| Скачать .docx |
Курсовая работа: Бизнес-план интернет кафе 2
ФЕДЕРАЛЬНАЯ СЛУЖБА ПО НАДЗОРУ В СФЕРЕ ОБРАЗОВАНИЯ И НАУКИ
УРАЛЬСКИЙ МЕЖДУНАРОДНЫЙ ИНСТИТУТ ТУРИЗМА
Курсовая работа
По дисциплине: «Бизнес - планирование»
Тема: «строительство интернет – кафе.»
Выполнила:
Студентка 5 курса
Очного отделения
505гр.Сафрончева К.Ю.
Проверила: Меньшикова Т.Н.
Оценка______Дата_____
Подпись_____
Екатеринбург, 2010
Введение
Глава 1. теоритические аспекты бизнес – плана.. Ошибка! Закладка не определена.
1.1. понятие и задачи бизнес - плана. Ошибка! Закладка не определена.
1.2.структура и содержание бизнес - плана. Ошибка! Закладка не определена.
1.3. Роль планирования финансово-экономической деятельности предприятий………......
ГЛАВА 2. БИЗНЕС-ПЛАН. СТРОИТЕЛЬСТВО ИНТЕНЕТ - КАФЕ. 3
2.2. Характеристика предприятия. Ошибка! Закладка не определена.
2.3. Исследование и анализ рынка. Ошибка! Закладка не определена.
2.4. Производственная часть Ошибка! Закладка не определена.
2.5. Организационная часть. Ошибка! Закладка не определена.
2.6. Маркетинговая часть. Ошибка! Закладка не определена.
2.7. Финансовый план. Ошибка! Закладка не определена.
2.8. Анализ рисков. Ошибка! Закладка не определена.
Заключение. Ошибка! Закладка не определена.
Список используемой литературы: Ошибка! Закладка не определена.
Введение.
Каждая фирма, начиная свою деятельность, должна ясно представлять потребность на перспективу в финансовых, материальных, трудовых и интеллектуальных ресурсах, источники их получения, а также уметь четко рассчитывать эффективность использования ресурсов в процессе работы фирмы.
При всем многообразии форм предпринимательства существуют ключевые положения, применимые практически во всех областях коммерческой деятельности и для разных фирм. Но необходимые для того, чтобы своевременно подготовиться и обойти потенциальные трудности и опасности, тем самым уменьшить риск в достижении поставленных целей.
Важной задачей является проблема привлечения инвестиций, в том числе и зарубежных, в действующие и развивающиеся предприятия. Для этого необходимо аргументировать и обосновать оформление проектов (предложений), требующих инвестиций. Для этих и некоторых других целей применяется бизнес-план.
Несмотря на все трудности и проблемы, в сфере частного предпринимательства в России заняты уже миллионы людей. Однако бизнес - этот совершенно особая манера жизни, предполагающая готовность предпринимать самостоятельные решения и рисковать. Решив заняться бизнесом, предприниматель должен тщательно спланировать его организацию. Речь идет о бизнес-планах, с которыми во всем мире принято начинать любое коммерческой предприятие. В условиях рынка подобные планы необходимы всем: банкирам и потребителям-инвесторам, сотрудникам фирм, желающим оценить свои перспективы и задачи, и, прежде всего, самому предпринимателю, который должен тщательно проанализировать свои идей, проверить их реалистичность. Собственно говоря, без бизнес-плана, вообще нельзя браться за коммерческую деятельность, т.к. возможность неудачи будет слишком велика.
Каждая фирма, начиная свою деятельность, обязана четко представлять потребность в перспективе в финансовых, материальных, трудовых и интеллектуальных ресурсах, источники их получения, а также уметь точно рассчитывать эффективность использования имеющихся средств в процессе работы фирмы. В рыночной экономике предприниматели не могут добиться стабильного успеха, если не будут четко и эффективно планировать свою деятельность, постоянно собирать и аккумулировать информацию, как о состоянии целевых рынков, положения на них конкурентов, так и о собственных перспективах и возможностях.
При всем многообразии форм предпринимательства существуют ключевые положения, применимые практически во всем областях коммерческой деятельности и для различных фирм, необходимые для того, чтобы своевременно подготовится, обойти потенциальные трудности и опасности.
В связи с этим тема является актуальной.
Цель данной дипломной работы – разработка экономического обоснования целесообразности создания кафе «Rest Time».
Задача работы – ближе познакомиться с методикой подготовки и расчета бизнес-плана работы кафе «Rest Time».
В рыночной экономике бизнес-план является рабочим инструментом, используемым во всех сферах предпринимательства. Бизнес-план описывает процесс функционирования фирмы, показывает, каким образом ее руководители собираются достичь свои цели и задачи, в первую очередь повышения прибыльности работы. Хорошо разработанный бизнес-план помогает фирме расти, завоевывать новые позиции на рынке, где она функционирует, составлять перспективные планы своего предприятия.
Бизнес-план является постоянным документом; он систематически обновляется, в него вносятся изменения, связанные как с переменами, происходящими внутри фирмы, так и на рынке, где действует фирма.
Глава 1. Теоретические аспекты бизнес-плана
В связи с тем, что бизнес-план предоставляет собой результат исследований и организационной работы, имеющей целью изучение конкретного направления деятельности фирмы (продукта или услуг) на определенном рынке и в сложившихся организацинно-экономических условиях, он опирается на:
1. Конкретный проект производства определенного товара (услуг) – создание нового типа изделий или оказание новых услуг (особенности удовлетворения потребностей и т.д.);
2. Всесторонний анализ производственно-хозяйственной и коммерческой деятельности организации, целью которой является выделение ее сильных и слабых сторон, специфики и отличий от других аналогичных фирм;
3. Изучение конкретных финансовых, технико-экономических и организационных механизмов, используемых в экономике для реализации конкретных задач.
Бизнес-план является одним из составных документов, определяющих стратегию развития фирмы. Вместе с тем он базируется на общей концепции развития фирмы, более подробно разрабатывает экономический и финансовый аспект стратегии, дает технико-экономическое обоснование конкретным мероприятиям. Бизнес-план охватывает одну из частей инвестиционной программы, срок реализации которой обычно ограничен одним или несколькими годами (часто корреспондирующими со сроками средне – и долгосрочных кредитов), позволяющей дать достаточно четкую экономическую оценку намеченным мероприятиям.
