| Скачать .docx |
Реферат: Споживче кредитування населення
Міжрегіональна академія управління персоналом
ЗВІТ
за результатами перед дипломної практики на тему
„Споживче кредитування населення”
(на матеріалах ТОВ „Банк Ренесанс Капітал”, м.Київ)
Керівник практики від ТОВ
„Банк Ренесанс Капітал”:
Керівник групи продаж кредитного відділу
Київ
2008
ЗМІСТ
Вступ
1. Характеристика діяльності комерційного банку ТОВ „Банк Ренесанс Капітал»
2. Аналіз кредитної діяльності ТОВ „Банк Ренесанс Капітал” в галузі споживчого кредитування населення у 2006 -2008 роках
2.1 Рейтингова позиція банку в банківській системі України
2.2 Оцінка ресурсної бази банку
2.3 Кредитні продукти та кредитна програма банку
2.4 Статистичний аналіз результативності кредитної діяльності банку
3. Висновки та рекомендації по удосконаленню споживчого кредитування населення ТОВ „Банк Ренесанс Капітал”
Список використаної літератури
Додатки
ВСТУП
Споживче кредитування стає усе більш і більш цікавим видом бізнесу, як для банків, так і для небанківських фінансових установ. За даними експер-тів, у 2007 році в загальному обсягу 103,5 млрд. грн. кредитів фізичним особам обсяг виданих споживчих кредитів населенню в Україні склав близько 22 млрд. грн. на поточні потреби та біля 39 млрд.грн. інвестиційного іпотечного кредитування, що складає близько 11,8% очікуємого ВВП у 2007 році[1] . Біля 85,7% обсягу споживчого кредитування приходиться на частку банківської системи. Середня сума позики на одну людину в Україні складає приблизно 105 євро, що значно менше аналогічних показників країн Східної Європи – 790 євро в Польщі, а тим більше Західної Європи – 6058 євро в Германії та 9603 євро в Великобританії[2] .
Споживче кредитування є одним з найпоширеніших видів банківських операцій у розвинутих країнах світу і є одним зі стимулюючих факторів розвит-ку економік цих країн. Вітчизняні комерційні банки прагнуть до збільшення обсягів кредитування за такими програмами. Разом з тим дана практика призводить до зростання кредитних ризиків. Проблеми розвитку споживчого кредитування розглядаються в працях багатьох вітчизняних і зарубіжних науковців.
У них досліджується зміст і форми проведення споживчого кредитування, визначаються напрями його розвитку в Україні. Проте у науковій літературі недостатньо розглядаються питання, пов’язані з ефективністю операцій споживчого кредитування.
Актуальність теми переддипломної практики полягає в необхідності дослідження сучасного стану, структури та обсягів споживчого кредитування населення комерційними банками України, як нового суттєвого явища в економіці України 21 сторіччя, доцільності проведення оцінки ефективності різновидів споживчого кредитування та загального рівня порівняльної привабливості споживчого кредитування населення.
Об’єктом переддипломного дослідження є банківські продукти споживчого кредитування населення.
Предметом переддипломного дослідження є – сутність та портфельний ряд продуктів споживчого кредитування в комерційних банках банківської системи України.
Мета переддипломного дослідження полягає у теоретичному обгрунтуванні важливості впровадження банківськимиустановами України продуктів споживчого кредитування населення України, розкриттю діючої практики розвитку банківських продуктів споживчого кредитування, а також пошуку напрямків удосконалення розвитку сегменту продуктів споживчого кредитування на основі систематизації існуючих тенденцій розвитку цього сектору в зарубіжних кредитного-фінансових установах.
Для досягнення поставленої мети в переддипломній практиці проведений аналіз та накоплення матеріалів по споживчому кредитуванню в кредитному відділі комерційного банку „Банк Ренесанс Капітал”, м.Київ.
Методами переддипломного дослідження є – структурний аналіз, первинні статистичні спостереження, групування та статистистичний аналіз хроноло-гічних рядів параметрів.
Інформаційною базою переддипломного дослідження були – звітні до-кументи ТОВ „Банк Ренесанс Капітал”, статистичні матеріали Національного банку України, Асоціації українських банків за 2006 – 2008 роки.,
1. Характеристика діяльності комерційного банку ТОВ „Банк Ренесанс Капітал”
Банк „Ренесанс Капітал” фактично розпочав свою комерційну діяль-ність в Україні в середині 2006 року. На сьогоднішній день кредит банку можна оформити у більш ніж 700 точках по всій Україні. Банк має партнерсь-кі стосунки із більшістю провідних торгівельних мереж України, у тому числі Ельдорадо, METRO Cash&Carry, Технополіс, Комфі, Рейнфорд, МКС, МегаМакс, О'КЕЙ, Техноярмарок та інші. Протягом досить короткого часу своєї діяльності в Україні Банк Ренесанс Капітал проявив себе успішним учасником ринку та надійним бізнес-партнером. Банк Ренесанс Капітал надає населенню цільові кредити у торгових точках, а також беззалогові грошові кредити на будь-які цілі [34].
Товариство з обмеженою відповідальністю “Банк Ренесанс Капітал” розташоване за юридичною адресою - 04050, м. Київ, вул. Глибочицька, 4.
Банк діє на підставі Закону України “Про банки та банківську діяль-ність” [4], Статуту та банківської ліцензії Національного банку України від 13 березня 2006 р. № 222.
Банк має право здійснювати банківські операції визначені частиною першою та пунктами 5-11 частини другої статті 47 Закону України “Про банки та банківську діяльність” [4]. 22 лютого 2007 року Банком було отримано дозвіл № 222-1 на право здійснення операцій визначених п. 1-4 частини другої та частиною четвертою статті 47 Закону України «Про банки та банківську діяльність» [4].
Основною стратегією Банку є взаємовигідне співробітництво з підпри-ємствами всіх форм власності, надання впевненості клієнтам на ринку фінан-сових послуг [34].
В 2007 -2008 роках ТОВ «Банк Ренесанс Капітал» продовжував розви-ток своєї бізнес-моделі та укріплення своїх позицій у вибраному напрямку високоякісного індивідуального обслуговування приватних клієнтів.
Головними бізнес – напрямками в 2007 -2008 роках є [34]:
- закріплення та розширення ринкової позиції Банку серед банків України;
- поліпшення структури активів Банку, зниження рівня концентрації ризиків, збільшення долі операцій, що приносять комісійні доходи;
- удосконалення маркетингу послуг приватним клієнтам, підвищення якості та конкурентоспроможності банківських продуктів.
- розширення продуктового ряду. Банком було запропоновано нові умови кредитування фізичних осіб з високим рівнем комфортності, а саме акційні кредити теміном на 24 та 30 місяців;
- співпраця з провідними торговими підприєствами побутової техніки та електроніки з метою розвитку продуктового ряду щодо кредитування фізичних осіб;
- підготовка до налагодження карткового бізнесу, в тому числі ко-брен-дінгових продуктів;
- відкриття представництв в рамках чіткої клієнт-орієнтованої геогра-фічної стратегії;
- удосконалення системи ризик-менеджменту.
ТОВ „Банк Ренесанс Капітал” є правонаступником всіх прав і обов’яз-ків Товариства з обмеженою відповідальністю «Універсальний комерційний банк «Лідер», зареєстрованого Національним банком України 29 січня 2003 року, реєстраційний номер 285. Відповідно до рішення Загальних зборів учасників Товариство з обмеженою відповідальністю «Універсальний комер-ційний банк «Лідер» від 5 жовтня 2005 року № 4 перейменоване у Товарист-во з обмеженою відповідальністю «Банк Ренесанс Капітал» [34].
Станом на 30.06.2008 єдиним учасником Банку є ЕрСіЕф Юроуп Бі.Ві.(RCF Europe B.V.).
Протягом 2007-2008 років в Банку працювало одне безбалансове відділення, яке знаходиться у м. Києві за аресою вул. Мечникова 9-В та 13 представництв в містах України, які продовжують стратегію розвитку клієн-тської бази і сприяють розширенню мережі продаж послуг Банку клієнтам, що мешкають (розташовані) за місцем знаходження відділення та представ-ництв.
ТОВ «Банк Ренесанс Капітал» здійснює основну свою діяльність по індивідуальному обслуговуванні приватних клієнтів в частині надання їм споживчих кредитів цільових та кредитів на загальні потреби. Виходячи з цього, структура контрагентів Банку є наступною:
- фізичні особи займають значну питому вагу 99,87%;
- банки займають 0,01%;
- юридичні особи займають 0,01%.
Банк не має контрагентів –державних установ та організацій. Банк активно працює на міжбанківському ринку. Кореспондентські відносини встановлені з Відкритим акціонерним товариством «Райффайзен Банк Аваль» і з Товариством з обмеженною відповідальність Комерційний банк «Ренессанс Капітал» (Росія).
Протягом 2007 року функціонували 13 представництв банку в містах Донецьк, Львів, Дніпропетровск, Одеса, Полтава, Херсон, Луганськ, Запоріж-жя, Миколаїв, Вінниця, Житомир, Суми, Нікополь [34].
Представництва не є юридичними особами, входять до складу Банку як територіально відокремлені структурні підрозділи; діють від імені Банку та ним фінансуються; не мають права здійснюватибанківську діяльність, вико-нують представницькі функції.
Завданнями представництв є [34]:
- встановлення ділових зв’язків та контактів з підприємствами вироб-ничої, торгівельної та фінансової сфер за місцем знаходження представницт-ва з метою налагодження співробітництва та взаємодії у сфері банківських послуг, що надаються Банком;
- залучення на обслуговування до Банку клієнтів, переважно з числа фізичних осіб;
- збір та аналіз кон’юнктурно-економічної інформації, в першу чергу, що стосується можливості здійснення різних форм банківської діяльності, для досягнення найбільш вигідних умов здійснення банківських операцій та в цілях забезпечення економічних інтересів Банку;
- представлення інтересів Банку у відносинах з усіма центральними і місцевими органами державної влади та управління, органами місцевого самоврядування, а також у відносинах з фізичними та юридичними особами, у будь-яких судових органах, органах державної виконавчої служби, у відносинах з нотаріусами.
