| Скачать .docx |
Курсовая работа: Развитие мирового и российского рынка страхования жизни
Министерство образования и науки Российской Федерации
ФЕДЕРАЛЬНОЕ АГЕНТСТВО ПО ОБРАЗОВАНИЮ
Государственное образовательное учреждение высшего профессионального образования
ГОСУДАРСТВЕННЫЙ УНИВЕРСИТЕТ УПРАВЛЕНИЯ
ИНСТИТУТ ЗАОЧНОГО ОБУЧЕНИЯ
Кафедра финансов, денежного обращения и кредита
Курсовой проект
по дисциплине “Страхование”
на тему:
“Развитие мирового и российского рынка страхования жизни”
Выполнил студент:
Группа ФМ-3,5-2004/1
Ерошин Н.Д.
Научный руководитель:
к.э.н., доцент Сахирова Н.П.
Москва 2007
Содержание
Введение……………………………………………………………………………...3
Глава 1. Теоретический аспект изучения проблемы развития мирового и российского рынка страхования жизни
1.1.История развития и становления мирового и российского рынка страхования жизни…………………………………………………………………..5
1.2. Специфика развития страхования жизни в зарубежных странах…………..10
1.3. Классификация страхования жизни в системе личного страхования……...14
Глава 2. Анализ организационно-экономических отношений в страховании жизни
2.1.Анализ рынка личного страхования и страхования жизни в России за период 1993-2000 гг.………………………………………………………………………..20
2.2.Процедура взаимоотношений участников страхования жизни до наступления страхового случая: страховые случаи, страховая сумма и срок страхования жизни…………………………………………………………………30
2.3. Методология расчетов страховых тарифов при страховании жизни………35
2. 4. Анализ различных систем возмещения ущерба и выплаты страховых премий, применяемых в страховании жизни…………………………………………………43
Глава 3. Пути совершенствования рынка страхования жизни в России
3.1.Рекомендации по организации и процедуре взаимоотношений участников в процессе страхования жизни в России……………………………………………54
3.2.Расчет тарифных ставок для различных способов уплаты страховой премии по страхованию жизни……………………………………………………………..59
3.3.Разработка схемы всеобщей классификации видов личного страхования…………………………………………………………………………64
3.4.Зарубежный опыт проектирования страховых тарифов при страховании жизни в РФ………………………………………………………………………….67
Заключение………………………………………………………………………….69
Список литературы…………………………………………………………………70
Введение
Актуальность темы обусловлена тем, что страховая сфера является подчиненной частью экономики страны; сама экономика страны находится в процессе смены модели функционирования, причем особый интерес представляет конечное состояние, которое завершает эту метаморфозу, и которое по всем правилам стратегии тщательно замалчивается современной правящей элитой. Профессиональным же участникам страхового рынка необходимо иметь собственное максимально приближенное к реальности представление о будущем экономики в целом и страхования в России в частности. Без этого невозможно планировать деятельность любой страховой организации, привлекать инвестиции, нельзя рассчитывать на успех в повседневных делах. Личное страхование является крупной отраслью страхования. Объектами личного страхования являются: жизнь, здоровье, трудоспособность человека. Конкретными страховыми событиями по личному страхованию являются дожитие до окончания срока страхования или потеря здоровья в результате несчастных случаев. Объекты личного страхования не имеют абсолютного критерия стоимости. Наибольшего развития получило страхование жизни в его различных вариантах. Это страхование удачно сочетает рисковые и сберегательные функции. При этом временные свободные средства, аккумулированные в страховом фонде, служат важным источником инвестиций. Основной ролью личного страхования является повышения социальной защищённости населения, путём выплат денежных компенсаций в случае потери здоровья, жизни или трудоспособности, повышение объёма пенсий, за счёт выплат рент (аннуитетов), а так же обеспечения населения качественным медицинским обслуживанием и многое другое.
Цель исследования – проанализировать развитие и становление мирового и российского рынка страхования жизни.
Задачи исследования:
1.Изучить историю развития и становления мирового и российского рынка страхования жизни.
2.Обосновать специфику развития страхования жизни в зарубежных странах и классификация страхования жизни в системе личного страхования.
3. Проанализировать рынок личного страхования и страхования жизни в России за период 1993-2000 гг.
4. Разработать рекомендации по развитию страхования жизни в России.
Глава 1. Теоретический аспект изучения проблемы развития мирового и российского рынка страхования жизни
1.1.История развития и становления мирового и российского рынка страхования жизни
Страхование жизни в начальных формах возникло еще в древнем Риме. В средние века механизм аннуитетов использовался финансистами для того, чтобы обойти церковный запрет на ростовщичество (помещение денег под проценты было объявлено церковью одним из семи смертных грехов и для христианина категорически запрещено). Используя механизм аннуитетов, деньги давались не в долг, а без возврата и уплачивались не проценты, а аннуитеты, но выгода от хозяйственной операции сохранялась. Это самый первый пример использования страхования не по его прямому назначению.
В XI - XIII веках правительства многих государств и вольных городов поняли выгоду такой формы страхования. Они объвляли ее исключительной компетенцией государства и использовали, с одной стороны, для пополнения своих финансов, а с другой стороны для снятия с себя бремени содержания нетрудоспособных. В некоторых городах отчисления в государственную казну для последующей выплаты аннуитетов были обязательными.
В XVI - XVII веках страхование жизни усложнилось, стало более дифференцированным. При определении схем внесения взносов и выплат стали учитываться возрастные группы. Были разработаны таблицы смертности, на базе которых и строились финансовые расчеты. Однако, смысл всех финансовых проектов был один и тот же - человек вносил определенную сумму денег единовременно или регулярными платежами, а по достижении им (или его детьми) определенного возраста либо в случае его смерти, ему или его детям выплачивалась определенная сумма единовременно или регулярными платежами.
В Италии эта форма страхования называлась “montes pietatis” (“monte di pieta” по итальянски означает “ломбард”). Разновидность “montes”, при которой выплата производилась в случае дожития дочери до замужества называлась “montes delli doti” (“doti” означает приданое). При рождении дочери отец вносил в общую кассу определенную сумму, а после достижения 18 лет и замужества дочь получала в десять раз большую сумму. Но в случае, если дочь оставалась незамужней или умирала до 18 лет вклад становился собственностью кассы.
В Германии в середине XVI века на основе подобных касс приданого были разработаны два финансовых проекта - Бертольдом Гольтцшуэром, бургомистром Нюрнберга и профессором Георгом Обрехтом. Идея состояла в обязательном страховании всех детей определенного сословия. При рождении отец был обязан внести в государственное казначейство определенную сумму, а по достижении определенного возраста застрахованный получал сумму, в несколько раз большую, чем положил его отец при рождении. В случае смерти застрахованного вклад становился собственностью государства. Но эти проекты так и не были реализованы.
Неаполитанский врач Лоренцо Тонти, эмигрировавший во Францию, разработал проект, который по его имени был назван “тонтинные займы”. Этот проект получил широкое распространение и в середине XVII века во Франции было учреждено несколько государственных тонтин. Тонтинные займы считаются началом современного страхования жизни, потому что в них впервые были использованы актуарные расчеты (расчеты страховых взносов на основании статистики страховых случаев).
В дальнейшем не было придумано ничего принципиально нового. Только уточнялась и усложнялась статистика, для расчетов придумывались специальные математические модели, усиливалось правовое регулирование этого вида страхования.
В России страхование жизни развивалось довольно медленно. Только в 1835 г. было учреждено “Российское страховое общество капиталов и доходов”, которому было даровано исключительное право в течение 20 лет заниматься страхованием жизни с освобождением от всех налогов. В конце XIX века страхованием жизни в России занимались всего шесть российских страховых обществ “Российское”, “Санкт-Петербургское”, “Коммерческое”, “Якорь”, “Россия” и “Заботливость”, два американских “Нью-Йорк” и “Эвитейль” и одно французское “Урбэн”.
Такая форма договора личного страхования, как страхование от несчастных случаев и болезней начало развиваться прежде всего, как защита интересов работающих при различных производственных травмах. В морском праве Висби 1541 г. была норма об обязательном для владельца корабля страховании жизни капитана от несчастного случая на море. В Голландской республике в 1665 г. существовал табель вознаграждения за потерю разных частей тела для наемного войска. Различия в страховых взносах в зависимости от профессии впервые появились в Германии. Немецкие страховые общества делили все профессии на 12 классов по степени опасности - к первому классу относились учителя, а к двенадцатому работники, занимающиеся выработкой взрывчатых веществ.
В основном этот вид страхования использовался различными профессиональными объединениями работающих. В Германии в начале XVIII века встречались союзы взаимопомощи на случай перелома ноги или руки. Поскольку первоначально наемный труд был развит слабо, то первыми профессиональными объединениями были цеховые организации, гильдии, членами которых состояли ремесленники, купцы и т.д. и страхование строилось на основе взаимности. С развитием наемного труда появились профессиональные союзы промышленных рабочих. Эти объединения также стали создавать внутри себя страховые кассы, первоначально, только для защиты интересов своих членов, т.е. на принципах взаимного страхования.
Основное развитие этот вид страхование получил с конца XVIII века в связи с тем, что в этот период наемные рабочие вели активнейшую борьбу за свои права, в том числе и за право на компенсацию при производственной травме и на пособие при временной нетрудоспособности. Этот вид страхования очень скоро стал обязательным и именно с него ведет свою историю все обязательное страхование. В Англии в 1880 г. был принят Акт о гражданской ответственности предпринимателей, в Германии в 1871 г. был принят имперский Закон о гражданской ответственности работодателей.
В России законом от 6 марта 1861 г. вводится обязательная организация страховой кассы на всех казенных горных заводах. Отчисления рабочих в кассу составляли 2-3% от зарплаты. Управление делами кассы было сосредоточено в руках рабочих. В 1888 г. аналогичная система была введена на железных дорогах. Законом от 2 июня 1903 г. система таких касс была распространена практически на все предприятия, использующие наемный труд.
Завершением этого процесса в дореволюционной России стали известные законы от 23 июня 1912 г., которые обязывали уже не самих рабочих, а работодателей страховать своих работников, т.е. была введена система, приближающаяся к существовашей в то время в Европе. Поскольку обязанность вносить страховые взносы возлагалась теперь на работодателей, то страховые кассы утратили характер взаимности и превратились в солидные учреждения, работающие на коммерческой основе.
В дальнейшем страхование жизни стало важнейшей подотраслью (видом страховой деятельности) личного страхования на мировом страховом рынке.
Как экономическая категория страхование жизни представляет собой замкнутые перераспределительные отношения между участниками страхования жизни по поводу формирования страховщиком за счет уплачиваемых страхователями страховых премий (взносов) и прибыли от инвестирования страховых резервов целевого страхового фонда и использования его для выплаты страховых сумм застрахованным лицам (выгодоприобретателям) при наступлении страховых случаев установленных договорами страхования.
Предметом страхования в этом виде страховой деятельности всегда является жизнь застрахованного лица. Однако субъективными целями страхователей (застрахованных лиц) часто становятся не только страховая защита этой важнейшей нематериальной ценности (блага) человека, но и страхование доходов (в том числе предназначенных на покрытие предстоящих значительных расходов, например, на оплату получения профессионального образования). Поэтому вторым (производным от первого) предметом страхования жизни стали доходы, гарантирующие определенный уровень жизни при наступлении страховых случаев[14, с. 25]. Это предопределяет наличие некоторых особенностей в порядке формирования и использования фондов денежных средств по договорам страхования жизни, различающимся целевой направленностью. Объектами страхования жизни являются имущественные интересы застрахованного лица, связанные с его жизнью (смертью) и направленные на получение им (или выгодоприобретателем) определенного дохода (в том числе предназначенного для компенсации увеличения расходов) при наступлении соответствующего страхового случая [4, с. 251].
Субъектами страхования жизни являются страховщик, страхователь, застрахованное лицо и выгодоприобретатель, назначаемый на случай смерти застрахованного.
Страховщиком может быть, как и во всех других видах страховой деятельности, только юридическое лицо, имеющее лицензию на проведение страхования жизни [11, с. 125]. Страховщик вправе осуществлять страхование жизни, если он соблюдает правовые и экономические нормативные требования к созданию и деятельности страховых организаций. В частности, это касается и величины минимального уставного капитала, и порядка формирования, инвестирования (размещения) и использования страховых резервов по страхованию жизни.
В качестве страхователя, застрахованного лица и выгодоприобретателя могут быть, как и при страховании от несчастных случаев, юридические лица (кроме застрахованного) и граждане (физические лица) с такими же ограничениями по возрасту, здоровью и указанными правами, обязанностями и ответственностью при заключении и исполнении договора страхования. Общие и специфические права, обязанности и ответственность страхователя и страховщика при заключении и исполнении договора страхования применимы для личного страхования, включая и страхование жизни [13, с. 225]. Страхование жизни мажет быть индивидуальным (страхование по договору жизни одного лица) и коллективным или групповым (страхование по договору жизни группы лиц или коллектива).
В большинстве стран (США, ФРГ, Япония, Великобритания и др.) личное страхование занимает первое место среди других отраслей страхования по объемам собираемой премии. Данные виды страхования выполняют важную социальную функцию, поскольку затрагивают интересы каждого человека. Поэтому во всех странах развитию и поддержанию личного страхования уделяется особое внимание.
1.2. Специфика развития страхования жизни в зарубежных странах
Страхование жизни в Российской Федерации и в зарубежных странах имеет одинаковую теоретическую и практическую основу. Однако истекшие десятилетия государственной монополии в страховании, сегодняшнее состояние экономики России и платежеспособного спроса юридических и физических лиц, а также отсутствие осознанных ими возможностей и необходимости страховой защиты имущественных интересов обусловливают современное состояние и развитие страхования в целом и страхования жизни в РФ, в частности. Этим объясняются некоторые отличия страхования жизни в экономически развитых зарубежных странах от этих видов страховой деятельности в России. В частности, можно отметить следующие отличия в зарубежной практике страхования жизни: как правило, в страховании жизни применяются длительные сроки страхования — от 10 до 25 и более лет[4, с. 125].