Бизнес-план является одним из первых обобщающих документов обоснования инвестиций и содержит укрупненные данные о планируемой номенклатуре и объемах выпуска продукции, характеристики рынков сбыта и сырьевой базы, потребность производства в земельных, энергетических и трудовых ресурсах. А также содержит ряд показателей, дающих представление о коммерческой, бюджетной и экономической эффективности рассматриваемого проекта и, в первую очередь, представляющих интерес для участников-инвесторов проекта. Расчеты показателей адаптированы к требованиям и условиям современного отечественного и зарубежного инвестирования.
Бизнес-план является объектом интеллектуальной собственности, предметом коммерческой тайны и подлежит соответствующей защите.
Бизнес-план выступает как объективная оценка собственной предпринимательской деятельности фирмы и в тоже время необходимый инструмент проектно-инвестиционных решений в соответствии с потребностями рынка. В нем характеризуются основные аспекты коммерческого предприятия, анализируются проблемы, с которыми оно столкнется, и определяются способы их решения. Следовательно, бизнес-план – одновременно поисковая, научно-исследовательская и проектная работа.
Не будет преувеличением назвать бизнес-план основой управления не только коммерческим проектом, но и самим предприятием. Благодаря бизнес-плану у руководства появляется возможность взглянуть на собственное предприятие как бы со стороны. Сам процесс разработки бизнес-плана, включающего детальный анализ экономических и организационных вопросов, заставляет мобилизоваться. Целью бизнес-плана может быть получение кредита, или привлечение инвестиций, определение стратегических и тактических ориентиров фирмы и др.
Бизнес-план предусматривает решение стратегических и тактических задач, стоящих перед предприятием, независимо от его функциональной ориентации:
- организационно-управленческая и финансово-экономическая оценка состояния предприятия;
- выявление потенциальных возможностей предпринимательской деятельности, анализ сильных и слабых его сторон;
- формирование инвестиционных целей на планируемый период.
В бизнес-плане обосновываются:
- общие и специфические детали функционирования предприятия в условиях рынка;
- выбор стратегии и тактики конкуренции;
- оценка финансовых, материальных, трудовых ресурсов, необходимых для достижения целей предприятия.
Бизнес-план дает объективное представление о возможностях развития производства, способах продвижения товара на рынок, ценах, возможные прибыли, основных финансово-экономических результатах деятельности предприятия, определяет зоны риска, предлагает пути их снижения. Бизнес-план используется независимо от сферы деятельности, масштабов, собственности и организационно-правовой формы компании. В нем решаются как внутренние задачи, связанные с управлением предприятия, так и внешние, обусловленные установлением контактов и взаимоотношений с другими фирмами и организациями.
1.1. Понятие и задачи бизнес-плана
Бизнес-план – это план осуществления бизнес-операции, действий фирмы, содержащий сведения о фирме, товаре, его производстве, рынках сбыта, маркетинге, организации операций и их эффективности.[1]
Цель разработки бизнес-плана – спланировать хозяйственную деятельность фирмы на краткосрочный и долгосрочный периоды в соответствии с потребностями рынка и возможностями получения необходимых ресурсов.
Задачами бизнес-плана является:
1. сформулировать долговременные и краткосрочные цели фирмы, стратегию и тактику их достижения;
2. определить конкретные направления деятельности фирмы, целевые рынки и место фирмы на этих рынках;
3. выбрать ассортимент и определить показатели товаров и услуг, которые будут предложены фирмой потребителям;
- оценить производственные и непроизводственные издержки;
4. определить состав маркетинговых мероприятий по изучению рынка, стимулированию продаж, ценообразованию и т.п.;
5. финансовое положение фирмы и соответствие имеющихся финансовых и материальных ресурсов возможностям достижения поставленных целей и т.д.
Бизнес-план выполняет следующие основные функции , а именно:[2]
- является инструментом, с помощью которого предприниматель может оценить фактические результаты деятельности за определенный период;
- может быть использован для разработки концепции ведения бизнеса в перспективе;
- является инструментом добывания финансовых ресурсов;
- представляет собой инструмент реализации стратегии предприятия.
Таким образом, бизнес-план позволяет проанализировать возможности деятельности предприятия и обосновать выбор приоритетных целей, т.е. определить стратегию функционирования фирмы.
В зависимости от рыночной ситуации и цели составления бизнес-планы могут быть различны.
Бизнес-планы разрабатываются в различных модификациях в зависимости от назначения: по бизнес-линиям (продукция, работы, услуги, технические решения), по предприятию в целом (новому или уже действующему). Бизнес-план может быть нацелен как на развитие предприятия, так и на его финансовое оздоровление. Также может планироваться деятельность всего предприятия или его отдельного подразделения.
1.2. Структура и содержание бизнес-плана.
Необходимо отметить, что различные экономисты выделяют несколько разные структуры бизнес-планов, однако все они имеют приблизительно одинаковое строение.
Концепция бизнеса (резюме) – это сжатый, быстро читаемый обзор информации о намечаемом бизнесе и целях, которые ставит перед собой предприятие, начиная свое дело или развивая имеющееся.
По сути, концепция является сокращенной версией самого бизнес-плана.
В резюме должны быть отражены следующие основные моменты:
· возможности для бизнеса;
· привлекательность бизнеса;
· важность для предприятия и региона;
· необходимые финансовые ресурсы (собственные или заемные);
· срок окупаемости проекта;
· возможный срок возврата заемных средств;
· условия инвестирования;
· ожидаемая прибыль и ее распределение
и т.д.
Порядок изложения концепции является достаточно свободным, однако ее необходимо начинать с главной цели предлагаемого бизнеса (как правило, получение прибыли) и назначения разрабатываемого бизнес-плана.
Концепция бизнеса (резюме) составляется в конце написания бизнес-плана, однако находится в начале.
В разделе, описывающем ситуацию в настоящее время и дающем краткую информацию о предприятии, отражаются следующие моменты:
· главные события, повлиявшие на появление идей по бизнес-плану;
· главные обстоятельства и проблемы стоящие перед менеджерами;
· состояние на рынке и положение, которого необходимо добиться
· и пр.
Далее в сжатой форме приводится основная информация о предприятии – дата основания, организационно-правовая форма, учредители, юридический адрес и т.п.
