| Скачать .docx |
Реферат: Оценка конкурентоспособности товара (на примере арланской и западно-сибирской (мегионской) нефти)
Московский Государственный Областной Университет
Кафедра менеджмента и маркетинга.
Курсовая работа
по курсу: “Основы маркетинга”
на тему: “Оценка конкурентоспособности товара”
(на примере арланской и западно-сибирской (мегионской) нефти ) .
Выполнил:
студент эконом. факультета
ΙΙΙ курса 31 группы
Потёмкин Дмитрий Игоревич
Проверила:
старший преподаватель Козлова Елена Геннадьевна.
Москва 2003г.
Содержание . 2
Введение . 3
§1. Определения конкурентоспособности, принципы и методы её оценки 3
1. Понятие конкурентоспособности продукции в маркетинге. 3
2. Основные принципы оценки конкурентоспособности продукции. 5
3. Методы определения конкурентоспособности продукции. 11
3.1. Определение конкурентоспособности продукции методом расчета единичных и групповых показателейю .. 11
3.2. Определение конкурентоспособности с использованием функции желательности . 14
3.3. Определение конкурентоспособности продукции методом многокритериальной оптимизации . 18
§2. Оценка конкурентоспособности арланской и западносибирской (мегионской) нефти . 22
Заключение . 25
Список литературы .. 26
Данная тема актуальна , т.к. успешность функционирования любой фирмы зависит, в конечном счете, от уровня конкурентоспособности продукции, предлагаемой ею потребителям. Тем самым приходится признать необходимость разработки четкой методологии оценки и управления конкурентоспособностью продукции, основанной на тесной взаимосвязи общепризнанных законов экономики и менеджмента, психологии и социологии, статистики и теории вероятностей, других наук.
Целью курсовой работы является оценка конкурентоспособности продукции, в нашем случае на примере арланской и западно-сибирской (мегионской) нефти.
Задачей этой работы является рассмотрение понятия конкурентоспособности продукции в маркетинге, основных принципов конкурентоспособности продукции, оценка конкурентоспособности продукции и оценка конкурентоспособности арланской и западно-сибирской (мегионской) нефти.
§1. Определения конкурентоспособности , принципы и методы её оценки
1. Понятие конкурентоспособности продукции в маркетинге
В рыночной экономике решающим фактором коммерческого успеха товара является конкурентоспособность. Это многоаспектное понятие, означающее соответствие товара условиям рынка, конкретным требованиям потребителей не только по своим качественным, техническим, экономическим, эстетическим характеристикам, но и по коммерческим и иным условиям его реализации (цена, сроки поставки, каналы сбыта, сервис, реклама). Более того, важной составной частью конкурентоспособности товара является уровень затрат потребителя за период его эксплуатации.
В силу многоаспектности применения данной категории в различных отраслях знаний в научно-технической литературе существует ряд определений, подчас противоречащих друг другу.
Так, предлагается следующее определение конкурентоспособности[1] : «...под конкурентоспособностью понимается комплекс потребительских и стоимостных (ценовых) характеристик товара, определяющих его успех на рынке, то есть преимущество именно этого товара над другими в условиях широкого предложения конкурирующих товаров-аналогов».
Словари дают следующие толкования этого слова:
1) «...конкурентоспособность товара — совокупность потребительских свойств товара, определяющая его отличие от других аналогичных товаров по степени и уровню удовлетворения потребности покупателя и затратам на его приобретение и эксплуатацию»[2] ;
2) «...конкурентоспособность товара — способность продукции быть более привлекательной для потребителя (покупателя) по сравнению с другими изделиями аналогичного вида и назначения, благодаря лучшему соответствию своих качественных и стоимостных характеристик требованиям данного рынка и потребительским оценкам»[3] .
По нашему мнению, все эти определения имеют один общий недостаток, представляя конкурентоспособность как совокупность, то есть сумму, всех свойств товара и не учитывая того, что потребителя больше интересует соотношение: «качество/цена потребления».
Данное Горбашенко Е.А. определение[4] , а именно: «...конкурентоспособность означает способность данного предмета (потенциальную и/или реальную) выдержать конкуренцию», — более точно отражает сущность данной категории, но не объясняет, за счет чего может возникнуть эта способность.
На наш взгляд, конкурентоспособность — более высокое по сравнению с товарами-заменителями соотношение совокупности качественных характеристик товара и затрат на его приобретение и потребление при их соответствии требованиям рынка или его определенного сегмента . Иначе: конкурентоспособным считается товар, у которого совокупный полезный эффект на единицу затрат выше, чем у остальных, и при этом величина ни одного из критериев не является неприемлемой для потребителя.
Товар с низким качеством может быть конкурентоспособен при соответствующей цене, но при отсутствии какого-либо свойства он потеряет привлекательность вообще. Например, отсутствие вспышки у фотоаппарата практически невозможно скомпенсировать снижением цены.
Помимо требований к товару, выдвигаемых каждым отдельным потребителем, существуют и требования, общие для всех товаров, обязательные к выполнению. Это нормативные параметры, которые устанавливаются: действующими международными (ИСО, МЭК и др.) и региональными стандартами; национальными зарубежными и отечественными стандартами; действующими законодательствами, нормативными актами, техническими регламентами страны-экспортера и страны-импортера, устанавливающими требования к ввозимой в страну продукции; стандартами фирм—изготовителей данной продукции; патентной документацией.
Например, электрические приборы должны работать при напряжении, которое подается в сеть, и соответствовать требованиям пожаробезопасности и взрывобезопасности, а их конструкция определяется условиями проводимого процесса.
