| Похожие рефераты | Скачать .zip |
Реферат: Проект ткацкой фабрики для выработки ткани «Бязь» артикул С-32БХ-206 на станках СТБ-250 в количестве 500 ± 20 станков
Министерство
образования
Российской
Федерации
Государственное Образовательное Учреждение
Орехово - Зуевский текстильный техникум
«Допускаю к защите
дипломного проекта».
Заместитель директора
по учебной работе
/Сударева Н.Т./
«Проект
ткацкой фабрики
для выработки
ткани «Бязь»
артикул
С-32БХ-206 на станках
СТБ-250 в количестве
500
±
20
станков»
ДИПЛОМНЫЙ ПРОЕКТ
628.2803.042-А.038.0000 ПЗ
Студент /Комаров А.С./
Руководитель проекта /Сорокина Е.С./
Консультант по экономической части /Чернова Н.П./
2003
введение
Первый год нового столетия начался значительно скромнее, чем последний год прошлого века. Объём всей промышленной продукции увеличился за 1 полугодие на 5,5 % (в пошлом году рост был 13,1%), инвестиции выросли на 4,2% (в прошлом году – 16,9%), грузооборотов транспорта на 2,3% (в прошлом году – 6%). Высокими темпами, превышающими темпы 1-го полугодия 2002 года, увеличились: объемы импорта на 18,2% (год назад – 9,8%), индекс потребительских цен на 12,7% (был 9,5%), розничный товарооборот на 10% (был – 7,6%). Реальные денежные доходы населения увеличились всего на 4,4% (год назад – 9,9%).
В легкой промышленности темпы роста производства тоже замедлились и составили за 1 полугодие 105,2% против 135,2% в 2000 году.
Темпы роста производства в легкой промышленности в 1 полугодии 2001 года были несколько ниже, чем в среднем по промышленности. При этом сохранилась достаточно большая разница в них по подотраслям, и поменялись лидеры. Если в прошлом году довольно высокий рост производства легкой промышленности был, достигнут за счет текстильной промышленности, показавшей самый высокий темп, в 1-ом полугодии 2001 года такой подотраслью стала швейная промышленность.
Текстильная отрасль, обеспечивающая рынок товарами народного потребления, значительные объемы продукции которой используются во всех отраслях экономики при выработки технических специальных медицинских изделий, вещевого имущества для силовых структур и бюджетных организаций, в течении 2 последних лет доказала способность к позитивной динамике развития.
Всё сложнее становится закрепить достигнутые результаты: хронический недостаток оборотных средств, проблемы обеспечения сырьевыми ресурсами, отсутствие механизма доступных кредитов - выступают тормозом в увеличении объемов производства, техническом перевооружении отрасли, износ оборудования в которой достиг 70-80%.
Текстильную промышленность России представляют 870 крупных и средних предприятий с общей численностью занятых около 400 тысяч человек (3% от численности работающих в промышленности России). Более 40 из указанных предприятий являются акционерами концерна. Не менее важной для текстильной промышленности является проблема повышения благосостояния россиян и их покупательной способности, поскольку это основа для достойного функционирования отрасли.
1 технологическая часть
1.1. технические условия на пряжу и суровьё. Требования стандартов
Таблица 1. Технические условия на пряжу, выработанную из хлопкового волокна ОСТ-17-96-86
|
Номинальная линейная плотность, текс |
Сорт пряжи |
Допускаемое
отклонение
от
|
Наименование показателей |
Коэффициент вариации по разрывной нагрузке, % |
Показатель качества |
Коэффициент вариации по линейной плотности, % не более |
|
|
|
|
||||||
|
Основа
|
I |
+2,0; -2,5 |
11,7 |
11,9 |
13,8 |
0,86 |
3,8 |
|
Уток
|
I |
+2,0; -2,5 |
11,7 |
11,9 |
13,8 |
0,86 |
3,8 |
|
Кромка
|
I |
+2,0; -2,5 |
11,7 |
11,9 |
13,8 |
0,86 |
3,8 |
Таблица 2. Технические условия на суровую ткань «Бязь» артикул С-32БХ-206
|
Наименование показателей |
Единицы измерения |
Данные |
|
Ширина суровой ткани |
см |
206 |
|
Плотность суровой ткани на 10 см: по основе |
|
228 |
|
по утку |
|
236 |
1.2. ИСХОДНЫЕ ДАННЫЕ ТЕХНИЧЕСКОГО расчётА ткани
Таблица 3. Технические данные для расчёта ткани «Бязь» артикул С-32БХ-206
|
Наименование показателей |
Единицы измерения |
Обозначение |
Данные |
|
Наименование ткани Артикул Назначение ткани Переплетение ткани Ширина суровой ткани Ширина заправки по берду |
- - - - см см |
- - - -
|
бязь С-32БХ-206 бельевое полотно 206 223,3 |
|
Род волокна и сорт пряжи: основной |
- |
- |
|
|
уточной |
- |
- |
|
|
кромочной |
- |
- |
|
|
Линейная плотность пряжи: основной |
текс |
|
29 |
|
уточной |
текс |
|
36 |
|
кромочной |
текс |
|
29 |
|
Плотность суровой ткани на 10 см: |
|||
|
по основе |
|
|
228 |
|
по утку |
|
|
236 |
|
Количество кромочных нитей |
нитей |
|
60 |
|
Уработка по основе |
% |
|
8,8 |
|
Приклей |
% |
|
6 |
|
Количество нитей, пробираемых в зуб |
|||
|
берда: фон |
|
|
2 |
|
кромка |
|
|
2 |
|
Количество нитей, пробираемых в галево |
|||
|
ремиз: фон |
нитей |
|
1 |
|
кромка |
нитей |
|
2 |
|
Количество ремиз в приборе: всего |
штук |
|
4 |
|
из них для фона |
штук |
|
4 |
|
для кромки |
штук |
|
4 |
|
Вид проборки |
- |
- |
рядовая |
|
Поверхностная плотность |
|
|
168 |
1.3. ТЕХНИЧЕСКИй расчёт ткани. СВОДНАЯ ТАБЛИЦА ТЕХНИЧЕСКОГО РАСЧЁТА ТКАНИ
Рисунок переплетения ткани:
|
2 |
|||||
|
1 |
|||||
|
1 |
2 |
||||
|
Рисунок 1 |
|||||
Число нитей в раппорте
основы:
![]()
утка:
![]()
Коэффициент
переплетения
,
рассчитывается
по формуле
, (1.1.)
где
- число связей
основы с утком
в направлении
основы;
- число связей
основы с утком
в направлении
утка.
![]()
Средняя
линейная плотность
,
текс, рассчитывается
по формуле
, (1.2.)
![]()
Коэффициент
связности
,
текс, рассчитывается
по формуле
, (1.3.)
где
- плотность
суровой ткани
по основе;
- плотность
суровой ткани
по утку.
![]()
Уработка
нитей утка в
ткани
,
%, рассчитывается
по формуле
, (1.4.)
![]()
Плотность
ткани по основе
в кромках
,
,
рассчитывается
по формуле
, (1.5.)
![]()
Ширина
кромки
,
см, рассчитывается
по формуле
, (1.6.)
![]()
Количество
зубьев, занятых
кромочными
нитями
,
зуб, рассчитывается
по формуле
, (1.7.)
![]()
Количество
нитей фона
,
нитей, рассчитывается
по формуле
, (1.8.)
![]()
Количество
зубьев берда,
занятых нитями
фона
,
зуб, рассчитывается
по формуле
, (1.9.)
![]()
Уточняем
количество
нитей фона
,
нитей, рассчитывается
по формуле
, (1.10.)
![]()
Уточняем
количество
нитей основы
,
нитей, рассчитывается
по формуле
, (1.11.)
![]()
Расчёт берда
Номер
берда
,
,
рассчитывается
по формуле
, (1.12.)

Принимаем
![]()
Количество
зубьев берда
,
зуб, рассчитывается
по формуле
, (1.13.)
![]()
Общая
ширина берда
,
см, рассчитывается
по формуле
, (1.14.)
![]()
Расчёт ремиза
Рисунок проборки основы в ремиз
|
1 |
о |
|||
|
2 |
о |
|||
|
3 |
о |
|||
|
4 |
о |
|||
|
r |
||||
|
Рисунок 2 |
||||
где
- число нитей
основы в раппорте
проборки;
- число галев,
занятых в пределах
раппорта проборки
на
ремизке.
;
![]()
Схема расположения зон на ремизках для станка СТБ-250
|
|
|
|
|
|
|
||
|
Рисунок 3 |
|||||||
Ширина зон:
первая
зона ![]()
средняя
зона
(их две)
смежная
зона
(их две)
последняя
зона ![]()
Число
галев в первой
зоне
,
галев, рассчитывается
по формуле
, (1.15.)
![]()
Число
галев в средних
зонах
,
галев, рассчитывается
по формуле
, (1.16.)
![]()
Число
галев в смежных
зонах, когда
кромкообразующий
механизм
располагается
в промежутках
между зонами
,
галев, рассчитывается
по формуле
, (1.17.)
![]()
Число
галев в последней
зоне при работе
в одно полотно
,
галев, рассчитывается
по формуле
, (1.18.)
![]()
Число
галев для кромок
,
галев, рассчитывается
по формуле
, (1.19.)
![]()
Общее
число галев
на ремизке при
работе в одно
полотно
,
галев, рассчитывается
по формуле
, (1.20.)
![]()
Общее
число галев
в приборе
,
галев, рассчитывается
по формуле
, (1.21.)
![]()
Ширина
ремиза
,
см, рассчитывается
по формуле
, (1.22.)
![]()
Проверяем
плотность галев
на ремизках
,
,
рассчитывается
по формуле
, (1.23.)
![]()
Рекомендуемая
плотность галев
на ремизке для
основной пряжи
с
![]()
![]()
![]()
Расчёт ламельного прибора
Ширина
ламельных реек
,
см, рассчитывается
по формуле
, (1.24.)
![]()
Проверяем
плотность
ламелей на
рейках
,
,
рассчитывается
по формуле
, (1.25.)
где
- число реек
ламельного
аппарата.
![]()
Рекомендуемая
плотность
ламелей на
рейках для
основной пряжи
с
![]()
![]()
Выбираем
тип и размер
ламелей по
линейной плотности
пряжи
основонаблюдателя
электрического
действия ламели
ЛЭ-210.
Расчёт массы пряжи в 100 метрах суровой ткани
Масса
основной пряжи
,
кг, рассчитывается
по формуле
, (1.26.)
где
- общее количество
нитей в основе.
![]()
Остаток
шлихты, зарабатываемой
в ткань
,
%, рассчитывается
по формуле
, (1.27.)
где
- процент приклея.
![]()
Масса
нитей основы
с учётом остаточного
приклея
,
кг, рассчитывается
по формуле
, (1.28.)
![]()
Масса
остаточной
шлихты
,
кг, рассчитывается
по формуле
, (1.29.)
![]()
Масса
уточной пряжи
,
кг, рассчитывается
по формуле
, (1.30.)
где
- плотность
суровой ткани
по утку на 1см;
- общая длина
концов уточных
нитей, закладываемых
в кромки ткани.
![]()
Общая
масса пряжи
в ткани с учётом
приклея
,
кг, рассчитывается
по формуле
, (1.31.)
![]()
Общая
масса пряжи
в ткани
,
кг, рассчитывается
по формуле
, (1.32.)
![]()
Поверхностная
плотность ткани
,
,
рассчитывается
по формуле
, (1.33.)
![]()
Заполнение ткани волокнистым материалом
Диаметр
нити основы
,
мм, рассчитывается
по формуле
, (1.34.)
![]()
Диаметр
нити утка
,
мм, рассчитывается
по формуле
, (1.35.)
![]()
Линейное
заполнение
суровой ткани
по основе
,%,
рассчитывается
по формуле
, (1.36.)
где
- плотность
суровой ткани
по основе на
10 см.
![]()
Линейное
заполнение
суровой ткани
по утку
,%,
рассчитывается
по формуле
, (1.37.)
где
- плотность
суровой ткани
по основе на
10 см.
![]()
Поверхностное
заполнение
ткани по площади
,
%, рассчитывается
по формуле
, (1.38.)
![]()
Заправочный рисунок
|
1 |
о |
||||||||
|
2 |
о |
||||||||
|
3 |
о |
||||||||
|
4 |
о |
||||||||
|
4 |
|||||||||
|
3 |
|||||||||
|
2 |
|||||||||
|
1 |
|||||||||
|
1 |
2 |
3 |
4 |
||||||
Рисунок 4
Переплетение ткани - полотно, артикул С-32БХ-206
Раппорт
по основе
,
Раппорт
по утку
.
Для выработки ткани «Бязь» артикул С-32БХ-206 на станках СТБ-250 в одно полотно эксцентрики 4х оборотные.
Эксцентрики
профиля
в количестве
4х
штук
Угол
сдвига
,
рассчитывается
по формуле
(1.39.)
Рисунок 5
Таблица
4. Сводная таблица
данных технического
расчёта ткани
«Бязь»,
артикул
С-32БХ-206
|
Наименование показателей |
Единицы измерения |
Расчётные данные |
Данные |
|
Ширина суровой ткани |
см |
206 |
|
|
Линейная плотность пряжи: основной |
текс |
29 |
|
|
уточной |
текс |
36 |
|
|
Нитей в основе на два полотна: всего |
нитей |
4698 |
4698 |
|
из них кромочных |
нитей |
||
|
Бердо: номер |
|
105 |
105 |
|
ширина заправки на одно полотно |
см |
223,7 |
223,3 |
|
общая ширина |
см |
223,7 |
|
|
количество зубьев берда |
штук |
2349 |
|
|
Ширина ремиза на одно полотно |
см |
253 |
|
|
Количество ремиз в приборе: всего |
штук |
4 |
|
|
для фона |
штук |
4 |
|
|
для кромки |
штук |
4 |
|
|
Количество галев на ремизке: для фона |
галев |
1176 |
|
|
для кромки |
галев |
8 |
|
|
Общее количество галев в приборе: всего |
галев |
4704 |
|
|
из них запасных |
галев |
32 |
|
|
Масса пряжи в 100 метрах суровой ткани: |
|||
|
основной мягкой |
кг |
14,823 |
|
|
уточной |
кг |
19,226 |
|
|
Общая масса пряжи в 100 метрах суровой ткани с учётом приклея |
кг |
34,642 |
|
|
Поверхностная плотность ткани |
|
165,3 |
168 |
|
Заполнение ткани: по основе |
% |
50,2 |
|
|
по утку |
% |
56,6 |
|
|
по площади |
% |
105,73 |
|
|
Коэффициент связности |
8,74 |
12,5 |
1.4. Выбор и обоснование технОЛОГИческого поцесса ТКАЧЕСТВА
Схема 1. Технологический процесс ткачества для выработки ткани «Бязь» артикул С-32БХ-206
|
склад пряжи |
|||
|
о |
уток |
||
|
перематывание |
|
снование |
|
увлажнение |
|
шлихтование |
|
проборка и привязка |
|
ткачество |
|
учёт и контроль суровой ткани |
Описание схемы технологического процесса
Основная
пряжа
,
уточная пряжа
,
кромочная
поступает на
склад ткацкой
фабрики.
