| Скачать .docx |
Реферат: Уравнения в полных дифференциалах. Интегрирующий множитель
УРАВНЕНИЯ В ПОЛНЫХ ДИФФЕРЕНЦИАЛАХ. ИНТЕГРИРУЮЩИЙ МНОЖИТЕЛЬ
СОДЕРЖАНИЕ
1. Уравнение в полных дифференциалах. 3
СПИСОК ИСПОЛЬЗОВАННОЙ ЛИТЕРАТУРЫ.. 10
Многие физические законы, которым подчиняются те или иные явления, записываются в виде математического уравнения, выражающего определенную зависимость между какими-то величинами. Часто речь идет о соотношении между величинами, изменяющимися с течением времени, например экономичность двигателя, измеряемая расстоянием, которое автомашина может проехать на одном литре горючего, зависит от скорости движения автомашины.
Соответствующее уравнение содержит одну или несколько функций и их производных и называется дифференциальным уравнением. Большое значение, которое имеют дифференциальные уравнения для математики и, особенно для ее приложений, объясняются тем, что к решению таких уравнений сводится исследование многих физических и технических задач.
Дифференциальное уравнение является основой математического моделирования. Дифференциальным уравнением называется соотношение между функциями и их производными. Если функции одной переменной, то имеем обыкновенные дифференциальные уравнения, если функции нескольких переменных, то дифференциальное уравнение в частных производных[1] .
Дифференциальные уравнения играют существенную роль и в других науках, таких, как биология, экономика и электротехника; в действительности, они возникают везде, где есть необходимость количественного (числового) описания явлений (коль скоро окружающий мир изменяется во времени, а условия изменяются от одного места к другому).
1. Уравнение в полных дифференциалах.
Пусть уравнение вида f(t, x)dx + g(t,x)dt = 0, F (t, x) = C является уравнением в полных дифференциалах , т. е. существует такая дифференцируемая функция F (t, x), что
dF (t, x) = f(t, x)dx + g(t, x)dt ((t, x) О D (f) = D (g)).
Тогда следующее уравнение является его полным интегралом:
F (t , x ) = C (t , x Î D 1 ).
Доказательство. Пусть функции t = y(s ), x = j(s ) определены на некотором промежутке J Ì R . Тот факт, что пара (y, j) есть решение уравнения f(t, x)dx + g(t,x)dt = 0, F (t, x) = C эквивалентен тождеству
[f (t , x )dx + g (t , x )dt ]|t = y , dt = y¢ ds , x = j , dx = j¢ ds º 0,
которое, в свою очередь эквивалентно тождеству
[d F(t , x )]|t = y , dt = y¢ ds , x = j , dx = j¢ ds º 0.
Последнее в точности означает, что
d [F(t , x )]|t = y , x = j º 0 и y, j Î D 1 ,
или, что, то же,
F[y(s ), j(s )] º C и y, j Î D 1 .
Таким образом, f(t, x)dx + g(t,x)dt = 0, F (t, x) = C
Û F(t , x ) = C (t , x Î D 1 ).
Для уравнения с разделяющимися переменными f (x )dx – g (t )dt = 0 существует функция F(t , x ) = F (x ) – G (t ), дифференциал которой совпадает с левой частью этого уравнения. Следовательно, это есть частный случай уравнения в полных дифференциалах.
Обобщенное утверждение об уравнении в полных дифференциалах [2] . Пусть в уравнении
f 1 (x )dx 1 + f 2 (x )dx 2 + ... + fn (x )dxn = 0
функции fi (x) = fi (x1 , ..., xn ) непрерывны вместе со своими частными производными ¶fi /¶xk (i ¹ k) на декартовом произведении интервалов J1 × J2 ×... × Jn = D.
