| Скачать .docx |
Реферат: Инвестиции и инновации. Современные особенности принятия инновационно - инвестиционных решений
Содержание
Введение …………………………………………………………………………. 3
1. Теоретическая часть………………………………………………………… 6
1.1. Инвестиции и инновации ……………………………………………….... 6
1.2. Современные особенности принятия инновационно - инвестиционных решений …………………………………………………………………… 9
1.3. Практические вопросы реализации инновационных и инвестиционных проектов ……………………………………………………………….... 25
Заключение ……………………………………………………………………… 32
2. Расчетная часть …………………………………………………………..... 31
Задача 1 …………………………………………………………………………. 35
Задача 2 …………………………………………………………………………. 38
Задача 3 …………………………………………………………………………. 41
Список литературы ……………………………………………………………... 46
Инновационный процесс охватывает цикл отработки научно-технической идеи до ее реализации на коммерческой основе. Инновационные процессы в большей степени, чем другие элементы НТП, связаны с рыночными отношениями. Основная масса инноваций реализуется в рыночной экономике предпринимательскими структурами как средство решения производственных и коммерческих задач.
Инновационная деятельность составляет стержень интенсификации народного хозяйства, поэтому для нашей страны изучение этих вопросов представляет особенно большой интерес, т.к. отечественная экономика, перестраиваясь в целом, требует перестройки инновационной политики. На первый план выходит проблема привлечения необходимых инвестиций, в этой связи существенно возрастает значение прединвестиционных исследований. Отсутствие соответствующего опыта по оценке и учету риска в процессе принятия решений об инвестировании инновационных проектов сделали работу в данном направлении особенно актуальной.
Однако переходный характер современного этапа экономического развития обусловливает специфику организации инновационной деятельности, которая не позволяет автоматически перенести опыт Запада в нашу практику. Необходимы собственные отечественные исследования проблем нововведений и путей их решения применительно к условиям функционирования инновационных процессов в нашей стране.
Инвестирование представляет собой один из наиболее важных аспектов деятельности любой развивающейся организации. Причины, обусловливающие необходимость инвестиций, могут быть различными, однако в целом их можно подразделить на три вида: обновление имеющейся материально-технической базы, наращивание объемов производственной деятельности, освоение новых видов деятельности.
Любой инвестиционный проект может быть охарактеризован с различных сторон: финансовой, технологической, организационной, временной, экологической, социальной и др. Каждая из них по-своему важна, однако финансовые аспекты инвестиционной деятельности во многих случаях имеют решающее значение.
Целью данной курсовой работы является разработка теоретических, методических положений и практических рекомендаций по совершенствованию системы оценки инновационных проектов и их инвестиционной привлекательности и выработка научно обоснованного подхода к принятию решений по управлению инвестиционными ресурсами в инновационной деятельности.
Для достижения указанной цели в диссертационной работе были поставлены и решены следующие задачи:
- проведен анализ основных элементов различных критериев оценки инвестиционных проектов;
- формализована задача управления инвестиционными ресурсами в инновационном процессе и разработана концепция (построена модель) процесса принятия инвестиционного решения для инновационных проектов на основе их инвестиционной привлекательности;
- в рамках системы поддержки принятия решений разработан алгоритм принятия решения в области инвестирования инновационных проектов на основе оценки их инвестиционной привлекательности;
Теоретической и методической основой работы являются опубликованные результаты научных исследований отечественных и зарубежных ученых и специалистов по проблемам финансирования инновационных проектов и создания условий для усиления инновационной активности, нормативные акты и регламентирующие документы Президента РФ, Правительства РФ и Федерального Собрания РФ, инструктивные и методические материалы по вопросам формирования организационных структур, материалы научно-практических конференций и семинаров по теме исследования, опубликованные в отечественной и зарубежной научно-технической литературе и периодической печати.
Использовались также официальные материалы Госкомимущества РФ, Госкомстата РФ, Минфина РФ, Банка России и ряда других ведомств, статистические и фактические данные, оценки, прогнозы и аналитические материалы исследователей российских академических институтов и учебных центров, информационных агентств, российских и зарубежных консультационных фирм, инвестиционных компаний, предприятий и банков.
Объектом исследования является инновационная деятельность крупных финансово-промышленных комплексов на современном этапе развития экономики. Предметом исследования выступает процесс принятия решения об инвестировании инновационных проектов крупными инвестиционными институтами.
1. ТЕОРЕТИЧЕСКАЯ ЧАСТЬ
Многие нововведения требуют финансовых затрат, вложений капитала в новые здания, сооружения, станки, оборудование, запасы сырья и материалов, используемых в производстве. Следует финансировать научно-техническую деятельность, проведение исследований и проектирования изделий и технологических процессов. Необходимо оплачивать работы сотрудников на начальном этапе, рекламную кампанию и др. Например, речь идет о строительстве нового завода. Основное при принятии решения - выяснение финансовой выгодности или невыгодности будущего предприятия. Нельзя забывать, скажем, и о социальном окружении: с одной стороны, появятся новые рабочие места (легко ли будет их заполнить?), с другой стороны, население может выступить против проекта, сочтя его экологически вредным. В соответствии с Законом РФ "Об экологической экспертизе" любая намечаемая хозяйственная или иная деятельность рассматривается как имеющая потенциальную экологическую опасность, а потому любая такая деятельность подлежит государственной экологической экспертизе (за счет заказчика). Только при ее положительном заключении разрешается финансирование и кредитование проекта.
Инвестиционные проекты выделяются среди инновационных тем, что для них весьма важной является финансовая сторона. Инвестиционные проекты могут разрабатывать не только частные предприятия, но и государственные. Так, изменение налоговой системы - тоже инвестиционный проект
Введем основные понятия, используемые в дальнейшем.
С экономической точки зрения инвестиционные проекты описываются потоками платежей, т.е. функциями от времени, значениями которых являются затраты (и тогда значения этих функций отрицательны) и поступления (значения функций положительны). Как правило, вначале необходимо вкладывать деньги (производить затраты), а затем за счет поступлений возмещать затраты и получать прибыль. Однако возможны и ситуации, когда завершение проекта (например, закрытие атомной электростанции и утилизация отработанного ядерного топлива) требует существенных вложений.
В конкретный промежуток времени обычно происходят как поступления, так и платежи. Как элемент финансового потока рассматривается итоговый результат, т.е. поступления минус платежи. Этот результат может быть как положительным, так и отрицательным.
В финансовом плане, когда речь идет о целесообразности принятия того или иного инвестиционного проекта, необходимо получить ответы на три вопроса:
а) каков необходимый объем финансовых ресурсов?
б) где найти источники финансирования (кредитования) в требуемом объеме и какова цена их услуг?
в) окупятся ли сделанные вложения, т.е. достаточен ли объем прогнозируемых поступлений по сравнению со сделанными инвестициями?
Ответ на первый вопрос определяется инженерной сутью проекта и выражается в виде финансового потока, обоснованного в бизнес-плане. Ответ на второй вопрос зависит от конкретной ситуации на финансовом рынке. Для ответа на третий вопрос необходимо от финансового потока как функции от времени перейти к той или иной его обобщенной характеристике. Такой переход целесообразен также при сравнении различных проектов.
Обсудим подходы к сравнению инвестиционных проектов. Прежде всего, отметим, что сравнение инвестиционных проектов - это сравнение функций от времени. Кроме того, имеется внешняя среда, которая проявляется в виде дисконт-функции как результата воздействия СТЭЭП-факторов (т.е. социальных, технологических, экономических, экологических и политических факторов), и представлений инвестора. Общая дисконт-функция определяется совместным действием реальной процентной ставки и индекса инфляции. Эти априорные представления проявляются в основном в виде ограничений на потоки платежей и на горизонт планирования, рассматриваемый лицом или лицами, принимающими решения.
1.2. Современные особенности принятия инновационно - инвестиционных решений
Выбирая для реализации тот или иной инвестиционный проект, мы сравниваем потоки платежей. При этом ситуация с инвестиционными проектами проще, поскольку мы можем существенно более точно предсказать моменты и размеры будущих поступлений и платежей для конкретного проекта.

Рис. 1. Алгоритм принятия решения о внедрении инвестиционной деятельности.
Существует алгоритм принятия решения о внедрении инновационного проекта с детализацией некоторых его этапов (см. рисунок 1). Процесс принятия решения о внедрении инновационного проекта является сложной, многокритериальной задачей, требующей выполнения широкого диапазона требований, предъявляемых жесткими условиями рыночной конкуренции. Тем самым обусловливает необходимость создания четкой последовательности действий, после выполнения которых может быть принято решение о реализации того или иного проекта.