Основная
пряжа поступает
с машин ППМ-120
в цилиндрических
бобинах, её
отправляют
в снование,
минуя перематывание.
Целью снования
является получение
паковок – сновальных
валиков с
определённым
числом нитей,
заданной длины.
Для снования
принимаем
машину СП-140-4. Для
установки бобин
принимаем
шпулярник
Ш
616-2 прерывного
снования. Остатки
после снования
направляются
в перемотку.
В процессе образования ткани на ткацком станке основная пряжа испытывает различные механические нагрузки, что приводит к обрывам. Для увеличения прочности ткани, её шлихтуют. Для шлихтования принимаем шлихтовальную машину ШБ-11/140-3-1. Машина оснащена приборами и устройствами для автоматического контроля регулировки технологических параметров.
Основа на ткацких навоях поступает в проборный отдел. Для пробирания основных нитей при перезаправке станка и замене изношенных ремизок, бёрд принимаем проборный станок ПСМ-250.
Для
привязывания
нитей доработанной
основы с концами
нитей вновь
подготовленной
основы на ткацком
станке используем
узловязальную
машину
УП-5-250 с
игольным отбором
нитей.
Уточная пряжа поступает на цилиндрических бобинах с машин ППМ-120, её направляют на увлажнение.
Для выработки ткани «Бязь» артикул С-32БХ-206 используем ткацкий станок СТБ-250, где уток прокладывается при помощи микропрокладчиков. В результате взаимного переплетения основы и утка на станке образуется ткань.
Суровая ткань поступает в контрольно-учётный отдел, где для контроля, учёта и укладки суровой ткани принимаем агрегатно-поточную линию, состоящую из рулононакопителя, раскатного устройства, швейной машины, контрольных стволов, стригально-чёсальной машины, компенсаторов для запаса ткани и самоклада.
Ткань со склада суровья отправляется на отделочную фабрику.
1.5. Выбор и обоснование оборудования и его краткая характеристика
Снование основной пряжи
Для
снования пряжи
используется
сновальная
машина СП-140-4.
Эта сновальная машина предназначена для снования хлопчатобумажной пряжи. Сновка партионная.
Конструктивные особенности:
машина оснащена пухоотсосом;
зажим сновального вала в левой пиноле осуществляется гидравлическим устройством, в правой пиноле – электромеханическим устройством;
механизм переключения скоростей обеспечивает работу машины в 2х диапазонах скоростей:
и
;прижим уплотняющего вала к сновальному осуществляется посредством плунжеров от гидросистемы;
наработка нитей на сновальный вал может быть параллельная и крестовая.
Таблица 5. Техническая характеристика сновальной машины СП-140-4
|
Элементы характеристики |
Единицы измерения |
Данные |
|
Рабочая ширина машины |
мм |
1400 |
|
Линейная скорость снования |
|
600 |
|
Размер сновального валика: диаметр ствола |
мм |
240 |
|
диаметр дисков (фланцев) |
мм |
660 |
|
расстояние между дисками |
мм |
1400 |
|
Сновальная рамка (шпулярник) рамка |
Ш-616-2 |
|
|
Максимальное количество бобин |
штук |
616 |
|
Размеры бобин: максимальный диаметр |
мм |
250 |
|
высота намотки |
мм |
150 |
|
Расстояние от сновальной машины до сновальной рамки |
мм |
2000 |
|
Габаритные размеры машины: ширина |
мм |
2840 |
|
глубина |
мм |
1900 |
|
Габаритные размеры сновальной рамки: длина |
мм |
12200 |
|
ширина |
мм |
5570 |
Перематывание основной пряжи
Остатки
основной пряжи
после снования
перематываются
на мотальной
машине М-150-2.
Конструктивные особенности:
предусмотрено местное освещение;
изменён угол наклона заправочной линии;
установлен транспортёр для наработанных паковок;
увеличены скоростные возможности;
увеличен максимальный размер формируемой паковки.
Таблица 6. Техническая характеристика мотальной машины М-150-2
|
Элементы характеристики |
Единицы измерения |
Данные |
|
Линейная скорость перематывания |
|
500-1200 |
|
Линейная плотность перематываемой пряжи: |
||
|
одиночной |
текс |
|
|
кручённой |
текс |
|
|
Тип формируемой поковки |
коническая бобина |
|
|
Размер формируемой поковки: максимальный размер |
мм |
250 |
|
высота намотки |
мм |
150 |
|
диаметр паковки |
мм |
70 |
|
Число барабанчиков на машине |
штук |
100 |
|
Габаритные размеры на 100 мотальных барабанчиков: |
||
|
длина |
мм |
14200 |
|
ширина |
мм |
1300 |
Шлихтование основной пряжи
Для
основной пряжи
с
необходим
процесс шлихтования.
Для этого принимаем
шлихтовальную
машину ШБ-11/140-3-1.
Конструктивные особенности:
на машине стойки для сновальных валиков оснащены конусами для тормоза сновальных валиков;
торможение происходит колодочными тормозами;
на машине применяется отжим сухой основы перед воздействием на неё пара;
в пропиточной секции между тянульным валом и погружающим роликом расположена запарная камера для интенсификации перематывания пряжи шлихтой;
на машине имеется регулятор отжима основы;
в зоне (сновальные валики – тянульный вал) расположен ролик-датчик для контроля натяжения основы.
Таблица 7. Техническая характеристика мотальной машины ШБ-11/140-3-1
|
Элементы характеристики |
Единицы измерения |
Данные |
|
Заправочная скорость |
|
|
|
Скорость движения основы |
|
8 |
|
Длина заправочной основы в сушильной части машины |
м |
18 |
|
Диаметр сушильных барабанов |
мм |
570 |
|
Объём ванны для шлихты |
литров |
200 |
|
Максимальный диаметр дисков ткацкого навоя сновального валика |
мм |
800 |
|
Максимальная плотность навивки основы |
|
0,7 |
|
Влажность основы |
% |
6 |
|
Температура сушильных барабанов |
|
100 |
|
Температура шлихты в ванне |
|
90 |
|
Вытяжка |
мм |
0,3 |
|
Габаритные размеры машины: |
||
|
ширина |
мм |
3050 |
|
длина |
мм |
21410 |
|
длина без стойки для сновальных валов |
мм |
10720 |
|
Ширина наматываемой основы на навое |
мм |
1120 |
Станция САПШ
САПШ предназначена для приготовления однокомпонентной шлихты на основе крахмалопродуктов и сыпучих синтетических препаратов.
Станция имеет блочную конструкцию и включает:
блок дозирования шлихтующего препарата. Подача шлихтующего препарата из бункера в пневмодозатор осуществляется пневможёлобом;
варочный блок;
две системы дозирования ТВВ;
герметизированный раздаточный бак;
логическое управляющее устройство.
Подача шлихтующего препарата осуществляется сжатым воздухом. Контроль процесса варки осуществляется по времени, температуре и вязкости шлихты.
Взвешивание дозы шлихтующего препарата осуществляется на платформенных весах РПШ-100. Вязкость шлихты контролируется при помощи капиллярного вискозиметра.
Управление процессом варки осуществляется логическим управляющим устройством по стандартной программе.
Варка при постоянной температуре продолжается до тех пор, пока вязкость полученной шлихты не стабилизируется.
Весь процесс варки механизирован и автоматизирован. В случае необходимости возможен переход на пооперационное дистанционное управление.
Станция САПШ обеспечивает приготовление шлихты со стандартными параметрами на основе сыпучих синтетических препаратов и крахмалопродуктов.
Таблица 8. Техническая характеристика станции САПШ
|
Элементы характеристики |
Единицы измерения |
Данные |
|
Производительность |
|
1200 |
|
Коэффициент автоматизации |
0,9 |
|
|
Площадь, занимаемая оборудованием (с учётом вспомогательных установок и пульта) |
|
12,5 |
|
Масса |
кг |
5900 |
|
Шлихтующие препараты |
крахмало-продукты, синтетические препараты |
|
|
Контролируемые параметры |
масса, время, вязкость |
Рецепт шлихты на 1000 литров препарата
Крахмал кукурузный – 5,5 кг;
Едкий натр 100% – 0,055 кг;
Хлорамин – 0,250 кг;
Смачиватель – 0,15 кг;
Пластификатор
– 0,3
0,5
кг;
Пеногаситель
– 0,3
0,6.
Концентрация шлихты – 5,5
Режим приготовления шлихты на САПШ
Клеящий
материал хранится
в специальных
бункерах, откуда
подаётся в
пневмодозатор
с помощью
пневможёлоба.
По достижении
заданной массы
1000 кг, клеящий
материал подаётся
в бак, наполненный
водой, предварительно
нагретой до
при постоянном
помешивании.
Размешивание
продолжается
5-10 минут.
Приготовительная суспензия подаётся в варочный бак самотёком.
При включённых мешалках суспензия поступает до установленного уровня, добавляется вода до полного объёма.
Управление процессом варки осуществляется логическим устройством по программе.
Температура
приготовления
шлихты
,
время варки
15-20 минут.
ТВВ вводятся в конце варки шлихты в виде эмульсий или растворов. В программе варки шлихты устанавливается начальная температура воды, температура варки и температура хранения шлихты.
Пробирание и привязывание нитей основной пряжи
Для пробирания нитей основы принимаем проборный станок ПСМ-250.
Он предназначен для пробирания нитей основы в глазок галева ремиз и между зубьями берда. Станок обслуживается двумя работницами. Отбор основных нитей и фиксация их под крючок, отбор галева и пробирание нити в его глазок выполняется вручную. Пробирание нитей в бердо производят механическим пассетом.
Таблица 9. Техническая характеристика проборного станка ПСМ-250
|
Элементы характеристики |
Единицы измерения |
Данные |
|
Заправочная ширина |
см |
250 |
|
Диапазон номеров берда |
- |
25 |
|
Конструкция пассета |
- |
механический |
|
Максимальное число: ремиз |
штук |
12 |
|
рядов ламелей |
штук |
6 |
|
Максимальный подъём планок |
мм |
22 |
|
Габаритные размеры: глубина с основой |
мм |
1600 |
|
ширина |
мм |
3220 |
Для привязывания нитей основы принимаем узловязальную машину УП-5-250
Таблица 10. Техническая характеристика узловязальной машины УП-5-250
|
Элементы характеристики |
Единицы измерения |
Данные |
|
Скорость связывания нитей |
|
500 |
|
Линейная плотность связываемых нитей хлопчатобумажной основы с игольным отбором нитей |
текс |
2,2-100 |
|
Габаритные размеры машины: длина |
мм |
3060 |
|
ширина |
мм |
580 |
Для хранения основ на ткацких навоях необходимо установить стеллажи.
Для ткацкого станка СТБ-250 к установке принимаем стеллаж СМ-4М.
Таблица 11. Техническая характеристика стеллажа СМ-4М
|
Элементы характеристики |
Единицы измерения |
Данные |
|
Количество вмещаемых навоев |
штук |
60 |
|
Габаритные размеры: длина |
мм |
17600 |
|
ширина |
мм |
2565 |
Количество
стеллажей
,
штук, рассчитывается
по формуле
, (1.40.)
где
- потребность
пряжи на 1 час
работы;
- количество
часов работы
за две смены;
- фактическая
сопряжённая
масса мягкой
пряжи на ткацком
навое, кг;
- ёмкость стеллажа.
![]()
Принимаем
стеллаж
УВЛАЖНЕНИЕ УТОЧНОЙ ПРЯЖИ
При
увлажнении
пряжи повышается
влажность пряжи
до 7
9
%, создаётся её
равновесная
структура и
увеличивается
сцепляемость
между слоями
на бобине.
После такой подготовки, пряжа перерабатывается на ткацком станке с меньшей обрывностью, меньшим количеством слётов, сукрутин и петель в ткани, что способствует повышению качества ткани и значительно снижает количество разбитых бобин, то есть создаются условия для экономии сырья.
Для увлажнения уточной пряжи принимаем машину ЭУ-98-1. Машина предназначена для увлажнения и эмульсирования пряжи путём равномерного распределения распылённой воды или эмульсии из форсунок. Время обработки пряжи на рабочем конвейере не превышает 2 минуты.
Таблица 12. Техническая характеристика увлажняющей машины ЭУ-98-1
|
Элементы характеристики |
Единицы измерения |
Данные |
|
Линейная скорость: питающего конвейера |
|
0,68 |
|
рабочего конвейера |
|
1,2 |
|
Производительность машины по сухой пряже |
|
до 360 |
|
Число форсунок в машине |
штук |
5 |
|
Габаритные размеры: длина |
мм |
6100 |
|
ширина |
мм |
1560 |
Ткачество
Для выработки ткани «Бязь» артикул С-32БХ-206 принимаем ткацкий станок СТБ-250.
Станки СТБ имеют следующие основные преимущества:
малую массу прокладчика утка, обеспечивающую высокие скорости при большой ширине станка;
принцип ткачества с закладной кромкой и установку на станке нескольких кромкообразователей, что позволяет вырабатывать одновременно несколько полотен;
применение малогабаритного прокладчика;
небольшие размеры зева;
возможность использования больших уточных паковок, что обеспечивает снижение затрат рабочего времени при обслуживании станков, и повышение производительности труда и оборудования.
Таблица 13. Техническая характеристика ткацкого станка СТБ-250
|
Элементы характеристики |
Единицы измерения |
Данные |
|
Частота вращения главного вала |
|
265 |
|
Заправочная ширина по берду |
см |
250 |
|
Линейная плотность перерабатываемой пряжи: |
||
|
по основе |
текс |
- |
|
по утку |
текс |
200 |
|
Диапазон плотностей по утку |
|
3,6 |
|
Максимальное число ремизок: для фона |
штук |
|
|
для кромок |
штук |
|
|
Число реек основонаблюдателя |
штук |
4 |
|
Вид кромки |
- |
закладная |
|
Размеры навоя: рассадка дисков (фланцев) |
мм |
2570 |
|
диаметр дисков |
мм |
800 |
|
диаметр ствола |
мм |
150 |
|
Габаритные размеры: ширина |
мм |
4400 |
|
глубина |
мм |
1983 |
УЧЁТно-контрольный отдел
Агрегатно-поточная линия предназначена для чистки, промеривания и контроля качества суровых тканей. Она комплектуется из бункера для хранения рулонов, раскатного устройства, швейной машины, стригальной машины, браковочных машин (2 или 3 стола для контроля качества ткани), машины для чистки суровых тканей, тамбурной машины, компенсаторов, стойки с самокладом.