Если хотя бы одно из требований не будет выполнено, то товар не может быть выведен на рынок.
При положительном результате анализа нормативных параметров переходят к анализу конкурентоспособности товара на конкретных рынках.
Существует несколько методов расчета показателя конкурентоспособности.
Однако прежде чем рассчитывать количественное значение показателя конкурентоспособности, необходимо провести ряд дополнительных исследований.
На первой стадии проводится экспериментальное определение или расчет всех характеристик собственного товара, включая и те, которые можно выявить только в процессе его эксплуатации (энергоемкость, требуемая периодичность смазывания или замены деталей).
На второй — определяются цели оценки конкурентоспособности, которые зависят от стадии жизненного цикла товара, от стратегии и планов развития фирмы и т.д. Перед тем как вывести новый товар на рынок, нужно удостовериться, что он по своим показателям не уступает конкурентам и может привлечь внимание покупателей. Со временем конкурентоспособность товара может либо повышаться, либо снижаться в связи с изменением предпочтений потребителей, появлением новых или уходом с рынка старых конкурентов и т.д.
На третьей — методами маркетинга проводятся сегментация рынка и обоснование целевого сегмента. Если таковых окажется несколько, то оценку конкурентоспособности товара необходимо проводить для каждого сегмента отдельно.
2. Основные принципы оценки конкурентоспособности продукции
Чтобы проводить оценку конкурентоспособности продукции, нужно выделить некоторые принципы этой оценки.
В процессе оценки конкурентоспособности продукции необходимо следовать следующим принципам:
· противоположности целей и средств субъектов рынка[5] ;
· учета особенностей различных сегментов рынка;
· квазистабильности рыночной конъюнктуры в период проведения исследований;
· преимущественно рационального поведения субъектов рынка.
Принцип противоположности целей и средств при управлении конкурентоспособностью продукции означает, что конкурентоспособность продукции как экономическую категорию следует рассматривать в двойственном аспекте, т.е. в процессе оценки и управления конкурентоспособностью необходимо учитывать интересы обоих субъектов рыночных отношений (потребителей и производителей), целевые ориентиры которых взаимосвязаны и противоположны: для производителя важны параметры, которые влияют на уровень затрат, а для потребителя — параметры, влияющие на потребительские свойства продукции.
В связи с этим отношения потребителя и производителя можно выразить матрицей противоположности целей и средств в процессе товарно-денежного обмена между субъектами рыночных отношений (см. таблицу).
Для потребителя целью совершения покупки продукции является приобретение ее качества — способности удовлетворять конкретные потребности (квадрант 2 матрицы). Стоимость факторов, удовлетворяющих данные потребности, можно представить в виде цены потребления (квадрант 4). Каждый потребитель, выбирая конкретную продукцию, стремится добиться оптимального соотношения между уровнем потребительских свойств и расходами на ее приобретение и использование, т.е. получить максимум потребительского эффекта на единицу затрат. Для измерения степени удовлетворения потребностей могут быть использованы индексы удовлетворенности потребителей, получившие широкое распространение в странах Западной Европы и США[6] .
Таблица 1. Матрица противоположности целей и средств в процессе оценки конкурентоспособности продукции

С точки зрения производителя полезность продукции определяется затратно-ценовыми факторами. В долгосрочной перспективе целью действий любого производителя является достижение максимальной разницы между ценой реализации продукции и собственными затратами на ее производство (квадрант 3). В связи с этим первостепенной задачей для производителя является формирование в сознании потребителя мнения о высокой степени полезности данной продукции. Качественный уровень процесса производства продукции (квадрант 1), выражающийся через производственно-технологические показатели и воплощенный в качество продукции, обеспечивает удовлетворение потребности производителя и выступает средством достижения цели — получения прибыли.
Таким образом, для обоих субъектов рынка продукция представляет собой совокупность полезных свойств, материализованных в некую субстанцию, являющуюся средством удовлетворения потребностей как потребителя, так и производителя.
Принцип учета особенностей различных сегментов рынка основывается на богатой практике рыночных отношений, которая показала, что потребители на рынке не выступают единым, монолитным сообществом. Они по-разному реагируют даже на один и тот же товар с одними и теми же свойствами. При совершении покупки потребитель осуществляет процесс выбора необходимого ему изделия среди целого ряда аналогичных, предлагаемых на рынок, и приобретает то из них, которое в наибольшей мере удовлетворяет его потребности. При этом потребитель выясняет степень соответствия параметров продукции собственным потребностям и финансовым возможностям.
Поскольку потребности каждого отдельного покупателя складываются под воздействием обширного комплекса факторов, оценки одного и того же товара разными потребителями могут не совпадать. Соответственно, неодинаковыми будут и их предпочтения, обусловливающие закономерности потребительского выбора. Следовательно, каждым потребителем уровень конкурентоспособности конкретного вида продукции будет оцениваться сугубо индивидуально. Поэтому неправомерна идея о некоей абсолютной конкурентоспособности продукции, не связанной с конкретным рынком.
Однако совокупный спрос представителей какой-либо референтной группы потребителей концентрируется, как правило, вокруг некоторого уровня качества и цены товара, ввиду того что на мотивы их поведения оказывают воздействие схожие внешние факторы. Анализируя психологические аспекты поведения и ценностные ориентации потребителя, исследователь в состоянии выявить некоторые виды массовых реакций людей по отношению к определенному товару. Выпуская продукцию с характеристиками, близкими к наиболее популярным, можно с помощью относительно небольшого ассортимента удовлетворять существенную часть всего платежеспособного спроса. Оптимальным принято считать сегмент, к которому относятся 20% потребителей продукции данного вида, приобретающих примерно 80% товара.