Представництва виконують наступні функції:
- сприяють організації роботи з надання Банком кредитів клієнтам, що мешкають (розташовані) за місцем знаходження представництва;
- консультує клієнтів і проводить переговори з ними по всьому комп-лексу операцій, здійснюваних Банком, в тому числі щодо кредитування;
- вивчає пропозиції клієнтів щодо замовлення банківських послуг та/або операцій;
- сприяє в реалізації регіональної політики Банку шляхом встановлення та розвитку відносин с органами державної влади та управління за місцем знаходження представництва, а також з існуючими та потенційними клієнта-ми та партнерами Банку;
- здійснює збір фінансової та комерційної інформації, що є цікавою для Банку;
- здійснює ділові контакти з банками, підприємствами та іншими орга-нізаціями за місцем знаходження представництва, з питань, що входять до кола діяльності представництва, а також за окремими дорученнями Банку;
- рекламує діяльність Банку;
- представляє інтереси Банку у відносинах з усіма центральними і міс-цевими органами державної влади та управління, органами місцевого само-врядування, з фізичними та юридичними особами, в тому числі партнерами Банку, у будь-яких судових органах, органах державної виконавчої служби, нотаріальних органах;
- здійснює інші представницькі функції згідно з внутрішніми норматив-ними актами Банку та рішеннями Ради Директорів Банку.
Представництва не мають самостійного балансу. Діяльність представ-ництв фінансується Банком. Представництвам можуть бути відкриті поточні рахунки відповідно до чинного законодавства України та нормативно-право-вих актів Національного банку України.
Представництва користуються переданими їм Банком майном, яке є власністю Банку і відображається на балансі останнього. Усі витрати, пов’я-зані з діяльністю представництв, здійснюються Банком та відносяться на його витрати.
Управління ризиками – це процес, за допомогою якого Банк виявляє (ідентифікує) ризики, проводить оцінку їх величини, здійснює їхній моніто-ринг і контролює свої ризикові позиції, а також враховує взаємозв’язки між різними категоріями (видами) ризиків.
Виходячи зі специфіки діяльності найбільш суттєвим Банк вважає кредитній ризик. Під кредитним ризиком Банк розуміє ймовірність збитків в результаті неналежного виконання позичальником своїх зобов’язань за кредитним договором.
Основними цілями Банку під час управління кредитним ризиком є:
- адекватна оцінка ризиків кожного позичальника на момент подачі заявки;
- запобігання можливого шахрайства з боку позичальників і/або співробітників Банку, як на стадії відкриття рахунка, так і в період існування кредиту;
- своєчасний перегляд стратегії з управління ризиками за результатами аналізустатистичних даних;
- оптимізація процесів повернення простроченої заборгованості.
Метою кредитної політики Банку є формування кредитного портфеля, який дозволяє максимально задовольнити попит клієнтів на ринку споживчо-го кредитування і забезпечити одержання Банком доходу при прийнятному рівні кредитного ризику.
Серед основних вимог, що Банк пред’являє до потенційних позичаль-ників, - стабільна зайнятість, прийнятний рівень доходу, відсутність негатив-ної кредитної історії тощо.
Окрема увага приділяється в Банку питанням регіональної диверсифі-кації кредитного портфелю. Станом на 31 грудня 2007 року питома вага жод-ного з регіонів не перевищувала 30% від загального кредитного портфелю Банку.
Ефективне управління якістю кредитного портфелю Банку є предметом постійного аналізу і детального обговорення на регулярних засіданнях керів-ництва Банку. Кредитний ризик є об’єктом контролю з боку учасників (влас-ників) Банку. Регулярно для них готуються звіти про структуру кредитного портфелю, рівень простроченої заборгованості та резерви, сформовані для покриття можливих втрат.
Банк працює в режимі оцінки та контролю ризиків та своєчасного реагування на можливі негативні події.
Процентна маржа між ставками за залученими та розміщеними кошта-ми протягом 2007 року була позитивною. Так середні процентні ставки за 2007 рік були наступними, %:
UAH USD
Активи
Кошти в банках 3.72 5.95
Кредити та заборгованість клієнтів 19.10 -
Зобов’язання
Кошти банків 6.08 9.38
Кошти клієнтів 8.33 9.91
Платоспроможність Банку завжди знаходиться в межах нормативних значень Національного банку України. За станом на 31.12.2007 року (кінець дня) показник адекватності регулятивного капіталу (Н2) становив 15,26% (при нормативі не менш 10%).
Здатність Банку своєчасно та в повному обсязі відповідати за своїми зобов’язаннями грунтується на підтриманні ліквідності Банку на достатньому рівні. Станом на 31 грудня 2007 року (кінець дня) показник миттєвої ліквід-ності Н4 становив 29,78%, за умови, що нормативне значення не має бути меньшим ніж 20%. Показник поточної ліквідності Н5 становив 63,67% за умови, що нормативне значення не має бути не меншим ніж 40%. Показник короткострокової ліквідності Н6 становив 68,24% за умови, що нормативне значення не має бути не меншим ніж 20%.
В Банку працює лінійно-функціональна організаційна структура для забезпечення обслуговування клієнтів, купівлі-продажу ризиків та організації господарської діяльності.
Фронт-офіс забезпечує укладання угод та обслуговування активних і пасивних операцій Банку. До складу фронт-офісу входять:
- департамент операційних технологій;
- департамент розвитку бізнесу нецільового кредитування ;
- департамент розвитку бізнесу цільового кредитування;
- департамент дистрибуції;
- казначейство.
Бек-офіс забезпечує організацію аналізу, документообігу, обліку та контролю банківської діяльності. До нього входять:
- департамент з правових питань та фінансового моніторингу;
- департамент ризик менеджменту;
- управління банківських операцій;
- департамент інформаційних технологій і безпеки інформації;
- служба безпеки;
- департамент фінансів та бухгалтерського обліку.
Крім того для організації господарської діяльності банківської устано-ви організовано підрозділ технічної підтримки, а саме адміністративно-економічний департамент.
Для здійснення контрольних функцій в структурі банку існує управлін-ня внутрішнього аудиту, що підпорядковано безпосередньо Голові Спосте-режної Ради.
Розрахунково–касове обслуговування клієнтів банку-фізичних осіб здійснюється тільки у м. Києві:
-у головному офісі управлінням банківських операцій Банку;
-у безбалансовому відділенні Банку.
Істотну участь у банку станом на 31 грудня 2007 року (на кінець дня) має RCF Europe B.V., якому належала частка у статутному капіталі розміром 100,00%.
Загальна кількість штатних працівників Банку на кінець звітного року складала 1 206 осіб. Порівнянно з минулим роком кількість працівників зросла майже в 2,4 рази (2006 рік: 506 осіб).
Характер операцій та основної діяльності Банку [34]:
1. Банк здійснює банківську діяльності в межах банківської ліцензії Національного банку України від 13 березня 2006 р. № 222.
2. Банк не є спеціалізованим. Основний напрямок активних операцій Банку – це надання цільових кредитів та кредитів на поточні потреби фізич-ним особам. У цьому напрямку Банк зайняв свою нішу на ринку фінансових послуг за рахунок гнучких підходів до проектів клієнтів, неформального ставлення до продукту, швидкого прийняття рішень, тощо.
3. Операційну діяльність Банк здійснює починаючи з 2006 року. Діяльність Банку протягом 2007 року була прибутковою. Для підтримання достатнього рівня регулятивного капіталу Банку та рентабельності активів Банком та його учасником було докладено максимум зусиль та вжито ряд заходів результатом чого є отримання протягом 2007 року від компанії RCF Europe B.V. (учасник Банку) безповоротної фінансової допомоги у розмірі 91 875 тис. грн..
4. У витратах Банку після витрат на персонал та загальних адмініст-ративних витрат найбільшу питому вагу займають витрати на формування резервів під активні операції, що пояснюється досить високими темпами зростання кредитного портфелю, а також високими вимогами щодо форму-вання резервів з боку Національного банку України.
5. Дохідна частина формується за рахунок комісійного доходу, який в основному складається з комісійної винагороди сплаченої фізичними особа-ми за розрахунково-касове обслуговування за кредитними договорами.
6. Найбільшу питому вагу у доходах Банку за 2007 рік складає сума інших доходів – 91 875 тис. грн., отриманих у формі фінансової допомоги на
підтримання достатнього рівня регулятивного капіталу банку та рентабель-ності активів до угоди на отримання безповоротньої фінансової допомоги. Ця сума є одним із основних джерел формування прибутку Банку.
7. Серед пасивів Банку найбільшу долю займають кошти банків 56,85% від загальних пасивів Банку. Значну питому вагу 69,91% у зобов’язаннях за коштами, залученими на міжбанківському ринку, складають операції по залученню коштів у національній валюті за операціями на міжбанківському ринку України на умовах СВОП з одночасним розміщенням коштів в іноземній валюті
7. Залучення коштів від фізичних осіб становить 5,61% у залученних Банком коштів клієнтів, включаючи інші кошти перераховані достроково до графіків погашення заборгованості за кредитними договорами Причина виникнення такої заборгованості полягає в особливостях процедури погашення клієнтами заборгованості за кредитами, які надано Банком на споживчі цілі. У відповідності до умов кредитних договорів, клієнти сплачують платежі відповідно до графіків погашення заборгованості (нараховані відсотки, комісія і сума кредиту) за декілька днів, що передують даті, встановленій договором. До дати платежу по договору вказані кошти обліковуються на рахунку 2909.