Таблица 14. Техническая характеристика агрегатно-поточной линии
|
Элементы характеристики |
Единицы измерения |
Данные |
|
Скорость движения ткани: при промеривании |
|
до 100 |
|
контроле качества |
|
50 |
|
перегонке |
|
120 |
|
складывании |
|
90 |
|
Рабочая ширина машины |
мм |
1200 |
|
Габаритные размеры: глубина с основой |
мм |
2840 |
|
ширина |
мм |
17633 |
К установке принимаем контрольно-мерильную машину МКМ-250.
Таблица
15. Техническая
характеристика
контрольно-мерильной
машины
МКМ-250
|
Элементы характеристики |
Единицы измерения |
Данные |
|
Номинальная рабочая ширина машины |
мм |
2500 |
|
Максимальная ширина контролируемой ткани |
мм |
2300 |
|
Вид обрабатываемой ткани |
- |
|
|
Схема заправки |
- |
из рулона в тележку |
|
Габаритные размеры: длина |
мм |
2700 |
|
ширина |
мм |
2500 |
1.7. вЫБОР И Расчёт паковок ПО ПЕРЕХОДАМ ТЕХНОЛОГИЧЕСКОГО ПРОЦЕССА ТКАЧЕСТВА. СВОДНАЯ ТАБЛИЦА РасчётА паковок
Расчёт паковок с прядильно-крутильных машин (и с прядильных машин)

Рисунок 4
Таблица 17. Данные для расчёта паковок с прядильных машин
|
Марка машины |
|
|
Н |
D |
d |
|
|
текс |
текс |
текс |
текс |
текс |
текс |
|
|
ППМ-120: для основы |
29 |
- |
85 |
230 |
56 |
0,42 |
|
для утка |
- |
50 |
85 |
230 |
56 |
0,42 |
Объём
пряжи на цилиндрической
бобине
,
см, рассчитывается
по формуле
, (1.41.)
![]()
Масса
пряжи на бобине
,
г, рассчитывается
по формуле
, (1.42.)
где
- удельная плотность
намотки пряжи
на бобину,
.
![]()
Длина
пряжи на бобине
,
м, рассчитывается
по формуле
, (1.43.)
для
основы
![]()
для
утка
![]()
РАСЧЁТ ПАКОВОК С МОТАЛЬНЫХ МАШИН М-150-2М

Рисунок 5
Таблица 18. Данные для расчёта паковок с мотальных машин М-150-2М
|
Марка машины |
|
|
|
|
|
|
|
|
|
К |
|
текс |
текс |
текс |
текс |
текс |
текс |
текс |
текс |
текс |
текс |
|
|
М-150-2М |
29 |
220 |
180 |
70 |
38 |
20 |
150 |
15 |
0,40 |
120 |
Объём
пряжи на конической
бобине
,
,
рассчитывается
по формуле
![]()
, (1.44.)
где
и
- большой и малый
диаметр бобины
с намотанной
нитью, см;
и
- большой и малый
диаметр патрона,
см;
- высота выпуклости
сферы наматывания
у основания
бобины, см;
- высота намотки
конуса бобины,
см;
- высота вогнутости
сферы у вершины
бобины, см.
![]()
![]()
Масса
пряжи на бобине
,
г, рассчитывается
по формуле
, (1.45.)
где
- удельная плотность
намотки пряжи
на бобину,
.
![]()
Длина
пряжи на бобине
,
м, рассчитывается
по формуле
, (1.46.)
![]()
РАСЧЁТ НАМОТКИ ПРЯЖИ НА ТКАЦКИЙ НАВОЙ

Рисунок 6
Таблица 19. Данные для расчёта намотки пряжи на ткацкий навой
|
Марка машины |
|
|
|
|
|
|
|
|
|
|
|
текс |
мм |
мм |
мм |
мм |
|
нитей |
% |
м |
% |
|
|
ШБ-11/140-3 |
29 |
1130 |
800 |
770 |
150 |
0,52 |
4698 |
8,8 |
23 |
6 |
Объём
пряжи на ткацком
навое
,
,
рассчитывается
по формуле
, (1.47.)
где
- расстояние
между фланцами
(дисками) ткацкого
навоя, мм;
- диаметр ствола
навоя, мм.
![]()
Диаметр
навивки основы
на ткацкий
навой
,
мм, рассчитывается
по формуле
, (1.48.)
где
- диаметр фланцев
ткацкого навоя,
мм.
![]()
Масса
клееной пряжи
на ткацком
навое
,
кг, рассчитывается
по формуле
, (1.49.)
где
- удельная плотность
намотки пряжи
на ткацком
навое,
.
![]()
Масса
мягкой пряжи
на ткацком
навое
,
кг, рассчитывается
по формуле
, (1.50.)
где
– приклей в
процентах,
согласно выработанным
технологическим
параметрам,
![]()
Количество
нитей на ткацком
навое
,
нитей, рассчитывается
по формуле
, (1.51.)
где
- число нитей
основы в одном
полотне ткани;
- число полотен
ткани на ткацком
станке,
;
- количество
ткацких навоев
на станке.
![]()
![]()
Максимально
возможная длина
основы на ткацком
навое
,
м, рассчитывается
по формуле
, (1.52.)
![]()
Длина
куска основы
со шлихтовальной
машины, для
выработки
одного куска
суровой ткани
,
м, рассчитывается
по формуле
, (1.53.)
где
- длина ткани
в одном куске,
м.
![]()
Длина
ткани в рулоне,
который снимают
с ткацкого
станка
,
м, рассчитывается
по формуле
, (1.54.)
где
- максимальная
масса ткани
в рулоне, допускаемая
по технике
безопасности,
кг
=
до 20 кг;
- общая масса
пряжи в 100 метрах
суровой ткани
с учётом приклея,
кг.
![]()
Количество
кусков в одном
рулоне ткани
,
кусков, рассчитывается
по формуле
, (1.55.)
![]()
Количество
рулонов суровой
ткани с одного
навоя
,
рулонов, рассчитывается
по формуле
, (1.56.)
![]()
Фактическая
полная сопряжённость
длины основы
на ткацком
навое
,
м, рассчитывается
по формуле
, (1.57.)
где
- общая длина
концов основы,
идущих в отходы
при пробирании
и привязывании,
мм;
- длина концов
нитей основы,
идущих в отходы
в ткачестве,
м.
![]()
Фактическая
сопряжённая
масса мягкой
пряжи на ткацком
навое
,
кг, рассчитывается
по формуле
, (1.58.)
![]()
Фактическая
масса пряжи
на навое с учётом
приклея
,
кг, рассчитывается
по формуле
, (1.59.)
![]()
Расчёт намотки пряжи на сновальный валик

Рисунок 7
Таблица 20. Данные для расчёта намотки пряжи на сновальный валик
|
Марка машины |
|
|
|
|
|
|
|
Е |
|
текс |
мм |
мм |
мм |
мм |
|
нитей |
нитей |
|
|
СП-140-4 |
29 |
1400 |
800 |
770 |
240 |
0,5 |
552 |
616 |
Максимально
возможный
диаметр намотки
основы на сновальный
валик
,
мм, рассчитывается
по формуле
, (1.60.)
где
- диаметр фланцев
(дисков) сновального
валика, мм.
![]()
Объём
пряжи на сновальном
валике
,
,
рассчитывается
по формуле
, (1.61.)
где
- расстояние
между фланцами
сновального
валика, мм;
- диаметр ствола
сновального
валика, мм.
![]()
Масса
пряжи на сновальном
валике
,
кг, рассчитывается
по формуле
, (1.62.)
где
- удельная плотность
намотки ткани
на сновальный
валик,
.
![]()
Количество
сновальных
валиков в партии
,
валиков, рассчитывается
по формуле
, (1.63.)
где
- число нитей
на ткацком
навое;
- ёмкость шпулярника
сновальной
рамки, бобин.
![]()
Количество
нитей на сновальном
валике
,
нитей, рассчитывается
по формуле
, (1.64.)
и 2
нити в остатке
В партии сновальных валиков: 8
из них 2 валика по 588 нитей,
6 валиков по 587 нитей.
Максимальная
расчётная длина
пряжи на сновальном
валике
,
м, рассчитывается
по формуле
, (1.65.)
![]()
Количество
ткацких навоев
из партии сновальных
валиков
,
навоев, рассчитывается
по формуле
, (1.66.)
где
- сопряжённая
длина пряжи
на ткацком
навое, м;
![]()
Длина
отходов пряжи
на шлихтовальных
машинах
,
м, рассчитывается
по формуле
, (1.67.)
![]()
Сопряжённая
длина пряжи
на сновальном
валике
,
м, рассчитывается
по формуле
, (1.68.)
![]()
Сопряжённая
масса пряжи
на сновальном
валике
,
кг, рассчитывается
по формуле
, (1.69.)
![]()
РАСЧЁТ СОПРЯЖЁННОСТИ МЕЖДУ ДЛИНОЙ ПРЯЖИ НА БОБИНЕ И СНОВАЛЬНЫМ ВАЛИКОМ
Количество
сновальных
валиков из
одной ставки
бобин
,
валиков, рассчитывается
по формуле
, (1.70.)
на
конической
![]()
на
цилиндрической
![]()
Остаток
пряжи после
снования на
бобинах
,
м, рассчитывается
по формуле
, (1.71.)
на
конической
![]()
на
цилиндрической
![]()
в
процентах
, (1.72.)
на
конической
![]()
на
цилиндрической
![]()
Принимаем остаток пряжи на бобинах в процентах
на
конических
![]()
на
цилиндрических
![]()
Остаток
пряжи на бобинах
,
м, рассчитывается
по формуле
, (1.73.)
на
конической
![]()
на
цилиндрической
![]()
Сопряжённая
длина пряжи
на бобине
,
м, рассчитывается
по формуле
, (1.74.)
на
конической
![]()
на
цилиндрической
![]()
Сопряжённая
масса пряжи
на бобине
,
г, рассчитывается
по формуле
, (1.75.)
на
конической
![]()
на
цилиндрической
![]()
1.8. РАСЧЁТ КОЛИЧЕСТВА ОТХОДОВ ПО ПЕРЕХОДАМ ТЕХНОЛОГИЧЕСКОГО ПРОЦЕССА. СВОДНАЯ ТАБЛИЦА РАСЧЁТА ПАКОВОК
Отходы
пряжи при шлихтовании
,%,
рассчитывается
по формуле
, (1.76.)
где
- длина клееных
концов, м;
- длина основы
между клеевым
аппаратом и
сновальными
валиками, отрезаемой
при заправке
навой партии
и идущей в отходы;
- средняя длина
нитей основы,
остающаяся
на сновальных
валиках после
шлихтования
партии, м;
- число сновальных
валиков в партии;
- сопряжённая
длина основы
на сновальном
валике, м;
- коэффициент,
учитывающий
число хомутов,
образующихся
на сновальных
валиках и барабанах;
- число обрывов
в сновании,
приходящихся
на 106
м;
- средняя длина
нити, идущей
в отходы при
ликвидации
хомутов, м.

Отходы пряжи при сновании по основе
![]()
![]()
Отходы
пряжи при пробирании
основ
,
%, рассчитываются
по формуле
, (1.77.)
где
- длина концов
нитей, идущих
в отходы при
оправке основы
перед пробиранием
или привязыванием;
- сопряжённая
длина основы
на навое, м.
![]()
Отходы
пряжи при
привязывании
основ
,
%, рассчитывается
по формуле
, (1.78.)
где
- длина концов
нитей старой
основы срезаемых
со станка с
полоской ткани
и ремизным
прибором, м.
![]()
Общее
количество
отходов в проборном
отделе
,
%, рассчитывается
по формуле
, (1.79.)
где
- количество
основ, пробираемых
в новый прибор,
%;
-
количество
основ, привязываемых
на узловязальных
машинах, %.
![]()
Отходы
по основе на
ткацком станке
СТБ
,
%, рассчитывается
по формуле
, (1.80.)
где
- длина концов,
доработанной
и вновь заправленной
основы, обрезаемых
узловязальной
машиной, м;
- длина концов,
отрезаемых
после протаскивания
узлов через
ремиз и бердо
после заправки;
- длина нитей
основы, идущей
в отходы при
ликвидации
обрыва на ткацком
станке, м;
- число обрывов,
приходящихся
на 1 м ткани;
- сопряжённая
длина основы
на ткацком
навое;
- число нитей
основы на ткацком
навое;
- уработка основы,
%;

Общие
отходы по основе
,%,
рассчитывается
по формуле
, (1.81.)
![]()
Отходы
нитей утка в
ткачестве на
станке СТБ
,
%, рассчитывается
по формуле
, (1.82.)

Число
обрывов уточной
нити, приходящихся
на длину нити
в бобине
,
рассчитывается
по формуле
, (1.83.)
где
- длина уточной
нити на бобине,
м;
- число обрывов
утка, приходящихся
на 1 м ткани;
- плотность
суровой ткани
по утку, число
нитей утка на
10 см.
![]()
Длина
прокладываемой
уточной нити
,
м, рассчитывается
по формуле
, (1.84.)
где
- общая длина
концов уточной
нити, выступающих
из ткани или
закладываемых
в края, при её
нарабатывании,
м.
![]()
Общие
отходы по утку
,
%, рассчитывается
по формуле
, (1.85.)
![]()
СВОДНАЯ ТАБЛИЦА РАСЧЁТА ОТХОДОВ
Таблица 22. Сводная таблица расчёта отходов
|
Наименование перехода |
Отходы, % |
|
|
по основе |
по утку |
|
|
Снование |
0,02 |
- |
|
Шлихтование |
0,17 |
- |
|
Проборка и привязка |
0,08 |
- |
|
Ткачество |
0,1 |
0,12 |
|
ИТОГО: |
0,37 |
0,12 |
1.9. РАСЧЁТ РАСХОДА ПРЯЖИ НА 100 МЕТРОВ СУРОВОЙ ТКАНИ С УЧЁТОМ ОТХОДОВ
Потребность
основной пряжи
на 100 м
,
кг, рассчитывается
по формуле
, (1.86.)