Данный алгоритм может быть применен как для предприятий, которые уже осуществляют свою хозяйственную деятельность, так и для создания новых производственных направлений. В данном случае под риском стоит понимать деятельность, связанную с преодолением неопределенности в ситуации неизбежного выбора, в процессе которой существует возможность количественно и качественно оценить вероятность достижения ожидаемого результата, неудачи и отклонения от цели. После выявления наиболее вероятных рисков для конкретного инновационного проекта необходима их количественная оценка. При проведении такой оценки возможен расчет итогового рискового коэффициента, который будет служить индикатором целесообразности реализации проекта с точки зрения лица, принимающего решение. Таким образом, в данной работе предложен алгоритм принятия решения о внедрении инновационного проекта, который включает пять основных этапов: определение целей инновационного проекта, проведение маркетинговых исследований, финансовый анализ проекта, обобщающий анализ всех проведенных исследований, принятие решения о внедрении или отклонении инновационного проекта. Соблюдение последовательности этапов предложенного алгоритма позволит предприятию более объективно и достоверно оценить эффективность реализации инновационного проекта, что повысит эффективность принятия инвестиционных решений.
Важно с самого начала осознать, что 1 руб. сейчас и 1 руб. через год - это совсем разные экономические величины. Дисконт-функция как функция от времени как раз и показывает, сколько стоит 1 рубль в заданный момент времени, если его привести к начальному моменту.
В практических финансовых и коммерческих сделках и операциях суммы денег вне зависимости от их происхождения или назначения так или иначе, но обязательно, связываются с некоторыми конкретными моментами или интервалами времени. Для этого в правовых документах фиксируются соответствующие сроки, даты, периодичность поступлений денежных средств или их выплат. Фактор времени, особенно в долгосрочных операциях, играет не меньшую роль, чем размеры денежных сумм.
Необходимость учета фактора времени определяется сущностью самого процесса финансирования и кредитования и выражается в виде принципа неравноценности денег, относящихся к разным моментам времени.
Например, 1000 рублей, которые будут получены через 5 лет, не равноценны этой же сумме, поступившей сегодня, даже если отвлечься от инфляции и риска. Почему? Так как теоретически любая сумма денег может быть инвестирована и принести доход. Поступившие доходы в свою очередь могут быть реинвестированы и т.д. Очевидным следствием принципа "неравноценности" является неправомерность суммирования денежных величин, относящихся к разным моментам времени, в финансовом и, более широко, в экономическом анализе и при решении проблем управления финансами. Однако подобного рода суммирование допустимо там, где фактор времени не имеет значения. Например, в бухгалтерском учете для получения итогов по периодам и в финансовом контроле.
В финансовой сфере учет фактора времени осуществляется с помощью начисления процентов. Для этого применяют 2 метода - метод наращения и метод дисконтирования. Любую денежную сумму, которая относится к различным периодам времени, можно привести к требуемому моменту времени в настоящем или будущем, если известна норма приведения, т.е. процентная ставка. Процентная ставка (r - interest rate) - представляет собой цену, уплачиваемую за использование заемных денежных средств. Ее часто используют в качестве измерителя уровня (нормы) доходности финансовых операций. Процентная ставка - есть отношение суммы процентов, выплачиваемых за фиксированный отрезок времени, к величине ссуды. Интервал, к которому приурочена процентная ставка, называют периодом начисления. Под наращением понимают процесс увеличения первоначальной суммы в результате начисления процентов. Метод наращения позволяет определить будущую величину (FV - future value) текущей суммы (PV – present value) через некоторый промежуток времени, исходя из заданной процентной ставки r. Дисконтирование представляет собой процесс нахождения величины на заданный момент времени (PV - present value) по ее известному или предполагаемому значению в будущем (FV - future value), исходя из заданной процентной ставки r.
В практике существуют различные способы начисления процентов, зависящие от условий сделок. Соответственно применяют различные виды процентных ставок. Одно из основных отличий связано с выбором исходной базы (суммы) для начисления процентов. Ставки процентов могут применяться к одной и той же начальной сумме на протяжении всего срока ссуды (простые процентные ставки) или к сумме с начисленными в предыдущем периоде процентами (сложные процентные ставки).
Наращение по простой процентной ставке рассчитывается по формуле:
r - ставка процентов;
n - число периодов применения простой процентной ставки.
Дисконтирование по простой процентной ставке рассчитывается:
![]()
Наращение по сложной процентной ставке рассчитывается по формуле:
![]()
Дисконтирование по сложной процентной ставке рассчитывается:
![]()
При известных величинах FV, PV, n процентную ставку можно определить по формуле:
![]()
При известных величинах FV, PV, r длительность финансовой операции можно определить по формуле:
![]()

В основе процесса принятия управленческих решений инвестиционного характера лежит оценка и сравнение объема предполагаемых инвестиций и будущих денежных поступлений. Общая логика анализа с использованием формализованных критериев в принципе достаточно очевидна — необходимо сравнивать величину требуемых инвестиций с прогнозируемыми доходами.
Как уже говорилось, инвестиционные проекты, результаты применения управляющих воздействий к процессам налогообложения и другие экономические реалии описываются финансовыми потоками (потоками платежей и поступлений), т.е. функциями (временными рядами), а сравнивать функции естественно с помощью тех или иных характеристик (критериев).
Критерии (показатели, характеристики финансовых потоков), используемые при анализе инвестиционной деятельности, можно подразделить на две группы в зависимости от того, учитывается или нет временной параметр: а) основанные на дисконтированных оценках; б) основанные на учетных (номинальных) оценках. К первой группе относятся критерии:
− чистая текущая стоимость (Net Present Value, NPV) ;
− индекс рентабельности инвестиции (Profitability Index, PI);
− внутренняя норма доходности (Internal Rate of Return, IRR);
− модифицированная внутренняя норма доходности (Modified Internal Rate of Return, MIRR);
− дисконтированный срок окупаемости инвестиции (Discounted Payback Period, DPP).
− Ко второй группе относятся:
− срок окупаемости инвестиции (Payback Period, PP);
− коэффициент эффективности инвестиции (Accounting Rate of Return, ARR).
Чистая текущая стоимость. Этот критерий основан на сопоставлении величины исходных инвестиций (/С ) с общей суммой дисконтированных чистых денежных поступлений, генерируемых проектом в течение прогнозируемого срока. Поскольку приток денежных средств распределен во времени, он дисконтируется с помощью коэффициента q , устанавливаемого аналитиком (выступающим от имени инвестора) самостоятельно исходя из ежегодного процента возврата, который инвестор хочет или может иметь на инвестируемый им капитал.
Допустим, делается прогноз, что исходные инвестиции (/С ) будут генерировать в течение n лет годовые доходы в размере Р1 , Р2 , ... , Pn . Общая накопленная величина дисконтированных доходов (Pqesent Value, PV) и чистая текущая стоимость (Net Pqesent Value, NPV) соответственно рассчитываются по формулам:
n Pk
PV = å ¾¾¾ ,
k=1 (1+q)k
n Pk
NPV = å ¾¾¾ - IC .
k =1 (1+ q ) k
Очевидно, что если:
NPV > 0, то проект следует принять;
NPV < 0, то проект следует отвергнуть;
NPV = 0 , то проект ни прибыльный, ни убыточный.
Теперь дадим экономическую интерпретацию значению критерия NPV с позиции владельцев компании:
• если NPV < 0, то в случае принятия проекта ценность компании уменьшится, т.е. владельцы компании понесут убыток;
• если NPV = 0, то в случае принятия проекта ценность компании не изменится, т.е. благосостояние ее владельцев останется на прежнем уровне;
• если NPV > 0, то в случае принятия проекта ценность компании, а следовательно, и благосостояние ее владельцев увеличатся.
При прогнозировании доходов по годам необходимо по возможности учитывать все виды поступлений как производственного, так и непроизводственного характера, которые могут быть ассоциированы с данным проектом. Так, если по окончании периода реализации проекта планируется поступление средств в виде ликвидационной стоимости оборудования или высвобождения части оборотных средств, они должны быть учтены как доходы соответствующих периодов.
