| Скачать .docx |
Реферат: Проблемы и перспективы развития страхового рынка
МИНИСТЕРСТВО ОБРАЗОВАНИЯ И НАУКИ РОССИЙСКОЙ ФЕДЕРАЦИИ
ФЕДЕРАЛЬНОЕ АГЕНТСТВО ПО ОБРАЗОВАНИЮ
НОВОСИБИРСКИЙ ГОСУДАРСТВЕННЫЙ ТЕХНИЧЕСКИЙ УНИВЕРСИТЕТ
БЕРДСКИЙ ФИЛИАЛ
Кафедра экономики и менеджмента
КОНТРОЛЬНАЯ РАБОТА
ПО СТРАХОВАНИЮ
“Проблемы и перспективы развития
страхового рынка ”
ВЫПОЛНИЛА:
студентка 4 курса
группа 648
Карпова Татьяна Юрьевна
Шифр: 503613341
ПРОВЕРИЛА:
Костяева Елена Васильевна
2010 г.
Введение.
Страхование – одна из древнейших категорий общественных отношений. Это
необходимый элемент производственных отношений. Оно связано с возмещением материальных потерь в процессе общественного воспроизводства.
Страхование является одним из важнейших институтов социальной и финансовой защиты отдельного человека, группы людей и всего общества в целом. Так как на уровне страховой организации формируются страховые резервы, средства которых инвестируются, страхование является важнейшим источником инвестиций в экономику. Реальное появление рыночных отношений в сфере страхования в России началось в начале 1990-х гг., в то время как в странах с развитой рыночной экономикой интенсивное развитие страхового рынка происходило еще в XIX в.
В современном обществе рискованный характер общественного производства во все большей мере определяется не только природными факторами, сколько противоречивыми, связанными с усложнениями производственных отношений между людьми. Огромные масштабы общественного производства в нашей стране, сами по себе создают условия для возникновения случайных, непредвиденных событий, имеющих неблагоприятные последствия.
С развитием частной собственности существенно возрастает роль страхования, однако объем и эффективность страховых услуг, предлагаемых российским страховым рынком предпринимателям и гражданам, весьма невелик.
1. Проблемы и перспективы развития страхового рынка России.
Страхование является самостоятельным элементом финансовой
системы Российской Федерации и подразделяется на два обособленных направления: социальное страхование и страхование, непосредственно связанное счрезвычайными событиями, ситуациями. Уровень развития страхования в любой стране является весьма четким индикатором "рыночности" экономики. Там, где экономика слаба, страхование не может быть развитым, и, наоборот, сильная рыночная экономика требует высокого уровня страховой защиты [1].
Страхование способствует минимизации риска в экономике. Но страховой бизнес сам существует в условиях неопределенности. Страховщики должны быть готовы к тому, что как правило, добровольно себя страхует лицо, предполагающее наступление страхового события, и целью страхования для любого рационального страхователя является превышение суммы, полученной как возмещение ущерба, над страховыми взносами.
В настоящее время Россия занимает скромное место на мировом рынке страховых услуг — всего 0,2 % мирового объема страховых премий. На конец 2006 г. доля застрахованных рисков в России составляет лишь 10-15 % против 90-95 % в промышленно развитых странах. Эксперты выделяют ряд основных причин, которые сдерживают развитие страхования — отсутствие у россиян доверия к страховым компаниям, нехватка опыта в использовании страховых услуг, низкий уровень жизни большинства населения и малое количество платежеспособных предприятий.
Соотношение страховой премии (за исключением премии по ОМС) и ВВП продолжает снижаться, в 2007 г. оно составило 1,45%, уменьшившись на 4% по сравнению с 2006 г., а доля страховой премии по страхованию иному, чем страхование жизни, напротив, увеличивается (в 2006 г. — на 2% до 2,21%, в 2007 г. — на 2% до 2,25%).
Динамика ключевых показателей развития рынка страхования России в период 2001-2007 гг. по основным сегментам представлена в таблице.