где
- масса нитей
основы в 100 м
суровой ткани;
- общие отходы
пряжи по основе,
%.

Потребность
уточной пряжи
на 100 м суровой
ткани
,
кг, рассчитывается
по формуле
, (1.87.)
где
- масса нитей
утка в 100 м суровой
ткани;
- общие отходы
пряжи по утку,
%.

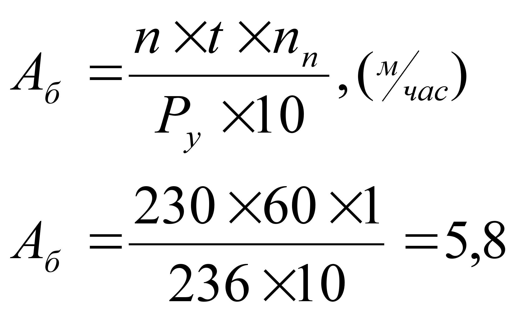
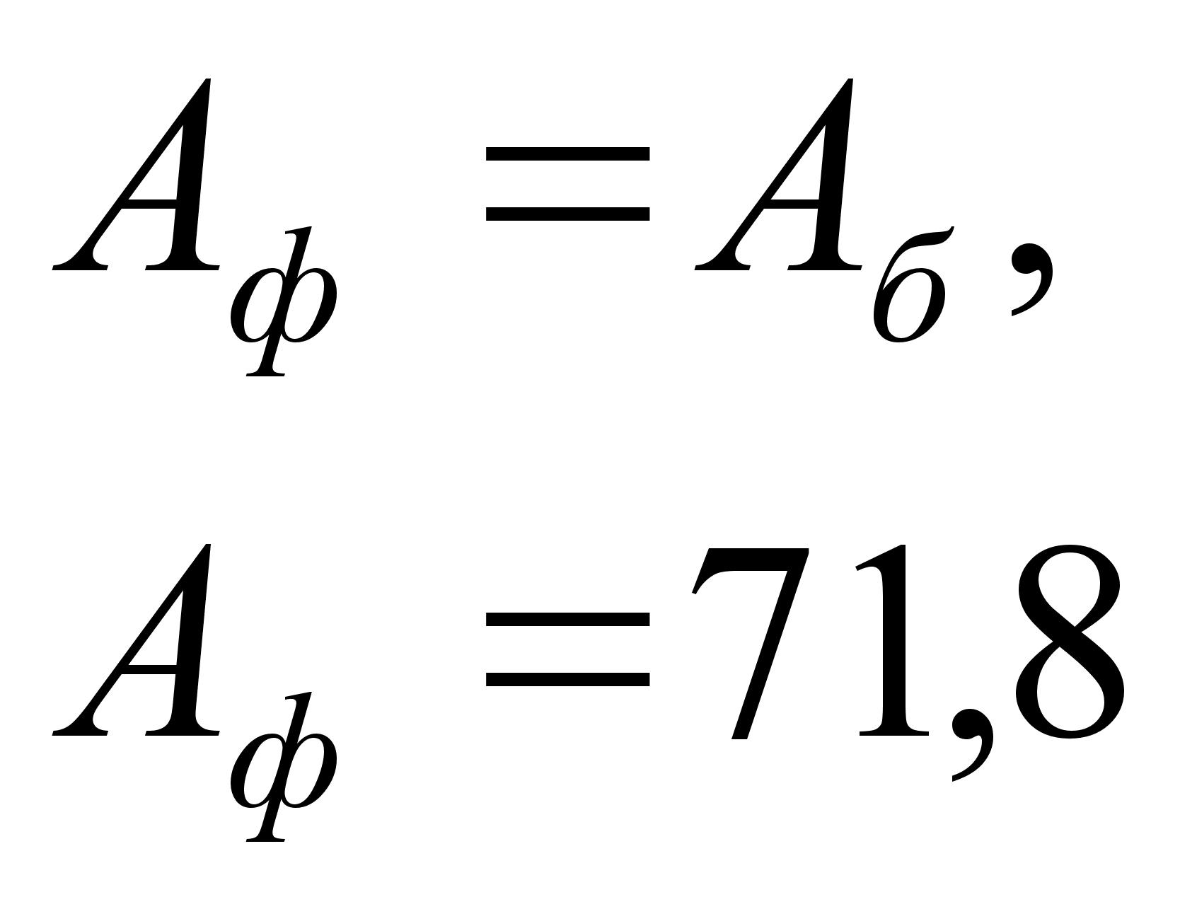
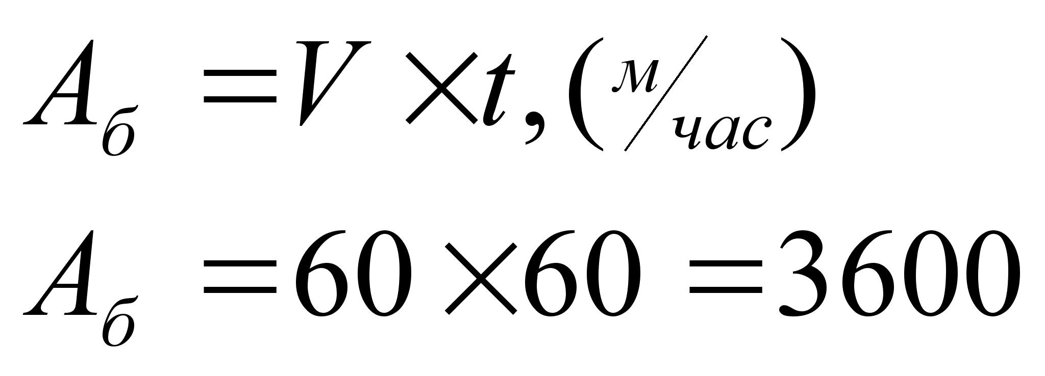
РАСЧЁТ ПОТРЕБНОСТИ ПРЯЖИ И ВЫРАБОТКИ В ЧАС
Выработка
ткани в час
,
,
рассчитывается
по формуле
, (1.88.)
где
- число станков
в заправке;
- время работы,
1 час;
- фактическая
производительность
ткацкого станка;
- коэффициент
работающего
оборудования.
![]()
Потребность
пряжи на 1 час
работы основной
и уточной
и
, кг, рассчитывается
по формуле
, (1.89.)
![]()
, (1.90.)
![]()
1.11. ПУТИ ПОВЫШЕНИЯ КАЧЕСТВА ВЫПУСКАЕМОЙ ПРОДУКЦИИ. СЕРТИФИКАЦИЯ И СТАНДАРТИЗАЦИЯ ПРОДУКЦИИ
Чем ближе качество продукции к оптимальному, тем полнее удовлетворяются потребности общества, повышается эффективность производства. Высокое качество повышает конкурентную способность продукции на мировом рынке, способствует расширению и укреплению внешнеторговых связей.
Одним из главных резервов повышения эффективности производства является улучшение качества продукции.
Ставится задача увязки требований к сырью, материалам, полуфабрикатам, комплектующим изделиям, от качества которых зависит качество готовой продукции. В комплекс мероприятий по обеспечению качества продукции включаются: разработка показателей качества, улучшение организации работы по стандартизации и создание новых прогрессивных стандартов и технических условий, совершенствование и распространение системы сдачи продукции ОТК с первого предъявления, совершенствование контроля качества в процессе производства и применение прогрессивных методов и средств контроля качества, развитие аттестации выпускаемой продукции.
На всех текстильных предприятиях разработаны положения и стандарты по управлению качеством вырабатываемых тканей. Стандарты устанавливают комплекс действующих правил, регламентирующих деятельность фабрики и ее цехов по достижению стабильности уровня качества тканей. Эти стандарты и положения должны систематически совершенствоваться. Комплексная система управления качеством продукции (КС УКП) обеспечивает единство технологических, организационных и других мероприятий, которые позволяют повышать и поддерживать высокий уровень качества тканей, начиная с подготовки пряжи к ткачеству.
В процессе управления качеством продукции должны выполняться следующие работы: прогнозирование технико-экономического уровня качества тканей; планирование повышения их качества; разработка тканей новых видов; техническая подготовка машин по приходам подготовительного отдела и ткацких цехов к выпуску продукции установленного качества; материально-техническая и метрологическое обеспечение качества тканей; подбор, расстановка, воспитание и обучение кадров; контроль качества; аттестация продукции и др.
Основной целью каждого предприятия в области качества продукции является повышение эффективности производства и обеспечение стабильного запланированного уровня качества вырабатываемой продукции на основе улучшения качества труда работников всех категорий.
На проектируемом предприятии предусматривается ряд мероприятий, направленных на повышение качества выпускаемой продукции:
Проводится систематический контроль за качеством поступающих полуфабрикатов, материалов, деталей;
Контролируются технологические параметры переработки пряжи по всем переходам ткачества;
Контролируется правильность выполнения рабочих приемов работниками предприятия;
Проводится контроль технического состояния оборудования по всем переходам;
Осуществляется контроль физико-механических свойств полуфабрикатов по всем переходам;
Поддерживается необходимый температурно-влажный режим;
Проводится воспитание и обучение кадров;
Разработана система мер моральной и материальной ответственности за выпуск некачественной продукции;
Проводятся встречи со смежниками, дни качества, разбраковки полуфабрикатов и ткани.
2. ОРГАНИЗАЦИОННО-ЭКОНОМИЧЕСКАЯ ЧАСТЬ. РАСЧЁТ БИЗНЕС- ПЛАНА
2.1. расчёт плановых просТоев и кро ткацкого станка стб-250
Капитальный ремонт
Периодичность ремонта – 5 лет
Норма времени на 1 машино-ремонт – 128 человеко-часов
Состав ремонтной бригады – 3 человека
Норма времени на 1 машино-ремонт
в
часах
![]()
в
днях
![]()
Длительность
ремонтного
периода
,
час, рассчитывается
по формуле
(2.1.)
Процент плановых остановов оборудования из-за капитального и среднего ремонта рассчитывается по формуле
, (2.2.)
где
- число случаев
ремонта за
межремонтный
цикл;
- время межремонтного
цикла, часы.
![]()
частота
вращения главного
вала
;
- плотность
ткани по утку,
.
![]()
Средний ремонт
Периодичность ремонта – 12 месяцев
Норма времени на 1 машино-ремонт – 64 человеко-час
Состав ремонтной бригады – 2 человека
Норма времени на 1 машино-ремонт
в
часах
![]()
в
днях
![]()
Длительность
ремонтного
периода
,
час, рассчитывается
по формуле
(2.3.)
Плановые
остановы оборудования
из-за среднего
ремонта
,
рассчитываются
по формуле
, (2.4.)
где
- время межремонтного
цикла, месяцы;
- периодичность
среднего ремонта,
месяцы;
1 - средний ремонт за межремонтный цикл исключается в связи с тем, что он совпадает с капитальным.
![]()
Процент плановых остановов оборудования из-за среднего ремонта рассчитывается по формуле
(2.5.)
Процент плановых простоев из-за чистки не рассчитывается, т.к. эта величина учитывается при расчете КПВ ткацкого станка.
Процент плановых остановов из-за текущего ремонта, наладки и профилактического ремонта оборудования в проекте не рассчитывается а принимается
![]()
Плановые остановы по прочим причинам принимаем не более 1,32%
Общий % плановых остановов рассчитывается по формуле
, (2.6.)
![]()
Коэффициент
работающего
оборудования
,
рассчитывается
по формуле
, (2.7.)
![]()
Процент плановых остановов по остальным машинам не рассчитывается, а принимается по данным предприятия.
2.2. рАсчёт норм производительности МАШИН
рАсчёт нормы производительности сновальной машины
Таблица 24. Технические характеристики сновальной машины СП-140-4
|
Элементы характеристики |
Обозначение |
Единицы измерения |
Данные |
|
Марка партионной сновальной машины |
СП-140-4 |
||
|
Тип шпулярника |
селекционный, в комплекте с автоматизированным устройством для связывания нитей при смене ставки бобины |
||
|
Вид снования |
прерывный |
||
|
Линейная плотность пряжи |
|
текс |
29 |
|
Число нитей на сновальном валу |
|
м |
588 |
|
Масса пряжи на бобине |
г |
1394,6 |
|
|
Длина намотки пряжи на бобине |
|
м |
67958,6 |
|
Линейная скорость снования |
|
|
600 |
|
Обрывность на 1 млн. м. одиночной нити |
|
обрывов |
2 |
|
Число человек участвующих в смене ставки |
|
человек |
2 |
|
Время работы за смену |
|
мин |
780 |
|
Длина намотки пряжи на сновальном валу |
|
м |
17247 |
Теоретическая
производительность
машины
,
,
рассчитывается
по формуле
, (2.8.)
![]()
Основное
технологическое
(машинное) время
наработки
сновального
вала
,
с, рассчитывается
по формуле
, (2.9.)
![]()
Число
сменяемых бобин
на один сновальный
вал при использовании
узловязателя
,
рассчитывается
по формуле
, (2.10.)
![]()
Число
ликвидируемых
обрывов нити
на один сновальный
вал
,
рассчитывается
по формуле
, (2.11.)
![]()
Таблица 25. Вспомогательное технологическое время
|
Операция |
Длительность одного случая, с |
Число случаев на 1 сновальный вал |
Общее время |
|
Смена ставки бобин |
2,5 |
273 |
695 |
|
Ликвидация обрыва нити |
4,2 |
26 |
1092 |
|
Смена сновального вала |
210 |
1 |
210 |
|
Обмахивание низа машины при смене сновального вала |
120 |
1 |
120 |
|
Итого: |
|
, (2.12.)
![]()
Таблица 26. Время перерывов из-за обслуживания рабочего места
|
Текущий ремонт и наладка |
5 |
|
Смазка машины |
2 |
|
Обмахивание шпулярника |
3 |
|
Прочие мелкие расходы |
3 |
|
Самообслуживание |
5 |
|
Итого: |
|
![]()
Коэффициент
полезного
времени
,
рассчитывается
по формуле
, (2.13.)
![]()
Норма
производительности
,
,
рассчитывается
по формуле
, (2.14.)
![]()
рАсчёт нормы производительности ТКАЦКОГО СТАНКА
Теоретическая
производительность
ткацкого станка
для выработки
одного полотна
,
,
рассчитывается
по формуле
, (2.15.)
где
- теоретическая
производительность,
;
- частота вращения
главного вала
;
- плотность
ткани по утку,
.
![]()
Машинное
время наработки
1 метра ткани
,
сек, рассчитывается
по формуле
, (2.16.)
![]()
Повторяемость
смены бобины
на 1 метр ткани
,
бобин, рассчитывается
по формуле
, (2.17.)