В разделе, характеризующем объект бизнеса , необходимо отметить направленность бизнес-плана (продукция, работы, услуги, создание нового предприятия, развитие действующего, финансовое оздоровление).
Также здесь необходимо отметить важность товара для потребителей, его уникальность. Также желательно охарактеризовать функциональные возможности и особенности продукции.
Завершает раздел, описание ключевых факторов, которые должны определить успех предлагаемого бизнеса.
Исследования и анализ рынка направлены на выявление сегодняшних потребителей продукции, услуг и определение потенциальных. В этом разделе желательно определить приоритеты, которыми руководствуется потребитель при покупке: качество, цена, время и точность поставки, сервисное обслуживание и т.п.
Необходимо произвести сегментацию рынка, определить размеры и емкость рынков по продукции предприятия.
Следует проанализировать, как быстро продукция, услуги утвердятся на рынке и обосновать возможности его дальнейшего расширения, а также основные факторы влияющие на это.
Также весьма важным является отслеживание и оценка конкурентов. Необходимо выявить и проанализировать их сильные и слабые стороны.
Необходимо определить возможный объем продаж в натуральном и денежном выражении.
Организационный план разрабатывается только при создании нового предприятия.
Здесь необходимо привести организационную структуру предприятия, в которой четко определены должностные инструкции ведущих менеджеров, их роль в управленческом процессе, а также определяется, как будет осуществляться взаимодействие служб и подразделений.
Кроме этого желательно указать такие факторы как потребность в рабочей силе, условиях труда, организации оплаты труда и т.п.
Подразделом организационного плана является правовое обеспечение деятельности предприятия , в котором приводится вся информация о правовых аспектах деятельности (сведения о регистрации, учредительные документы, форма собственности, законодательные ограничения, патентная защита и т.п.).
В разделе Персонал и управление следует привести информацию о менеджерах и охарактеризовать их управленческие возможности.
Желательным здесь является разработка штатного расписания.
План производства отражает производственный процесс. Если отдельные операции поручаются субподрядчику, то это должно быть указано.
Целесообразно представить производственный процесс с указанием его структуры по трудоемкости.
Необходимо отразить потребность в производственных помещениях и их площадь, а также производственную площадь предприятия. Необходимо указать потребность в дополнительном оборудовании и материальных ресурсах.
По возможности здесь описывается система охраны окружающей среды, утилизации отходов, обеспечение безопасности жизнедеятельности.
Раздел заканчивается расчетом издержек производства и себестоимости производимой продукции.
Особым разделом может быть выделен инвестиционный план , где отражается потребность в инвестициях, а также указывается за счет каких средств будет осуществлено финансирование проекта (собственные и/или заемные средства) и т.п.
План маркетинга – это план мероприятий по достижению намечаемого объема продаж и получению максимальной прибыли путем удовлетворения рыночных потребностей.
Необходимо отразить маркетинговую стратегию развития предприятия. Разрабатывая эту стратегию, целесообразно учесть влияние внешнего окружения (тенденции изменения технологий, запросов и мотивации потребителей и т.д.) в целях адаптации предприятия к меняющимся рыночным условиям путем разработки комплекса маркетинга, включающего товарную, ценовую, сбытовую политику и сервисное обслуживание.
Особое место уделяется стратегии ценообразования, которая базируется на следующих методах:
- полных затрат;
- усредненных затрат;
- предельных затрат;
- стандартных издержек производства;
- прямых затрат (целевой нормы прибыли).
Раздел, описывающий потенциальные риски особенно важен, так как фактор риска оказывает большое влияние на финансово-хозяйственную деятельность предприятия.
Следует учитывать, как минимум, следующие виды рисков:
· производственные, связанные с различными нарушениями в производственном процессе или процессе поставок сырья, материалов и комплектующих;
· коммерческие, связанные с реализацией продукции на рынке не в полном объеме;
· финансовые риски, которые вызываются инфляционными процессами, неплатежами, колебаниями валютных курсов и т.п.;
· риски, связанные с форс-мажорными обстоятельствами, которые могут быть вызваны непредвиденными обстоятельствами (от смены политического курса до стихийных бедствий);
Методы снижения влияния рисков различны, однако наиболее действенным является коммерческое страхования, создание резервного фонда и функционирование предприятия с большим запасом финансовой прочности.
Важной частью практически любого бизнес-плана является финансовый план . Цель финансового плана определить эффективность предлагаемого бизнеса. В данном разделе необходимо отразить:
· общую потребность в инвестициях;
· источники финансирования;
· план доходов и расходов;
· баланс денежных расходов и поступлений;
· потребность в оборотном капитале;
· срок окупаемости проекта;
· отчет по прибыли
а также необходимые финансовые показатели.
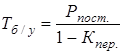
Особое место в финансовом плане следует уделить расчету безубыточности и запаса финансовой прочности.
![]() |
Точка безубыточности рассчитывается по формуле
Тб/у – точка безубыточности;
Рпост . – условно-постоянные расходы;
Кпер . – удельный вес условно-постоянных расходов в объеме продаж.
Запас финансовой прочности представляет собой разницу объема продаж анализируемого года и объема точки безубыточности.
Если разрабатывается план финансового оздоровления, то в этом разделе необходимо рассчитать показатели финансово-хозяйственной деятельности предприятия.[3]
На первое место в данном случае ставится определение личных целей бизнесмена. После оценки ситуации как вне, так и внутри компании определяется главная цель. Затем можно перейти к разработке стратегии, которая представляет собой процесс конкретизации главной цели, разбивку ее на задачи и подзадачи. На каждом этапе реализации выбранной стратегии целесообразно вносить в план определенные коррективы, которые диктует реальный ход событий. Таким образом вырабатывается оперативный план. На основе долгосрочных тенденций и оперативного плана разрабатывается долгосрочный план.
Замысел плана всегда нуждается в тщательном обосновании и проверке на осуществимость. С этой целью его разворачивают в систему частных стратегий: товарно-рыночную, НИОКР, систему развития потенциала и финансовую систему, которая реализуется на втором этапе планирования. Стратегия НИОКР является ведущей. Она выявляет и формирует комплекс разработок, наиболее актуальных для потребителя и соответствующих научно-техническому потенциалу предприятия.
