| Скачать .docx |
Реферат: Инвестиционная деятельность на рынке корпоративных ценных бумаг
Введение
Ценная бумага – это форма существования капитала, отличная от его товарной, производительной и денежной форм, которая может передаваться вместо него самого, обращаться на рынке как товар и приносить доход. Это особая форма существования капитала наряду с его существованием в денежной, производительной и товарной формах. Суть её состоит в том, что у владельца капитала сам капитал отсутствует, но имеются все права на него, которые и зафиксированы в форме ценной бумаги. Последняя позволяет отделить собственность на капитал от самого капитала и соответственно включить последний в рыночный процесс в таких формах, в каких это необходимо для самой экономики.
В отличие от ценной бумаги, например банковская (или любая другая), денежная ссуда — это форма существования самого денежного капитала, а не нечто отличное от него. В процессе кредитования продаются и покупаются сами деньги как товар, а точнее, денежный капитал, но не нечто отличное от самих денег.
В форме ценной бумаги могут фиксироваться любые общественно значимые права, если они имеют экономическую (денежную) оценку.
Понятие ценной бумаги многогранно, поскольку сами экономические отношения, которые выражаются ею, очень сложны, плюс они постоянно видоизменяются и развиваются, что находит свое выражение во все новых формах существования ценных бумаг.
Ценная бумага — это особый товар, который обращается на особом, своем собственном рынке — рынке ценных бумаг, но не имеет ни вещественной, ни денежной потребительной стоимости, т.е. не является ни физическим товаром, ни услугой.
В расширенном понимании ценная бумага — это любой документ («бумага»), который продается и покупается по соответствующей цене. Исторические примеры — продажа индульгенций в средние века, в наше время — продажа «ценных бумаг» типа «билетов МММ». Теоретическое понятие ценной бумаги более узкое, так как оно включает в себя только такие ценные бумаги, которые отражают конкретные имущественные отношения, а не любые отношения, например отношения религиозной веры или веры во что-либо другое.
Практический подход к определению ценной бумаги может состоять в следующем. Если невозможно дать строго научное, а затем и юридическое определение, если невозможно сформулировать понятие ценной бумаги на все случаи жизни, то эту трудность можно обойти путем перечисления признанных государством конкретных видов ценных бумаг, которые имеются в практике. Например, в Гражданском кодексе Российской Федерации или других законах, относящихся к рынку ценных бумаг, определенные виды бумаг фиксируются именно как ценные бумага. С другой стороны, все, что объявлено как ценная бумага, подпадает под законодательные акты, регулирующие ее жизнь от момента выпуска до окончания срока обращения.
Собственные сделки с корпоративными ценными бумагами осуществляются по инициативе инвестора от его имени и за его счет. С развитием акционерных обществ, активно эмитирующих ценные бумаги, российские операторы получили широкие возможности по вложению средств в акции, векселя, облигации промышленных компаний и банков. При этом собственные сделки с ценными бумагами подразделяются на инвестиции и торговые операции.
Но в бухгалтерском учете, да и в практике, нет такого четкого деления. Обычно под инвестициями понимают средства, вложенные, в данном случае, в корпоративные ценные бумаги предприятий на относительно продолжительный период времени.
На цивилизованном фондовом рынке основные факторы, которые определяют цель инвестиционной деятельности в данном секторе фондового рынка — это потребность в получении дохода и обеспечении ликвидности определенной группы активов.
Инвестиции в корпоративные ценные бумаги можно разделить на основные категории:
1) приобретение акций для контроля над собственностью, участия в капитале и иных целей, связанных с долевой природой данной ценной бумаги;
2) вложения в ценные бумаги с целью выгодного размещения средств, обеспечения их диверсификации и получения как регулярного (дивиденд, процент), так и спекулятивного дохода от их последующей продажи;
3) кратковременные спекуляции и арбитражные сделки;
4) сделки Репо или вложения в векселя и другие долговые обязательства, являющиеся по сути формами кредитования.
В первом случае оператор рынка действует как стратегический инвестор, во втором — как портфельный инвестор, в третьем — как спекулянт и в четвертом — как кредитор. Наряду с рынком акций некоторое развитие получил рынок корпоративных облигаций и векселей. Крупные корпорации, выпускающие пользующуюся спросом продукцию, запустили на рынок свои векселя и облигации (например, АО «ГАЗ»), которые вызвали определенный интерес у участников рынка.
Основная часть
Инвестиционные операции с акциями
На Российском рынке корпоративных ценных бумаг объектом инвестиций преимущественно являются акции.
Цели проведения операций :
1. Долговременные инвестиции в выбранное предприятие, например, для участия в капитале или с целью размещения собственных эмиссий.
Инвестирование осуществляется путем обеспечения технологических, экономических или иных взаимосвязей. Банки, например, производили покупку акций с целью размещения собственных эмиссий. Это было очень характерно для периода активной эмиссионной деятельности банков. В настоящее время волна банковских эмиссий пошла на спад и банки активно занялись приобретением акций с целью контроля над собственностью, рассматривая данную операцию как способ увеличения своего экономического потенциала.
