| Скачать .docx |
Реферат: Дарья. Шестак О. Н. 2010 г. Абай Содержание. Введение. Основное
Теорема Пифагора.
Выполнили:
ученицы 7«Б» класса
школы – лицей №14
Пахалюк Светлана
Челнокова Дарья.
Руководитель:
Шестак О.Н.
2010 г. Абай
Содержание.
1. Введение.
2.Основное содержание
· теорема Пифагора
· историческая справка
· решение уравнения второй степени с тремя неизвестными.
· Задачи.
3.Великие тайны теоремы.
4. Вывод.
5. Литература.
Введение.
Цель: поиск решений квадратных уравнений с тремя неизвестными.
Задачи:
1. Рассмотреть теорему Пифагора как источник замечательных математических открытий.
2. Использовать полученные знания на уроках алгебры и геометрии.
3. Найти решения уравнения с тремя неизвестными
«Геометрия владеет двумя
сокровищами: одно из них
– это теорема Пифагора»
Иоганн Кеплер
Теорема Пифагора!
Без преувеличения можно сказать, что это самая известная теорема геометрии, ибо о ней знает подавляющее большинство населения планеты, хотя доказать ее способна лишь очень незначительная его часть.
В чём же причина такой популярности «Пифагоровых штанов»? Знатоки утверждают, что причин здесь три:
1.Простота
2. Значимость
3.Красота
Формулировки теоремы Пифагора различны. Общепризнанной считается следующая: «В прямоугольном треугольнике квадрат гипотенузы равен сумме квадратов катетов» .
Во времена Пифагора формулировка теоремы звучала так: «Квадрат, построенный на гипотенузе прямоугольного треугольника, равновелик сумме квадратов, построенных на катетах».
Теорему можно сформулировать и по-другому:
Если дан нам треугольник
И притом с прямым углом,
То квадрат гипотенузы
Мы всегда легко найдем:
Катеты в квадрат возводим,
Сумму степеней находим —
И таким простым путем
К результату мы придем.
Доказательство теоремы считалось в кругах учащихся средних веков очень трудным и называлось:
“Dons asinorum” - «ослиный мост» или “elefuga” - «бегство убогих»
а сама теорема – «ветряной мельницей», «теоремой – бабочкой» или «теоремой невесты»
Сейчас известно около 150 различных доказательств этой теоремы
(геометрических, алгебраических, механических и т.д.)

- У Евклида эта теорема гласит (дословный перевод): "В прямоугольном треугольнике квадрат стороны, натянутой над прямым углом, равен квадратам на сторонах, заключающих прямой угол".
- Латинский перевод арабского текста Аннаирици (около 900 г. до н. э. ), сделанный Герхардом Клемонским (начало XII в.), в переводе на русский гласит: "Во всяком прямоугольном треугольнике квадрат, образованный на стороне, натянутой над прямым углом, равен сумме двух квадратов, образованных на двух сторонах, заключающих прямой угол" .
- В Geometria Culmonensis (около 1400 г.) в переводе теорема читается так : "Итак, площадь квадрата, измеренного по длинной стороне, столь же велика, как у двух квадратов, которые измерены по двум сторонам его, примыкающим к прямому углу" .
- В первом русском переводе евклидовых "Начал", сделанном Ф. И. Петрушевским, теорема Пифагора изложена так: "В прямоугольных треугольниках квадрат из стороны, противолежащей прямому углу, равен сумме квадратов из сторон, содержащих прямой угол" .
- Более строгой надо считать такую формулировку: «Если гипотенуза и катеты прямоугольного треугольника измерены одной и той же единицей длины, то квадрат числового значения длины гипотенузы равен сумме квадратов числовых значений длин катетов».

- Доказательства, основанные на использовании понятия равновеликости фигур
- Аддитивные доказательства (основаны на разложении квадратов, построенных на катетах, на фигуры, из которых можно сложить квадрат, построенный на гипотенузе
- Доказательства методом достроения
- Алгебраический метод доказательства
- И т.д.