Вместе с тем не следует ставить знак равенства между массовостью продаж и сильной конкурентоспособностью продукции, так как продукция может быть ориентирована на узкие слои более состоятельных потребителей. В каждый конкретный момент времени структура платежеспособного спроса вполне определенна, что позволяет осуществлять сегментацию потребителей по значимости (важности) отдельных показателей качества и величине их бюджетных ограничений.
Таким образом, конкурентоспособность продукции на разных сегментах потребительского рынка является различной. Потребители, сегментированные по указанным критериям, имеют различную структуру установок и по-разному оценивают конкурентные преимущества и недостатки продукции. Для обеспечения ее конкурентоспособности необходимо осуществлять правильную сегментацию потребителей.
Принцип квазистабильности рыночной конъюнктуры заключается в том, что конкурентоспособность продукции — это понятие относительное, четко привязанное не только к конкретному рыночному сегменту, но и к определенному моменту времени[7] . При неизменности качественных и стоимостных характеристик продукции ее конкурентоспособность может меняться в довольно широком диапазоне за непродолжительные периоды времени.
Для того чтобы избежать внутренней несогласованности основных параметров модели оценки конкурентоспособности продукции, необходимо рассматривать такой период времени, в течение которого должны быть неизменны психологические аспекты восприятия полезности товаров субъектами рыночных отношений, производственные возможности производителей и покупательская способность потребителей, рыночные позиции конкурентов и прочие условия. В качестве основных факторов определения длительности периода неизменности рыночной конъюнктуры могут выступать уровень доходов и структура расходов потребителей, мода, привычки; качественные скачки в науке, технике, торговле и других областях знаний; инструменты государственного управления экономикой (тарифы, ГОСТы, квоты, лимиты, налоговые и процентные ставки и т.п.); принципы общественно-политического устройства; элементы конкурентной среды, скорость реакции субъектов рыночных отношений на действия друг друга и (или) конкурентов и т.д. Пороги несравнимости, характеризующие колебания вышеописанных факторов как ничтожные, а состояние рыночной конъюнктуры как статичное, устанавливаются экспертным путем на основе опыта и суждений специалистов в области маркетинга.
Хотя данные периоды времени крайне малы с точки зрения возможных изменений внешней и внутренней среды, они достаточно продолжительны для того, чтобы собрать статистическую информацию для построения эконометрической модели. Все события должны быть синхронизированы в дискретных временных интервалах. Так, например, доходы и расходы потребителя должны производиться в течение рассматриваемого периода, а их величина и структура — меняться только от периода к периоду.
Принцип преимущественно рационального поведения субъектов рынка основан на предположении, что поведение каждого из субъектов рыночных отношений — будь то потребителя или производителя — можно рассматривать как серию взаимосвязанных рациональных действий с заранее определенной целью. Суть этих действий состоит в том, что субъект выбирает рациональные цели только в соответствии с его естественными и разумными социальными потребностями, тщательно рассчитывает оптимальный путь к удовлетворению потребностей.
Данная модель поведения в большей мере реализуется производителями. Любой предприниматель будет стремиться продавать продукцию по цене как можно выше себестоимости. Необходимо отметить, что даже те предприятия, которые используют в своей конкурентной борьбе демпинговые цены, прекрасно осознают, что данный инструмент приемлем лишь как один из тактических приемов выдавливания конкурентов с определенного рыночного сегмента, а не как фактор стратегического развития фирмы, долгосрочный инструмент укрепления своей рыночной позиции.
Каждый производитель стремится использовать все резервы для получения максимальной отдачи от имеющихся в его распоряжении ресурсов. Любые усилия в сфере повышения качества продукции или снижения себестоимости мотивированы лишь одним — получением дополнительной выгоды, которая может выражаться в усилении конкурентной позиции и (или) повышении доли прибыли предприятия в цене продажи.
Действия большинства потребителей продукции также подчинены принципу рациональности. Приверженность рациональному поведению повышается с ростом доли расходов потребителей на удовлетворение данной потребности или с ужесточением контроля над процессом расходования средств. Оба этих фактора характерны для описания поведения потребителей товаров промышленного назначения. Каждый потребитель стремится получить за свои деньги максимум с точки зрения количества и качества продукции. Большую часть потребительского пространства можно охарактеризовать рациональным спросом , т.е. спросом, обусловленным качествами, присущими данному товару.
Нерациональный спрос означает, что часть совокупного спроса обусловлена какими-то другими факторами, не связанными с качеством товара. Для любой категории товаров выделяют три составляющие нерационального спроса[8] :
· внешние воздействия на ощущаемую полезность товара;
· спекулятивный спрос;
· иррациональный спрос.
Наиболее значительная часть нерационального спроса определяется внешними воздействиями на полезность товара . Величина ощущаемой потребителями полезности, извлекаемая из данного товара, увеличивается или уменьшается от того, покупают ли другие потребители этот товар, либо товар имеет более высокую цену по сравнению с другими аналогичными товарами. Все последствия воздействия этих факторов на спрос описываются соответствующими эффектами.
Эффект присоединения к большинству подразумевает увеличение спроса на товар из-за того, что его покупают другие члены данной группы потребителей. Если большинство действует рационально, то и действия меньшинства также можно считать рациональными.