Если проект предполагает не разовую инвестицию, а последовательное инвестирование финансовых ресурсов в течение т лет, то формула для расчета NPV модифицируется следующим образом:
n Pk m ICj
NPV = å ¾¾¾ - å ¾¾¾ ,
k=1 (1+q)k j=1 (1+q)j
где q , - дисконт-фактор.
Необходимо отметить, что показатель NPV отражает прогнозную оценку изменения экономического потенциала организации в случае принятия рассматриваемого проекта. Этот показатель аддитивен в пространственно-временном аспекте, т.е. NPV различных проектов можно суммировать. Это очень важное свойство, выделяющее этот критерий из всех остальных и позволяющее использовать его в качестве основного при анализе оптимальности инвестиционного портфеля.
Как уже отмечалось, не всегда инвестиции сводятся к одномоментному вложению капитала, а возврат происходит равными порциями. Чаще приходится анализировать поток платежей и поступлений общего вида. Будем в качестве потока платежей и поступлений рассматривать последовательность a(0), a(1), a(2), a(3), ... , a(t), .... Если величина a(k) отрицательна, то это платеж, а если она положительна - поступление. Выше был рассмотрен важный частный случай - поток с одним платежом a(0) = (-А) и дальнейшими поступлениями a(1) = a(2) = a(3) = ... = a(t) = .... = В.
Чистую текущую стоимость, или, как ее иногда называют, дисконтированную прибыль, чистый приведенный доход (или эффект, или величину, по-английски - N et Pr esent V alue , сокращенно NPV ), т.е. разность между дисконтированными доходами и расходами, рассчитывают для потока платежей путем приведения затрат и поступлений к одному моменту времени:
NPV = a(0) + a(1) С (1) + a(2) С (2) + a(3) С (3) + ... + a(t)С(t) + ... ,
где С(t) - дисконт-функция. В простейшем случае, когда дисконт-фактор не меняется год от года и согласно формуле имеет вид С = 1 / (1+ q ), где q - банковский процент (дисконт-фактор), формула для чистой текущей стоимости конкретизируется:
NPV = NPV(q) = a(0) + a(1)/ (1+ q) + a(2)/ (1+ q)2 + a(3)/ (1+ q)3 + ...
+ a(t)/ (1+ q)t + ....
Пусть, например, a(0) = - 10, a(1) = 3, a(2) = 4, a(3) = 5. Пусть q = 0,12, тогда, как установлено выше, согласно формуле значения дисконт-функции таковы: С(1) = 0,89, С(2) = 0.80, а С(3) = 0,71. Тогда согласно формуле
NPV (0,12) = - 10 + 3 х 0,89 + 4 х 0.80 + 5 х 0,71 =
= - 10 + 2,67 + 3,20 + 3,55 = - 0,58.
Таким образом, этот проект является невыгодным для вложения капитала, поскольку NPV (0,12) отрицательно, в то время как при отсутствии дисконтирования (т.е. при С = 1, q = 0) вывод иной: NPV (0) = - 10 + 3 + 4 + 5 = 2.
Таким образом, важной проблемой является выбор дисконт-функции. В качестве приближения обычно используют постоянное дисконтирование, хотя экономическая история последних лет показывает, что банки часто меняют проценты платы за депозит, так что формула для дисконт-функции с различными процентами в разные годы более реалистична.
Часто предлагают использовать норму дисконта, равную приемлемой для инвестора норме дохода на капитал. Это предложение означает, что экономисты явным образом обращаются к инвестору как к эксперту, который должен назвать им некоторое число исходя из своего опыта и интуиции. Кроме того, при этом игнорируется изменение указанной нормы во времени.
Индекс рентабельности инвестиций. Индекс рентабельности (РI) рассчитывается по формуле:
n Pk
PI = å ¾¾¾ : IC .
k =1 (1+ q ) k
Очевидно, что если:
РI > 1 , то проект следует принять,
РI < 1 , то проект следует отвергнуть,
РI = 1 , то проект не является ни прибыльным, ни убыточным.
В отличие от чистой текущей стоимости индекс рентабельности является относительным показателем: он характеризует уровень доходов на единицу затрат, т.е. эффективность вложений — чем больше значение этого показателя, тем выше отдача каждого рубля, инвестированного в данный проект. Благодаря этому критерий РI очень удобен при выборе одного проекта из ряда альтернативных, имеющих примерно одинаковые значения NPV , в частности, если два проекта имеют одинаковые значения NPV, но разные объемы требуемых инвестиций, то очевидно, что выгоднее тот из них, который обеспечивает большую эффективность вложений.
В отличие от (валовой) прибыли, рентабельность - это частное от деления прибыли на расходы (инвестиции). Обозначим доходы как Д, расходы как Р, тогда прибыль П = Д - Р, а рентабельность Ре = Д / Р - 1. Другими словами, рентабельность - это относительная прибыль, она показывает, какой доход приносит 1 руб. вложений.
Прибыль и рентабельность - два принципиально разных критерия. Максимизация по ним весьма часто приводит к разным результатам. В отличие от прибыли рентабельность выше для небольших проектов, как правило, использующих побочные результаты реализации крупных проектов.
Под внутренней нормой доходности инвестиций (обозначается I RR ,, синонимы: внутренняя норма прибыли, внутренняя норма окупаемости) понимают значение коэффициента дисконтирования q , при котором NPV проекта равна нулю:
I RR = q, при котором NPV(q) = 0.
Иными словами, если обозначить IС = CF0 и CFk – элемент финансового потока проекта, соответствующий k -му моменту времени, то I RR находится из уравнения:
n CFk
å ¾¾¾¾ = 0 .
k=0 (1+I RR )k
Смысл расчета внутренней нормы прибыли при анализе эффективности планируемых инвестиций, как правило, заключается в следующем: I RR показывает верхнюю границу зоны ожидаемой доходности проекта, и, следовательно, максимально допустимый относительный уровень расходов. Например, если проект полностью финансируется за счёт ссуды коммерческого банка, то значение I RR показывает верхнюю границу допустимого уровня банковской процентной ставки, превышение которого делает проект убыточным.
На практике любая организация финансирует свою деятельность, в том числе и инвестиционную, из различных источников. В качестве платы за пользование авансированными в деятельность организации финансовыми ресурсами она уплачивает проценты, дивиденды, вознаграждения и т.п., иными словами, несет некоторые обоснованные расходы на поддержание экономического потенциала. Показатель, характеризующий относительный уровень этих расходов в отношении долгосрочных источников средств, называется средневзвешенной ценой капитала (WACC). Этот показатель отражает сложившийся в организации минимум возврата на вложенный в ее деятельность капитал, его рентабельность, и рассчитывается по формуле средней арифметической взвешенной.
Таким образом, экономический смысл критерия I RR заключается в следующем: организации выгодно принимать любые решения инвестиционного характера, внутренние нормы доходности которых не больше текущего значения показателя "цена капитала" СС . Под показателем СС понимается либо WACC, если источник средств точно не идентифицирован, либо цена целевого источника, если таковой имеется. Именно с показателем СС сравнивается критерий I RR , рассчитанный для конкретного проекта, при этом связь между ними такова.
Если:
I RR < СС, то проект следует принять;
I RR > СС, то проект следует отвергнуть;
I RR = СС, то проект не является ни прибыльным, ни убыточным.
Независимо от того, с чем сравнивается I RR , очевидно одно: проект принимается, если его I RR меньше некоторой пороговой величины; поэтому при прочих равных условиях, как правило, меньшее значение I RR считается предпочтительным.
Итак, неопределенности, связанной с произволом в выборе нормы дисконта инвестором, можно избежать, рассчитав так называемую. внутреннюю норму доходности (или прибыли, по-английски Inte r nal R ate of R etu r n , сокращенно I RR ), т.е. то значение дисконт-фактора, при котором чистая текущая стоимость оказывается равной 0. Ожидается, что при меньшем значении дисконт-фактора прибыль положительна, а при большем - отрицательна. К сожалению, такая интерпретация не всегда допустима, поскольку для некоторой совокупности потоков платежей чистая текущая стоимость равна 0 не для одного значения дисконт-фактора, а для многих. Однако традиционная интерпретация корректна в подавляющем большинстве реальных ситуаций, в частности, если платежи всегда предшествуют поступлениям. Поэтому многие экономисты считают наиболее целесообразным использование внутренней нормы доходности как основной характеристики при сравнении потоков платежей.
Внутреннюю норму доходности для рентабельности можно было бы определить из условия равенства 0 рентабельности как функции от нормы дисконта. Однако это условие означает, что доходы и расходы равны, т.е. прибыль равна 0. Поэтому внутренние нормы доходности для прибыли и рентабельности совпадают.