| Страховые показатели | 2001 | 2002 | 2003 | 2004 | 2005 | 2006 | 2007 |
| Страховые премии, млрд руб. | 295,4 | 335,6 | 447,5 | 472,1 | 494,6 | 609,1 | 759,2 |
| Добровольное страхование | 253,1 | 273,2 | 342,4 | 320,3 | 294,1 | 336,1 | 398,2 |
| Страхование жизни | 157,4 | 124,8 | 158,1 | 99,5 | 24,5 | 16,0 | 18,1 |
| Общее страхование | 95,7 | 148,4 | 184,3 | 220,8 | 269,6 | 320,1 | 380,1 |
| Обязательное страхование | 42,3 | 62,4 | 105,1 | 151,8 | 200,5 | 273,0 | 361 |
| Страховые выплаты, млрд руб. | 245,4 | 257,3 | 301,7 | 297,8 | 275,7 | 356,5 | 469,4 |
| Добровольное страхование | 173,5 | 197,6 | 225,1 | 181,7 | 111,8 | 128,5 | 152,2 |
| Страхование жизни | 150,5 | 160,1 | 172,1 | 112,5 | 24,4 | 16,8 | 11,2 |
| Общее страхование | 23,0 | 37,5 | 53 | 69,2 | 87,4 | 111,7 | 141 |
| Обязательное страхование | 71,9 | 59,7 | 76,6 | 116,1 | 163,9 | 228 | 317,2 |
| Коэффициент выплат, %, всего | 83,1 | 76,7 | 67,4 | 63,1 | 55,7 | 58,5 | 61,8 |
| Добровольное страхование, % | 68,6 | 72,3 | 65,7 | 56,7 | 38,0 | 38,2 | 38,2 |
| Страхование жизни, % | 95,6 | 128,3 | 108,9 | 113,1 | 99,6 | 105,0 | 61,9 |
| Общее страхование, % | 24,0 | 25,3 | 28,8 | 31,3 | 32,4 | 34,0 | 37,1 |
| Обязательное страхование, % | 167,0 | 95,7 | 72,9 | 76,5 | 81,8 | 83,5 | 87,9 |
Таблица №1. Динамика ключевых показателей развития рынка страхования России в период 2001-2007 гг. по основным сегментам.
В 2007 г. продолжился рост плотности страхования страховой премии на душу населения, который все эти годы обусловлен увеличением размера совокупной страховой премии, так как численность населения России остается практически на одном уровне. "Подушевая плотность страхования" составила 5,4 тыс. руб., увеличившись на 25,6% по сравнению с 2006 г.
В развитых странах Европы страховая премия на душу населениясоставляет 2,3-6,5 тыс. долл.
Количественный рост и структурные изменения, происходившие на российском страховом рынке в течение 2006-2007 гг., привели к тому, что Россия стала привлекательным рынком для иностранных игроков.
Глобальные страховые компании рассматривают российский рынок как очень перспективное направление для инвестиций: ожидаемые прибыли значительно превышают страховые риски России. 2006 год стал первым годом развития страхования в современной России, когда реальную значимость приобрел фактор неценовой конкуренции. По большинству видов страхования тарифная конкуренция крайне затруднена, так как дальнейшее снижение тарифов без существенной угрозы финансовому состоянию страховщика уже невозможно.
При номинальном росте страхового рынка России пока еще необратим процесс его стагнации в реальном выражении. К сожалению, в 2005 г. при установившейся инфляции на уровне 10,9%, 4-процентного номинального роста премий оказалось недостаточно для того, чтобы превысить фактор ежегодного обесценивания денежных средств. В итоге, в 2005 г. темпы прироста премий, скорректированные на уровень инфляции, оказались на отметке — 6,4%, подтвердив динамику ежегодного падения данного показателя. Однако ситуация изменилась в 2006 г., когда наметился рост в реальном выражении на 9,4%, обусловленный увеличением сумм обязательного страхования, прежде всего обязательного медицинского страхования.
Взносы на душу населения, наоборот, демонстрируют ежегодный рост, но только в номинальном выражении. По результатам 2006 г. на душу населения приходится 4 276,1 руб. страховой премии, что является достаточно малым показателем в сравнении с развитыми странами. Однако показатель 2006 г. опережает данные 2005 г. на 25%, что свидетельствует о реальном росте страховых взносов на душу населения [1].
По итогам первого полугодия 2008 г. российские страховые компании собрали 293 млрд. руб. взносов по прямому страхованию ( без ОМС), что на 44 млрд. руб., или на 17,6 % больше, чем за аналогичный период предыдущего года. Прирост взносов в 2008 г. замедлился — в первом полугодии2007г. он был на 3,1% выше. Крупнейшими сегментами российского страхового рынка по-прежнему остаются автокаско (объем взносов, собранных по этому виду страхования в первом полугодии 2008г.,составил 76,4 млрд руб.).
В настоящее время складываются позитивные тенденции в развитии страхового рынка России, создаются условия для его равномерного и динамичного роста. По мнению ряда экспертов, его потенциал роста составляет 9-12% в год. Следует заметить, что рост будет происходить с одновременным увеличением благосостояния населения и ростом экономики страны в целом. Однако возможны и внезапные скачки, например на рынке страхования жизни, который абсолютно не развит и оценивается в 60 млрд долл. США, поэтому выглядит привлекательным для западных инвесторов.
Глава ФССН Илья Ломакин-Румянцев отметил, что финансовый кризис не мог не повлиять на страховой рынок, хотя страховщики себя и чувствуют гораздо лучше, чем банки. Так, в третьем квартале 2008 г. по сравнению со вторым кварталом премия сократилась на 9%, тогда как за аналогичный период 2007 г. падение было на уровне 4%. В лидерах падения личное страхование — минус 53%, в то время как в аналогичный период прошлого года наблюдалось всего лишь 20%-ное падение. Эксперты видят причину в сокращении предприятиями социальных расходов.