Среди многочисленных доказательств теоремы Пифагора методом разложения есть и два таких, что их с полным правом можно назвать шедеврами, настолько они красивы и просты до гениальности. Первое (рис.1) принадлежит иранскому математику ан-Найризи (конец IX - начало Х века), комментатору Евклида, а второе (рис.2) — лондонскому биржевому маклеру и астроному-любителю Генри Перигэлу, опубликовавшему его в 1873 году. На этих рисунках тоже все настолько ясно, что указание Бхаскары и здесь остается в силе.
![]() |
![]() |
Не подлежит, однако, сомнению, что эту теорему знали за много лет до Пифагора. Так, за 1500 лет до Пифагора древние египтяне знали о том, что треугольник со сторонами 3, 4 и 5 является прямоугольным, и пользовались этим свойством (т. е. теоремой, обратной теореме Пифагора) для построения прямых углов при планировке земельных участков и сооружений зданий.
Да и поныне сельские строители, и плотники, закладывая фундамент избы, изготовляя ее детали, вычерчивают этот треугольник, чтобы получить прямой угол. Это же самое проделывалось тысячи лет назад при строительстве великолепных храмов в Египте, Вавилоне, Китае, вероятно, и в Мексике.
Как свидетельствуют летописи, в Древнем Китае уже около 2200 года до н.э. для треугольника со сторонами 3, 4, 5 было найдено правило «гоу-гу», с помощью которого можно было по известным гипотенузе и одному из катетов находить другой неизвестный катет, а также гипотенузу, если известны оба катета.
В самом древнем индийском геометрическом сборнике «Сульвасутра» («Правила веревки», 600 год до н.э.), представляющем собой своеобразную инструкцию по сооружению алтарей в храмах, даются правила построения прямых углов при помощи веревки с узлами, расстояния между которыми равны 15, 36 и 39 падас (мера длины). Алтари по священному предписанию должны иметь строгую геометрическую форму, ориентированную относительно четырех сторон горизонта.
![]() |
|
4 5
3
В Древнем Вавилоне это свойство не только треугольника со сторонами 3, 4, 5, но и вообще всех прямоугольных треугольников было хорошо известно. Так, в одном из самых ранних вавилонских математических текстов содержится следующая изящная задача:
«Палка длиной 1/2, прислонена
к стене. Ее верхний конец
опустили на 1/10. Как далеко
отодвинется ее нижний конец?»
Решение.
В задаче, как видим, по данным гипотенузе c = 1/2 и одному из катетов
b = 1/2 - 1/10 = 2/5 необходимо найти второй катет. Его, как и положено, вавилонянин определяет «по Пифагору»:

Большая часть доказательств теоремы Пифагора выполнена геометрическими методами, среди которых значительное место занимает метод разложения. Сущность метода разложения заключается в том, что квадрат, построенный на гипотенузе, с одной стороны, и квадраты, построенные на катетах, с другой, складываются из равных частей. Простейший пример применения этого метода имеем при доказательстве теоремы Пифагора для равнобедренного прямоугольного треугольника (см. рис.). Из этого рисунка все так понятно, что комментировать его не требуется. Как писал в подобных случаях индийский математик XII века Бхаскара: «Смотри!»

Историческая справка.
Кто и когда придумал первое уравнение? Ответить на этот вопрос не возможно. Задачи, сводящиеся к простейшим уравнениям ,люди решали на основе здравого смысла с того времени, как они стали людьми.
Еще древние египтяне для удобства рассуждений придумали специальное слово, обозначающее неизвестное число, но так как у них не было еще знаков равенства и знаков действий, то записывать уравнения они, конечно не умели.
Первый по-настоящему серьезный шаг в этом направлении сделал замечательный александрийский ученый Диофант, использовавший в своем творчестве достижения египтян, вавилонян и греков. Именно Диофант придумал обозначения для неизвестных. Жил Диофант, по-видимому, в 3 веке нашей эры, остальные известные нам факты его биографии исчерпываются таким стихотворением – загадкой, по преданию выгравированным на его надгробии:
Путник! Здесь прах погребён Диофанта,
И числа поведать могут, о чудо, сколь долг был век его жизни.