Тогда левая часть уравнения f 1 (x )dx 1 + f 2 (x )dx 2 + ... + fn (x )dxn = 0 будет полным дифференциалом некоторой функции F(x) в том и только том случае, если
| ¶Fi ¶xk |
= |
¶Fk ¶xi |
(i , k = 1, 2, ..., n ; i ¹ k ; x Î D). |
При этом функция F находится по формуле
| F(x ) = |
n
|
ò |
xk
|
f (x 1 , ..., xk –1 , x, x 0 k +1 , ..., x 0 n ) d x |
(x0 k Î Jk — произвольные фиксированные точки), а полный интеграл уравнения f 1 (x )dx 1 + f 2 (x )dx 2 + ... + fn (x )dxn = 0 можно записать в виде:
F(x ) = C (x Î D 1 ).
В частности, условиям данной теоремы удовлетворяет уравнение с разделенными переменными
f 1 (x 1 )dx 1 + f 2 (x 2 )dx 2 + ... + fn (xn )dxn = 0,
если функции fk : Jk ® R непрерывны; полный интеграл имеет вид
F 1 (x 1 ) + F 2 (x 2 ) + ... + Fn (xn ) = 0,
где Fk –первообразная fk (k = 1, ..., n ).
Итак, если для уравнения f(t, x)dx + g(t,x)dt = 0, F (t, x) = C условие полного дифференциала (необходимый признак уравнения в полных дифференциалах:
| ¶f ¶t |
= |
¶g ¶x |
((t , x ) Î J 1 ×J 2 ). |
не выполнено, то иногда удается найти функцию m = m(t , x ), такую, что для уравнения
m · f (t , x )dx + m · g (t , x )dt = 0
оно уже выполнено. В этом случае функция m называется интегрирующим множителем . Общего способа нахождения интегрирующего множителя не существует, однако можно указать простые признаки существования и прием построения интегрирующих множителей, зависящих только от x или только от t.
Если, например, считать, что m зависит только от x, то
| ¶m · f ¶t |
= m |
¶f ¶t |
= |
¶m · g ¶x |
= m¢ + m |
¶g ¶x |
, |
и аналог условия
| ¶f ¶t |
= |
¶g ¶x |
((t , x ) Î J 1 ×J 2 ). |
для m · f (t , x )dx + m · g (t , x )dt = 0 выглядит так:
| m¢ = |
é |
æ |
¶f ¶t |
– |
¶g ¶x |
ö |
/ |
g |
ù |
· m. |
Если выражение в квадратных скобках не зависит от t , то
| m¢ = |
é |
æ |
¶f ¶t |
– |
¶g ¶x |
ö |
/ |
g |
ù |
· m. |
есть линейное однородное уравнение относительно m = m(x ); оно легко решается и дает интегрирующий множитель для f(t, x)dx + g(t,x)dt = 0, F (t, x) = C .
Аналогично ищется интегрирующий множитель, зависящий только от t .
Найдем интегрирующий множитель m = m(x ) для уравнения
(3t 2 /x 2 – 1)dt + (3 – 2t /x )dx = 0
(оно получено почленным делением уравнения (3t 2 – x 2 )dt + (3x 2 – 2tx )dx = 0 на x 2 , поэтому мы заранее знаем, что интегрирующий множитель m = x 2 существует). Выпишем для уравнения (3t 2 /x 2 – 1)dt + (3 – 2t /x )dx = 0, умноженного почленно на m, условие полного дифференциала:
| ¶m · (3 – 2t /x ) ¶t |
= m · |
æ |
– |
2 x |
ö |
; |
| ¶m · (3t 2 /x 2 – 1) ¶x |
= m¢(3t 2 /x 2 – 1) + m · |
æ |
– |
6t 2 x 3 |
ö |
; |
,
| m¢ = |
é |
æ |
– |
2 x |
+ |
6t 2 x 3 |
ö |
/ |
(3t 2 /x 2 – 1) |
ù |
· m = |
2 x |
m. |
Поскольку выражение в квадратных скобках оказалось не зависящим от t , искомый интегрирующий множитель существует и находится из уравнения:
| ¶m m |
= |
2dx x |
; m = Cx 2 . |
В частности, мы получили уже известный нам заранее интегрирующий множитель m = x 2 .