2.Приобретение акций для контроля над собственностью. Вложение для участия в управлении компанией или даже формирования холдинга/финансово-промышленной группы, а также скупка, по возможности, контрольного пакета с целью оказания влияния на управление предприятием и его развитие являются приоритетными, по сравнению с возможностью получить доход на фондовом рынке.
Поскольку контроль над акционерным обществом позволяет использовать все его финансовые потоки, оптимизировать налоговые платежи то, осуществляя инвестиции с подобной целью, необходимо проанализировать возможности эффективного использования собственности.;
3.Краткосрочные спекуляции с акциями и арбитражные сделки. Неустойчивый, нестабильный, то падающий, то поднимающийся рынок акций создает исключительные возможности для получения спекулятивного дохода. Однако отсутствие достоверной информации не позволяет сделать подобные операции для многих операторов эффективными. В преимущественном положении оказались банки, которые, обладая знанием кредитной истории эмитента, а зачастую и доступом к депозитарию, поскольку многие из них ведут реестры акционеров предприятий, с уверенностью, по сравнению с местными брокерами или иностранными инвесторами, ориентировались на рынке акций.
Таким образом, в условиях явной недооцененности акций большинства российских эмитентов, которая практически характеризует все нарождающиеся рынки, информационной закрытости и неразвитой инфраструктуры фондового рынка, банки оказались в предпочтительном положении и смогли достаточно эффективно инвестировать свободные денежные средства. Успех имели те, которые ограничили собственные инвестиции операциями с акциями хорошо знакомых клиентов, или использовали сеть своих филиалов для краткосрочных арбитражных сделок с игрой на разнице цен на пакеты различного размера в Москве и регионах. Те же, кто принимал решение об инвестициях, следуя оценкам фондовых индексов, сформировали крайне неэффективные портфели. В настоящее время можно сделать вывод о недостаточной эффективности применения технического анализа на рынке корпоративных ценных бумаг.
4.Приобретение акций как рисковой составляющей портфеля при осуществлении долгосрочных инвестиций.
Для достижения этой цели требуется фундаментальный анализ. Можно с уверенностью сказать, что практически каждому профессионалу доступен инструментарий технического анализа, но не каждому — фундаментальный.
Допустим, фундаментальный аналитик выясняет, завышена или занижена рыночная стоимость акций данной компании по сравнению с их «внутренней» или «действительной» стоимостью. Цель этого анализа — выявить «недооцененные» рынком ценные бумаги. На основании этого принимаются инвестиционные решения — купить, продать или держать.
Однако, если рынок недооценил акцию сейчас, то вполне возможно, что он не сделает этого и в будущем; в результате издержки (затраты на анализ) не окупятся. Таким образом, нет никаких гарантий, что рынок подтвердит фундаментальные оценки аналитиков.
Кроме того, фундаментальный анализ — это тяжелая, трудоемкая работа, требующая и создания базы данных, и адекватного финансирования.
Причем, доход от операции с ценными бумагами каждого отдельного оператора может оказаться недостаточным для финансирования затрат по проводимому им фундаментальному анализу. В странах с развитой рыночной экономикой широко используется методика рейтинговой оценки корпораций в различных отраслях экономики, осуществляемая специалистами в рамках фирмы, компании, агентства, бюро и т. д.
Результаты фундаментального анализа становятся продуктом, т. е. товаром фондового рынка, и в форме бюллетеней, отчетов и т. д. продаются участникам рынка.
Если характеризовать основные направления фундаментального анализа, то можно выделить его этапы:
1. Общеэкономический или макроэкономический анализ. Положение экономики оценивается с учетом следующих факторов: ВНП, занятости, инфляции, процентных ставок, валютного курса и т. п. Учитывается фискальная и монетарная политика правительства, влияние их на фондовый рынок. Таким образом, определяется социально-политический и экономический климат инвестиционной деятельности: эффективный рынок.
2. Индустриальный анализ предполагает изучение делового цикла в экономике, его индикаторов, а также осуществление классификации отраслей по отношению к уровню деловой активности и по стадиям развития. Качественный анализ развития отрасли.
3. Анализ конкретного предприятия (фирмы, корпорации). Оценка корпорации включает анализ состояния менеджмента и перспектив его развития, организационные и коммерческие условия работы. Анализ финансового положения компании (предприятия); коэффициенты, оценкаплатежеспособности; оценка финансовой устойчивости — определение цены фирмы.
4. Моделирование цены акций.
Риски проведения операций
При проведении инвестиционных операций на рьюке корпоративных ценных бумаг инвестор неизбежно сталкивается с определенным риском возможных финансовых потерь. В иерархии рисков, присущих инвестициям в корпоративные ценные бумаги, по-видимому, на первый план выдвигается риск ликвидности.
Ликвидность, как известно, характеризуется возможностью продажи корпоративных ценных бумаг в течение короткого времени и без значительных убытков.
Почему же так велик риск ликвидности в данном секторе фондового рынка?