Смешанное страхование проводится обычно на случай смерти и на дожитие; применяется долгосрочное страхование на дожитие с убывающей до нуля страховой суммой к концу срока страхования в связи с обеспечением погашения за счет страховой суммы кредита страхователя (застрахованного лица). С целью же погашения ссуды проводится долгосрочное страхование жизни на случай смерти в пользу банка-кредитора как выгодоприобретателя. практикуется долгосрочное смешанное страхование на дожитие и на случай смерти с несколькими датами дожития. Страховая сумма на дожитие распределяется (не обязательно в равных долях) для страховых выплат по этим датам.
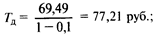
При последовательном дожитии застрахованного лица до этих дат ему выплачиваются соответствующие части страховой суммы на дожитие. Если застрахованный не доживает, например, до второй даты, то его выгодоприобретатель (наследник) получает страусовую сумму по случаю смерти. некоторые зарубежные страховщики обеспечивают в соответствии с разрабатываемыми специальными условиями за определенную плату предварительную (временную) страховую защиту даже до приема страховщиком заявления на страхование жизни.
Предварительная страховая защита начинается обычно за 5—10 дней до представления заявки на страхование и заканчивается с началом действия страхования по заключенному договору или с момента отклонения заявки страхователя. применяется совместное страхование ренты (пенсии) в пользу двух или более близких родственников (например супругов). Рента (пенсия) выплачивается до тех пор, пока жив хотя бы один из застрахованных лиц.
Кроме того, правилами страхования и соответствующими договорами предусматриваются различные формы участия страхователя (застрахованного) в прибыли страховщика. В частности, при расчете страховых тарифов учитывается не вся величина доходности инвестиций страховщика и соответствующая накопленная за счет этого сумма прибыли от инвестирования страховых резервов по страхованию жизни выплачивается страхователю (застрахованному лицу) при окончании страхования вместе со страховой суммой.
Страхование средств на оплату профессионального образования осуществляется таким же способом, как страхование временной ренты или страхование до окончания срока действия договора страхования или определенного возраста[5, с. 75].
В мире существует очень развитая система долгосрочного страхования жизни. В основе ее лежат два типа рисков: так называемые демографические риски (смерть или инвалидность кормильца, старость), которые приводят человека или его семью к утрате источников дохода; жизненные события по преимуществу недемографического характера, такие как бракосочетание, получение образования и т. д., влекущие финансовые затраты, которые выходят за рамки текущего семейного бюджета. К таким событиям люди начинают готовиться загодя, поэтому страхование по ним является долгосрочным, а значит, появляется возможность снизить цену страхования за счет дохода от инвестиций.
При расчете стоимости полисов страховые компании используют информацию о вероятности таких событий и прогнозы возможной доходности от инвестиций.
Применяются три способа расчета страховых схем.
Первый, наиболее распространенный за рубежом. Величина страхового взноса рассчитывается исходя из величины обязательств компании по всем рискам, входящим в схему страхования. Этот способ очень удобен для страхователя, так как тот изначально знает, что и когда он получит по своему полису. Но для такого расчета необходимо достаточно точно прогнозировать все параметры схемы, что в наших условиях очень сложно.
Второй способ часто применяется в схемах на дожитие. Страховщик отказывается от точного долговременного прогнозирования, а величину выплат рассчитывает в момент наступления страхового события. То есть пенсия, например, рассчитывается при наступлении указанного в договоре возраста. Много денег на тот момент накопится у страховщика, значит, и пенсия будет большой.
Наконец, существует гибридный способ, аналогичный зарубежным схемам с участием в прибыли страховой компании. По таким полисам страховщик устанавливает некоторый нижний гарантированный уровень доходности по накоплениям, который он обязуется обеспечить. При успешных результатах инвестиционной деятельности страховщика по таким полисам ежегодно начисляется бонус. Как страховые взносы, так и выплаты страхового возмещения в долгосрочном страховании жизни могут быть единовременными или регулярными. Последние именуются рентами, или аннуитетами. Регулярные взносы вносятся в течение определенного срока (срочные), например в пенсионном страховании до выхода на пенсию или в других программах ДСЖ до срока, указанного в договоре. Регулярные выплаты могут быть как срочными, так и пожизненными.
В ряде схем страхования могут комбинироваться единовременные выплаты по одним событиям, например по смерти, с пожизненной или срочной рентой по дожитию до указанного в договоре возраста.
Часто в договоры ДСЖ включается смерть, инвалидность и дожитие до определенного возраста. Это означает, что клиент застрахован на случай смерти в трудоспособном возрасте как правило с единовременной выплатой семье, на случай инвалидности с выплатой пенсии в течение срока инвалидности (обычно размер пенсии по инвалидности устанавливается в зависимости от группы инвалидности), а при дожитии до указанного в договоре возраста он единовременно получает определенную сумму.
1.3. Классификация страхования жизни в системе личного страхования
Страхование жизни - подотрасль личного страхования, включающая в себя совокупность видов страхования, по условиям которых страховщик выплачивает застрахованному лицу или его правопреемнику определенную денежную сумму при дожитии застрахованного до определенного возраста, события или даты, либо в случае его смерти. К страхованию жизни относятся такие виды: страхование на дожитие; страхование на случай смерти; страхование жизни рисковое (например, на случай смерти и утраты трудоспособности). Большинство видов страхования жизни носят долгосрочный характер, что позволяет страховщикам аккумулировать значительные финансовые ресурсы, получая при этом дополнительный доход от инвестирования резерва страховых взносов [23, с. 95].
Страхование жизни, как форма накопления, имеет большое значение и для страхователей, вследствие чего в большинстве промышленно развитых стран страховщикам, осуществляющим операции по страхованию жизни (пенсии, ренты), законодательно запрещено заниматься иными видами страхования. Как и по другим видам личного страхования, страхование жизни, его условие, тарифные ставки и страховые суммы определяются соглашением сторон в договоре страхования.
Страхование на дожитие – это такое страхование, по которому страховщик в обмен на уплату премий обязуется выплатить капитал или ренту выгодоприобретателю. Вторым обычно является сам застрахованный, если последний живет до указанного срока или возраста. Риск, покрываемый данным страхованием, это исключительно продолжительность жизни застрахованного с учетом фактора возможного уменьшения доходов, которое привносит с собой преклонный возраст.
В страховании на дожитие не обязательны ни медицинское обследование, ни заявление о состоянии здоровья застрахованного. Выбор – страховаться или нет – осуществляется самим застрахованным, поскольку лицу, находящемуся в плохом состоянии здоровья, страховаться невыгодно.
Основные разновидности страхования на дожитие [9, с. 25]:
- страхование с замедленной выплатой капитала без возврата премий;
- страхование капитала с замедленной выплатой и возвратом премий;
- страхование с немедленной пожизненной рентой;
- страхование с замедленной выплатой пожизненной ренты.
Страхование с замедленной выплатой . Считается, что страхование является замедленным, когда выплата страховой суммы производится начиная с какого-нибудь будущего числа, по прошествии определенного периода. Посредством замедленного страхования капитала страховщик обязуется выплатить выгодоприобретателю страховую сумму, если застрахованный доживет до числа, указанного как окончание страхования.
Премии уплачиваются страхователем в течение всего срока страхования или до дня смерти застрахованного.
Существуют две разновидности страхования с замедленной выплатой капитала: с возмещением премий и без возмещения премий.
В страховании с замедленной выплатой капитала без возмещения премий уплаченные премии остаются в распоряжении страховщика, если застрахованный умирает до окончания срока страхования. Этот вид страхования является чисто сберегательным, поскольку его цель – накопление на старость застрахованного.
В страховании с замедленной выплатой капитала с возмещением премий уплаченные премии выплачиваются выгодополучателю, если застрахованный умирает до окончания срока действия договора.
Посредством заключения страхования ренты обычно стремятся застраховаться на выплату определенных сумм в тех случаях, когда застрахованный живет дольше возраста, указанного в договоре. В зависимости от момента, в который начинаются выплаты, ренты делятся на немедленные и замедленные.
Немедленная пожизненная рента – это страхование, удобное для лиц преклонного возраста, которые хотели бы вложить капитал для обеспечения остатка своих дней. Существуют две разновидности замедленной пожизненной ренты: без возмещения премий и с возмещением премий. При страховании замедленной ренты с возмещением премий, если застрахованный умирает до окончания определенного срока, страховщик возвращает уплаченные премии выгодоприобретателю. При страховании ренты без возмещения премий, если застрахованный умирает до окончания определенного срока, страхование считается аннулированным, и премии остаются в распоряжении страховщика.
Страхование с замедленной выплатой ренты – это вид страхования, удобный для лиц, заботящихся о дополнительном пенсионном обеспечении. Он служит дополнением к социальному страхованию [3, с. 225].
Для получения страховой суммы страхователь, либо застрахованный, должен представить в страховую организацию по месту уплаты последних взносов страховое свидетельство и заявление о выплате, если в нем содержится просьба о перечислении денег в сберегательный банк, по месту его работы или по почте. При выплате страховой суммы по именному чеку на сберегательный банк заявления не требуется. Если взносы уплачивались наличными по квитанциям страховому агенту или по расчетной книжке в сберегательный банк, то представляется квитанция или корешок квитанции расчетной книжки об уплате последнего взноса. Основанием для выплаты является также лицевой счет страхователя установленной формы, отражающий полную уплату причитающихся страховых взносов. При анализе указанных документов проверяется полнота уплаты всех взносов, тождественность фамилии, имени и отчества застрахованного во всех документах, дата окончания срока страхования. Если будет установлена недоплата отдельных взносов в пределах последних трех лет, то они подлежат удержанию из выплачиваемой страховой суммы или пенсии. Излишне уплаченные взносы возвращаются вместе со страховой суммой. После принятия решения о выплате составляется расчет на выплату установленной формы, на основании которого производится непосредственная выплата денег. Выплаты по дожитию связанные с наступлением благоприятного события в жизни застрахованного, играют существенную роль в популяризации страхования жизни.
Поэтому своевременная выплата является важным фактором, способствующим укреплению обратной связи между выплатами страховых сумм и дальнейшим развитием страхования жизни. При досрочном расторжении договора страхования жизни с правом получения выкупной суммы страхователь представляет заявление, страховое свидетельство, а также квитанцию (корешок квитанции расчетной книжки) об уплате последнего взноса наличными деньгами. На основании этих документов и лицевого счета страхователя производится расчет и выплата выкупной суммы [4, с. 115].
Страхование от несчастных случаев обеспечивает риск того, что определенное лицо физически пострадает от несчастного случая.
Несчастный случай – это физическое повреждение, следствием которого является временная инвалидность, постоянная инвалидность или смерть.
Договор заключается на основании письменного заявления клиента о страховании от несчастного случая. Критерии отбора несчастных случаев: субъективный риск, профессия, возраст и др.
Страховые компании не склонны принимать ходатайства от лиц: ходатайствующих об очень высоких страховых суммах; имеющих другие полиса этой же самой или другой страховой компании; имеющих неблагоприятное материальное положение; попадавших в несчастные случаи несколько раз за небольшой период. Некоторые виды профессиональной деятельности, которые не принимаются к обеспечению. К ним относятся взрывники, артисты цирка, водолазы, минеры.
Здоровье – важный критерий отбора риска в страховании от несчастных случаев, включающий предварительный медицинский осмотр в спорных и неясных случаях. Необходимо принимать во внимание те заболевания или физические дефекты, которые [3, с. 25]: способствуют происшествию несчастного случая; продлевают период выздоровления; увеличивают затраты на лечение, затрудняют определение факта наступления страхового случая (где заканчивается болезнь и где начинается несчастный случай).
Возраст. Риск несчастного случая увеличивается вместе с возрастом, в основном из-за утраты рефлексов, подвижности и процесс восстановления длится намного дольше.
Страховые компании склонны определять как норму принятия риска предельный возраст страхователя не выше 65 лет, смягчая этот пункт условием, что если физическое лицо уже было застраховано раньше, то страхование можно продлить до 70-75 лет.
Тарификация. Основным критерием тарификации в страховании от несчастных случаев является профессия. Другие критерии тарификации, используемые большинством страховых компаний, дополняют его. Это занятия спортом, вождение мотоцикла и т.д. Каждая страховая компания составляет на основе класса риска список профессий, представляющих особую опасность по отношению к вероятности несчастных случаев.
Страхование от несчастных случаев владельцев личного транспорта также имеет свой собственный тариф.
Смешанное страхование жизни – это комбинация страхования на случай жизни и случай смерти. Преимущество смешанного страхования в том, что оно предлагает застрахованным за меньшую цену заключить договор о покрытии риска и обеспечения сбережений с помощью одного единственного полиса, избегая дублирования договоров. Посредством этого вида страхования страховщик обязуется[14, с. 25]:
1) выплатить страховую сумму немедленно после смерти застрахованного, если она произойдет раньше окончания срока действия договора;
2) выплатить страховую сумму в момент окончания срока действия договора, если застрахованный продолжает жить.
Смешанное страхование обладает рядом достоинств:
- возможность объективно оценить как количество людей, которые могут умереть в течение определенного времени, так и количество тех, кто может дожить до определенного возраста;
- устранение неудобств, которые влечет за собой заключение замедленного страхования без возмещения премий, поскольку в случае смерти застрахованного раньше окончания срока действия договора в дело вступает временное страхование, гарантируя, таким образом, получение страховой суммы;
- сочетание временное страхование, капитал которого постоянно уменьшается, и сбережения, или резерв, которые постоянно увеличиваются таким образом, что сумма обоих компонентов равняется страховой сумме; предоставляет гарантированные права (выкуп, уменьшение, залог).
Посредством смешанного страхования страховщик гарантирует выплату капитала выгодополучателям в случае смерти застрахованного в течение срока действия договора или в случае окончания срока действия договора, если к тому времени застрахованный еще жив. Уплата премий прекращается вместе со сроком действия договора страхования или в связи со смертью застрахованного, если она происходит раньше. Эта разновидность страхования – не больше, чем комбинация временного страхования и страхования с замедленной выплатой капитала без возмещения премий, которые имеют одинаковую продолжительность и страховую сумму. Поскольку в смешанном страховании размер выплаты в случае смерти и в случае жизни всегда одинаков, то страховые компании предоставляют на выбор несколько комбинаций, позволяющих договориться о большем возмещении риска, чем сбережений, и наоборот. Эти комбинации регулируют соотношение размеров премий [11, с. 25].
