировать уровень их использования со всех сторон и на этой основе получать объективную информацию для разработки и реализации эффективной инвестиционной политики.
Приступая к классификации первоначального множества элементов (в нашем случае инвестиций), необходимо выбрать какой-либо определенный классификационный признак, который можно было бы применить к любому элементу данного множества. Инвестиции можно классифицировать по нескольким классификационным признакам: по объему вложенных средств, уровню управления, времени инвестирования, объектам вложения, источникам финансирования, формам собственности, цели инвестирования, приобретаемому контролю, характеру участия субъектов в инвестировании.
Взгляд многих авторов на классификацию также различен. Так, например, автор книги «Инвестиционный менеджмент» Гуськова Н. Д[6] . приводит следующий вариант классификации:
Классификация видов инвестиций Таблица 1.
| Вид инвестиции |
Характеристика |
| 1 |
2 |
| 1. По объему вложенных средств |
|
| Валовые |
Общий объем инвестируемых средств в определенный период времени, направленных на новое строительство, приобретение средств производства и на прирост товарно-материальных ценностей |
| Чистые |
Сумма валовых инвестиций, уменьшенная на величину амортизационных отчислений в определенном периоде |
| 2. По уровню управления |
|
| 1 |
2 |
| Федеральные |
Вложения финансовых средств из федерального бюджета и внебюджетных фондов, заемных средств, в создание и развитие предприятий и организаций государственного сектора |
| Региональные |
Вложения из бюджетов территориальных и местных органов управления на создание, развитие и поддержание деятельности предприятий, организаций, относящихся к муниципальной собственности, собственности территорий – субъектов Федерации |
| Собственные |
Вложения предприятий и организаций за счет собственных и заемных средств |
| 3. По времени инвестирования |
|
| Краткосрочные |
Вложения капитала на период не более одного года |
| Долгосрочные |
Вложения капитала на период свыше года. К последним относятся затраты на создание, увеличение размеров, а также приобретение внеоборотных активов длительного пользования, не предназначенных для продажи |
| 4. По объектам вложения |
|
| Реальные (материальные и нематериальные активы) |
Вложения, определяемые как сумма средств, необходимых для строительства (расширения, реконструкции, модернизации) и оснащения оборудованием инвестиционных объектов, расходов на подготовку капитального строительства и прироста оборотных средств и нематериальных активов, а также любое другое имущество или имущественные права, интеллектуальные ценности, необходимые для нормального функционирования организаций |
| Финансовые |
Вложения средств в различные финансовые активы, дающие инвестору доход, но не увеличивающие общую сумму капитала в экономике |
| 5. По источникам финансирования |
|
| Государственные |
Вложения, осуществляемые центральными и местными органами власти и управления за счет средств бюджета, внебюджетных фондов |
| Собственные (средства предприятий) |
Средства предприятий различной формы собственности |
| Заемные |
Денежные средства, получаемые в виде ссуды на определенный срок |
| Привлеченные |
Средства, не принадлежащие предприятию, полученные со стороны, но временно до их возврата участвующие в хозяйственном обороте в качестве источника формирования оборотных средств. В условиях рыночной экономики это в основном крупные кредиты |
| 6. По формам собственности |
|
| Частные |
Вложения средств, осуществляемые гражданами, а также предприятиями и организациями негосударственных форм собственности |
| 1 |
2 |
| Государственные и муниципальные |
Средства государственного и муниципального бюджетов, внебюджетных фондов и заемные |
| Иностранные |
Все виды имущественных и интеллектуальных ценностей, вкладываемых иностранными инвесторами в объекты предпринимательской и других видов деятельности в целях получения дохода |
| Совместные |
Вложения, осуществляемые субъектами данной страны и иностранных государств |
| 7. По цели инвестирования и приобретаемому контролю |
|
| Прямые |
Вложения в уставной капитал хозяйствующего субъекта с целью получения дохода и прав на участие в управлении этим субъектом |
| Прямые иностранные |
Отражают стремление резидента хозяйствующих субъектов одной страны приобрести устойчивое влияние на деятельность предприятия в другой стране. Приобретение устойчивого влияния подразумевает установление долгосрочных отношений между прямым инвестором и предприятием, а также участие инвестора в управлении им. Иностранные прямые инвестиции могут осуществляться в форме взносов в уставной капитал, кредитов, полученных от зарубежного совладельца предприятия |
| Портфельные |
Вложения в финансовые и нефинансовые активы в процессе формирования инвестиционного портфеля. Они могут выступать в виде акций, облигаций, других ценных бумаг. |
| Портфельные иностранные |
Вклад средств в ценные бумаги и их финансовые производственные, составляющие «портфель инвестиций», в который не входят прямые инвестиции |
| 8. По характеру участия субъектов в инвестировании |
|
| Прямые (непосредственные) |
Вложения финансовых средств и других капиталов, осуществляемые инвестором, непосредственное участие в выборе объекта инвестирования |
| Косвенные (опосредованные) |
Привлекаемые свободные средства граждан, предприятий, организаций посредством выпуска и продажи акций, гарантийных сертификатов, других ценных бумаг |
И. А. Бланк, автор учебника «Инвестиционный менеджмент» дает свою классификацию инвестиций[7] :
Классификация инвестиций предприятия по И. А. Бланку Таблица 2.
| Вид инвестиций |
Характеристика |
| 1 |
2 |
| 1. По объектам вложения капитала |
|
| Реальные инвестиции |
Характеризуют вложения капитала в воспроизводство основных средств, в инновационные нематериальные активы (инновационные инвестиции), в прирост запасов товарно-материальных ценностей и другие объекты инвестирования, связанные с осуществлением операционной деятельности предприятия или улучшением условий труда и быта персонала. |
| Финансовые |
Финансовые инвестиции характеризуют вложения капитала в различные финансовые инструменты инвестирования, главным образом в ценные бумаги, с целью получения дохода. |
| 2. По характеру участия в инвестиционном процессе |
|
| Прямые инвестиции |
Прямые инвестиции подразумевают прямое участие инвестора в выборе объектов инвестирования и вложении капитала. Прямое инвестирование осуществляют в основном подготовленные инвесторы, имеющие достаточно точную информацию об объекте инвестирования и хорошо знакомые с механизмом инвестирования. |
| Непрямые |
Непрямые инвестиции характеризуют вложения капитала инвестора, опосредованное другими лицами (финансовыми посредниками) |
| 3. По воспроизводственной направленности |
|
| Валовые инвестиции |
Валовые инвестиции характеризуют общий объем капитала, инвестируемого в воспроизводство основных средств и нематериальных активов в определенном периоде. |
| Реновационные инвестиции |
Реновационные инвестиции характеризуют объем капитала, инвестируемого в простое воспроизводство основных средств и амортизируемых нематериальных активов. В количественном выражении реновационные инвестиции приравниваются обычно к сумме амортизационных отчислений в определенном периоде. |
| Чистые инвестиции |
Чистые инвестиции характеризуют объем капитала, инвестируемого в расширенное воспроизводство основных средств и нематериальных активов. |
| 4. По степени зависимости от доходов |
|
| Производные инвестиции |
Производные инвестиции прямо коррелируют с динамикой объема чистого дохода (прибыли) через механизм его распределения на потребление и сбережение. |
| Автономные инвестиции |
Автономные инвестиции характеризуют вложение капитала, инициированное действием факторов, не связанных с формированием и распределением чистого дохода (прибыли), например, технологическим прогрессом, природоохранных мероприятий и других. |
| 1 |
2 |
| 5. По отношению к предприятию-инвестору |
|
| Внутренние инвестиции |
Внутренние инвестиции характеризуют вложение капитала в развитие операционных активов самого предприятия-инвестора |
| Внешние инвестиции |
Внешние инвестиции представляют собой вложение капитала в реальные активы других предприятий или в финансовые инструменты инвестирования, эмитируемые другими субъектами хозяйствования. |
| 6. По периоду осуществления |
|
| Краткосрочные инвестиции |
Краткосрочные инвестиции характеризуют вложения капитала на период до одного года. |
| Долгосрочные инвестиции |
Долгосрочные инвестиции характеризуют вложения капитала на период более одного года. Основной формой долгосрочных инвестиций предприятия являются его капитальные вложения в воспроизводство основных средств. |
| 7. По совместимости осуществления |
|
| Независимые инвестиции |
Независимые инвестиции характеризуют вложения капитала в такие объекты инвестирования (инвестиционные проекты, финансовые инструменты), которые могут быть реализованы как автономные (независящие от других объектов инвестирования и не исключающие их) в общей инвестиционной программе (инвестиционном портфеле) предприятия |