Срок окупаемости инвестиций. Этот критерий, являющийся одним из самых простых и широко распространенных в мировой учетно-аналитической практике, не предполагает учета временной упорядоченности денежных поступлений. Алгоритм расчета срока окупаемости (РР) зависит от равномерности распределения прогнозируемых доходов от инвестиций. Если доход распределен по годам равномерно, то срок окупаемости рассчитывается делением единовременных затрат на величину годового дохода, обусловленного ими. При получении дробного числа оно обычно округляется в сторону увеличения до ближайшего целого. Если прибыль распределена неравномерно, то срок окупаемости рассчитывается прямым подсчетом числа лет, в течение которых инвестиция будет погашена кумулятивным доходом. Общая формула расчета показателя РР имеет вид:
n
РР = min n, при котором å Pk ³ IC.
k=0
Нередко показатель РР рассчитывается более точно, т.е. рассматривается и дробная часть года; при этом делается предположение, что денежные потоки распределены равномерно в течение каждого года.
Некоторые специалисты при расчете показателя РР все же рекомендуют учитывать временной аспект. В этом случае в расчет принимаются денежные потоки, дисконтированные по показателю WACC, а соответствующая формула для расчета дисконтированного срока окупаемости, DPP , имеет вид:
n 1
DPP = min n, при котором å Pk • ¾¾¾ ³ IC .
k=1 (1+q)k
Очевидно, что в случае дисконтирования срок окупаемости увеличивается, т.е. всегда DPP > РР. Иными словами, проект, приемлемый по критерию РР, может оказаться неприемлемым по критерию DPP. Очевидно, что показатель РР соответствует случаю, когда q=0.
Итак, срок окупаемости - тот срок, за который доходы покроют расходы. Предполагается, что после этого проект (инвестиционный проект, или проект изменения налоговой системы, в частности, ставок налогов, или же какой-либо иной) приносит только прибыль. Очевидно, это верно не для всех проектов. Потому понятие "срок окупаемости" применяют прежде всего к тем проектам, в которых за единовременным вложением средств следует ежегодное получение прибыли.
Простейший (и наименее обоснованный) способ расчета срока окупаемости состоит в делении объема вложений А на ожидаемый ежегодный доход В . Тогда срок окупаемости РР равен А/В. Этот способ не учитывает дисконтирование. К чему приведет введение в расчет дисконт-фактора? Пусть, как и ранее, объем единовременных вложений равен А , причем начиная с конца первого года проект дает доход В ежегодно (точнее, доход поступает порциями, равными В, с момента, наступающего через год после вложения, и далее с интервалом в год). Если дисконт-фактор равен С , то максимально возможный суммарный доход равен
ВС + ВС2 + ВС3 + ВС4 + ВС5 + ... = ВС ( 1 + С + С2 + С3 + С4 + ... )
В скобках стоит сумма бесконечной геометрической прогрессии, равная, как известно, величине 1/(1-С). Следовательно, максимально возможный суммарный доход от первого года после вложения до скончания мира равен ВС/(1-С) .
Отсюда следует, что если А/В меньше С/(1-С), то можно указать (рассчитать) срок окупаемости проекта, но он будет больше, иногда существенно больше, чем А/В . Если же А/В больше или равно С/(1-С ), то проект не окупится никогда. Поскольку максимально возможное значение С равно 0,89, то проект не окупится никогда, если А/В не меньше 0,89/ 0,11 = 8,09.
Коэффициент эффективности инвестиций. Этот критерий имеет две характерные черты: во-первых, он не предполагает дисконтирования показателей дохода; во-вторых, доход характеризуется показателем чистой прибыли PN (прибыль за минусом отчислений в бюджет). Алгоритм расчета исключительно прост, что и предопределяет широкое использование этого показателя на практике. Коэффициент эффективности инвестиции, называемый также учетной нормой прибыли (A RR ), рассчитывается делением среднегодовой прибыли PN на среднюю величину инвестиций (коэффициент берется в процентах). Средняя величина инвестиций находится делением исходной суммы капитальных вложений на два, если предполагается, что по истечении срока реализации анализируемого проекта все капитальные затраты будут списаны. Если допускается наличие остаточной или ликвидационной стоимости ( R V), то ее оценка должна быть учтена в расчетах. Иными словами, существуют различные алгоритмы исчисления показателя A RR . Достаточно распространенным является следующий:
P N
A RR = ¾¾¾¾¾ .
1 / 2• (IC+ R V)
Данный показатель чаще всего сравнивается с коэффициентом рентабельности авансированного капитала, рассчитываемого делением общей чистой прибыли организации на общую сумму средств, авансированных в ее деятельность (итог среднего баланса-нетто).
Метод, основанный на коэффициенте эффективности инвестиции, также имеет ряд существенных недостатков, обусловленных в основном тем, что он не учитывает временной компоненты денежных потоков. В частности, метод не делает различия между проектами с одинаковой суммой среднегодовой прибыли, но варьирующей суммой прибыли по годам, а также между проектами, имеющими одинаковую среднегодовую прибыль, но генерируемую в течение различного количества лет, и т.п.
Основными показателями, используемыми для сравнения различных инвестиционных проектов (вариантов проекта) и выбора лучшего из них, являются показатели ожидаемого интегрального эффекта Эож (экономического – на уровне народного хозяйства, коммерческого – на уровне отдельного участника).
Эти же показатели используются для обоснования рациональных размеров и форм резервирования и страхования.
Если вероятности различных условий реализации проекта известны точно, ожидаемый интегральный эффект рассчитывается по формуле математического ожидания:
![]()
где Эож – ожидаемый интегральный эффект проекта;
Эi – интегральный эффект при i-м условии реализации;
Рi – вероятность реализации этого условия.
В общем случае расчет ожидаемого интегрального эффекта рекомендуется производить по формуле:
,
где Эmax и Эmin – наибольшее и наименьшее из математических ожиданий интегрального эффекта по допустимым вероятностным распределениям;
- специальный норматив для учета неопределенности эффекта, отражающий систему предпочтений соответствующего хозяйствующего субъекта в условиях неопределенности. При определении ожидаемого интегрального экономического эффекта его рекомендуется принимать на уровне 0,3.
Критерии (показатели, характеристики финансовых потоков) используются для оценки и сравнения инвестиционных проектов, выбора из них наиболее предпочтительных для инвестора. Поскольку рассмотренные показатели (критерии, характеристики финансовых потоков) относятся к различным моментам времени, ключевой проблемой здесь является их сопоставимость между собой. Относиться к результатам сопоставления тех или иных критериев можно по-разному в зависимости от существующих объективных и субъективных условий: темпа инфляции, размера инвестиций и генерируемых поступлений, горизонта прогнозирования, уровня квалификации аналитика и т.п.
1.3. Практические вопросы реализации инновационных и инвестиционных проектов
Рассмотрим некоторые вопросы, связанные с практическими вопросами подготовки и реализации инновационных и инвестиционных проектов.
Необходимость применения экспертных оценок при сравнении инвестиционных проектов. Из сказанного выше вытекает, что разнообразные формальные методы оценки инвестиционных проектов и их рисков во многих случаях (реально во всех нетривиальных ситуациях) не могут дать однозначных рекомендаций.
Поэтому процедуры экспертного оценивания нужно применять не только на заключительном этапе, но и на всех остальных этапах анализа инвестиционного проекта. При этом необходимо использовать весь арсенал теории и практики экспертных оценок, весьма развитой области научной и практической деятельности. В конце процесса принятия решения - всегда человек.
Мы не призываем отказаться от формально-экономических методов. Вычисление чистой текущей стоимости и других характеристик финансовых потоков, использование соответствующих программных продуктов полезно для принятия обоснованных решений. Однако нельзя абсолютизировать формально-экономические методы. На основной вопрос: что лучше - быстро, но мало, или долго, но много - ответить могут только эксперты.
Поэтому система поддержки принятия решений в области управления инвестициями, а также, например, совершенствования налогообложения, оценки управляющих воздействий на процессы налогообложения должна сочетать формально-экономические и экспертные процедуры.