Спрос, обусловленный эффектами сноба и Веблена , имеет под собой основу в виде несколько иной системы мотивации потребительского поведения. Действие эффекта сноба выражается в нежелании некоторых потребителей придерживаться той же шкалы показателей качества, что и большинство членов его группы. Рациональность действий подменяется в данном случае исключительностью положения, выделением из общего массива потребителей. Эффект Веблена характеризует действия части потребителей нежеланием придерживаться ценовой шкалы, установленной большинством группы. Демонстративная цена рассматривается как плата за удовлетворение потребности ощущать себя социально исключительным, обозначить высокое положение в обществе за счет права обладания дорогой вещью. При этом шкала ценностей выполняет функцию социального барьера. В обоих случаях решения потребителей по приобретению товара нельзя рассматривать как рациональные, так как демонстративная цена перерождается из средства в цель действий потребителя.
При спекулятивном спросе для потребителя первоочередной целью становится не удовлетворение потребности в настоящий момент времени, а попытка сохранения или увеличения богатства в будущем. В этом случае необходимо отметить два момента:
· факт потребления продукции и результат от данного факта значительно разнесены во времени, что не согласуется с принципом квазистабильности;
· потребитель, проявляя спекулятивный спрос, выступает в роли предпринимателя, так как целевые ориентиры в его деятельности направлены не на выбор оптимальных ценовых показателей потребляемой продукции в настоящий момент времени, а на увеличение экономической выгоды в будущем. Нередко это соотносится с потерями в настоящий момент.
Природа иррационального спроса характеризуется обостренным конфликтом между основными факторами потребительского поведения (психофизиологическими и социокультурными, инстинктами и удовольствием). Так, потребитель может вести себя иррационально, когда удовольствие и неудобство (или боль) от процесса потребления разнесены во времени. Случаи, когда сначала наступает неудобство при выработке навыков пользования товаром, не дают возможности получать удовольствие от приобретения товара. Выгоды от приобретения товара для потребителя кажутся при этом сомнительными, и он отказывается от него, что вызывает дефицит опыта рационального потребления. И наоборот, цикл «удовольствие—неудобство» позволяет накапливать опыт рационального поведения. Однако большой временной разрыв между фактом потребления и негативными последствиями не дает возможности потребителю сделать выводы об иррациональности своего поведения. В связи с этим одним из условий принятия рационального решения считается введение запретов и других препятствий со стороны государства и общества для защиты потребителей от собственных иррациональных действий, а также предоставление максимально полной информации о качестве соответствующей продукции и состоянии рыночной конъюнктуры. Дефицит информации приводит к тому, что поведение потребителей может становиться рациональным по форме, но не по результатам.
Таким образом, принцип рациональности поведения рыночных субъектов позволяет применять в процессе моделирования конкурентоспособности продукции законы общей теории ценности, теории полезности и другие законы психологии и социологии.
Предложенные принципы являются результатом синтеза ранее известных законов и концепций и выдвигаются в качестве основных для решения конкретной задачи — оценки конкурентоспособности продукции и определения стратегии и тактики возможных действий в области управления ею с целью наиболее полного удовлетворения интересов потребителей и производителей одновременно.
3. Методы определения конкурентоспособности продукции
3.1. Определение конкурентоспособности продукции методом расчета единичных и групповых показателей ю
В основе данного — традиционного — метода лежит расчет единичных и групповых показателей, на базе которых определяется интегральный показатель конкурентоспособности. Рассмотрим его более подробно.
На первом этапе выбирается база сравнения. В качестве базы для сравнения может служить лучший из уже существующих на целевом рынке или в мире товаров-конкурентов, или более совершенный образец, появление которого ожидается в ближайшем будущем, или некоторый абстрактный эталон. Если разбить товары на три группы, а именно:
· имеющие аналоги и уже выведенные на рынок;
· имеющие аналоги и находящиеся на стадии разработки;
· не имеющие аналогов,
то получаем, что первый вариант базы сравнения лучше использовать для первой группы, второй — для группы 2, третий — для группы 3.
На втором этапе выделяются наиболее значимые для потребителя критерии. Они делятся на две группы: потребительские и экономические. Первые включают в себя качественные характеристики товара (производительность, габариты, экологическая безопасность, надежность и т.д.), вторые — цену товара, затраты на транспортировку, монтаж и эксплуатацию, что в целом составляет цену потребления. Значение критерия у базисной модели обозначим Р Б, а у сравниваемого образца — Р .
На третьем этапе по каждому критерию рассчитывается единичный показатель конкурентоспособности (qi ). Если увеличение значения критерия влечет за собой повышение качества, то
qi = P i/P Бi, (1)
а если снижение, то
qi = P Бi/Pi, (2)
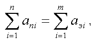
На четвертом этапе внутри каждой группы критериев производят ранжирование показателей по степени их значимости для потребителя и в соответствии с этим присваивают им вес: а пi — для потребительских и а эi — для экономических показателей. Причем
, (3)
где n и m — количество потребительских и экономических параметров соответственно.
Необходимость соблюдения этого равенства обоснуем ниже.
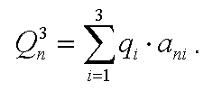
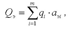
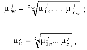
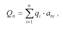
На пятом этапе проводится расчет группового показателя как сводного параметрического индекса конкурентоспособности:
, (4)
, (5)
где Q п и Q э — сводные параметрические индексы конкурентоспособности по потребительским и экономическим свойствам соответственно.