Рада Директорів Банку є вищим виконавчим органом банку, який несе відповідальність за безпосередню організацію та реалізацію процесу ризик-менеджменту в Банку, тобто за забезпечення виявлення (ідентифікації), оцін-ки, контролю та управління ризиками, враховуючи взаємозв'язок між його різними категоріями (видами).
Банк, здійснюючи банківські операції з метою одержання прибутку, наражається на ризики, для забезпечення додаткових заходів з метою управ-ління ризиками створені колегіальні комітети: Кредитний комітет, Комітет з питань управління активами та пасивами (КУАП),Тарифний комітет.
Формування резервів під кредитні ризики здійснюється відповідно з
«Положенням про порядок формування та використання резерву для відшко-дування можливих втрат за кредитними операціями банків», затверджене постановою Правління Національного банку України від 6 липня 2000 року N 279 (із змінами та доповненнями).
Система управління ризиком Банку складається із регламентних доку-ментів – політик, положень, процедур, методик, які затверджуються Радою Директорів Банку або відповідними комітетами та встановлюють процедури затвердження, контроль рівня ризику та процедури моніторингу, в межах повноважень.
Специфікою діяльності Банку є зосередження діяльності Банку на спо-живчому кредитуванні, а тому основними для Банку є наступні види ризиків:
- кредитний ризик;
- ризик ліквідності;
- операційно – технологічний ризик;
- репутаційний ризик;
- ризик зміни процентної ставки.
В структурі Департаменту ризик-менеджменту Банку наявні: портфель-ні менеджери, менеджер із запобігання шахрайства, спеціаліст з ризик-техно-логій та ризик-аналітики.
В структурі колекторського відділу наявні: менеджер з претензійно-позовної роботи, менеджер по роботі із простроченою заборгованістю, та інші.
Зовнішніми факторами ризику в діяльності Банку є:
- погіршення макроекономічної ситуації в Україні;
- зміни в чинному законодавстві України, які можуть негативно вплинути на діяльність банків;
- форс–мажорні обставини.
В цілому ризики, на які наражається Банк, є керованими та знаходяться на прийнятних рівнях, що забезпечується їх ефективним управлінням.
Складовими облікової політики кредитних операцій є наступні внутрішньобанківські положення:
1) Положення про проведення оцінки фінансового стану банка позичальника
для визначення категорії кредитної операції;
2) Положення про порядок споживчого кредитування.
3) Положення про надання консультаційних і інформаційних послуг за
банківськими операціями;
4) Положення про факторинг;
5) Положення про взаємодію підрозділів ТОВ «Банк Ренесанс Капітал» при здійсненні контролю за дотриманням нормативів кредитного ризику, виявленню інсайдерів, веденню та використанню їх переліку;
6) Положення про кредитуванню позичальників - юридичних осіб;
7) Положення про методику проведення оцінки фінансового стану позичальників юридичних осіб;
8) Положення про методику проведення оцінки фінансового стану позичальників фізичних осіб;
9) Положення про порядок здійснення гарантійних операцій;
10) Кредитна політика;
11) Положення про кредитування фізичних осіб;
Відповідно до вимог чинного законодавства та нормативно-правових актів Національного банку України (Положення про порядок формування та використання резерву для відшкодування можливих втрат за кредитними операціями банків, затвердженим постановою Правління НБУ від 6 липня 2000 р. N 279 зі змінами та доповненнями та Інструкції з бухгалтерського обліку кредитних, вкладних (депозитних) операцій та формування і використання резервів під кредитні ризики в банках України, що затверджена постановою Правління Національного банку України від 15.09.2004 N 435) Банк створює резерв під стандартну та нестандартну заборгованість за активними операціями за рахунок витрат Банку.
Починаючи з 1.08.07 року, Банк здійснює розрахунок та формування резерву за портфелем однорідних споживчих кредитів. До однорідних споживчих кредитів відносяться кредити на поточні потреби, які надані позичальнику - фізичній особі в рамках кредитних програм Банку за умови, що загальна сума їх за одним чи декількома кредитними договорами (незалежно від наявності забезпечення) не перевищує 20 тис. грн.
До портфеля однорідних споживчих кредитів включається загальна сума заборгованості за однорідними споживчими кредитами, які облікову-ються на балансових рахунках 2202, 2203, 2206, 2207, 2290, 2620А, 2625А, що надані Банком на поточні потреби позичальникам - фізичним особам, у кредитних договорах з якими є письмова згода позичальника на надання Банком відповідної інформації до бюро кредитних історій та інформація за цими договорами в ньому розміщена.
За кредитами наданих в рамках програми «Кредит на загальні споживчі цілі» за кредитними продуктами: «Кредит на загальні цілі, банківський переказ на рахунок клієнта» та «Кредит на загальні цілі, надання через касу» Банк здійснює розрахунок та формування резерву у відповідності до загальних вимог наведенного вище «Положення про порядок формування та використання резерву для відшкодування можливих втрат за кредитними операціями банків».
Формування резервів для відшкодування можливих втрат за активними банківськими операціями здійснюється за результатами інвентаризації заборгованості щомісячно в повному обсязі (виходячи із стану кредитного портфелю Банку).
Резерви створюються на підставі рішення Кредитного комітету, починаючи з останнього робочого дня місяця і не пізніше 7-го числа місяця, наступного за звітним. У разі формування резервів в наступному місяці вони відображаються в балансі коригуючими проводками.
Для списання безнадійних активів Банком обрано метод створення резервів, що передбачає поступове перенесення на рахунок витрат сумнівних та безнадійних активів та їх списання з рахунків сформованих резервів. Створені резерви для відшкодування можливих втрат за активними операціями використовуються на погашення безнадійної заборгованості в першу чергу за основним боргом, яка обліковується на балансових рахунках, як сумнівна заборгованість. Списання безнадійної заборгованості за рахунок сформованого резерву під нестандартну заборгованість здійснюється відповідно до рішення кредитного комітету Банку, яке оформлюється протоколом кредитного комітету.
Безнадійна кредитна заборгованість може бути списана за рахунок резерву під стандартну заборгованість після прийняття відповідного рішення Кредитним комітетом Банку.
Списана кредитна заборгованість за основним боргом та процентами враховується банком на позабалансових рахунках 96 групи до закінчення троку позовної давності і остаточно списується з позабалансових рахунків у встановленому порядку або після повернення.
Списання безнадійних активів методом прямого списання у Банку не застосовується. Протягом 2007 року Банк не проводив списання безнадійної заборгованості за рахунок резервів.
Нарахування процентів по кредитах проводиться щомісяця та у разі настання строку погашення кредиту на умовах ануітету, відповідно до періоду їх сплати згідно умов договору. Комісії по кредитах нараховуються у кінці місяця та у дату їх сплати згідно умов договору.
При нарахуванні процентів Банк керується Правилами бухгалтерського обліку доходів і витрат банків України, затвердженими Постановою Правлін-ня НБУ від 18 червня 2003 р. N 255 зі змінами та доповненнями. Для нараху-вання процентів та комісійної винагороди по рахунках в аналітичному обліку відкриваються окремі особові рахунки кожному клієнту – позичальнику по кожному кредитному договору.
Для нарахування процентів та комісій по кредитах, виданих як фізич-ним особам так і юридичним особам, Банк керується умовами, визначеними договорами.
В процесі своєї діяльності протягом 2007 року Банк проводив активні операції з пов’язаними особами - управлінським персоналом Банку до 28 жовтня 2007 р. Загальна сума таких операцій за 2007 рік склала 370 тис. грн. Станом на 31 грудня 2007 року заборгованість за кредитами наданими управлінському персоналу складає 308 тис. грн.
Рішенням комісії Головного Управління Національного банку України по м.Києву і області з питань нагляду та регулювання діяльності банків за № 07303 від 28 вересня 2007 року до Банку було застосовано заборону щодо здійснення активних операцій з пов’язанними особами на строк до 1 січня 2008 року.
Банк протягом 2007 року здійснював залучення коштів у іноземній валюті (долари США) від основного участника RCF Europe B.V. Станом на 31 грудня 2007 року залучення від участника RCF Europe B.V. складають 411 585 тис. грн.( що у еквіваленті по офіційному курсу Національного банку України дорівнює 81 502 тис. дол США).
З метою оперативного розгляду Банком можливостей проведення активних операцій з позичальниками, пов’язаними спільним економічним ризиком, та пов’язаними з Банком позичальниками, а також задля дотриман-ня нормативних вимог НБУ в Банку створюється база даних по інсайдерам, а також по позичальникам, що виступають перед Банком як один контрагент.
Прийняття рішень та розкриття інформації, а також можливі обмеження щодо проведення операцій з пов’язаними сторонами здійснюється Банком відповідно до вимог чинного законодавства України та на підставі внутріш-ньобанківських документів.
Рішення про відкрите (публічне) розміщення облігацій прийнято Загальними Зборами учасників ТОВ «Банк Ренесанс Капітал» (Протокол № 7/2008 від 26.09.2008 року).
Параметри розміщення:
1. Характеристика облігацій
Серія «В» - Іменні; відсоткові; звичайні (незабезпечені);
Серія «С» - Іменні; відсоткові; звичайні (незабезпечені).
2. Кількість облігацій
До розміщення пропонуються облігації у кількості 300 000 (триста тисяч) штук:
Серія «В» - 150 000 (сто п’ятдесят тисяч) штук;
Серія «С» - 150 000 (сто п’ятдесят тисяч) штук.
3. Номінальна вартість облігації
Серія «В» - 1 000 (одна тисяча) грн. 00 коп. кожна;
Серія «С» - 1 000 (одна тисяча) грн. 00 коп. кожна.