По мнению ФССН, в полной мере последствия сокращения платежеспособного спроса страховщики ощутят в следующем году. В первую очередь это отразится на видах страхования, связанных со строительством, а также потребительским и залоговым кредитованием. "Негативные последствия будут иметь двойное действие. Во-первых, ожидается, что сокращение покупательной способности и уменьшение расходов предприятий приведет к снижению спроса на страхование имущества и добровольное медицинское страхование. Сворачивание кредитных программ и замораживание строительных объектов отрицательно скажутся на рынках ипотечного страхования, страхования «автокаско» и страхования СМР. Рост полученных страховых премий следует ожидать только в страховании, связанном с госконтрактами и большими инфраструктурными проектами (например, со строительством олимпийских объектов). Во-вторых, замедлятся темпы развития рынка, обострение проблемы роста убыточности, обесценение инвестиций страховщиков — все это приведет к банкротству целого ряда российских страховых компаний в 2009 году"[4].
Одновременно тормозят развитие страхования в современной России медленные темпы роста рынка перестрахования, который выступает в роли инструмента оптимизации страховых рисков. По оценкам аналитиков, реальный рынок перестрахования растет на 10-15% в год. Его особенностью является то, что основные потоки перестрахования аккумулируются у универсальных перестраховщиков. Существенно влияют на развитие перестрахования следующие проблемы:
• низкая капитализация российских перестраховщиков в сравнении с универсальными компаниями, которые превосходят по
финансовым возможностям;
• перестрахование — это транснациональный вид бизнеса, но нашим компаниям пока для выхода на серьезные западные рынки
мешает отсутствие серьезных международных рейтингов. Пере
ход на международные стандарты финансовой отчетности является неотъемлемой частью вступления российских страховых
компаний в глобальный мировой страховой рынок;
• низкий уровень государственной поддержки рынка перестрахования.
Развитие страхового рынка, способного удовлетворить все потребности растущей и усложняющейся экономики России, возможно только при выполнении двух ключевых принципов, заложенных в концепции:
• страхование активов по их реальной стоимости;
• установление единой экономической стоимости жизни для воз
мещения вреда жизни и здоровью по всем видам страхования.
Понятие экономической стоимости жизни должно быть унифицировано и определено в зависимости от среднего уровня заработной платы, расходов на образование и медицинское обслуживание. Система страхования должна обеспечивать по-настоящему достойное возмещение вреда жизни и здоровью каждого человека независимо от вида страхования, по которому произошел страховой случай. Реальную стоимость активов в экономике следует рассчитывать исходя из справедливой стоимости, например из дисконтированной стоимости будущих денежных потоков, генерируемых этими активами [2].
Чтобы интегрировать страховой рынок России в общеевропейскую финансовую систему, нужно выделить следующие его особенности:
• доля страхования имущества предприятий и грузов в России
будет выше в силу экономической и географической специфики (структура народного хозяйства, слабая развитость инфра
структуры, удаленность территорий);
• доля добровольного медицинского страхования как альтернатива государственного медицинского обеспечения будет занимать более значимое место на рынке, и показывать более устойчивый рост, чем накопительное и пенсионное страхование;
• на рынке будут доминировать отечественные страховые компании, даже в случае полной либерализации рынка;
• обязательное страхование и различные централизованные
страховые программы в России аккумулируют значительную
долю страхового рынка.
Российский страховой рынок аккумулирует более 4/5 рынка стран СНГ. Этому способствовала умеренная политика, которая контролировала процесс вхождения иностранных страховых компаний на рынок.
По мнению экспертов, существует достаточно много веских причин инвестиционной привлекательности российского страхового рынка:
• согласно прогнозам, в России продолжится устойчивый рост
ВВП;
• высокие цены на нефть обеспечили стабильный приток денежных средств, хотя мировой финансовый кризис конца 2008 г. и
вносит свои коррективы;
• хорошая динамика уровня прибыли на собственный капитал;
• российский рынок продолжает оставаться привлекательным
рынком в мире;
• в российском секторе розничных услуг наблюдается более низ
кий уровень конкуренции по сравнению со странами с развитой или развивающейся рыночной экономикой;
• сформировался спрос на высококачественные страховые услуги;
• налоговая и нормативно-правовая среда приемлема для западных компаний.
Российский страховой рынок сталкивается с существенными проблемами, требующими их скорейшего решения. Это, прежде всего, совершенствование страхового законодательства с учетом задач внутреннего регулирования страхового рынка, требований европейского страхового нормативно-правового поля, в условиях вступления России во Всемирную Торговую Организацию. А также решение задач повышения финансовой устойчивости и платежеспособности страховых компаний, освоение новых страховых продуктов и видов страхования, подготовка и переподготовка кадров для страхового бизнеса [5].