где
- ширина заправки
по берду;
- полезная длина
нити на бобине.
![]()
Время
необходимое
на заправку
и обработку
1ой
основы
,
сек, рассчитывается
по формуле
, (2.18.)
где
- время необходимое
на заправку
и обработку
одной нити
основы, (1,5сек.);
- число нитей
в основе.
![]()
Таблица 27. Неперекрываемое вспомогательное время
|
Наименование рабочих приёмов |
Норматив времени, сек |
Число случаев на 1м. ткани |
Общее время на 1м. ткани, сек |
|
|
Перерывов
в работе,
|
Занятость
ткача,
|
|||
|
Смена бобин с уточной пряжей |
|
0,14 |
|
|
|
Ликвидация обрыва нити: основы |
|
0,15 |
5,4 |
5,7 |
|
утка |
|
0,7 |
1,47 |
1,61 |
|
Раскладка запасных бобин с уточной пряжей по станкам |
2 |
0,13 |
- |
|
|
Съём наработанной ткани |
|
|
|
|
|
Пуск станка при самоостанове по техническим причинам |
|
0,1 |
0,8 |
1 |
|
Поправка основы |
|
- |
5 |
7 |
|
Осмотр и чистка ткани |
7 |
- |
- |
7 |
|
Заправка и обработка основы |
7047 |
1237 |
|
- |
|
Итого на два полотна |
- |
- |
25,25 |
29,75 |
Таблица
28.
Время обслуживания
рабочего места
![]()
|
Наименование рабочих приёмов |
Норматив времени, сек |
Число случаев за смену, мин |
Общее время на станок за смену |
|
|
Перерывов
в работе станка,
|
Занятость
ткача,
|
|||
|
Ликвидация обрыва нити основы |
0,5 |
- |
0,5 |
- |
|
Чистка станка по графику |
35 |
|
3,5 |
- |
|
Обмахивание или обвивка станка |
10 |
|
5 |
- |
|
Смазывание станка |
5 |
|
1,5 |
- |
|
Текущий ремонт и профилактический осмотр станка |
20 |
1 |
20 |
- |
|
Прочие мелкие работы |
|
- |
2 |
4 |
|
Итого |
- |
- |
33,5 |
4 |
Время на личные надобности ткача
Число
станков, которые
может обслуживать
один ткач
,
при
;
;
,
рассчитывается
по формуле
, (2.19.)
где
- коэффициент
загруженности
рабочего
(коэффициент,
учитывающий
занятость
рабочего без
учёта времени
занятости от
его средних
значений включенных
в формулу);
- коэффициент,
учитывающий
микропаузы
в работе, и возможные
отклонения
фактического
времени занятости
от его средних
значений, включенных
в формулу.
![]()
Коэффициент
занятости ткача
на 1 станок
,
рассчитывается
по формуле
, (2.20.)
![]()
Коэффициент
совпадений
,
определяем
по таблице
методом интерполяции
(2.21.)
Максимальное
число обслуживаемых
станков
,
при
;
(по рекомендации
НИИ Труда),
рассчитывается
по формуле
, (2.22.)
![]()
Принимаем
норму обслуживания
с учётом удобства
расстановки
![]()
![]()
Коэффициент
по группе «А»,
,
рассчитывается
по формуле
, (2.23.)
где
- коэффициент,
показывающий
какую долю
составляет
машинное время
от оперативного
времени. Этот
коэффициент
учитывает
перемены, возникающие
в связи с поддержанием
и восстановлением
технологического
процесса.
![]()
Коэффициент
по группе «В»,
,
рассчитывается
по формуле
, (2.24.)
где
- длительность
рабочей смены;
- время обслуживания
рабочего места
за смену, связанное
с перерывом
в технологическом
процессе;
- время на отдых
и личные надобности
за смену.
![]()
Коэффициент
производительности
,
рассчитывается
по формуле
, (2.25.)
![]()
Норма
производительности
ткацкого станка
,
,
рассчитывается
по формуле
, (2.26.)
![]()
Норма
выработки ткача
,
,
рассчитывается
по формуле
, (2.27.)
![]()
2.3. РАЗРАБОТКА МАРШРУТА ТКАЧА
Схема 2. Маршрут ткача

Маршрут комбинированный. Обходя станки, ткач выполняет срочные и профилактические приёмы, перемещаясь вдоль полотен; она проверяет качество, а перемещаясь вдоль основы, осуществляет главным образом профилактические работы. Периодичность обходов вдоль полотен и основ строится так, чтобы к каждому станку со стороны основ ткач подходил не реже 1 раза за период срабатывания основы от навоя до ремиз. Остальное время она должена использовать для контроля качества нарабатываемой ткани.
При выборе маршрута нужно стремится к тому, чтобы ткач успел подойти к основе, пока она не прошла от скала до ремиза, а к полотнам до того, как выработанная ткань уйдёт за грудницу.
Комбинированный метод на базе продольного и сторожевого позволяет планировать работу, создавать условия, обеспечивающие минимальный простой станков из-за того, что ткачиха не успевает их обслуживать.
2.4. РАСЧЁТ ПЛАНА ПРОИЗВОДСТВА ПРОДУКЦИИ И РЕАЛИЗАЦИИ продукции
Норма
производительности
ткацкого станка
в уточинах
,
рассчитывается
по формуле
, (2.28.)
где
- норма производительности
ткацкого станка,
;
![]()
Норма
производительности
ткацкого станка
в метроуточинах
,
рассчитывается
по формуле
, (2.29.)
где
- ширина суровой
ткани, см.
![]()
Норма
производительности
ткацкого станка
в
,
рассчитывается
по формуле
, (2.30.)
![]()
Число станков в заправке принимаем из расчёта дипломного проекта по ткачеству
![]()
Станко-часы
в заправке
,
рассчитывается
по формуле
, (2.31.)
где
- число часов
работы оборудования
за год,
![]()
![]()
Коэффициент
работающего
оборудования
,
рассчитывается
по формуле
, (2.32.)
где
- плановые остановы
(простои).
![]()
Станко-часы
в работе
,
рассчитывается
по формуле
, (2.33.)
![]()
Объём
вырабатываемой
продукции в
натуральном
выражении
,
рассчитывается
по формуле
, (2.34.)
где
- число заправленных
машин;
- число часов
работы оборудования
за год;
- коэффициент
работающего
оборудования;
- плановая норма
производительности
единицы оборудования
за час в натуральном
выражении.
Объём
вырабатываемой
продукции в
метрах
,
рассчитывается
по формуле
, (2.35.)
![]()
Объём
вырабатываемой
продукции в
миллионах
уточин
,
рассчитывается
по формуле
, (2.36.)
![]()
Объём
вырабатываемой
продукции в
миллионах
метроуточин
,
рассчитывается
по формуле
, (2.37.)
![]()
Объём
вырабатываемой
продукции в
![]()
,
рассчитывается
по формуле
, (2.38.)
![]()
Потребность
основной пряжи
на планируемый
период
,
кг, рассчитывается
по формуле
, (2.39.)
где
- расход основной
пряжи на 100м. ткани
с учётом отходов,
кг.
![]()
Потребность
уточной пряжи
на планируемый
период
,
кг, рассчитывается
по формуле
, (2.40.)
где
- расход уточной
пряжи на 100м. ткани
с учётом отходов,
кг.
![]()
Потребность
основной пряжи
на 1 час работы
,
кг, рассчитывается
по формуле
, (2.41.)
где
- число часов
работы оборудования
за год.
![]()
Потребность
уточной пряжи
на 1 час работы
,
кг, рассчитывается
по формуле
, (2.42.)
![]()
Выпуск
продукции
,
,
рассчитывается
по формуле
, (2.43.)
![]()
Таблица 29. Сводная таблица данных расчёта плана производства продукции и реализации услуг
|
Показатели |
Единицы измерения |
Данные |
|
Наименование ткани |
- |
бязь |
|
Артикул |
- |
С-32БХ-206 |
|
Плотность ткани по утку на 10 сантиметров |
|
236 |
|
Число часов работы оборудования за год |
час |
4002 |
|
Станко-часы в заправке |
станко-часы |
2017008 |
|
Станко-часы в работе |
станко-часы |
1895987 |
|
Плановые остановы |
% |
6 |
|
Норма производительности ткацкого станка: в час |
м |
8,6 |
|
в уточинах |
уточин |
20296 |
|
в метроуточинах |
метроуточин |
41810 |
|
в
|
|
17,72 |
|
Объём вырабатываемой продукции за год: в метрах |
м |
16305492 |
|
в миллион уточинах |
млн. уточин |
38481 |
|
в миллион метроуточинах |
млн. метроут. |
79271 |
|
в
|
|
33596889 |
|
Потребность пряжи на 1 час работы: основной |
кг |
606 |
|
уточной |
кг |
784 |
|
Выработка суровой ткани в час |
м |
4074 |
|
Расход пряжи на 100м. ткани с учётом отходов: |
||
|
основной |
кг |
14,89 |
|
уточной |
кг |
19,25 |
|
Потребность пряжи на планируемый период (год): |
||
|
основной |
кг |
2426257 |
|
уточной |
кг |
3138807 |
2.6. расчёт баланса сырья
Таблица 31. Расчёт баланса сырья на ткань «Бязь» артикул С-32БХ-206
|
Поступило в производство |
Получено из производства |
|||||||
|
Элементы баланса |
Количество пряжи, кг. |
Цена за 1 кг., руб. |
Стоимость тыс. руб. |
Элементы баланса |
Расход пряжи |
Цена за 1 кг., руб. |
Стоимость тыс. руб. |
|
|
% |
количество |
|||||||
|
Основа 29 текс, 1 сорт |
2426257 |
41,67 |
101102 |
Суровая ткань |
97,3 |
5691660 |
- |
231751 |
|
Отходы |
||||||||
|
Уток 36 текс, 1 сорт |
3138807 |
41,67 |
130794 |
по основе |
0,37 |
8977 |
9,28 |
83 |
|
по утку |
0,12 |
3767 |
8,33 |
31 |
||||
|
Приклей, % |
145575 |
- |
- |
Пух, подмёты |
||||
|
по основе |
0,05 |
1213 |
5 |
6 |
||||
|
по утку |
0,16 |
5022 |
5 |
25 |
||||
|
Облёт шлихты |
2 |
- |
- |
|||||
|
Итого отходов |
2,7 |
18979 |
- |
145 |
||||
|
Всего поступило в производство |
5710639 |
41,24 |
231896 |
Всего поступило в производство |
100 |
5710639 |
- |
231896 |
Масса пряжи в 100 метрах суровой ткани
![]()
Стоимость пряжи в 100 метрах суровой ткани
![]()
Средняя цена 1 килограмма пряжи
![]()
2.7. РАСЧЁТ ШТАТОВ И ФОНДА ЗАРАБОТНОЙ ПЛАТЫ ПРОИЗВОДСТВЕННЫХ РАБОЧИХ
Таблица 31. Часовые тарифные ставки
|
Данные |
Разряды, руб. |
|||||
|
1 |
2 |
3 |
4 |
5 |
6 |
|
|
Для рабочих производственных объединений и предприятий лёгкой промышленности (основное |
||||||
|
производство): - для сдельщиков |
2,93 |
3,22 |
3,57 |
3,96 |
4,55 |
5,24 |
|
- для повременщиков |
2,7 |
2,97 |
3,24 |
3,67 |
4,21 |
4,86 |
|
ОГМ, ПСХВ, СМ, РСУ, РММ: |
||||||
|
- для сдельщиков |
2,97 |
3,29 |
3,58 |
4,05 |
4,64 |
5,36 |
|
- для повременщиков |
2,75 |
3,04 |
3,65 |
4,14 |
4,73 |
5,47 |
|
Для помощников мастеров, станочников, |
||||||
|
электроцеха, РМЦ: - для сдельщиков |
3,38 |
3,69 |
4,03 |
4,55 |
5,22 |
6,03 |
|
- для повременщиков |
3,11 |
3,42 |
3,74 |
4,21 |
4,83 |
5,58 |
Расчёт штатов и фондов заработной платы ткачей
Явочная
численность
ткачей
,
рассчитывается
по формуле
, (2.44.)
где
- норма обслуживания
ткача, станков;
- число смен
работы оборудования.
![]()
Сдельная
расценка ткача
,
рассчитывается
по формуле
, (2.45.)
где
- сдельная часовая
тарифная ставка,
руб.;
- коэффициент
премии, %.
![]()
Сдельная
заработная
плата
,
рассчитывается
по формуле
, (2.46.)
где
- объём вырабатываемой
продукции, м.
![]()
Доплата
за работу в
вечернее время
,
рассчитывается
по формуле
, (2.47.)
где
- количество
отработанных
часов одним
рабочим за год,
ч.
![]()
Часовой
фонд заработной
платы
,
рассчитывается
по формуле
, (2.48.)
![]()
Доплата
за плановые
остановы оборудования
,
рассчитывается
по формуле
, (2.49.)
где
- часовая тарифная
ставка повременщика,
руб.;
- число часов
работы оборудования
за год, ч.
![]()
Дополнительная
заработная
плата
,
рассчитывается
по формуле
, (2.50.)
![]()
Месячный
фонд заработной
платы
,
рассчитывается
по формуле
, (2.51.)
![]()
Заработная
плата
,
рассчитывается
по формуле
, (2.52.)