4. Загальна номінальна вартість випуску облігацій
До розміщення пропонуються облігації загальною номінальною вартістю 300 000 000 (триста мільйонів) грн. 00 коп.:
Загальна номінальна вартість облігацій Серії «В» - 150 000 000 (сто п’ятдесят мільйонів) грн. 00 коп.;
Загальна номінальна вартість облігацій Серії «С» - 150 000 000 (сто п’ятдесят мільйонів)грн. 00 коп.
5. Форма існування облігацій
До розміщення пропонуються облігації Серій «В», «С» у бездокумен-тарній формі існування.
6. Вид забезпечення та розмір забезпечення
Облігації Серії «В» та «C» звичайні (незабезпечені).
7. Напрями використання.
Фінансові ресурси, залучені від продажу облігацій Серії «В» та «C», будуть направлені на збільшення кредитного портфелю Банку у повному обсязі - у сумі 300 000 000 (триста мільйонів) грн. 00 коп. Зокрема, планується, що вказана сума коштів в рівних обсягах буде спрямована на
надання споживчих кредитів фізичним особам, а саме: на придбання товарів тривалого використання - в сумі 150 000 000 (сто п’ятдесят мільйонів) грн. 00 коп., на кредитування населення (фізичних осіб) на загальні потреби - в сумі 150 000 000 (сто п’ятдесят мільйонів).
Основні стратегічні задачі [34]:
- фокусування на високодохідній діяльності у споживчому кредитуван-ні;
- стати лідером на швидкозростаючому ринку прямого кредитування;
- підтримувати широке покриття шляхом присутності точок продаж у магазинах;
- продовжувати розвиток високодохідних продаж шляхом розширення кросс-продажу (xselling) та додаткового продажу (up-selling) у клієнтскій базі данних.
Перспективи діяльності Банку у 2008 році та наступних роках. На поточний час та наступні роки планується агресивна поведінка Банку на ринку.
Відносно сегменту споживчих кредитів, планується збільшення частки ринку, та збільшення кредитного портфелю. Банк має намір продовжити розробляти гнучкі депозитні програми та націлений на нарощення портфелю депозитів від VIP-осіб.
Також планується вдосконалення існуючих програм по бородьбі з шахрайством, посилення контролю на місцях видачі кредитів та розширення коллекторського відділу.
Буде продовжуватися впровадження нових та модифікування старих продуктів для максимального приведення їх у відповідність до потреб ринку, а також подальша розробка схем лояльності клієнтів, які вже користувались послугами Банку.
Таким чином у IV кварталі 2008 року готується запуск нового продукту – кредитні карти.
2. Аналіз кредитної діяльності ТОВ „Банк Ренесанс Капітал” в галузі споживчого кредитування населення у 2006 -2008 роках
2.1 Рейтингова позиція банку в банківській системі України
У 2006 -2008 роках Банк функціонував як універсальний банк, без спеціалізації за видами операцій. Банк не є спеціалізованим також відповідно до Статуту. Але, виходячи з основної стратегіїї Банку, найбільшу питому вагу в валюті балансу продовжують займати операції з кредитування фізичних осіб (61,72%).
Рейтингові показники ТОВ „Банк Ренесанс капітал” в банківській системі України (164 комерційних банка), проведені Національним банком України на 01.01.2007 [33] – за перші півроку роботи у 2006 році, мають наступні рівні:
1. Обсяг активів балансу – 148,8 млн.грн. (147 місце).
4. Обсяг депозитів фізичних осіб – 4,1 млн.грн.
5. Обсяг депозитів юридичних осіб – 0 млн.грн..
6. Фінансовий результат (прибуток 2006 року) – 1,78 млн.грн.(71 місце)
8. Рентабельність активів – 1,2 %.
Рейтингові показники ТОВ „Банк Ренесанс капітал” в банківській системі України (164 комерційних банка), проведені Національним банком України на 01.01.2008 [33], мають наступні рівні:
1. Обсяг активів балансу – 1 300,5 млн.грн. (61 місце).
4. Обсяг депозитів фізичних осіб – 26,9 млн.грн. (138 місце).
5. Обсяг депозитів юридичних осіб – 453,1 млн.грн.(50 місце).
6. Фінансовий результат (прибуток 2007 року) – 7,264 млн.грн.(71 місце)
8. Рентабельність активів – 0,558 %, що в 2,5 рази нижче середнього рівня (1,25%) рентабельності активів банків в банківській системі України [25].
Рейтингові показники ТОВ „Банк Ренесанс капітал” в банківській системі України (164 комерційних банка), проведені Національним банком України та Асоціацією українських банків станом на 01.10.2008 [32], мають наступні рівні:
1. Обсяг активів балансу – 2 667,0 млн.грн. (46 місце), що становить 0,354% від сумарних активів банківської системи України.
2. Обсяг кредитно-інвестиційного портфелю – 2367,2 млн.грн. (44 місце) – при цьому банк не кредитує юридичних осіб.
3. Обсяг власного капіталу – 252,3 млн.грн.(61 місце).
4. Обсяг депозитів фізичних осіб – 50,5 млн.грн. (136 місце).
5. Обсяг депозитів юридичних осіб – 826,5 млн.грн.(41 місце).
6. Фінансовий результат (прибуток 2008 року) – 14,22 млн.грн. (48 місце).
8. Рентабельність активів – 0,533 %, що на 40% нижче середнього рівня (0,933%) рентабельності активів банків в банківській системі України [32].
9. Рентабельність статутного капіталу – 9,91 %, що на 15% нижче середнього рівня (11,45%) рентабельності статутного капіталу банків в банківській системі України [32].
Таким чином, за 2,5 роки діяльності рейтингове місце банку в банківсь-кій системі України зросло з 141 місця (2006) до 61 місця за результатами 2007 року та до 44 місця за результатами 3 кварталів 2008 року.
Банк виключно:
- нарощує , в основному,обсяги депозитів юридичних осіб;
- кредитує виключно фізичних осіб.
Рентабельність роботи статутного капіталу є дещо нижчою, ніж середня по БС України, рентабельність активів є значно нижчою, ніж середня по банківській системі України.
В додатках А та Б наведені баланси та фінансові звіти ТОВ „Банк Ренесанс Капітал” за 2006 -2008 роки.
2.2 Оцінка ресурсної бази банку
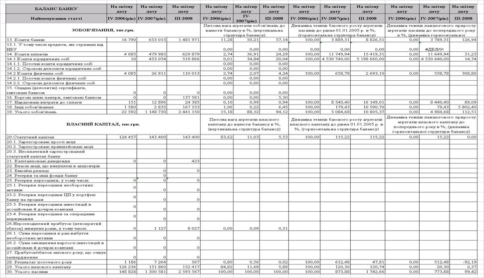
З 2006 - 2008 роках суттєво зросли обсяги ресурсної база Банку, так кошти, які залучено від клієнтів, збільшились майже у 16 разів, 35,83 % у загальних зобов’язаннях Банку займають кошти, що отримані від учасника банку RCF Europe B.V. (рис.2.1)

Рис.2.1. Динаміка обсягів складових ресурсної бази ТОВ „Банк ренесанс капітал” у 2006 -2008 роках
Характерною ознакою 2007 року було збільшення ресурсної бази Бан-ку, у цілому в 53,3 рази. Насамперед, обсяг залучених коштів юридичних осіб зріс в 100 разів, зобов’язання Банку за коштами залученними на міжбанків-ському ринку збільшились в 38,9 разів порівняно з 2006 роком. (рис.2.2)

Рис.2.2. Динаміка базових темпів росту обсягів складових ресурсної бази ТОВ „Банк ренесанс капітал” у 2007 -2008 роках відносно рівня 2006 року
В цілому, за 2,5 роки обсяг валюти балансу зріс в 17,4 раза, обсяг запо-зичених коштів банків зріс в 88,3 рази, обсяг залучених коштів юридичних осіб зріс в 114,8 раза, обсяг залучених коштів фізичних осіб зріс у 26,9 раза, обсяг власного капіталу зріс тільки на 15%.
Значну питому вагу, 69,91% у зобов’язаннях за коштами, залученими на міжбанківському ринку, складають операції по залученню коштів у націо-нальній валюті на міжбанківському ринку України на умовах СВОП з одно-часним розміщенням коштів в іноземній валюті. Обсяг залучень за іншими операціями, виключаючи операції типу СВОП, складають 30,11% від загаль-них коштів, залучених від інших банків. Основним кредитором за таким залученням є Товариство з обмеженною відповідальністю Комерційний банк «Ренессанс Капітал» (Росія).
2.3 Кредитні послуги та кредитна програма банку
Завдяки суттєвому зростанню ресурсної бази Банку, поліпшення її строкової структури, зваженного підходу до встановлення рівня процентних ставок та комісій, банк протягом 2007 - 2008 років значно наростив обсяги кредитування фізичних осіб порівнянно з 2006 роком, абсолютний приріст вимог Банку за наданими кредитами фізичним особам перевищив у 2007 році більше ніж у 6 разів суму вимог за 2006 рік, у у 2008 році - .більше ніж у __ разів суму вимог за 2006 рік (рис.2.3 - 2.4).

Рис.2.3. Динаміка обсягів складових активно-кредитної бази ТОВ „Банк ренесанс капітал” у 2006 -2008 роках

Рис.2.4. Динаміка базових темпів росту обсягів складових активно-кредитної бази ТОВ „Банк ренесанс капітал” у 2007 -2008 роках відносно рівня 2006 року
У 2007 році Банком було розроблено та впроваджено нові цільові кредитні продукти «0-0-24» (цільовий кредит терміном на 24 місяці) та «0-0-30» (цільовий кредит терміном на 30 місяців).
1. Цільовий кредит
За допомогою цільового кредиту Ви можете придбати будь-які товари в магазинах-партнерах банку.
