| Скачать .docx |
Реферат: Вакансионное Распухание
Вакансионное распухание.
1. Уравнения концентрации точечных дефектов.
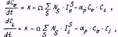
Основу теоретических моделей распухания составляют кинетические уравнения концентрации точечных дефектов среды, содержащей стоки. При этом предполагается, что концентрация радиационных точечных дефектов при характерных температурах распухания (0,2-0,6) Тпл превосходит концентрацию термически равновесных дефектов. Вакансии и межузельные атомы, мигрируя по решетке, могут: во-первых, рекомбинировать; во-вторых, образовывать скопления одноименных дефектов и, в-третьих, уходить на стоки, в качестве которых служат сетка дислокаций, дислокационные петли, поры и другие протяженные дефекты. Следовательно, скорость изменения концентрации межузельных атомов и вакансий равна разности скоростей их образования и гибели, что может быть описано кинетическими уравнениями

(1)-(2)
где Сv., С i - усредненные концентрации вакансий и межузельных атомов;
к -скорость образования пар Френкеля; W - атомный объем; Ns -число стоков типа S в единице объема; I sv и Isi -число вакансий и межузельных атомов, приходящих в единицу времени на сток типа S ; ap -коэффициент взаимной рекомбинации точечных дефектов. Для нахождения входящих в (1), (2) величин I sv , I si решается диффузионная задача миграции точечных дефектов в упругом поле, создаваемом стоком типа S , а для этого необходимо знать энергию взаимодействия точечных дефектов со стоками. Считается, что точечные дефекты в первом приближении с порами не взаимодействуют. С дислокациями они взаимодействуют по нескольким механизмам, наиболее важными из которых являются размерное взаимодействие и модульный эффект.
2. Поток точечных дефектов на дислокацию
Размерное взаимодействие, как известно, дает наибольший вклад в полную энергию взаимодействия между дислокацией и точечным дефектом. Оно имеет упругую природу и фактически является взаимодействием дальнодействующего поля напряжения дислокации с полем атомных смещений вокруг точечного дефекта. Для краевой прямолинейной дислокации, направленной вдоль оси z :
![]()
(3)
где r - расстояние дефекта от дислокации; DVa - релаксационный объем, разница между объемом дефекта и атомным объемом; n - коэффициент Пуассона.
Если все дислокации параллельны друг другу и плотность их r ¶ , то область влияния каждой из них ограничена цилиндрической поверхностью радиуса
![]()
(4)
Концентрация радиационных точечных дефектов в пространстве между дислокациями (стоками) будет отличаться от таковой на границах стоков. Соответствующий градиент концентрации С a вызовет поток точечных дефектов
![]()
(5)
где D a , C a коэффициент диффузии и атомная концентрация точечных дефектов соответственно. Так как диффундирующие частицы взаимодействуют со своими стоками, в (5) необходимо добавить член, учитывающий действие дополнительной силы (3), Эта сила приводит к направленному потоку точечных дефектов (дрейфовому потоку) даже в отсутствие градиента концентрации. Таким образом, уравнение диффузии примет вид
![]()
(6)
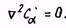
где индекс a означает или межузельные атомы i , или вакансии v . В установившемся режиме, характеризуемом стационарными потоками точечных дефектов, дивергенция потока div J a =0 и уравнение (6) перепишется:
![]()
(7)
Здесь учтено, что Евз . является гармонической функцией, т.е. справедливо соотношение Ñ 2 E a вз =0.
Для решения (7) зададимся граничными условиями. Считаем дислокацию идеальным стоком для точечных дефектов, а потому у ядра дислокации (r = r0 ) поддерживается концентрация
![]()
(8)
где C ¶ a -термически равновесная концентрация точечных дефектов.
Другое граничное условие получим, считая, что среднее расстояние между дислокациями достаточно велико, поэтому влиянием поля дислокации на расстояние R ¶ от ядра дислокации можно пренебречь (E a вз =0 ). Тогда
![]()
(9)
где Собл a — средняя концентрация точечных дефектов, создаваемых облучением. Решение уравнения (7) с граничными условиями (8) и (9) имеет вид

(10)-(11)-(12)
Число точечных дефектов, достигающих единицы длины дислокации за единицу времени
![]()
(13)
Величину J a ( r 0 , q ) получим из уравнения (6), подставив в него (8) и (3). Интегрирование по q в (13) дает:
![]()
(14)
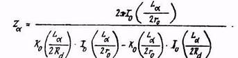
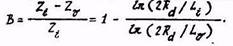
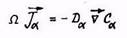
где Z a - параметр эффективности поглощения дислокацией точечного дефекта a:

(15)
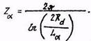
Для плотности дислокаций ~1014 м-2 , характерной для облучаемых материалов, расстояние R d ~ 100 В, L a ~10 b < Rd , но L a > r 0 . С учетом данных неравенств и разложения функций K 0 и J 0 , при малых и больших аргументах выражение (15) упрощается:

(16)
Видно, что Z a зависит от типа дефекта через D V a .
Расчеты показывают, что и D Vi >| D Vi | .Тогда Li > Lv и, следовательно, Zi > Zv . Согласно (14) это приводит к тому, что дислокации поглощают преимущественно межузельные атомы, по сравнению с вакансиями. В качестве меры такого предпочтения (преференса) вводится величина
![]()
(17)
3. Поток точечных дефектов на пору
Поток рассчитывается таким же способом, как и на дислокацию. В простейшем случае, если объем облучаемого образца равномерно заполнен порами среднего радиуса rh и плотностью r h , на каждую пору приходится часть объема образца:
4/3 p R 3 h = r -1 h
(18)
Предполагается, что в сферической области радиусаRh других стоков , кроме поры, нет, и поэтому все точечные радиационные дефекты поглощаются порой.
Уравнение диффузии (7) для случая поры выглядит проще, чем для дислокации, так как не содержит дрейфового члена
![]()
(19)
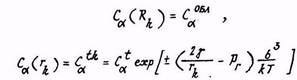
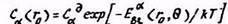
Граничные условия можно записать:

(20)-(21)
где С th a -термическая концентрация точечных дефектов на поверхности поры;
С t a -термически равновесная концентрация точечных дефектов. Знаки "плюс" и "минус" отвечают вакансиям и межузельным атомам соответственно.
Решением уравнения (19) является
![]()
(22)
Тогда число точечных дефектов, достигающих поверхности поры Sh в единицу времени, будет:
![]()
(23)
По аналогии с (14) получается, что 4 p rh -эффективность поглощения межузельных атомов и вакансий отдельной сферической порой радиуса rh . Таким образом, видно, что поры являются нейтральными стоками, т.е. поглощают за единицу времени одинаковое число межузельных атомов и вакансий.
Используя (23), можно найти скорость изменения объема поры или ее радиуса:
![]()
(24)
Первое слагаемое в правой части (24) характеризует скорость присоединения вакансий, второе - межузельных атомов, третье - скорость термического испарения вакансий из поры; g - коэффициент поверхностного натяжения поры : P – давление газа в поре. При выводе (24) термически равновесную концентрацию межузельных атомов считали равной нулю. Из (24) следует, что рост вакансионной поры может происходить лишь тогда, когда правая часть положительна, т.е. при некотором критическом размере поры.