Одновременно к числу важнейших задач развития страхования в России можно отнести повышение конкурентоспособности российского страхового рынка на мировом страховом рынке, повышение уровня капитализации страховых компаний, повышение инвестиционной привлекательности российских страховых компаний, улучшение качества страховых услуг. Приоритетным является развитие классических видов долгосрочного и накопительного личного страхования, совершенствование правовых и организационных основ обязательного страхования, создание и развитие современной инфраструктуры страхового рынка, создание единых баз данных страховых компаний. Требуется создание единой образовательной системы, предполагающей не только получение базовых фундаментальных знаний и практических навыков, но и постоянное повышение квалификации работников страховой сферы. Особого внимания заслуживает вопрос совершенствования налогообложения доходов физических и юридических лиц, связанного как с деятельностью страховых организаций, так и со страхованием физических и юридических лиц. Повышение страховой культуры населения является неотъемлемой частью для развития страхового рынка.
В России складываются все предпосылки для формирования эффективной системы взаимодействия по поводу страхования между государством, обществом и бизнесом. Позитивные тенденции в социально-экономической системе и стимулирование развития страхования будут способствовать тому, что роль российского страхового рынка будет только возрастать как внутри страны, так и за ее пределами.
В проекте Стратегии развития страховой отрасли на 2008—2012 годы, определяющей перспективы страхования на ближайшее время, особое внимание уделено видам страхования гражданской ответственности, страхованию жизни, необходимости совершенствования режима налогообложения страховщиков и страхователей с целью стимулирования развития долгосрочного (накопительного) страхования, созданию долгосрочных инвестиционных инструментов для размещения активов страховщиков, привлечения страховщиков к решению задач социальной значимости [3].
Практическая часть
Группа компаний РОСНО является одной из крупнейших страховых групп в России.ОАО СК «РОСНО» создано в 1991 г. и является одной из крупнейших российских универсальных страховых компаний. В распоряжении ее клиентов более 130 видов добровольного и обязательного страхования. Региональная сеть РОСНО насчитывает 88 филиалов, объединенных по территориальному признаку в 8 дирекций, и 383 агентства во всех субъектах РФ.
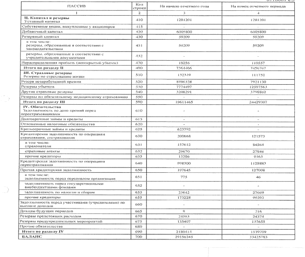
РОСНО является одним из лидеров российского страхового рынка по объему капитализации. Капитал компании на 100% состоит из собственного акционерного капитала, что обеспечивает дополнительную финансовую надежность и устойчивость. Уставный капитал — 5 124 802 320 руб. (изменение к Уставу зарегистрировано 29.01.2010 г.). Собственные средства — 7 456 767 тыс. руб., страховые резервы — 24 429 307 тыс. руб. (по состоянию на 31.12.2009).
В 2007 году международное рейтинговое агентство Moody’s Investors Service присвоило РОСНО рейтинг финансовой устойчивости страховщика по международной шкале на уровне Baа1. Прогноз рейтинга — «стабильный». Одновременно с этим рейтинговое агентство Moody’s Interfax присвоило РОСНО рейтинг Ааа.ru по национальной шкале.
В национальном рейтинге страховых компаний России, проводимом рейтинговым агентством «Эксперт РА», РОСНО седьмой год присваивается наивысший рейтинг А++ «Исключительно высокий уровень надежности». При определении рейтинга в 2008 году рейтинговое агентство впервые распространило данную оценку на Группу компаний (ОАО СК «РОСНО» и ОАО «РОСНО-МС»).
РОСНО является победителем ежегодного рейтинга «Народная Марка» за 2003 и 2005 годы в категории «Страховая компания», и является трехкратным победителем в категории «Страховая компания» в исследовании «Марка Доверия», проводимом журналом «Ридерз Дайджест». Основные критерии оценки — качество, надежность, положительный имидж и понимание нужд потребителя.
По результатам исследования за 2008 год, организованного журналом Euromoney, СК «РОСНО» признана «Лучшей страховой компанией России».
В 2009 г. согласно результатам исследования компании Online Market Intelligence (OMI) и делового еженедельника «Компания» бренд РОСНО был признан «Любимым брендом россиян» в категории «страхование».
В 2009 г. в рамках проводимого «Эксперт РА» Ежегодного форума топ-менеджеров «Будущее страхового рынка России» РОСНО стало лауреатом в номинации: «За неизменную надежность и открытость» и «Лидер рынка страхования выезжающих за рубеж»[8].