Глава 2. Анализ организационно-экономических отношений в страховании жизни
2. 1. Анализ рынка личного страхования и страхования жизни в России за период 1995-2006 гг.
Предпринимательская деятельность в сфере страхования жизни начала развиваться с принятием в 1988 году закона «О кооперации». К моменту вступления в силу закона «Об организации страхового дела в РФ» и создания органа государственного страхового надзора (1993 г.) страховым делом занимались около 1,5 тысяч страховщиков. При этом основная масса страховых организаций заявляла предпринимательскую деятельность в сфере страхования жизни.
Система государственного регулирования страхования на данном этапе по сути была сведена к регистрации предпринимателей-страховщиков, что негативно сказалось на дальнейшем состоянии и развитии национальной системы страхования: создавались страховые организации далекие от страховой деятельности, отсутствовали минимальные требования к уставному капиталу страховщиков, не предъявлялись профессиональные требования к руководству компаний и т. д. Все это отражает особенность становления предпринимательства в страховании, в том числе в сфере страхования жизни.
В качестве особенности организации предпринимательской деятельности в сфере страхования жизни является ее использование для минимизации налогообложения фонда оплаты труда хозяйствующих субъектов. Такая форма организации страхования жизни господствовала с середины девяностых до 2003 г.
Особенностью предпринимательской деятельности в страховании, включая сферу страхования жизни, является нестабильность предпринимательской среды. Если до 1994 г число страховых компаний, получивших лицензию на осуществление страховой деятельности, значительно превышало количество компаний, у которых лицензии были отозваны, то после 1995 г ситуация диаметрально изменилась, и отмеченный процесс продолжается в настоящее время. Только в 2004 г было отозвано 264 лицензий. Выявленная тенденция крайне негативно сказывается на поведении потенциальных потребителей страхования. Так, например, исследование потребительских настроений потребителей страхования, проведенные Всероссийским центром изучения общественного мнения и Агентством АМСКОМ, продемонстрировали, что желание россиян приобретать полисы страхования снижается – падение на более чем 5% в 2005 г по сравнению с предыдущим периодом.
Между тем, по данным Федеральной службы страхового надзора лицензию на ведение предпринимательской деятельности в сфере страхования жизни на начало 2005 г имели 453 компании или около половины страховщиков России. Исследование динамики уставного капитала страховщиков показало рост их капитализации.
Лишь за 2000–2005 гг. совокупный уставный капитал страховщиков возрос с 9,6 до 134,5 милрд. рубл. или в 14 раз. Доля страховщиков, осуществляющих страхование жизни, в совокупном уставном капитале составляет 55,4%. Данные о развитии предпринимательской деятельности в сфере страхования жизни присутствуют с 1995 г, которые свидетельствуют, что в 1995–2005 гг. страховое предпринимательство преимущественно развивалось в сфере страхования жизни (табл. 1). На долю страхования жизни в 2001 г приходилось несколько более половины всех страховых взносов. Однако институт страхования жизни в этот период активно использовался в минимизации налогообложения фонда оплаты труда. По экспертным оценкам примерно половина российского страхового рынка связана с решением отмеченных задач[1] .
В 2006 г доля рынка страхования жизни упала до 2,7% и данная тенденция продолжается в настоящее время, что является результатом активных действий Федеральной службы страхового надзора и Федеральной службы по налогам и сборам по ограничению использования «серых» финансовых схем через страхование жизни. Страховые компании, теряющие в настоящее время лицензии – это преимущественно страховщики, организующие зарплатное страхование жизни. Число таких компаний лишь за 2005 г превысило две сотни.
Таблица 1
Страхование жизни в России в 1995-2006 годах[2]
| Год |
Страховые премии млрд, руб. |
Страховые выплаты, млрд, руб |
Коэффициент выплат, % |
Доля в общем объеме сборов |
Доля в общем объеме выплат, % |
| 1995 |
10,4 |
8,1 |
77,9 |
44,9 |
48,2 |
| 2000 |
79,8 |
74,6 |
93,5 |
46,7 |
62,3 |
| 2004 |
102,2 |
108,2 |
105,9 |
21,7 |
35,2 |
| 2005 |
32,2 |
55,6 |
172,7 |
8,5 |
24,5 |
| 2006 |
16,0 |
16,6 |
96,4 |
2,7 |
4,8 |
После 2001 г имеет место выраженная тенденция снижения операций по страхованию жизни. За 2000–2005 гг. страховые взносы по страхованию жизни снизились на 60%. По итогам 2006 г сборы по страхованию жизни составили 16,0 млрд. руб. Сократилось и отношение премий по страхованию жизни в ВВП с 1,1% в 2000 г до 0,2% в 2005 г.
По оценкам Федеральной службы страхового надзора, доля долгосрочного страхования жизни в 2004 г не превышает 3,2% от официальных сборов по страхованию жизни, или 3,3 млрд. рублей. Агентство массовых страховых коммуникаций «АМСКОМ» в исследовании «Страховой рынок России: отчетные и реальные показатели» дает оценку реального рынка страхования жизни в 3,9 млрд. рубл., аналитики Объединенной финансовой группы оценивают рынок долгосрочного страхования жизни в 180 млн. долл.
Исследования, проведенные Всероссийским центром изучения общественного мнения, показывают, что только 1,9-2,6% россиян страхуют собственную жизнь и 1,4–1,8% имеют полис накопительного страхования детей (табл. 2).
Таблица 2
Динамика видов финансовой активности России в 2001 – 2006 гг.[3]
| Вид финансовой активности |
2001 |
2002 |
2003 |
2004 |
2005 |
2006 |
| Отложу «про запас» (на непредвиденный случай, особые события, «черный день» и т.п.) |
- |
28,9 |
17,4 |
27,8 |
28,0 |
28,6 |
| Потрачу на свое лечение и лечение близких родственников |
15,8 |
19,2 |
12,5 |
17,8 |
16,9 |
15,9 |
| Приобрету страховой полис («страховку») для себя или близких, потрачу на дополнительное пенсионное обеспечение (через пенсионный фонд) |
- |
1,3 |
1,0 |
1,3 |
1,8 |
1,2 |
Данные мониторинга финансовой активности населения свидетельствуют, что из различных форм финансовых вложений интерес к страхованию жизни наиболее низкий.
При этом интерес к страхованию жизни в динамике за 2001–2005 гг. даже несколько снизился. Основные причины такой тенденции – недоверие к страховым организациям, общий низкий уровень жизни населения и непривлекательные финансовые условия полисов страхования жизни.
Кроме того, на развитие долгосрочного страхования жизни негативно повлияли: ненадежность и невысокая капитализация страховщиков, отсутствие налоговых льгот, утраченная страховая культура и недостаточная осведомленность населения о возможностях и преимуществах страхования жизни, отсутствие инвестиционных инструментов для долгосрочного размещения резервов страхования жизни и др.
По нашим оценкам, основанным на анализе деятельности крупнейших операторов рынка страхования жизни, и результатов проведенных социологических исследований, в том числе автором, доля реального страхования жизни в общем объеме собранных страховых взносов составляет около 3%. Это означает, что в 2005 г по реальным договорам страхования жизни собрано порядка 3 млрд. рубл., что составляет 0,08% ВВП. В расчете на душу населения РФ годовой взнос по договору страхования жизни составляет около 2 долл., что говорит о зачаточном состоянии рынка страхования жизни в России.
Таким образом, развитие сферы российского страхования жизни неразрывно связано с общей социально-экономической ситуацией в стране: чем скорее начнется реальное экономическое развитие и рост благосостояния населения, тем активнее будет расти предпринимательская деятельность в сфере страхования жизни. И соответственно, наоборот: никакие усилия предпринимателей-страховщиков не приведут к заметному росту рынка при отсутствии соответствующего платежеспособного спроса. Важным фактором, сдерживающим развитие страхования жизни, является отсутствие налоговых стимулов при индивидуальном страховании. Речь идет о том, что не только выплаты по договорам долгосрочного страхования, но и взносы должны исключаться из налогооблагаемой базы.
Практика подобного налогового стимулирования индивидуального страхования жизни применяется в большинстве экономически развитых стран, когда соответствующие взносы не облагаются подоходным налогом.
Такое налоговое стимулирование изначально обеспечивает финансовую привлекательность полисов страхования жизни в сравнении с другими формами финансовых вложений населения. Экономический и социальный эффект от расширения операций по страхованию жизни существенно перекроет недопоступление соответствующего подоходного налога.
Исследование системы государственного регулирования предпринимательской деятельности в сфере страхования жизни показало, что для страховщиков, осуществляющих страхование жизни, установлены повышенные требования к уставному капиталу, определено нормативное соотношение между свободными активами и принятыми обязательствами, действуют правила формирования и страховых резервов.
Как прогрессивное явление рассмотрена вводимая с 2007 г специализация компаний по страхованию жизни. Наряду с этим отмечено, что в страховом законодательстве не определено содержание договора личного страхования; ограничен перечень существенных условий договора страхования; отсутствуют штрафные санкции для страховщика, связанные с невыполнением или ненадлежащим выполнением обязательств по страховым выплатам; страхование жизни не является сферой взаимного страхования и др.
Анализ условий лицензирования предпринимательской деятельности в сфере страхования жизни позволил сформулировать предложения по их совершенствованию. Это касается установления профессиональных требований к страховщику, необходимости высшего страхового образования для руководства компании, что является необходимым фундаментом в обеспечении профессионализма предпринимательской деятельности в сфере страхования жизни.
С учетом вводимой специализации страховщиков в работе поставлен вопрос об особом режиме лицензирования компаний по страхованию жизни, что должно также отразиться в формировании и размещении страховых резервов и уставного капитала, обеспечении прозрачности финансовых условий страхования жизни и др.
Исследование предпринимательской деятельности в сфере страхования жизни за рубежом показало, что предпринимательство в сфере страхования жизни подвергается тщательному регулированию со стороны государства, и это касается фиксации нагрузки и агентских вознаграждений, регулирования прибыли страховщика, разъединения в структуре тарифа величины текущего инвестиционного дохода и административных расходов страховщика на осуществление страховой деятельности.
В результате финансовая прозрачность страхования жизни за рубежом стала важным фактором роста рынка страхования жизни.
Страхование жизни занимает доминирующее место в предпринимательской сфере страхования. Страхование жизни в 2006 г составило 56,9% от всего мирового рынка страхования (табл. 3).
Таблица 3
Развитие мирового рынка страхования жизни в 2000–2006 гг.[4]
| Виды страхования |
2000 |
2003 |
2006 |
| Страхование иное, чем страхование жизни, в млрд. долл. США |
906,8 |
922,4 |
1268,2 |
| доля в общем объеме, в % |
42,3 |
37,8 |
43,1 |
| Страхование жизни, в млрд. долл. США |
1236,6 |
1521,2 |
1672,5 |
| доля в общем объеме, в % |
57,7 |
62,2 |
56,9 |
| ИТОГО |
2143,4 |
2443,7 |
2940,7 |
Если по валовому показателю предпринимательская деятельность в сфере страхования находится рядом со странами с развитой рыночной экономикой, то по удельному показателю страховой премии на душу населения Россия занимает 55-е место, и находится на уровне экономически менее развитых стран.
Таким образом, состояние российского страхового рынка не соответствует уровню развития национальной экономики, что свидетельствует о наличии факторов, сдерживающих его развитие.
Оценка финансовых условий страхования жизни на российском рынке показала их непривлекательность.
Как правило, страховая сумма по договорам накопительного страхования жизни не перекрывает суммы страховых взносов страхователя.
Соответствующее страхование не обеспечивает для застрахованных не только капитализацию страховых взносов, но их сохранение, что снижает интерес к страхованию жизни. Используя агрессивные методы продаж на основе высоких размеров комиссионных вознаграждений, страховщики ухудшают финансовые условия страхования жизни.
Таблица 4
Условия страхования жизни мужчины в возрасте 35 лет на 10 лет
с ежегодным внесением 1000 долларов[5]
| Страховые организации |
Риски |
Страховая сумма (в долларах США) |
| Военно-страховая компания |
Смерть по любой, причине |
9311 |
| Дожитие |
9311 |
|
| Смерть по любой причине |
9894 |
|
| Ост-Вест Альянс |
Смерть по любой причине |
9894 |
| Дожитие |
9894 |
|
| Альфастрахование |
Смерть по любой, причине |
9700 |
| Дожитие |
9700 |
|
| РЕСО-Гарантия |
Смерть по любой, причине |
9295 |
| Дожитие |
9295 |
Поэтому необходимо установление ограничений размера комиссионных вознаграждений и нагрузки, что применяется за рубежом. Непривлекательность финансовых условий страхования жизни, недоверие россиян к страховщикам, настороженность к иностранным компаниям определяет необходимость обращения к общепризнанной мировой практике организации страхового дела в форме взаимного страхования жизни. В экономической литературе как и все ОВС общества взаимного страхования жизни определяют как некоммерческую страховую организацию. Между тем, у членов общества взаимного страхования жизни имеется предпринимательский интерес, выражающийся в получении максимального финансового результата по полисам страхования жизни.
По сути, при взаимном страховании жизни все члены соответствующего общества выступают как предприниматели, а общество взаимного страхования можно рассматривать как ассоциированный предприниматель.
Между тем, общества взаимного страхования жизни являются некоммерческими структурами, и на них распространяется льготное налогообложение. Такое положение дел обусловлено тем, что общества взаимного страхования затрагивают финансовые интересы значительной части населения, а не отдельных лиц-предпринимателей. Кроме того, оно способствует повышению уровня жизни и страховой обеспеченности населения, препятствует резкому расслоению населения по уровню доходов и является инструментом социально-ориентированной рыночной экономики. Взаимное страхование жизни в работе определено как ассоциативная форма предпринимательской деятельности в сфере страхования жизни на принципах взаимного страхования.
Таким образом, можно говорить, что российский рынок личного страхования и страхования жизни пережил кризис и продолжает динамично развиваться, несмотря на массу нерешённых проблем.