Технико-экономические обоснования проектов и бизнес-планы. Инновационные и инвестиционные проекты начинаются с планирования. Разрабатывается технико-экономическое обоснование проекта, которое в современной традиции называется бизнес-планом. В нем рассматриваются, в частности, и те вопросы, которые обсуждались выше. Бизнес-план - обширный документ, состоит зачастую из сотен и тысяч страниц. Выпущено много пособий по этой тематике, в частности, по составлению бизнес-планов, сборники типовых бизнес-планов, справочные пособия по управлению инвестициями. У любого пособия есть достоинства и недостатки, один автор обращает внимание на одну сторону вопроса, другой - на другую. Но надо помнить, что за последствия принимаемых решений отвечает тот, кто их принимает, а не авторы пособия. Бесспорно совершенно, что ни одно пособие не может освободить экономиста от умственной работы, от активного использования его здравого смысла и знаний.
Неопределенность и риски будущего развития. Будущее нам неизвестно. А потому неизвестны и будущие доходы и расходы, мы можем лишь прогнозировать их с той или иной степенью уверенности. Как описывать неопределенность будущего? Чем мы рискуем и что вообще понимать под “риском"? Как отражается неопределенность будущего на потоках платежей, их характеристиках и выводах об эффективности управляющих воздействий на реализацию инвестиционного проекта, включая и такие "экзотические", как процессы налогообложения, на других решениях? Как уменьшить возможные потери и защититься от рисков?
Фактор риска является весьма существенным. Инвестиционная деятельность, во-первых, всегда связана с иммобилизацией финансовых ресурсов компании и, во-вторых, обычно осуществляется в условиях неопределенности, степень которой может значительно варьироваться.
Понятие "риск" многогранно. При использовании статистических методов управления качеством риски - это вероятности некоторых событий (в статистическом приемочном контроле риск поставщика - это вероятность забракования партии продукции хорошего качества, а риск потребителя - приемки "плохой" партии; при статистическом регулировании процессов рассматривают риск незамеченной разладки и риск излишней наладки). Тогда для управления риском задают ограничения на вероятности нежелательных событий. Иногда под уменьшением риска понимают уменьшение дисперсии случайной величины. В теории принятия решений риск - это плата за принятие решения, отличного от оптимального, он обычно выражается как математическое ожидание. В экономике плата выражается обычно в денежных единицах, т.е. в виде потока платежей в условиях неопределенности.
Методы математического моделирования позволяют предложить и изучить разнообразные методы оценки риска. Широко применяются два вида методов - статистические, основанные на использовании эмпирических данных, и экспертные, опирающиеся на мнения и интуицию специалистов. Теория и практика экспертных оценок - большое направление научно-практической деятельности, активно развиваемое в нашей стране с начала 70-х годов.
Разработаны различные способы уменьшения экономических рисков, связанные с выбором стратегий поведения, в частности, диверсификацией, страхованием и др. Нестандартный пример: применительно к системам налогообложения диверсификация означает использование не одного, а системы налогов, чтобы нейтрализовать действия налогоплательщиков, нацеленные на уменьшение своих налоговых платежей.
Наибольшее распространение при оценке риска инвестиционных проектов (особенно производственных инвестиций) получили такие количественные методы:
- статистический метод;
- анализ чувствительности (метод вариации параметров);
- метод проверки устойчивости (расчета критических точек);
- метод сценариев (метод формализованного описания неопределенностей);
- метод дерева решений.
- имитационное моделирование (метод статистических испытаний, метод Монте-Карло);
- метод корректировки ставки дисконтирования.
Часто производственная деятельность предприятий планируется по средним показателям параметров, которые заранее не известны достоверно (например, прибыль) и могут меняться случайным образом. При этом крайне нежелательна ситуация с резкими изменениями этих показателей, ведь это означает угрозу утери контроля. Чем меньше отклонение показателей от среднего ожидаемого значения, тем больше стабильность рыночной обстановки. Именно поэтому наибольшее распространение при оценке инвестиционного риска получил статистический метод, основанный на методах математической статистики. Расчет среднего ожидаемого значения осуществляется по формуле средней арифметической взвешенной:

где
– среднее ожидаемое значение;
– ожидаемое значение для каждого случая;
– число случаев наблюдения (частота).
Среднее ожидаемое значение представляет собой обобщенную количественную характеристику и поэтому не позволяет принять решение в пользу какого-либо варианта инвестирования.
Анализ чувствительности (метод вариации параметров).
В инвестиционном проектировании при оценке риска применяется также анализ чувствительности. При использовании данного метода риск рассматривается как степень чувствительности результирующих показателей реализации проекта к изменению условий функционирования (изменение налоговых платежей, ценовые изменения, изменения средних переменных издержек и т. п.). В качестве результирующих показателей реализации проекта могут выступать: показатели эффективности (NPV, IRR, PI, срок окупаемости); ежегодные показатели проекта (чистая прибыль, накопленная прибыль).
Наиболее информативным методом, применяемым для анализа чувствительности, является расчет показателя эластичности, представляющего собой отношение процентного изменения результирующего показателя к изменению значения параметра на один процент.

где x1 – базовое значение варьируемого параметра,
x2 – измененное значение варьируемого параметра,
NPV1 – значение результирующего показателя для базового варианта,
NPV2 – значение результирующего показателя при изменении параметра.
Метод проверки устойчивости (расчета критических точек).
Метод проверки устойчивости предусматривает разработку сценариев реализации проекта в наиболее вероятных или наиболее "опасных" для каких-либо участников условиях. По каждому сценарию исследуется, как будет действовать в соответствующих условиях организационно-экономический механизм реализации проекта, каковы будут при этом доходы, потери и показатели эффективности. Влияние факторов риска на норму дисконта при этом не учитывается.
Одним из наиболее важных показателей этого метода является точка безубыточности, характеризующая объем продаж, при котором выручка от реализации продукции совпадает с издержками производства:

где BEP - точка безубыточности, в процентах от выручки от реализации;
FC - сумма постоянных производственных затрат;
MP - маржинальная или валовая прибыль (все параметры - за один интервал планирования).
Метод сценариев (метод формализованного описания неопределенностей).
В какой-то мере избежать недостатков, присущих анализу чувствительности, позволяет метод сценариев, при котором одновременному непротиворечивому изменению подвергается вся совокупность факторов исследуемого проекта с учетом их взаимозависимости. Метод сценариев предполагает описание опытными экспертами всего множества возможных условий реализации проекта (либо в форме сценариев, либо в виде системы ограничений на значения основных технических, экономических и прочих параметров проекта) и отвечающих этим условиям затрат, результатов и показателей эффективности.
Основным недостатком сценарного анализа является рассмотрение только нескольких возможных исходов по проекту (дискретное множество значений NPV), хотя в действительности число возможных исходов не ограничено. Кроме того, при невозможности использования объективного метода определения вероятности того или иного сценария приходится делать предположения, основываясь на личном опыте или суждении, при этом возникает проблема достоверности вероятностных оценок.
Как вспомогательный инструмент при проведении сценарного анализа удобно использовать метод дерева решений. Он применяется в тех ситуациях, когда решения, принимаемые в каждый момент времени, сильно зависят от предыдущих решений и в свою очередь определяют сценарии дальнейшего развития событий.
Дерево решений – это сетевые графики, каждая ветвь которых представляет собой альтернативные варианты развития или состояния среды. При проведении сценарного анализа на сетевом графике указываются вероятности наступления тех или иных событий, а затем производится расчет ожидаемых результатов.
Имитационное моделирование (метод статистических испытаний, метод Монте-Карло).
Анализ рисков с использованием метода имитационного моделирования (метода Монте-Карло) представляет собой соединение методов анализа чувствительности и анализа сценариев на базе теории вероятности. Вместо того чтобы создавать отдельные сценарии (наилучший, наихудший), в имитационном методе компьютер генерирует сотни возможных комбинаций параметров (факторов) проекта с учетом их вероятностного распределения. Каждая комбинация дает свое значение NPV, и в совокупности аналитик получает вероятностное распределение возможных результатов проекта. Реализация этой достаточно сложной методики возможна только с помощью современных информационных технологий.
Метод корректировки ставки дисконтирования.
В зависимости от того, каким методом учитывается неопределенность условий реализации проекта при определении ожидаемого NPV, поправка на риск в расчетах эффективности может включаться либо в норму дисконта (метод корректировки ставки дисконтирования) , либо в величину чистого гарантированного денежного потока (метод эквивалентного денежного потока).
Каждому фактору в зависимости от его оценки можно приписать величину поправки на риск по этому фактору, зависящую от отрасли, к которой относится проект, и региона, в котором он реализуется. В тех случаях, когда эти факторы являются независимыми и в смысле риска дополняют друг друга, поправки на риск по отдельным факторам следует сложить для получения общей поправки, учитывающей риск неполучения доходов, запланированных проектом.