Цель практической работы: Оценить финансовую устойчивость и платежеспособность страховой компании на основании данных финансовой отчетности (ф. № 1, 2)
Платежеспособность – способность к своевременному выполнению обязательств в полном объеме в установленные сроки согласно законодательства или договора страхования.
Финансовая устойчивость – это характеристика финансовой стабильности страховой организации, обеспечиваемая достаточным размером собственного капитала.
Методика расчёта соотношения активов и обязательств страховой организации:
1) Расчёт фактической маржи платежеспособности (ФМп);
2) Расчёт нормативной маржи платежеспособности (НМп);
3) Сравнение фактической и нормативной маржи платежеспособности
4) Принятие решения о достаточном уровне платежеспособности (ФМп должна быть больше НМп на 30% и более);
5) В случае необходимости, разработка плана финансового оздоровления.
| Таблица 1. Расчет соотношения между фактическим и | |||||||||
| нормативным размерами маржи платежеспособности | |||||||||
| Наименование показателя | Код строки | Величина | |||||||
| 1 | 2 | 3 | |||||||
| Расчет отклонения фактического размера маржи платежеспособности от нормативного размера маржи платежеспособности | |||||||||
| Фактический размер маржи платежеспособности (стр. 22) | 01 | 7455998 | |||||||
| Нормативный размер маржи платежеспособности по страхованию жизни (стр. 34) | 02 | 5587,6 | |||||||
| Нормативный размер маржи платежеспособности по страхованию иному, чем | 03 | 3279102,9 | |||||||
| страхование жизни, | |||||||||
| (стр. 42 + стр. 04 + стр. 05 + стр. 06), в том числе: | |||||||||
| Нормативный размер маржи платежеспособности по | 04 | - | |||||||
| с согласованными величинами процентов1 | вид обязательного страхования | ||||||||
| Нормативный размер маржи платежеспособности по | 05 | - | |||||||
| с согласованными величинами процентов | вид обязательного страхования | ||||||||
| Нормативный размер маржи платежеспособности по | 06 | - | |||||||
| с согласованными величинами процентов | вид обязательного страхования | ||||||||
| Нормативный размер маржи платежеспособности | 07 | 3284690,5 | |||||||
| ((стр. 02 + стр. 03), но не менее законодательно установленной минимальной величины | |||||||||
| уставного (складочного) капитала) | |||||||||
| Отклонение фактического размера маржи платежеспособности от нормативного | 08 | 4171307,5 | |||||||
| размера маржи платежеспособности (стр. 01 - стр. 07) | |||||||||
| I. Расчет фактического размера маржи платежеспособности | |||||||||
| Уставный (складочный) капитал | 11 | 1281201 | |||||||
| Добавочный капитал | 12 | 6005800 | |||||||
| Резервный капитал | 13 | 59209 | |||||||
| Нераспределенная прибыль отчетного года и прошлых лет | 14 | 110557 | |||||||
| Промежуточный результат (стр. 11 + стр. 12 + стр. 13 + стр. 14) | 15 | 7456767 | |||||||
| Непокрытые убытки отчетного года и прошлых лет | 16 | - | |||||||
| Задолженность акционеров (участников) по взносам в уставный (складочный) | 17 | - | |||||||
| капитал | |||||||||
| Собственные акции, выкупленные у акционеров | 18 | - | |||||||
| Нематериальные активы | 19 | 769 | |||||||
| Дебиторская задолженность, сроки погашения которой истекли | 20 | - | |||||||
| Промежуточный результат (стр. 16 + стр. 17 + стр. 18 + стр. 19 + стр. 20) | 21 | 769 | |||||||
| Фактический размер маржи платежеспособности (стр. 15 - стр. 21) | 22 | 7455998 | |||||||
| II. Расчет нормативного размера маржи платежеспособности по страхованию | |||||||||
| жизни | |||||||||
| Резерв по страхованию жизни | 31 | 111752 | |||||||
| Доля перестраховщиков в резерве по страхованию жизни | 32 | 4 | |||||||
| Поправочный коэффициент ((стр. 31 - стр. 32) : стр. 31, но не менее 0,85) | 33 | 1 | |||||||
| Нормативный размер маржи платежеспособности по страхованию жизни | 34 | 5587,6 | |||||||
| (0,05 х стр. 31 х стр. 33) | |||||||||
| III. Расчет нормативного размера маржи платежеспособности по страхованию | |||||||||
| иному, чем страхование жизни | |||||||||
| Показатель, принимаемый для расчета нормативного размера маржи платежеспособности (стр. 55 или стр. 68)2 | 41 | 3346023,37 | |||||||