Практически монополизированным сегментом рынка является страхование железнодорожных перевозок. Дело доходит до того, что дороги не принимают на перевозку груз, не застрахованный в «ЖАСО» – корпоративной компании МПС. Широкое распространение получила практика «аккредитации» страховых компаний при местных органах власти и их различных программах. При этом в числе «аккредитованных» часто оказываются мелкие «карманные» страховщики, в которых местные власти имеют свои интересы. Другие проблемы, сдерживающие развитие страхового рынка, связаны с законодательными ограничениями и уровнем налогов. По налогообложению страховые организации приравнены к банкам и соответственно платят налог на прибыль не в размере 35%, как все предприятия, а 43%. 2007 год принес страховщикам дополнительные налоги. В то же время нормативными документами Росстрахнадзора, принятыми в 2005 г., перекрыт доступ к возможности, аккумулируя средства, накапливать резервы. Строго регламентированная инвестиционная деятельность страховых компании затрудняет вложения в реальный сектор экономики.
Специалисты пророчат ему счастливое будущее. 2006-й год ознаменовался значительными переменами в структуре российского рынка страхования жизни. Одно знаковое изменение связано с тем, что впервые на рынке по итогам года на лидирующие позиции вышли компании, занимающиеся реальным страхованием жизни. Если еще в 2005 году деятельность примерно половины компаний, входящих в топ-30, ассоциировалась с налоговой оптимизацией, а их общий уровень выплат превышал 100%, то уже в 2006 году компании, занимающиеся реальным страхованием жизни, возглавили список лидеров. А общий уровень выплат первой десятки страховщиков жизни в 2006 году составил 23,1%.
Лидерами по объему собранных в 2006 году взносов вместо никому не известных «серых» структур стали кэптивные страховщики жизни и компании, занимающиеся страхованием жизни заемщиков. Ввиду низкого объема данного рынка эти изменения еще далеко не окончательны. На данный момент реальное страхование жизни в России только зарождается, в этом сегменте появляются все новые и новые игроки — «дочки» крупных российских страховщиков, «дочки» страховых компаний с мировым именем, компании, созданные при розничных банках, и так далее. Пока непонятно, кто займет лидирующее положение, все будет зависеть от маркетинговой политики, которую изберут страховщики, но ясно одно: «схемные» компании в скором времени практически полностью уйдут с рынка.
Второе, не менее важное, событие касается существенного роста доли розничного страхования жизни. Розница и страхование жизни заемщиков в 2006 году составили в сумме 55% реального рынка страхования жизни, впервые превысив объемы кэптивного страхования жизни.
Розничное страхование жизни — наиболее перспективный и быстрорастущий сегмент. Именно на развитие данного сегмента и закрепление в нем направлены усилия большинства выходящих на российский рынок страхования жизни компаний. Взносы по розничному страхованию в 2006 году возросли с 1,1 до 3,6 млрд рублей. Рейтинговое агентство «Эксперт РА» прогнозирует дальнейший рост розничного страхования жизни на 40% в 2007 году — до 5,5 млрд рублей взносов. На западных рынках доля страхования жизни составляет около половины всех собранных в страховании взносов, в России — 2,5%. На Западе на одного человека приходится в среднем от одной до трех тысяч долларов взносов по страхованию жизни, в России — около трех долларов. Узость российского рынка страхования жизни оборачивается широкими возможностями для многих страховых компаний. Если предположить, что нормальным для России значением показателя взносов по жизни будет 150 долларов на человека (средний показатель для Восточной Европы), то объем будущего российского рынка страхования жизни можно оценить в 550 млрд рублей. Это сопоставимо с объемом всего российского рынка страхования на данный момент (602 млрд рублей с учетом ОМС).
Перспективность российского рынка страхования жизни осознают многие иностранные страховщики. «Как известно, страхование выполняет несколько функций: с одной стороны, оно направлено на защиту финансовых интересов населения, с другой — имеет важнейшее значение для экономики как источник инвестиционных вложений. В настоящее время российский страховой рынок не выполняет этих задач, но именно здесь и кроются возможности бурного развития страхования жизни. Сегодня у нас есть шанс оказаться у истоков зарождающегося огромного по своему потенциалу рынка», — говорит Зигмар Крюгер, генеральный директор страховой компании «ЭРГО Русь». Такого же мнения придерживаются многие другие компании, как иностранные, так и российские. На российском страховом рынке уже зарегистрировались дочерние структуры таких широко известных страховых гигантов, как ACE, AIG, Allianz, Aviva, ERGO, ING и Fortis. Иностранные компании, выходящие на российский рынок страхования жизни, имеют ряд преимуществ, связанных с практическим опытом старта, который уже был опробован на рынках Восточной Европы, сложившейся культурой отношений и бизнес-процессов, значительными финансовыми возможностями.
2. 2. Процедура взаимоотношений участников страхования жизни до наступления страхового случая
Договор страхования жизни заключается на основании заявления страхователя (юридического или физического лица) по установленной страховщиком форме, которое содержит все необходимые данные о страхователе, застрахованном лице (лицах), выгодоприобретателе, а также страховых рисках (случаях), от которых проводится страхование, страховой сумме и сроке страхования.
Страхование жизни осуществляется в соответствии с правилами страхования, разрабатываемыми страховщиком отдельно для каждого из указанных видов страхования или общих для ряда близких видов (например, страхование ренты, пенсий), относящихся к страхованию жизни, а также в комбинировании со страхованием от несчастных случаев. Предметы (объекты) страхования жизни, их непосредственная связь с условиями, уровнем жизни людей и подверженность влиянию внешних неблагоприятных факторов определяют состав и характер страховых случаев (рисков), от которых проводится данное страхование.
Страховыми случаями (рисками) при страховании жизни являются:
- дожитие застрахованного лица до окончания срока страхования или установленного договором возраста;
- смерть застрахованного лица (по любым причинам, кроме вызванных событиями, не признающимися страховыми случаями);
- временная или постоянная утрата трудоспособности (наступление инвалидности), смерть в результате несчастного случая - при включении данных рисков в правила, договор свешанного страхования жизни.
Смерть застрахованного лица, наступление временной или постоянной нетрудоспособности вследствие событий и обстоятельств, которые определяют нестраховой характер последствий несчастного случая не признаются страховыми случаями и не покрываются страхованием по договору страхования жизни (включая смешанное страхование).
Объем страховой ответственности по договору страхования жизни определяется составом страховых случаев (рисков), от которых осуществляется страхование, и страховой суммой.
При смешанном страховании жизни в договор страхования могут включаться по желанию страхователя в разных сочетаниях указанные страховые риски (в том числе полный набор рисков). В этом случае страховщик принимает на себя повышенный объем страховой ответственности (обязательств).
Обобщенная количественная оценка объема страховой ответственности страховщика (и соответственно объема страхового обеспечения застрахованного) по договору страхования жизни определяется страховой суммой. Страховая сумма при страховании жизни устанавливается по соглашению сторон.
В правилах страхования жизни страховщик может предусматривать минимальную страховую сумму, с которой начинается заключение договоров страхования. Если в договор страхования включается только один страховой случай, например, «смерть застрахованного лица» или «дожитие до окончания срока страхования», то страховая сумма по страховому случаю и договору в целом будет одинакова.
В смешанном страховании «на случай дожития» и «на случай смерти» может устанавливаться единый размер страховой суммы по каждому страховому случаю или отдельная страховая сумма по ним. Общий объем страховой ответственности страховщика. При расчете страховой премии в первом случае применяется общий, суммарный, страховой тариф по указанным рискам.
Во втором случае страховая премия рассчитывается по отдельным страховым тарифам и страховым суммам. Если правилами страхования предусматривается выплата двойной страховой суммы по случаю смерти застрахованного лица, то страховая премия рассчитывается умножением единого размера (по страховым случаям) страховой суммы на общий, суммарный, страховой тариф, в котором в величине нетто-ставки по случаю смерти учтена выплата двойной страховой суммы по данному случаю.
При учете в смешанном страховании жизни страховых рисков, связанных с несчастным случаем, страховая сумма по ним наиболее часто устанавливается общая на все три последствия такого события (временную и постоянную утрату трудоспособности, смерть вследствие несчастного случая). Эта страховая сумма также учитывается в общем объеме страховой ответственности (обязательств) страховщика.
Порядок и условия страхования от несчастных случаев могут включаться в договор смешанного страхования жизни со ссылкой на соответствующие правила страхования. Для страхователя страхование жизни обходится тем дороже, чем от большего количества страховых случаев (рисков) проводится страховая защита и чем больше общая, суммарная, величина страховой суммы по договору страхования при прочих равных условиях.
Срок страхования жизни определяется сроком действия договора страхования и устанавливается по соглашению сторон договора, но не должен быть менее одного года. Наиболее длительные сроки страхования жизни - до 15—20 лет и более — применяются в зарубежной страховой практике. Предметы (объекты) страхования жизни, их непосредственная связь с условиями, уровнем жизни людей и подверженность влиянию внешних неблагоприятных факторов определяют состав и характер страховых случаев (рисков), от которых проводится данное страхование.
Страховыми случаями (рисками) при страховании жизни являются: дожитие застрахованного лица до окончания срока страхования или установленного договором возраста; смерть застрахованного лица (по любым причинам, кроме вызванных событиями, не признающимися страховыми случаями); временная или постоянная утрата трудоспособности (наступление инвалидности), смерть в результате несчастного случая — при включении данных рисков в правила, договор свешанного страхования жизни.
Смерть застрахованного лица, наступление временной или постоянной нетрудоспособности вследствие событий и обстоятельств, которые определяют нестраховой характер последствий несчастного случая и перечислены не признаются страховыми случаями и не покрываются страхованием по договору страхования жизни (включая смешанное страхование).
Объем страховой ответственности по договору страхования жизни определяется составом страховых случаев (рисков), от которых осуществляется страхование, и страховой суммой.
При смешанном страховании жизни в договор страхования могут включаться по желанию страхователя в разных сочетаниях указанные страховые риски (в том числе полный набор рисков). В этом случае страховщик принимает на себя повышенный объем страховой ответственности (обязательств).
Обобщенная количественная оценка объема страховой ответственности страховщика (и соответственно объема страхового обеспечения застрахованного) по договору страхования жизни определяется страховой суммой. Страховая сумма при страховании жизни устанавливается по соглашению сторон.
В правилах страхования жизни страховщик может предусматривать минимальную страховую сумму, с которой начинается заключение договоров страхования. Если в договор страхования включается только один страховой случай, например, «смерть застрахованного лица» или «дожитие до окончания срока страхования», то страховая сумма по страховому случаю и договору в целом будет одинакова. В смешанном страховании «на случай дожития» и «на случай смерти» может устанавливаться единый размер страховой суммы по каждому страховому случаю (например, 100 000 руб.) или отдельная страховая сумма по ним (например, 100 000 и 180 000 руб.). Общий объем страховой ответственности страховщика (и соответственно предельный объем страхового обеспечения страхователя) составит в первом случае 200 000 руб., во втором — 280 000 руб. При расчете страховой премии в первом случае применяется общий, суммарный, страховой тариф по указанным рискам. Во втором случае страховая премия рассчитывается по отдельным страховым тарифам и страховым суммам. Если правилами страхования предусматривается выплата двойной страховой суммы по случаю смерти застрахованного лица, то страховая премия рассчитывается умножением единого размера (по страховым случаям) страховой суммы на общий, суммарный, страховой тариф, в котором в величине нетто-ставки по случаю смерти учтена выплата двойной страховой суммы по данному случаю.
При учете в смешанном страховании жизни страховых рисков, связанных с несчастным случаем, страховая сумма по ним наиболее часто устанавливается общая на все три последствия такого события (временную и постоянную утрату трудоспособности, смерть вследствие несчастного случая). Эта страховая сумма также учитывается в общем объеме страховой ответственности (обязательств) страховщика.
Порядок и условия страхования от несчастных случаев могут включаться в договор смешанного страхования жизни со ссылкой на соответствующие правила страхования.
Для страхователя страхование жизни обходится тем дороже, чем от большего количества страховых случаев (рисков) проводится страховая защита и чем больше общая, суммарная, величина страховой суммы по договору страхования при прочих равных условиях. Срок страхования жизни определяется сроком действия договора страхования и устанавливается по соглашению сторон договора, но не должен быть менее одного года. Наиболее длительные сроки страхования жизни - до 15 - 20 лет и более - применяются в зарубежной страховой практике.
2.3. Методология расчетов страховых тарифов при страховании жизни
При расчете страховых тарифов по договорам страхования жизни, заключенным на случай смерти застрахованного, имеют в виду, что страховой случай и обязанности по страховой выплате возникают у страховщика в течение срока, установленного в договоре страхования, - срока страхования. При этом договор страхования может быть заключен на определенный срок (не менее одного года) либо пожизненно. При расчете страховых тарифов по договорам страхования жизни, заключенным на случай дожития застрахованного до срока или возраста, установленного договором, имеют в виду, что обязательства по страховой выплате (в период страховых выплат) возникают у страховщика только при исполнении страхователем в полном объеме обязанности по уплате страховой премии (в период уплаты страховой премии). Долгосрочность действия договоров страхования жизни и специфика страхового обязательства по страховой выплате определяют требования к расчету страховых тарифов. При этом при расчете страховых тарифов по договорам страхования жизни принимают во внимание следующие обстоятельства: увеличение возраста застрахованного в течение срока действия договора страхования жизни изменяет вероятность наступления страхового случая, при этом вероятность страхового случая определяется на основании таблиц смертности. Например, вероятность умереть в течение предстоящего года жизни рассчитывается по формуле
![]()
Среднюю ожидаемую продолжительность жизни можно исчислить по формуле
![]()
где w - конечный возраст таблицы смертности;
Суммы страховых выплат, подлежащие выплате при наступлении страхового случая, определяются с учетом процентного дохода от инвестирования средств страховых резервов (суммы страховых взносов в размере нетто-ставки страхового тарифа, уплаченной по договору страхования).
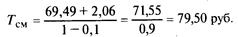
Методика расчета страховых тарифов по видам страхования, относящихся к страхованию жизни, включает следующие основные этапы: по каждому риску рассчитывается ожидаемая стоимость страхового обеспечения на единицу страховой суммы, приведенная на момент заключения договора страхования (современная ожидаемая стоимость страхового обеспечения). Полученная величина принимается за единовременную нетто-ставку для конкретного риска.