Вернемся к равенству (3). Его соблюдение обеспечивает сопоставимость Q п и Q э вне зависимости от количества рассматриваемых критериев.
Рассмотрим пример.
При сравнении двух образцов по трем потребительским критериям получили следующие пары значений: (a пi; qi ): (a п1; q 1), (a п2; q 2), (a п3; q 3). Тогда
. (6)
Дополнительное исследование рынка показало, что необходимо добавить еще один критерий, для которого а пi = а 4, qi = q 4. В результате, если пренебречь равенством (3), получим
, (7)
то есть сводный параметрический индекс конкурентоспособности увеличится даже в случае, если q 4 < 1, следовательно, наблюдается превосходство базисной модели.
На шестом этапе рассчитывается интегральный показатель конкуренто-способности (К ):
К = Q п/Q э. (8)
Экономический смысл интегрального показателя конкурентоспособности заключается в том, что на единицу затрат потребитель получает К единиц полезного эффекта . Если К > 1, то уровень качества выше уровня затрат и товар является конкурентоспособным, если К < 1 — неконкурентоспособным на данном рынке.
Данный метод имеет ряд недостатков:
1) во всех случаях предполагается линейная зависимость конкурентоспособности от значения критерия, то есть по всем параметрам эластичность спроса равна 1;
2) не учитывается то, что для некоторых критериев существуют ограничения, объективные или субъективные, при нарушении которых конкурентоспособность товара стремится к нулю;
3) при сравнении нескольких товаров необходимо проведение расчетов для каждой пары в отдельности;
4) сложно устанавливать весовые значения aij , особенно для большого количества критериев;
5) невозможно оценить степень влияния на конкурентоспособность товара факторов, не поддающихся количественной оценке;
6) данным методом рассчитывается конкурентоспособность одного объекта относительно другого, а не уровень конкурентоспособности объекта вообще;
7) существует определенная сложность выбора базы сравнения, особенно в случаях, когда в качестве таковой необходимо принять лучший из существующих образцов. Возникает вопрос: как определить, какой товар является лучшим? Поэтому либо необходимо предварительно сравнивать образцы между собой, либо имеет место интуитивный выбор. Можно брать в качестве базы сравнения лидера по продажам, но эта информация часто закрыта, субъективна и трудно собираема, особенно когда речь идет о товарах широкого потребления, которые распространяются по многим каналам сбыта, имеющим несколько уровней.
Собственно, указанные недостатки являются и ограничениями применения традиционного метода конкурентоспособности товара.
3.2. Определение конкурентоспособности с использованием функции желательности
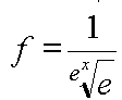
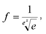
Использование функции желательности f для определения конкуренто-способности товара предложено Гончаровой Н.П.[9] Функция желательности определяется следующим образом:
, (9)
где е — основание натурального логарифма; х — приведенное значение исследуемого параметра объекта.
Функция определена в интервале 0...1 и используется в качестве безразмерной шкалы, названной шкалой желательности, для оценки уровней параметров сравниваемых объектов (изделий).
С помощью шкалы желательности оцениваются параметры объектов или изделий с точки зрения их пригодности к использованию, или желательности, по отношению к какому-либо практическому применению. Каждому фактическому значению функции желательности придается конкретный экономический смысл, связанный с уровнем конкурентоспособности исследуемого объекта или изделия. Причем значение функции желательности, равное 0, соответствует неприемлемому уровню параметра, при значении которого изделие непригодно для выполнения стоящих перед ним задач; значение функции желательности, равное 1,00, соответствует полностью приемлемому уровню параметра, либо такому значению параметра, при котором дальнейшее улучшение нецелесообразно или невозможно. Промежуточные значения функции желательности, их экономическая характеристика приведены в табл. 1.
Для выполнения дальнейших расчетов и графических построений необходимо получить значения приведенного параметра изделия, соответствующие узловым точкам шкалы желательности (табл. 1).
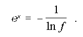
Из формулы, приведенной выше, определим нужное значение. С этой целью прологарифмируем обе части уравнения:

(10)
(11)
Повторное логарифмирование позволяет получить следующую зависимость:
x = –ln [–ln f ]. (12)
С целью обеспечения возможности использования функции желательности для оценки параметров различной размерности и порядка производится приведение параметров изделия р к значениям приведенного параметра x функции желательности f . Для этого по известным значениям x и р на границах интервалов функции желательности строится аппроксимирующая функция и определяются ее параметры (коэффициенты). Наиболее простая — это линейная функция вида
х = a х р + b , (13)
где a , b — коэффициенты аппроксимации.
Таблица 2 . Параметры функции желательности

Процедура получения оценки уровня параметра изделия по шкале (функции) желательности f включает следующие этапы:
а) определение значений приведенного параметра х , соответствующих узловым точкам шкалы желательности f ;
б) определение значений параметра p , соответствующих границам интервалов шкалы желательности f (согласно условиям (критериям), приведенным в табл. 1);
в) определение коэффициентов аппроксимации по данным х и р ;
г) вычисление значения x для конкретного значения оцениваемого параметра p ;
д) определение значения функции желательности f для оцениваемого параметра.