Рассмотренная в данной курсовой тема является очень актуальной, так как инвестиционная деятельность представляет собой один из наиболее важных аспектов функционирования любой коммерческой организации. Причинами, обусловливающими необходимость инвестиций, являются обновление имеющейся материально-технической базы, наращивание объемов производства, освоение новых видов деятельности.
Весьма часто предприятие сталкивается с ситуацией, когда имеется ряд альтернативных (взаимоисключающих) инвестиционных проектов. Естественно, возникает необходимость в сравнении этих проектов и выборе наиболее привлекательных из них по каким-либо критериям.
Так как финансовый рынок в нашей стране находится на первоначальном этапе становления инвестирование долгосрочных и потому более дорогих инновационных проектов связано с повышенным риском. Однако на сегодняшний день остаются практически и методически нерешенными проблемы формирования системы оценки рискованности отдельных инновационных проектов для крупных инвестиционных институтов, связанных с высокой сложностью, трудоемкостью, стоимостью проводимых работ.
Данная курсовая работа имела целью доказать необходимость инвестиционного планирования деятельности любой фирмы, рассчитывающей на успех в современных условиях рынка. Нельзя забывать о том, что мы находимся в особо жестких условиях российской экономики, в которых некоторые рыночные законы действуют с точностью до наоборот, однако, с учетом того, что до перестройки наша страна в течение многих лет являлась ярким примером авторитарной директивно-плановой экономики, то процесс инновационно-инвестиционной деятельности предприятия и основных рыночных показателей имеет под собой не многолетний опыт. Разумеется, с наступлением этапа реформ в нашем государстве изменились как методы инвестирования, так и его задачи.
В представленной курсовой работе рассмотрены теоретические аспекты организации и внедрения инноваций на предприятии. Затронуты вопросы, решаемые в процессе разработки и финансовой оценки инвестиционного проекта, такие как дисконт-функция инвестиционного проекта, чистая текущая стоимость, показатель внутренней нормы доходности инвестиций, индекс рентабельности инвестиций, срок окупаемости инвестиционного проекта, коэффициент эффективности инвестиций. Рассмотрено влияние различных факторов на процесс принятия решения о внедрении или отклонении определенного инвестиционного проекта.
В работе освещены основные проблемные вопросы реализации инновационных и инвестиционных проектов. Качественные методы позволяют рассмотреть все возможные рисковые ситуации и описать все многообразие рисков рассматриваемого инвестиционного проекта, но получаемые при этом результаты оценки часто обладают не очень высокой объективностью и точностью.
Использование количественных методов дает возможность получить численную оценку рискованности проекта, определить степень влияния факторов риска на его эффективность. К числу недостатков этих методов можно отнести необходимость наличия большого объема исходной информации за длительный период времени (статистический метод); сложности при определении законов распределения исследуемых параметров (факторов) и результирующих показателей (статистический метод, метод Монте-Карло); изолированное рассмотрение изменения одного фактора без учета влияния других (анализ чувствительности, метод проверки устойчивости) и т. д.
Поэтому особую актуальность приобретает задача оптимизации бюджета капиталовложений.
В связи с этим в работе были рассмотрены следующие вопросы:
- основные принципы, положенные в основу анализа инвестиционных проектов;
- критерии оценки экономической эффективности инвестиционных проектов;
- на конкретном примере рассмотрены основные методы оценки инвестиционных проектов.
В практической части работы рассмотрен пример разработки и оценки инвестиционного проекта, предлагаемого к выполнению с учетом реально сложившейся на данный момент экономической ситуации.
В заключение проведенных исследований можно сделать вывод, что инвестиционное планирование на предприятии предоставляет широкие возможности планирования и управления активами предприятия и при грамотном использовании представленных теоретических выкладок и практических методик расчета позволит оптимизировать деятельность предприятия не только в текущем, но и в долгосрочном периоде. В условиях рыночной экономики возможностей для инвестирования довольно много. Вместе с тем объем финансовых ресурсов, доступных для инвестирования, у любого предприятия ограничен. Не существует универсального метода, позволяющего провести полный анализ и дать оценку риска инвестиционного проекта.
2. РАСЧЕТНАЯ ЧАСТЬ
Пусть вложения равны 1 миллиону рублей, ежегодная прибыль предприятия составляет 500 тысяч, т.е. А/В = 2. Пусть дисконт-фактор С = 0,8. Каков срок окупаемости? При примитивном подходе (соответствующем С = 1) он равен 2 годам. А на самом деле?
За k лет будет возвращено
ВС ( 1 + С + С2 + С3 + С4 + ...+ Сk )= ВС ( 1 - Сk+1) / (1-С) ,
согласно известной формуле для суммы конечной геометрической прогрессии. Для срока окупаемости получаем уравнение
1 =0,5 х 0,8 (1 - 0,8 k+1) / (1- 0,8),
откуда 0,5 = (1 - 0,8 k+1), или 0,8 k+1 = 0,5. Прологарифмируем обе части последнего уравнения: (k+1) ln 0,8 = ln 0,5 , откуда
(k+1) = ln 0,5 / ln 0,8 = (- 0,693) / (- 0,223) = 3,11, k = 2,11.
Срок окупаемости оказался в данном примере равном 2,11 лет, т.е. увеличился примерно на 4 недели. Это немного. Однако если прибыль В = 0,2, то вместо мы имели бы
1 =0,2 х 0,8 ( 1 - 0,8 k+1) / (1- 0,8),
Это уравнение не имеет решения, поскольку А / В = 5 > С/(1-С) = 0.8 / (1- 0,8) = 4, проект не окупится никогда. Окупаемости можно ожидать лишь в случае А/В < 4, то есть с размером ежемесячной прибыли более 250 тысяч рублей. Рассмотрим и промежуточный случай, В = 0,33, с "примитивным" сроком окупаемости 3 года. Тогда имеем уравнение
1 =0,33 х 0,8 (1 - 0,8 k+1) / (1- 0,8),
откуда 0,76 = (1 - 0,8 k+1), или 0,8 k+1 = 0,24. Прологарифмируем обе части последнего уравнения: (k+1) ln 0,8 = ln 0,24 , откуда
(k+1) = ln 0,24 / ln 0,8 = (- 1.427) / ( - 0,223) = 6,40, k = 5,40.
Итак, реальный срок окупаемости - не три года, а согласно уравнению чуть менее пяти с половиной лет.
Если вложения делаются не единовременно или доходы поступают по иной схеме, то расчеты усложняются, но суть дела остается той же.
В таблице 1 представлены расчеты с данной прогнозной прибылью на период пять лет.
Таблица 1
Анализ прогнозных вариантов прибыльности
инвестиционного проекта
| Проекты |
Норма дисконта |
Начальная инвестиция, тыс. руб. |
Годовые доходы по инвестициям, тыс. руб. |
Общая накопленная величина дисконтированных доходов, тыс. руб. |
Чистая приведенная стоимость, тыс. руб. (NPV) |
Внутренняя ставка доходности, % (IRR) |
||||
| 1-й год |
2-й год |
3-й год |
4-й год |
5-й год |
||||||
| 1 |
20,00% |
1 000 000 |
500 000 |
500 000 |
500 000 |
500 000 |
500 000 |
1 495 306 |
495 306 |
41,04% |
| 2 |
20,00% |
1 000 000 |
200 000 |
200 000 |
200 000 |
200 000 |
200 000 |
598 122 |
-401 878 |
0,00% |
| 3 |
20,00% |
1 000 000 |
330 000 |
330 000 |
330 000 |
330 000 |
330 000 |
986 902 |
-13 098 |
19,40% |
На основе данных расчетов можно сказать, что инвестиционный проект с равномерной прибыльностью (потоками платежей) менее 330 тыс. рублей являются убыточным в течение данного срока, а менее 250 тыс. рублей вовсе не окупается. При постоянном получении прибыли в размере 500 тыс. рублей наблюдается самая быстрая окупаемость и прибыльность инвестиционного проекта, но данная величина является половиной стоимости инвестиционного проекта (завышенной) и имеет наименьшую вероятность, что говорит о том, что не все затратные и доходные факторы были учтены при прогнозировании потоков платежей по данному проекту, что может послужить уменьшению реалистичности инвестиционного проекта и, следовательно, экономически невыгодный принят за сверхприбыльный. Именно поэтому важно грамотно составить план денежного потока компании.