Для решения этого вопроса следует вспомнить, что:
- в стадии высокой конъюнктуры наблюдается прирост денежной массы, направленной в фондовый сектор финансового рынка, что требует повышения курсов для уравновешивания цены. Внешний спрос позволяет фондовому рынку функционировать устойчиво, и курсы легко двигаются вверх;
- в стадии низкой конъюнктуры, когда объем ценных бумаг, предназначенный для продажи, превышает платежеспособный спрос и наблюдается отток капитала из сектора фондового рынка, держатели ценных бумаг могут их реализовать только при значительных потерях в цене. В результате курс их понижается. Такой рынок называется «тяжелыми.
Таким образом, конъюнктура рынка находится под влиянием спроса, т. е. притока капитала на фондовый рынок и ухода с него.
Трудно рассчитывать на ликвидность в случае низкой конъюнктуры рынка акций. Инвесторы же отдают предпочтение либо государственным ценным бумагам, либо другим видам использования своих средств. Конкуренция существует не только между реальным инвестированием и финансовыми вложениями, но и внутри секторов финансового рынка, например, вложение средств в валюту, на вклады в банк или фондовые ценности.
Для поддержания ликвидности рынка акций необходимо наличие на нем значительного капитала. Между тем, операции с государственными бумагами как наиболее надежными, приносящими неплохой доход, необлагаемый налогом, и простыми в переоформлении собственности на ценные бумаги, отвлекают значительные средства.
Значительное влияние на снижение ликвидности оказывает неустойчивость рынка корпоративных бумаг и концентрация основных сделок данного сектора фондового рынка в финансовых центрах, а также отсутствие торговых площадок в регионах, затрудняющее участие в торгах банков с периферии и существенно увеличивающее риск ликвидности.
Для того, чтобы обеспечить ликвидность рынка и постоянное его функционирование, очень важно, чтобы операторы этого рынка постоянно его поддерживали и в тот момент, когда бумаги падают в цене, их покупали, а когда растут — продавали.
На неликвидность данного сектора фондового рынка указывает отсутствие постоянных котировок по широкому кругу акций, поскольку, как правило, котируются лишь так называемые «гвозди программы», значительный спред между котировками на покупку или продажу, резкие колебания цен от сделки к сделке, которые по большинству котируемых акций совершаются нечасто.
Кредитный риск. Покупая акции для себя, оператор рынка в наибольшей степени по отношению к другим операциям испытывает воздействие кредитного риска.
Источником риска может являться как рынок, так и компания- эмитент. Поэтому решение о покупке тех или иных бумаг должно вытекать из фундаментального анализа. Такой анализ должен представлять детальное изучение отраслей и отдельных компаний, ценные бумаги которых будут приниматься в качестве объекта инвестиций. Прежде всего отбираются те отрасли, которые могут дать наилучшие результаты за выбираемый для инвестиций отрезок времени. Поэтому для установления приоритетов инвестирования средств также большое значение имеет отраслевой или индустриальный анализ.
В разные периоды приоритетное развитие получает какая-либо отрасль или группа отраслей, имеющая монопольное положение на рынке, например, группа добывающих отраслей или отрасли, имеющие серьезные инновации, обеспечивающие открытие нового сектора продаж.
Цены на большинство акций меняются вместе и в соответствии с основной рыночной тенденцией (с трендом рыночной конъюнктуры). Но следует учитывать, что при падении цен наиболее сильно падает курс тех акций, которые имеют под собой слабую основу.
В связи с этим в этой отрасли выбираются предприятия- лидеры, стабильно работающие, имеющие широкие производственные возможности, бумаги которых наиболее ликвидны. Если предприятие достаточно давно работает на фондовом рынке, желательно отследить динамику изменения цен на его акции за некоторый период, продумать перспективы дальнейшего роста.
Отсутствие необходимой информации как об эмитенте, так и о состоянии рынка, делает эти операции достаточно рискованными как для профессионалов рынка, работающих на ведущих торговых площадках страны, так и для операторов рынка, а тем более, для инвесторов. Особенно велики риски для тех из них, что находятся на периферии, где отсутствие необходимой, срочной информации и невозможность участвовать в торгах в режиме «реального» времени может привести к существенным финансовым потерям.
Процентный риск. При определении размеров и структуры инвестирования в акции большое внимание уделяется и величине банковской процентной ставки, а также таким индикаторам, как ставка ГКО. Ведь при высоком уровне банковских процентных ставок курс корпоративных ценных бумаг уменьшается, и наоборот. Таким образом, при инвестициях в корпоративные ценные бумаги у инвестора появляются определенные процентные риски.
Неустойчивость рынка, его колебания под влиянием множества факторов и политических условий, среди которых нестабильно развивающаяся экономика, отсутствие адекватного развития различных форм собственности, неустойчивая финансово-кредитная система, функционирование рынка только государственных ценных бумаг, неотлаженная законодательная система и т. д., могут привести к существенным колебаниям доходности ценных бумаг отдельных классов и видов. Следовательно, курс корпоративных ценных бумаг, в свою очередь, связан с величиной рыночного процента. Он колеблется в зависимости от изменения среднерыночного уровня процентных ставок по облигациям и сертификатам, учетных процентов, процентов по векселям, дивидендов по акциям и, соответственно, спроса и предложения на эти ценные бумаги на рынке.