Після того. Як Ви вибрали товар, зверніться до нашого представника у торговій залі для заповнення анкети та отримання кредиту.
Таблиця 2.1
Умови та тарифи цільового кредиту [34]
| Сума |
500 – 25 000 гривень |
| Строк |
6,12,18,24 місяців |
| Перший внесок |
від 0% |
| Вік |
18 – 65 років |
| Громадянство |
Україна |
| Реєстрація |
дійсна в Україні |
Паспорт громадянина України Оригінал довідки про присвоєння податкового номеру На всяк випадок візьміть із собою будь-який сплачений рахунок: за комунальні послуги, електроенергію, кабельне телебачення, стаціонарний або мобільний телефон, - в якому вказана адреса вашого фактичного проживання (для нас неважливо, яке прізвище буде вказане у рахунку). Банк залишає за собою право запитати додаткові документи.
У кредит Ви можете придбати будь-якы товари в магазинах-партнерах Банку:
Торгівельні мережі – партнери банку
| METRO Cash&Carry www.metro.ua |
Технополіс http://www.technopolis.com.ua |
|
|
|
| МегаМакс www.megamax.ua |
Техноярмарок www.tehnoyarmarok.com.ua |
|
|
|
| МКС http://www.mks.ua |
Рейнфорд http://www.rainford-tv.com.ua |
|
|
|
| Комфі http://www.comfy.com.ua |
Таїр http://www.tair.in.ua |
|
|
|
* Щомісячний платіж включає страхування.
→ Через термінали миттєвої сплати I-Box
→ Переваги використання терминалів → Що необхідно знати → Як скористатись терміналом моментальної сплати
→ Через банки
→ Банки-партнери → Інші банки → Обслуговуючий банк
→ Через бухгалтерію за місцем роботи → Рекомендації позичальнику → Додаток
Через термінали миттєвої сплати I-Box
Адреси терминалів I-Box Ви можете здійснювати погашення заборгованості за кредитом, нарахованим процентам та комісії легко та в зручний для вас час через термінали моментальної сплати I-Box, які розташовані у великих торгівельно-розважальних центрах, супермаркетах, магазинах та кінотеатрах.
Переваги використання терміналів
Швидке зарахування коштів на рахунок в банку
кошти, які внесені через термінал моментальної сплати у робочі дні до 16:00 будуть зараховані на рахунок клієнта в той же день. Кошти, які внесені після 16:00 у робочі дні або в вихідні чи святкові дні, будуть зараховані на рахунок клієнта у перший наступний робочій день.
Сплата готівкою
приймаються купюри достоїнством 1, 2, 5, 10, 20, 50, 100, 200 гривень
Висока швидкість обслуговування
середній час операції, як правило, не перевищує 1 хвилини.
Зручне розташування терміналів
ви можете дізнатися про розташування найближчого до Вас терміналу, скориставшись Пошуком або зателефонувавши за номером 8 800 30 30 800 з 9:00 до 21:00 (дзвінки зі стаціонарних телефонів в межах України безкоштовні) зміст
Ваш персональний ідентифікаційний податковий номер
вказаний у довідці про присвоєння Вам ідентифікаційного номера платника податку.
Номер вашого рахунку в Банку Ренесанс Капітал
вказаний в графіку платежів до оферти на укладення кредитного договору.
Платежі здійснюються у гривнях мінімальна сума платежу – 1 гривня, максимальна – 50 000 гривень. УВАГА: термінали моментальної сплати решту не видають!
Комісія за погашення кредиту через термінали I-box для клієнтів Банку Ренесанс Капітал складає 1,7% - У разі виникнення додаткових питань або проблем при використанні терміналів, звертайтесь у сервісну службу компанії I-Box за телефоном 8 800 300 10 20 цілодобово (дзвінки зі стаціонарних телефонів в межах України безкоштовні). зміст
Як скористатися терміналом моментальної сплати
1. Оберіть логотип «Банк Ренесанс Капітал» на екрані терміналу. 2. Оберіть тип платежу «Сплата кредиту». 3. Прочитайте інформаційне повідомлення про строки зарахування коштів на ваш рахунок в «Банку Ренесанс Капітал» і натисніть кнопку «Далі». 4. Введіть номер вашого рахунку в «Банку Ренесанс Капітал», скориставшись клавіатурою на екрані терміналу і натисніть кнопку «Далі». 5. Введіть Ваш персональний ідентифікаційний номер (ІПН) і натисніть кнопку «Далі». 6. Підтвердьте коректність введеної інформації, натиснувши кнопку «Підтвердити». 7. Зачекайте, поки термінал виконує перевірку коректності введеної вами інформації. Якщо ведена вами інформація некоректна, термінал запропонує Вам повторно ввести номер Вашого рахунку і Ваш персональний ідентифікаційний номер. 8. Внесіть у купюроприймач суму платежу по одній купюрі і тільки після цього натисніть кнопку «Сплатити». 9. Кошти будуть зараховані на ваш рахунок після 18:30 поточного чи наступного робочого дня. 10. Візьміть чек, який є підтвердженням вашої сплати. Зберігайте чек до моменту повного погашення кредиту.
зміст
Партнерами Банку Ренесанс Капітал є Правекс-Банк, Ощадбанк та Імекс-Банк. Погашення кредиту Банку Ренесанс Капітал через відділення цих банків гарантує, що платіж надійде вірно. Банк-партнер може стягувати комісію за здійснення платежу.
Для сплати необхідно мати при собі банківську квитанцію, що видається під час оформлення кредиту
Сплату щомісячних платежів за кредитом, виданого утримувачу ООО «Банк Ренесанс Капітал» можна здійснити через будь-який зручно розташований банк, що надає подібні послуги згідно з правилами прийнятими у даному банку. Для сплати необхідно мати при собі банківську квитанцію, що видається при оформленні кредиту, а також інші документи на вимогу обраного Вами банку. Банк встановлює розмір комісії, яка утримується з отримувача за перерахування коштів, згідно правил і тарифів, прийнятих у банку.
Якщо отримувач має рахунок в іншому банку, він може звернутись до свого банку з проханням щомісячно здійснювати згідно кредитного договору з ООО «Банк Ренесанс Капітал», протягом дії цього договору, по реквізитам, вказаним в оферті. Банк встановлює розмір комісії, що утримується з отримувача за здійснення платежів і надання додаткової послуги згідно з прийнятими у банку правилами і тарифами.
зміст
Через бухгалтерію за місцем роботи
Отримувач може здійснити платіж на свій рахунок в ООО «Банк Ренесанс Капітал» зі своєї зарплатні. Для цього необхідно звернутись до бухгалтерії роботодавця і залишити «Заявуз проханням щомісячно перераховувати відповідну суму на його рахунок в ООО «Банк Ренесанс Капітал» відповідно до реквізитів, вказаних в оферті. У разі згоди роботодавця бухгалтерія буде сама щомісячно у визначений день місяця перераховувати відповідні платежі за кредитом. При цьому слід пам’ятати, що підприємства можуть утримувати комісію за здійснення безготівкового грошового переказу. Також слід контролювати правильність та своєчасність переказів грошей за кредитом бухгалтерією роботодавця. зміст
• Не слід залишати щомісячні виплати за кредитом на останній момент - це може стати причиною несвоєчасного зарахування платежів на рахунок отримувача і накладання штрафних санкцій з боку ВАТ «Банк Ренесанс Капітал». Оптимальним є погашення кредитної заборгованості мінімум за 4 робочі дні до зазначеної дати. • У разі здійснення платежів через банки-партнери слід мати при собі заповнені форми платіжних доручень, які видаються при оформленні кредиту. • Слід пам’ятати, що за здійснення платежу утримується комісійна винагорода установою, яка здійснює перерахунок коштів. зміст
Зразок квитанції для Ощадбанку Зразок банківської квитанції Зразок заяви для перерахунку коштів за місцем роботи зміст
2. Нецільовий - Кредит на всe
Таблиця 2.2
Умови та тарифи нецільового кредиту [34]
| Сума |
від 1000 до 25000 гривень |
| Строк |
від 12 місяців до 3 років |
| Отримання кредитних коштів |
одразі після надання необхідних документів |
| Вік |
від 21 року |
| Громадянство |
Україна, Росія |
| Стаж на останньому місці роботи |
від 3 місяців |
| Мінімальний щомісячний дохід |
від 500 гривень |
| Паспорт |
оригінал |
| Індивідуальний податковий номер |
оригінал |
| Довідка про заробітну платню |
оригінал |
| Для переказу суми кредиту на рахунок в іншому банку |
копія договору про відкриття рахунку |
Додатково просимо надати другий документ, що засвідчує особу (закордонний паспорт, водійське посвідчення), та сплачений рахунок за комунальні послуги або послуги телефонного зв’язку за останній місяць.
Заповнити анкету: • за телефоном 8 800 300 80 30 • on-line (електронна заява) • В офісах банку
Кредитний калькулятор
Кредитний калькулятор
Кредитний калькулятор
Калькулятори кредитів
Начало формы
Виберіть назву кредиту ![]()
Виберіть суму та бажаний строк кредиту
грн
місяців
Ваша щомісячна платня дорівнює: * 3110грн
Конец формы
Опис кредитних процедур [34]:
А) Грошовий кредит
Ми даємо Вам гроші, Ви самі вирішуєте як їх витратити. Вам не потрібно надавати нам інформацію про те, як Ви збираєтеся використовувати кредит. Ви можете використовувати гроші, як бажаєте: на ремонт, відпустку, урочисту подію, придбання автомобіля б/в, навчання або будь-які інші потреби. Мінімум формальностей при отриманні кредиту: ми не вимагаємо ні застави, ні поручителів.