По итогам разработки различных вариантов стратегии уточняются как ожидаемые размеры прибыли, так и потребности в капитальных вложениях. Эта информация поступает на вход финансовой стратегии, предназначенной для окончательного балансирования финансовых потребностей и определения размеров и форм привлечения заемных средств.
На третьем этапе формирования стратегического плана результатные данные по каналам обратной связи поступают на вход замысла плана с целью его корректировки. Окончательный вариант плана вместе с результатами анализа внешней среды, а также возможностей фирм оформляются в виде глобальной стратегии развития.
В целом можно сделать вывод, что перечисленные методики планирования весьма сходны и в основном дополняют друг друга, рассматривают бизнес-планирование с разных сторон и выделяет различные этапы планирования в качестве основных.
Особую роль в формировании бизнес-плана играют планы маркетинга. Раздел, посвященный маркетингу, является одной из важнейших частей бизнес-плана, поскольку в нем непосредственно говорится о характере намечаемого бизнеса и способах реализации проекта, благодаря которым можно рассчитывать на успех предприятия. Иными словами, цель этого раздела – разъяснить как предполагаемый бизнес намеревается воздействовать на рынок и реагировать на складывающуюся на нем обстановку, чтобы обеспечить сбыт товара или услуг. Предприниматель должен представить здесь свой бизнес как привлекательную возможность для инвестиций, как кредитный риск с заманчивыми перспективами. Маркетинг-план может быть сформирован по-разному в зависимости от вида бизнеса и сложности рынка.
Планы маркетинга обязательно включают в себя описание общей стратегии маркетинга, политики ценообразования, тактики рекламы продукции, ее реализации и послепродажного обслуживания, а также прогнозы объемов продаж.
При изложении тактики реализации продукции, целесообразно указать методы реализации ( собственная торговая сеть, торговые представители, посредники), которые фирма могла бы использовать в ближайшее время и в долгосрочной перспективе, а также, любые специальные требования для реализации продукции. В бизнес-плане должно быть указано, как будет проводиться реализация, включая методы, транспортировку, страхование, кредитование, таможенные сборы и др.
В разделе «Реклама» составитель бизнес-плана должен указать, каким образом компания собирается привлекать внимание покупателей к выпускаемой продукции.
Немалое место в бизнес-плане отводится производственному планированию. Нужно, прежде всего, уделить должное внимание анализу продукции или услуг, характерных для данного бизнеса, поскольку вне зависимости от стратегических соображений бизнес не будет успешным, если не обеспечить привлекательность для рынка его товаров и услуг. Одна из задач этой части плана характеристика в сжатой форме основных параметров товаров и услуг, предлагаемых данной фирмой. Важно, чтобы их привлекательные черты были освещены в простой и ясной форме (использование и привлекательность товаров и услуг, их разработка и развитие). Иногда бывает полезно представить список экспертов или потребителей, которые знакомы с упомянутым товаром или услугами и могут дать о них благоприятный отзыв. Такие сведения могут быть представлены в форме письма или отчета и включены в виде приложения.
Основной целью производственного плана является предоставление информации по обеспеченности с производственной стороны выпуска продукции и разработка мер по поддержанию и развитию производства. В этот раздел необходимо включить такие сведения, как местоположение предприятия, виды требуемых производственных мощностей, необходимые производственные помещения, потребность в основных производственных фондах и рабочей силе.
В финансовом плане рассматриваются вопросы финансового обеспечения деятельности фирмы и наиболее эффективного использования имеющихся денежных средств на основе анализа текущей финансовой информации и прогноза объемов реализации продукции на рынках в последующие периоды. Цель финансового плана – сформулировать и представить всеобъемлющую систему формулировок и проектировок, отражающих финансовые результаты деятельности компании. Этот раздел является наиболее важным для инвестора, т.к. именно из него он узнает, на какую прибыль он может рассчитывать.
В финансовый план обязательно включается оперативный план, отчет о доходах, отчет о денежных потоках и балансовый отчет.
Кратко охарактеризуем их. Оперативный план (отчет) отражает результаты взаимодействия фирмы и ее целевых рынков по каждому товару и рынку за определенный период. На фирме этот документ разрабатывается службой маркетинга. Совокупность показателей, предоставленная в оперативном плане, позволяет продемонстрировать руководству компании, какая доля рынка занята фирмой по каждому товару и какую предполагается завоевать в перспективе. Показатели определяются по каждому виду товара или услуги, что позволяет сравнивать их между собой по экономической эффективности. Такой прогноз обычно составляется на три года вперед, причем данные для первого и второго года следует приводить поквартально, т.к. для начального периода времени точно известны будущие покупатели продукции. На каждый отчетный период рассматриваемая совокупность показателей рассчитывается на основе специального рыночного исследования. Это важно для последующего планирования закупок оборудования, затрат на рекламу и наем работников.
Таким образом, рассмотрев цели и сущность планирования, а также различные аспекты практики составления бизнес-планов, можно сделать заключение, что бизнес-план является неотъемлемой частью внутрифирменного планирования, одним из важнейших документов, разрабатываемых на предприятии.
1.3. Роль планирования финансово-экономической деятельности предприятий
В настоящее время в России бурно протекает процесс формирования и совершенствования работы действующих предприятий различных форм собственности. Планирование является важнейшей частью предпринимательской деятельности.
Понятие «планирование деятельности фирмы» имеет два смысла.
Первый – общеэкономический, с точки зрения общей теории предприятия, ее природы.
Второй – контрольно-управленческий. Здесь планирование – одна из функций менеджмента, умение предвидеть будущее предприятия и использовать это предвидение.
Обе стороны планирования тесно связаны между собой. Возможность планирования, как конкретного вида деятельности, вытекает из природы фирмы, напрямую определяется общими условиями хозяйствования.
Как показала практика, применение планирования создает важные преимущества:
· делает возможной подготовку к использованию будущих благоприятных условий;
· проясняет возникающие проблемы;
· стимулирует менеджеров к реализации своих решений в дальнейшей работе;
· улучшает координацию действий в организации;
· создает предпосылки для повышения образовательной подготовки менеджеров;
· увеличивает возможности в обеспечении фирмы необходимой информацией;
· способствует более рациональному распределению ресурсов;
· улучшает контроль в организации.