| Взаимозависимые инвестиции |
Взаимозависимые инвестиции характеризуют вложения капитала в такие объекты инвестирования, очередность реализации или последующая эксплуатация которых зависит от других объектов инвестирования и может осуществляться лишь в комплексе с ними |
| Взаимоисключающие инвестиции |
Взаимоисключающие инвестиции носят, как правило, аналоговый характер по целям их осуществления, характеру технологии, номенклатуре продукции и другим основным параметрам и требуют альтернативного выбора |
| 8. По уровню доходности |
|
| Высокодоходные инвестиции |
Они характеризуют вложения капитала в инвестиционные проекты или финансовые инструменты, ожидаемый уровень чистой инвестиционной прибыли по которым существенно превышает среднюю норму этой прибыли на инвестиционном рынке |
| Среднедоходные инвестиции |
Ожидаемый уровень чистой инвестиционной прибыли по инновационным проектам и финансовым инструментам инвестирования этой группы, примерно соответствует средней норме инвестиционной прибыли, сложившейся на инвестиционном рынке. |
| Низкодоходные инвестиции |
Ожидаемый уровень чистой инвестиционной прибыли обычно ниже средней нормы этой прибыли |
| 1 |
2 |
| Бездоходные инвестиции |
Они представляют группу объектов инвестирования, выбор и осуществление которых инвестор не связывает с получением инвестиционной прибыли. Такие инвестиции преследуют, как правило, цели получения социального, экологического и других видов внеэкономического эффекта. |
| 9. По уровню инвестиционного риска |
|
| Безрисковые инвестиции |
Они характеризуют вложения средств в такие объекты инвестирования, по которым отсутствует реальный риск потери капитала или ожидаемого дохода и практически гарантировано получение расчетной реальной суммы чистой инвестиционной прибыли |
| Низкорисковые инвестиции |
Они характеризуют вложения капитала в объекты инвестирования, риск по которым значительно ниже среднерыночного. |
| Среднерисковые инвестиции |
Уровень риска по объектам инвестирования этой группы примерно соответствует среднерыночному |
| Высокорисковые инвестиции |
Уровень риска по объектам инвестирования этой группы обычно существенно превышает среднерыночный. Особое место в этой группе занимают так называемые спекулятивные инвестиции, характеризующиеся вложением капитала в наиболее рисковые проекты или инструменты инвестирования, по которым ожидается наивысший уровень инвестиционного дохода |
| 10. По уровню ликвидности |
|
| Высоколиквидные инвестиции |
К ним относятся такие объекты (инструменты) инвестирования предприятия, которые быстро могут быть конверсированы в денежную форму (как правило, в срок до одного месяца) без ощутимых потерь своей текущей рыночной стоимости |
| Среднеликвидные инвестиции |
Они характеризуют группу объектов (инструментов) инвестирования предприятия, которые могут быть конверсированы в денежную форму без ощутимых потерь своей текущей рыночной стоимости в срок от одного до шести месяцев |
| Низколиквидные инвестиции. |
К ним относятся объекты (инструменты) инвестирования предприятия, которые могут быть конверсированы в денежную форму без потерь своей текущей рыночной стоимости по истечении значительного периода времени (от полугода и выше). Основным видом низколиквидных инвестиций являются незавершенные инвестиционные проекты, реализованные инвестиционные проекты с устаревшей технологией, некотируемые на фондовом рынке акции отдельных малоизвестных предприятий. |
| Неликвидные инвестиции |
Они характеризуют такие виды инвестиций предприятия, которые самостоятельно реализованы быть не могут (они могут быть проданы на инвестиционном рынке лишь в составе целостного имущественного комплекса). |
| 11. По формам собственности инвестируемого капитала |
|
| 1 |
2 |
| Частные инвестиции |
Частные инвестиции характеризуют вложения капитала физических лиц, а также юридических лиц негосударственных форм собственности. |
| Государственные инвестиции |
Государственные инвестиции характеризуют вложения капитала государственных предприятий, а также средств государственного бюджета разных его уровней и государственных внебюджетных фондов |
| Смешанные инвестиции |
Смешанные инвестиции предполагают вложения как частного, так и государственного капитала в объекты инвестирования предприятия |
| 12. По характеру использования капитала в инвестиционном процессе |
|
| Первичные инвестиции |
Первичные инвестиции характеризуют использование вновь сформированного для инвестиционных целей капитала за счет как собственных, так и заемных финансовых ресурсов |
| Реинвестиции |
Реинвестиции представляют собой повторное использование капитала в инвестиционных целях при условии предварительного его высвобождения в процессе реализации ранее выбранных инвестиционных проектов, инвестиционных товаров или финансовых инструментов инвестирования |
| Дезинвестиции |
Представляют собой процесс изъятия ранее инвестированного капитала из инвестиционного оборота без последующего его использования в инвестиционных целях (например, для покрытия убытков предприятия). Их можно охарактеризовать как отрицательные инвестиции предприятия. |
| 13. По региональным источникам привлечения капитала |
|
| Отечественные инвестиции |
Характеризуют вложения национального капитала (домашних хозяйств, предприятий или государственных органов) в разнообразные объекты инвестирования резидентами данной страны |
| Иностранные инвестиции |
Характеризуют вложения капитала нерезидентами (юридическими или физическими лицами) в объекты (инструменты) инвестирования данной страны |
| 14. По региональной направленности инвестируемого капитала |
|
| Инвестиции на внутреннем рынке |
Инвестиции на внутреннем рынке характеризуют вложения капитала как резидентов, так и нерезидентов на территории данной страны |
| Инвестиции на международном рынке (или международные инвестиции) |
Инвестиции на международном рынке (или международные инвестиции) характеризуют вложения капитала резидентов данной страны га пределами внутреннего ее рынка |
| 15. По отраслевой направленности |
|
| Инвестиции разделяются в разрезе отдельных отраслей и сфер деятельности в соответствии с их классификатором. Такая форма классификации инвестиций связана с государственным регулированием инвестиционного процесса в масштабах страны, а также оценкой инвестиционной привлекательности отдельных отраслей (сфер деятельности) в процессе реального и финансового инвестирования предприятия. |
|
2. ОСОБЕННОСТИ УПРАВЛЕНИЯ ИНВЕСТИЦИОННОЙ ПРИВЛЕКАТЕЛЬНОСТЬЮ ПРЕДПРИЯТИЯ
Привлечение инвестиций в российскую экономику, особенно в промышленные предприятия, в настоящее время является особенно актуальным, так как износ производственных фондов превышает все допустимые нормы. Соответственно, исследование вопросов стратегического управления предприятием с учетом постоянного его инвестиционной привлекательности, изучение зарубежного опыта управления инвестиционной привлекательностью промышленных предприятий имеет особую актуальность и представляет социально-экономический интерес.
Понятие инвестиционной привлекательности появилось в экономической литературе относительно недавно в связи с эффективной работой российских предприятий и появлением у них средств для собственного инвестирования, а также появившимися возможностями привлечения заемных средств.
В литературе существует достаточное количество трудов различных ученых, посвященных проблемам определения и понимания «инвестиционной привлекательности предприятия».
На мой взгляд, наиболее точно отражает сущность этой экономической категории, следующая трактовка: инвестиционная привлекательность предприятия – это система экономических отношений между субъектами хозяйствования по поводу эффективного развития бизнеса и поддержания его конкурентоспособности. Данные отношения оцениваются совокупностью показателей эффективности аспектов деятельности предприятия, которые разделяются на формальные показатели (ликвидности, платежеспособности, финансовой устойчивости, деловой активности и другие), рассчитываемые на основании данных финансовой отчетности, и неформальные, не имеющие четкого набора исходных данных и оцениваемые экспертным путем. К ним можно отнести: рынки сбыта, конкурентов и т.д. Более подробная характеристика показателей будет рассмотрена в 3 разделе данной работы[8] .
Многие авторы отмечают, что управление инвестиционной привлекательностью предполагает необходимость учета внутренних факторов, а также факторов внешней среды предприятия – отраслевых и региональных. На основании этого представляется обоснованным разделение факторов инвестиционной привлекательности предприятия, прежде всего, по источнику возникновения на внутренние и внешние.
Внутренние факторы зависят от деятельности хозяйствующего субъекта (это факторы, на которые он может повлиять). К ним относятся: система управления организацией; номенклатура выпускаемой продукции; степень применения инновационных решений в технологии производства и оборудования и пр.