Б) Цільовий кредит
Ми кредитуємо покупку товару в наших магазинах-партнерах без довідки про доходи За допомогою Цільового кредиту Ви можете придбати будь-які товари в магазинах-партнерах Банку. Просто приходьте в будь-який магазин-партнер (адреси Ви можете дізнатися по телефону нашого Телефонного центру) і вибирайте потрібний товар. Ви зможете оформити кредит, не виходячи з магазина.
14.08.2008.
Європейський банк реконструкції й розвитку (ЄБРР) відкриє ТОВ "Банк Ренесанс Капітал" (Київ, входить до групи "Ренесанс") кредитну лінію на 25 млн. дол. для підтримки роботи банку з кредитування фізичних осіб.
"Кредитна лінія забезпечить підтримку одній з багатьох установ України, що здійснює високоякісне кредитування фізосіб", - відзначається в документі.
Сьогодні незалежне рейтингове агентство "Кредит-Рейтинг" оголосило про визначення довгострокового кредитного рейтингу ua ВВВ запланованому випуску іменних відсоткових облігацій (серії В, С) ТОВ "Банк Ренесанс Капітал" (м. Київ) на суму 300 млн. грн. терміном обігу 3 роки. У ході аналізу агентство використовувало фінансову звітність ТОВ "Банк Ренесанс Капітал" за 2006-2007 рр. та І півріччя 2008 р., а також внутрішню інформацію, надану банком у ході рейтингового процесу.
Позичальник або окремий борговий інструмент з рейтингом uaBBB характеризується достатньою кредитоспроможністю порівняно з іншими українськими позичальниками або борговими інструментами. Рівень кредитоспроможності залежить від впливу несприятливих комерційних, фінансових та економічних умов.
Фактори, що сприяють підвищенню кредитного рейтингу:
· наявність підтримки з боку групи компаній "Ренесанс", кошти яких формують значну частину ресурсної бази банку;
· помірний рівень капіталізації банку та наявність дешевої ресурсної бази, що дає можливість підтримувати конкурентні позиції на фінансовому ринку;
· розширення каналів продажу, що створює передумови для подальшого розвитку банку та покращення його фінансових показників.
Фактори, що обмежують підвищення кредитного рейтингу:
· низькі показники ефективності діяльності та значні адміністративні витрати, що пов`язано з нетривалим періодом фактичної діяльності та агресивною політикою розвитку банку;
· діяльність банку зосереджена виключно на споживчому кредитуванні, для якого характерні високий рівень ризиків та посилений контроль регулятора;
· погіршення якості активів банківської установи;
· слабка ресурсна база та її значна концентрація за основними кредиторами.
Основними конкурентами у сегменті споживчого кредитування як основної сфери діяльності перш за все Банк вважає Дельта Банк, Альфа-Банк, Приват банк, Правекс банк. Серед переваг кредитування у порівнянні з конкурентами слід виділити наступні:
- Кредит надається споживачам віком від 18 років;
- Не вимагається довідка про доходи (на кредити розміром менше 20 000 грн.);
- Не передбачається перший внесок при придбанні цільових категорій товарів;
2.4 Статистичний аналіз результативності кредитної діяльності банку
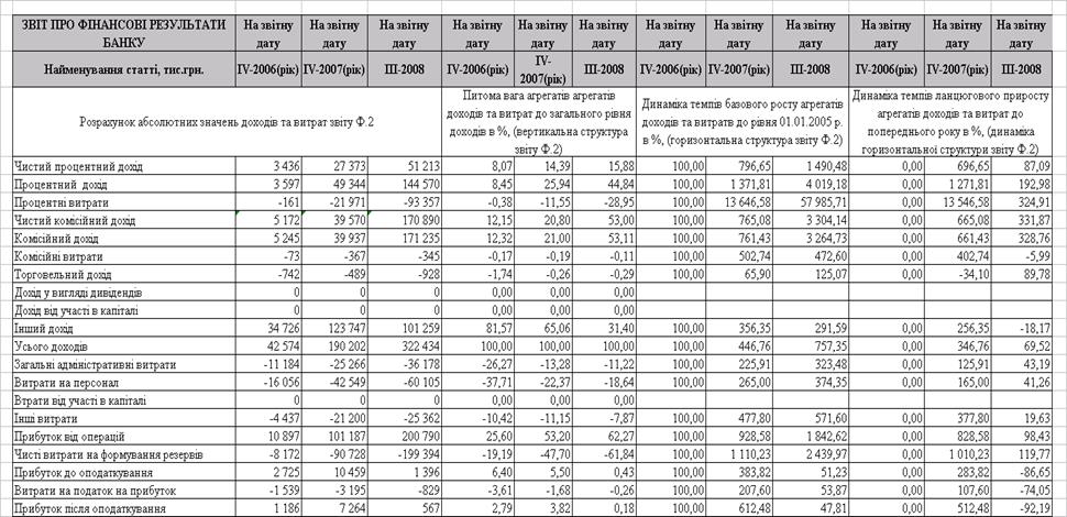
Протягом 2007 року Банк отримав 7 264 тис. грн. прибутку, регуло-ваний прибуток за 3 квартали 2008 року становить всього 567 тис.грн.. Усь-ого доходи Банку за 2007 рік складають 190 200 тис. грн., за 3 квартали 2008 року доходи становлять 322 434 тис.грн. (рис.2.5).

Рис.2.5 Динаміка доходів ТОВ „Банк Ренесанс капітал” за 2006 -2008 роки
Чистий торговельний збиток складав на кінець 2007 року 489 тис. грн., ця сума виникла у результаті продажу іноземної валюти за курсом нижче офіційного курсу Національного банку України на дату здійснення продажу.
Значну питому вагу, 65,06% від загальних доходів Банку за 2007 рік, складає сума інших доходів – 123 747 тис. грн. з яких 91 875 тис. грн., складають кошти, що отримані у формі фінансової допомоги відповідно до угод, які було укладено з RCF Europe B.V., з метою дотримання нормативного рівня регулятивного капіталу.
Найбільшу питому вагу у операційних витратах Банку за 2007 -2008 роках займають витрати на утримання персоналу, які в 1, 8 раза більші за витрати на утримання інфраструктури банку.
Значне збільшення відрахувань у резерви обумовлено збільшенням обсягів кредитування фізичних осіб в 2007 -2008 роках та великим ризиком без заставного кредитування (рис.2.6).

Рис.2.6 Динаміка витрат ТОВ „Банк Ренесанс капітал” за 2006 -2008 роки
Таким чином, ризикованість споживчого кредитування в беззаставно-му кредитуванні, практикуєма ТОВ „Банк Ренесанс капітал”, дозволяє створювати резерви на кредитний ризик за величиною, яка дорівнює балансовому прибутку, тобто мінімізувати податок на прибуток банку.
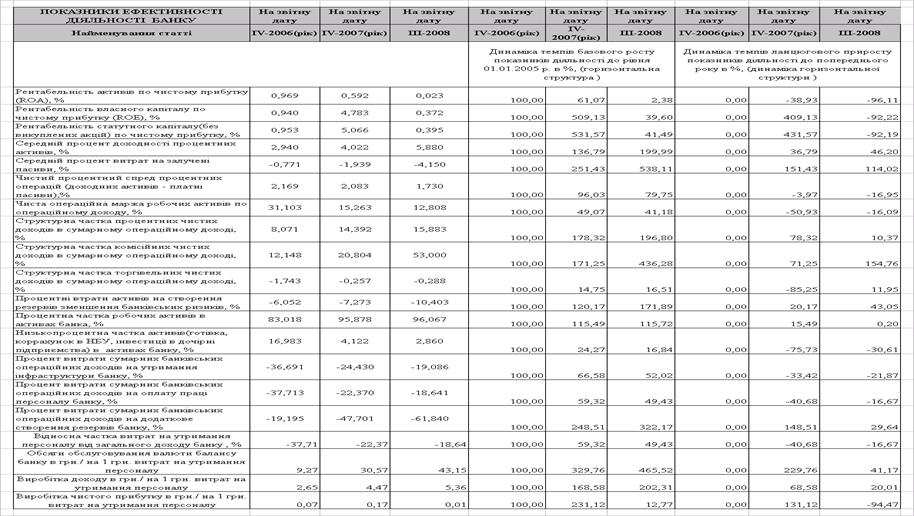
Для зовнішнього інвестора банк з низьким рівнем рентабельності не представляє інвестиційного інтересу (рис.2.7).

Рис.2.7 Динаміка рентабельності ТОВ „Банк Ренесанс капітал” за 2006 -2008 роки
3. Висновки та рекомендації по удосконаленню споживчого кредитування населення ТОВ „Банк Ренесанс Капітал”
Рейтингові показники ТОВ „Банк Ренесанс капітал” в банківській системі України (164 комерційних банка), проведені Національним банком України на 01.01.2007 [33] – за перші півроку роботи у 2006 році, мають наступні рівні:
1. Обсяг активів балансу – 148,8 млн.грн. (147 місце).
4. Обсяг депозитів фізичних осіб – 4,1 млн.грн.
5. Обсяг депозитів юридичних осіб – 0 млн.грн..
6. Фінансовий результат (прибуток 2006 року) – 1,78 млн.грн.(71 місце)
8. Рентабельність активів – 1,2 %.
Рейтингові показники ТОВ „Банк Ренесанс капітал” в банківській системі України (164 комерційних банка), проведені Національним банком України на 01.01.2008 [33], мають наступні рівні:
1. Обсяг активів балансу – 1 300,5 млн.грн. (61 місце).
4. Обсяг депозитів фізичних осіб – 26,9 млн.грн. (138 місце).
5. Обсяг депозитів юридичних осіб – 453,1 млн.грн.(50 місце).
6. Фінансовий результат (прибуток 2007 року) – 7,264 млн.грн.(71 місце)
8. Рентабельність активів – 0,558 %, що в 2,5 рази нижче середнього рівня (1,25%) рентабельності активів банків в банківській системі України [32].