![]()
2.8. РАСЧЁТ ШТАТОВ И ФОНДА ЗАРАБОТНОЙ ПЛАТЫ РУКОВОДИТЕЛЕЙ, СПЕЦИАЛИСТОВ И СЛУЖАЩИХ
Таблица 34. Штаты и заработная плата руководителей, специалистов и служащих
|
Перечень должностей |
Численность |
Месячный оклад |
Фонд заработной платы в месяц |
Фонд заработной платы в год |
|
Руководители |
||||
|
Директор |
1 |
20000 |
20000 |
240000 |
|
Заместитель директора по качеству |
1 |
13000 |
13000 |
150000 |
|
Главный инженер |
1 |
15000 |
15000 |
180000 |
|
Главный механик |
1 |
13000 |
13000 |
150000 |
|
Главный бухгалтер |
1 |
10000 |
10000 |
120000 |
|
Заместитель главного бухгалтера |
1 |
8000 |
8000 |
96000 |
|
Начальник планово-экономического отдела |
1 |
8000 |
8000 |
96000 |
|
Начальник труда и заработной платы |
1 |
8000 |
8000 |
96000 |
|
Начальник отдела материального снабжения и сбыта |
1 |
8000 |
8000 |
96000 |
|
Начальник отдела кадров |
1 |
6000 |
6000 |
72000 |
|
Начальник ткацкого цеха |
1 |
8500 |
8500 |
102000 |
|
Начальник приготовительного отдела |
1 |
8500 |
8500 |
102000 |
|
Мастер ткацкого цеха |
4 |
5500 |
22000 |
204000 |
|
Мастер приготовительного отдела |
2 |
5500 |
11000 |
132000 |
|
Начальник энергоконтроля и парового хозяйства |
1 |
8000 |
8000 |
98000 |
|
Начальник РМО |
1 |
1000 |
7000 |
84000 |
|
Мастер ОТК |
1 |
5500 |
5500 |
66000 |
|
Начальник ремонтно-строительного цеха |
1 |
8000 |
8000 |
96000 |
|
Начальник подразделений охраны объёкта |
1 |
6000 |
6000 |
72000 |
|
Начальник лаборатории |
1 |
8000 |
8000 |
96000 |
|
Заведующий складом |
1 |
3000 |
3000 |
36000 |
|
ИТОГО: |
25 |
2454000 |
||
|
Специалисты |
||||
|
Бухгалтер |
2 |
4000 |
8000 |
96000 |
|
Бухгалтер |
3 |
3000 |
9000 |
108000 |
|
Экономист |
2 |
4000 |
8000 |
96000 |
|
Экономист |
3 |
3000 |
9000 |
108000 |
|
Товаровед |
1 |
4000 |
4000 |
48000 |
|
Инженер по организации и нормированию |
1 |
4000 |
4000 |
48000 |
|
Инженер по охране труда и технике безопасности |
1 |
4000 |
4000 |
48000 |
|
ИТОГО: |
13 |
552000 |
||
|
Служащие |
||||
|
Счетовод |
2 |
2500 |
5000 |
60000 |
|
Секретарь-машинист |
1 |
3500 |
3500 |
42000 |
|
Кассир |
1 |
3500 |
3500 |
42000 |
|
Агент по снабжению |
2 |
3800 |
7600 |
91200 |
|
ИТОГО: |
6 |
235200 |
2.9. РАСЧЁТ СВОДНОГО ПЛАНА ПО ТРУДУ И КАДРАМ
Таблица 35. Сводный план по труду и кадрам
|
Категория работающих |
Численность |
Удельный вес данной категории |
Фонд заработной платы в год |
Средняя заработная плата |
||
|
явочная |
списочная |
в год |
в месяц |
|||
|
Рабочие (основные) |
159 |
170 |
66,93 |
7816278 |
49159 |
4097 |
|
Рабочие (вспомогательные) |
38 |
41 |
16,14 |
1359568 |
35778 |
2982 |
|
Руководители |
25 |
25 |
9,84 |
2454000 |
98160 |
8180 |
|
Специалисты |
13 |
13 |
4,73 |
552000 |
46000 |
3833 |
|
Служащие |
6 |
6 |
2,36 |
235200 |
39200 |
3833 |
|
ИТОГО: |
241 |
255 |
100 |
12417046 |
51738 |
4312 |
РАСЧЁТ ТЕХНИКО-ЭКОНОМИЧЕСКИХ ПОКАЗАТЕЛЕЙ ПО ТРУДУ И ЗАРАБОТНОЙ ПЛАТЕ
Удельный
расход рабочей
силы
,
рассчитывается
по формуле
, (2.53.)
где
- отработанные
производственными
рабочими
человеко-часы;
- станко-часы
в работе;
- число станков,
на которое
определяется
удельный расход.
, (2.54.)
![]()
![]()
Производительность труда в уточинах , рассчитывается по формуле
, (2.55.)
где - выработка суровья в миллионах уточин.
(2.56.)
Средняя часовая заработная плата , рассчитывается по формуле
, (2.57.)
где
- часовой фонд
производственных
рабочих;
- часовой фонд
вспомогательных
рабочих.
![]()
Трудоёмкость
100 метров суровой
ткани
,
рассчитывается
по формуле
, (2.58.)
где
- выработка
суровой ткани
в метрах.
![]()
2.10. РАСЧЁТ СЕБЕСТОИМОСТИ ПРОДУКЦИИ
Расчёт себестоимости производим по сырью и заработной плате. Размеры остальных затрат на 100 метров суровой ткани по данным предприятия.
Себестоимость сырья принимаем из расчёта баланса сырья в размере 231751000.
ОБРАБОТКА
Вспомогательные материалы на технологические нужды принимаем в размере 0,14 руб., по данным предприятия.
, (2.59.)
![]()
Топливо и энергию всех видов на технологические цели принимаем в размере 0,06 руб. за 1 метр, по данным предприятия.
, (2.60.)
![]()
Основная заработная плата производственных рабочих рассчитывается по формуле
, (2.61.)
![]()
Дополнительная
заработная
плата производственных
рабочих
![]()
Отчисление на социальное страхование принимаем в размере 35,6% от суммы дополнительной и основной заработной платы
(2.62.)
Расходы по содержанию и эксплуатации оборудования принимаем в размере 160% от суммы основной и дополнительной заработной платы
(2.63.)
Общепроизводственные расходы принимаем в размере 70% от суммы основной и дополнительной заработной платы
(2.64.)
Общехозяйственные расходы принимаем в размере 80% от суммы основной и дополнительной заработной платы
(2.65.)
Итоговую обработку получаем суммированием всех статей обработки 59916631 рублей.
Производственную стоимость получаем суммированием стоимости сырья и стоимости обработки 291667631 рублей.
Коммерческие расходы принимаем в размере 2% от производственной стоимости
(2.66.)
Полную себестоимость продукции получаем суммированием производственной себестоимости и коммерческих расходов
(2.
67.)
Таблица 36. Плановая сортовая калькуляция
|
Статьи калькуляции |
Затраты, руб. |
|
|
Абсолютная сумма |
На 100м. суровой ткани |
|
|
Сырьё |
231751000 |
1421,31 |
|
Обработка: Вспомогательные материалы на технологические цели |
2282769 |
14 |
|
Топливо и энергия на технологические цели |
978330 |
6 |
|
Основная заработная плата производственных рабочих |
6513567 |
39,94 |
|
Дополнительная заработная плата производственных рабочих |
68587 |
0,42 |
|
Отчисления на социальные нужды |
2343247 |
14,37 |
|
Расходы на содержание и эксплуатацию оборудования |
10531446 |
64,59 |
|
Общепроизводственные расходы |
4607508 |
28,26 |
|
Общехозяйственные расходы |
5265723 |
32,29 |
|
Итого обработка: |
59916631 |
367,46 |
|
Производственная себестоимость |
291667631 |
1788,77 |
|
Коммерческие расходы |
5833353 |
35,78 |
|
Полная себестоимость продукции |
297500984 |
1824,54 |
2.11. РАСЧЁТ ПРИБЫЛИ, РЕНТАБЕЛЬНОСТИ ПРОДУКЦИИ И ЗАТРАТ НА 1 РУБЛЬ ТОВАРНОЙ ПРОДУКЦИИ
Коэффициент
сортности
,
рассчитывается
по формуле
, (2.
68.)
где
и
- цена за продукцию
1 и 2 сорта, %;
и
- выпуск продукции
1 и 2 сорта, %;
- общий выпуск
продукции, %.
![]()
Объём
реализации
продукции
,
рассчитывается
по формуле
, (2.69.)
где
- цена за продукцию
1 сорта за 1 метр,
руб. (21,89).
![]()
Прибыль
от реализации
,
рассчитывается
по формуле
, (2.70.)
где
- себестоимость
продукции,
рублей.
![]()
Прибыль
на 100 метров суровой
ткани
,
рассчитывается
по формуле
, (2.71.)
![]()
Рентабельность
продукции
,
%, рассчитывается
по формуле
, (2.72.)
![]()
Рентабельность
основной деятельности
,
%, рассчитывается
по формуле
, (2.73.)
![]()
Затраты
на 1 рубль товарной
продукции
,
копеек, рассчитывается
по формуле
, (2.74.)
![]()
2.12. ТАБЛИЦА ТЕХНИКО-ЭКОНОМИЧЕСКИХ ПОКАЗАТЕЛЕЙ ТКАЦКОГО ПРОИЗВОДСТВА
Таблица 37. Технико-экономические показатели
|
Показатели |
Единицы измерения |
Абсолютная величина показателя |
|
Количество станков в заправке |
станков |
504 |
|
Коэффициент полезного времени |
- |
0,74 |
|
Норма обслуживания ткача |
станков |
18 |
|
Выработка суровой ткани: в метрах |
м |
16305492 |
|
в миллион уточинах |
млн. уточин |
38481 |
|
в миллион метроуточинах |
млн. метроут. |
79271 |
|
в
|
|
33596889 |
|
Норма производительности ткацкого станка: в метрах |
м |
8,6 |
|
в уточинах |
уточин |
20296 |
|
в метроуточинах |
метроуточин |
41810 |
|
в
|
|
17,72 |
|
Прибыль от реализации продукции |
рублей |
59069309 |
|
Прибыль на 100 метров суровой ткани |
рублей |
362,28 |
|
Рентабельность продукции |
% |
16,57 |
|
Рентабельность основной деятельности |
% |
19,86 |
|
Затраты на 1 рубль товарной продукции |
копеек |
83,43 |
3. МЕРОПРИЯТИЯ
3.1. ПРОТИВОПОЖАРНЫЕ МЕРОПРИЯТИЯ
На текстильных предприятиях обрабатывается сырьё, представляющее большую пожарную опасность. В силу этого предъявляются повышенные требования по противопожарному режиму.
На администрацию возлагается проведение инструктажа по пожарной безопасности, а также постоянный контроль за соблюдением рабочими всех требований инструкций по пожарной безопасности.
Государственный пожарный надзор осуществляется соответствующими управлениями и отделениями пожарной охраны.
Загорания, пожары и взрывы на предприятиях текстильной промышленности наиболее часто происходят в результате нарушения режима технологических процессов, неисправности электрооборудования, статистического электричества, искр, неосторожного обращения с огнём, самовозгорания, грозовых разрядов и др.
Для предупреждения возникновения пожара на проектируемом предприятии предусматривается:
- регулярно осматривать электродвигатели и проводку;
- строго соблюдать режим ухода за оборудованием;
- регулярно очищать от пуха и пыли помещения, светильники;
- хранить вне цеха легковоспламеняющиеся материалы;
- не загромождать проходы и лестничные клетки посторонними предметами;
- не загромождать пожарный инвентарь.
В цехе имеются следующие противопожарные средства: спринклерная система, пожарные рукава, пожарные краны, огнетушители, ящики с песком, пожарная сигнализация для вызова пожарной команды.
санитарно-гигиенические мероприятия и охрана труда
В нашей стране большое внимание уделяется охране труда. В России разрабатываются и совершенствуются нормы и правила техники безопасности и производственной санитарии. Выполнение этих норм и правил обязательно на всех предприятиях.
На предприятии для планомерной работы по улучшению условий труда и систематического контроля за соблюдением правил охраны труда имеется инженер по технике безопасности.
Руководство предприятия и цеха обеспечивает нормальные условия труда, необходимые для снижения утомляемости рабочих.
Состояние человека во время работы в цехе зависит от соблюдения правил гигиены труда и промышленной санитарии. Несоблюдение этих правил может вызвать различные профессиональные заболевания. На человеческий организм влияют слишком высокая или низкая температура в производственном помещении, большая влажность воздуха, запыленность, производственный шум, недостаточная освещенность рабочих мест и т.д..
Для обеспечения установленных норм температурно-влажного режима в производственных помещениях имеются вентиляционная и отопительная системы, установлены кондиционеры. Обмен воздуха производится с таким расчетом, чтобы температура воздуха составляла летом: 24-260 С, зимой: 22-240 С, а относительная влажность воздуха 65-70%. Это создает нормальные условия труда и способствует правильному протеканию технологического процесса.
Предприятие снабжается питьевой водой, которая из водопровода подается в питьевые фонтанчики и автоматы газированной воды.
Известно, что производственный шум в цехах вызывает профессиональные заболевания органов слуха, а также ряд функциональных изменений в организме, что приводит к снижению производительности труда.
Для борьбы с шумом и вибрацией проводится ряд мероприятий: в шестеренные передачи машин вводят текстолитовые шестерни, машины устанавливают на прокладки, применяют средства индивидуальной защиты – наушники, антифоны, ультразвуковую вату, наушники с функциональной музыкой.
Норма освещенности рабочих мест (500ЛК) обеспечивается светильниками люминесцентного освещения. Светильники встроены в плиты перекрытия. Нормальная освещенность снижает утомляемость рабочих, сохраняет зрение и снижает травматизм.
В результате применения пылеулавливающих установок и фильтров запыленность в цехе не превышает 2 мг/м3 .
Для защиты от действия масла на кожу рук имеются специальные пасты, которые втираются в кожу перед началом работы.
На проектируемом предприятии предусмотрены гардеробные, сан. узлы, душевые, здравпункт, установлены умывальники, есть комнаты отдыха.
Для хранения дезинфицирующих средств и перевязочных материалов в цехах имеются аптечки первой помощи.
Оборудование в цехах установлено с расчетом безопасной работы обслуживающего персонала, размеры проходов соответствуют санитарным нормам.
Во избежании несчастных случаев все рабочие должны знать правила техники безопасности. Все рабочие должны быть проинструктированы о мерах предосторожности и правилах безопасной работы на машинах.
3.2. ВЫБОР И РАСЧЁТ КОНДИЦИОНЕРОВ
Объём
основных
производственных
цехов фабрики
,
,
рассчитывается
по формуле
, (3.1.)
где
- длина цеха,
м;
- ширина цеха,
м;
- высота цеха.
![]()
Потребность
воздуха на 1
час работы
,
,
рассчитывается
по формуле
, (3.2.)
где
- кратность
воздухообмена,
.
![]()
Количество
кондиционеров
,штук,
рассчитывается
по формуле
, (3.3.)
![]()
К установке принимаем 3 кондиционера КТЦ3-125
3.3. МЕРОПРИЯТИЯ ПО ОХРАНЕ ПРИРОДЫ И ОКРУЖАЮЩЕЙ СРЕДЫ
Благодаря достижениям науки и техническому прогрессу человек получил в свои руки мощные орудия воздействия на природу. Эти достижения позволяют людям вторгаться в такие области природы, как микро- и макромиры, влиять на тончащие связи и механизмы в окружающей среде.
Однако, вторгаясь с помощью современной техники и технологии в природные процессы, человек не редко нарушает закономерности их протекания, своей деятельностью вызывают нежелательные для него самого изменения в природе.