Можно было бы предположить, что планирование ведет к достижению фирмой экономического успеха, который может быть выражен в высоких величинах оборота, прибыли, роста и других впечатляющих финансовых показателях. Некоторые специалисты по планированию пытаются найти конкретные примеры, которые могли бы подтвердить такую зависимость. Однако дальше отдельных предположений дело обычно не идет. Напротив, как показывает опыт, быстрый рост и большой успех фирмы очень часто не связаны с формальным планированием, а скорее являются следствием предпринимательского таланта, энергичного и решительного руководства фирмой. Более того, многие предприятия, в том числе и российские, начинают применять планирование в тот период своего развития, когда уже прошел этап бурного роста, когда проявляются проблемы в закреплении достигнутого успеха, обеспечении стабильности.
Для российских предприятий можно очертить две сферы, нуждающиеся в применении планирования:
1. Вновь созданные частные фирмы. Бурный процесс накопления капитала привел к увеличению и осложнению деятельности многих из этих фирм, а также к возникновению других факторов, создающих потребность в формах планирования, адекватных современному рыночному хозяйству. Главная проблема, связанная с применением планирования в этой сфере, - недоверие к формальному планированию, основанное на мнении, что бизнес это умение «крутиться», правильно ориентироваться в текущей обстановке, а отсюда недостаточное внимание даже к не очень отдаленному будущему. Тем не менее, многие из крупных фирм начали создавать подразделения планирования, или, по крайней мере, ввели должность финансиста-плановика.
2. Государственные и бывшие государственные, ныне приватизированные предприятия. Для них функция планирования является традиционной. Однако их опыт планирования относится в основном к периоду централизованной экономики. Отсюда планирование на этих предприятиях носило вторичный характер, отражало плановую деятельность на центральном и отраслевом уровнях, и, следовательно, не предполагало серьезного умения анализировать и предвидеть собственные цели развития.
Поэтому, как организациям первого типа, так и государственным и приватизированным предприятиям необходимо заново осваивать опыт внутрифирменного планирования.
Современный рынок предъявляет серьезные требования к предприятию. Сложность и высокая подвижность происходящих на нем процессов создают новые предпосылки для более серьезного применения планирования. Основными факторами возрастающей роли планирования в современных условиях являются:
· увеличение размеров фирмы и усложнение форм ее деятельности;
· высокая нестабильность внешних условий и факторов;
· новый стиль руководства персоналом;
· усиление центробежных сил в экономической организации;
Возможности планирования в экономической организации предприятия ограничены рядом объективных и субъективных причин. Наиболее важными из них являются:
· неопределенность внешней (рыночной) среды;
· возможность слияния или поглощения другой фирмой;
· возможность монопольного установления цены реализации продукции;
· контрактные отношения;
Но в качестве выхода из такого положения можно предложить развитие и более тесное активное взаимодействие менеджеров и плановиков, как в процессе плановой деятельности, так и в обсуждении общих вопросов работы фирмы.
ГЛАВА 2. БИЗНЕС-ПЛАН. СТРОИТЕЛЬСТВО ИНТЕРНЕТ - КАФЕ.
2.1. Резюме проекта
Сегодня в России рестораны высокой ценовой категории не пользуются особой популярностью – их посещает примерно 2% населения.
Зато заведения с демократичными ценами - излюбленное место молодежи и людей со средними доходами. Для них ресторан не является чем-то пафосным, это просто место, где можно весело провести время с друзьями, и не нужны для этого изысканные блюда и французские скатерти. Поэтому, в ближайшее время развиваться будут именно такие заведения.
Основной опасностью ресторанного бизнеса является банкротство. Очень часто неспециалисты открывают ресторан, в надежде нанять профессионального управляющего. Но, к сожалению, таковых в нашей стране практически нет. Так же, как и проблема найти хорошего повара, официантов и маркетологов. Люди не понимают, во что ввязались, они даже не могут составить бизнес-план, и в результате – разорение.
Владельцам ресторанов необходимо научиться находить общий язык с любыми посетителями, ни в коем случае не допускать конфликтов. Если гость оказался хамом, в следующий раз его просто не нужно пускать. Хороший выход – завести клубные карточки – нет карты, значит, извините, пустить не можем.
Еще недавно для российских посетителей на первом месте было то, как их обслужат - постсоветскому человеку хотелось, чтоб за ним ухаживали. Но сегодня люди научились ценить кухню и вино, поэтому рестораторам необходимо именно этому уделять больше внимания.
Хочется сказать также о помещениях для ресторанного бизнеса – 90% из них арендуются, т.е. большую часть денег владелец платит за то, что ему не принадлежит. Вообще, арендовать помещение для ресторана очень сложно – нет определенных правил и нормативов, как это сделать в жилых домах. Местные власти могут только посоветовать, самим пытаться договариваться с жильцами.
И, наконец, основная тенденция успеха ресторанного бизнеса без вкладывания больших денег, это придумать новую концепцию, которая привлекала бы покупателей при небольших затратах и невысокой квалификации персонала.
| Наименование |
Кофейня «Rest Time» |
| ФИО руководителя |
Сафрончева Ксения Юрьевна |
| Цель создания фирмы |
Получение максимальной прибыли, удовлетворение потребностей потребителей |
| Вид деятельности |
Услуги питания |
| Сегмент рынка |
Все группы потребителей |
| Форма собственности |
Индивидуальный предприниматель |
| Площадь предприятия |
100 кв. м. |
| Место реализации |
г. Каменск-уральский, ул. Каменская, 11 |
| Конкуренты |
«Cookers», «Pizza Mega», |
| Вид рекламы |
Листовки, наружная реклама |
| Стоимость проекта |
1244103,1 |
| Сумма кредита |
1400000 (40% годовых) или 116666 в мес. |
| Численность работников |
12 человек |
| Срок окупаемости |
5 – 12 месяцев |
2.2. характеристика предприятия.
В настоящее время изменился темп жизни. Многие люди не имеют времени на приготовление еды, некоторым даже не удается выпить чашку бодрящего кофе с утра. Тем, кому необходима подзарядка в течение дня, обращаются к кофе, оно наполняет нас энергией и настраивает на рабочий лад. Покупать кофе из автомата, не самый лучший вариант: пить из пластиковых стаканчиков неудобно, лучше посетить кофейню «Rest Time». В нашей кофейне вы будете чувствовать себя как дома, за счет уютной обстановки и вкусной еды. А чашка горячего напитка поможет вам расслабиться, погрузившись в мир запахов и ароматов настоящего кофе.