Рейтингові показники ТОВ „Банк Ренесанс капітал” в банківській системі України (164 комерційних банка), проведені Національним банком України та Асоціацією українських банків станом на 01.10.2008 [32], мають наступні рівні:
1. Обсяг активів балансу – 2 667,0 млн.грн. (46 місце), що становить 0,354% від сумарних активів банківської системи України.
2. Обсяг кредитно-інвестиційного портфелю – 2367,2 млн.грн. (44 місце) – при цьому банк не кредитує юридичних осіб.
3. Обсяг власного капіталу – 252,3 млн.грн.(61 місце).
4. Обсяг депозитів фізичних осіб – 50,5 млн.грн. (136 місце).
5. Обсяг депозитів юридичних осіб – 826,5 млн.грн.(41 місце).
6. Фінансовий результат (прибуток 2008 року) – 14,22 млн.грн. (48 місце).
8. Рентабельність активів – 0,533 %, що на 40% нижче середнього рівня (0,933%) рентабельності активів банків в банківській системі України [32].
9. Рентабельність статутного капіталу – 9,91 %, що на 15% нижче середнього рівня (11,45%) рентабельності статутного капіталу банків в банківській системі України [32].
Таким чином, за 2,5 роки діяльності рейтингове місце банку в банківсь-кій системі України зросло з 141 місця (2006) до 61 місця за результатами 2007 року та до 44 місця за результатами 3 кварталів 2008 року.
Банк виключно:
- нарощує , в основному,обсяги депозитів юридичних осіб;
- кредитує виключно фізичних осіб.
Рентабельність роботи статутного капіталу є дещо нижчою, ніж середня по БС України, рентабельність активів є значно нижчою, ніж середня по банківській системі України.
Споживче кредитування є одним з найпоширеніших видів банківських операцій у розвинутих країнах світу і є одним зі стимулюючих факторів розвитку економік цих країн. В Україні дана банківська послуга теж поступово набирає популярності. На даний час основну частку ринку споживчих кредитів (більш 50 % ) займають системні банки: Приватбанк (близько 25 %), Аваль (15 %), Укрсоцбанк (6,5 %), Правекс-банк (6 %). Починають активно працювати на ринку споживчих кредитів в сегменті кредитування покупок у торговій мережі кредитні спілки для своїх членів («Придніпров’є”, “Перше кредитне товарист-во”) та для всього населення фінансові компанії споживчого кредитування вітчизняних та іноземних фінансових груп та холдінгів - ФКСК ”Єврокредит» (Польща), “Простофінанс”(Франція), “Family Credit”(Кіпр), “Home credit” (Чехія), “Русский размер”(Росія), “Новий кредит”(Приватбанк, Україна), “Швидкокредит”(VAB Group, Україна). В сегменті від 100 до 500 грн. активно працює система миттєвого заставного короткострокового споживчого кредитування населення ломбардами.
Дослідження сутності та сучасної економічної термінології споживчого кредитування населення показало, що в економічній та методологічній літературі не існує єдиного і чіткого поняття “споживчий кредит”. Аналіз різних точок зору на це поняття, дозволив мені запропонувати, з моєї точки зору, найбільш економічно та організаційно обгрунтованим визначення споживчого кредиту через його основний класифікаційний признак - як невиробничий кредит, тобто не призначений для отримання додаткового прибутку, що може бути сформульовано як:
„Споживчий кредит – це грошові кошти в національній чи іноземній валютах, які надаються комерційними банками та фінансовими установами, діючими згідно Закону України «Про фінансові послуги та державне регулювання ринків фінансових послуг„ та отримавшими ліцензію Національного банку України чи Держфінпослуг України на проведення кредитних операцій банківськими та небанківськими фінансовими установами , громадянам України на невиробничі потреби на умовах обов’язковості повернення, строковості, платності та необов’язковості заставності і цільової спрямованості”.
Таким чином, на мою думку, слід в визначенні споживчого кредиту:
- впровадити розподіл споживчого кредиту на 3 основні класи:
1) поточний короткостроковий беззаставний нецільовий споживчий кредит;
2) поточний короткостроковий цільовий заставний споживчий кредит;
3) інвестиційний довгостроковий заставний цільовий споживчий кредит;
- повернути заставному споживчому кредиту його цільову спрямованість, оскільки її відсутність не дає можливості ефективно контролювати повернення кредиту;
- видалити фразу про можливість надання споживчого кредиту однією фізичною особою іншій фізичній особі, оскільки така фінансова операція окремо обумовлена Цивільним Кодексом України та має свій правочин (Стаття 1054. „Кредитний договір” Цивільного Кодексу України);
- видалити фразу про можливість надання товарного споживчого кредиту нефінансовими торгівельними установами, оскільки процес товарного кредитування з відстрочкою сплати суми покупки не має основних елементів кругооберту позикового капіталу і словосполучення для юридичних осіб „товарний кредит” повинно бути замінено для споживачів на „торгівлю товарами в розстрочку”(Стаття 694. „Продаж товару в кредит”, Стаття 695. „Особливості оплати товару з розстроченням платежу” Цивільного Кодексу України ).
Вирішенням вищеозначених проблем економічного та законодавчого становлення споживчого кредитування в Україні може бути розробка та прийняття відповідних положень в перспективному законі України “Про кредитування”, оскільки на сьогоднішній день основним законодавчим документом в сфері споживчого кредитування є тільки закон України “Про захист прав споживачів”.
Проведений аналіз практики споживчого кредитування в банківській системі України у порівнянні з практикою споживчого кредитування за кордоном показав, що:
- частка споживчих кредитів у загальному кредитному портфелі банків країн Західної Європи сягає 50 %, у східноєвропейських країнах близько 19 %, в українських банках на початок 2006 року вона склала 12 %, станом на кінець 1-го півріччя 2007 року – 21,8% (тобто майже 70% портфелю кредитування фізичних осіб);
- процентні ставки по споживчих кредитах складають у Японії — 1,9 %, Великобританії — 3,7 %, у США — 4,2 %, Франції — 6,6 %, в українських банках еквівалентні процентні ставки (з врахуванням щомісячних відсотків комісії та одноразових авансових відсотків) знаходяться в значно вищому діапазоні 13 % (інвестиційні споживчі кредити) - 59 % (готівково-побутові споживчі кредити) річних.
- основним ресурсним джерелом для зростання обсягів кредитування фізичних осіб у банківській системі України за 2006 – 2008 роках є залучені строкові і поточні депозити фізичних осіб. Слід зазначити, що зазначена ресурсна база може бути використана для короткострокового споживчого кредитування і ,тільки в дуже обмеженому обсязі, для іпотечного кредитування, оскільки максимальний термін депозитів фізичних осіб складає від 1 до 2 років, а іпотечні кредити видаються на термін 10 – 15 років. Таким чином, вартість іпотечних кредитів визначається ставкою строкових депозитів фізичних осіб, що при ринковій економіці не може бути нижче індексу зменшення вартості грошей (дисконтна ставка Національного банку України чи рівень інфляції).
Ставка цільового споживчого кредитування в фінансових компаніях споживчого кредитування становить від 25,2% річних (ФКСК “ПростоФінанс”) до 38,9% річних (ФКСК “Єврокредит”), що вище в 1,5 раза ставок цільового споживчого кредитування в комерційних банках та практично дорівнює ставкам нецільового карткового кредитування в комерційних банках 30% - 48% річних.
Як показують результати проведеного аналізу річні процентні ставки незабезпеченого високоризикового споживчого кредитування на поточні потреби на 10 – 35 % перевищують процентні ставки забезпеченого нерухомістю споживчого кредитування на інвестиційні капітальні потреби, що при дослідженій тенденції значного росту частки споживчого кредитування на поточні потреби значно підвищує ризик кредитування та потребує нових підходів до оперативної оцінки кредитоспроможності позичальників – фізичних осіб при масовому нецільовому кредитуванні.
Одним із перспективних напрямків вирішення проблеми адміністрування ризикових споживчих кредитів, запропонованим у дипломному проекті є скоринг - один з найбільш успішних прикладів використання математичних і статистичних методів у бізнесі, що у даний час широко застосовуються у всіх економічно розвитих країнах. Скоринг використовується головним чином при кредитуванні фізичних осіб, особливо в споживчому кредиті при незабезпечених позичках, та являє собою математичну або статистичну мо-дель, за допомогою якої на основі кредитної історії «минулих» клієнтів банк намагається визначити, наскільки велика імовірність, що конкретний потенцій-ний позичальник поверне кредит у визначений термін.
Проведений аналіз структурного розподілу ринку споживчого кредитування населення в Україні показав, що його перспективну побудову можна розділити в розрізі кредиторів, сум та строків кредитування на:
а) Сегмент банківського іпотечного кредитування будівництва, придбання та ремонту житла з сумами кредитування від 20 тис.доларів США до 150 тис.доларів США на строк 10-25 років;
б) Сегмент банківського споживчого кредитування на придбання транспортних засобів з сумами кредитування від 5 тис.доларів США до 20 тис.доларів США на строк 3 – 5 років;
в) Сегмент небанківського цільового споживчого кредитування на придбання побутової техніки та меблів до 5 тис.грн. на строк 1-2 роки;
г) Сегмент банківського револьверного нецільового карткового кредитування (до запитання) до 1 тис.доларів США на строк від 1 місяця до 1 року;
д) Сегмент небанківського заставного кредитування в ломбардах до 500 грн. на строк 1-2 місяці з необов”язковим поверненням кредиту та викупом застави.