При этом наибольший интерес для инвесторов представляет анализ перспектив изменения процентных ставок. В этом случае, если инвестор ожидает понижения процентных ставок, целесообразной для него является покупка ценных бумаг для их последующей продажи по более высокому курсу, а следовательно, получение дохода за счет курсовой разницы. При высоких процентных ставках и прогнозируемом их снижении экономически эффективна покупка крупных партий ценных бумаг не с намерением их последующей перепродажи, а с целью обеспечения достаточно высокого уровня доходности своих портфельных инвестиций. Если, наоборот, инвесторы ожидают повышения величины банковского процента, а следовательно, падения курса ценных бумаг, они стремятся, по крайней мере, в течение определенного периода держать «короткую» позицию (т. е. продают ценные бумаги на срок, с обязательством их фактической поставки покупателям в будущем) с намерением купить в будущем ценные бумаги по более низкому курсу.
Технические риски. Достаточно высоки технические риски при проведении данной операции. Они связаны, в первую очередь, с неотработанностью технической и правовой сторон процесса переоформления собственности на акции, что обуславливает определенные трудности при совершении операций с корпоративными ценными бумагами.
Эффективность проводимой операции
Оценка эффективности инвестиционных операций в корпоративные ценные бумаги основывается на анализе затрат и результатов различных инвестиционных операций, и в исключительных случаях при решении стратегических задач — оценке их долгосрочного воздействия на деятельность инвестора. Оценка отдельных направлений инвестиций в акции включает функциональную оценку затрат по сделке и уровня ее доходности, например, используя метод «затраты-результат». Такой анализ целесообразно производить и по объектам инвестирования в случае вложения средств в акции тех или иных эмитентов, и при оценке эффективности проведения тех или иных операций с корпоративными ценными бумагами. Перспективным направлением при проведении инвестиционной операции является и покупка недооцененных акций.
На начальном этапе развития фондового рынка эффективность спекулятивных операций зависела от возможности продажи на бирже крупных пакетов акций с целью получения спекулятивной прибыли, либо от успехов по формированию пакетов путем покупки акций на внебиржевом рынке (у населения, предприятий) с последующей реализацией на бирже или другому покупателю по более высокой цене.
Классический фундаментальный анализ позволяет выявлять истинную цену этих «недооцененных» акций. Наиболее удобным является метод коэффициентов. При этом, однако, нельзя не отметить, что анализ коэффициентов имеет дело только с количественными данными. Поэтому использование только коэффициентов без проведения всех этапов фундаментального анализа могут привести к получению недостоверной информации. Часто используются следующие коэффициенты:
- коэффициент р/е-га tio , определяется как отношение курсовой стоимости акции к величине чистой прибыли в расчете на одну обыкновенную акцию;
- коэффициент d/ e- raitio , определяется как отношение дивиденда по обыкновенной акции к ее курсовой стоимости;
- бета-коэффициент . Данный коэффициент определяет влияние общей ситуации на рынке в целом на судьбу конкретной ценной бумаги. Если коэффициент бета положителен, то эффективность данной ценной бумаги аналогична эффективности рынка. При бета отрицательном эффективность данной ценной бумаги будет снижаться при возрастании эффективности рынка. Бета-коэффициент также принято считать мерой риска инвестиций в данные ценные бумаги. При бета-коэффициенте больше единицы риск инвестиций выше, чем в среднем по рынку, а при меньшем единицы — наоборот;
- R-квадрат (R- squared). R-квадрат характеризует долю риска вклада в данную ценную бумагу, вносимую неопределенность риска в целом. Чем ближе R-квадрат к нулю, тем более независимым является поведение акции по отношению к общей тенденции рынка.
Результаты анализа финансовых коэффициентов имеют несомненное значение при сравнении со стандартами, выбор которых всегда затруднителен. Сравнение можно проводить с аналогичными показателями западных компаний или коэффициентами других эмитентов в данном секторе рынка.
Высокое соотношение р/е-гаtio может указывать, например, на то, что инвесторы, покупающие данную бумагу, ожидают роста прибыли компании. Вместе с тем, вполне возможно, что потенциал роста курсовой стоимости данной ценной бумаги исчерпай и поэтому может начаться падение цены.
Классическими приемами анализа р/е-гаtio являются:
- сравнение сегодняшнего соотношения р/e (данного коэффициента) со средним уровнем прошлого периода, составляющего от пяти до десяти лет. При этом необходимо учитывать инфляцию, поэтому ключевым вопросом является вопрос о том, компенсируют ли в будущем доходы и дивидендные выплаты рост рыночного процента, обусловленного инфляционными процессами. Это, естественно, зависит от возможности продаж производимой продукции по более высоким ценам и роста рентабельности в пропорции, опережающей или соответствующей темпам инфляции,
- сравнение сегодняшнего d/е-гаtio с р/е-ratio акций компаний, сравнимых по основным условиям оценки: рентабельности, возможностям реинвестирования, недиверсифицированным эксплуатационным характеристикам и финансовому риску.