Внешние факторы не зависят от хозяйствующего субъекта. К основным внешним факторам относится система законодательных норм, регламентирующих деятельность отечественных и зарубежных инвесторов в области привлечения инвестиций, эффективность применения законодательных актов. Эта группа факторов отражает законодательные гарантии равной защиты прав интересов и имущества субъектов инвестиционной деятельности независимо от формы собственности. На привлечение инвестиций в организацию влияет и отрасль, в которой она функционирует. Наибольшим в общем объеме инвестиций в основной капитал, направленных на развитие отраслей экономики, по-прежнему был удельный вес отраслей транспорта и связи – 24,3% от общего объема (2006 г. – 26%). Вторыми по величине были инвестиции в добычу полезных ископаемых – 19%. Доля инвестиций в основной капитал машиностроительную отрасль была незначительной. Политическая и внешнеэкономическая среда оказывает непосредственное влияние на инвестиционную привлекательность хозяйствующего субъекта. Так, устойчивая политическая среда, положительное отношение власти к предпринимателям обусловливают повышение инвестиционной привлекательности предприятия. Различные льготы, дотации коммерческой организации от государства повышают ее инвестиционную привлекательность в глазах инвестора, так как он видит, что эта организация обладает поддержкой государства. Значительное влияние на инвестиционную привлекательность предприятия оказывает инвестиционная привлекательность региона. Инвестор, вкладывая средства в коммерческую организацию, анализирует особенности региона и его производственно-экономический потенциал. Так, например, среди регионов России область занимает 66-е место по инвестиционному риску и 44-е по инвестиционному потенциалу. Наименьший инвестиционный риск – экологический, наибольший – криминальный. Наибольший потенциал – туристический. Одним из важнейших факторов, воздействующих на решение конкретного инвестора, является уровень риска, связанный с вложением капитала. Организации с высокой степенью риска являются более привлекательными для инвесторов, придерживающихся агрессивной инвестиционной политики (которые инвестируют в наиболее доходные и рисковые организации), и менее привлекательными для консервативных инвесторов (которые инвестируют в коммерческие предприятия с низкими рисками и при этом сравнительно невысокой степенью доходности).
Остановимся более подробно на наиболее существенных внутренних факторах. Одним из важнейших внутренних факторов, оказывающих влияние на инвестиционную привлекательность предприятия, является финансовое состояние организации.
Создание высокоэффективной системы управления хозяйствующим субъектом (в более узком смысле - системы корпоративного менеджмента) также увеличивает его инвестиционную привлекательность. Во-первых, система управления обеспечивает лучшее распределение полученных средств и контроль за их использованием, а во-вторых, является одной из основных гарантий возвратности вкладываемых средств и своевременной уплаты процентов, дивидендов по ним. Приглашение в состав совета директоров независимых директоров также поднимает статус компании, так как независимый директор представляет собой своеобразный знак качества, а его участие в деятельности организации и в принятии управленческих решений будет служить гарантией эффективности.
Безусловный интерес для инвестора представляет анализ номенклатуры выпускаемой продукции с точки зрения соотношения постоянных и переменных затрат в структуре ее себестоимости. Коммерческие организации с высокой долей постоянных затрат в общей сумме затрат на производство весьма чувствительны к любым изменениям объема выпуска продукции в натуральном выражении. Если количество проданных товаров падает, выручка от продаж уменьшается, но постоянные затраты в полной сумме затрат останутся на прежнем уровне, то в результате прибыль снизится даже в большем размере, чем выручка. Переменные же затраты изменяются пропорционально объему производства (например, расходы на сырье, материалы, электроэнергию и т.д.), поэтому бизнес-риск в организациях с высоким удельным весом постоянных затрат выше, чем там, где преобладающее значение в формировании себестоимости имеют переменные затраты, следовательно, будет и ниже уровень инвестиционной привлекательности предприятия.
На инвестиционную привлекательность влияет и фактор диверсификации производства. Более привлекательной является организация, производящая диверсифицированную продукцию. В этом случае при нерентабельности или низкой рентабельности одного вида продукции (например, в связи с падением спроса на нее или с резким увеличением издержек) хозяйствующий субъект может получать стабильную прибыль за счет других видов производимой продукции.
На выбор инвестора оказывает влияние открытость компании, полнота и достоверность раскрытия информации в отчетности. Очень важно, как менеджмент информирует о своих успехах и неудачах. Высокую инвестиционную привлекательность имеет хозяйствующий субъект, раскрывающий качественную информацию о своей финансово-хозяйственной деятельности, капитале, денежных потоках и финансовом результате.
В процессе управления необходимо учитывать объективно существующие взаимосвязь и взаимообусловленность всех внутренних и внешних факторов.
Автор статьи Якупова Н. М. и Яруллина Г. Р.[9] представили концептуальную модель оценки инвестиционной привлекательности предприятия:

Очевидно, что чем больше площадь треугольника, вершины которого отражают количественные характеристики основных факторов инвестиционной привлекательности, тем выше инвестиционная привлекательности предприятия.
Следует отметить, что при сравнительном анализе инвестиционной привлекательности предприятия внешние территориально-отраслевые факторы, как правило, оцениваются инвестором с использованием рейтингов инвестиционной привлекательности отраслей и регионов, разрабатываемых рейтинговыми агентствами (в РФ – РА Эксперт, Финам, и др.).
Оценка же внутренних факторов инвестиционной привлекательности предприятия представляет собой наибольший интерес и трудности для инвесторов.
Анализ инвестиционной привлекательности в зависимости от субъекта можно Рассматривать с двух сторон: 1) как внутренний анализ, проводимый самой организацией; 2) как внешний анализ, проводимый внешними интересованными пользователями. Данные два типа анализа различаются по целям его проведения. Внутренний анализ проводится в целях объективной оценки уровня инвестиционной привлекательности для мер принятия мер по ее повышению.
Внешний анализ имеет своей целью объективную оценку уровня инвестиционной привлекательности для принятия решения о целесообразности разнообразного инвестирования средств в предприятие. Объектом анализа является хозяйствующий субъект и его привлекательность для инвестирования как при внешнем, так и при внутреннем анализе инвестиционной привлекательности. Субъектом внутреннего анализа инвестиционной привлекательности является, в частности ее службы, занимающиеся оценкой и анализом привлекательности. Субъектами можно считать:
· Коммерческие банки, страховые компании, инвестиционные фонды и пр. Задачей анализа является определение целесообразности выдачи инвестиционного кредита, участия в инвестиционных проектах компании. Кредитный инвестор заинтересован только в том, чтобы верную свои деньги и получить заранее оговоренный процент.
· Брокерские фирмы, фондовые биржи, институциональные инвесторы (инвестиционные компании), частные инвесторы. Задача анализа сводится к определению выгодности инвестирования с точки зрения получения спекулятивных прибылей (краткосрочные инвестиции) или роста стоимости инвестиций и получения дивидендов (при долгосрочном инвестировании).
· Венчурные фонды. Задачей анализа, проводимого венчурными фондами, является определение потенциала роста компании. Венчурные капиталисты, как правило, хотят получить совокупную годовую прибыль в размере не менее 30—40% от вложенных средств.
· Крупные концерны, инвестиционные банки, холдинги. Задачей анализа инвестиционной привлекательности является определение целесообразности проведения операций слияния и поглощения.
Субъектом внутреннего анализа является сотрудник компании, занимающийся анализом и оценкой инвестиционной привлекательности предприятия в интересах заинтересованных групп пользователей. Считается целесообразным передача работы по анализу и оценке инвестиционной привлекательности в компетенцию аналитического отдела или инвестиционного отдела (управления инвестиций), если такое подразделение выделяется в организационной структуре. Функции и задачи работников аналитического отдела регламентированы должностными инструкциями.
Обязанности сотрудников данного отдела включают работы, операций, которые выполняются сотрудником ежедневно или с большей периодичностью. Считается целесообразным добавить в этот раздел новые обязанности, связанные с работой специалиста аналитического отдела по оценке инвестиционной привлекательности:
1) проведение анализа инвестиционной привлекательности своей компании и прочих организаций, получение сведений об инвестиционной привлекательности которых является необходимым, в соответствии с установленными сроками, а также по требованию руководства организации;
2) своевременное представление руководству сведений об уровне инвестиционной привлекательности исследуемых экономических субъектов в виде специальных отчетов;
3) выдвижение предложений по принятию мер по повышению привлекательности организации в глазах инвесторов;
4) выдвижение предложений о целесообразности инвестирования средств в тот или иной экономический субъект.