Совокупность нетто-ставок по всем рискам, рассчитанная с учетом характера рисков и их соотношения, представляет собой единовременную нетто-ставку по договору страхования; с учетом порядка уплаты взносов страховой премии, установленного договором страхования, определяется их ожидаемая стоимость, приведенная на начало действия договора страхования. В том случае, если условия договора страхования предполагают уплату страховой премии в рассрочку, полученная величина используется в качестве коэффициента рассрочки для расчета периодической годовой (месячной, квартальной, полугодовой) нетто-ставки; нетто-ставка по договору страхования, предусматривающему уплату страховой премии в рассрочку, определяется на основе единовременной нетто-ставки и соответствующих условиям страхования коэффициентов рассрочки; брутто-ставка рассчитывается на основании полученного значения нетто-ставки и принятой величины нагрузки с учетом, в необходимых случаях, характера распределения во времени расходов, входящих в нагрузку страховщика.
Расчеты страховых тарифов по видам страхования, относящихся к страхованию жизни, называют актуарными расчетами. При их проведении в большинстве стран принята единая система обозначений математических величин и показателей. Расчет тарифной нетто-ставки по договорам страхования на дожитие. Размер нетто-ставки по страховому договору на дожитие, заключенному сроком на n лет на единицу страховой суммы S лицом в возрасте х лет, определяется на основании таблицы смертности по формуле
![]()
где Lх - число доживающих до возраста х лет.
Поскольку для страхования жизни характерен значительный разрыв во времени между поступлениями взносов и выплатами страховых сумм, деньги страхователей определенный период времени находятся в распоряжении страховщика. Они не являются собственными средствами страховщика. К ним применяется термин «привлеченные средства». Они находятся в распоряжении страховщика как временно свободные средства. Эти средства могут приносить доход, и поэтому они не лежат без движения, а используются в качестве кредитных ресурсов на началах возвратности и платности. В этом заключается особое свойство страховой операции - способность аккумулировать временно свободные чужие деньги. Из всех видов предпринимательской деятельности только банки и страховые компании обладают такой способностью. Промышленные, торговые, сельскохозяйственные предприятия ищут организацию, которая могла бы дать деньги в кредит. Банки и страховые компании, наоборот, ищут клиента, которому можно отдать деньги в кредит. При этом на рынке ссудного капитала в экономически развитых странах страховые деньги в три раза дороже банковских по уровню начисляемых на них процентов. Причина - более устойчивые средства, поскольку условия страхового договора четко определяют тот промежуток времени, в который этими деньгами можно распоряжаться. А при длительных сроках страхования, как в экономически развитых странах, - в среднем 20-30 лет - временно свободные страховые деньги приобретают еще одно ценное качество - они могут служить источником долгосрочных кредитов.
Таким образом, страховщик использует привлеченные средства на началах не только возвратности, но и прибыльности. А застрахованный вправе рассчитывать на определенную часть дохода от инвестиций, который получит страховщик. Это достигается за счет того, что страховой взнос заранее занижается на сумму предполагаемого инвестиционного дохода. Процентное отношение полученного дохода к первоначальной сумме называется процентной ставкой и обозначается символом i.
В страховании процентную ставку называют нормой доходности. Показатель (1 + i)n , где n обозначает период накопления дохода, называется процентным множителем. Он учитывает сложные проценты, когда в конце определенного периода времени доход присоединяется к первоначальной сумме, а в следующем периоде проценты начисляются на сумму с присоединенным доходом. Обычно значения чисел (1 + i)n рассчитываются заранее и помещаются в специальные таблицы. Множитель, обратный процентному, носит название «дисконтирующий множитель» (от англ. discount - понижать). Он позволяет снизить размер страховой премии на сумму ожидаемого дохода от инвестиций. Дисконтирующий множитель обозначается символом. Дисконтирующий множитель обозначается символом и исчисляется по формуле

Дисконтирующие множители, так же как и процентные множители, исчисляются заранее и помещаются в таблицы. Дисконтирующий множитель позволяет узнать, сколько надо внести сегодня, чтобы через определенное число лет при той или иной норме доходности получить нужную нам сумму, т.е. позволяет определить современную стоимость денежной суммы. Арифметически эти суммы не равны, но они эквивалентны, т.е. равнозначны, равны во времени. В литературе по математике в отличие от страховой литературы вместо термина «современная стоимость» применяют термин «приведенная стоимость».
Страховая современная стоимость учитывает не только будущий инвестиционный доход, но и ожидаемую смертность среди застрахованных на протяжении срока страхования. Формулу для исчисления единовременной нетто-ставки по страхованию на дожитие, которая обозначается символом n Ex , можно записать так:

Страховой фонд для выплат по случаям смерти застрахованных. Для расчета нетто-ставки используется та же логика рассуждений, но во внимание принимаются застрахованные, не дожившие до конца срока страхования. Формула для исчисления единовременной нетто-ставки по временному страхованию на случай смерти в общем виде будет выглядеть следующим образом:

Есть понятия «пожизненного» страхования на случай смерти, когда выплаты страховой суммы производятся в конце жизни застрахованного, и «временного», когда страховщик несет ответственность в течение определенного срока. Здесь рассматривается временное страхование. Таким образом , в основу построения страхового фонда заложен принцип нуля - сначала с помощью теории вероятностей исчисляется, какое количество выплат предстоит. И деньги в страховой фонд собираются из расчета именно такого количества выплат. Затем взнос еще и уменьшается на сумму ожидаемого дохода от инвестиций. Коммутационные числа. Выше рассмотрена логика построения страхового фонда и расчета единовременных нетто-ставок по страхованию на дожитие и на случай смерти и выведены логические формулы для расчетов. Как видно из приведенных примеров, расчеты, основанные непосредственно на таблицах смертности и дисконтирующих множителей, громоздки и трудоемки. Особенно наглядно это видно при расчетах тарифов по страхованию на случай смерти. Для упрощения работы применяются коммутационные числа. Это технические показатели, не имеющие логического смысла. Они лишь определенным образом связывают между собой показатели таблиц смертности и дисконтирующих множителей (англ. commutation - связь). Коммутационные числа рассчитываются заранее и сводятся в таблицы. При помощи определенных математических преобразований логические формулы превращены в более пригодные для работы, т.е. рабочие, формулы, выраженные в коммутационных числах. Рассмотрим на примере, как можно логические формулы превратить в рабочие. Известно, что результатом деления какого-либо числа на точно такое же является единица. А при умножении определенного выражения на единицу его абсолютный размер не изменится. Следовательно, если Vx /Vx =1, то можно правую часть равенства в формуле (4.9), применяемой для расчета единовременной нетто-ставки на дожитие, умножить на Vx /Vx .

Получаем
![]()

Показатели L(x), умноженные на V в степени, равной возрасту, обозначаются через D(x):
D(x) = L(x)Vx
Следовательно,

В результате в числителе вместо двух показателей остался один. Это рабочая формула для расчета единовременной нетто-ставки по страхованию на дожитие. Кроме D(x) существует еще несколько коммутационных чисел:
N(x) = D(x) +D(x + 1) + D(x + 2) +...+ D(w-1) + D(w),
C(x) = D(x)Vx+1 ,
M(x) = C(x) + C(x + 1) + C(x + 2) +...+ C(w - 1) + C(w),
R(x) = M(x) +M(x + 1) + M(x + 2) +...+ M(w - 1) + M(w),
при помощи которых громоздкие логические формулы превращаются в компактные рабочие. Они выводятся по тому же принципу, что и для получения чисел D(x). Формула для исчисления единовременной нетто-ставки по временному страхованию на случай смерти, выраженная в коммутационных числах, выглядит следующим образом:

Здесь перевод обозначений логической формулы в коммутационные числа гораздо более эффективен: вместо целого ряда слагаемых, который может быть очень и очень длинным, да еще с перемножением показателей каждого из слагаемых мы имеем в числителе всего лишь два показателя. Тарифная ставка по страхованию на случай утраты трудоспособности рассчитывается по методике, аналогичной видам страхования, кроме страхования жизни, так как этот вид страховой защиты имеет сходные закономерности наступления страховых случаев. Нетто-ставка по смешанному страхованию жизни состоит из трех частей: нетто-ставки на дожитие, нетто-ставки на случай смерти и нетто-ставки на утрату трудоспособности. У каждой из них четкая задача - создать свой страховой фонд. Страховой фонд в целом по смешанному страхованию жизни складывается из множества мелких фондов: фонды по каждому из видов страховой ответственности образуются из объединения фондов для каждого вступительного возраста, каждый фонд по возрасту, в свою очередь, состоит из нескольких фондов по срокам страхования. Каждая первоначальная частичка страхового фонда создается своей тарифной ставкой. На поверхности явлений этот процесс незаметен, поскольку все частички сливаются в единый страховой фонд, формально он не расчленен. Но на самом деле выплаты по договорам производятся именно и только за счет предназначенной для этого частички. И внутри каждой первоначальной частички страхового фонда средства перераспределяются к тем, с кем произошло страховое событие, от тех, с кем страховое событие не произошло. Часто сберегательная сторона смешанного страхования жизни отождествляется со вкладами в банковские депозиты. При выплате по дожитию расходуется страховой фонд по дожитию. При этом средства не доживших до окончания срока страхования, перераспределившись, выплачиваются тем, кто дожил. В случае же смерти застрахованного расходуется фонд по страхованию на случай смерти. Средства доживших, сконцентрированные в этом фонде, используются для выплат по случаям смерти. При банковских операциях в отличие от страхования жизни не происходит и не может происходить внутреннего перераспределения средств между вкладчиками. Вкладчики между собой ничем не связаны. В страховании же каждая первоначальная частичка страхового фонда создается совокупностью лиц одного и того же возраста, заключивших договоры на одинаковые сроки и связанных между собой необходимостью перераспределения средств. Размеры нетто-ставки складываются объективно. Необходимые для их исчисления показатели - внешние по отношению к страховой компании. Размеры же нагрузки во многом зависят от умелой организации работы страховой компании. В тарифные ставки нагрузка включается в определенном проценте, исчисленном на основе итоговых и прогнозируемых составных частей расходов на ведение дела.
2. 4. Анализ различных систем возмещения ущерба и выплаты страховых премий, применяемых в страховании жизни
Страховые выплаты. Страхование от несчастных случаев может гарантировать все или некоторые из следующих выплат: выплата капитала в случае смерти, выплата капитала в случае частичной инвалидности, выплата ежедневной суммы в случае временной недееспособности, оплата медицинской помощи.
Если последствием несчастного случая является смерть застрахованного, то страховщик выплачивает выгодоприобретателям страховую сумму.
Если вследствие несчастного случая застрахованный получает постоянную инвалидность, то страховщик выплачивает общую или частичную страховую сумму, соответствующую данной гарантии. Различают два вида постоянной инвалидности: общая и частичная.
При постоянной общей инвалидности возмещение в данном случае будет равняться 100 % страховой суммы.
Если инвалидность не является полной, но является частичной постоянно, то страховщик выплачивает возмещение в размере процентного отношения, соответствующего классу инвалидности, от страховой суммы, гарантированной на случай постоянной общей инвалидности. Процентное отношение указывается в таблицах класса инвалидности или содержится в полисе. Кроме перечня процентного отношения возмещения на случай частичной инвалидности, страховые компании включают в свои полисы о страховании от несчастных случаев некоторые пункты, подчеркивающие отношение к выплате в случае инвалидности [5, с. 125].
Под временной инвалидностью понимаются любые травмы, которые в течение определенного периода препятствуют застрахованному выполнять его привычные обязанности в случае, если застрахованный не занимается каким-либо определенным видом деятельности.
Оплата медицинской помощи . Посредством заключения данной гарантии страховщик гарантирует оплату затрат на медицинское обслуживание, потребовавшееся застрахованному вследствие несчастного случая.
Стоимостные ограничения по оплате медицинской помощи определяет в любом случае страхователь, поскольку в данной ситуации он имеет право выбора различных возможностей, предоставленных ему страховщиком.
Оплата медицинских расходов страхователю производится независимо от выплат страхового возмещения на случай смерти или полной инвалидности.
Методику определения подлежащих выплате страховых сумм за последствие несчастных случаев.
Подлежащая выплате полная или частичная страховая сумма в связи с потерей здоровья от несчастного случая определяется на основе анализа документов, представляемых страхователем, и документов, которые получает в медицинских и других учреждениях страховая организация.
Страхователь должен обратиться в течение трех лет со дня несчастного случая в орган Госстраха по месту заключения договора, уплаты взносов по страхованию жизни, а по условиям обязательного страхования пассажиров – по месту своего жительства. В заявлении он указывает дату происшедшего несчастного случая, его обстоятельства, лечебные учреждения, в которых ему была оказана первая помощь, и где он лечился в дальнейшем по поводу данного несчастного случая. Вместе с заявлением представляется страховое свидетельство и квитанция об уплате страхового взноса по страхованию жизни на день несчастного случая, если эти взносы уплачивались наличными деньгами. Акт о несчастном случае установленной формы представляется только по страхованию рабочих и служащих за счет организаций и обязательному страхованию пассажиров [6, с. 12].
Если из документов видно, что несчастный случай связан с правонарушением, то запрашиваются и материалы из судебно-следственных органов, которые проводили расследование. Кроме того, к заявлению о выплате приобщаются страховые документы: заявление о приеме на страхование, лицевой счет застрахованного по страхованию жизни и другие.
Путем сопоставления дат и других данных в заявлении страхователя и в страховых документах устанавливается, произошел ли несчастный случай в период действия страхования и именно с данным застрахованным лицом.
Таким образом, выплаты страховых сумм за последствия несчастных случаев привязаны к степени потери здоровья. Между тем денежная выплата не способна поправить здоровье и является лишь условной суммой, которую можно использовать и для завершения лечения последствий травмы. Именно по этой причине размер пособия по социальному страхованию определяется не от степени потери здоровья, а в зависимости от продолжительности лечения после травмы. Такой принцип в большей мере соответствует цели страхования – возмещению потерь в семейных доходах в связи с временной нетрудоспособностью члена семьи. Поскольку личное страхование в части выплат за потерю здоровья является дополнением социального страхования, вполне правомерно такие выплаты производить в зависимости от аналогичного показателя – продолжительности лечения застрахованного после несчастного случая. Это резко упростит порядок выплат и создаст единую систему оказания денежной помощи гражданам, временно потерявшим здоровье.