Если есть заинтересованность в дальнейшем снижении высокого риска по вложениям в акции, оператор ограничивает операции с ними наименее рискованными, такими, как:
1) осуществление арбитражных операций. Поскольку отсутствует временной разрыв между совершением сделки на покупку и сделки на продажу, они могут осуществляться и без участия средств оператора и иметь только технические риски;
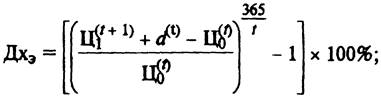
2) проведение дилинговых операций под клиентский заказ. Итак, если оператор осуществляет спекулятивные или арбитражные операции, то система показателей определяющая зффектиеность операции, может быть следующей:
доходность операции
Дх=(Ц1( t +1) +d( t ) -Цо( t ) )/Цо( t ) *365/t*100%
где Цо( t ) — цена в начале анализируемого периода, или цена
приобретения
Ц1( t +1) – цена в конце периода инвестирования;
в( t ) — дивиденды за период.
При спекулятивных операциях, как правило, d( t ) = 0, так как дивиденд выплачивается один раз в год. При этом следует учесть, что в первом случае учитывается цена покупки (big рriсе), которая для профессионального торговца акциями будет всегда ниже цены аsk-рriceсе - Ц1( t +1) , даже при реализации акций в один и тот же период времени, как например, при арбитражных сделках;
эффективная доходность . Она определяется с учетом реинвестирования вложенных средств:

темп роста курсовой стоимости.
Долгосрочное инвестирование в корпоративные ценные бумаги
Этот вариант предполагает, что инвестор, выбрав конкретный объект для инвестиций, если есть возможность (выбранное предприятие находится в том же регионе, городе), должен проанализировать положение предприятия, совместно со специалистами предприятия разработать программу, позволяющую, если это необходимо, увеличить производственные мощности предприятия, объем выпуска и реализации продукции. Для этого он должен открыть кредитную линию, поставить оборудование по лизингу и т. д., т. е. провести мероприятия, направленные на улучшение финансового состояния.
В этом случае необходимо помнить о чрезмерно высоких налогах, несовершенстве законодательной базы, неготовности руководства предприятий работать со стратегическими инвесторами.
Например, когда крупный банк покупает акции среднего или небольшого предприятия, эти вложения неблагоприятно сказываются на балансе и нормативах банка, под эти вложения приходится выполнять резервирование под обесценение ценных бумаг. Определить эффективность долгосрочных инвестиций в акции с позиции сегодняшнего дня весьма и весьма затруднительно. Очень упрощенно и приблизительно это можно сделать по схеме, где
1.Определяется уровень недооценки обращающихся фондовый активов на основе сопоставления расчетной и рыночной стоимости.
В качестве расчетной стоимости может быть принята ликвидационная стоимость акций. Ликвидационная стоимость акции ~ это та сумма денег, которую можно получить в случае ликвидации компании-эмитента. Она определяется исходя из стоимости активов без учета издержек по ликвидации и надбавки к цене за продажу (покупку) контрольного пакета.
2.Стоимость активов принимается равной сумме, которую можно извлечь, реализовав все активы акционерного общества за вычетом сумм обязательств. Полученную сумму делят на количество акций и получают их ликвидационную стоимость.
3.Затем осуществляется сопоставление ликвидационной и курсовой стоимости акций, котируемых на фондовой бирже, и если наблюдается превышение ликвидационной оценки стоимости акций над их курсовой стоимостью, можно сделать вывод о некоторой недооцененности обращающихся акций. Вместе с тем следует учитывать и конкурентоспособность акционерного общества. Определенные сложности возникают, когда акции не имеют рыночной котировки. В этом случае возможны ориентировочные расчеты, например, оценка на основе отношения Цена/Прибыль (уже упомянутого ранее р/е-ratio).
В качестве базы для оценки стоимости акций принимается прибыль. Отношение Цена/Прибыль представляет собой отношение цены акции к чистой прибыли аналогичного предприятия, акции которого имеют рыночную котировку.
В качестве базы для расчета данного коэффициента может быть выбран агрегированный показатель по группе однородных предприятий: (Общая рыночная стоимость всех акций/Общая чистая прибыль) = (Рыночная стоимость одной акции/Чистая прибыль на одну акцию).
Это отношение показывает, какую часть дохода инвесторы готовы заплатить за акцию. При этом значительное влияние на величину коэффициента оказывает мнение инвесторов о перспективах роста доходов и дивидендных выплат, рыночное восприятие уровня риска данной компании. Если на рынке становится известно, что имеются перспективы роста дохода и конъюнктура улучшается, то значение показателя (Цена/Прибыль) обычно возрастает.
Так например, если акционерное общество увеличивает свой капитал за счет резервов, то инвесторы воспринимают это как признак процветания компании и расширения рынка акций. Аналогично воспринимается увеличение капитала за счет поглощения другого общества. Повышение курса акций может последовать и за выпуском облигации. Инвесторы считают, что эффективное использование заемных средств, привлеченных облигационным займом, повысит доходность акционерного общества.