| Нормативный размер маржи платежеспособности по страхованию иному, чем страхование жизни (стр. 83 х стр. 41) | 42 | 3279102,9 | |||||||
| 1. Расчет первого показателя | |||||||||
| (расчетный период - год (12 месяцев), предшествующий отчетной дате)3 | |||||||||
| Страховые премии (взносы) за расчетный период4 | 51 | 19060049 | |||||||
| Возврат страховых премий (взносов) в связи с расторжением (изменением условий) договоров страхования, сострахования и договоров, принятых в перестрахование, за расчетный период | 52 | 300000 | |||||||
| Отчисления от страховых премий (взносов) по договорам страхования, сострахования в резерв предупредительных мероприятий за расчетный период | 53 | - | |||||||
| Другие отчисления от страховых премий (взносов) по договорам страхования, сострахования в случаях, предусмотренных действующим законодательством, за расчетный период | 54 | 111364 | |||||||
| Первый показатель (0,16 х (стр. 51 - стр. 52 - стр. 53 - стр. 54)) | 55 | 2983789,6 | |||||||
| 2. Расчет второго показателя | |||||||||
| (расчетный период - 3 года (36 месяцев), предшествующих отчетной дате) | |||||||||
| Страховые выплаты за расчетный период5 | 61 | 57180147 | |||||||
| Поступления, связанные с реализацией перешедшего страховщику права требования, которое страхователь (застрахованный, выгодоприобретатель) имеет к лицу, ответственному за убытки, возмещенные в результате страхования, за расчетный период | 62 | 300759 | |||||||
| Резерв убытков | на начало расчетного периода | 63 | 255111 | ||||||
| на конец расчетного периода (на отчетную дату) |
64 | 1170057 | |||||||
| на начало расчетного периода | 65 | 17711713 | |||||||
| на конец расчетного периода (на отчетную дату) | 66 | 3561162 | |||||||
| Промежуточный итог | 67 | 14547927,7 | |||||||
| (стр. 61 - стр. 62 + стр. 64 + стр. 66 - (стр. 63 + стр. 65)) : 3 | |||||||||
| Второй показатель (0,23 х стр. 67 или ноль, если у страховщика нет данных за 3 года | 68 | 3346023,37 | |||||||
| (36 месяцев)) | |||||||||
| 3. Расчет поправочного коэффициента | |||||||||
| (расчетный период - год (12 месяцев), предшествующий отчетной дате)3 | |||||||||
| Страховые выплаты за расчетный период5 | 71 | 19060049 | |||||||
| Резерв убытков | на начало расчетного периода | 72 | 85037 | ||||||
| на конец расчетного периода (на отчетную дату) | 73 | 390019 | |||||||
| на начало расчетного периода | 74 | 590571 | |||||||
| на конец расчетного периода | 75 | 1187054 | |||||||
| (на отчетную дату) | |||||||||
| Промежуточный итог (стр. 71 + стр. 73 + стр. 75 - (стр. 72 + стр. 74)) | 76 | 19961514 | |||||||
| Доля перестраховщиков в страховых выплатах | 77 | 445711 | |||||||
| Доля перестраховщиков в резерве заявленных, но неурегулированных убытков | на начало расчетного периода | 78 | - | ||||||
| на конец расчетного периода (на отчетную дату) | 79 | - | |||||||
| Доля перестраховщиков в резерве произошедших, но незаявленных убытков |
на начало расчетного периода | 80 | - | ||||||
| на конец расчетного периода (на отчетную дату) | 81 | - | |||||||
| Промежуточный итог (стр. 77 + стр. 79 + стр. 81 - (стр. 78 + стр. 80)) | 82 | 445711 | |||||||
| Поправочный коэффициент ((стр. 76 - стр. 82) : стр. 76, но не менее 0,5 и не более 1, | 83 | 0,98 | |||||||
| или 1, если стр. 71 равна нулю | |||||||||
Х =
*100% =
*100% = 143,17%
При сравнении фактической и нормативной маржи платежеспособности, можно сказать что, фактическая маржа больше нормативной на 4176895,1 тыс. руб. или на 43,17 %. Уровень платежеспособности у данной страховой организации выше нормы, что говорит о её финансовой устойчивости .
Методика оценки чистых активов утверждена приказом Минфина России и ФКЦБ России N 07-10/пз-н от 01.02.2007 года.
Под стоимостью читых активов страховой организации, соданной в форме акционерного общества, понимается величина, определяемая путем вычитания из суммы активов акционерного общества, принимаемых к расчету, суммы его пассивов, принимаемых к расчету.
Чистые активы должны быть больше минимального законодательно установленного уставного капитала, а также уставного капитала, указанного в учредительных документах. При положительной динамике чистых активов можно сделать вывод о высокой финансовой устойчивости страховой организации.