Исследование динамики уставного капитала страховщиков показало рост их капитализации. Лишь за 2000–2005 гг. совокупный уставный капитал страховщиков возрос с 9,6 до 134,5 милрд. рубл. или в 14 раз. Доля страховщиков, осуществляющих страхование жизни, в совокупном уставном капитале составляет 55,4%.
Данные о развитии предпринимательской деятельности в сфере страхования жизни присутствуют с 1995 г, которые свидетельствуют, что в 1995–2005 гг. страховое предпринимательство преимущественно развивалось в сфере страхования жизни (табл. 1). На долю страхования жизни в 2001 г приходилось несколько более половины всех страховых взносов. Однако институт страхования жизни в этот период активно использовался в минимизации налогообложения фонда оплаты труда. По экспертным оценкам примерно половина российского страхового рынка связана с решением отмеченных задач[6] .
В 2006 г доля рынка страхования жизни упала до 2,7% и данная тенденция продолжается в настоящее время, что является результатом активных действий Федеральной службы страхового надзора и Федеральной службы по налогам и сборам по ограничению использования «серых» финансовых схем через страхование жизни.
Страховые компании, теряющие в настоящее время лицензии – это преимущественно страховщики, организующие зарплатное страхование жизни. Число таких компаний лишь за 2005 г превысило две сотни.
Таблица 5
Страхование жизни в России в 1995-2006 годах[7]
| Год |
Страховые премии млрд, руб. |
Страховые выплаты, млрд, руб |
Коэффициент выплат, % |
Доля в общем объеме сборов |
Доля в общем объеме выплат, % |
| 1995 |
10,4 |
8,1 |
77,9 |
44,9 |
48,2 |
| 2000 |
79,8 |
74,6 |
93,5 |
46,7 |
62,3 |
| 2004 |
102,2 |
108,2 |
105,9 |
21,7 |
35,2 |
| 2005 |
32,2 |
55,6 |
172,7 |
8,5 |
24,5 |
| 2006 |
16,0 |
16,6 |
96,4 |
2,7 |
4,8 |
После 2001 г имеет место выраженная тенденция снижения операций по страхованию жизни. За 2000–2005 гг. страховые взносы по страхованию жизни снизились на 60%. По итогам 2006 г сборы по страхованию жизни составили 16,0 млрд. руб. Сократилось и отношение премий по страхованию жизни в ВВП с 1,1% в 2000 г до 0,2% в 2005 г.
По оценкам Федеральной службы страхового надзора, доля долгосрочного страхования жизни в 2004 г не превышает 3,2% от официальных сборов по страхованию жизни, или 3,3 млрд. рублей. Агентство массовых страховых коммуникаций «АМСКОМ» в исследовании «Страховой рынок России: отчетные и реальные показатели» дает оценку реального рынка страхования жизни в 3,9 млрд. рубл., аналитики Объединенной финансовой группы оценивают рынок долгосрочного страхования жизни в 180 млн. долл.
При этом интерес к страхованию жизни в динамике за 2001–2005 гг. даже несколько снизился. Основные причины такой тенденции – недоверие к страховым организациям, общий низкий уровень жизни населения и непривлекательные финансовые условия полисов страхования жизни. Кроме того, на развитие долгосрочного страхования жизни негативно повлияли: ненадежность и невысокая капитализация страховщиков, отсутствие налоговых льгот, утраченная страховая культура и недостаточная осведомленность населения о возможностях и преимуществах страхования жизни, отсутствие инвестиционных инструментов для долгосрочного размещения резервов страхования жизни и др.
По нашим оценкам, основанным на анализе деятельности крупнейших операторов рынка страхования жизни, и результатов проведенных социологических исследований, в том числе автором, доля реального страхования жизни в общем объеме собранных страховых взносов составляет около 3%. Это означает, что в 2005 г по реальным договорам страхования жизни собрано порядка 3 млрд. рубл., что составляет 0,08% ВВП. В расчете на душу населения РФ годовой взнос по договору страхования жизни составляет около 2 долл., что говорит о зачаточном состоянии рынка страхования жизни в России. Для сравнения отметим, что в США сбор премии по страхованию жизни на душу населения составляет около 1500 долл., в Японии – около 3500 долл., а в Западной Европе – около 1200 долл.
Развитие предпринимательской деятельности в сфере страхования жизни во многом зависит от уровня жизни населения. Зависимость между доходами населения и страховыми полисами, которая определяет склонность к страхованию жизни, не линейна. На ней имеется точка перегиба, которую в теории страхования называют уровнем «страховой бедности». Это порог среднедушевого месячного дохода в семье, преодоление которого позволяет направлять средства на покупку полиса страхования жизни. По зарубежным оценкам порог страховой бедности находится в пределах 300–500 долл. США и зависит от уровня цен, потребительской корзины и других социально-экономических факторов. Наличие такой точки перегиба обусловлено тем, что страхование жизни не занимает первых мест в списке человеческих потребностей. Предел страховой бедности – это стоимость минимальной потребительской корзины для удовлетворения первоочередных нужд. Из оценки уровня страховой бедности можно сделать вывод о том, что большая часть населения страны отсечена от страхования жизни.
Следует отметить, что отмеченный порог страховой бедности для условий России требует уточнения в сторону увеличения, что обусловлено недоверием населения к страховщикам и инфляционной стороной доллара на территории России. Данные обстоятельства определяют необходимость их учета в проведении предпринимательской деятельности в сфере страхования жизни.
Характеризуя общий средний порог бедности, следует также иметь в виду значительную дифференциацию отдельных групп населения по уровню дохода. Современная Россия является в этом отношении уникальной страной. Поэтому при общем низком уровне жизни в РФ имеется доля населения, располагающая финансовыми возможностями для страхования жизни. Исследование динамики социально-экономических явлений и выявление их основных черт в прошлом дают основания для прогнозирования, то есть для определения будущих размеров уровня изучаемого явления.
При прогнозировании предполагается, что закономерность развития, найденная внутри динамического ряда, сохранялась и вне этого ряда в дальнейшем развитии. Продление в будущее тенденции, наблюдавшейся в прошлом, носит название экстраполяции. Наиболее сложным при прогнозировании является вопрос о том, с какой заблаговременностью можно определить будущий уровень ряда, или период упреждения прогноза. Взятый в приведенном примере небольшой период заблаговременности объясняется тем, что развитие претерпевает изменения и расчет уровней значительно отдаленных лет может привести к ошибкам. Также брать очень длительный прошлый период, по которому найдена закономерность развития, нецелесообразно, так как изменяются условия развития. Поэтому он должен быть не слишком длинным, но и не слишком коротким. Таким образом, развитие предпринимательства в сфере российского страхования жизни неразрывно связано с общей социально-экономической ситуацией в стране: чем скорее начнется реальное экономическое развитие и рост благосостояния населения, тем активнее будет расти предпринимательская деятельность в сфере страхования жизни. И соответственно, наоборот: никакие усилия предпринимателей-страховщиков не приведут к заметному росту рынка при отсутствии соответствующего платежеспособного спроса.
Важным фактором, сдерживающим развитие страхования жизни, является отсутствие налоговых стимулов при индивидуальном страховании. Речь идет о том, что не только выплаты по договорам долгосрочного страхования, но и взносы должны исключаться из налогооблагаемой базы. Практика подобного налогового стимулирования индивидуального страхования жизни применяется в большинстве экономически развитых стран, когда соответствующие взносы не облагаются подоходным налогом. Такое налоговое стимулирование изначально обеспечивает финансовую привлекательность полисов страхования жизни в сравнении с другими формами финансовых вложений населения. Экономический и социальный эффект от расширения операций по страхованию жизни существенно перекроет недопоступление соответствующего подоходного налога.
Исследование системы государственного регулирования предпринимательской деятельности в сфере страхования жизни показало, что для страховщиков, осуществляющих страхование жизни, установлены повышенные требования к уставному капиталу, определено нормативное соотношение между свободными активами и принятыми обязательствами, действуют правила формирования и страховых резервов. Как прогрессивное явление рассмотрена вводимая с 2007 г специализация компаний по страхованию жизни.
Наряду с этим отмечено, что в страховом законодательстве не определено содержание договора личного страхования; ограничен перечень существенных условий договора страхования; отсутствуют штрафные санкции для страховщика, связанные с невыполнением или ненадлежащим выполнением обязательств по страховым выплатам; страхование жизни не является сферой взаимного страхования и др. Наиболее простым методом прогнозирования является применение средних характеристик данного ряда динамики, таких как: средней абсолютный прирост и средний темп роста.
Первый способ: воспользуемся формулой:
yt
= y1
*Δy
*t-1, где yt
- экстраполируемый уровень
y1 - начальный уровень ряда динамики,
Δy
- средний абсолютный прирост,
t-1 - условное обозначение времени ( номер уровня или года)
Средний абсолютный прирост был рассчитан во второй части курсовой работы и составил 5162,63 млн. руб. Используя формулу, выше приведенную и данные по страховой деятельности, по которым поводились расчеты ранее, мы можем спрогнозировать динамику развития страховой деятельности в России в 2003 - 2008 годах.
Таблица 6
Прогнозируемая сумма страховых выплат по личному страхованию на 2008 гг., млн. руб. (первый способ)
| Год |
прогнозируемая сумма страховых выплат по личному страхованию, млн. руб. |
| 2003 |
460919,60 |
| 2004 |
518534,55 |
| 2005 |
576149,50 |
| 2006 |
633764,45 |
| 2007 |
691379,40 |
| 2008 |
748994,36 |
Таким образом, судя по таблице, сумма страховых выплат по личному страхованию будет увеличиваться и к 2008 году достигнет 748994,36 млн. руб.
Второй способ: будем использовать формулу:
yt = y1 *K , где yt - экстраполируемый уровень,
y1 - начальный уровень ряда динамики,
К - средний темп роста,
t-1 - условное обозначение времени (номер уровня или года)
Таблица 7
Прогнозируемая сумма страховых выплат по личному страхованию на 2008 гг., млн. руб. (второй способ)
| Год |
прогнозируемая сумма страховых выплат по личному страхованию, млн. руб. |
| 2003 |
113798,96 |
| 2004 |
360742,70 |
| 2005 |
1143554,37 |
| 2006 |
3625067,34 |
| 2007 |
11491463,48 |
| 2008 |
36427939,23 |
Как мы видим, используя формулу со средним темпом роста, сумма страховых выплат по каждому следующему году увеличивается намного больше, чем при расчетах по предыдущей формуле.
Таким образом, по данным таблицы, мы получаем, что к 2008 году прогнозируемая сумма страховых выплат по личному страхованию составит 36427939,23, по сравнению с суммой в 748994,36 млн. руб., которая получилась по предыдущей формуле. Большие суммы страховых выплат получаются из-за того, что велик рассчитанный средний темп роста (3,17 или 317%). Поэтому, вероятнее всего, с каждым последующим годом сумма страховых выплат увеличивается более, чем на 300%.
Экстраполяцию рядов динамики осуществляют различными способами, например, экстраполируют ряды динамики выравниванием по аналитическим формулам.
Зная уравнение для теоретических уровней и подставляя в него значения t за пределами исследованного ряда, рассчитывают для t вероятностные yt .
Во второй части работы было выведено уравнение:
yt
=
10665 + 2118,58t
Экстраполяцией при t = 9,11,13 и т д. можно определить ожидаемую сумму страховых выплат по личному страхованию в период с 2003 по 2008 годы.
Таблица 8.
Прогнозируемая сумма страховых выплат по личному страхованию на 2008 гг., млн. руб. (третий способ)
| Год |
прогнозируемая сумма страховых выплат по личному страхованию, млн. руб. |
| 2003 |
29732,22 |
| 2004 |
33969,38 |
| 2005 |
38206,54 |
| 2006 |
42443,70 |
| 2007 |
46680,86 |
| 2008 |
50918,02 |
Данные, представленные в таблице более приближены к реальности, так как наблюдается достаточно равномерное увеличение суммы страховых выплат. Однако, судя по полученным данным, в 2003-2008 годах происходит небольшой спад, сумма уменьшается с 36149,54 до 29732,22 млн. руб., но затем она вновь начинает увеличиваться и к 2008 году достигает 50918,02 млн. руб.
Таким образом, можно сделать вывод, что страховая деятельность в России продолжает и будет продолжать развиваться дальше, о чем свидетельствует данные, полученные практически.
Глава 3. Пути совершенствования рынка страхования жизни в России
3.1. Рекомендации по организации и процедуре взаимоотношений участников в процессе страхования жизни в России
На основе исследованных материалов сформулируем несколько рекомендаций, способствующих развитию и совершентвованию личного страхования в РФ. Учитывая объемы и временный характер краткосрочного страхования жизни, необходимо создать условия для развития личного страхования и трансформировать краткосрочное страхование жизни в долгосрочное.
1. Предоставить страховым компаниям возможность принять участие в решении социальных проблем. Для этого необходимо:
А) Обеспечить участие страховых компаний в реформе системы пенсионного обеспечения. Развивая пенсионное страхование, государство решает проблему получения высоких пенсий для тех, кто этого хочет. Одновременно государство получает длинные деньги в виде страховых резервов. Кроме того, страховые компании могут принять активное участие в профессиональных пенсионных системах, обеспечивая выплату пенсии льготникам в течение пяти лет до достижения действительного пенсионного возраста. Страховые компании могут также заключать договоры индивидуального пенсионного страхования с физическими лицами, обеспечивая им достойный уровень пенсии. Страховые компании могут взять на себя риски недожития застрахованного до пенсионного возраста и выплаты пенсии выгодоприобретателю, то есть по случаю потери кормильца.
Б) Развивать долгосрочное страхование жизни в Российской федерации, в том числе с выплатой рент и аннуитетов. С одной стороны, это позволит привлечь значительные инвестиционные ресурсы. С другой стороны, этот вид страхования даст возможность людям получать дополнительный доход.
В) Работать с самозанятым населением. Эта категория людей появилась в России сравнительно недавно, с началом зарождения рыночных отношений. По данным журнала "финансы" в России сейчас есть 10-12 миллионов человек самозанятого населения, из которых далеко не все охвачены государственными социальными и пенсионными программами. Страховые компании, охватывая этот слой населения личным страхованием, могут оказать существенную помощь государству в решении их социальных и пенсионных проблем.
Г) Развивать программы ипотечного кредитования населения. Эти программы позволяют решить важнейший вопрос социальной защиты населения - обеспечение граждан жильем.