Когда положение компании ухудшается или рискованность ее операции с точки зрения рынка растет, тогда значение (Цена/ Прибыль), как правило, падает.
В России этот показатель имеет ограниченное применение, так как плохо развит рынок ценных бумаг, зачастую приобретение пакетов предприятий связано не с желанием инвестировать деньги в дело или с надеждой на прибыль от деятельности предприятий, а по конъюнктурным соображениям (например, сказанное в полной мере касается приватизируемых предприятий).
Поэтому, желая получить хотя бы приблизительное представление о том, сколько та или иная акция могла бы стоить на рынке, необходимо использовать различные подходы к оценке рыночной стоимости акций.
На эффективном рынке курс акций зависит от величины дивиденда. Однако, покупая акцию, владелец приобретает не только сегодняшний доход, а и будущие дивиденды. Поэтому при стабильном, постоянно выплачиваемом дивиденде, который имеет тенденцию роста, курс акций возрастает.
Метод определения цены акции на основе дивиденда является частным случаем оценки акции как производной от величины будущих доходов компании, скорректированной на степень риска, связываемого инвестором с реализацией прогнозируемых доходов. В таких ситуациях аналитик оценивает поток дохода, а не реальные и нематериальные активы, использование которых обеспечивает его получение. Этот метод широко используется в практике фундаментального анализа, но его не легко применять.
Методом оценки капитализации доходов предусматривается два этапа: первый — необходимо оценить будущие доходы и второй — необходимо выбрать норму капитализации для использования в оценке.
Обычно аналитик основывает оценку будущих доходов компании на ее средних доходах за последние несколько лет с учетом проводимой корректировки, связанной с сто ожиданиями дальнейших перспектив компании на ближайшие пять или более лет. Вместо попытки предсказать доходы на каждый год из этого будущего периода аналитик просто принимает среднюю величину доходов на этот период или прогнозирует плавную тенденцию. Корректировки ранее сложившейся структуры доходов могут быть связаны с ожидаемыми изменениями в национальной экономике: появлением новых продуктов; потенциальным слиянием компаний; обращением в обычные акции основных конвертируемых ценных бумаг и другими факторами, выявленными в процессе макроэкономического индустриального анализа, влияющими на величину дохода на одну акцию.
Норма капитализации — величина, обратная коэффициенту (Цена/Прибыль), выраженная в процентах. Она отражает норму, по которой на рынке капитализируется стоимость текущих доходов. Например, умножение средней величины доходов на норму капитализации в десять процентов (или в 10 раз) равнозначно расчету дисконтированной стоимости по потоку равных годовых доходов за длительный период времени, уменьшенного на десять процентов. Также норма капитализации 20 процентов эквивалентна коэффициенту (Цена/Прибыль), равному пяти, который, будучи умноженным на средние прогнозируемые доходы, даст стоимость, являющуюся дисконтированной стоимостью такого же потока доходов, уменьшенного на 20 процентов. Потоки доходов непостоянны по времени. Однако из-за высокой степени неуверенности, чему будут равняться действительные доходы в любом конкретном году, аналитику удобнее упростить проблему, используя расчет средних прогнозируемых доходов.
В большинстве случаев, чем больше аналитик уверен, что прогнозируемые доходы будут реализованы, тем ниже норма капитализации, применяемая к этим доходам. Например, в случае с бизнесом с очень стабильными доходами исторически и в перспективе аналитик может использовать норму капитализации семь процентов. Если прогнозируемые доходы составляли пять американских долларов на акцию, такая норма предполагает рыночную стоимость около 70 ам. долл. (5/0,07 =71,43). Так же аналитик, оценивающий бизнес с высокой степенью риска, может использовать или консервативный прогноз доходов, или высокую норму капитализации. В случае с компаниями с большим потенциальным ростом иногда к текущим доходам применяется очень низкая норма капитализации. В этих случаях указанная норма может достигнуть одного процента.
Выбор соответствующей нормы капитализации очень субъективен. Она является производной от рассчитанного риска, связанного с реализацией прогнозируемого потока доходов и желанием инвестора взять на себя этот риск и обусловленного финансовым положением инвестора и его отношением к риску. Например, на основе прогнозируемых доходов аналитик может принять норму 15 процентов капитализации. Однако инвестор может решить, что она слишком низка, поскольку в случае, если компании не удастся достичь прогнозируемых доходов, любые потери акций уничтожат большую часть сбережений инвестора. Поэтому инвестор может потребовать установить норму капитализации 30 процентов до начала осуществления вложений. Одним из указателей для принятия приемлемых норм капитализации являются коэффициенты (Цена/Доход). Этот коэффициент рассчитывается по установленным рынком значениям цены и текущих доходов компаний с характеристиками, приближенными к параметрам оцениваемой компании.
Широкая политика связана с ролью выплачиваемых дивидендов в оценке надежности. Метод капитализации доходов предполагает, что 1 доллар доходов одинаково ценен для инвестора, будет ли он выплачен в качестве дивиденда или оставлен для реинвестирования в компанию. Напротив, некоторые инвесторы утверждают, что оценка надежности отражает ожидаемый поток денежных средств, не поступающий в собственность, т. е. платежи по дивидендам. Такой подход для определения стоимости скорее предполагает капитализацию прогнозируемого потока выплат по дивидендам, чем доходов. В конечном итоге то, как конкретный инвестор будет зависеть от финансовых потребностей эмитента и его ресурсов, а также от перспектив доходов компании относительно потенциальной нормы прибыли по дивидендам инвестора.