Одним из распространенных способов изучения явлений математическими методами является моделирование этих явлений в виде дифференциальных уравнений[3] .
Дифференциальным уравнением называется уравнение, связывающее независимые переменные, искомую функцию и их производные.
Если искомая функция y является функцией одного аргумента x, то дифференциальное уравнение называется обыкновенным дифференциальным уравнением. Если искомая функция зависит от нескольких аргументов, то дифференциальное уравнение называется уравнением в частных производных.
Если в дифференциальном уравнении
![]()
функции М
(х
, у
) и N
(x
, y
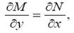
) удовлетворяют условию
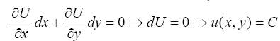
такое уравнение называется уравнением в полных дифференциалах. Смысл названия объясняется тем, что при этом существует функция U (x, y) такая, что

Тогда из уравнения
![]()
следует, что

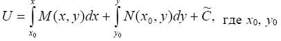
что является общим интегралом исходного уравнения. Таким образом, задача сводится к отысканию функции U . Ее можно найти в виде:

любые числа, входящие в область определения функций М
и N
, а
– произвольная постоянная.
Интегрирующий множитель, множитель, после умножения на который левая часть дифференциального уравнения
![]()
обращается в полный дифференциал (дифференциальное исчисление) некоторой функции V(x, y). T. о., если
Если
множитель мю (x,y) известен, то задача интегрирования уравнения (*) сводится к квадратурам, т. к. остаётся найти функцию U(x, y) по её полному дифференциалу[4]
.
В нашем реферате мы рассмотрели уравнение в полных дифференциалах и интегрирующий множитель.
СПИСОК ИСПОЛЬЗОВАННОЙ ЛИТЕРАТУРЫ
1. Берман Г.Н Сборник задач по курсу математического анализа. - М.: Наука, 2005. - 384с.
2. Бибиков Ю.Р. Курс обыкновенных дифференциальных уравнений. – М.: Высшая школа, 2002. – 304 с.
3. Бугров Я. С., Никольский С. М. Высшая математика. Дифференциальное и интегральное исчисление. – М.: Наука, 2002.
4. Бугров Я.С., Никольский С. М. Высшая математика. Дифференциальные уравнения. Кратные интегралы. Ряды. Функции комплексного переменного. – М.: Наука, 2003.
5. Данко П.Е., Попов А.Г., Кожевникова Т.Я. Высшая математика в упражнениях и задачах. – М.: Высшая школа, 2001, ч. I, II.
6. Задачи и упражнения по математическому анализу / Под ред. Б.П. Демидовича. - М.: Наука, 2001. - 416 с.
7. Краснов М.Л., Киселев А.И., Макаренко Г.И. Сборник задач по обыкновенным дифференциальным уравнениям. – М., Высш. школа, 2001.
8. Пискунов Н. С. Дифференциальное и интегральное исчисления для втузов. – М.: Наука, 2002.
9. Понтрягин Л.С. Обыкновенные дифференциальные уравнения. – М.: Наука, 1999. – 332 с.
10. Самойленко А.М., Кривошея С.А., Перестюк Н.А. Дифференциальные уравнения:примеры и задачи. – М.: Высшая школа, 2003. – 383 с.
[1] Бибиков Ю.Р. Курс обыкновенных дифференциальных уравнений. – М.: Высшая школа, 2002. – 304 с.
[2] Задачи и упражнения по математическому анализу / Под ред. Б.П. Демидовича. - М.: Наука, 2001. - 416 с.
[3] Понтрягин Л.С. Обыкновенные дифференциальные уравнения. – М.: Наука, 1999. – 332 с.
[4] Краснов М.Л., Киселев А.И., Макаренко Г.И. Сборник задач по обыкновенным дифференциальным уравнениям. – М., Высш. школа, 2001.