Очевидно, что результаты сравнительной оценки конкурентоспособности различных изделий-аналогов будут в значительной степени зависеть от того, какие конкретные значения на шкале параметров будут поставлены в соответствие границам интервалов шкалы желательности f . Если заранее неизвестны требования конкретных потребителей, данный метод рекомендует придерживаться следующих правил:
а) за f = 1,00 принимается уровень параметра, превышающий лучший мировой, или максимально возможный уровень, или уровень, улучшать который не имеет смысла;
б) за f = 0,80 принимается лучший мировой уровень, то есть наилучшее значение параметра среди всех рассматриваемых изделий;
в) за f = 0,20 принимается самый низкий уровень среди всех рассматриваемых изделий;
г) за f = 0,00 принимается наиболее низкий уровень значения исследуемого параметра изделия, который можно себе представить;
д) интервал на шкале параметров, соответствующий значениям функции желательности f = 0,20...0,80, следует разбить равномерно. При этом значения параметра p в точках, соответствующих значениям функции желательности 0,37 и 0,63, определяются из уравнения аппроксимации:
(14)
В качестве критериев оценки могут быть приняты как количественные, так и качественные измерители. В последнем случае оценки качественного параметра (например, имидж изделия или фирмы, его производящей) могут быть также сделаны в соответствии с рекомендациями, приведенными в табл. 1.
Имея оценки уровней отдельных параметров изделия, рассчитываем уровень конкурентоспособности всего изделия с помощью обобщенной функции желательности F :
, (15)
где f — значение функции желательности для i -го параметра изделия; n — количество анализируемых параметров изделия.
Сравнивая значение F различных изделий, определяем изделие, обладающее в данное время наилучшей совокупностью потребительских свойств. Этому изделию будет соответствовать наибольшее значение обобщенной функции желательности.
Данный метод страдает также рядом недостатков, а именно:
1) при расчете конкурентоспособности не учитывается различное влияние разных параметров на конкурентоспособность продукции;
2) для каждого из параметров предлагается определять только одну аппроксимирующую функцию. Это не всегда может обеспечить необходимую достоверность расчетов, особенно при использовании в качестве аппроксимирующей линейной функции. В данном случае предлагаем (если возможно получить значения р для всех узловых значений х ) строить аппроксимирующую функцию по узловым точкам, ближайшим к значениям параметра изделия;
3) на наш взгляд, экономически необоснованно использование функции
в качестве функции желательности. Очевидно, она была нужна по той причине, что принимает значения от 0 до 1, что для функции желательности предпочтительно.
Однако использование функции
ведет к получению искаженного значения показателя конкурентоспособности.
Исследование функции
показало, что данная функция является монотонно возрастающей на всей области определения: х
Э (–Ч; +Ч), причем
, т.е. ее значения лежат в интервале (0; 1).
Протабулируем данную функцию на отрезке [–4,0; 10,0] (расширять границы не имеет смысла, так как значения f (–4,0) и f (10,0) близки к предельным) с шагом 0,2. Кроме того, найдем приращение функции желательности на каждом шаге. По полученным значениям построим графики функции желательности и ее приращения (см. рисунок 1).
На рисунке 1 хорошо заметна неравномерность изменения функции желательности.
Для х Э[–1,8; 5,2] приращение функции составляет больше 0,001; для х Э[–1,4; 3,0] — больше 0,01, а для х Э[–0,6; 0,8] — больше 0,05. Для х Э[–1,8; 5,2] приращение незначительно и стремится к 0. Своего максимума изменения функция желательности достигает вблизи точки х =0. Таким образом, для объектов, у которых Х , т.е. приведенные значения параметра р , относительно близки к 0, различие значений функции желательности будет много больше, чем для объектов, у которых при той же разнице Х приведенные значения параметра отдалены от 0, что искажает действительность.

Рис. 1. Графики функции желательности и ее приращения
3.3. Определение конкурентоспособности продукции методом многокритериальной оптимизации
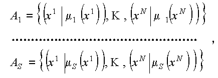
Рассмотрим постановку многокритериальной задачи ранжирования:
пусть имеется N
объектов
и каждому объекту присущи S
признаков, выраженных количественно. То есть имеется дискретный набор значений

где —
значение i
-го признака для j
-го объекта.
Желательным является выбор такого объекта, у которого значение любого признака является лучшим по сравнению с другими рассматриваемыми объектами. Очевидно, что такой объект не всегда существуют и у каждого есть свои преимущества и недостатки, особенно если S >> 1. Поэтому выбор такого объекта не всегда возможен. В этом случае одним из наиболее распространенных методов решения является метод, основанный на выделении множества Парето из множества всех объектов.
Определение.
Пусть имеется два вектора
Вектор называется оптимальным по Парето, если для
выполняются соотношения
и хотя бы для одного i
выполняется строгое неравенство.
Очевидно, что при этом не имеет смысла говорить о единственном решении, так как нет никакой информации для того, чтобы предпочесть один объект из множества Парето другому. Поэтому, если задача заключается в выборе единственного объекта, лицо, принимающее решение (ЛПР), должно выбрать решение, основываясь на ряде субъективных факторов. При этом ему приходится сравнивать между собой все объекты из множества Парето, то есть сначала необходимо установить приоритет (или ранг) для всех объектов из множества Парето, а затем выбрать в качестве единственного решения тот объект, который будет иметь наивысший приоритет (ранг).
Предлагаемый способ решения многокритериальных задач ранжирования можно разбить на следующие этапы:
Этап 1. Формулируется задача НМП (нечеткого математического программирования):
, (16)
где
— функция принадлежности элемента x j
ко множеству Ai
, характеризующая степень близости значения i
-го критерия в рассматриваемой пробной точке
к оптимальному значению данного критерия. Функции принадлежности строятся с помощью процедуры, выбираемой ЛПР. Сначала необходимо задать функции принадлежности
, а затем для каждого fi j
рассчитать значение
.