Часть шестую его представляло счастливое детство.
Двенадцатая часть протекла ещё жизни –
Пухом покрылся тогда подбородок.
Седьмую в бездетном браке провёл Диофант.
Прошло пятилетье.
Он был осчастливлен рожденьем прекрасного первенства сына,
Коему рок половину лишь жизни счастливой и светлой
Дал на земле по сравненью с отцом.
И в печали глубокой старец земного удела конец воспринял,
Переживши года четыре с тех пор, как сына лишился,
Скажи, сколько лет жизни достигнув,
Смерть воспринял Диофант?
В средневековой Европе мысли Диофанта получили большое распространение и развитие. В 17-18 веках буквами для обозначения неизвестных стали пользоваться все математики. Большое влияние на развитие математики в Европе оказало сочинение Мухаммеда бен Муса аль-Хорезми, которое по-арабски называется «Китаб аль-джебр валь-мукабала». А само слово «аль-джебр», входившее в название книги, постепенно стало названием науки- алгебра. В труде Мухаммеда бен Муса аль-Хорезми «Китаб аль-джебр валь-мукабала» есть очень много старинных задач из разных народов. Вот только некоторые из них:
1. Древнеегипетская задача.
Количество и его четвертая часть дают вместе 15. Найти количество, при этом решив задачу в уме.
2. старинная русская задача.
Вопросил некто некоего учителя: «Сколько имеешь учеников у себя, так как хочу отдать сына к тебе в училище». Учитель же ответил: «Если ко мне придёт ещё столько же, сколько имею, и полстолько, и четвёртая часть, и твой сын, тогда будет у меня учеников 100. Сколько было у учителя учеников?
3. Древнеиндийская задача.
Есть камбада цветок.
На один лепесток пчёлок пятая часть опустилась.
Рядом тут же росла вся в цвету сименгда,
И на ней третья часть поместилась.
Разность ты их найди, трижды ты их сложи,
На кутай этих пчёл посади.
Лишь одна не нашла себе места нигде,
Всё летала то взад, то вперёд
И везде ароматом цветов наслаждалась.
Назови теперь мне, подсчитавши в уме,
Сколько пчёлок всего здесь собралось?
В «Китаб аль-джебр валь-мукабала» нет двух очень важных для решения уравнения вещей. Во-первых, Аль-Хорезми не был знаком с «Арифметикой» Диофанта и поэтому не использовал изобретенных им отрицательных чисел. Во-вторых, он совсем не использовал никаких букв и чисел, кроме обозначения цифрами чисел. Алгебра совсем без букв, все на словах, все в уме. Такая алгебра – её позднее назвали риторической – требовала большого мастерства и была очень трудной. Совсем трудно стало тогда, когда люди научились решать уравнение не только первой степени и не только с одним неизвестным.
Решение уравнения второй степени с тремя неизвестными.
В своей работе мы хотим уделить внимание одному из таких уравнений:
Оно относится к так называемым «диофантовым», решением которых являются целые числа. Одна частная задача на данное неопределенное уравнение возникла примерно за 2 тыс. лет до Диофанта в Древнем Египте: если стороны треугольника пропорциональны числам 3,4,5 то этот треугольник прямоугольный. Этот факт использовали для построения на местности прямых углов – ведь оптических измерительных приборов тогда еще не было, а для строительства домов, дворцов и тем более гигантских пирамид это надо было уметь. Поступали довольно просто. На верёвке на равном расстоянии друг от друга завязывали узлы. В точке С, где надо было построить прямой угол, забивали колышек, веревку натягивали в направлении, нужном строителям, забивали второй колышек в точке B (СВ=4) и натягивали веревку так, чтобы АС=3 и АВ=5. Треугольник с такими длинами сторон называют египетским. Безошибочность такого построения следует из теоремы, обратной теореме Пифагора: если сумма квадратов двух сторон треугольника равна квадрату третьей стороны, то такой треугольник является прямоугольным. Иначе говоря, числа 3,4.5 являются корнями уравнения
Сразу же возникает вопрос: нет ли у этого уравнения других целочисленных значений, и нельзя ли, взяв произвольно одно из чисел, указать остальные два. Такие вопросы интересовали еще мудрецов Древнего Вавилона. они нашли ответы на них, знал это и Пифагор.