Поскольку одним из основных источников информации для анализа инвестиционной привлекательности является финансовая отчетность организации, то аналитик, занимающийся оценкой инвестиционной привлекательности, должен получать финансовые отчетности компаний для проведения анализа. Аналитик должен также получать сведения, способствующие формированию правильного мнения об уровне инвестиционной привлекательности, из других источников (проспекты эмиссии ценных бумаг, данные фондового рынка, планы инвестиционных проектов, информация о событиях, влияющих на развитие определенной отрасли, обзоры сделок по слиянию (поглощению) и др.). В настоящее время движение входящих документов для анализа инвестиционной привлекательности упростилось в связи с тем, что практически все необходимые данные аналитик может получить при помощи Интернета, где публикуют свои финансовые отчеты компании, в открытом доступе находится информация фондового рынка и другая необходимая для анализа инвестиционной привлекательности информация.
Для оформления результатов своей работы работник, занимающийся анализом и оценкой инвестиционной привлекательности, должен составлять отчет о проделанной работе и передавать его руководству. Отчет должен быть составлен в определенной, заранее установленной форме и содержать подробную оценку уровня инвестиционной привлекательности организации. В отчете также должно быть приведено описание факторов, повлиявших на инвестиционную привлекательность, и перечень предполагаемых мер по ее повышению (при внутреннем анализе) или мнение о целесообразности инвестирования средств в ту или иную компанию (при внешнем анализе).
К числу общих показателей оценки работы аналитика могут быть отнесены такие, как полнота и широта предоставляемой им оценки, уровня инвестиционной привлекательности конкретной организации, качество составления и оформления документов, отражающих привлекательность организаций для инвестирования, своевременность проведения анализа и соблюдение сроков предоставления отчетов руководству компании[10] .
Ключевым моментом общей концепции эффективности функционирования и развития предприятия является разработка стратегии инвестиционной привлекательности, которая необходима как логическое завершение любого обдуманного действия. Стратегия инвестиционной привлекательности предприятия основана на комплексном подходе к вопросам оценки экономического состояния предприятия, его положения на рынке, использования и принятия оперативных административных решений в текущей и перспективной работе предприятия. В рыночной экономике предприятие само принимает решение, разрабатывает стратегию своего развития, изыскивает необходимые для их реализации средства, набирает работников, приобретает оборудование и материалы, решает множество структурных вопросов, в том числе и такие, как создание, слияние, ликвидация, разделение, реорганизация производственной и перестройка организационной структуры управления. Предприятия приобретают все черты самостоятельности, характерные в условиях рынка.
Стратегия — это обобщающая модель длительных действий, необходимых предприятию для достижения поставленных целей при имеющихся возможностях. Инвестиционную стратегию можно представить как генеральный план действий в сфере инвестиционной деятельности предприятия, определяющий приоритеты ее направлений и форм, характер формирования инвестиционных ресурсов и последовательность этапов реализаций долгосрочных инвестиционных целей, обеспечивающих предусмотренное общее развитие предприятия.
В общем понимании идея стратегии инвестиционной привлекательности предприятия заключается в использовании таких методов управления, которые наилучшим образом будут воздействовать на экономическое состояние предприятия, на конечные результаты его деятельности и возможности их достижения. Сущность инвестиционной стратегии предприятия заключается в возможности своевременного принятия решения о том или ином изменении в структуре производства продукции или самого предприятия.
Стратегия инвестиционной привлекательности включает в свою структуру:
· комплекс управляемых показателей эффективности производства;
· приоритетные направления повышения эффективности функционирования предприятий.
К условиям достижения инвестиционной привлекательности предприятия относятся следующие:
· В каждом последующем отчетном периоде необходимо максимально возможно увеличивать потенциал предприятия.
· Темпы развития предприятия должны быть оптимальными. Обоснование этого тезиса заключается в том, что в рыночной экономике на развитие предприятия влияет множество факторов, в том числе и рыночная конъюнктура. Способность перестраиваться «под клиента» обеспечивает получение максимально возможной прибыли, следовательно, достижение цели предприятия.
· Эффективное функционирование предприятия должно достигаться в большей степени за счет интенсификации производства при условии снижения материальных издержек. Выполнение этого условия сможет помочь высвободить неиспользуемые ресурсы и тем самым увеличить возможность большего производства продукции.
· Предприятие может эффективно развиваться, имея некоторую часть недоиспользованных мощностей. Если у организации находится в запасе большое количество ресурсов или готовой продукции, ему сложнее будет подстраиваться под изменяющийся рынок[11]
Рассмотренные выше условия определены в основном состоянием рынка и экономики в целом. Здесь важную роль играют количественные показатели работы организации, но есть ещё и качественные характеристики, такие как надежность продукции, обоснованность цены изделия или услуги. Соблюдение этих и других качественных характеристик, а также мероприятий по улучшению их можно считать еще одним условием достижения инвестиционной привлекательности предприятия.
Если предприятие нуждается в привлечении инвестиций, руководство должно сформировать четкую программу мероприятий по повышению инвестиционной привлекательности, исходя из своих индивидуальных особенностей и сложившейся конъюнктуры рынков капитала. Реализация такой программы позволяет ускорить привлечение финансовых ресурсов и снизить их стоимость. Следует отметить, что описанные ниже возможные мероприятия не требуют существенных материальных затрат, но результатом их реализации, помимо собственно роста интереса инвесторов к компании, является также повышение эффективности ее работы:
- разработка долгосрочной стратегии развития;
- бизнес-планирование;
- юридическая экспертиза и приведение правоустанавливающих документов в соответствие с законодательством;
- создание кредитной истории;
- проведение мероприятий по реформированию (реструктуризации).
Для определения того, какие из мероприятий необходимы предприятию для повышения инвестиционной привлекательности, целесообразно проведение анализа существующей ситуации (диагностика состояния предприятия). Этот анализ позволяет:
- определить сильные стороны деятельности компании;
- определить риски и слабые стороны в текущем состоянии компании, в том числе с точки зрения инвестора;
- разработать рекомендации для развития конкурентоспособности, повышения эффективности деятельности и повышения инвестиционной привлекательности.
В процессе диагностики рассматриваются различные направления (аспекты) деятельности предприятия: сбыт, производство, финансы, управление. Выделяется сфера деятельности предприятия, которая связана с наибольшими рисками и имеет наибольшее число слабых сторон, формируются мероприятия для улучшения положения по выделенным направлениям.
Отдельно стоит отметить проведение юридической экспертизы предприятия — объекта инвестирования. Направлениями экспертизы при оценке инвестиционной привлекательности предприятия являются:
- права собственности на земельные участки и другое имущество;
- права акционеров и полномочия органов управления предприятием, описанные в учредительных документах;
- юридическая чистота и корректность учета прав на ценные бумаги компании.
По итогам экспертизы выявляются несоответствия в указанных направлениях современным нормам законодательства. Устранение этих несоответствий является крайне важным шагом, так как при анализе предприятия любой инвестор придает юридическому аудиту большое значение. Так, для кредитора важным этапом процесса переговоров с предприятием является подтверждение прав собственности на предоставляемое в качестве залога имущество. Для прямых инвесторов, приобретающих пакеты акций предприятия, важным моментом являются права акционеров и другие аспекты корпоративного управления, непосредственно влияющие на их способность контролировать направления расходования вложенных средств.
Проведение диагностики состояния предприятия является основой для разработки стратегии развития. Стратегия — это генеральный план развития, который, как правило, разрабатывается на 3-5 лет. Стратегия описывает основные цели как предприятия в целом, так и функциональных направлений деятельности и систем (производство, сбыт, маркетинг). Определяются основные целевые количественные и качественные показатели. Стратегия позволяет предприятию осуществлять планирование на более короткие периоды времени в рамках единой концепции. Для потенциального инвестора стратегия демонстрирует видение предприятием своих долгосрочных перспектив и адекватность менеджмента предприятия условиям работы предприятия (как внутренним, так и внешним). В нашей практике были случаи, когда инвестор не рассматривал локальные проекты предприятия, несмотря на их хорошие финансовые показатели, поскольку проекты не были связаны с общей концепцией развития предприятия. Однако если стратегия предусматривала реализацию локальных проектов и давала основание считать их реализацию целесообразной для предприятия в целом, решение о финансировании предприятия принималось положительное. Очевидно, что наибольшее значение наличие четкой стратегии имеет для инвесторов, заинтересованных в долгосрочном развитии предприятия, а именно, участвующих в бизнесе.