Таблица 2. Расчет оценки стоимости чистых активов страховой организации
ОАО СК «РОСНО»
| Наименование показателя | Код строки бух.баланса |
На начало отчетного |
На конец периода |
|
| Активы | ||||
| 1. | Нематериальные активы | 110 | 855 | 769 |
| 2. | Инвестиции | 120 | 15 700 197 | 13 341 603 |
| 3. | Депо премий у перестрахователей | 150 | 732 | - |
| 4. | Доля перестраховщиков в страховых резервах |
160 | 4 376 713 | 9 282 198 |
| 5. | Дебиторская задолженность по операциям страхования, сострахования |
170 | 3 304 86 | 3 259130 |
| 6. | Дебиторская задолженность по операциям перестрахования |
180 | 491 024 | 1 407 736 |
| 7. | Прочая дебиторская задолженность, платежи по которой ожидаются более чем через 12 месяцев после отчетной даты |
190 | - | - |
| 8. | Прочая дебиторская задолженность, платежи по которой ожидаются в течение 12 месяцев после отчетной даты, за исключением задолженности участников (учредителей) по взносам в уставный капитал |
200 | 1 274 866 | 2 259 955 |
| 9. | Основные средства | 210 | 2 453 921 | 2 467 242 |
| 10. | Незавершенное строительство | 220 | 157 650 | 116 531 |
| 11. | Отложенные налоговые активы | 230 | 391 995 | 515 947 |
| 12. | Запасы | 240 | 182 567 | 284 164 |
| 13. | Налог на добавленную стоимость по приобретенным ценностям |
250 | 0 | 0 |
| 14. | Денежные средства | 260 | 817 476 | 487 023 |
| 15. | Иные активы | 270 | 3 485 | 3 485 |
| 16. | Итого активы, принимаемые к расчету (сумма данных пунктов 1 - 15) |
26 181 967 | 33 425 783 | |
| Пассивы | ||||
| 17. | Страховые резервы | 590 | 19 611 465 | 24 429 307 |
| 18. | Задолженность по депо премий перед перестраховщиками |
610 | 0 | 0 |
| 19. | Долгосрочные займы и кредиты | 615 | 0 | 0 |
| 20. | Отложенные налоговые обязательства |
620 | 0 | 0 |
| 21. | Краткосрочные займы и кредиты | 625 | 623 792 | 0 |
| 22. | Кредиторская задолженность по операциям страхования, сострахования |
630 | 200 668 | 121 537 |
| 23. | Кредиторская задолженность по операциям перестрахования |
640 | 998 300 | 1 128 883 |
| 24. | Прочая кредиторская задолженность |
650 | 197 645 | 127 008 |
| 25. | Задолженность участникам (учредителям) по выплате доходов |
660 | 0 | 0 |
| 26. | Доходы будущих периодов | 665 | 0 | 216 |
| 27. | Резервы предстоящих расходов | 670 | 24 593 | 24 374 |
| 28. | Резервы предупредительных мероприятий |
675 | 135 407 | 137 655 |
| 29. | Прочие обязательства <*> | 680 | 0 | 0 |
| 30. | Итого пассивы, принимаемые к расчету (сумма данных пунктов 17 - 29) |
21 791 870 | 25 968 980 | |
| 31. | Стоимость чистых активов акционерного общества (итого активы, принимаемые к расчету (стр. 16) минус итого пассивы, принимаемые к расчету (стр. 30)) |
4 390 097 | 7 456 803 |
Стоимость чистых активов на конец отчётного периода увеличилась на 3 066 706 тыс. руб (или на 69%), что говорит об устойчивом финансовом состоянии страховой организации.
Сложившееся финансовое состояние в страховой компании можно охарактеризовать показателями о финансовой устойчивости из таблицы 3.:
Таблица 3 – Анализ финансовой устойчивости
| Название показателя | Показатели финансовой устойчивости | На начало 2009 года, т.р. | На конец 2009 года, т.р. | Изменение тыс.руб. |
Отклонения % |
| 1. Уставный капитал страховой организации | Стр. 410 формы № 1 | 1281201 |
1281201 |
- |
- |
| 2. Чистые активы страховой организации | В соответствии с порядком, установленным приказом Минфина РФ №7н, ФСФР РФ от 01.02.2007г «Об утверждении порядка оценки стоимости чистых активов страховых организаций, созданных в форме акционерных обществ» | 4390097 |
7456803 |
3066706 |
69,85 |
| 3. Коэффициент финансовой независимости | (Капитал и резервы (стр. 490 формы № 1)) / Пассивы (стр. 700 формы № 1) | 0,25 |
0,22 |
-0,03 |
88 |
| 4. Коэффициент достаточности собственных средств | (Капитал и резервы (стр. 490 формы № 1)) / (Страховые резервы (стр. 590 формы № 1) — доля перестраховщиков у перестрахователей (стр. 160 формы № 1)) | 0,48 |
0,49 |
-0,01 |
102,56 |
| Показатели ликвидности | |||||
| 5. Денежные средства | Стр. 230 формы № 1 | 391995 | 515947 | 123952 | 131,62 |
| 6. Коэффициент абсолютной ликвидности | (Высоколиквидные активы (стр. 135,140, 260 формы № 1))/ (Страховые резервы (стр. 590 формы № 1) — дебиторская задолженность по операциям страхования (стр. 170 формы № 1)) | 0,78 |