Кофейня «Rest Time» создается с целью быстрого и качественного обслуживания посетителей, с максимальным вниманием к нему и предложением самого лучшего кофе в городе. В начале, наш ассортимент готовых блюд будет не особенно широк, однако со временем планируется расширение меню. Все блюда приготавливаются только из натуральных продуктов.
В будние дни основными посетителями нашего кафе будут студенты, школьники, работники различных организаций. В выходные и праздничные дни наше кафе прекрасно подходит для отдыха всей семьей.
Суть данного проекта заключается в том, чтобы обеспечить население ароматным, вкусным кофе и всегда качественно приготовленной пищей.
Итак, в результате осуществления проекта будет построено интернет – кафе в г. Каменск – Уральском на 10 посадочных мест, ориентированный на средний уровень дохода населения.
Кафе будет предлагать следующие услуги:
1. Услуги быстрого общественного питания;
2. Бесплатный доступ к интернету через Wi-Fi;
3. Развлечения (прослушивание музыки);
4. Обслуживание небольших корпоративов.
Основные конкурентные преимущества:
1) Расположение в части города, шде нету аналогичных кафе;
2) Новое здание с современной отделкой и привлекательным видом, а также наличие современного оборудования.
3) Представлен необходимый спектр услуг по доступным ценам и высокого качества;
Цель проекта: обеспечение качественного обслуживания клиентов кафе;
Миссия компании –. Мы формируем культуру здорового питания, семейного и коллективного отдыха, развивая сеть кафе, с учетом многообразия вкусов и потребностей жителей нашего города.
Целью создания бизнес плана является инструментом получения финансовой поддержки от внешних инвесторов, кредиторов или партнеров. Он содержит ориентир, как должно развиваться создаваемое предприятие, чтобы оно приносило прибыль.
2.3. исследование рынка.
Проанализируем основные кафе г. Каменск - Уральского (с аналогичными видами услуг.). – они являются нашими конкурентами в отрасли размещения( см.табл.ниже).
Так как кофейня будет располагаться в части города, далеко от конкурентов, а конкретно – на ул.Каменская,11 , преимуществом такого расположения является непосредственная отдаленность от конкурентов, предлагающих аналогичные товары и услуги. Но нельзя не учитывать их. Конкурентами в городе будут являться:
- Кофейня «Cookers»;
- Кофейня «Pizza Mega»;
| Факторы |
« Rest Time » |
Конкуренты. |
|
| « Cookers » |
« Pizza Mega » |
||
| Качество |
высокое. |
низкое |
высокое |
| Местонахождение |
Располагается в части города, где нет подобных кафе. |
Располагается в центре города |
Располагается недалеко от центра города. |
| Уровень цен |
Средний |
высокий |
средний |
| Ассортимент |
Широкий |
Широкий |
Очень широкий |
| Репутация фирмы |
Фирма новая |
Фирма известная, не много клиентов, т.к. качество низкое. |
Фирма известная, имеются постоянные клиенты |
Так как внешняя и внутренняя среда изменяются под воздействием деятельности предприятия, так и других факторов, то необходимо выявить ограничения, сильные и слабые стороны предприятия в изменяющейся среде. И на основе полученных результатов предприятие должно внести изменения в выбранную стратегию. Выявить и соотнести между собой ограничения и возможности, сильные и слабые стороны предприятия поможет SWOT- анализ.
| Кофейня « Rest Time |
Конкурент 1 «« Cookers » |
Конкурент 2 « Pizza Mega » |
|
| Сильные стороны |
Современное оборудование, удобное место расположение, высокое качество товара, невысокие цены, высокий уровень обслуживания |
Достаточно широкий ассортимент, выгодное месторасположения; обустроенность для детей Большая проходимость. |
Хорошая репутация у покупателей, удобное расположение; очень широкий ассортимент. Большая проходимость. |
| Слабые стороны |
Еще не сформировавшийся имидж кофейни, отсутствие постоянных клиентов. |
Низкое качество питания; Высокие цены; |
Низко развита кафе (больше развита обслуживание на дом) |
| Возможности |
Расширение ассортимента, привлечение инвесторов, постоянные поставщики. |
Улучшить качество продукции, замена оборудования, проведение рекламной компании |
Переход к более эффективным стратегиям. |
| Угрозы |
Изменение потребительских предпочтений, появление новых конкурентов. |
Возможность появления новых конкурентов, неудовлетворенность клиентов качеством продукции, |
Неудовлетворенность клиентов качеством продукции, изменение потребительских предпочтений, |
Итак, из таблицы видно, что главными конкурентными преимуществами нашего проекта являются открытие кофейни, которая будет представлять большой ассортимент продукции, высокое качество и уровень обслуживания.
| ПРИЗНАК |
СЕГМЕНТ |
ПРОФИЛЬ С |
| Демографический |
||
| Возраст |
Ребенок (от 0 до 18) Взрослый (от 18 до 35) Средний возраст ( от 35 до 55) |
Для этого сегмента важно здоровое и вкусное питание. А главное не дорогое. Они смотрят на соотношения цены – качество .С сегодняшним ритмом жизни нужно быстрое обслуживание. |
| Пол |
М |
Мужчины предпочитают более калорийную пищу. |
| Ж |
Женщины предпочитают спокойные цвета, комфорт. Они следят за своим питанием, более привередливы к пище. |
|
| Уровень доходов |
Низкий |
Выбирают более низкие цены. Стараются не посещать такие места |
| Средний |
Люди более экономны в затрате средств, но склонные выдвигать требования к качеству, уюту. Посещают кафе быстрого питания |
|
| Высокий |
Люди ценят комфорт и качество. Для них главное, чтоб все было по «высшему классу». Редко посещают такие кафе. |
|
| Поведенческий |
||
| Повод для совершения услуги |
Потребность |
Люди желают поесть вне дома. |
| Желание |
Желание отдохнуть, пообщаться с друзьями. |
|
| Интерес |
Люди интересуются новыми открытиями |
|
| Интенсивность потребления |
Часто |
Часто услугами кафе пользуются студенты, школьники, семейные пары с детьми. |
| Редко очень редко |
Редко услугами кафе пользуются люди среднего возраста, пенсионеры, люди с низким уровнем дохода |
|
| Психографический |
||
| Тип личности |
Интроверт |
Интроверты выберут тихий места. Они редко посещают кафе. |
| Экстраверт |
Экстраверт наоборот любят людные места. Они готовы тратиться и им нужны дополнительные услуги. |
|
| Интересы |
Семья |
Семейный человек будет посещать кафе с семьей. Будет заказывать по многу ( возможны получение скидок) |
| Работа |
Человек «рабочий» будет ценить быстроту и качество обслуживания. |
|
| Отдых |
Человек будет ценить уютность и комфортность. |
|
Мне кажется что кафе быстро приобретет популярность в городе так как, такие кафе - это идеальное место для отдыха и веселого время проведения.