Имея долгосрочную стратегию развития, предприятие переходит к разработке бизнес-плана. В бизнес-плане подробно и детально рассматриваются все аспекты деятельности, обосновываются объем необходимых инвестиций и схема финансирования, результаты инвестиций для предприятия. План денежных потоков, рассчитываемый в бизнес-плане, позволяет оценить способность предприятия вернуть инвестору из группы кредиторов заемные средства и выплатить проценты. Для инвесторов-собственников бизнес-план является основанием для проведения оценки стоимости предприятия и, соответственно, оценки стоимости капитала, вложенного в предприятие, и обоснованием потенциала его развития. Например, одно из ведущих предприятий Северо-Запада, работающее в стекольной отрасли, в процессе работы с венчурным инвестором провело разработку комплексного бизнес-плана своего проекта. Несмотря на низкую стоимость активов предприятия по сравнению с суммой необходимых инвестиций, инвестор оценил предприятие как инвестиционно привлекательное, поскольку бизнес-план обосновал потенциал роста предприятия для инвестора и увеличение стоимости капитала.
Для всех групп инвесторов большое значение имеет кредитная история предприятия, поскольку она позволяет судить об опыте предприятия по освоению внешних инвестиций и выполнению обязательств перед кредиторами и инвесторами-собственниками.
Одним из самых сложных мероприятий по повышению инвестиционной привлекательности предприятия является проведение реформирования (реструктуризации). Полная программа реформирования включает совокупность мероприятий по комплексному приведению деятельности компании в соответствие с изменяющимися условиями рынка и выработанной стратегией ее развития. Реструктуризация может проводиться по нескольким направлениям:
· Реформирование акционерного капитала. Данное направление включает в себя мероприятия по оптимизации структуры капитала — дробление, консолидация акций, все описанные в Законе об акционерных обществах формы реорганизации акционерного общества. Результатом подобных действий является повышение управляемости компании или группы компаний.
· Изменение организационной структуры и методов управления. Данное направление реформирования нацелено на совершенствование процессов управления, обеспечивающих основные функции эффективно действующего предприятия, и организационных структур предприятия, которые должны соответствовать новым процессам управления. Реструктуризация систем управления предприятий и оргструктуры может включать в себя:
- выделение некоторых направлений бизнеса в отдельные юридические лица, образование холдингов, другие формы изменения организационной структуры;
- нахождение и устранение лишних звеньев в управлении;
- введение в процессы управления и соответствующие организационные структуры недостающих звеньев;
- налаживание информационных потоков в части управленческой информации;
- проведение других сопутствующих мероприятий.
· Реформирование активов. В рамках реструктуризации активов можно выделить реструктуризацию имущественного комплекса, реструктуризацию долгосрочных финансовых вложений и реструктуризацию оборотных активов. Данное направление реструктуризации предприятия предполагает любое изменение структуры его активов в связи с продажей излишних, непрофильных и приобретением необходимых активов, оптимизацию состава финансовых вложений (краткосрочных и долгосрочных), запасов, дебиторской задолженности.
· Реформирование производства. Данное направление реструктуризации нацелено на совершенствование производственных систем предприятий. Целью в данном случае может быть повышение эффективности производства товаров, услуг; повышение их конкурентоспособности, расширение ассортимента или перепрофилирование. Реструктуризация производства может включать следующие мероприятия:
- снятие с производства нерентабельной продукции, если при этом отсутствуют реальные для осуществления инвестиционные проекты по снижению издержек, росту конкурентоспособности продукции и пр.;
- расширение выпуска и продаж выгодной продукции;
- освоение новой коммерчески перспективной продукции или услуг;
- другие мероприятия.
Комплексная реструктуризация предприятия включает в себя комбинацию мероприятий, относящихся к нескольким из перечисленных выше направлений.
Отдельно стоит упомянуть о ситуации, когда целью повышения инвестиционной привлекательности является продажа предприятия. Данный процесс называется предпродажной подготовкой и имеет целью повышение инвестиционной привлекательности и одновременное увеличение ее стоимости для потенциальных покупателей.
Предприятие может сформировать программу мероприятий для повышения инвестиционной привлекательности, исходя из своих индивидуальных особенностей и сложившейся конъюнктуры рынков капитала. Реализация такой программы позволяет ускорить привлечение финансовых ресурсов и снизить их стоимость. Следует отметить, что описанные выше возможные мероприятия не требуют существенных материальных затрат, но результатом их реализации, помимо собственно роста интереса инвесторов к компании, является также повышение эффективности ее работы.
3. МЕТОДЫ ОЦЕНКИ ИНВЕСТИЦИОННОЙ ПРИВЛЕАТЕЛЬНОСТИ ПРЕДПРИЯТИЯ
Анализ инвестиционной привлекательности предприятия представляет собой процесс исследования экономической информации с целью:
• объективной оценки достигнутого уровня инвестиционной привлекательности и устойчивости финансового состояния предприятия, оценки изменения этих уровней в сравнении с предыдущим периодом, бизнес-планом и нормативными значениями под воздействием различных факторов;
• принятия инвесторами обоснованных управленческих решений по финансированию инвестиционных проектов исходя из устанавливаемых ограничений;
• улучшения финансового состояния предприятия, повышения его финансовой устойчивости и инвестиционной привлекательности.
Инструментом для разработки управленческих решений, направленных на улучшение инвестиционной привлекательности и финансового состояния предприятия, выступает экономический анализ[12] .
Экономический анализ состоит из следующих показателей:
1. Оценка имущественного состояния предприятия.
Актив баланса содержит сведения о размещении капитала, имеющегося в распоряжении предприятия. От того, какие средства вложены в основные и оборотные средства, сколько их находится в сфере производства и сфере обращения, в денежной и материальной форме, во многом зависят результаты производственной и финансовой деятельности, следовательно, и финансовое состояние предприятия. Поэтому в процессе анализа активов предприятия в первую очередь следует изучить изменения в их составе, структуре и дать им оценку.
Если в активе баланса отражаются средства предприятия, то в пассиве – источники их образования. Финансовое состояние предприятия во многом зависит от того, какие средства оно имеет в своем распоряжении и куда они вложены.
2. Оценка финансовой устойчивости предприятия.
Анализ финансовой устойчивости компании рекомендуется проводить коэффициентным методом.
Показывает, какая часть собственного капитала находится в мобильной форме, позволяющей относительно свободно маневрировать капиталом.
;
где
собственный капитал;
постоянные активы;
собственные оборотные средства.
· Коэффициент обеспеченности собственными средствами.
На основании данного коэффициента структура баланса признается удовлетворительной (неудовлетворительной), а сама организация - платежеспособной (неплатежеспособной).
;
где
СК - собственный капитал;
ПА - постоянные активы;
ТА - текущие активы.
· Коэффициент обеспеченности запасов собственными источниками
Показывает достаточность собственных оборотных средств для покрытия запасов, затрат незавершенного производства и авансов поставщикам.
![]()
где
СК - собственный капитал;
ПА - постоянные активы;
Зап - запасы сырья и материалов, незавершенное производство и авансы поставщикам.
· Коэффициент автономии (концентрации собственного капитала).
Характеризует долю владельцев предприятия в общей сумме средств авансированных в его деятельность.
![]()
где:
СК - собственный капитал;
ВБ - валюта баланса.
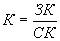
· Коэффициент соотношения собственных и заемных средств.
Этот коэффициент дает наиболее общую оценку финансовой устойчивости
![]()
где:
СК - собственный капитал;
З К – заемный капитал.
· Коэффициент обеспеченности долгосрочных инвестиций
Определяет, какая доля инвестированного капитала иммобилизована в постоянные активы.
![]()
где:
СК - собственный капитал;
ПА - постоянные активы;
ДО - долгосрочные обязательства.
· Коэффициент иммобилизаци.
Показатель характеризует соотношение постоянных и текущих активов.
![]()
где:
ПА - постоянные активы;
ТА - текущие активы.
· Показатель вероятности банкротства Е. Альтмана (Z-показатель).
![]()
где:
ТА - текущие активы;
ВБ - валюта баланса;
ДК – добавочный капитал;
ЧП – чистая прибыль;
УК – ставный капитал;
ВР – выручка от реализации.
В результате подсчета Z – показателя для конкретного предприятия делается заключение:
- если Z < 1,81 - вероятность банкротства составляет от 80 до 100%;
- если 2,77 < Z < 1,81 - средняя вероятность краха компании от 35 до 50%;
- если 2,99 < Z < 2,77 - вероятность банкротства не велика от 15 до 20%;
- если Z < 2,99 – ситуация на предприятии стабильна, риск неплатежеспособности в течении ближайших двух лет крайне мал.
3. Оценка ликвидности и платежеспособности.
· Коэффициент абсолютной ликвидности.
![]()
где:
ДС – Денежные средства,
КП – краткосрочные пассивы
Этот коэффициент показывает, какая часть краткосрочных заемных обязательств может быть при необходимости погашена немедленно.
