| Скачать .docx |
Реферат: О выборе рациональных размеров сегнетоэлектрического рабочего тела импульсного генератора напряжения
.
к.т.н. Д.В. Третьяков
1. Введение
В статье рассматривается генератор электрического напряжения, преобразующий энергию механического удара в электрическую энергию. Основным элементом рассматриваемого генератора является сегнетоэлектрическое рабочее тело, по которому в процессе функционирования генератора движется ударная волна. Нагрузкой для рассматриваемого генератора является конденсатор, а индуктивность и активное сопротивление нагрузки незначительны.
В настоящей статье предлагаются оценочные эмпирические зависимости, по которым может быть проведен предварительный выбор геометрических размеров сегнетоэлектрического рабочего тела. Также указываются методы уточнения параметров генератора в процессе его конструкторской отработки.
2. Конструкция генератора.
Как уже указывалось выше, основным элементом рассматриваемого генератора является сегнетоэлектрическое рабочее тело. В общем случае, в рабочем теле возможно формирование ударной волны, движущейся в направлении коллинеарном или перпендикулярном направлению спонтанной поляризации сегнетоэлектрического материала. Отличие в физических процессах при различных направлениях движения фронта ударной волны анализируется в работах /1,2/. Окончательный выбор рационального направления движения фронта ударной волны может быть сделан только с учетом конкретного типа и назначения проектируемого взрывного генератора. Так, при разработках малогабаритных источников СВЧ v излучения во многих удачных конструкциях направление движения фронта ударной волны было коллинеарно направлению спонтанной поляризации рабочего тела /3/. Для рассматриваемого в настоящей статье взрывного генератора электрического напряжения, как следует из предшествующих работ и как показали эксперименты, проведенные автором, предпочтительным является направление движения фронта ударной волны перпендикулярное направлению спонтанной поляризации рабочего тела.
При указанном выборе направления движения фронта ударной волны, рабочее тело представляет собой параллелепипед из сегнетоэлектрического материала, противоположные грани которого имеют металлическое покрытие. Обозначение размеров рабочего тела приведено на рис. 1.
Существуют различные известные методы для формирования в рабочем теле ударной волны, заданной формы. Минимальная масса конструкции генератора может быть достигнута при формировании ударной волны за счет срабатывания небольшого заряда взрывчатого вещества /4,5/ массой 1-3 грамма. 
Рис. 1. Сегнетоэлектрическое рабочее тело.
3. Физические процессы, протекающие в генераторе. Эквивалентная схема генератора.
Возможны два подхода к описанию процессов происходящих в генераторе. Во-первых, это модель процесса, основанная на описании пьезоэлектрического эффекта. Для большого числа применяемых на практике сегнетоэлектрических источников электрического напряжения единственно применимой является только эта модель. Во-вторых, следует отметить модель, предполагающую, что по рабочему телу движется ударная волна, которая имеет интенсивность, достаточную для перевода материала из сегнетоэлектрического в параэлектрическое состояние. В этой модели именно изменение состояния материала обуславливает генерацию электрического напряжения. В частности, этот подход описан в работах /1-5/ и ряде других работ. Такой подход предполагается и в настоящей статье.