С сегодняшним ритмом жизни такие кафе с каждым годом становяться популярнее.
2.4. Производственная часть
Площадь помещения на 10 посадочных мест должна составлять от 100 кв.м.
Помещение будет расположено в той части города, где нет рядом конкурентов.
Персонал. Численность персонала – 12 человек (2 повара, 2 подсобных рабочих, 1 администратора, 2 официантов, 2 бармена, 1 управляющий, 1 бухгалтер, 1 уборщица). Рекомендуемая оплата труда – сдельно-премиальная.
2.5. Организационная часть.
Организационная структура:
![]() |
Сотрудников будут принимать на конкурсной основе, с учетом личных качеств и опыта работы. Так как бизнес предполагается семейный, и квалификационные качества членов семьи идеально подходят по нанимаемым должностям.
Так как проектируемое предприятие относится к сфере обслуживания, то планируемый график работы с 10.00 до 23.00. Таким образом, режим работы барменов, официантов и поваров, кухонных работников и администраторов устанавливается два через два, с 10.00 до 23.00. Режим работы административно-управленческого персонала с 10.00 до 18.00 с перерывом на обед пять дней в неделю.
| Должность |
Количество чел. |
Зарплата за 1 чел, руб |
Зарплата всего, руб |
| Управляющий |
1 |
15000 |
15000 |
| Администратор |
1 |
11000 |
11000 |
| Главный бухгалтер |
1 |
9000 |
9000 |
| Повар |
2 |
10000 |
20000 |
| Уборщица |
1 |
5000 |
5000 |
| Официант |
2 |
9000 |
18000 |
| Бармен |
2 |
8000 |
16000 |
| Подсобный рабочий |
2 |
7000 |
14000 |
| Итоги: |
12 |
108000 |
2 .6. Маркетинговая часть .
В данном разделе представлен следующий план маркетинговых действий, которого будет придерживаться руководство отеля:
-высокое качество предоставляемых услуг;
-совершенствование услуг;
-определение цены на услуги на основе издержек.
-использование гибких цен в зависимости от спроса и цен конкурентов;
-информирование клиентов о внесении изменений в услуги, их усовершенствование.
Выбор метода ценообразования студии основан на заранее определенном размере прибыли, поэтому при планировании цены использован метод ценообразования: средние издержки+прибыль. Прибыль закладывается на уровне 30% от издержек. Спрос на данные услуги эластичен, так как реакция клиентов на снижение цены будет выражаться в увеличении объемов заказов.
Основная стратегия развития: интенсивный рост, направленный на глубокое внедрение в структуру рынка, совершенствование услуги, рост объемов оказываемых услуг.
Гостиничный бизнес сегодня одна из наиболее перспективных и быстроразвивающихся отраслей, приносящий по всему миру многомиллионные прибыли. Гостиничный бизнес несет в себе огромный потенциал для российского рынка, способный приносить устойчивый доход в федеральный бюджет.
Разработка услуг
Предполагается постоянное увеличение ассортимента и качества предоставляемых услуг. В начальный период деятельности кафе, цены будут близкими к рыночным ценам кафе аналогичного класса, затем по мере улучшения качества услуг, цена будет соответственно повышаться. Уровень цен предполагается в диапазоне от 500рублей до 1000р.
Продвижение гостиничных услуг
Для обеспечения стабильной заполняемости гостиницы предполагается проведение рекламы гостиницы через печатные издания и через Интернет; заключение договоров с турагентствами на размещение небольших групп туристов.
Предполагается использовать наиболее популярные в гостиничном бизнесе методы:
продвижения продукции:
- Печатная и рекламная продукция
- Веб-сайты и Интернет;
- Компании стимулирования продаж, имеющие решающее значение в
гостиничных ресторанах и барах. Сюда входят различные брошюры,
раздаточные материалы, презентации услуг гостиницы;
- Рассылка материалов по почте потенциальным клиентам компании;
- Уличная реклама, яркая вывеска, дорожные указатели.
Для того, чтобы успешно продвигать услуги нашей гостиницы, следует помнить о том, что акцент будет не на самой услуге, а на преимуществах, которые наг клиент от нее получит. Далее, следует обязательно организовать соответствие между подачей информации об услуге клиентам и реальным предоставлением этой услуги. Иначе клиент может потерять доверие к нашей гостинице, как к производителю услуги. По данным исследований, проведенных западными социологами, 82 % потребителей отказываются от посещения гостиницы вновь, если им не понравился сервис. Это говорит о том, что основной причиной потери клиентов, а следовательно, прибыли является именно некачественное обслуживание.
Как способами для привлечения и удержания клиентов могут быть следующие услуги:
1. Предоставление бесплатного интернета;
2. Обслуживание корпоративов и других праздников на небольшие количества мест;
3. Возможность заказа на дом по телефону и интернет;
4. Накопление баллов постоянным клиентам.
2.7. Финансовая часть.
Какие расходы планируються в первое время:
| наименование |
Сумма расходов. |
комментарии |
| Оборудование |
от 300 тыс. руб. |
Оборудование может быть разной комплектации, отечественного либо импортного производства. Отсюда и стоимость комплекта может значительно отличаться. Минимальный набор включает в себя: холодильную камеру, плиту, жарочный шкаф, 2 разделочных стола, мойки |
| Оформление интерьера |
От 150 тыс. руб. |
будет зависеть от вашей фантазии |
| Мебель для зала |
от 270-300 тыс. руб. |
Включает в себя: барная стойка, столы, стулья, вешалки, муз. центр, и т.п. |
| Посуда |
От 40 тыс. руб. |
|
| Продукты |
~ от 250-400 тыс. руб. |
Стоимость будет зависеть от предлагаемого меню. Хорошую экономию на площадях, оборудовании и персонале может принести покупка полуфабрикатов. |
| Фонд оплаты труда (включая отчисления в соц. фонды) |
~ 250 тыс. руб. |
+ премии. |
| оплата коммунальных услуг, охраны, программного обеспечения, прочих хозяйственных расходов. |
~ от 300 тыс. руб. |
Ежемесячные выплаты. |
Прибыль. Средняя прибыль с одного посетителя такого кафе будет равна 350 рублям днем и до полутора тысяч рублей в вечернее время. Прибыль кафе – от 1,2 млн.