· Коэффициент быстрой ликвидности
Показывает, какую часть текущей задолженности организация может покрыть в ближайшей перспективе при условии полного погашения дебиторской задолженности.
![]()
где:
ОА – Оборотные активы,
З – запасы,
КП – краткосрочные пассивы
· Коэффициент текущей ликвидности
Показывает платежные возможности организации при условии погашения краткосрочной дебиторской задолженности и реализации имеющихся запасов.

где:
ОбА - оборотные активы.
КДО - краткосрочные долговые.
· Коэффициент восстановления платежеспособности
Определяется как отношение расчетного коэффициента текущей ликвидности к его установленному значению. Расчетный коэффициент текущей ликвидности определяется как сумма фактического значения этого коэффициента на конец отчетного периода и изменение этого коэффициента между окончанием и началом отчетного периода в пересчете на период восстановления платежеспособности (6 месяцев).

где
Ктл.к - фактическое значение (на конец отчетного периода) коэффициента текущей ликвидности,
Ктл.н - значение коэффициента текущей ликвидности на начало отчетного периода,
Т - отчетный период, мес., 2 - нормативное значение коэффициента текущей ликвидности, 6 - нормативный период восстановления платежеспособности в месяцах.
· Коэффициент утраты платежеспособности
Определяется как отношение расчетного коэффициента текущей ликвидности к его установленному значению. Расчетный коэффициент текущей ликвидности определяется как сумма фактического значения этого коэффициента на конец отчетного периода и изменение этого коэффициента между окончанием и началом отчетного периода в пересчете на период утраты платежеспособности (3 месяца).
Формула расчета следующая:

где
Ктл.к - фактическое значение (на конец отчетного периода) коэффициента текущей ликвидности,
Ктл.н - значение коэффициента текущей ликвидности на начало отчетного периода,
Т - отчетный период, мес.,
2 - нормативное значение коэффициента текущей ликвидности,
3 - нормативный период восстановления платежеспособности в месяцах.
При анализе ликвидности баланса проводится сравнение активов, сгруппированных по степени их ликвидности, с обязательствами по пассиву, сгруппированными по срокам их погашения.
Для проведения анализа актив и пассив баланса группируются по следующим признакам:
по степени убывания ликвидности (актив);
по степени срочности оплаты (погашения) (пассив).
Активы в зависимости от скорости превращения в денежные средства (ликвидности) разделяют на следующие группы:
· А1 - наиболее ликвидные активы - денежные средства предприятия и краткосрочные финансовые вложения;
· А2- быстро реализуемые активы - дебиторская задолженность и прочие активы;
· А3 - медленно реализуемые активы – запасы
· А4 - труднореализуемые активы - итог раздела I актива баланса
Группировка пассивов происходит по степени срочности их возврата:
· П1- наиболее срочные обязательства - кредиторская задолженность, прочие пассивы, а также ссуды, не погашенные в срок;
· П2 - краткосрочные пассивы - краткосрочные кредиты и заемные средства;
· П3 - долгосрочные пассивы - долгосрочные кредиты и заемные средства;
· П4 - постоянные пассивы - итог раздела IV пассива баланса.
При определении ликвидности баланса группы актива и пассива сопоставляются между собой.
Условия абсолютной ликвидности баланса:
· А1>П1;
· А2>П2;
· А3>П3;
· А4>П4.
Необходимым условием абсолютной ликвидности баланса является выполнение первых трех неравенств. Четвертое неравенство носит так называемый балансирующий характер: его выполнение свидетельствует о наличии у предприятия собственных оборотных средств.
4. Оценка деловой активности
Анализ деловой активности позволяет охарактеризовать результаты и эффективность текущей основной производственной деятельности.
· Коэффициент устойчивости экономического роста:
![]()
где:
- чистая прибыль (прибыль, доступная к распределению среди акционеров);
D - дивиденды, выплачиваемые акционерам;
E - собственный капитал.
· Оборачиваемость активов
Этот показатель характеризует эффективность использования предприятием всех имеющихся ресурсов, независимо от источников их образования, т.е. показывает, сколько раз за анализируемый период совершается полный цикл производства и обращения.
![]()
ВР - выручка от реализации за расчетный период;
Анп, Акп - величина активов на начало и конец периода.
· Оборачиваемость собственных средств
Данный коэффициент рассчитывается как отношение выручки от реализации к средней за период величине собственного капитала.

где:
СК пн и СК кп - величина собственных средств на начало и конец периода.
· Оборачиваемость текущих активов
![]()
где:
ТАн п и ТАк п - величина текущих активов на начало и конец периода.
· Оборачиваемость запасов.
Данный коэффициент рассчитывается как отношение себестоимости продукции к средней за период величине запасов, незавершенного производства и готовой продукции на складе.
![]()
где:
С - себестоимость продукции, произведенной в расчетном периоде;
З н п и Зк п - величина остатков запасов, незавершенного производства и готовой продукции на складе на начало и конец периода.
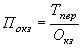
· Время обращения запасов (в днях).
![]()
где:
Тпер - продолжительность периода в днях;
Оз - оборачиваемость запасов.
· Оборачиваемость дебиторской задолженности
![]()
где:
ДЗнп, ДЗкп - дебиторская задолженность на начало и конец периода.
ВР – выручка от реализации.
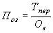
· Период оборота дебиторской задолженности
![]()
где:
Тпер - продолжительность периода в днях;
Одз - оборачиваемость дебиторской задолженности.
· Оборачиваемость кредиторской задолженности
![]()
где:
С - себестоимость продукции, произведенной в расчетном периоде;
КЗн п и КЗк п - кредиторская задолженность на начало и конец периода.
· Период оборота кредиторской задолженности
![]()
где:
Тпер - продолжительность периода в днях;
Окз - оборачиваемость кредиторской задолженности.
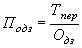
· Производственный цикл
![]()
где:
период оборота запасов сырья (в днях),
период оборота незавершенного производства (в днях),
Погп - период оборота готовой продукции (в днях).
· Финансовый цикл
![]()
где:
Цпр – производственный цикл;
Подз – период оборота дебиторской задолжености;
Покз - Период оборота кредиторской задолженности;
Поа - период оборота авансов.
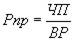
5. Оценка рентабельности предприятия.
Анализ рентабельности позволяет оценить способность предприятия приносить доход на вложенный в него (предприятие) капитал.
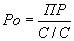
· Рентабельность всего капитала(совокупных активов)
Показывает, имеет ли компания базу для обеспечения высокой доходности собственного капитала.
![]()
где:
ЧП – чистая прибыль;
ВБнг и ВБкг - валюта баланса на конец и на начало года.
· Рентабельность собственного капитала
Характеризует эффективность использования собственного капитала.
![]()
ЧП – чистая прибыль;
СКнг и СКкг - величина собственных средств на начало и на конец года.
· Рентабельность основной деятельности
![]()
ПР – прибыль от реализациии;
С/С - себестоимость реализованной продукции.
· Рентабельность продаж
![]()
где:
ЧП – чистая прибыль;
ВР – выручка от реализации.
Единых нормативных критериев для приведенных выше показателей инвестиционной привлекательности не существует, так как они зависят от многих факторов отраслевой принадлежности предприятия, принципов кредитования, сложившейся структуры источников средств, оборачиваемости оборотных средств, репутации предприятия и т.д.
Наиболее часто оценка инвестиционной привлекательности производится при помощи одного из двух методов оценки: рейтинговой и интегральной.
Метод рейтинговой оценки проводится в два этапа:
· первый заключается в анализе ограничений, накладываемых инвестором, с целью «просеивания» предприятий и формирования «узкого списка» кандидатов, удовлетворяющих первоначальным требованиям и претендующих на получение средств для финансирования своей инвестиционной программы.
· второй предполагает рейтинговую оценку предприятий из «узкого списка» — ранжирование по степени убывания инвестиционной привлекательности попавших в него предприятий.
Анализ ограничений идет в контексте выбора «соответствует — не соответствует». Если предприятия соответствуют заданным ограничениям, они включаются в «узкий список», при несоответствии — исключаются из дальнейшего рассмотрения.
Для анализа инвестиционной привлекательности накладываются следующие основные ограничения по:
- абсолютной окупаемости инвестиций при заданном проценте;
- по привлечению средств;
- минимальной рентабельности инвестиций.
Рейтинговая оценка основывается на выведении некоего комплексного показателя, который рассчитывается как сумма взвешенных репрезентативных коэффициентов, характеризующих различные аспекты эффективности деятельности и устойчивости финансового состояния предприятия.