Рассмотрим третий инвестиционный проект более подробно. В настоящее время инвесторы и банки очень настороженно относятся к инвестициям, срок окупаемости которых превышает более 3 лет. Только у крупных инвестиционных компаний существует интерес к длительным инвестиционным проектам, так как именно фактор времени приносит наибольший доход, но и имеется наибольший фактор риска. Данный проект является долгосрочным, так как срок окупаемости составляет более 5-ти лет. Произведем шестилетнее исследование окупаемости данного проекта.
Таблица 2
Анализ окупаемости инвестиционного проекта
при В = 0,33 млн. рублей
| п е р и о д ы в р е м е н и |
||||||||
| 0 |
1 |
2 |
3 |
4 |
5 |
6 |
Итого: |
|
| I0 |
-1000000 |
-1000000 |
||||||
| CFt |
330000 |
330000 |
330000 |
330000 |
330000 |
330000 |
1980000 |
|
| r |
0,20 |
|||||||
| (1+r)t |
1,00 |
1,20 |
1,44 |
1,73 |
2,07 |
2,49 |
2,99 |
|
| CFt /(1+r)t |
275000 |
229167 |
190972 |
159144 |
132620 |
110516 |
1097418 |
|
| PVt |
275000 |
504167 |
695139 |
854282 |
986902 |
1097418 |
||
| NPV |
-1000000 |
-725000 |
-495833 |
-304861 |
-145718 |
-13098 |
97418 |
97418 |
| IRR |
0,24 |
|||||||
| ARR |
0,66 |
|||||||
| PI |
1,10 |
|||||||
В отличие от чистого приведенного эффекта индекс доходности инвестиций является относительным показателем. Он характеризует уровень доходов на единицу затрат, т.е. эффективность вложений – чем больше значение этого показателя, тем выше отдача с каждого рубля инвестированного в данный проект. В данном случае можно сказать, что с каждого рубля затраченного на инвестиции произойдет отдача в размере 1,10 рублей, что говорит о доходности данного инвестиционного проекта.
Несмотря на то, что накопленная сумма потоков платежей на конец периода составит сумму почти в два раза превышающую первоначальные инвестиции, данный проект обеспечивает возмещение затрат с учетом дисконтирования и получение дополнительного дохода равного всего 97 418 рублей (менее 10 % от суммы первоначальных затрат) только по прошествии шести лет.

Рис. 2. График окупаемости инвестиционного проекта по показателю чистого приведенного дохода с учетом первоначальных затрат.
Из всего вышесказанного можно сделать вывод что, по всем рассчитанным параметрам инвестиционный проект является положительным и принесет прибыль. При норме дисконт-фактора С = (1-0,24) = 0,76 за данный период будет обеспеченна только окупаемость инвестиций, а получение прибыли произойдет только на 7-ом году. Следовательно, для обеспечения внедрения данного инвестиционного проекта, предприятие может привлечь заемный капитал в виде долгосрочной ссуды на шесть лет под согласованную ставку процента не более 24% годовых.
Менеджерам часто приходится анализировать и сравнивать взаимоисключающие проекты, требующие различных объемов продисконтированных денежных оттоков (например, первоначальных инвестиций). При таких условиях могут возникнуть конфликты при ранжировании проектов по различным критериям: NPV, IRR и PI. Основной причиной этих конфликтов является то, что NPV измеряет абсолютную величину превышения продисконтированных денежных поступлений над продисконтированными денежными оттоками (что благоприятствует крупным инвестициям), в то время как PI измеряет относительную прибыльность продисконтированных денежных оттоков на доллар, а IRR — норму доходности первоначальных инвестиций или ставку дисконтирования, которая уравнивает продисконтированные денежные поступления и продисконтированные денежные оттоки (оба последних критерия отдают предпочтение небольшим инвестициям).
Рассмотрим пример, иллюстрирующий данное несоответствие. Пусть фирма, чьи затраты на капитал равны 12%, рассматривает два взаимоисключающих проекта, X и Y, со следующими характеристиками:
Таблица 3
| Проект X (большой) |
Проект Y (маленький) |
|
| Первоначальные инвестиции |
500000 |
100000 |
| Ежегодные денежные поступления |
150000 |
40000 |
| Срок жизни проекта, годы |
10 |
10 |
Сравним проекты X и Y по всем трем критериям:
| Проект X |
Проект Y |
|
| Продисконт. денежные поступления |
847533 |
226008 |
| Денежные оттоки |
500000 |
100000 |
| NPV |
347533 |
126008 |
| Ранжирование по NPV |
1 |
2 |
| PI |
1,695 |
2,26 |
| Ранжирование по PI |
2 |
1 |
| IRR |
27,30% |
38,50% |
| Ранжирование по IRR |
2 |
1 |
Итак, критерий NPV отдает предпочтение проекту Х, в то время как IRR и PI — проекту Y. Пересечение Фишера находится между 24% и 25%, соответствующая этой точке NPV равна 45 454 руб. Каким образом разрешается данный конфликт? Решение зависит от условий, в которых фирма принимает решения об инвестициях. Если все шесть вышеперечисленных предпосылок выполняются, то конфликт должен быть разрешен в пользу проекта, лучшего по NPV, так как проект, максимизирующий NPV, также максимизирует благосостояние акционеров, то есть рыночную цену простых акций.
Однако более вероятна ситуация, когда какие-либо предпосылки не выполняются; в этом случае правило модифицируется. Если существует ограничение капитала (то есть нарушается предпосылка совершенного рынка капитала), следует оценивать доходы на предельное (дополнительное) капиталовложение в большой проект. Если предельное капиталовложение в большой проект оценивается положительно всеми тремя критериями, то большой проект может быть принят при условии, что это дополнительное капиталовложение не может быть помещено в любой другой проект или проекты, дающие большую совокупную NPV.
Вернемся к нашему примеру:
Таблица 4
| Проект Х |
Проект Y |
Предельные потоки, X-Y |
|
| Первоначальные инвестиции |
500000 |
100000 |
400000 |
| Ежегодные денежные потоки |
150000 |
40000 |
110000 |
| NPV при 12% |
221524 |
||
| PI |
1,554 |
||
| IRR, % |
24,4 |
Таким образом, согласно всем трем критериям дополнительное капиталовложение в 400 тыс. руб. в проект Х оправдано создаваемыми дополнительными доходами. Проект Х будет принят, если в альтернативных проектах, куда можно вложить дополнительные 400 тыс. руб., не будет создана совокупная NPV, большая чем 221 524 руб. Эту же мысль можно выразить иначе: если финансовые ресурсы фирмы ограничены 500 тыс. руб. , то проект Х должен быть принят, кроме как в случае, когда какая-нибудь другая возможная комбинация проектов создаст NPV, большую чем 347 533 руб. (NPV проекта Х).
В настоящее время при принятии инновационно - инвестиционных решений и оценке взаимоисключающих проектов, различающихся последовательностью во времени денежных поступлений, также могут возникнуть конфликты в ранжировании проектов между критериями NPV (или PI) и IRR из-за различных неявно подразумеваемых предпосылок о ставке, по которой реинвестируются промежуточные денежные поступления. (Конфликта между NPV и PI возникнуть в данном случае не может, так как оба критерия используют одну и ту же предпосылку о реинвестициях.) Рассмотрим примет такого конфликта и способы его разрешения.
Пусть фирма с затратами на капитал, равными 1%, сравнивает два взаимоисключающих проекта — А и В — со следующими характеристиками:
Таблица 5
| Проект А |
Проект В |
|
| Инвестиции |
70 тыс. руб. |
70 тыс. руб. |
Денежные потоки:
| 1 год |
10 тыс. руб. |
50 тыс. руб. |
| 2 год |
20 тыс. руб. |
40 тыс. руб. |
| 3 год |
30 тыс. руб. |
20 тыс. руб. |
| 4 год |
45 тыс. руб. |
10 тыс. руб. |
| 5 год |
60 тыс. руб. |
10 тыс. руб. |
| Итого денежные потоки |
165 тыс. руб. |
130 тыс. руб. |
Теперь сравним проекты А и В по всем критериям:
| Проект А |
Проект В |
|
| Продисконтированные денежные поступления |
116150 |
106578 |
| NPV |
46150 |
36578 |
| PI |
1,659 |
1,523 |
| IRR |
0,272 |
0,3755 |
Итак, проект В имеет значительно более высокую IRR, но меньшую NPV, чем проект А. Таким образом, критерий IRR отдает предпочтение проектам, создающим крупные денежные поступления в первых годах функционирования (т.е. такие денежные поступления значительно увеличивают внутреннюю норму доходности в силу предположения о том, что они могут быть реинвестированы по этой высокой ставке). Напротив, критерий NPV предполагает, что дисконт-фактор не так велик (равен затратам фирмы на капитал) и, следовательно, не рассматривает значительные денежные поступления в конце функционирования проекта (а не в начале) как недостаток. Поэтому, если реально денежные поступления могут быть реинвестированы по ставке дисконт-фактора, превышающего затраты на капитал, то критерий NPV недооценивает прибыльность инвестиций, а если дисконт-фактор меньше внутренней нормы доходности, то критерий IRR переоценивает истинную норму доходности проекта.