Таким чином, впровадження пропозицій і рекомендацій щодо структуризації сегментів та шляхів розвитку банківських та небанківських продуктів споживчого кредитування, дозволить:
1. В банківському секторі:
- зосередити увагу банківських установ на привабливість розвитку сектору банківського споживчого кредитування населення, поточний рівень якого в розрахунку на душу населення в Україні в десятки разів нижче середньоєвропейського;
- ініціювати участь банківських установ в створенні та розширенні діяльності кредитних бюро для формування кредитної історії всіх фізичних осіб, які коли-небудь звертались за кредитом у будь-яку кредитну установу країни;
- зосередити зусилля кредитних ризик-менеджерів на розробці та удоско-налення скорингових систем, які являють собою математичну або статистичну модель, за допомогою якої на основі кредитної історії «минулих» клієнтів банк намагається визначити, наскільки велика імовірність, що конкретний потенцій-ний позичальник поверне кредит у визначений термін.
- використати досвід кредитування банків для формування начальних вибірок достатніх обсягів із поділом клієнтів на “ добрих” та “ поганих” з виділом основних вхідних параметрів скорингових моделей.
2. В небанківському секторі - створити систему спеціалізованих фінансово-холдінгових груп з фінансовими компаніями споживчого кредитування, в яких банк буде гарантом фінансової стабільності, джерелом вільних ресурсів для нарощування обсягів споживчого кредитування та організатором телекомунікаційних мереж автоматизованих систем мережевого обслуговування точок продажу продуктів споживчого кредитування і систем приймання платежів позичальників.
Список використаної літератури
1. ЗАКОН УКРАЇНИ „Про фінансові послуги та державне регулювання ринків фінансових послуг” від 12 липня 2001 року N 2664-III // Із змінами і доповненнями, внесеними Законами України станом від 15 грудня 2005 року N 3201-IV - Комп’ютерна законодавчо-довідкова система законодавства України “Ліга-закон”, 2007
2. ЗАКОН УКРАЇНИ „Про кредитні спілки” від 20 грудня 2001 року N 2908-III // Із змінами і доповненнями, внесеними Законами України станом від 17 листопада 2005 року N 3108-IV - Комп’ютерна законодавчо-довідкова система законодавства України “Ліга-закон”, 2007
3. ЗАКОН УКРАЇНИ „Про захист прав споживачів” від 12 травня 1991 року N 1023-XII (Законом України від 1 грудня 2005 року N 3161-IV цей Закон викладено у новій редакції) - Комп’ютерна законодавчо-довідкова система законодавства України “Ліга-закон”, 2007
4. ЗАКОН УКРАЇНИ «Про банки і банківську діяльність» від 7 грудня 2000 року N 2121-III // Із змінами і доповненнями, внесеними Законами України станом від 27 квітня 2007 року N 997-V - Комп’ютерна законодавчо-довідкова система законодавства України “Ліга-закон”, 2007
5. Закон України “Про Національний банк України” від 20 травня 1999 року N 679-XIV // Із змінами і доповненнями, внесеними Законами України станом на 1 грудня 2005 року N 3163-IV - Комп’ютерна законодавчо-довідкова система законодавства України “Ліга-закон”, 2007
6. Закон України “Про господарські товариства” від 19 вересня 1991 року N 1576-XII // Із змінами і доповненнями, внесеними Законами України станом від 27 квітня 2007 року N 997-V - Комп’ютерна законодавчо-довідкова система законодавства України “Ліга-закон”, 2007
7. ЗАКОН УКРАЇНИ „Про іпотечне кредитування, операції з консолідованим іпотечним боргом та іпотечні сертифікати” від 19 червня 2003 року 979-IV // Із змінами і доповненнями, внесеними Законами України станом від 15 грудня 2005 року N 3201-IV - Комп’ютерна законодавчо-довідкова система законодавства України “Ліга-закон”, 2007
8. ЗАКОН УКРАЇНИ „Про іпотеку” від 5 червня 2003 року N 898-IV // Із змінами і доповненнями, внесеними Законами України станом від 23 лютого 2006 року N 3480-IV - Комп’ютерна законодавчо-довідкова система законодавства України “Ліга-закон”, 2007
9. Закон України “Про організацію формування та обігу кредитних історій” від 23 червня 2005 року N 2704-IV - Комп’ютерна законодавчо-довідкова система законодавства України “Ліга-закон”, 2007
10.Цивільний Кодекс України від 16 січня 2003 року N 435-IV // Із змінами і доповненнями, внесеними законами України станом від 31 травня 2007 року N 1111-V - Комп’ютерна законодавчо-довідкова система законодавства України “Ліга-закон”, 2007
11.Інструкція з бухгалтерського обліку кредитних, вкладних (депозитних) операцій та формування і використання резервів під кредитні ризики в банках України // Постанова Правління Національного банку України від 15 вересня 2004 року N 435 - Комп’ютерна законодавчо-довідкова система законодавства України “Ліга-закон”, 2007
12.Положення про порядок видачі банкам банківських ліцензій, письмових дозволів та ліцензій на виконання окремих операцій //Постанова Правління Національного банку України від 17 липня 2001 року N 275 - Комп’ютерна законодавчо-довідкова система законодавства України “Ліга-закон”, 2007
13.Положення “Про порядок створення і державної реєстрації банків, відкриття їх філій, представництв, відділень” // Постанова Правління Національно-го банку України від 31 серпня 2001 року N 375 - Комп’ютерна законодавчо-довідкова система законодавства України “Ліга-закон”, 2007
14.Про затвердження Плану рахунків бухгалтерського обліку банків України та Інструкції про застосування Плану рахунків бухгалтерського обліку банків України // Постанова Правління Національного банку України від 17 червня 2004 року N 280 - Комп’ютерна законодавчо-довідкова система законодавства України “Ліга-закон”, 2007
15. Про затвердження Інструкції про порядок регулювання діяльності банків в Україні // Постанова Правління Національного банку України від 28 серпня 2001 року N 368 - Комп’ютерна законодавчо-довідкова система законодавства України “Ліга-закон”, 2007
16. Про затвердження Інструкції про порядок складання та оприлюднення фінансової звітності банків України //Постанова Правління Національного банку України від 7 грудня 2004 року N 598 - - Комп’ютерна законодавчо-довідкова система законодавства України “Ліга-закон”, 2007
17. Про затвердження Положення про порядок формування та викорис-тання резерву для відшкодування можливих втрат за кредитними операціями банків //Постанова Правління Національного банку України від 6 липня 2000 року N 279 - Комп’ютерна законодавчо-довідкова система законодавства України “Ліга-закон”, 2007
18. Аналіз банківської діяльності: Підручник / А.М.Герасимович та ін.; За ред. А.М.Герасимовича. — К.: КНЕУ, 2003.— 599 с.
19. Андреева Г.В. Скоринг как метод оценки кредитного риска // Журнал “Банковские технологии”, № 6, 1999 // http://www.cfin.ru
20. Банківські операції: Підручник / За ред. А. М. Мороз. — К.: КНЕУ, друге видання. — 2002. — 476 с.
21. Банковское дело: Учебник /Под ред. О.И.Лаврушина – Москва, «Финансы и статистика», 1998 – 576 с.
22. Банківські операції: Підручник/ А.М.Мороз, М.І.Савлук, М.Ф.Пуховкіна та ін.; За ред.д-ра екон.наук,проф.А.М.Мороза.- К.: КНЕУ, 2000.- 384с.
23. Банки и банковские операции: Учебник для вузов / Под ред. проф. Е.Ф.Жукова.- М.: Банки и биржи, ЮНИТИ, 1997. - 471 с.
24. Бергер Айке, Банковские операции для физических лиц,- К.:Укр. Финансово-банковская шк. в сотрудничестве с группой европейских сберега-тельных банков, 1997.- 135 с.
25. Гриджук Д.М. Забезпечення кредитних зобов"язань у діяльності банків/ Д.М.Гриджук, В.О.Олійник.- Київ: Істина, 2001.- 256с.
26. Гроші та кредит: Підручник / За ред. проф. М. І. Савлука. — К.: КНЕУ, 2002. — 578 с.
27. Кредитний ризик комерційного банку. Навч. посіб./ В.В.Вітлінський, О.В.Пернарівський, Я.С.Наконечний, Г.І.Великоіваненко; за ред В.В.Вітлінського.- К.: Т-во "Знання", КОО, 2000.- 251с.
28. Огляд ринку іпотечного кредитування країн Європейського Союзу // Українська національна іпотечна асоціація, 2002
29. Орлов А. Скоринговая модель: возможность стать ближе к клиенту стоит недешево – 25.04.2006 // http://www.uabanker.net
30. Примостка Л.О. Аналіз банківської діяльності: сучасні концепції, методи та моделі: Монографія. — КНЕУ, 2002.— 316 с.
31. Примостка Л.О. Фінансовий менеджмент у банку: Підручник. — 2-е вид., доп. і перероб. — К.: КНЕУ. 2004. — 468 с.
32. Офіційний сайт Асоціації банків України // WWW.AUB.COM.UA
33. Офіційний сайт НБУ // www.bank.gov.ua
34. Офіційний сайт ТОВ “Банк Ренесанс капітал” // WWW.RCC.COM.UA
Додаток А
Таблиця А.1
Динаміка агрегатів балансу ТОВ „Банк Ренесанс капітал” за 2006 -2008 роки


Додаток Б
Таблиця Б.1
Динаміка агрегатів доходів та витрат ТОВ „Банк Ренесанс капітал” за 2006 -2008 роки

Таблиця Б.2
Динаміка показників ефективності діяльності ТОВ „Банк Ренесанс капітал” за 2006 -2008 роки

Додаток В
Звітність по кредитному ризику та резервуванню в за 2006 -2007 роки








[1] http://www.aub.com.ua - Офіційний Інтернет-сайт Асоціації банків України
[2] Ринок споживчого кредитування України // ЗАТ “Догмат Україна”, 2006, http://www.eurocredit.com.ua