При составлении рейтинга анализируются две группы финансовых показателей, которые характеризуют инвестиционную привлекательность предприятий. В первую из них объединены пять показателей, характеризующих эффективность деятельности предприятий, а именно возможность получения прибыли. Во вторую группу входят пять финансовых показателей, которые характеризуют платежеспособность предприятий или, другими словами, косвенно оценивают вероятность возврата вложенных инвесторами средств. Используемые при анализе показатели рассчитываются на основании данных бухгалтерской отчетности по итогам года.
Показатели, характеризующие эффективность деятельности предприятия:
- Рентабельность продаж.
Рассчитывается как отношение чистой прибыли к выручке от реализации. Рентабельность продаж показывает, какую прибыль имеет предприятие с каждого рубля реализованной продукции.
2. Рентабельность активов.
Рассчитывается как отношение чистой прибыли к среднегодовой стоимости активов. Рентабельность активов показывает, сколько денежных единиц прибыли получено предприятием с единицы стоимости активов независимо от источников привлечения средств.
Таким образом, рентабельность активов дает возможность оценить эффективность использования активов и их прибыльность, а следовательно, оказывает влияние на инвестиционную привлекательность предприятия.
- Рентабельность оборотных средств.
Определяется как отношение чистой прибыли к средней величине оборотных средств.
4. Рентабельность собственного капитала.
Данный показатель определяется как отношение чистой прибыли предприятия к величине собственного капитала. Инвесторы капитала (акционеры) вкладывают в предприятие свои средства с целью получения прибыли от инвестиций, поэтому, с точки зрения акционеров, наилучшей оценкой результатов хозяйственной деятельности является получение прибыли на вложенный капитал, а именно рентабельность собственного капитала.
5. Доля износа основных средств (коэффициент износа).
Данный показатель определяется как отношение суммы износа к средне![]()
![]()
годовой стоимости основных фондов. Данный показатель указывает на техническое состояние основных средств предприятия.
Показатели, характеризующие платежеспособность предприятия:
1. Коэффициент текущей ликвидности. Показывает, какую часть текущих обязательств предприятие сможет погасить, мобилизовав все оборотные средства. Данный финансовый коэффициент рассчитывается как отношение оборотных средств к краткосрочным обязательствам.
2. Коэффициент срочной ликвидности. При расчете коэффициента срочной ликвидности с краткосрочной задолженностью сопоставляются денежные средства, краткосрочные финансовые вложения и дебиторская задолженность.
3. Коэффициент абсолютной ликвидности. Показывает, какую часть краткосрочных обязательств сможет погасить предприятие в ближайшее время за счет денежных средств на различных счетах и в краткосрочных ценных бумагах. Данный финансовый коэффициент рассчитывается как отношение наиболее ликвидных активов к краткосрочным обязательствам. Он характеризует величину денежных средств, необходимых для уплаты текущих обязательств.
4. Коэффициент обеспеченности текущих активов собственными оборотными средствами. Показывает, какая часть оборотных средств предприятия была сформирована за счет собственного капитала.
5. Коэффициент автономии. Показывает долю собственных средств в общей сумме источников финансирования. Данный финансовый коэффициент позволяет оценить зависимость предприятия от внешних источников финансирования, т.е. возможность осуществления деятельности без дополнительного привлечения заемного капитала
На основе экспертных исследований была разработана балльная оценка параметров, входящих в рейтинговую опенку инвестиционной привлекательности. При этом оценивалась величина первичного параметра (за определенный год), затем полученный балл корректировался с учетом динамики.
Бальная оценка параметров Таблица 3.
| Показатели / Оценка |
Хорошо |
Удовлетворительно |
В районе предельно допустимого значения |
Неудовлетворительно |
Крайне неудовлетворительно |
| Рентабельность продаж, % |
>20 |
5-20 |
0-5 |
-20-0 |
<-20 |
| Рентабельность активов, % |
>15 |
5-15 |
0-5 |
-10-0 |
<-10 |
| Рентабельность собственного капитала |
>45 |
15-45 |
0-15 |
-30-0 |
<-30 |
| Коэффициент износа основных средств |
<20 |
20-30 |
30-45 |
45-60 |
>60 |
| Рентабельность оборотных средств, % |
>30 |
10-30 |
0-10 |
-20-0 |
<-20 |
| Текущая ликвидность |
>1,3 |
1,15-1,3 |
1-1,15 |
0,9-1 |
<0,9 |
| Срочная ликвидность |
>1 |
0,8-1 |
0,7-0,8 |
0,5-0,7 |
<0,5 |
| Абсолютная ликвидность |
>0,3 |
0,2-0,3 |
0,15-0,2 |
0,1-0,15 |
<0,1 |
| Коэффициент обеспеченности собственными оборотными средствами, % |
>22 |
12-22 |
0-12 |
-11-0 |
<-11 |
| Коэффициент автономии, % |
>50 |
20-50 |
10-20 |
3-10 |
<3 |
![]()
Первичные параметры:
• Оценки:
— «хорошо» — 2 балла;
— «удовлетворительно» — 1 балл;
— «в районе предельно допустимого значения» — 0;
— «неудовлетворительно» — минус 1 балл;
— «крайне неудовлетворительно» — минус 2 балла.
• Поправка на динамику:
— «крайне положительная» (более +50%)- плюс 20%;
— «положительная» (от + 10% до 50%) — плюс 10%;
— «стабильная» (от -10% до + 10%) — 0;
— «отрицательная» (от -50% до -10%) — минус 10%;
— «крайне отрицательная» (менее -50%) — минус 20%.
Далее проводится ранжирование предприятий по количеству баллов, рассчитанных ранее и скорректированных с учетом динамики. В итоге составляется рейтинг предприятий по инвестиционной привлекательности.
Составление рейтинга является завершением оценки абсолютной и относительной инвестиционной привлекательности предприятий.
Метод интегральной оценки позволяет рассчитать показатель, в котором воспроизводятся значения других показателей, скорректированных в соответствии с их весомостью и другими факторами.
Специалисты считают, что основными, удовлетворяющими требованиям международного меморандума IASC (International Accounting Standarts Commitec) являются показатели оценки:
- показатели оценки имущественного состояния объекта вложения инвестиций;
- показатели оценки финансовой устойчивости (платежеспособности) объекта инвестиций;
- показатели оценки ликвидности активов объекта инвестиций;
- показатели оценки прибыльности объекта инвестиций;
- показатели оценки деловой активности объекта инвестиций;
- показатели оценки рыночной активности объекта инвестиций.
Интегральная оценка позволяет определить в одном показателе много разных по содержанию, единицам изменения, весомости и другим характеристикам факторов. Показатели оценки имущественного состояния предприятия:
1. .Показатель, характеризующий долю активной части основных средств:
Ф11

2. Коэффициент износа основных средств
Ф12
= ![]()
Этот показатель характеризует долю основных средств, списанных на затраты в предшествующих периодах.
3. Коэффициент обновления
Ф13
Данный показатель показывает, какая доля основных средств была обновлена за исследуемый период.
4. Коэффициент выбытия
Ф14
;
Коэффициент выбытия показывает, какая часть основных средств, с которой предприятие начало деятельность в отчетном периоде, выбыло из-за ветхости или по другим причинам.
2. Показатели оценки финансовой устойчивости и платежеспособности объекта инвестиций:
1. Показатель собственных оборотных средств:
Ф21
Среднегодовая стоимость собственного капитала – ОС и вложения – Запасы и затраты.
2. Показатель собственных долгосрочных и среднесрочных заемных источников формирования запасов и расходов:
Ф22 = Ф21 + Долгосрочные и краткосрочные кредиты и займы.
3. Сумма основных источников формирования запасов и расходов:
Ф23 = Ф22 + Запасы и затраты + Краткосрочные кредиты и займы, непогашенные в срок.
4. Сумма собственных оборотных средств:
Ф24 = Собственный капитал – Внеоборотные средства.
Наличие у предприятия собственных оборотных средств означает не только его способность уплатить собственные текущие долги, но и наличие возможностей для расширения деятельности и инвестирования.
5. Маневренность собственных оборотных средств характеризует долю запасов в его общей сумме:
Ф25
=
.
6. Коэффициент независимости, который характеризует возможность выполнить свои внешние обязательства за счет использования только собственных:
Ф26
=
.
7. Коэффициент финансирования дает общую оценку финансовую устойчивости предприятия:
Ф27
=
.
8. Коэффициент финансовой устойчивости показывает соотношение собственного капитала и долгосрочных пассивов к сумме хозяйственных ресурсов:
Ф28
=
.
9. Показатель финансового левериджа характеризует зависимость предприятия от долгосрочных обязательств:
Ф29 = .