Д) Развивать не только обязательное, но и добровольное медицинское страхование. Нужно соединить возможности добровольного и обязательного медицинского страхования. Тогда гражданин, получающий медицинские услуги в рамках обязательного медицинского страхования, сможет получать более качественную медицинскую помощь за счет добровольного медицинского страхования. Это может быть достигнуто путем зачета взноса по обязательному медицинскому страхованию, уплаченного предприятием за своих работников в счет взноса самого работника по добровольному медицинскому страхованию. Это привлечет к решению проблем медицинского обслуживания как предприятий, так и самих граждан, которые в результате смогут получать медицинские услуги более высокого уровня.
Е) Развивать социальное страхование от несчастных случаев на производстве, предоставив право работодателю платить либо в Фонд социального страхования, либо в страховую компанию. Необходимо также развивать и страхование граждан от несчастных случаев. Этого требует объективная реальность. По данным Министерства труда и социальной занятости РФ, ежегодно на производстве происходит около 150 тысяч случаев травматизма. Таким образом, допуск страховых компаний к решению социальных проблем и развитие личного страхования позволяют получить для граждан: дополнительное пенсионное обеспечение; высококачественные медицинские услуги; дополнительные социальные гарантии в случае инвалидности, потери кормильца и так далее; дополнительный источник дохода; для государства: снизить нагрузку на бюджет; привлечь инвестиционные ресурсы; ликвидировать иждивенчество; создать социальную стабильность в обществе.
Для того чтобы страхование жизни развивалось в нужном направлении, необходимо принять законы, способствующие развитию данного вида. Речь идет о социальных законах: "О развитии долгосрочного страхования жизни в Российской Федерации", "Об обязательном социальном страховании от несчастного случая на производстве", "Об основах реформы пенсионной системы" и так далее. Для развития страхования жизни и долгосрочного страхования жизни в частности нужны стимулы для страхователей.
Первый шаг в этом направлении уже сделан: принятые 23 и 24 главы Налогового кодекса РФ (о подоходном и социальном налоге) способствуют развитию личного страхования. Необходимо решить вопрос о развитии надежных финансовых инструментов для размещения страховых резервов по долгосрочному страхованию жизни. Расширять международное сотрудничества со страховыми надзорами, союзами страховщиков, зарубежными страховщиками и перестраховщиками с целью формирования российского рынка долгосрочного страхования жизни с учетом мировых тенденций, укрепления платежеспособности российских страховщиков, снятия необоснованных ограничений на участие иностранных компаний в проведении страхования и перестрахования жизни, совместной борьбы со страховым мошенничеством в области страхования жизни; Необходимо проведение Всероссийским союзом страховщиков, средствами массовой информации, общественными организациями и высшими учебными заведениями широкой просветительской работы среди населения, государственных служащих и работодателей, раскрывающей сущность и механизм реализации предлагаемых программ, с целью формирования в обществе современной страховой культуры и цивилизованного отношения к страхованию.
Совершенствование процедуры взаимоотношений участников страхования жизни необходимо начать с совершенствования системы сбыта страховой продукции. Она распадается на систему активных и пассивных продаж, которые, в свою очередь, делятся на сегменты по имущественным группам населения. Необходимость сегментации страхового рынка и разработка специфических продуктов объясняется еще и тем, что агент не в состоянии проводить подгонку страхового продукта под особенности каждого из своих клиентов в силу недостаточности подготовки и сложности этой процедуры, так как разработка продуктов на сегодняшний день проводится на промышленной основе с привлечением специалистов высокого уровня. По мере роста числа потребительских сегментов увеличиваются затраты на разработку и продвижение продуктов, специально предназначенных для них, а численность групп, на которые они рассчитаны, падает. Это приводит к уменьшению рентабельности сегментации. Основными источниками издержек при углублении сегментации страхового рынка и вытекающей из этого сегментации страховых продуктов являются:
- затраты на разработку специально нацеленного страхового продукта, включающие изучение целевого сегмента, сбор и обработку статистических данных о нем, тарификацию рисков;
- изготовление новых полисов, сопровождающей рекламной продукции, пояснительных материалов;
- разработка и реализация специальных маркетинговых акций, направленных на целевой сегмент рынка;
- обучение агентов и иных страховых представителей пользованию этим страховым продуктом.
Затраты на сегментацию рынка можно снизить за счет создания универсальных страховых продуктов, т.е. продуктов, применение которых возможно на широких сегментах рынка, заключающих в себе широкую гамму (ассортимент) возможностей. Однако разработка таких продуктов представляет существенные сложности в плане Личные контакты как основа эффективного сбыта страховой продукции. Система сбыта страховой продукции эффективна, если продажи осуществляются по каналам товарищеских, человеческих отношений как прямое продолжение межличностных коммуникаций. Один из секретов эффективности сбыта в том, чтобы продажа страховой продукции и извлечение прибыли не фигурировали в виде основной цели агента. Его задача — оказание страхователю услуги, за которой следует определенное вознаграждение, а не наоборот. Мировой опыт показывает, что предложение приобрести страховой полис должно «тонуть», не выделяться на фоне разнообразных связей и межличностных коммуникаций между страхователем и представителем страховщика в этом случае оно не будет отвергнуто клиентом. Ф. Беттджер, один из самых преуспевающих американских агентов по страхованию жизни, в своей книге утверждает, что основой заключения сделки является разговор с клиентом о его бизнесе и его проблемах, а не о страховании. Предметом сделки должно быть предоставление компании своему клиенту страхового инструмента для решения его проблем. Для этого многие страховые компании в развитых странах поручают своим агентам функции своеобразной системы бытового обслуживания клиентов: агент поможет отремонтировать дом или машину, организовать уход за больными или присмотр за детьми, даст консультацию по пенсионному законодательству и т.д. Разнообразное содействие страхователю в различных областях позволяет поддерживать тесные контакты с клиентами, что способствует сбыту страховой продукции в рамках прямого продолжения этого взаимодействия. Если клиент связан с представителями страховщика целой системой связей, он внимательнее и благосклоннее отнесется к предложению приобрести страховой продукт.
Еще одной важнейшей составляющей сбыта страховой продукции физическим и юридическим лицам является формирование круга клиентов, добровольно распространяющих благоприятную для страховщика информацию среди своих друзей и коллег по бизнесу.
Личные контакты с неохваченными страхованием предприятиями или гражданами по рекомендации «друзей» страховщика - это наиболее эффективный способ активизации сбыта, тем более что определенная группа руководителей относится к числу нечувствительных к рекламе и некорпоративной (внешней) информации. Личные контакты с клиентами важны еще и по другой причине: эффективность сбыта страховой продукции резко повышается, если потребитель видит перед собой конкретную и дружески настроенную личность, выражающую собой страховую компанию, а не серую, холодную и безликую массу. Одним из свойств человеческой психики является персонализация тех или иных организационных структур и отношений с ними - им автоматически присваивается либо лицо руководителя, либо лицо их представителя, вступающего в контакт со страхователем. Поэтому в любом случае представитель страховщика должен быть близок, дружески настроен и по человечески понятен для руководителя предприятия — страхователя или физического лица.
3.2. Расчет тарифных ставок для различных способов уплаты страховой премии по страхованию жизни
Тарифные ставки рассчитываются для различных способов уплаты страховой премии по страхованию жизни. Она может уплачиваться единовременно или путем внесения страховых взносов с определенной договором страхования жизни периодичностью (один раз в год ежеквартально или ежемесячно в течение установленного периода времени либо всего срока страхования). С позиций концентрации денежных ресурсов, продолжительности и эффективности инвестирования страховых резервов, увеличения дохода для страховщика значительно выгоднее единовременная уплата страховой премии. Кроме того, единовременная уплата страхователем страховой премии более надежна для страховщика, так как какие-либо непредвиденные обстоятельства в жизни и/или деятельности страхователя в этом случае не отразятся на выполнении им этого обязательства перед страховщиком. Уменьшаются также расходы на сбор, учет страховой премии, банковские операции с денежными средствами страховой организации.
Для большинства страхователей, наоборот, предпочтительнее уплата страховой премии частями (взносами) в течение длительного периода времени. Поэтому обычно в правилах страхования жизни страховщики предусматривают различные способы уплаты страховой премии.
Рассмотрим на примере основные положения метода определения единовременных нетто- и брутто-ставок по страхованию на дожитие и на случай смерти при следующих исходных данных:
• возраст страхования (полных лет) на момент заключения договора страхования, х = 40 лет;
• количество подлежащих страхованию лиц по табл. 8.1 (достигших возраста х = 40 лет из 100 000 родившихся) для принятого возраста страхования lx = 91 366 человек;
• срок страхования п = 5 лет;
• число лиц, доживающих до окончания срока страхования, по таблице смертности lx + n = 89 047 человек;
• норма доходности инвестирования страховых резервов i = 0,07;
• единица измерения страховой суммы, на которую рассчитывается тарифная ставка и которая условно принята в примере расчета тарифа в качестве страховой суммы по договору страхования жизни каждого застрахованного S = 100 руб.
Рассчитаем сначала единовременную нетто-ставку для договоров страхования на дожитие.
Через 5 лет страховщик должен иметь определенную величину фонда денежных средств (В5 ), сформированную за счет страховых взносов (страховой премии), уплачиваемых единовременно страхователями, и инвестиционного дохода.
Сумма фонда должна быть достаточна для выплаты страховой суммы S, равной 100 руб., всем дожившим до окончания срока страхования и достигшим 45-летнего возраста, т.е. В5 = l45 • S = 89 047 • 100 = 8 904 700 руб. Однако в начале страхования общая уплачиваемая страхователями сумма страховой нетто-премии может быть меньше, так как в течение 5 лет она будет возрастать (вместе с начисленным доходом за каждый год) ежегодно на 7 сложных процентов за счет инвестирования страховых резервов по страхованию жизни. Поэтому современная стоимость (на начало страхования) требующегося фонда денежных средств (Аx ) может быть рассчитана по формуле с использованием дисконтирующего множителя из табл. 8.3 Vn = 0,71299:
![]()
Такая сумма — 6 348 963 руб. — должна быть получена страховщиком в виде уплаченной страхователями страховой нетто-премии для обеспечения выплат страховых сумм в размере 100 руб. через 5 лет всем дожившим до окончания срока страхования и возраста 45 лет застрахованным в 40-летнем возрасте лицам. Для того чтобы определить, какую сумму нетто-премии должен заплатить каждый страхователь, необходимо разделить Аx на количество вступивших в страхование лиц lx = 91 366 человек. Это и будет единовременная нетто-ставка по страхованию на дожитие со 100 руб. страховой суммы (n Ex ) для возраста х= 40 лет при сроке страхования п = 5 лет и норме доходности i = 0,07.
Формула для расчета n Ex , следовательно, будет иметь вид в результате преобразований:
![]()
или
Для исходных данных примера расчета тарифа единовременная нетто-ставка на дожитие 5 Е40 будет равна 69,49 руб. со 100 руб. страховой суммы:
![]()
Это значительно меньше 97,46
руб., которые необходимо было бы выплачивать с каждых 100 руб. страховой суммы в качестве нетто-премии в случае расчета нетто-ставки без учета нормы доходности инвестиций через дисконтирующий множитель Vn
.
Анализируя формулу, можно сделать два вывода:
• чем длительнее срок страхования на дожитие, тем ниже нетто-ставка, так как увеличивается сумма учитываемого в расчете и снижающего нетто-ставку дохода от инвестируемых страховых резервов по страхованию жизни;
• нетто-ставка выше для меньшего возраста застрахованных лиц в сравнении с нетто-ставкой для лиц большего возраста при одинаковом сроке страхования на дожитие, так как среди более молодых ниже смертность. Далее рассчитаем единовременную нетто-ставку по страхованию на случай смерти по тем же исходным данным и числу умирающих в каждом году страхования из таблицы смертности.
Общая величина необходимого фонда денежных средств Bn для выплаты страховых сумм S в размере 100 руб. по случаю смерти застрахованных лиц всем их выгодоприобретателям начиная с первого и до последнего года страхования может рассчитываться по формуле:
где dx , dx +1 , dx +2 ... dx + n -1 — число умирающих по срокам страхования в годах.
Современная стоимость (на начало страхования) необходимого фонда денежных средств (Аx ) рассчитывается с учетом дисконтирующего множителя по формуле:
Для определения единовременной нетто-ставки по страхованию на случай смерти (n Ах ) необходимо Аx разделить на число вступивших в страхование лиц lх , т.е.
Для исходных данных примера расчета

Брутто-ставка Т рассчитывается по формуле:
где Tn — нетто-ставка по виду страхования (в данном примере — по страхованию на дожитие 5 E40 и на случай смерти 5 A40 );
Н — нагрузка в долях единицы (метод определения нагрузки страховщиком для примера расчета Н = 0,1.
Подставляя в формулу рассчитанные выше значения нетто-ставок 5 E40 и 5 A40 , получаем соответствующие размеры страховых тарифов (брутто-ставок) по страхованию на дожитие Тд и на случай смерти Тс :
• единовременная тарифная ставка
![]()
• единовременная тарифная ставка
![]()
При смешанном страховании на дожитие и на случай смерти вначале рассчитывается совокупная нетто-ставка (TH = 5 E40 + 5 A40 ), а затем определяется брутто-ставка по этой форме страхования (ТСМ ):
![]()
В случае одинаковой величины нагрузки в тарифе по данным видам ответственности страховщика брутто-ставка по смешанному страхованию может определяться и как сумма страховых тарифов на дожитие Тд и на случай смерти Тс : Тсм = Тд + Тс = 77,21 + 2,29 = 79,50 руб.
3.3. Разработка схемы всеобщей классификации видов личного страхования и страхования
Для общей характеристики, анализа и оценки деятельности страховых организаций на страховом рынке страны страхование можно классифицировать по ряду других важных признаков.
На схеме рис. 3.3 приведена такая классификация. Для данной классификации имеет смысл выделить следующие признаки:
• территориальный признак распространения страховой деятельности страховой организации;
• организационно-правовой формы страховой организации;
• целевого характера деятельности страховщика;
• формы страхования, т.е. способа вовлечения страхователей и страховщиков в страховые правоотношения;
• организационно-экономической формы участия страховщиков в страховании крупных рисков.