Один из путей решения уравнения
в целых числах оказался довольно простым. Запишем подряд квадраты натуральных чисел, отделив, их друг от друга запятой. Под каждой запятой подпишем разность между последовательными квадратами:

1 , 4 , 9 , 16 , 25 , 36 , 49 , 64 , 81 , 100 , 121 , 144 , 169 , 196 , 225 , 256… .
3, 5, 7, 9, 11, 13, 15, 17, 19, 21, 23, 25, 27, 29, 31… .
А теперь внимание! В нижней строке есть квадратные числа! Первое из них 9=
, над ним
16=
и 25=, з знакомая нам тройка 3, 4, 5.
Следующее квадратное число в нижней строке 25, ему соответствуют 144 и 169, отсюда находим вторую известную нам тройку 5, 12, 13. Если продолжить строку квадратных чисел и посчитать соответствующие разности, то во второй строке найдёте 49=
, этому числу отвечают в строке квадратов 576=
и 625=
. И действительно,
+
=
. Это уже третья тройка. Она была известна еще в Древнем Египте. Кстати, теперь мы имеем право сформулировать такую теорему:
КАЖДОЕ НЕЧЁТНОЕ ЧИСЛО ЕСТЬ РАЗНОСТЬ ДВУХ ПОСЛЕДОВАТЕЛЬНЫХ КВАДРАТОВ.
Составлять такие строки (лучше говорить «последовательности») – довольно скучное и трудоемкое занятие. По формулам находить такие тройки чисел и проще и быстрее. Эти формулы-правила были известны уже две с половиной тысячи лет назад.
Проверьте что если x - нечетное число, то y=
и z=
. Проверьте также, что в этом случае равенство
выполняется, т.е. числа, найденные по такому правилу, всегда будут составлять решение интересующего нас неопределенного уравнения. Это уравнение будем называть «уравнением Пифагора», а его решения – «пифагоровыми тройками». По этому правилу можно получить уже известные нам тройки:
Если x=3, то y=
=4, z=
=5, получилась первая пифагорова тройка;
Если x=5, то y=
=12, z=
=13, вторая пифагорова тройка;
Если x=7, то y=
=24, z=
=25, третья тройка;
Других мы пока не знаем, но следующее за 7 нечетное число 9, тогда y=40 и z=41.
Проверим наша вычисления:
![]()
Следующим шагом было установление правила вычисления всех, а не только некоторых пифагоровых троек. Сделаем этот шаг и мы.
Перепишем уравнение Пифагора следующим образом:
;
.
Это означает, что число x должно разлагаться на два неравных множителя z+y и z-y, которые мы обозначим так, что получится система:
![]()
Почему написаны коэффициенты 2 и почему написаны квадраты, а не просто числа a и b? Это сделано с целью получить аккуратные ответы. Решив эту систему, получим:
![]()
z = = ; y= ; x=2ab
(при этом надо иметь в виду, что a>b).
Из этого следует, что наименьшим значением числа b может быть только единица, тогда наименьшим значением a будет 2. Вычислим x, y, z. Получается z=5, y=3, x=4, это уже известный нам «египетский треугольник». А теперь составим таблицу.
Длины сторон (целочисленные) прямоугольных треугольников .
|
|
2 |
3 |
4 |
5 |
6 |
| 1 2 3 4 |
3, 4, 5 |
6, 8, 10 5, 12, 13 |
8, 15, 17 12, 16, 20 7, 24, 25 |
10, 24, 26 20, 21, 29 |
12, 35, 37 24, 32, 40 27, 36, 45 |
![]() |
1.Старинная задача.