В нашем примере проект А создает большие совокупные денежные поступления (165 000 руб.) за весь срок функционирования, чем проект В (130 000 руб.), и в случае невысокого дисконт-фактора (такой как затраты на капитал) эта разница более чем компенсирует различие в последовательности денежных поступлений между проектами. Поэтому, критерий NPV отдает предпочтение проекту А при всех ставках дисконт-фактора, меньше 16,1% (точка пересечения Фишера).
Такого рода конфликт между NPV и IRR может быть разрешен путем использования в расчетах экзогенно задаваемой ставки дисконт-фактора. Для этого рассчитывается конечная стоимость инвестиций при условии, что промежуточные денежные поступления могут быть реинвестированы по определенной ставке. Затем конечная стоимость может быть приведена к текущей, используя обычный метод NPV. Аналогично, истинная внутренняя норма доходности может быть найдена путем определения ставки дисконтирования, которая уравнивает конечную стоимость и продисконтированные денежные оттоки.
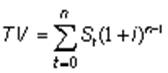
Конечная стоимость (TV) определяется следующим образом:

Где
St — денежные поступления от проекта в конце периода r,
i — дисконт-фактор (ставка реинвестиций);
n — срок жизни проекта.
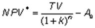
Следовательно, модифицированная NPV(NPV*) будет рассчитываться так:

Где
k — затраты на капитал;
A0 — продисконтированные денежные оттоки.
Аналогично будет рассчитываться модифицированная IRR (IRR*) :

При условии применения модифицированных NPV* и IRR конфликты не будут возникать. Действительно, вернемся к нашему примеру и сравним проекты, используя ставку дисконт-фактора (а) I=14% и (б) I=20%.

| A |
|||
| 1+i |
St |
n |
St(1+I)^n-1 |
| 10 000,00 |
4 |
16 889,60 |
|
| 1,14 |
20 000,00 |
3 |
29 630,88 |
| 30 000,00 |
2 |
38 988,00 |
|
| 45 000,00 |
1 |
51 300,00 |
|
| 60 000,00 |
0 |
60 000,00 |
|
| 196 808,48 |
|||

| B |
|||
| 1+i |
St |
n |
St(1+I)^n-1 |
| 50 000,00 |
4 |
84 448,01 |
|
| 1,14 |
40 000,00 |
3 |
59 261,76 |
| 20 000,00 |
2 |
25 992,00 |
|
| 10 000,00 |
1 |
11 400,00 |
|
| 10 000,00 |
0 |
10 000,00 |
|
| 191 101,77 |
|||




Очевидно, что NPV*A > NPV*B и IRR*A > IRR*B, так что проект А очевидно более предпочтителен, чем проект В, если ставка реинвестиций (дисконт-фактор) равна 14%.
(б) Проделав аналогичные операции со ставкой реинвестиций (дисконт-фактора), равной 20%, можно убедиться, что NPV*A < NPV*B и IRR*A < IRR*B, так что проект В очевидно более предпочтителен, чем проект А.
Таким образом, можно сделать следующий вывод: при данных графиках NPV из двух проектов более предпочтительным будет являться тот, у которого ставке дисконтирования, равной ставке реинвестирования промежуточных денежных поступлений, соответствует большее значение NPV. Поэтому точка пересечения Фишера, в которой предпочтения проектов меняются, играет чрезвычайно важную роль в анализе чувствительности по ставкам реинвестирования. В нашем примере проекту А отдается предпочтение до тех пор, пока ставка реинвестирования (дисконт-фактор) не превышает 16,1%, а после этого предпочтения меняются на противоположные.
Таким образом, разрешаются некоторые возможные конфликты между ранжировками взаимоисключающих проектов по различным критериям эффективности. Однако в ходе оценки эффективности инвестиций необходимо помнить о возможности их возникновения и не полагаться на упорядочение проектов лишь по одному критерию, тем более, что каждый из критериев подчеркивает какой-либо особенный аспект финансового состояния проекта и в совокупности они дают наиболее полную картину состоятельности инвестиций.
1. Гражданский кодекс Российской Федерации (части 1 и 2);
2. Налоговый кодекс Российской Федерации (часть вторая);
3. Федеральный закон "Об инвестиционной деятельности в Российской Федерации, осуществляемой в форме капитальных вложений" от 25 февраля 1999 г. № 39-ФЗ.
4. Абрамов С.И. Инвестирование. – М.: Центр экономики и маркетинга, 2007. – 220 с.
5. Бочаров В. В. Инвестиционный менеджмент. - СПб: Питер, 2002.
6. Виленский П.Л., Лившиц В.Н., Смоляк Н.А. Оценка эффективности инвестиционных проектов: Теория и практика: Учебно – практическое пособие. – М.: Дело, 2001 . – 832 с.
7. Долгов А. Принятие инвестиционных решений в условиях неопределённости. // Журнал "Рынок ценных бумаг". 2004. №23 (278)
8. Ивасенко А.Г. Инвестиции: источники и методы финансирования. – М., 2007. – С. 417.
9. Игонина Л.Л. Инвестиции: Учеб. пособие / Под ред. д-ра экон. наук, проф. В.А. Слепова. – М.: Экономистъ, 2003. – 478 с.
10.Инвестиции для инновационного маневра // Проблемы теории и практики управления.- 2005.- № 4.- С.27
11.Инвестиции: Учеб. для вузов / Под общ. ред. О.Л. Калинина. – 2-е изд., перераб. и доп. – М.: НОРМА, 2006. – 470 с.
12.Исаева П.И. Альтернативы инвестиционной политики в России // Обзор экономики России, – 2007, – №3 – С. 47-52.
13.Как управлять инвестициями. Коркишко М. // Журнал "Генеральный Директор" №9, 2006
14.Коссов В.В. Инвестиции: Учебник. – М.: Высшая школа экономи-ки, 2005. – 260 с.
15.Крылов Э.И., Власова В.М., Журавкова И.В. Анализ эффективности инвестиционной и инновационной деятельности предприятия. М., 2002.
16.Крюков С.В. Методы и модели оценки и выборов инвестиционных проектов: Монография/РГЭУ. – Ростов Н/Д., 2001 . – 252 с.
17.Лебедев В.М., Факторы, влияющие на эффективность инвестиций // Аудитор, – 2006, – №10 – С. 38-40.
18.Марголин A.M., Быстряков АЛ. Экономическая оценка инвестиций. М., 2001.
19.Орлов А.И., Орлова Л.А. Современные подходы к управлению инновациями и инвестициями. – Журнал «Экономика XXI века». 2002. No.12. С.3 – 26.
20.Пайк Р., Нил Б. Корпоративные финансы и инвестирование. – СПб., 2006. – С. 784.
21.Рыбалкин В.Е. Инвестиции: Учебник. – М.: Юнити-Дана, 2006. – 300 с.
22.Сергеев И.В., Веретенникова И.И. Организация и финансирование инвестиций: Учебник. – М.: Финансы и статистика, 2007. – 550 с.
23.Смоляк С.А. Оценка эффективности инвестиционных проектов в условиях риска и неопределенности (теория ожидаемого эффекта). – М.: ЦЭМИ РАН, 2001 . – 143 с.
24.Старик Д. Экономическая эффективность инвестиций: показатели и методы определения. - //Экономист, №12, 2002, с.57-61
25.Устименко В.А. Модель дисконтирования денежных потоков на инвестированный капитал. // Вопросы оценки. №4, 2004.
26.Элоев П.А. Инвестиций: Учеб. пособие. – СПб.: Изд-во СПб ГТУ, 2006. – 260 с.