Приобретая акцию для долгосрочного инвестирования средств в нее, держатель может рассчитывать лишь на получение текущей (дивидендной) доходности:
В =Bt/Ц*100%,
где Ц — цена в начале анализируемого периода или цена приобретения;
Вt — дивиденды за период t.
Естественно, что, помимо доходности ценных бумаг, большое внимание уделяетяся уровню ликвидности. При одинаковом уровне ликвидности инвесторы стремятся купить те ценные бумаги, которые приносят большой доход. Вместе с тем уровень доходности ценных бумаг обычно является производным от степени риска. В этой связи лишь незначительное количество агрессивных инвесторов предпочитает вкладывать сколько- нибудь значительные средства в ценные бумаги с высоким уровнем дохода и с высокой степенью риска.
Операции Репо с корпоративными ценными бумагами
Данные операции занимают промежуточное положение между инвестиционными операциями, поскольку сделка предусматривает, что одна сторона продает другой пакет ценных бумаг определенного размера с обязательством выкупить его обратно по заранее оговоренной цене и кредитованием под залог ценных бумаг. Как уже отмечалось ранее, сделка Репо отличается от операции кредитования тем, что требует заключения двух договоров купли-продажи с переходом права ответственности на приобретенные ценные бумаги. В настоящее время операции Репо уже довольно широко проводятся коммерческими банками, финансовыми компаниями и другими участниками фондового рынка. По-видимому рынок Репо, несмотря на последние потрясения на финансовом рынке России, имеет хорошие шансы, чтобы постепенно стать еще одним его сектором. Однако пока еще этот рынок не столь совершенен, много вопросов возникает с юридической стороной оформления сделок, бухгалтерским учетом.
На рынке корпоративных ценных бумаг используются различные модификации сделок Репо. Операции Репо в зависимости от срока проведения операции классифицируются следующим образом.
«Репо с фиксированной датой» предусматривают, что сторона, выступающая в роли заемщика, обязуется выкупить ценные бумаги к заранее оговоренной дате. Операции «Открытые Репо» предполагают, что выкуп ценных бумаг может быть осуществлен в любое время, либо в любое время после определенной даты. На практике в рамках данной классификации применяется три вида сделок Репо в зависимости от срока действия: ночные (на один день), открытые (срок операции не установлен), срочные (более, чем на один день, но с фиксированным сроком).
Для осуществления сделок Репо наиболее эффективен вариант сотрудничества с профессионалом фондового рынка. Для этого заключается договор о сотрудничестве, например, с какой-то финансовой компанией, которая проводит котировки широкого круга эмитентов. Совместно с компанией, определяется круг эмитентов, чьи акции в настоящий момент пользуются наибольшим спросом, и под эти акции производится кредитование банком заемщиков. При этом компания гарантирует банку покупку у него этих акций по сложившейся на момент покупки рыночной цене и гарантирует обязательную операцию по истечении срока, оговоренного в договоре, т. е. проводится операция Репо.
Если представить данную операцию в вице схемы (рис. 25), то очевидны преимущества этой схемы для банка и финансовой компании:
Банк, осуществляя операцию по кредитованию клиента, получает ценные бумаги в залог (1а). Как уже упоминалось, Репо — финансовая операция, состоящая из двух частей. Одна из участвующих сторон (в данном случае банк) продает ценные бумаги другой стороне (2а; б) и в то же время берет на себя обязательство выкупить указанные ценные бумаги другой стороне в определенную дату или по требованию второй стороны (в данном случае финансовой компании) — (За, б). Обязательству на обратную покупку соответствует обязательство на обратную продажу, которое принимает на себя вторая сторона — финансовая компания. Обратная покупка ценных бумаг осуществляется по цене, отличной от цены первоначальной продажи. Разница между ценами и составляет тот доход, который должна получить сторона, выступившая в качестве покупателя в первой части Репо (в данном случае финансовая компания). Доход продавца денежных средств определяется величиной ставки Репо, что позволяет сопоставить эффективность проведения операций Репо с другими финансовыми операциями.

рис. 1
Возвращаясь к вопросу о рассмотрении эффективности данной операции, отметим следующее.
Очевидно, что банку в этом случае нет необходимости при кредитовании длительно использовать собственные ресурсы, так как кредитные ресурсы будут погашены выручкой от продажи ценных бумаг. Операции (1) и (2) совершаются параллельно или во всяком случае последовательно без временного интервала. Вместе с тем нельзя не учитывать маржу, применительно к Репо, представляющую собой некоторое предусмотренное договором уменьшение суммы денежных средств, поступающих в оплату
ценных бумаг по первой части договора Репо (2а). В данном примере финансовая компания платит, предположим, 80 процентов от рыночной стоимости ценных бумаг, объясняя, что оставшиеся 20 процентов являются страховкой. Таким образом, финансовая компания избегает убытков от неблагоприятного изменения рыночных котировок по вовлеченным в Репо ценным бумагам в том случае, когда продавец по первой части Репо (банк) не может выполнить свое обязательство по обратной покупке. Поскольку конкретная величина маржи устанавливается в договоре, то чем лучше будет дано описание ценных бумаг, по которым заключается сделка, тем меньше величина маржи.