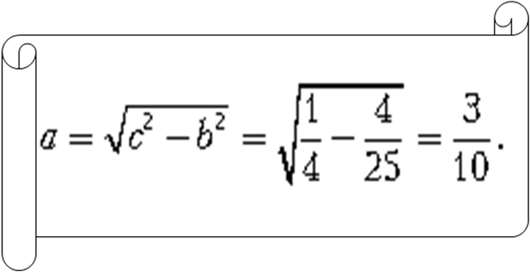
Случися некоему человеку к стене лествицу прибрати, у стены же тоя высота есть 117 стоп. И ведати хощет Колико стоп сея лествицы нижний конец от стены отстояти имать.
Решение:
1252 =1172 +х2
![]()
Х2
=1252
-1172
Х2
=(125-117)(125+117)
Х2
=8*242
117 125 Х2
=4*4*121
X = 2*2*11
?
X = 44(стопы) – нижний конец
Х лестницы отстоит от стены
2. Задача индусов
Над озером тихим,
С полфута размером высился лотоса цвет.
Он рос одиноко. И ветер порывом
Отнес его в сторону. Нет
Боле цветка над водой.
Нашел же рыбак его ранней весной
В двух футах от места, где рос.
Итак, предложу я вопрос:
Как озера вода здесь глубока?
Решение:
![]()
![]()
2
(Х + ½)^2 – X^2 = 2^2
X^2 + X + ¼ - X^2 = 4
х х+1/2 X = 3 ¾ (футов) –
глубина озера
Первая тайна заключается в таком множестве названий: «теорема бабочки», «т. невесты», «т. нимфы», « т. 100 быков», «бегство убогих», «мост ослов», «ветряная мельница». Думаю, что не найти другой теоремы, которая имела бы столько всевозможных названий!
Вторая тайна – точно неустановленное количество доказательств знаменитой теоремы Пифагора Самосского. Именно по этому поводу я решила провести социологический опрос, который показал, что большинство людей старшего поколения согласны с существованием 250 доказательств, хотя мне из дополнительных источников известно, что существует более 350 доказательств этой теоремы, поэтому она даже попала в Книгу рекордов Гиннеса! Но, конечно же, принципиально различных идей в этих доказательствах используется сравнительно немного.
Третья тайна – это то, что теорема Пифагора является сегодня символом математики.
Четвёртая тайна – теорема Пифагора представляет нам богатейший материал для обобщения – важнейшего вида мыслительной деятельности, основы теоретического мышления, которым в совершенстве владеют многие учёные. Здесь можно добавить, что от теоремы Пифагора можно перейти к другим теоремам.
Пятая тайна заключается в том, что некоторые исследователи приписывают Пифагору доказательство, которое Евклид приводил в первой книге своих «Начал». С другой стороны, Прокл (математик V в.) утверждал, что доказательство в «Началах» принадлежало самому Евклиду. Но всё-таки сегодня способ доказательства Пифагора остаётся неизвестным.
Шестая тайна – легенды о самом Пифагоре, человеке, который первым доказал эту теорему. Существует легенда, что когда Пифагор Самосский доказал свою теорему, он отблагодарил богов, принеся в жертву 100 быков. Также о гипнотических способностях учёного ходили легенды: будто он одним своим взглядом мог менять направление полёта птиц. А ещё рассказывали, что этого удивительного человека одновременно видели в разных городах, между которыми было несколько дней пути. И что ему якобы принадлежало «колесо фортуны», вращая которое, он не только предсказывал будущее, но и вмешивался, если это было необходимо, в ход событий.
Теорема Пифагора действительно занимает важное место в математике, с ее помощью можно вывести большинство теорем геометрии и решить множество не только математических задач. Прошло уже много лет с того момента, когда эта теорема была впервые открыта и доказана, но она до сих пор продолжает привлекать внимание многих исследователей, учёных, учеников…
Литература
1. Л. Ф. Пичурин « За страницами учебника алгебры
2. А. И. Кострикин «Введение в алгебру»
3. П.С. Александров «Курс линейной алгебры»
4. В. К. Смышляев «О математике и математиках»
5. А.В. Волошин «Пифагор»
6. В. Литурман «Теорема Пифагора»
7. А.Свешникова «Путешествие в историю математики»