Для общей характеристики, анализа и оценки деятельности страховых организаций на страховом рынке страны страхование можно классифицировать по ряду других важных признаков.
Для данной классификации имеет смысл выделить следующие признаки:
• территориальный признак распространения страховой деятельности страховой организации;
• организационно-правовой формы страховой организации;
• целевого характера деятельности страховщика;
• формы страхования, т.е. способа вовлечения страхователей и страховщиков в страховые правоотношения;
• организационно-экономической формы участия страховщиков в страховании крупных рисков.
![]()
Рис. 1. Всеобщая классификация страхования
Из выделенных по указанным на схеме признакам классификационных групп определенное раскрытие их содержания и присущих им особенностей требуется в основном для форм страхования (обязательное и добровольное страхование) и участия страховщиков в страховании крупных рисков (сострахование, страхование участниками страхового пула, перестрахование).
Личное страхование представляет страхование имущественных интересов (как объектов страхования) физических лиц, связанных с нематериальными ценностями и уровнем их жизни, такими, как: жизнь, здоровье, трудоспособность людей; доходы (дополнительные расходы), определяющие уровень (качество) жизни людей.
Таким образом, отрасль страхования представляет собой относительно обособленную область страхования имущественных интересов, связанных с последствиями страховых случаев для однородных либо родственных предметов страхования юридических, физических лиц, которая имеет для этих предметов и объектов страхования особые принципы и методы страховой защиты, формирования и использования (распределения) страховых фондов. Однако отрасль не является общеупотребительным понятием. Того или иного страхователя интересует, как и на каких условиях можно застраховать его конкретную материальную, нематериальную ценность (дом, дачу, автомобиль или жизнь, здоровье от несчастных случаев). Здесь уже проявляется страховой интерес и конкретизируется все: предмет страхования; его действительная стоимость и страховая сумма; характерные для данного предмета страхования риски или страховые случаи; желаемый и возможный сроки страхования; страховой тариф и страховая премия; размеры и порядок страховых выплат; другие условия заключения договора страхования.
Для предметов страхования, имеющих одинаковые родовые признаки, функциональное назначение, способы, условия, иногда и продолжительность использования (либо сроки создания, производства или жизнедеятельности), характерно единообразие причин и вероятности наступления страховых случаев и их последствий. Это позволяет применять к ним одинаковые правила, условия страхования и выделять их в отдельный вид (подвид) страхования (страхование средств наземного транспорта, страхование детей от несчастных случаев, страхование жизни на случай смерти, страхование домашнего имущества и др.). Страховые правоотношения между страхователем и страховщиком устанавливаются и реализуются по конкретным видам страхования, объектам (в том числе путем определенного их комбинирования в одном договоре страхования). Под видом страхования понимается страхование однородных, одинакового происхождения (назначения) предметов страхования и связанных с ним имущественных интересов от одного или совокупности страховых рисков (случаев) по установленным для всех или отдельных предметов (имущественных интересов) условиям, способам их страховой защиты, формирования и использования страховых фондов. Подотрасль страхования представляет собой совокупность видов страхования близких или родственных предметов страхования и связанных с ними имущественных интересов с характерными для них страховыми рисками (случаями), условиями и способами страховой защиты.

Рис. 2. Схема всеобщей классификации личного страхования
Таким образом, выделение подотраслей страхования позволяет: иметь четкое представление о составе и структуре отраслей и подотраслей страхования; накапливать, обобщать, анализировать и оценивать информацию о развитии и эффективности страхования, причинах отсутствия прогресса в отдельных подотраслях, разрабатывать и внедрять необходимые мероприятия; определять направления разработки и продвижения на российский рынок новых видов страховых услуг.
3.4. Проектирование годичных тарифных нетто-ставок и страховых премий по страхованию жизни
Необходимо произвести расчёты по проектированию годичных нетто-ставок и страховых премий по смешанному страхованию жизни со следующими параметрами: возраст страхователя – 43 года, срок страхования – 4 года, ставка дохода – 18 %, нагрузка абсолютная – 2,15 руб., расходы на проведение предупредительных мероприятий – 1,23 %, прибыль страховщика – 2,86 %, годичная нетто-ставка по страхованию от несчастных случаев – 0,028 руб, страховая сумма – 45700 руб.
Тарифные нетто-ставки по смешанному страхованию жизни рассчитываются как сумма нетто-ставок по страхованию на дожитие до определённого возраста, по страхованию на случай смерти и по страхованию от несчастных случаев.
Две первые нетто-ставки определяются как единовременные ставки и затем с помощью коэффициента рассрочки переводятся в годичные.
1. Найдём нетто-ставку с единицы страховой суммы в 100 руб. по страхованию на дожитие. Формула для расчёта следующая:
Тн = P(A)*18V4*100 = 87851/90073*0,516*100 = 50,33
Где P(A) – вероятность наступления страхового случая, расчитывается как отношение чила доживших до возраста 47 лет к числу лиц доживших до 43 лет,
18V4 - дисконтирующий множитель для 4 лет при cтавке дохода 18 % годовых.
2. Найдём нетто-ставку с единицы страховой суммы в 100 руб. по страхованию на случай смерти.
Формула для расчёта следующая:
3. Тн = [(d43*V1)+ (d44*V2)+ (d45*V3)+ (d46*V4)]/L43*100 =
= [(493*0,847)+(533*0,718)+(576*0,609)+(620*0,516)]/90073*100 = 1,63
где di – количество людей умерших при переходе от возраста i к возрасту i +1 лет,
Vj - дисконтирующий множитель для j года страхования при ставке дохода 18 % годовых,
L43 – число лиц в возрасте вступление в страхование.
Заключение
На основе анализа специальной литературы, мы считаем целесообразным, сделать ряд выводов:
Страхование жизни как отрасль страхования жизни является одной из важнейших отраслей страхование.
Развитое страхование жизни решает две основные стратегические задачи:
- повышает социальную защищённость граждан, путём выплат пособий, дополнительных пенсий в виде рент и т. д.
- аккумулирует огромные денежные резервы, которые в свою очередь инвестируются в экономику страны.
Для успешного развития данной отрасли необходимо решить ряд проблем. Ведущую роль в этом процессе должно играть государство и крупные профессиональные объединения страховщиков, например Всероссийский Союз Страховщиков. Огромную роль в эффективном развитии личного страхования играет формирование рыночного сознания у населения. Необходимо, чтобы граждане отказались от мысли, что государство им «должно». Безусловно, социальная поддержка со стороны государства должна сохраняться, однако основную составляющую таких выплат должны формировать сами граждане, заключая соответствующие договора страхования.
Необходимо также расширять спектр обязательного страхования. Но делать это нужно очень осторожно, с особой тщательностью проектируя страховые тарифы. Иначе эти меры вызовут активное недовольство населения, подрывая доверие к страховщикам и к страхованию как экономическому институту.
Развитие страхования жизни неразрывно связано с развитием экономики страны в целом. При слабой экономике, не может быть и речи о развитой системе страхования жизни.
Список использованной литературы
1. Закон РФ от 27 ноября 1992г. № 4015-1 (в ред. от 20 ноября 1999г.) «Об организации страхового дела в Российской Федерации».
2. Постановление Правительства РФ от 01 октября 1998г. № 1139. «Современное состояние национальной системы страхования».
3. Приказ Росстрахнадзора от 30 октября 1995г. № 02-02/20 (в ред. от 19.06.1996г. № 02-02/16) «Инструкция о порядке расчета нормативного соотношения активов и обязательств страховщиков».
4. Приказ Росстрахнадзора от 24 октября 1996г. № 02-02/21. «Указания по составлению и оформлению плана оздоровления финансового положения страховой организации».
5. Аленичев В.В., Аленичева Т.Д. Страхование валютных рисков, банковских и экспортных коммерческих кредитов. – М.: Изд-во «Ист-Сервис» 2006. – 94 с.
6. Агеев Ш.Р. и другие. Страхование. Теория, практика и зарубежный опыт. Учебное пособие. Изд-во: Экспертное бюро. 2005. – 376 с.
7. Балабанов И.Т., Балабанов А.И. Страхование. – СПб.: Притер, 2006. – 250 с.
8. Басаков М.И. Страховое дело в вопросах и ответах. Ростов-на-Дону.: ФЕНИКС, 2006
10. Басаков М.И. Страховое дело. Курс лекций. – М.: ПРИОР, 2006. – 128 с.
11 Бланд Дэвид. Страхование: Принципы и практика. Учебное пособие. Пер. с англ. – М.: Финансы и статистика, 2003. – 416 с.
12. Воблый К.Г. Основы экономии страхования. - М.: Издат. Центр «АНКИЛ», 2005. – 227 с.
13. Гвозденко А. Финансово-экономические методы страхования. – М.: Финансы и статистика, 2006. – 271 с.
14. Гизбург А.И. Страхование. – СПб.: Питер, 2006. – 176 с.
15. Глущенко В.В. Управление рисками. Страхование. Изд-во: ТОО НПЦ «Крылья», Моск. обл., 2006. – 336 с.
16. Денисова И.П. Финансовый анализ деятельности страховой компании. - М.: «Экспертное бюро-М»,2006. – 152 с.
17. Дубровина Т.А., Сухов В.А., Шеремет А.Д. Аудиторская деятельность в страховании: Учебное пособие/под ред. заслуженного деятеля науки РФ, проф. Шеремета А.Д. - М.: ИНФРА-М, 2006. – 110 с.
18. Зубец А.Н. Страховой маркетинг в России. – М.: Центр экономики и маркетинга, 2007. – 344 с.
19. Казанцев С.К. Основы страхования. – М.: Бизнес-сервис, 2007. – 160 с.
20. Крутик А.Б., Никитина Т.В. Организация страхового дела: Учебное пособие. - СПб.: Изд. дом «Бизнес-пресса», 2006. – 242 с.
21. Кузнецова Н.П., Чернова Г.В. Европейское страховое законодательство: оценка платежеспособности страховых компаний по рисковым видам страхования. - СПб.: Ин-т страхования, 2006. – 95 с.
22. Кутуков В.Б. Основы финансовой и страховой математики: методы расчета кредитных, инвестиционных, пенсионных и страховых схем. – М.: Дело, 2006. – 245 с.
23. Орланюк-Малицкая Л.А. Платежеспособность страховой организации. - М.: Издат. центр «АНКИЛ», 2005. – 142 с.
24. Основы страховой деятельности. Учебник. / Отв. ред. Федорова Т.А./ - М.: Изд-во БЕК, 2006. – 776 с.
25. Рубин Ю.Б., Солдаткин В.И. Страховой портфель. - М.: Финансы и статистика, 2007. – 183 с.
26. Рэдхэд К. и Хьюс С. Управление финансовыми рисками. – М.: ИНФРА-М, 2006. – 287 с.
27. Сахирова Н.П. Страховые тарифы и выплаты. Учебное пособие. – М.: ГУУ, 2006. – 64 с.
28. Скамай Л.Г. Страхование. – М.: ИНФРА-М, 2006. – 159 с.
29. Сербиновский Б.Ю., Гаркуша В.И. Страховое дело. – Ростов-на-Дону: Феникс, 2005. – 344 с.
30. Сплетухов Ю.А., Дюжиков Е.Ф. Страхование. Учебное пособие. – М.: ИНФРА-М, 2006. – 115 с.
31. Страхование и управление риском. Терминологический словарь. Сост. Тулинов В.В., Горин В.С. – М.: Наука, 2006. – 565 с.
32. Страхование от А до Я.. Книга для страхователей / Под ред. Корчевской Л.И., Турбиной К.И. – М.: Инфра, 2006. – 546 с.
33. Страхование. Краткое пособие для подготовки к экзамену. / Отв. ред. проф. Федорова Т.А./ - М.: Изд-во БЕК, 2005. – 176
34. Страховое дело. Кредитное страхование. Обзор публикаций в Великобритании. – М.: Финансы и статистика, 2006. – 383 с.
35. Страховое дело. Учебник. Под ред. Рейтмана Л.И. – М.: Банковский и биржевой научно-консультационный Центр, 2002. – 524 с.
36. Сухов В.А. Государственное регулирование финансовой устойчивости страховщиков -М.: Издат. Центр «АНКИЛ», 2005. – 65 с.
37. Уткин Э.А. Новые финансовые инструменты рынка. – М.: журнал «Дебет-Кредит», 2006. – 112 с.
38. Финансовый менеджмент. Практикум. Гл. 8. Страхование. Под ред. Самсонова Н.Ф. – М.: ЮНИТИ, 2007. – 267 с.
39. Финансовый менеджмент. Учебник. Гл. 7. Страхование в системе финансового механизма АО. Под ред. Ковалевой А.М. – М.: ИНФРА-М, 2006 – 283 с.
40. Хохлов Н.В. Управление риском. – М.: ЮНИТИ, 2006. – 185 с.
41. Хэмптон Д.Д. Финансовое управление в страховых компаниях (перевод с английского). – М.: Издат. Центр «АНКИЛ»,2005. – 148 с.
42. Шахов В.В. Введение в страхование. 2-е изд., перераб. и доп. - М.: Финансы и статистика, 2006. – 284 с.
43. Шевчук В.А. Страхование гражданской ответственности владельцев автотранспортных средств. – М.: Издат. Центр «АНКИЛ», 2006. – 80 с.
44. Шеремет А.Д., Сайфулин Р.С., Негашев Е.В. Методика финансового анализа. - М.: ИНФРА-М, 2006. – 351 с.
45. Шерри Де Ковни. Стратегии хеджирования. – М.: ИНФРА-М, 2006. – 207 с.
[1] Илан Рубин «Российский страховой рынок в 2006г. и в будущем». Доклад Объединенной финансовой группы. – М; 2007 г.
[2] По данным Федеральной службы страхового надзора 2006
[3] Источник: ВЦИОМ, ЦИРКОН, Федеральный справочник Страхование в РФ. М.: АНО «Редакция «Федерального справочника», 2006 с. 53
[4] По данным Sigma Swiss
[5] Бабаджанян Э.К. Социально-экономические предпосылки развития страхования жизни в России. Дисс. К.э.н., ПроСофт-М. 2003
[6] Илан Рубин «Российский страховой рынок в 2003г. и в будущем». Доклад Объединенной финансовой группы. – М; 2004 г.
[7] По данным Федеральной службы страхового надзора.