Финансовая компания, осуществляя арбитражные и иные торговые операции с ценными бумагами, может получить спекулятивную прибыль, но поскольку в данном случае финансовая компания осуществляет операции с ценными бумагами, полученными по сделке Репо (2), то кроме вышеупомянутой прибыли от операций с полученными ценными бумагами, она будет иметь доход от операции Репо.
Его можно подсчитать по формуле:
Д=Ц*С*t/360
где Д — доход от операции;
Ц — основная сумма;
С — ставка Репо;
t— время Репо.
Естественно, что на практике состав участников вышеприведенной схемы может быть различным. Например, банк и финансовая компания могут поменяться местами. Иногда с позиции оптимизации финансовых потоков наиболее подходящим вариантом юридического оформления операции Репо может быть особый вид договора купли-продажи, в котором стороны поочередно меняются местами. В этом договоре должны быть указаны: срок договора, цена в первой части и цена во второй части Репо, описание ценных бумаг, порядок установления маржи и т. д.
Сделки Репо различаются не только по срокам и ставке, но и по порядку движения ценных бумаг, по которым заключен договор Репо.
В данном случае речь вдет о месте, где будут храниться ценные бумаги. Как правило, используется один из трех вариантов перемещения и хранения ценных бумаг.
Первый вариант заключается в том, что ценные бумаги, купленные в первой части Репо, действительно переводятся покупателю ценных бумаг. В этом случае покупатель акций минимизирует свой кредитный риск. Единственным недостатком этого вида Репо является то, что в отдельных случаях издержки по переводу бумаг могут быть довольно значительными, особенно при неразвитости инфраструктуры рынка.
Второй вариант также предусматривает перемещение ценных бумаг, но в пользу третьей стороны по операциям Репо. По этой причине данный вид Репо получил название трехстороннее -.Репо. Третья сторона по этому договору несет определенные обязательства перед непосредственными участниками сделки: проверяет вид ценных бумаг, перечисленных одной стороной другой стороне, отслеживает состояние маржи и при необходимости требует дополнительных перечислений. Учитывая то, что оба счета ( по деньгам и по бумагам) находятся у третьего участника, издержки по переводу средств в данном случае значительно минимизируются. Третья сторона по договору Репо, таким образом, выступает в качестве гаранта правильного исполнения договора Репо и получает за это опеределенное вознаграждение. Третий вариант отличается от двух предыдущих тем, что ценные бумаги остаются у их продавца по первой части договора Репо, который становится хранителем ценных бумаг для покупателя. Данный вид Репо традиционно называется «доверительное Репо» и характеризуется минимальными издержками по переводу ценных бумаг, но самым высоким уровнем кредитного риска. При этом продавец должен вести раздельный учет собственных ценных бумаг и тех, которые ему не принадлежат.
В отдельных случаях при проведении операции Репо допускается возможность обратной покупки ценных бумаг, отличающихся от тех, которые были куплены в первой части Репо. Такая возможность, иными словами, право замещения, реанимируется посредством указания и описания в договоре ценных бумаг- заменителей.
Заключение
1. По уровню риска виды ценных бумаг располагаются следующим образом исходя из принципа: чем выше доходность, тем выше риск, и чем выше гарантированность ценной бумаги, тем ниже риск.
2. Отсутствие необходимой информации как об имитенте, так и о состоянии рынка, делает эти операции достаточно рискованными как для профессионалов рынка так и для инвесторов.
3. Велика роль краткосрочных прогнозов в оценки ценных бумаг. Они имеют на Российском рынке значительно большее применение, чем коэффициенты.
4. Выбор соответствующей нормы капиталлизации субъективен.
5. Доходность по ценным бумагам на отечественном рынке почти целиком зависит от их ликвидности.
Список используемой литературы
1. Семенкова Е. В. " Операции с ценными бумагами" Учебн. М.: Издат. "Перспектива" : Издательский дом "ИНФРА-М", 1997г.
2. Басов А. И., Галанов В. А. "Рынок ценных бумаг" М.: "Финансы и статистика" 2000г.
3. Самсонов Н. Ф. и др. "Финансовый менеджмент" Учебн. для вузов. М.: Финансы, ЮНИТИ 2000г.
Оглавление
Введение стр. 1-3
Основная часть стр. 4-22
Инвестиционные операции с акциями стр. 4-6.
Риски проведения операций стр. 7-10.
Эффективность проводимой операции стр.10-13.
Долгосрочное инвестирование в корпоративные ценные бумаги стр. 13-18.
Операции Репо с корпоративными ценными бумагами стр. 18-22.
Заключение стр. 23.
Список использованной литературы стр. 24.