Рис. 2. Эквивалентная электрическая схема генератора. В реальной рукции, даже при наличии в рабочем теле достаточно сильной ударной волны, в нем, тем не менее, обязательно будет присутствовать и пьезоэлектрический эффект. Кроме того, рассматриваемая модель не учитывает весьма сложную картину реальной системы ударных и акустических волн, распространяющихся по рабочему телу. Все эти неточности модели, обусловленные принятыми допущениями, могут быть компенсированы выбором величин эмпирических коэффициентов.
При указанном подходе к моделированию процесса, эквивалентная электрическая схема сегнетоэлектрического генератора может быть представлена в виде, показанном на рис. 2. Обоснование представленной эквивалентной электрической схемы дано в работе /5/. Интенсивность процесса деполяризации сегнетоэлектрического рабочего тела будет характеризоваться параметрами источника тока i0 . Емкость сегнетоэлектрического рабочего тела обозначена на схеме Cg . Переменное сопротивление Rg , в обобщенном виде характеризует различного рода утечки заряда. Зависимости величин i0 и Rg от времени могут быть взяты, например, из работы /5/.
Нагрузка может быть представлена в виде последовательно соединенных между собой активного сопротивления R, индуктивности L и емкости C. Характеристики нагрузки обычно бывают хотя бы примерно известны до начала проектирования генератора.
На рис. 3, заимствованном из работы /5/, приведена типичная зависимость напряжения на емкости нагрузки от времени. Сплошная кривая на этом рисунке получена при испытаниях сегнетоэлектрического рабочего тела, в котором площадь ударной волны составляла 4,8 см2
, а путь ударной волны по рабочему телу 20 мм. Материал рабочего тела v пьезоэлектрическая керамика ЦТС-19. Конструкция генератора монтировалась в пластмассовом корпусе цилиндрической формы с внешним диаметром 40 мм и длиной 42 мм. Масса заряда взрывчатого вещества составляла около 3 г. Генератор подключался к нагрузке с емкостью 1000 пФ, индуктивностью 30 мкГн и с активным сопротивлением несколько десятков Ом. При функционировании генератора напряжение на емкости нагрузки повышалось до 35 кВ. Пунктирная кривая на рис. 3 была рассчитана по программе, написанной в соответствии с изложенной в работе /5/ методикой. 
Рис. 3. Экспериментальная и теоретическая зависимости напряжения на емкости нагрузки от времени.
4. Предварительная оценка параметров сегнетоэлектрического рабочего тела.
Предполагается, что заданными до начала проектирования являются емкость конденсатора нагрузки C, энергия
, запасаемая в конденсаторе нагрузки на момент окончания работы генератора, и длительность функционирования генератора. Длительность функционирования генератора можно принять равной времени движения фронта ударной волны по рабочему телу
.
В качестве первого приближения может быть взято сегнетоэлектрическое рабочее тело в виде параллелепипеда со следующими геометрическими размерами (рис. 1):
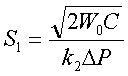
- расстояние между контактными поверхностями
;
- площадь контактной поверхности (
)
;
где
- напряженность электрического поля, при котором происходит пробой материала рабочего тела.
- скачек поляризации на фронте ударной волны.
,
- безразмерные эмпирические коэффициенты обобщенно характеризующий различные потери энергии при функционировании генератора.
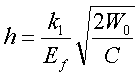
Размер рабочего тела в в направлении движения ударной волны:
,
где
- скорость движения фронта ударной волны.
Ширина рабочего тела
.
Площадь фронта ударной волны (
):

Значения
,
и
зависят от давления на фронте ударной волны. Однако, при отсутствии данных по этой зависимости, за величину
может быть принято значение статической электропрочности. При отсутствии значений скачка поляризации на фронте ударной волны
или скорости движения фронта ударной волны
они приближенно могут быть заменены на , соответственно, остаточную поляризацию и скорость звука в материале рабочего тела. При этом при проведении расчетов целесообразно корректировать значения
и
.
Масса сегнетоэлектрического рабочего тела может быть оценена по зависимости:

где
плотность материала рабочего тела.
5. Заключение.
Для получения рациональной конструкции сегнетоэлектрического генератора напряжения геометрические размеры его рабочего тела могут быть выбраны исходя из приведенных в разделе 4 зависимостей.

Рис. 4. Испытание четырех соединенных между собой генераторов, смонтированных в обном корпусе.
Корпус генератор в виде тора лежит на земле. Вверху видно соленоид и конденсаторы нагрузки. После предварительного выбора размеров рабочего тела перед началом экспериментальной отработки генератора целесообразно провести уточняющие расчеты, например, по методике изложенной в работе /5/ и провести корректировку конструктивных параметров.
В общем случае в электрическую цепь может быть включено несколько соединенных между собой генераторов описываемого типа. На рис. 4 представлено испытание четырех генераторов, смонтированных в одном корпусе.
Список литературы
Е.З. Новицкий, В.Д. Садунов, Г.Я. Карпенко Поведение сегнетоэлектриков в ударных волнах. Физика горения и взрыва. 1978, т. 14, ¦4, с. 115 - 129.
Е.З. Новицкий, В.Д. Садунов Энергетические характеристики сегнетоэлектрика как рабочего тела преобразователя энергии УВ. Физика горения и взрыва. 1985, т.21, ¦5, с. 104 - 107.
Прищепенко А.Б., Третьяков Д.В., Щелкачев М.В. Баланс энергии взрывного пьезоэлектрического генератора частоты. v Мегагауссная и мегаамперная технология и применения / Труды конференции v Саров, ВНИИЭФ,1997, с.954-958.
Пьезокерамический источник питания ВМГ./ Демидов В.А., Садунов В.Д., Казаков С.А. и др./ в сборнике: Мегагауссная и мегаамперная технология и применения / Труды конференции v Саров, ВНИИЭФ,1997, с.347-350.
Третьяков Д. В. Оценка параметров взрывного генератора напряжения с сегнетоэлектрическим рабочим телом. v Электричество. 2000, ¦12, с. 56-61.