0,52 |
-0,26 |
66,67 |
| 7. Коэффициент текущей ликвидности (полного покрытия) | (Текущие активы (стр. 135,140,160,170, 180, 200, 260 формы № 1)) / (Краткосрочные обязательства (стр. 590,610,625, 630, 640-660 формы № 1)) | 1,02 |
1,05 |
0,03 |
103 |
| Показатели деловой активности | |||||
| 8. Страховые премии — нетто в расчёте на один календарный день | (Стр. 010. 080 формы № 2): (Число дней в отчётном периоде (90, 180,270,360)] | 50030,75 | 52964,38 | 2933,63 | 105,86 |
| 9. Показатель деловой активности | ((Страховые премии — нетто в расчёте на один календарный день) / (Активы (стр. 300 формы № 1 среднеарифметическое значение за два отчётных периода))] х 360 | 0,62 |
0,57 |
-0,05 |
92 |
| Финансовые результаты деятельности страховой организации, показатели рентабельности | |||||
| 10. Чистая прибыль страховой организации в расчёте на один календарный день | (Стр. 300 формы № 2): (Число дней в отчётном периоде (90,180, 270, 360)) | 256,4 |
5087,45 |
4831,05 |
1987,29 |
| 11. Чистая рентабельность активов | ((Чистая прибыль в расчёте на один календарный день) / (Активы (стр. 300 формы № 1))) х 360 | 1 |
1,05 |
-0,05 |
105 |
| 12. Чистая рентабельность капитала | ((Чистая прибыль в расчёте на один календарный день) / (Капитал и резервы (стр. 490 формы № 1))) х 360 | 0,013 |
0,26 |
0,247 |
2000 |
Исходя из анализа полученных коэффициентов, можно сделать вывод:
· ОАО «Страховая компания «РОСНО» является платежеспособной компанией;
· Компания имеет достаточное количество ликвидных активов для погашения текущей задолженности;
· Компания не очень зависима от перестраховщиков;
· ОАО «Страховая компания «РОСНО» является рентабельной компанией.
Заключение.
Оценивая ситуацию на российском страховом рынке, можно сказать, что система страхования крайне неравновесна. И, прежде всего, потому, что потребность в страховании неуклонно растет, а подсистема профессиональных услуг отстает в развитии, не удовлетворяет в необходимом объеме указанную потребность. Не составляют особого секрета как внутренние, так и внешние проблемы отечественного рынка страховых услуг, в преломлении несовершенства российской экономики.
К числу внутренних проблем, т.е. корректируемым внутри системы страхования, за счет резервов, можно отнести такие как:
- низкая финансовая устойчивость страховщиков;
- низкий уровень профессионализма и страховой культуры;
- внутрисистемная разобщенность;
Внешними проблемами, носящими общегосударственный характер, можно назвать следующие:
- экономические (инфляция, отсутствие государственной поддержки, низкий
финансовый потенциал страхователей и др.)
- юридические (низкий уровень общего законодательного обеспечения страховой деятельности, длительное становление страхового рынка в условиях полного отсутствия законодательной и методической базы, контроля и др.)
- политические (общеполитическая нестабильность).
В итоге, не было бы зазорным рекомендовать использование опыта иностранных профессионалов страхового бизнеса, адаптируя его к отечественному рынку. Это касается вопросов целевого финансирования проектов, создания фондов поддержки, налоговых льгот, возможности открытия иностранного страхового рынка для России, организации института страхователей-экспертов, брокеров, актуариев и др.).
Основными задачами по развитию страхового дела являются:
1) формирование законодательной базы рынка страховых услуг;
2) развитие обязательного и добровольного видов страхования;
3) создание эффективного механизма государственного регулирования и надзора за страховой деятельностью;
4) стимулирование перевода сбережений населения в долгосрочные инвестиции с использованием механизмов долгосрочного страхования жизни;
5) поэтапная интеграция национальной системы страхования с международным страховым рынком.
Список используемой литературы.
1. «Страховое дело» №12, декабрь 2009 г. – Моделирование и прогнозирование развития российского страхового рынка. Окунев
2. «Страховое дело» №1, январь 2009 г. – Тенденции развития страхового рынка в современной России. А. Марчук.
3. «Финансы » №11, ноябрь 2008 г. – Развитие страхового рынка России. Ахвледиани Ю.Т.
4. «Эксперт» №41, 2008 г. Новый курс страхового рынка. Самиев. П. Янин. А.
5. Страхование: учебное пособие/ В.А. Щербаков, Е.В. Костяева.3-изд. Перераб. М.: КНОРУС, 2009;
8.www.rosno.ru
Приложение.