Этап 2.
На основе полученных значений
для каждого объекта рассчитывается агрегирующая функция:
, (17)
где * — некоторая бинарная операция.
Этап 3.
После осуществления этапа 2 каждому j
-му объекту будет соответствовать единственный числовой параметр
. Для определения оптимальной точки из числа всех пробных точек необходимо выбрать пробную точку с номером j
0, для которой
. (18)
Выбор вида функций принадлежности зависит от ряда субъективных факторов, которые обязательно присутствуют, так как выбор осуществляет ЛПР.
Выбор наиболее конкурентоспособного образца продукции — частный случай многокритериальной задачи ранжирования. Необходимо внести следующие изменения:
1) ввести ограничения для значений функции принадлежности: [0; 1]; значение функции принадлежности будет характеризовать степень удовлетворения потребности в i
-й характеристике j
-м образцом продукции. Причем если
= 0, то значение i
-й характеристики неудовлетворительно, а если
= 1, то потребность в i
-й характеристике удовлетворена полностью;
2) если нет возможности определить параметры функции принадлежности, то рекомендуется следующая процедура. Выберем объект
обладающий наилучшим значением признака
. Значение функции желательности для него составит
. Значение функции принадлежности для остальных объектов рассчитывается по формулам (19) и (20):
, (19)
если улучшению признака соответствует увеличение его значения;
, (20)
если улучшению признака соответствует уменьшение его значения;
3) для учета различного влияния разных показателей на агрегирующую функцию преобразовать формулу (14) в следующую:
, (21)
где М 1...M j — значение степени. Чем меньше значимость показателя, тем больше М (значение функции принадлежности лежит в интервале [0; 1], поэтому при возведении в бо2льшую степень получается меньший результат). Рекомендуем наиболее значимому фактору присваивать М = 1;
4) характеристики, так же как и в способе I оценки конкурентоспособности, разбить на потребительские и экономические. Для каждой из групп найти агрегирующую функцию
, которые предлагается рассчитывать как среднее геометрическое значений функции принадлежности по отдельным признакам, то есть:
; (22)
где Sэк и Sп — количество экономических и потребительских показателей, соответственно.
Показатель конкурентоспособности будет равен их произведению:
. (24)
Почему в качестве бинарной операции выбрана функция среднего геометрического, а не, к примеру, среднего арифметического?
Используя формулу среднего геометрического для расчета агрегирующих функций желательности, получаем, что при неудовлетворительном значении какого-либо признака (
= 0) объект является абсолютно неконкурентоспособным (Mj = 0, следовательно, и К
= 0), что соответствует действительности. Используя, например, формулу средней арифметической, в том же случае будет наблюдаться лишь незначительное снижение показателя конкурентоспособности К
.
§2. Оценка конкурентоспособности арланской и западносибирской (мегионской) нефти
Сравним уровень конкурентоспособности арланской и западно-сибирской (мегионской) нефти. Исходные данные приведены в табл. 3[10] .
Определим степень конкурентоспособности западно-сибирской нефти относительно арланской.
Таблица 3. Значения основных показателей качества арланской и западно-сибирской нефти

Расчет оценки конкурентоспособности первым (традиционным) методом представлен в табл. 4.
Таблица 4. Расчет показателя конкурентоспособности традиционным методом

В результате расчета традиционным методом получаем, что К <1, то есть западно-сибирская нефть менее конкурентоспособна, чем арланская.
Рассчитаем уровень конкурентоспособности нефти методом с использованием функции желательности.
Предположим, для узловых точек функции желательности f получены следующие значения параметров. Они представлены в табл. 5.
Таблица 5. Значения параметров в узловых точках функции желательности

Для расчета приведенных значений параметров нефти необходимо для каждого значения параметра найти ближайшие узловые точки и рассчитать по ним аппроксимирующую функцию, в качестве которой примем линейную функцию вида x = a х p + b , где р — значение параметра, х — приведенное значение параметра.
С помощью полученной аппроксимирующей функции найдем для каждого параметра его приведенное значение и значение функции желательности f , а также обобщенной функции желательности F . Расчет приведен в табл. 6.
Таблица 6. Значения коэффициентов аппроксимирующих функций, приведенных значений параметров и функции желательности

Значения цены попали в узловые точки, поэтому для них можно не рассчитывать аппроксимирующую функцию, а взять табличные значения х и f .
Расчет по второму методу показал результат, противоположный полученному при использовании традиционного способа. Но, как уже отмечалось выше, на обобщенную функцию желательности F все факторы имеют одинаковое влияние независимо от их значимости, что снижает достоверность результата.
Рассчитаем уровень конкурентоспособности третьим — предлагаемым — методом с помощью решения задачи многокритериального ранжирования.
Так как значения и функции принадлежности, и функции желательности лежат в интервале [0; 1] и обе функции используются для оценки значения показателя по степени удовлетворения потребности, то в расчетах можно использовать данные табл. 3 с заменой f на m и дифференциацией показателей на экономические и потребительские. По ним с помощью встроенных в среде Excel опций можно рассчитать коэффициенты аппроксимирующих функций для каждого показателя. Наилучший результат дает построение степенной функции 3-го порядка вида y = a . x 3 + b . x 2 + c . x + d . Результаты расчета приведены в табл. 7.
Таблица7. Значения параметров, соответствующие узловым точкам функции принадлежности, и коэффициенты аппроксимирующих функций

Подставив в полученные аппроксимирующие функции значения показателей, найдем значения функции принадлежности, а следовательно, и агрегирующей функции принадлежности (см. табл. 8).