Показатели оценки ликвидности активов объекта инвестиций:
1. Текущий или общий коэффициент покрытия:
Ф31
=
.
2. Коэффициент соотношения кредиторской и дебиторской задолженности:
Ф32
=
3. Коэффициент абсолютной ликвидности характеризует немедленную готовность предприятия ликвидировать краткосрочную задолженность:
Ф33
=
.
4. Норма денежных резервов. Показатель характерен для предприятий, у которых в наличии имеются ценные бумаги:
Ф34
= 
Показатели оценки прибыльности объекта инвестиций:
1. Коэффициент прибыльности инвестиций:
Ф41
= ![]()
2. Коэффициент прибыльности собственного капитала, который характеризует эффективность вложенных инвестиций в собственный капитал:
Ф42
= ![]()
3. Операционная рентабельность продажи характеризует сумму чистой прибыли на единицу реализованной продукции и показывает, что предприятие имеет возможность получить не только выручку от продажи, но и прибыль:
Ф43
=
.
4. Коэффициент прибыльности активов показывает сумму чистой прибыли на единицу стоимости активов:
Ф44
= ![]()
Показатели оценки деловой активности объекта инвестиций:
1. Производительность труда, которая характеризует эффективность трудовой деятельности людей:
Ф51
= ![]()
2. Фондоотдача характеризует эффективность использования основных фондов и показывает уровень выпуска приходящихся на 1 руб. основных средств:
Ф52
= ![]()
3. Оборачиваемость средств в расчетах (в оборотах). Она показывает среднее количество оборотов средств за соответствующий период:
Ф53
= ![]()
4. Коэффициент оборачиваемости средств в расчетах (в днях). Этот коэффициент показывает, за сколько дней денежные средства сделают оборот:
Ф54
= ![]()
5. Оборачиваемость производственных запасов (в оборотах) указывает на количество оборотов производственных запасов за соответствующий период:
Ф55
=
6. Коэффициент оборачиваемости производственных запасов (в днях). Он указывает на количество дней, которые были нужны предприятию для пополнения его производственных запасов:
Ф56
= ![]()
7. Оборачиваемость собственного капитала указывает на количество оборотов собственного капитала за соответствующий период:
Ф57
=
.
8. Оборачиваемость основного капитала указывает на количество оборотов основного капитала за соответствующий период:
Ф58
=
.
Всем группам показателей опенки инвестиционной привлекательности, а также показателям, размещенным в этих группах, присваивают соответствующие числовые значения.
В первую очередь необходимо установить весомость групповых и единичных показателей.
Так, весомость j-го показателя в i-й группе с учетом групповой весомости можно определить по формуле:
Вij = Pij * Гi / 100,
где Pij – весомость j-го показателя в i-й группе; Гi – значение групповой весомости.
Далее необходимо определить ограничения для показателей, из которых состоит интегральная оценка.
После определения основных параметров и направления их оптимизации необходимо определить долю вариационного размаха, которая является составной частью соответствующей формулы, с помощью которой осуществляется переход от разных по признаку и единицам измерения показателей к сопоставленным значениям. Эта доля характеризует определенную в количественном измерении область существования показателя:
∆ij = Рij max - Pij min ,
где ∆ij – доля вариационного размаха для j-го показателя в i-й группе.
Затем ранжируют значения всех показателей. В частности, ранжирование значений показателя j можно определить по формуле:
Rij ( t) = (Фij - Pij ( t) min ( max) ) / ∆ij ,
где Фij – фактическое значение показателя в соответствии принятым множеством j-х показателей в i-х группах; Pij ( t) min ( max) – значения экстремальных показателей, которые задаются в зависимости от направления оптимизации.
При t = 1 принимается минимальное значение Рij min (1) ;
При t = 2 принимается максимальное значение Рij max (2) ;
При t = 1 значение R( t) ij максимизируется, при t = 2 – минимизируется.
Расчет интегрального показателя инвестиционной привлекательности предприятия воплощает в себе значения всех показателей, задействованных в методе при определении этой привлекательности.
Основные параметры для определения интегрального показателя инвестиционной привлекательности организации Таблица 4.
| Групповые показатели весомости, Г, % |
Показатели в группах и их весомость |
Минимальное значение показателя Рij |
Максимальное значение показателя Рij |
Направление оптимизации |
| Группа 1 —25 |
Ф11 =10 |
0,20 |
1,00 |
Мах |
| Ф12 = 40 |
1,00 |
2,50 |
Min |
|
| Ф13 = 30 |
0,10 |
0,80 |
Мах |
|
| Ф14 = 20 |
3,00 |
5,00 |
Min |
|
| Группа 2-26 |
Ф21 = 8 |
0,00 |
1300,00 |
Мах |
| Ф22 = 10 |
0,00 |
1500,00 |
Мах |
|
| Ф23 = 8 |
0,00 |
2300,00 |
Мах |
|
| Ф24 = 12 |
400,00 |
1700,00 |
Мах |
|
| Ф25 =12 |
4,00 |
7,50 |
Мах |
|
| Ф26 = 16 |
0,50 |
1,50 |
Мах |
|
| Ф27 = 17 |
2,00 |
3,00 |
Мах |
|
| Ф28 = 17 |
0,85 |
0,90 |
Мах |
|
| группа 3—15 |
Ф31 =27 |
1,00 |
1,50 |
Мах |
| Ф32 = 27 |
0,30 |
1,00 |
Мах |
|
| Ф33 = 27 |
0,20 |
0,35 |
Мах |
|
| Ф34 = 19 |
8,00 |
16,00 |
Мах |
|
| Группа 4—13 |
Ф41 = 47 |
0,30 |
0,80 |
Мах |
| Ф42 = 15 |
0,50 |
0,90 |
Мах |
|
| Ф43 = 38 |
1,90 |
2,50 |
Мах |
|
| Группа 5-21 |
Ф51 = 9 |
0,10 |
1,00 |
Мах |
| Ф52 = 9 52 = 9 |
0,10 |
3,50 |
Мах |
|
| Ф53 = 13 |
0,40 |
0,80 |
Мах |
|
| Ф54 = 15 |
450,00 |
900,00 |
Min |
|
| Ф55 = 13 |
0,80 |
1,0 |
Мах |
|
| Ф56 = 13 |
360,00 |
450,00 |
Min |
|
| Ф57 = 13 |
1,20 |
1,50 |
Мах |
|
| Ф58 = 15 |
1,20 |
1,40 |
Мах |
На основе рассчитанных показателей определяются интегральные значения показателя инвестиционной привлекательности предприятия.
К недостатку метода интегральной оценки инвестиционной привлекательности можно отнести его сложность как с точки зрения формирования обобщенных оценок инвестиционной привлекательности, так и с точки зрения их восприятия потенциальным инвестором.
[1] Нешитой А. С. Инвестиции. – М.: Издательско-торговая корпорация «Дашков и Ко», 2007. с. 14.
[2] Бланк И. А. Инвестиционный менеджмент. – К.: Эльга-Н, Ника-Центр, 2001. с. 9-10.
[3] Игонина Л. Л., Слепов В. А. Инвестиции: учеб. пособие. – М.: Экономистъ, 2005. с. 20.
[4] Гуськова Н. Д., Краковская И. Н., Слушкина Ю. Ю., Маколов В. И. Инвестиционный анализ: учебник. – М: КНОРУС, 2010. с. 27.
[5] Максимова В. Ф. Реальные инвестиции. – М.: Московская финансово-промышленая академия, 2005. с. 4.
[6] Гуськова Н. Д., Краковская И. Н., Слушкина Ю. Ю., Маколов В. И. Инвестиционный анализ: учебник. – М: КНОРУС, 2010. с. 29-33.
[7] Бланк И. А. Инвестиционный менеджмент. – К.: Эльга-Н, Ника-Центр, 2001. с. 22-28.
[8] Толкаченко Г. Л., Толкаченко О. Ю. О некоторых аспектах определения инвестиционной привлекательности предприятия / Тверской гос. ун-т. Тверь, 2009. с. 61.
[9] Якупова Н. М., Яруллина Г. Р. Концептуальные основы оценки инвестиционной привлекательности предприятия// Экономичсекие науки №9, 2009. с. 168-169.
[10] Ендовицкий Д. А. Анализ инвестиционной привлекательности. – М.: КНОРУС, 2010. с. 69-73.
[11] Безруков Б. А. Стратегия инвестиционной привлекательности современного предприятия// Транспортное дело России. №4. 2008.
[12] Колмыкова Т. С. Инвестиционный анализ: учебное пособие – М.: Инфра-М, 2010 с. 159 -160.