Окупается кафе в течение 5-12 месяцев.
Вывод: в целом можно сказать, что данный проект инвестиционно привлекательный, т.к. предполагается что год от года кафе будет расширятся, открывать филиалы, увеличивать ассортимент, вводить новые услуги, а следовательно увеличатся и объемы продаж и возрастет прибыль, что является главным для инвестора. Данный проект хорош тем, что в отличие от конкурентов кофейня «Rest Time» предлагает низкие цены на свою продукцию, высокое качество и оригинальное меню, а также использует высокотехнологичное оборудование. Настоящий проект является еще и выгодным, т.к. объем затрат данной фирмы не большой и сумма результатов по проекту значительно больше, чем сумма вложенных средств.
2.8. Анализ рисков
1. Возможные риски и источники их возникновения:
1 Коммерческие риски:
- риск, связанный с реализацией товара
- риск, связанный с доставкой товара
2 Политические риски:
- риск, связанный с политической обстановкой в стране (забастовки, войны)
2. Источники возникновения рисков:
- недостаточное изучение рынка сбыта
- недооценка конкурентов
- падение спроса на товар
3. Меры по сокращению риска
- детальное изучение рынка
- анализ финансово-хозяйственной деятельности предприятия
- страхование имущества
Заключение
Главной целью проектируемого предприятия является проникновение на рынок и последующее расширение рыночной доли. Главной стратегией предприятия должна стать комплексная стратегия по предоставлению продукции более высокого качества и по приемлемым ценам, а также расширение ассортимента услуг. Исходя из этого, стратегией маркетинга избирается стратегия расширения спроса за счет стимулирования объема продаж, ценовой политики и неценовых факторов конкурентной борьбы, создание положительного имиджа кафе.
Разработав данный бизнес-план, ясно, что открытие кофейни и занятие данным бизнесом является весьма прибыльным делом, и реализация проекта по открытию кофейни «Ваниль» является экономически целесообразным.
Просчитав все показатели можно сделать выводы, что данный проект является эффективным.
Список используемой литературы:
1. http://www.h-1.ru
2. http://www.sdmhotel.ru/avtomatiz.htm
3. http://tourlib.net - электронная библиотека по туризму
4. http://www.patrimony.ru/oblast/page203/polevskoy/
5. http://www.mygel.ru/2010-08-23/industriya_gostinichnogo_biznesa
6. http://www.pitportal.ru/vestnik/section160/8631.html
7. http://hotel.balkish.org/?p=14
8. Постановление правительства РФ от 5.08.92 № 552 «Об утверждении положения о составе затрат по производству и реализации продукции , включаемых в себестоимость и о порядке формирования финансовых результатов, учитываемых при налогообложении прибыли».
9. Аникеев С.А. Методика разработки плана маркетинга. Сер. «Практика маркетинга» – М.: Форум, Информ-Студио, 1996. – 128 с.
10. Балабанов И.Т. Основы финансового менеджмента. Как управлять капиталом – М.: Финансы и статистика, 1996. – 384 с.
11. Берл Густав и др. Мгновенный бизнес-план. Двадцать быстрых шагов к успеху / Пер. с англ./.- М.: Дело ЛТД, 1995. – 183с.
12. Бизнес-план. Методические материалы. Под редакцией профессора Р.Г. Маниловского. - М.: Финансы и статистика, 1995.-156 с.
13. Вайсман А. Стратегия маркетинга: 10 шагов к успеху. Стратегия менеджмента: 5 факторов успеха. – М.: АО Интерэксперт, Экономика, 1995 – 166 с.
14. Винокуров В.А. Организация стратегического управления на предприятии. – М.: Центр экономики и маркетинга, 1996 –160 с.
15. Горохов Н.Ю., Малев В.В. Бизнес-планирование и инвестиционный анализ. – М.: Информационно-издательский дом Филинъ, 1998 – 208 с.
16. Грибалев Н.П., Игнотов И.П. Бизнес-план. Практическое руководство по составлению. С. Петербург: Белл, 1994 – 203с.
17. Ковалев В.В. Анализ финансового состояния и прогнозирование банкротства. – С.Петербург, 1994 – 250 с.
18. Котлер Ф. Основы маркетинга. – М.: Прогресс, 1990 – 734с.
19. Липсиц И.В. Бизнес-план – основа успеха. - М.: Машиностроение, 1992 – 80с.
20. Пелих А.С. Бизнес-план. – М.: Ось –89, 1996.-96 с.
21. Сухова Л.Ф. и др. анализ финансового состояния потребительской кооперации. Учебно-практическое пособие. – Ставрополь: БУПК СКИ, 1997. –33с.
22. Сухова Л.Ф., Чернова Н.А. Методические указания по выполнению курсовой работы по курсу « Менеджмент» для студентов, обучающихся по специальности 061100 « Менеджмент» – Ставрополь: ЦНТИ, 1997. – 59 с.
23. Трубицин В.А. Успех и бизнес-план. – Ставрополь: ГП ИТФ Ставрополье, 1997.–174 с.
[1] Райзберг Б.А., Лозовский Л.Ш., Стародубцева Е.Б. Современный экономический словарь-2-е изд., исправ.-М.: ИНФРА-М, 1998.- с.35.
[2] См., например, Уткин Э.А. Бизнес – план. Организация и планирование предпринимательской деятельности. – М.: Ассоциация авторов и издателей «Тандем». Издательство ЭКМОС, 1997. – с.10.
[3] См., например, Ковалев В.В. Финансовый анализ: управление капиталом. Выбор инвестиций. Анализ отчетности.-2-е изд., перераб. и доп.-М.: Финансы и статистика, 1997.-с. 475.