Таблица8. Значения функции принадлежности и агрегирующей функции принадлежности

При расчете конкурентоспособности нефти первым и третьим методами получены идентичные результаты, а с использованием второго метода — противоположный результат.
На наш взгляд, поскольку третий метод является с точки зрения формализации наиболее обоснованным, то расчет конкурентоспособности продукции указанным методом показывает и более достоверные результаты; следовательно, его использование и предотвратит значительные убытки, и снизит риск вывода нового товара на рынок.
Одной из основных задач в деятельности производителя является управление разработкой и предложением потребителям товаров , которые удовлетворяют их потребности. Однако на рынке предложение товаров с аналогичными функциями осуществляется, как правило, несколькими производителями. Любая фирма заинтересована, чтобы ее товары наилучшим образом удовлетворяли потребности клиентов, т.е. являлись конкурентоспособными. Поэтому также важной задачей фирмы является управление конкурентоспособностью товара . Но, чтобы управлять конкурентоспособностью товара, нужно знать уровень его конкурентоспособности по отношению к товарам с аналогичными функциями, в чем и заключается главная задача оценки конкурентоспособности товара.
Определение уровня конкурентоспособности продукции в маркетинге является решающим фактором при выводе товара на рынок. Поэтому выбор метода оценки конкурентоспособности и обоснование этого метода могут повлиять на комплексный результат коммерческой деятельности фирмы.
1. Амбарцумов А.А., Стерликов Ф.Ф. 1000 терминов рыночной экономики: Справочное учебное пособие. — М.: Крон-Пресс, 1993. — 302 с.
2. Гончарова Н.П., Перерва П.Г. и др. Маркетинг инновационного процесса: Учебное пособие. — Киев: 1998. — 267 с.
3. Горбашко Е.А. Менеджмент качества и конкурентоспособности: Учебное пособие. — СПб.: Изд-во СПбГУЭФ, 1998. — 207 с.
4. Гурков И.Б., Титова Н.Л. Тенденции изменения конкурентоспособности отечественной продукции // Маркетинг. — 1997. — № 1.
5. Информационное обеспечение управления конкурентоспособностью / Под ред. проф. С.Г.Светунькова. Сайт "I.Marketing", 21.11.99. - http://www.marketing.spb.ru/read/m19/index.htm
6. Маркетинг: Учебник / Романов А.Н., Коряюгов Ю.Ю., Красильников С.А. и др.; Под ред. А.Н. Романова. — М.: Банки и биржи, ЮНИТИ, 1996. — 560 с.: ил.
7. Маслова Т.Д., Божук С.Г., Ковалик Л.Н. Маркетинг. – СПб.: Питер, 2002. – 400 с.: ил. – (Серия «Учебники для вузов»).
8. Новые нефти восточных районов СССР: Справочник / Под ред. С.Н. Павловой, З.В. Дриацкой. — М.: Химия, 1967. — 670 с.
9. Осипов Ю.М., Лобанов М.М., Основные принципы оценки конкурентоспособности продукции // Маркетинг в России и за рубежом №6 / 2001 – http://www.dis.ru/market – электронное издание.
10. Панкрухин А.П. Маркетинг: Учебник. – М.: ИКФ Омега-Л, 2002. –656с.
11. Радионова Л.Н., Кантор О.Г., Хакимова Ю.Р., Оценка конкурентоспособности продукции // Маркетинг в России и за рубежом №1 / 2000 – http://www.dis.ru/market – электронное издание.
12. Тарасова В.П., Крутикова Ф.А. Толковый словарь рыночной экономики. — М.: Рекламно-издательская фирма «Глория», 1993. — 302 с.
[1] Маркетинг: Учебник / Романов А.Н., Коряюгов Ю.Ю., Красильников С.А. и др.; Под ред. А.Н. Романова. — М.: Банки и биржи, ЮНИТИ, 1996 – с. 167
[2] Амбарцумов А.А., Стерликов Ф.Ф. 1000 терминов рыночной экономики: Справочное учебное пособие. — М.: Крон-Пресс, 1993 – с. 107
[3] Тарасова В.П., Крутикова Ф.А. Толковый словарь рыночной экономики. — М.: Рекламно-издательская фирма «Глория», 1993 – с. 106
[4] Горбашко Е.А. Менеджмент качества и конкурентоспособности: Учебное пособие. — СПб.: Изд-во СПбГУЭФ, 1998 – с. 7
[5] Под субъектами рынка понимаются только производитель и потребитель.
[6] Осипов Ю.М., Лобанов М.М., Основные принципы оценки конкурентоспособности продукции // Маркетинг в России и за рубежом №6 / 2001 – http://www.dis.ru/market – электронное издание.
[7] Гурков И.Б., Титова Н.Л. Тенденции изменения конкурентоспособности отечественной продукции // Маркетинг. — 1997. — № 1. — С. 20—31.
[8] Осипов Ю.М., Лобанов М.М., Основные принципы оценки конкурентоспособности продукции // Маркетинг в России и за рубежом №6 / 2001 – http://www.dis.ru/market – электронное издание.
[9] Гончарова Н.П., Перерва П.Г. и др. Маркетинг инновационного процесса: Учебное пособие. — Киев: 1998. — 267 с.
[10] Новые нефти восточных районов СССР: Справочник / Под ред. С.Н. Павловой, З.В. Дриацкой. — М.: Химия, 1967 – с. 245