Атмосфера, водоёмы и земные недра во многих районах земного шара возрастающие степени загрязняются отходами промышленных предприятий (в том числе и текстильных), энергетических систем и транспорта.
Отходами текстильных предприятий являются сточные воды (в основном красильно-отделочных и частично ткацких производств), представляющие собой отработанные растворы красителей и реактивов, воды промывок, стоки кислые и щелочные, интенсивно окрашенные и бесцветные концентрированные и мало загрязненные, отработанные растворы шлихты.
В отдельных случаях окружающая среда (загрязняется) тепловыми выбросами, ультрафиолетовыми и инфракрасными световыми и ионизирующими излучениями.
Серьёзной проблемой стали (шумовые загрязнения). В городах промышленные и транспортные шумы, бытовые приборы и т.д. создают сильную звуковую атаку на организм человека. Большую опасность для здоровья человека представляют собой инфразвуки, проникающие сквозь самые толстые стены.
С целью охраны окружающей среды от различный загрязнений на проектируемом предприятии осуществляются следующие мероприятия:
горюче-смазочные материалы хранятся в специальной таре в отдельных помещениях,
отработанные смазочные материалы собираются и отправляются на регенерацию,
под некоторые механизмы машин подставляются поддоны для сбора излишней смазки,
отходы производства, пыль, подметь, собираются в отдельное помещение, их упаковывают, прессуют и отправляют для вторичной обработки,
отходы металла собираются в специальные контейнеры,
чистка оборудования, полов проводится при помощи промышленных пылесосов всасывающего типа,
стены, потолки помещений покрыты специальными шумопоглощающими материалами,
отработанные растворы шлихты поступают на водоочистные сооружения комбината,
воздух производственных помещений очищается при помощи фильтров, пылеулавливающих установок,
территория рядом с предприятием имеет зелёные насаждения и водоёмы.
3.4. внутрифабричный транспорт и его краткая характеристика
Механизация транспортировки позволяет повысить производительность труда и снизить себестоимость продукции.
Основными подъёмно-транспортными операциями в ткачестве являются: перемещение, хранение и установка в гнёзда машин сновальных валов и навоев, подача основной и уточной пряжи, сбор и перемещение суровой и готовой ткани.
Для
выработки ткани
«Бязь» артикул
С-32БХ-165 на склад
ткацкой фабрики
поступает
основная пряжа
=29
текс и уточная
пряжа
=36
текс на цилиндрических
бобинах с машин
ППМ-120.
Необходимой частью склада являются контейнерные площадки, где осуществляются операции по разгрузке прибывшего сырья и отправки готовой продукции партиями. Контейнерные площадки обслуживают с помощью электрических талей, поворотных консольных кранов, штабелёрами и кранами-штабелёрами ЭШ-182.
Передача грузов из склада в производства осуществляться с помощью подвесных контейнеров.
От сновальных машин сновальные валы подаются тележкой подвесной монорельсовый путь и подхватываются электроталью ТЭ-0,5 (0,25), которая доставляет их на гравитационные стеллажи.
Сновальные валы из стеллажей снимаются и укладываются на стойки шлихтовальных машин подвесной кран-балкой, связанной через стыкующее устройства с отрезками монорельса, закрепленными над стойками. Пустые сновальные валы возвращаются в стеллажи и укладываются в нижний ярус той же системой.
Наработанный навой тележкой подаётся под однорельсовый путь и подвешивается захватами к электротали, которая доставляет его к механизированному стеллажу. По мере надобности навой из стеллажа доставляется электроталью на проборные станки и узловязальные машины. Участок монорельса над машинами соединен с основной трассой электрифицированными отрезками.
Подача навоя в ткацкий цех производится по однорельсовым путям электропоездом. Навой укладывается в тележку ЭТМ-Л с гидравлическими цилиндрами. Такая тележка подкатывается к навою так, чтобы рычаги-захваты могли подойти по запорам навоя. Захваты перемещаются с помощью гидроцилиндров, и поднимают навой. С помощью тележки производится механизированная укладка навоя в гнезда ткацкого станка. Порожние навои возвращаются по той же транспортной системе обратным порядком.
Рулоны ткани транспортируются на специальных подвесных люльках электропоездом. Разгрузка рулонов приемные столы в товарно-браковочном отделе производится автоматически.
Уточная пряжа доставляется к месту в прицепных напольных тележках с электрической ЭТМ.
ЛИТЕРАТУРА
1. Букаев П. Т. Справочник по хлопкоткачеству - М.: Легпромиздат, 1987
2. Локтюшева В. И. Проектирование ткацких фабрик - М.: Легпромиздат, 1987
3. Бородин А. И. Справочник по технологии хлопкоткачества - М.: Легпромиздат
4. Оников З. А. Справочник по хлопкоткачеству - М.: Лёгкая индустрия, 1979
5. Отраслевые нормы расхода пряжи на выработку 100 метров суровых тканей - М.: ЦНИТЗИ, Легпром, 1986
6. Широков В. П. Справочник по хлопкопрядению - М.: Лёгкая и пищевая промышленность, 1985
7. Алленова А. П. Автоматические ткацкие станки СТБ - М.: Легпромбытиздат, 1985
8. Букаев П. Т. Устройство и обслуживание пневморапирных ткацких станков - М.: Легпромбытиздат, 1986
9. Законодательные и нормируемые акты РФ
10. Мамедов О.Ю. «Современная экономика» - Ростов-на-Дону:. Феникс, 1995
11. «Курс экономики» под редакцией Райсберга Б.А. – М:. Инфра-М, 2001
12. Кедров
Б.И., Смирнова
Ф.П. «Экономика,
организация
и планирование
х/б производства»
- М:. Легпромбыт
издательство,
1990![]()
|
1. |
Технологическая часть |
|
|
1.1. |
Технические условия на пряжу и суровьё. Требования стандартов. |
|
|
1.2. |
Исходные данные технического расчёта ткани |
|
|
1.3. |
Технический расчёт ткани. Сводная таблица технического расчёта ткани |
|
|
1.4. |
Выбор и обоснование технологического процесса ткачества |
|
|
1.5. |
Выбор и обоснование оборудования и его краткая характеристика |
|
|
1.6. |
Выбор технологических параметров подготовки пряжи по переходам технологического процесса ткачества |
|
|
1.7. |
Выбор и расчёт паковок по переходам технологического процесса ткачества. Сводная таблица расчёта паковок |
|
|
1.8. |
Расчёт количества отходов. Сводная таблица расчёта отходов |
|
|
1.9. |
Расход расхода пряжи на 100 метров суровой ткани с учётом отходов |
|
|
1.10. |
Расчёт производительности оборудования по переходам ткацкого производства |
|
|
1.11. |
Пути повышения качества выпускаемой продукции. Сертификация и стандартизация продукции |
|
|
2. |
Организационно-экономическая часть. Расчёт бизнес-плана |
|
|
2.1. |
Расчёт плановых простоев и КРО |
|
|
2.2. |
Расчёт норм производительности машин |
|
|
2.3. |
Разработка маршрута ткача |
|
|
2.4. |
Расчёт плана производства и реализации продукции |
|
|
2.5. |
Расчёт сопряжённости оборудования по переходам технологического процесса ткачества |
|
|
2.6. |
Расчёт баланса сырья |
|
|
2.7. |
Расчёт штатов и фондов заработной платы производственных рабочих |
|
|
2.8. |
Расчёт штатов и фондов заработной платы руководителей, специалистов и служащих |
|
|
2.9. |
Расчёт сводного плана по труду и кадрам |
|
|
2.10. |
Расчёт себестоимости продукции |
|
|
2.11. |
Расчёт прибыли, рентабельности продукции и затрат на 1 рубль товарной продукции |
|
|
2.12. |
Таблица технико-экономических показателей ткацкого производства |
|
|
3. |
Мероприятия |
|
|
3.1. |
Противопожарные мероприятия. Санитарно-гигиенические мероприятия и охрана труда |
|
|
3.2. |
Выбор и расчёт кондиционеров |
|
|
3.3. |
Мероприятия по охране природы и окружающей среды |
|
|
3.4. |
Внутрифабричный транспорт и его краткая характеристика |
|
|
Литература |
ОДЕРЖАНИЕ
| 1.6. ВЫБОР ТЕХНОЛОГИЧЕСКИХ ПАРАМЕТРОВ ПОДГОТОВКИ ПРЯЖИ ПО ПЕРЕХОДАМ ТЕХНОЛОГИЧЕСКОГО | |||||||||||
| ПРОЦЕССА ТКАЧЕСТВА | |||||||||||
| Таблица 16. Технические параметры выработки ткани «Бязь» артикул С-32БХ-206 по всем переходам ткацкого производства | |||||||||||
| Наименование показателей | Обозначение | Единицы измерения | Название перехода | ||||||||
| сновальный | мотальный | шлихтоваль-ный | проборный | привязка | ткачество | контроль и учёт | |||||
| Марка машины | СП-140-4 | М-150-2 | ШБ-11/140-3 | ПСМ-250 | УП-5-250 | СТБ-250 | МКМ-250 | ||||
| Линейная плотность пряжи: основа | То | текс | 29 | 29 | 29 | 29 | 29 | 29 | 29 | ||
| уток | Ту | текс | - | - | - | - | - | 36 | - | ||
| Скорость переработки | V | м/мин | 600 | 700 | 60 | 1506 | 230 | 60 | |||
| Коэффициент полезного времени | КПВ | 0.43 | 0.78 | 0.64 | - | 0.51 | 0.74 | 0.52 | |||
| Разводка щели нитеочистителя | мм | - | 0,51-0,64 | - | - | - | - | - | |||
| Натяжение пряжи (масса тормозных шайб) | m | г | 6 | 30-23 | - | - | - | - | - | ||
| Удельная плотность намотки | 0.5 | 0.4 | 0.5 | - | - | - | - | ||||
| Номер узловязателя | Nузл | - | 2 | - | - | - | - | - | |||
| Вытяжка пряжи | B | % | - | - | 0,3-3,5 | - | - | - | - | ||
| Приклей | % | - | - | 6 | - | - | - | - | |||
| Влажной шлихтованной основы | % | - | - | 6-Dec | - | - | - | - | |||
| Температура шлихты в корыте | - | - | 90 | - | - | - | - | ||||
| Таблица 21. Сводная таблица расчёта паковок | ||||||||||||
| Пряжа | Вид паковки | Линейная плотность пряжи, кг | Удельная плотность намотки, г/см | Объём, см | Расчётные величины | Сопряжённые величины | ||||||
| Масса пряжи | Длина пряжи, м | Масса пряжи | Длина пряжи, м | |||||||||
| Клеёной, кг | Мягкой, кг | Клеёной, кг | Мягкой, кг | |||||||||
| Основная | Бобина цилиндрическая | 29 | 0.42 | 3320.5 | - | 1.39 | 48089.66 | - | 1.4 | 48089 | ||
| Бобина коническая | 29 | 0.4 | 4927 | - | 1.97 | 67958.6 | - | 1.97 | 67958 | |||
| Сновальный валик | 29 | 0.5 | 588294.7 | - | 294.1 | 17247 | - | 317.5 | 18618 | |||
| Ткацкий навой | 29 | 0.5 | 526131.53 | 273.6 | 258.1 | 1894.4 | 268.4 | 253.2 | 1617.9 | |||
| Уточная | Бобина цилиндрическая | 36 | 0.42 | 3320.5 | - | 1.39 | 36888.89 | - | - | - | ||
| 1.10. РАСЧЁТ ПРОИЗВОДИТЕЛЬНОСТИ ОБОРУДОВАНИЯ ПО ПЕРЕХОДАМ ТКАЦКОГО ОБОРУДОВАНИЯ | |||||||||
| Таблица 23. Производительности оборудования по переходам ткацкого производства | |||||||||
| Наименование показателей | Линейная скорость переработки | Время | Линейная плотность пряжи | Количество веретён или нитей на паковке | Коэффициент полезного времени | Теоретическая производительность машин | Фактическая производительность машин | ||
| Обозначение | V | t | T | m | КПВ | Атеор | Афакт | ||
| Единицы измерения | м/мин | мин | текс | нитей | кг/час | кг/час | |||
| Снование СП-140-4 | 600 | 60 | 29 | 588 | 0.43 |
|
|
||
| Шлихтование ШБ-11/140-3-1 | 60 | 60 | 29 | 4698 | 0.64 |
|
|
||
| Пробирание ПСМ-250 | 1506 нит/ч | 60 | 29 | 4698 |
|
|
|||
| Привязывание УП-5-250 | 400 узл/мин | 60 | 29 | 4698 | 0.51 |
|
|
||
| Ткачество СТБ-250 |
230 мин-1 | 60 | 29 | 4698 | 0.74 |
|
|
||
| Контроль и учёт ткани МКМ-250 |
60 | 60 | 29 | 4698 | 0.52 |
|
|||
| 2.5. РАСЧЁТ СОПРЯЖЁННОСТИ ОБОРУДОВАНИЯ ПО ПЕРЕХОДАМ ТЕХНОЛОГИЧЕСКОГО ПРОЦЕССА ТКАЧЕСТВА | ||||||||
| Таблица 30. Сопряжённость оборудования по переходам ткацкого производства | ||||||||
| Наименование показателей | Название перехода | |||||||
| Снование СП-140-4 |
Шлихтование ШБ-11/140-3-1 |
Пробирание ПСМ-250 |
Привязывание УП-5-250 |
Ткачество СТБ-250 |
Контроль и учёт ткани МКМ-250 |
|||
| Отходы: по снове | 0.02 | 0.23 | 0.02 | 0.06 | 0.11 | |||
| по утку | 0.15 | |||||||
| Выход полуфабрикатов, Вп, % | 99.98 | 99.75 | 99.73 | 99.68 | 99.57 | |||
| Коэффициент работающего оборудования, Кро | 0.98 | 0.93 | 0.98 | 0.98 | 0.94 | 0.98 | ||
| Количество полуфабрикатов, кг | - | |||||||
| - | ||||||||
| где П-потребность пряжи | ||||||||
| Количество машин в заправке | ||||||||
| 2 | 2 | 1 | 1 рабочая и1 запасная | 24x21=504 | 1 | |||
| 2.7 РАСЧЁТ ШТАТОВ И ФОНДА ЗАРАБОТАННОЙ ПЛАТЫ ПРОИЗВОДСТВЕННЫХ РАБОЧИХ | ||||||||||||||||||||
| Таблица 32. Данные для расчёта штатов и фондов заработанной платы производственных рабочих | ||||||||||||||||||||
| Цех, отдел, профессия | Колличество машин в заправке | Норма обслуживания | Режим работы | Явочная численность с учётом режима работы | Часы работы в год | Разряд | Форма и система оплаты труда | Тарифная ставка или оклад | Сдельная расценка | Выработка продукции | Коэффициент премии | Часовой фонд заработной платы | Доплата за плановые остановы | Дополнительная заработная плата | Месячный фонд заработной платы | |||||
| Сдельная заработная плата | Повременная заработная плата | Доплата за работу в вечернее время | Итого часовой фонд | |||||||||||||||||
| Склад пряжи | ||||||||||||||||||||
| Бригадир | - | 1 человек в смену | 2-х сменный | 2 | 2001 | - | оклад | 2500 | - | - | - | - | 60000 | 5999 | 65999 | - | 13200 | 79199 | ||
| Контролёр качества пряжи | - | до 100 кг на 1 чел/ч | 2-х сменный | 2 | 2001 | 3 | оклад | 2000 | - | - | - | - | 48000 | 1297 | 42297 | - | 1859 | 59156 | ||
| Итого: | 4 | 115296 | 0 | 23059 | 138355 | |||||||||||||||
| Мотально-сновальный цех | ||||||||||||||||||||
| Оператор мотальной машины | 1 | 0,5 машины на человека | 2-х сменный | 4 | 2001 | 4 | оклад | 2500 | - | - | - | - | 120000 | 2937 | 122937 | - | 24587 | 147524 | ||
| Оператор сновальной машины | 2 | 1 человек на машину | 2-х сменный | 4 | 2001 | 4 | сдельно-премиальная | 3,96 (3,67) | 0.06 | 1212606 | 3 | 72756 | - | 3170 | 75926 | 642 | 15314 | 91882 | ||
| Ставильщик | 2 | 1 человек на машину | 2-х сменный | 4 | 2001 | 3 | сдельно-премиальная | 3,51 (3,24) | 0.05 | 1212606 | 3 | 60630 | - | 2809 | 63439 | 648 | 12817 | 76904 | ||
| Контролёр качества пряжи | - | 1 человек в день | день | 1 | 2001 | 3 | оклад | 2000 | - | - | - | - | 24000 | - | 24000 | - | 4800 | 28800 | ||
| Помощник мастера | 3 | 1 человек в смену | 2-х сменный | 6 | 2001 | 5 | оклад | 4000 | - | - | - | - | 96000 | 1933 | 97933 | - | 19587 | 117520 | ||
| Итого: | 19 | 384235 | 1290 | 77105 | 462630 | |||||||||||||||
| Шлихтовально-проборный цех | ||||||||||||||||||||
| Оператор шлихтовальной машины | 2 | 1 человек на машину | 2-х сменный | 4 | 2001 | 5 | сдельно-премиальная | 4,55 (4,21) | 0.072 | 1208604 | 5 | 157474 | - | 3642 | 90661 | 2426 | 18617 | 117704 | ||
| Оператор шлихтовальной машины | 2 | 1 человек на машину | 2-х сменный | 4 | 2001 | 4 | сдельно-премиальная | 3,96 (3,67) | 0.063 | 1208604 | 5 | 137153 | - | 3168 | 79310 | 1850 | 16232 | 97392 | ||
| Оператор узловязальной машины | 2 | 1 человек на машину | день | 4 | 2001 | 4 | сдельно-премиальная | 3,96 (3,67) | 0.06 | 1208604 | 4 | 38926 | - | 3170 | 70852 | 514 | 14271 | 85637 | ||
| Проборщик | 1 | 1 человек на станок | 2-х сменный | 2 | 2001 | 3 | оклад | 2450 | - | - | - | - | 58800 | 5879 | 64679 | - | 12936 | 77615 | ||
| Проборщик | 1 | 1 человек на станок | 2-х сменный | 2 | 2001 | 2 | оклад | 2400 | - | - | - | - | 57600 | 5759 | 63359 | - | 12671 | 76030 | ||
| Итого: | 16 | 368861 | 4790 | 74727 | 448378 | |||||||||||||||
| Ткацкий цех | ||||||||||||||||||||
| Ткач | 504 | 18 | день | 56 | 2001 | 5 | сдельно-премиальная | 4,55 (4,21) | 0.15 | 16305492 | 5 | 2396907 | - | 50985 | 2447892 | 28305 | 495239 | 2971436 | ||
| Ткач (отрывщица) | 504 | 84 | день | 12 | 2001 | 5 | косвенная | 4,55 (4,21) | 0.02 | 16305492 | 3 | 309804 | - | 10925 | 320729 | 6065 | 65359 | 392153 | ||
| Помощник мастера | 504 | 24 | 2-х сменный | 42 | 2001 | 6 | сдельно-премиальная | 6,03 (5,58) | 0.146 | 16305492 | 5 | 238062 | - | 101329 | 2481931 | 28137 | 502014 | 3012082 | ||
| Продолжение таблицы 32. Данные расчёта штатов и фондов заработанной платы производственных рабочих | ||||||||||||||||||||
| Цех, отдел, профессия | Колличество машин в заправке | Норма обслуживания | Режим работы | Явочная численность с учётом режима работы | Часы работы в год | Разряд | Форма и система оплаты труда | Тарифная ставка или оклад | Сдельная расценка | Выработка продукции | Коэффициент премии | Часовой фонд заработной платы | Доплата за плановые остановы | Дополнительная заработная плата | Месячный фонд заработной платы | |||||
| Сдельная заработная плата | Повременная заработная плата | Доплата за работу в вечернее время | Итого часовой фонд | |||||||||||||||||
| Инструктор производственного обучения | 1 | 2-х сменный | 2 | 2001 | - | оклад | 3000 | - | - | - | - | 72000 | 7200 | 79200 | - | 15840 | 95040 | |||
| Итого: | 112 | 170439 | 5329752 | 62507 | 6470711 | |||||||||||||||
| Приёмно-контрольный цех | ||||||||||||||||||||
| Бригадир | - | 1 человек в смену | 2-х сменный | 2 | 2001 | - | оклад | 2500 | - | - | - | - | 60000 | 5999 | 65999 | - | 13200 | 79199 | ||
| Контролёр качества пряжи | 1 АПЛ | 0,5 машины на человека | 2-х сменный | 4 | 2001 | 3 | оклад | 2300 | - | - | - | - | 110400 | 11038 | 121438 | - | 24288 | 145726 | ||
| Оператор стригальной машины | 1 АПЛ | 1 человек на линии | 2-х сменный | 2 | 2001 | 2 | оклад | 2250 | - | - | - | - | 54000 | 5399 | 59399 | - | 11880 | 71279 | ||
| Итого: | 8 | 22436 | 246836 | - | 49368 | 296204 | ||||||||||||||
| Всего: | 159 | 6444980 | 68587 | 1302711 | 7816278 | |||||||||||||||
| РАСЧЁТ ШТАТОВ И ФОНДА ЗАРАБОТАННОЙ ПЛАТЫ ВСПОМОГАТЕЛЬНЫХ РАБОЧИХ | ||||||||||||||||||||
| Таблица 33. Данные для расчёта штатов и фондов заработанной платы вспомагательных рабочих | ||||||||||||||||||||
| Цех, отдел, профессия | Колличество машин в заправке | Норма обслуживания | Режим работы | Явочная численность с учётом режима работы | Часы работы в год | Разряд | Форма и система оплаты труда | Тарифная ставка или оклад | Сдельная расценка | Выработка продукции | Коэффициент премии | Часовой фонд заработной платы | Доплата за плановые остановы | Дополнительная заработная плата | Месячный фонд заработной платы | |||||
| Сдельная заработная плата | Повременная заработная плата | Доплата за работу в вечернее время | Итого часовой фонд | |||||||||||||||||
| Склад пряжи | ||||||||||||||||||||
| Весовщик | - | 1 человек в смену | 2-х сменный | 2 | 2001 | - | оклад | 2000 | - | - | - | - | 48000 | 4798 | 52798 | - | 10560 | 63358 | ||
| Транспортировщик | - | до 2000 кг на 1 чел | 2-х сменный | 2 | 2001 | 3 | сдельно-премиальная | 3,51 (3,24) | 0.008 | 3565064 | 3 | 44521 | - | 1404 | 45925 | - | 9185 | 55110 | ||
| Итого: | 4 | 98723 | - | 19745 | 118468 | |||||||||||||||
| Мотально-сновальный цех | ||||||||||||||||||||
| Транспортировщик валов | - | 1 человек до 8 валов | 2-х сменный | 2 | 2001 | 3 | сдельно-премиальная | 3,51 (3,24) | 5.516 | 7642 | 3 | 42153 | - | 1405 | 43558 | - | 8712 | 52270 | ||
| Слесарь | - | 1 человек в смену | 2-х сменный | 2 | 2001 | 5 | оклад | 3500 | - | - | - | - | 84000 | 8400 | 92400 | - | 18480 | 110880 | ||
| Уборщик | - | до 2000 кв. м | 2-х сменный | 2 | 2001 | - | оклад | 1200 | - | - | - | - | 14400 | 1441 | 15841 | - | 3168 | 19009 | ||
| Итого: | 6 | 151799 | - | 30360 | 182159 | |||||||||||||||
| Шлихтовально-проборный цех | ||||||||||||||||||||
| Ремонтник технологической оснастки | - | 1 человек в смену | 2-х сменный | 2 | 2001 | 2 | оклад | 2000 | - | - | - | - | 48000 | 4798 | 52798 | - | 10560 | 63358 | ||
| Ремонтник технологической оснастки | - | 1 человек в смену | 2-х сменный | 2 | 2001 | 5 | оклад | 3000 | - | - | - | - | 72000 | 7200 | 79200 | - | 15840 | 95040 | ||
| Слесарь | - | 1 человек в смену | день | 2 | 2001 | 4 | оклад | 3200 | - | - | - | - | 76800 | 7680 | 84480 | - | 16896 | 101376 | ||
| Транспортировщик ткацких навоев | - | до 6 навоев на человека | 2-х сменный | 2 | 2001 | 3 | сдельно-премиальная | 3,51 (3,24) | 4.400 | - | 3 | 42161 | - | 1405 | 43566 | - | 8713 | 52279 | ||
| Весовщик | - | 1 человек в смену | 2-х сменный | 2 | 2001 | - | оклад | 2000 | - | - | - | - | 48000 | 4798 | 52798 | - | 10560 | 63358 | ||
| Уборщик | - | 1 человек в смену | 2-х сменный | 2 | 2001 | - | оклад | 1200 | - | - | - | - | 14400 | 1441 | 15841 | - | 3168 | 19009 | ||
| Итого: | 12 | 328683 | - | 65737 | 394420 | |||||||||||||||
| Ткацкий цех | ||||||||||||||||||||
| Чистильщик | 480 | 1 человек в смену | день | 2 | 2001 | 1 | оклад | 2300 | - | - | - | - | 110400 | 11040 | 121440 | - | 24288 | 145728 | ||
| Слесарь | - | 1 человек в смену | 2-х сменный | 2 | 2001 | 5 | оклад | 3500 | - | - | - | - | 84000 | 8400 | 92400 | - | 18480 | 110880 | ||
| Ремонтник технологической оснастки | - | 1 человек в смену | день | 2 | 2001 | 4 | оклад | 2500 | - | - | - | - | 60000 | 6000 | 66000 | - | 13200 | 79200 | ||
| Транспортировщик суровья | 480 | до 150 рулонов на человека | 2-х сменный | 2 | 2001 | 3 | сдельно-премиальная | 3,51 (3,24) | 0.059 | - | 3 | 41827 | - | 1405 | 43232 | - | 8646 | 51878 | ||
| Транспортировщик утка | 480 | до 800 кг на человека | 2-х сменный | 2 | 2001 | 3 | сдельно-премиальная | 3,51 (3,24) | 0.130 | - | 3 | 40804 | - | 1405 | 42209 | - | 8442 | 50651 | ||
| Уборщик | - | 1 человек в смену | 2-х сменный | 2 | 2001 | - | оклад | 1200 | - | - | - | - | 14400 | 1441 | 15841 | - | 3168 | 19009 | ||
| Итого: | 12 | 381122 | - | 76224 | 457346 | |||||||||||||||
| Продолжение таблицы 33. Данные драсчёта штатов и фондов заработанной платы производственных рабочих | ||||||||||||||||||||
| Цех, отдел, профессия | Колличество машин в заправке | Норма обслуживания | Режим работы | Явочная численность с учётом режима работы | Часы работы в год | Разряд | Форма и система оплаты труда | Тарифная ставка или оклад | Сдельная расценка | Выработка продукции | Коэффициент премии | Часовой фонд заработной платы | Доплата за плановые остановы | Дополнительная заработная плата | Месячный фонд заработной платы | |||||
| Сдельная заработная плата | Повременная заработная плата | Доплата за работу в вечернее время | Итого часовой фонд | |||||||||||||||||
| Приёмно-контрольный цех | ||||||||||||||||||||
| Транспортировщик | - | до 1000 рулонов | 2-х сменный | 2 | 2001 | 3 | сдельно-премиальная | 3,51 (3,24) | 0.01 | - | 3 | 44521 | - | 1404 | 45925 | - | 9185 | 55110 | ||
| Кладовщик | - | 1 человек в смену | 2-х сменный | 2 | 2001 | - | оклад | 1000 | - | - | - | - | 24000 | 2400 | 26400 | - | 5280 | 31680 | ||
| Слесарь | - | 1 человек в смену | 2-х сменный | 2 | 2001 | 4 | оклад | 3200 | - | - | - | - | 76800 | 7680 | 84480 | - | 16896 | 101376 | ||
| Уборщик | - | до 1000 кв. м | день | 2 | 2001 | - | оклад | 1200 | - | - | - | - | 14400 | 1441 | 15841 | - | 3168 | 19009 | ||
| Итого: | 8 | 172646 | - | 34529 | 207175 | |||||||||||||||
| Всего: | 42 | 1132973 | - | 226595 | 1359568 | |||||||||||||||
Похожие рефераты:
Технологические расчеты проектирования производства шерстяной пряжи по аппаратной системе прядения
Исследование, анализ ассортимента и качества мебельных тканей
Ассортимент тканей из синтетических нитей
Хлопчатобумажные тканые полотна
Товароведение текстильных товаров
Анализ товароведных характеристик текстильных товаров – льняных тканей
Проектирование прядильного производства мощностью А по выпуску аппаратной пряжи для изделия Б
Разработка вопросов организации труда для прядильного и ткацкого производства
АОЗТ Техноткани - организация производства
Модернизация приемной коробки станка СТБ 2-250
Технология прядильного производства
снова